Violencia y accidentes mortales: análisis de la mortalidad por causas externas en Colombia y México, 1998-2015
Violence and mortal accidents: analysis of the mortality from external causes in Colombia and Mexico, 1998-2015
Violencia y accidentes mortales: análisis de la mortalidad por causas externas en Colombia y México, 1998-2015
Papeles de Población, vol. 25, núm. 99, pp. 249-273, 2019
Universidad Autónoma del Estado de México
Recepción: 30 Noviembre 2017
Aprobación: 26 Febrero 2019
Resumen: El objetivo fue analizar el nivel, tendencia e impacto de la mortalidad por causas externas en Colombia y México entre 1998-2015. Se calcularon los años de vida perdidos en menores de 85 años de edad y su tendencia se estimó por medio de un análisis de regresión de modelos segmentados. Se obtuvo la contribución de dichas causas de muerte y por grupos de edad al cambio en la esperanza de vida al nacimiento. En Colombia se observó un descenso significativo de la mortalidad en todas las causas externas analizadas; en México el incremento de la mortalidad por homicidios, y el continuo ascenso de los suicidios revirtieron su tendencia decreciente. México presentó una mayor mortalidad por estas causas que Colombia, lo que claramente ilustra las tendencias divergentes en ambos países.
Palabras clave: Colombia, México, causas externas, mortalidad, esperanza de vida.
Abstract: The main objective was to analyze the level, trend and impact of mortality by external causes in Colombia and Mexico between 1998 and 2015. The years of life lost were calculated for people younger than 85 years of age and their trend was estimated using a joinpoint regression analysis. The decomposition of life expectancy by cause of death and age groups was also calculated. In Colombia a significant decrease was observed in all the analyzed external causes of death; in Mexico, the increase of mortality by homicides and the continued rise in suicides reversed their declining trend. Mexico presented a higher mortality due to external causes than Colombia, which clearly shows the divergent trends in both countries.
Keywords: Colombia, Mexico, external causes, mortality, life expectancy.
Introducción
La mortalidad por causas externas es actualmente uno de los principales problemas de salud pública a nivel mundial (Cardona et al., 2008). Es un indicador de desigualdades e inequidades en salud, y tiene gran impacto social y económico en la población (Yunes y Zubarew, 1999). Las causas externas de mortalidad se clasifican generalmente en intencionales o violentas (suicidio y homicidio), no intencionales (accidentes de tráfico u otros accidentes) y de intención no determinada.
Se estima que 1.6 millones de personas mueren anualmente por homicidios y suicidios (520 mil y 815 mil personas, respectivamente), lo que equivale a más de 2.5 por ciento del total de defunciones a nivel mundial (OMS, 2014; Burrone et al., 2012). Por accidentes de tránsito fallecen 1.2 millones de personas, siendo la octava causa de muerte alcanzando 2.25 por ciento del total de defunciones (Consejo Nacional para la Prevención de Accidentes, 2013); y por otros accidentes fallecen más de 2.4 millones al año, lo que equivale a 4.41 por ciento del total de fallecimientos (WHO, 2017).
Las defunciones por causas externas afectan a la población de todas las edades; sin embargo, es entre los 15-49 años de edad donde tienen una mayor incidencia, siendo estas las principales causas de muerte a nivel mundial (Yunes y Zubarew, 1999; OMS, 2014). Una característica importante es que, además de los cinco millones de personas que mueren anualmente a causa de ellas, un gran número adicional sufren lesiones no fatales muchas de ellas graves por lo que requieren de cuidados médicos, psicológicos o de rehabilitación (Consejo Nacional para la Prevención de Accidentes, 2013), lo que acarrea costos sociales y económicos que alcanzan los miles de millones de dólares (Yunes y Zubarew, 1999; OMS, 2014).
En Latinoamérica la mortalidad por estas causas tiene niveles muy elevados, con un gran efecto en la mortalidad general (Yunes y Zubarew, 1999). En México, los fallecimientos por causas externas tienen una alta presencia en el perfil epidemiológico del país, principalmente entre los 15 y 49 años de edad (INEGI, 2017). En 2015, poco más de 63,400 personas fallecieron por este tipo de causas. En ese mismo año, los homicidios fueron la séptima causa de muerte a nivel nacional; otros accidentes la octava; los accidentes de tráfico se ubicaron como la décima causa de muerte y los suicidios ocuparon el décimo sexto lugar (INEGI, 2017). Los homicidios han mostrado un incremento en años recientes después de un periodo en el cuál su tendencia era decreciente (Dávila-Cervantes y Pardo-Montaño, 2013; Aburto et al., 2016; González-Pérez et al., 2017). Cada año fallecen, en promedio, 16,500 mexicanos por accidentes de tránsito, pero las defunciones son un pequeño porcentaje de los accidentes de tránsito reportados (Consejo Nacional para la Prevención de Accidentes, 2013). En cuanto al suicidio, aun cuando su participación dentro de este grupo de causas de muerte ha sido la menor en el país, en las últimas cuatro décadas ha tenido un incremento ininterrumpido (Borges et al., 2016). Si bien la mortalidad por otros accidentes ha disminuido, este grupo de causas tiene el mayor impacto en la salud de la población mexicana (Dávila-Cervantes y Pardo-Montaño, 2016).
Por su parte, Colombia es todavía considerado uno de los países más violentos de América Latina. En conjunto, las causas externas, y en particular las causas violentas fueron la principal causa de muerte entre los años ochenta hasta principios de la década pasada, provocado principalmente por la alta incidencia de homicidios y suicidios (Acosta y Romero, 2014). La mortalidad por homicidios se triplicó durante ese periodo (Carmona-Fonseca, 2005); las tasas de suicidios se incrementaron a partir de 1997, después de un período relativamente estable en los años ochenta y principios de los noventa (Cendales et al., 2007); mientras que, las muertes accidentales tuvieron una tendencia decreciente (Moreno, 2014) y los accidentes de tránsito se mantuvieron en niveles bajos y casi uniformes durante esa época (Franco-Agudelo, 1997). Actualmente, las causas externas son uno de los principales grupos de causas de muerte en Colombia, especialmente en adolescentes y jóvenes.
La mortalidad por causas externas es por tanto un problema de salud pública de primera magnitud en México y Colombia. Ante este escenario surge la interrogante de cuál ha sido el impacto reciente de este grupo de causas de muerte en la salud y en la esperanza de vida de la población en ambos países. Dado esto, la presente investigación tiene como objetivo principal analizar el nivel, tendencia e impacto de la mortalidad por causas externas en Colombia y México entre 1998-2015, a nivel nacional, por sexo y grupos de edad; utilizando los años de vida perdidos (AVP) entre los 0 y 85 años de edad y la contribución de dichas causas de muerte al cambio en la esperanza de vida al nacimiento.
Material y métodos
Se realizó un estudio ecológico, transversal y comparativo con información proveniente de las estadísticas vitales de mortalidad del Instituto Nacional de Estadística y Geografía (INEGI) en México y del Departamento Administrativo Nacional de Estadística (DANE) en Colombia, para el periodo 1998-2015, a nivel nacional, por sexo y grupos quinquenales de edad; los datos de ambos países son considerados de buena calidad (Mahapatra et al., 2007). Se consideraron fallecimientos por causas externas bajo los criterios de la Clasificación Internacional de Enfermedades (CIE-10), con los códigos: Accidentes de tránsito (AT) (V00-V99); Otros accidentes (OA) (W00-X59); Homicidios (X85-Y09, Y87.1); y Suicidios (X60-X84, Y87.0) como en otras investigaciones sobre el tema (Yunes y Zubarew, 1999; Burrone et al., 2012; Rockett et al., 2012). Entre los OA se encuentran las caídas, los golpes, aplastamientos y contactos traumáticos; ahogamientos accidentales; accidentes causados por factores naturales y del ambiente; las agresiones por parte de los animales; los envenenamientos accidentales (Moreno, 2014). Cabe señalar que no se tomó en cuenta en el análisis el rubro de Otros incidentes no clasificados de la CIE-10 (Y10-Y34). Sin embargo, con el objetivo de descartar la existencia de posibles sesgos por subestimación en las causas de muerte consideradas, se analizó también la tendencia de los fallecimientos clasificados como lesiones de intención no determinada.
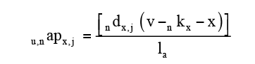
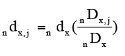
Se calcularon los AVP para estimar el promedio de años de vida que se perdieron entre 1998 y 2015 por defunciones por causas externas entre los 0 y 85 años de edad, es decir, se determinó cuántos años más deberían haber vivido las personas que fallecieron por estas causas antes de los 85 años de edad. Se utilizó el supuesto de mortalidad nula entre las dos edades elegidas, con la ventaja que, al comparar la mortalidad observada con la mortalidad hipotética nula, las comparaciones quedan estandarizadas (Arriaga, 1996). Esta técnica es una de las principales herramientas para medir los cambios en el nivel de la mortalidad y facilitar la interpretación y comprensión del estudio de la mortalidad por causas (Arriaga, 1996) dando cuenta de los cambios e impacto que tienen en la salud de la población. Los AVP por aquellos que fallecen por la causa de muerte j en las edades de x a x+n años son:
[1]Con el promedio de AVP calculado como:
[2]Con
[3]bajo el supuesto que las defunciones por la causa de muerte j de la tabla de mortalidad en cada grupo de edad guardan la misma distribución que las defunciones observadas; nkx es el factor de separación de las defunciones; v es la edad superior bajo análisis (85 años en este caso) y la es el número de personas vivas a la edad exacta a en la tabla de mortalidad (edad inicial bajo análisis o la edad 0 en ese estudio). Para calcular el promedio de AVP por la causa de muerte j se deben sumar los AVP entre las edades a y v.
La tendencia de los AVP para cada causa de muerte se estimó por medio de un análisis de regresión de modelos segmentados basado en un modelo log-lineal (López-Campos, Ruiz-Ramos y Soriano, 2014). Este método sirve para identificar cambios significativos en las tendencias temporales. Las ventajas de dichas regresiones es que muestran los cambios en las tendencias y estiman la magnitud del incremento (o decremento) en cada intervalo por medio de los porcentajes de cambio anual (PCA) (López-Campos, Ruiz-Ramos y Soriano, 2014). El modelo comienza con el mínimo número de nodos o años de corte (que corresponde a una línea recta) hasta un máximo de 4, y prueba si la pendiente de la tendencia en cada segmento es estadísticamente diferente de un segmento previo. Estos cálculos se realizaron utilizando el software libre del Programa de Vigilancia, Epidemiología y Resultados Finales (SEER por sus siglas en inglés; Joinpoint Regression Program, versión 4.5.0.1). Para la estimación de dichos modelos se eligió un nivel de significancia estadística de cinco por ciento.
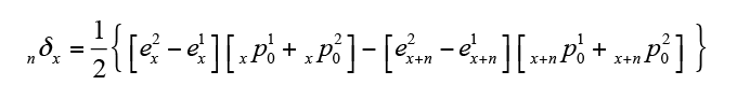
Se obtuvieron tablas de vida para los años 1998 y 2015 utilizando procedimientos demográficos estándar (Preston, Guillot y Heuveline, 2001), para estimar el cambio en la esperanza de vida al nacimiento (e0). Para el cálculo del aporte de las causas de muerte por grupos de edad a dicho cambio se utilizó una extensión del modelo de Andrevv et al. (2002) realizado por Gayet et al. (2014). Este método consiste en descomponer la diferencia entre dos e0 en las contribuciones que aporta cada una de las componentes, ya sea por edad, por causa de muerte o ambas conjuntamente; esto es, se calcula el monto de e0 que contribuye o resta el cambio de mortalidad por cada causa externa y/o grupo de edad. El cambio en la esperanza de vida se calcula como:
[4]donde
[5]con
[6]es la proporción del total de defunciones atribuidas a la causa específica i, entre las k causas de muerte consideradas en el análisis; npx es la probabilidad que un superviviente de x años en la tabla de vida tiene de vivir n años más; y son la esperanza de vida en los años 1998 y 2015, respectivamente.
Se realizó un prorrateo para distribuir las muertes de las edades no especificadas entre el resto de los grupos de edad. Únicamente se tuvieron en cuenta defunciones ocurridas al interior de cada país, excluyendo: i) registros no especificados por sexo (1,849 casos); ii) y para los AVP, no se tomaron en cuenta las defunciones de mayores de 85 años (41,027 casos en total). A partir de esto, se descartaron 2.64 por ciento del total de registros para el cálculo de los AVP.
Resultados
Colombia
En 1998, las muertes masculinas por causas externas representaron en Colombia 33.3 por ciento del total registrado (un máximo de 34.7 por ciento en 2002) y descendieron a 18.3 por ciento en 2015; para mujeres alcanzaron un máximo de 7.4 por ciento en 1998 y se redujeron a 3.8 por ciento en 2015. Destacan los homicidios con la mayor participación en el grupo de causas externas, tanto para hombres (63 por ciento aproximadamente), como para mujeres (36 por ciento); los suicidios tuvieron la menor participación entre este grupo de causas (6.1 por ciento en hombres y para mujeres 10.5 por ciento). La razón hombre/mujer, osciló entre 6 y 7.3 defunciones de causas externas masculinas por cada femenina; en los homicidios la razón fue superior a 10.2 en todo el periodo, mientras que para las otras causas presentó niveles inferiores a 4.75.
Entre 1998 y 2002, los AVP por causas externas de hombres colombianos presentaron un nivel de 6.1 AVP aproximadamente lo que indica que si se eliminaran las defunciones por estas causas, la esperanza de vida entre los 0 y 85 años de edad incrementaría 6.1 años (Tabla 1a, Tabla 1b). Durante el periodo se dio una disminución significativa de la mortalidad por causas externas (Tabla 2), y en 2015 se alcanzó un nivel de 3 AVP (Figura 1). Para mujeres se observó un comportamiento similar, con niveles de 0.9 AVP entre 1998 y 2002, para después disminuir a 0.47 AVP en 2015; la disminución de los AVP fue significativa, aunque menor que la masculina en términos del PCA (Tabla 2).
Por causas de muerte, los homicidios tuvieron un gran descenso de AVP, pasando de un máximo de 5.9 AVP en 2001 a 2.1 en 2015 para hombres; y de un máximo de 0.53 en 2002 a 0.19 AVP en mujeres (Figura 1). La disminución de la mortalidad por homicidios en ambos sexos fue estadísticamente significativa a lo largo del periodo de estudio (Tabla 2). Por su lado, los suicidios presentaron una reducción de la mortalidad en ambos sexos, aunque el PCA fue mayor para mujeres. De igual forma, los AT tuvieron una reducción hasta 2011 en ambos sexos, pero a partir de ese año presentaron un repunte de la mortalidad por dicha causa. Los OA tuvieron en general una tendencia decreciente en ambos sexos (Figura 1; Tabla 2). Por grupos de edad, los AVP por causas externas en hombres se concentraron en edades jóvenes y adultas, con más de 80 por ciento del total ocurridos entre 15-49 años de edad; para las mujeres colombianas se concentraron entre 15-64 años, aunque destaca que para los OA más de 30 por ciento se ocurrieron entre los 0 y 4 años de edad. Los AVP por lesiones de intención no determinada, tuvieron una tendencia decreciente a lo largo del periodo en ambos sexos, con un ligero incremento en 2008 y en 2011.
La esperanza de vida al nacimiento en Colombia entre 1998 y 2015 se incrementó 4.2 años para hombres y 2.9 años para mujeres (Tabla 3a, Tabla 3b). Este aumento en hombres se debió principalmente a la disminución de la mortalidad por causas externas (60 por ciento del total del aumento), la cual se centró principalmente entre los 15 y 29 años de edad y 30 a 49 años de edad; en cambio para mujeres, si bien la mortalidad por causas externas disminuyó, el cambio fue menor que en hombres, y se centró en los menores de cinco años y entre los 15 y 49 años de edad (Tabla 3a, Tabla 3b).






La causa de muerte externa con la mayor contribución a la disminución de la e0 masculina fueron los homicidios, principalmente entre los 15 y 49 años de edad. Las otras tres causas externas también aportaron positivamente a la e0 masculina, aunque en menor monto y en otros grupos de edad: la contribución positiva de los suicidios se centró entre los 15 y 29 años; los AT aportaron positivamente, principalmente entre 15 y 49 años de edad; y el descenso de la mortalidad por los OA se concentró en menores de 5 años y entre los 15 y 49 años de edad. Para mujeres los AT fueron la causa de muerte externa con el mayor aporte a la esperanza de vida, centrado en los menores de cinco años; la segunda causa con mayor aporte fueron los homicidios, especialmente entre los 15 y 49 años de edad. Destaca el aporte positivo de los OA principalmente en los menores de cinco años; mientras que los suicidios tuvieron un escaso aporte, centrado en el grupo de edad de 15 a 29 años de edad.
México
En 1998, las causas externas representaron 16.9 por ciento del total de defunciones masculinas registradas en México, cifra que ascendió hasta 17.1 por ciento en 2011 y disminuyó a 14.1 por ciento en 2015; para mujeres representó cinco por ciento en 1998, disminuyendo hasta 4.1 por ciento en 2015. A diferencia de Colombia, en México la principal causa de muerte externa en 1998 eran los OA, tanto para hombres (37 por ciento) como para mujeres (48 por ciento). Después de 2009, los homicidios se convirtieron en la principal causa de muerte externa masculina (un máximo de 43 por ciento en 2011); para mujeres continuaron siendo los OA (41.3 por ciento). Los suicidios tuvieron la menor participación porcentual entre las causas externas en ambos sexos (menos de 11 por ciento), pero tuvieron con una tendencia creciente. La razón hombre/mujer entre 1998 y 2015 varió entre 3.8 y 4.8 fallecimientos masculinos por cada femenino; dicha razón en los homicidios alcanzó su máximo valor de 9.6 en 2010, siendo mayor a 6.7 homicidios masculinos por cada femenino en todos los años de estudio; y para suicidios presentó una tendencia decreciente en todo el periodo.
Los hombres perdieron 4.7 años de vida en promedio en 1998 por causas externas y con una tendencia decreciente hasta 2006 (Figura 1); a partir de ese año aumentaron, hasta alcanzar un máximo de cinco AVP en 2011, lo que implicó una mortalidad mayor a la de Colombia por el conjunto de causas externas ese año y hasta 2014 (Tabla 1a, Tabla 1b); posteriormente los AVP disminuyeron regresando al nivel observado en 2007 (Figura 1). Este comportamiento implicó que dichas causas tuvieran una variación nula en el periodo (Tabla 2). Para mujeres se observó una tendencia estable de los AVP y un escaso descenso durante el periodo de estudio.
Los AVP por homicidios se incrementaron en ambos sexos (Tabla 1a,Tabla 1b), principalmente entre 2007 y 2011 (Figura 1). La mortalidad masculina por suicidios tuvo un incremento estadísticamente significativo; para mujeres los AVP por esta causa se duplicaron y no presentaron ningún punto de corte en su tendencia creciente (Tabla 2). Respecto a los AT, en ambos sexos se presentó una ligera disminución estadísticamente significativa durante el periodo de estudio (Tabla 1a, Tabla 1b). Para los OA, se presentó una reducción de la mortalidad a lo largo del periodo; en hombres, la tendencia no presentó ningún punto de corte. A diferencia de Colombia, los AVP en México se concentraron entre los 15-64 años para hombres (con 80 por ciento del total de AVP masculinos por causas externas) y entre los 15-84 años para mujeres (más de 66 por ciento) y un alto porcentaje en los menores de cinco años. Los AVP por lesiones de intención no determinada en México, disminuyeron hasta 2008 en ambos sexos, pero en 2011 presentaron un importante e inusual incremento, para disminuir nuevamente hasta 2015.
La e0 en México entre 1998 y 2015 se incrementó 2.3 años para hombres y 1.8 para mujeres (Tabla 3a, Tabla 3b). Las causas externas en conjunto tuvieron un menor aporte al cambio en e0, que en el caso colombiano, especialmente en hombres menores de cinco años y de 50 a 64 años; mientras que la contribución de las causas externas a la e0 femenina fue dominado por la disminución de la mortalidad en los menores de cinco años de edad, aunque buena parte de estos cambios se cancelaron por el aumento de la mortalidad entre los 15 y 29 años de edad. Las causas de muerte que redujeron la e0 en hombres fueron los homicidios y los suicidios, principalmente entre los 15 y 49 años de edad. Mientras que se observó una reducción de la mortalidad masculina por AT y por OA, centrada en los menores de cinco años y entre los 15 a 64 años de edad. Por su lado, homicidios y suicidios también redujeron la e0 femenina entre 15 y 49 años de edad en ambas causas de muerte. Destaca el aporte positivo de los AT a la e0 y de los OA, ocurrido en todos los grupos de edad antes de los 65 años de edad.
Discusión
Las causas externas de mortalidad son uno de los principales problemas de salud pública en Latinoamérica. Éstas han sido consideradas como indicadores de carencias de acceso y de calidad de atención médica, las cuales son mecanismos de control y prevención de la exposición al riesgo de accidentes y agresiones (Gómez, 2008). Dichas causas, no solo tienen como consecuencia trágicas pérdidas humanas (Aburto et al., 2016) y altos costos económicos y sociales (Yunes y Zubarew, 1999), sino que pueden ocasionar daños físicos, discapacidad y/o secuelas psicológicas en las víctimas, un gran número de AVP, una disminución de la esperanza de vida y son una forma de expresión del deterioro de la calidad de vida de la población.
Los resultados presentados permiten corroborar el gran impacto que tiene la mortalidad por causas externas en la esperanza de vida de la población en ambos países, a la vez que dan cuenta de su comportamiento diferencial por causa de muerte, edad y sexo. En Colombia se observó un descenso significativo de la mortalidad en todas las causas externas analizadas, especialmente en homicidios a partir de 2002 (Sánchez et al., 2012; Dávila-Cervantes y Pardo-Montaño, 2015; Salazar et al., 2015); el descenso se presentó tanto en hombres como en mujeres. Esto confirma que las causas externas de mortalidad han dejado de ser el principal grupo de causas de muerte en Colombia (Acosta y Romero, 2014); situación que ocurre después de que en la década de los noventa Colombia contaba con los mayores niveles de mortalidad por estas causas en el mundo (Briceno-Leon, Villaveces y Concha-Eastman, 2008). México presentó un panorama distinto. Si bien no se dio un incremento de la mortalidad por causas externas durante el periodo de estudio, el incremento de la mortalidad por homicidios a partir de 2008 (Aburto et al., 2016; Dávila-Cervantes y Pardo-Montaño, 2015), y el continuo ascenso de los suicidios (Borges et al., 2016) revirtieron la tendencia decreciente de estas causas presentada en los diez años previos a esa fecha. Destaca que a partir de 2011 en hombres y 2004 en mujeres, México presentó una mayor mortalidad por estas causas que Colombia, lo que claramente ilustra las tendencias divergentes en ambos países.
Es importante resaltar que las lesiones de intención no determinada en Colombia tuvieron una tendencia decreciente al igual que el total de las causas externas analizadas, lo que parece indicar ausencia de algún sesgo en las estimaciones realizadas. En cambio en México, si bien dichas causas tuvieron un comportamiento similar a las causas externas, destaca su incremento inusual suscitado en 2011 (año con la mayor mortalidad por homicidios en la historia reciente del país). Este resultado puede ser indicativo de una importante subestimación del impacto de la mortalidad por las causas externas aquí consideradas (y en particular de los homicidios) en la esperanza de vida del país en ese año; situación que se recomienda abordar más a fondo en investigaciones futuras sobre el tema.
Se corroboró que los hombres tienen una pérdida de años de vida por causas externas hasta cuatro veces mayor que las mujeres, principalmente los adolescentes y adultos jóvenes (Burrone et al., 2012). Esta dinámica diferencial de la morbi-mortalidad entre hombres y mujeres por causas externas se ha asociado con conductas provenientes de un aprendizaje social diferenciado que ocurre durante el proceso de construcción de sus identidades de género (Figueroa, 2015; Burin y Meler, 2000). Este modelo de identidad masculina comprende comportamientos esperados (como competencia, riesgo y control) frente a las distintas situaciones a las cuales se enfrentan diariamente, y desde niños, los hombres aprenden a correr riesgos, internalizando dichos comportamientos (Figueroa, 2007). Este escenario alcanza su máxima expresión durante la adolescencia y la adultez joven; edades en las cuales la exposición intencional a situaciones de riesgo se convierte en una situación social esperada que los legitima como varones (Figueroa, 2015), aunque en el proceso expongan su salud y bienestar, y en muchos casos los lleve a encontrar su propia muerte (Treviño-Siller, 2014; Mansfield, Addis, y Mahalik, 2003). Por tanto, se puede argumentar que los principales factores asociados con la mortalidad por causas externas son el género y la edad (Figueroa, 2007; Treviño-Siller, 2014).
En ambos países, las causas externas fueron dominadas por los homicidios masculinos principalmente entre los 15-49 años de edad, aunque las tendencias observadas son opuestas: en Colombia la mortalidad por homicidios descendió significativamente a partir de 2002; pero en México ocurrió lo contrario, incrementándose de manera significativa entre 2008 y 2012, lo que es consistente con otras investigaciones (González-Pérez et al., 2017). El descenso de los homicidios ocurrido en Colombia se le atribuye a que el Plan Colombia, implementado en 1999 (Palacios y Serrano, 2010), ejerció un aumento de la movilidad y efectividad de las fuerzas armadas (Moreno y Cendales, 2011) lo que provocó la gradual desarticulación de las organizaciones del narcotráfico, que a su vez llevó a una reconfiguración de las cadenas de mando en la producción, distribución y comercialización de estupefacientes y la disminución de cultivos de cocaína (Baron, 2009; García et al., 2012). En cambio, el alza en la violencia homicida en México se le atribuye a la intervención militar realizada durante 2007 como parte de la campaña anti-drogas del gobierno federal (Lee y Bruckner, 2017). A medida que las tropas militares penetraron los corredores de tráfico de drogas, los enfrentamientos con los cárteles provocaron un incremento en los homicidios. A su vez, la remoción estratégica de los líderes de los cárteles desestabilizó las relaciones a su interior y lo que provocó que se dividieran desencadenado guerras internas de sucesión lo que se tradujo en una escalada de los homicidios principalmente en adultos jóvenes (Molzahn, Rodriguez-Ferreira y Shirk, 2013).
Por su lado, los suicidios tuvieron una tendencia opuesta en ambos países, revelando importantes diferencias por edad y sexo. En Colombia tuvieron un descenso significativo, principalmente entre los 15 y 29 años, reflejado en un aporte positivo a la e0; mientras que en México continuó la tendencia creciente reportada desde los años setenta (Borges et al., 2016; Borges et al., 2010), lo que redujo la e0, cambio centrado entre los 15 y 49 años de edad. Los principales factores asociados con esta causa de muerte son un intento previo de suicidio (Borges et al., 2010), el sexo masculino, los desórdenes mentales, principalmente la depresión, el consumo de drogas y alcohol (Sheehan et al., 2013), el incremento de enfermedades crónico-degenerativas, las cuales pueden generar gran dolor en quienes las padecen (Rojas-Cabrera, 2015); mientras que las pérdidas económicas, la precariedad económica, el subempleo y la pobreza tienen efectos en el aumento de los niveles de ansiedad, y pueden ser detonantes potenciales del suicidio (Borges, Orozco y Medina-Mora, 2012; Xavier et al., 2006).
Después de analizar el impacto de los AT en la e0 y el número de AVP se pudo observar una disminución de la mortalidad por esta causa en ambos países (Escanés, Agudelo-Botero y Cardona, 2015), aunque en Colombia se dio un ligero repunte a partir de 2012. La mortalidad por AT se concentró en jóvenes en ambos países principalmente en hombres como en otros contextos (Escanés, Agudelo-Botero y Cardona, 2015; Chandran et al., 2013); excepto en las mujeres mexicanas donde la mortalidad en menores de cinco años por esta causa también presenta niveles altos; dichas causas de muerte generalmente afectan más a los peatones, seguidos por los motociclistas y ciclistas, es decir, usuarios vulnerables. Los principales factores de riesgo asociados con los AT son el aumento del número de vehículos en circulación y las llamadas conductas de riesgo como: exceso de velocidad, abuso de sustancias (alcohol o drogas), falta de uso del cinturón de seguridad, no respetar señalamientos de tránsito, y uso de distractores (como teléfonos móviles) cuando se maneja, entre muchos otros (Treviño-Siller, 2014).
La mortalidad por OA descendió en ambos países; y lo hizo principalmente en las edades más jóvenes. Su incidencia depende de la etapa de la vida en la cual se encuentren las personas, por ejemplo los niños tienen un tener mayor riesgo de ingerir objetos extraños ocasionándoles obstrucción en sus vías respiratorias; en la adolescencia y juventud, al asumir actividades de riesgo; y las personas de edad avanzada, es más frecuente que presenten caídas (Paulsen-Sandi y Mejía-Salas, 2005; Dorta-Figueredo et al., 2013).
A partir de los resultados expuestos y tomando en cuenta la importancia de las muertes por causas externas en el perfil epidemiológico de ambos países, es indispensable contar con información precisa que permita vigilar su incidencia, y paralelamente, desarrollar estudios multidisciplinarios enfocados en analizar la dinámica de los múltiples factores asociados con la mortalidad por estas causas. Los adultos jóvenes son las principales víctimas de la mortalidad por causas externas; cerca de tres cuartas partes del total de años de vida perdidos por estas causas de muerte ocurren en adultos y adultos jóvenes. De esta manera, las acciones encaminadas a prevenirlas se deben generar tomando en cuenta los grupos de edad donde tiene mayor impacto, con una perspectiva de género (Figueroa, 2007; Treviño-Siller, 2014), incluyendo la participación de todos los sectores de la sociedad y deben tomar en cuenta las particularidades de cada causa de muerte. Dichas acciones se deben dirigir, a continuar reduciendo la mortalidad por causas externas en Colombia y revertir la tendencia actual de homicidios y suicidios en México que anulan las ganancias obtenidas por la disminución de la mortalidad por AT y OA. Los AT se pueden prevenir por medio de restricciones en el uso de bebidas alcohólicas, reducción de límites de velocidad, reforzar del uso de elementos de seguridad, mejor infraestructura y señalamientos en las vías públicas y promover el cumplimiento de las normas viales; los suicidios, a través de la detección temprana y tratamiento oportuno de sus factores de riesgo; los homicidios por medio de planes de prevención de la violencia y mayores restricciones en el acceso a armas de fuego; y dada la gran diversidad de factores asociados con los accidentes se deben promover medidas preventivas conjuntas, que incluyan campañas de información, y el establecimiento y cumplimiento de normas (Lund y Aarø, 2004).
Limitaciones
Los resultados presentados se deben interpretar a la luz de ciertas limitaciones importantes. Primero, el estudio se enfocó en fallecimientos sin poder tomar en cuenta los numerosos incidentes no letales que ocurren por cada defunción por causa externa, por lo que el impacto de las causas externas en la salud de la población es posible que esté subestimado. Es decir, en este estudio no fue posible identificar aquellos daños a la salud que se derivan de las lesiones de tránsito, de los intentos de suicidio o de los diversos accidentes y que no concluyen en muerte, y que pueden provocar grandes costos sociales y económicos como discapacidades permanentes, pérdida de capacidad laboral, la necesidad de cuidados especiales, terapias psicológicas y uso de servicios de rehabilitación (Escanés, Agudelo-Botero y Cardona, 2015). Segundo, dado que la información utilizada es de tipo transversal, ello impide analizar los posibles factores causales de las diferentes causas de muerte analizadas. Tercero, debido a la naturaleza del fenómeno bajo estudio, es probable que las estimaciones de mortalidad por homicidios y suicidios estén subestimadas. En caso de los homicidios, el subregistro sucede cuando las muertes provocadas durante enfrentamientos armados o los homicidios a manos de grupos ilegales no se contabilizan y quedan fuera del alcance de los registros nacionales de mortalidad (Moreno y Cendales, 2011); mientras que para los suicidios, existe cierta tendencia a ocultarlos por cuestiones culturales o religiosas, así como por problemas en los procedimientos de registro (Rodríguez, 2006; Madge y Harvey, 1999).
Pese a todo ello, los datos de mortalidad han mejorado progresivamente en la región y en particular en México y Colombia (Mahapatra et al., 2007) y aun cuando el presente estudio tiene limitaciones, los resultados obtenidos son relevantes para dar cuenta de las variaciones que se han producido en la mortalidad por causas externas en Colombia y México, de su impacto en la esperanza de vida de la población y de las diferentes tendencias que ambos países presentan.
Agradecimientos
Investigación realizada gracias al Programa UNAM-PAPIIT “N311319. Espacialización de la violencia y migración internacional en contextos urbanos en México”.
Referencias
Aburto, J., Beltran-Sanchez, H., Garcia-Guerrero, V. y Canudas-Romo, V., 2016, “Homicides in Mexico reversed life expectancy gains for men and slowed them for women, 2000-10”. Health Affairs, 35(1), pp.88-95. https://doi.org/10.1377/hlthaff.2015.0068
Acosta, K, y Romero, P., 2014, “Cambios recientes en las principales causas de mortalidad en Colombia”. Documentos de Trabajo sobre Economía Regional y Urbana, 209, pp.1-59.
Andrevv, E., Shkolnikov, V. y Begun A., 2002, “Algorithm for decomposition of differentials between aggregate demographic measures and its application to life expectancies, healthy life expectancies, parity progression ratios and total fertility rates”. Demographic Research, 7(14), pp.499-522. https://dx.doi.org/10.4054/DemRes.2002.7.14
Arriaga, E., 1996, “Los años de vida perdidos: su utilización para medir el nivel y cambio de la mortalidad”. Notas de Población, 24(63), pp.7–38.
Baron, J., 2009, “El homicidio en los tiempos del Plan Colombia”. Documentos de Trabajo sobre Economía Regional y Urbana, 115, pp.1-41.
Borges, G., Benjet, C., Orozco, R. y Medina-Mora, M., 2016, “The growth of suicide ideation, plan and attempt among young adults in the Mexico City metropolitan area”. Epidemiology and Psychiatric Sciences, 26(06), pp.635-643. http://dx.doi.org/10.1017/S2045796016000603
Borges, G., Orozco, R., Benjet, C. y Medina-Mora, M., 2010, “Suicidio y conductas suicidas en México: retrospectiva y situación actual”. Salud Publica de México, 52(4), pp.292-304.
Borges, G., Orozco, R. y Medina-Mora ME., 2012, “Índice de riesgo para el intento suicida en México”. Salud Pública de México, 54(6), pp. 595-606.
Briceno-Leon, R., Villaveces, A. y Concha-Eastman, A., 2008, “Understanding the uneven distribution of the incidence of homicide in Latin America”. International Journal of Epidemiology, 37(4), pp.751-757. https://doi.org/10.1093/ije/dyn153
Burin, M, y Meler, I., 2000, La masculinidad. “Diversidad y similitudes entre los grupos humanos”, en Burin M, Meler I. (editores), Varones. Género y subjetividad masculina. Buenos Aires, Argentina, Paidós, pp.71-121.
Burrone, M., Bella, M., Acosta, L., Villace, B., López de Neira, M., Fernández, R. y Enders, J., 2012, “Estudio de muertes por causas violentas: un análisis de tendencia en jóvenes, Argentina, 2000-2008”. Cadernos de Saúde Coletiva, 20(4), pp.460-465.
Cardona, D., Peláez, E., Aidar, T., Ribotta, B. y Alvarez, M., 2008, “Mortalidad por causas externas en tres ciudades latinoamericanas: Córdoba (Argentina), Campinas (Brasil) y Medellín (Colombia), 1980-2005”. Revista Brasileira de Estudos de População, 25(2), pp.335-352. http://dx.doi.org/10.1590/S0102-30982008000200009
Carmona-Fonseca, J., 2005, “Cambios demográficos y epidemiológicos en Colombia durante el siglo XX”. Biomédica, 25(4), pp.464-480. https://doi.org/10.7705/biomedica.v25i4.1373
Cendales, R., Vanegas, C., Fierro, M., Córdoba, R. y Olarte, A., 2007, “Tendencias del suicidio en Colombia, 1985-2002”. Revista Panamericana de Salud Pública, 22(4), pp.231-238. http://dx.doi.org/10.1590/S1020-49892007000900002
Chandran, A., Kahn, G., Sousa, T., Pechansky, F., Bishai, D. y Hyder, A., 2013, “Impact of road traffic deaths on expected years of life lost and reduction in life expectancy in Brazil”. Demography, 50(1), pp.229-236. http://dx.doi.org/10.1007/s13524-012-0135-7
Consejo Nacional para la Prevención de Accidentes, 2013, Tercer informe sobre la situación de la seguridad vial. Secretaría de Salud, Distrito Federal, SSa, 191p.
Dávila-Cervantes, C. y Pardo-Montaño, A., 2013, “Análisis de la tendencia de la mortalidad por homicidios en México entre 2000 y 2010”. Revista Gerencia y Políticas de Salud, 12(24), pp.163-183.
Dávila-Cervantes, C. y Pardo-Montaño, A., 2015, “Análisis del impacto de la mortalidad por homicidios de acuerdo al Índice de Necesidades Básicas Insatisfechas en Colombia, 2000-2011”. Revista Gerencia y Políticas de Salud, 14(28), pp. 63-77.
Dávila-Cervantes, C. y Pardo-Montaño, A., 2016, “Análisis de la tendencia e impacto de la mortalidad por causas externas: México, 2000-2013”. Salud Colectiva, 12(2), pp.251-264. http://dx.doi.org/10.18294/sc.2016.743
Dorta-Figueredo, M., Godo-González, M., Castellón-González, C., González-Hermida, A., Portal-Amador, M. y Rosell-García, I., 2013, “Morbilidad por accidentes en menores de cinco años”. Medisur, 11(2), pp. 1-10. Disponible en http://medisur.sld.cu/index.php/medisur/article/view/2323. (Acceso 30/10/2017).
Escanés, G., Agudelo-Botero, M. y Cardona, D., 2015, “Nivel y cambio de la mortalidad vial en Argentina, Chile, Colombia y México, 2000-2011”. Salud Colectiva, 11(3), pp.411-421. http://dx.doi.org/10.18294/sc.2015.725
Figueroa, J., 2007, “El derecho a la salud en la experiencia de los varones: ¿un concepto ambivalente en los modelos de masculinidad vigentes?”, Coeducando, 1, pp.77-97.
Figueroa, J., 2015, El ser hombre desde el cuidado de sí: algunas reflexiones. (Presentación) VI Seminario Internacional sobre Familia, Manizales, Abril 21.
Franco-Agudelo, S., 1997, “Violencia y salud en Colombia”. Revista Panamericana de Salud Pública, 1(2), pp.93-103. http://dx.doi.org/10.1590/S1020-49891997000200002
García, H., Giraldo, C., López, M., Pastor, M., Cardona, M., Tapias, C., Cuartas, D., Gómez, V. y Vera, C., 2012, “Treinta años de homicidios en Medellín, Colombia, 1979-2008”. Cadernos de Saúde Coletiva, 28(9), pp.1699-712.
Gayet, C., Partida-Bush, V. y Dávila-Cervantes, C., 2014, “Mortalidad por VIH/SIDA en México. Un aporte demográfico”. Papeles de Población, 20(79), pp.9-38.
Gómez, R., 2008, La mortalidad evitable como indicador de desempeño de la política sanitaria Colombia: 1985–2001. Medellín, Universidad de Antioquia.
González-Pérez, G., Vega-López, M., Souza, E. y Pinto, L., 2017, “Mortalidad por violencias y su impacto en la esperanza de vida: una comparación entre México y Brasil”. Ciência y Saúde Coletiva, 22(9), pp.2797-2809. http://dx.doi.org/10.1590/1413-81232017229.12172017
INEGI, 2017, Estadísticas Vitales de Mortalidad, Instituto Nacional de Estadística y Geografía. Disponible en http://www.beta.inegi.org.mx/proyectos/registros/vitales/mortalidad/ (Acceso 10/09/2017).
Lee, E. y Bruckner, T., 2017, “Threats to security and ischaemic heart disease deaths: the case of homicides in Mexico”. International Journal of Epidemiology, 46(1), pp.173–179. https://doi.org/10.1093/ije/dyw110
López-Campos, J., Ruiz-Ramos, M. y Soriano, J., 2014, “Mortality trends in chronic obstructive pulmonary disease in Europe, 1994–2010: a joinpoint regression analysis”. The Lancet Respiratory Medicine, 2(1), pp. 54-62. http://dx.doi.org/10.1016/S2213-2600(13)70232-7
Lund, J. y Aarø, L., 2004, “Accident prevention. Presentation of a model placing emphasis on human, structural and cultural factors”. Safety Science, 42(4), pp.271–324. https://doi.org/10.1016/S0925-7535(03)00045-6
Madge, N. y Harvey, J., 1999, “Suicide among the young the size of the problem”. Journal of Adolescence, 22(1), pp.145-55. http://dx.doi.org/10.1006/jado.1998.0207
Mahapatra, P., Shibuya, K., Lopez, A., Coullare, F., Notzon, F., Rao, C. y Szreter, S., 2007, “Civil registration systems and vital statistics: successes and missed opportunities”. The Lancet, 370(9599), pp.1653-1663. http://dx.doi.org/10.1016/S0140-6736(07)61308-7
Mansfield, A., Addis, M. y Mahalik, J., 2003, ““Why Won’t He Go to the Doctor?”: the psychology of men’s help seeking”. International Journal of Men’s Health, 2(2), pp.93- 109. http://dx.doi.org/10.3149/jmh.0202.93
Molzahn, C., Rodriguez-Ferreira, O. y Shirk, D., 2013, Drug violence in Mexico: data and analysis through 2012. San Diego, Trans-Border Institute, University of San Diego.
Moreno, C. y Cendales, R., 2011, “Mortalidad y años potenciales de vida perdidos por homicidios en Colombia, 1985–2006”. Revista Panamericana de Salud Pública, 30(4), pp.342–53. http://dx.doi.org/10.1590/S1020-49892011001000008
Moreno, S., 2014, “Comportamiento de muertes y lesiones accidentales, Colombia, 2013”, en Instituto Nacional de Medicina Legal y Ciencias Forenses. Forensis 2013, Datos para la vida. Bogotá, Colombia, pp.225-282.
OMS, 2014, Global status report on violence prevention 2014. Organización Mundial de la Salud, Ginebra, WHO, 292p.
Palacios, M. y Serrano, M., 2010, “Colombia y México: Las violencias del narcotráfico”, en Alvarado, A. y Serrano, M., editores. XV Seguridad nacional y seguridad interior. Los grandes problemas de México. México, El Colegio de México, pp.105-54.
Paulsen-Sandi, K. y Mejía-Salas, H., 2005, “Factores de riesgo para accidentes en niños. Hospital del Niño Dr. Ovidio Aliaga Uria”. Revista Chilena de Pediatría, 76(1), pp. 98-107.
Preston, S., Guillot, M. y Heuveline, P., 2001, Demography. Measuring and modeling population processes. Malden, MA, Blackwell Press.
Rockett, I., Regier, M., Kapusta, N., Coben, J., Miller, T., Hanzlick, R., Todd, K., Sattin, R., Kennedy, L., Kleinig, J. y Smith, G., 2012, “Patterns and trends in leading causes of unintentional and violence-related injury mortality: United States, 2000–2009”. Injury Prevention, 18(Suppl 1), pp.A239.1-A239. http://dx.doi.org/10.1136/injuryprev-2012-040590w.49
Rodríguez, A., 2006, “El suicidio y su prevención”, en Instituto Nacional de Medicina Legal y Ciencias Forenses. Forensis 2006, datos para la vida. Bogotá, Colombia, pp.275-316.
Rojas-Cabrera, E., 2015, “Mortalidad por causas violentas en adolescentes y jóvenes de dos ciudades del Cono Sur: Córdoba (Argentina) y Porto Alegre (Brasil), 1990-2010”. Ciência e Saúde Coletiva, 20(1), pp.29-37. http://dx.doi.org/10.1590/1413-81232014201.19162013
Salazar, E., Buitrago, C., Molina, F., Arango-Alzate, C., 2015, “Tendencia de la mortalidad por causas externas en mujeres gestantes o puérperas y su relación con factores socioeconómicos en Colombia, 1998–2010”. Revista Panamericana de Salud Pública, 37(4/5), pp.225–231.
Sánchez, A., Díaz, A., Peláez, M., Castelblanco, A., Tautiva, O., González, J., Ángel, L., 2012, “Evolución geográfica del homicidio en Colombia”. Documentos de Trabajo sobre Economía Regional y Urbana, 169, pp.1-26.
Sheehan, C., Rogers, R., Williams, G. y Boardman, J., 2013, “Gender differences in the presence of drugs in violent deaths”. Addiction, 108(3), pp.547-55. http://dx.doi.org/10.1111/j.1360-0443.2012.04098.x
Treviño-Siller, S., Villanueva-Borbolla, M., Marcelino-Sandoval, Y. y Álvarez-Guillén, F., 2014, “Masculinidad, accidentes viales y políticas públicas”, en Figueroa, J.G. (editor) Políticas públicas y la experiencia de ser hombre. Paternidad, espacios laborales, salud y educación. Distrito Federal, México, El Colegio de México, pp.205-239.
WHO, 2017, Global Health Observatory Data Repository: WHO. World Health Organization, Disponible en: http://www.who.int/gho/database/en/ (Acceso 10/09/2017).
Xavier, N., Gomes, C., Nazareth, S., Alves, L. y Werner, J., 2006, “Suicide rates in the State of Rio Grande do Sul, Brazil: association with socioeconomic, cultural, and agricultural factors”. Cadernos de Saúde Coletiva, 22(12), pp. 2611-2621.
Yunes, J. y Zubarew, T., 1999, “Mortalidad por causas violentas en adolescentes y jóvenes: un desafío para la Región de las Américas”. Revista Brasileira de Epidemiologia, 2(3), pp.102-171. http://dx.doi.org/10.1590/S1415-790X1999000200002
Notas de autor