Artículos
Received: 04 March 2016
Accepted: 10 January 2017
DOI: https://doi.org/10.15446/rfna.v70n2.64522
ABSTRACT: The coffee seedling production quality is essential to ensure crop development in field. Thus, the objective of this study was to evaluate the effect of two substrates (cattle manure and filter cake) interacting with four levels of organic fertilizer with lithothanmium in coffee seedlings var. Lempira production. A completely randomized experimental design was used with factorial arrangement of treatments 5 x 2, five levels of lithothamnium (0, 1.75, 3.50, 5.25, and 7 kg m-3 of substrate), two substrates (cattle manure and filter cake) and three replicates. The variables evaluated were: plant height, number of leaves, stem diameter, and root length. The treatments produced significant effects on the initial development parameters of the coffee seedlings. The best results in plants grown were obtained in cattle manure substrate with 5.25 kg m-3 of lithothamnium, and decreased with levels higher than 1.75 kg m-3 of lithothanmium in filter cake substrate.
Keywords: Coffea arabica L., Filter cake, Cattle manure, Nursery, Fertilizing..
RESUMEN: La producción de plantas vigorosas constituye un requisito indispensable para garantizar el desarrollo de los cultivos en el campo definitivo. Así, el presente trabajo tuvo como objetivo evaluar el efecto de dos sustratos (estiércol de corral y torta de filtro) y cuatro dosis de fertilizante orgánico con lithothanmium en la producción de plántulas de café var. Lempira. Se utilizó un diseño experimental completamente al azar con arreglo factorial de los tratamientos 5 x 2: 5 doses de lithothanmium (0, 1,75, 3,50, 5,25 y 7 kg m-3 de sustrato), dos sustratos (estiércol de corral y torta de filtro) y tres repeticiones. Las variables evaluadas fueron: altura de la planta, número de hojas, diámetro de tallo y crecimento de raíz. Los tratamientos produjeron efectos significativos en los parámetros de desarrollo inicial de las plántulas de café. Los mejores resultados en plantas cultivadas se obtuvieron en el sustrato de estiércol con 5,25 kg m-3 de lithothamnium y disminuyeron con dosis superiores a 1,75 kg m-3 de lithothamnium en sustrato de torta de filtro.
Palabras clave: Coffea arabica L., Torta de filtro, Estiércol de corral Vivero, Fertilización..
In recent years, there has been a significant expansion of the market for organic products (Fibl and Ifoam, 2015). The socio cultural development of modern societies has led to the emergence of new consumption patterns in the food market (Rezende et al., 2010). The awareness of the need to preserve the environment and the growing demands for healthy and quality food have potentiated the organic-ecological production. The high cost of conventional agriculture has led several farmers to rethink their way of producing up to the use of innumerable sources of organic waste as alternatives to fertilization (Rezende et al., 2010).
The need for the coffee sector, to increase the productive efficiency accompanied by reduction of costs of production, for greater competitiveness, causes that the necessity arises to look for new alternatives of production.
It is known that the production of coffee quality seedlings is an important factor, and even limiting the crop productivity. The evaluation of the seedlings quality in the nursery can be a tool to identify their adequate development and if they are healthy with the maximum potential for survival after the transplant to the field (Amaral et al., 2011). Among the factors that interfere in the production of quality seedlings, the substrate and fertilization, can affect the seedlings growth and development, both in the nursery and in the implantation of field crops (Marcuzzo et al., 2005).
Thus, it is fundamental to select the best substrate and fertilization for the optimal seedlings development, especially in the root system development. Although the coffee root system has its developmental characteristics linked primarily to plant genetics, other factors can also modify its spatial distribution, such as soil moisture and the availability of nutrients (Souza et al., 2013).
The search for new agricultural inputs is of great importance for agriculture and environmental sustainability (Evangelista et al., 2013). Thus, it is important to know the effects of organic fertilizers on the availability of nutrients to plants, such as filter cake and lithothanmium. The filter cake is a residue composed of the mixture of ground sugarcane bagasse and sludge from the decantation, being derived from the sugar clarification process. In each ton of sugarcane, 30 kg to 40 kg of filter cake are produced. It is an organic compound rich in calcium, nitrogen and potassium, with a variable composition, depending on the sugarcane variety and its maturity (González et al., 2014). However, lithothanmium is a product derived from calcareous marine algae, which contains calcium carbonate, magnesium and even more than 20 microelements present in varying amounts, such as Fe, Mn, B, Ni, Cu, Zn, Mo, Se. The main characteristics that potentiate the performance of this product are attributed to the availability of the micronutrients that are adsorbed on the cell walls, being thus easily assimilable by plants and animals and the high porosity of the algae (> 40%), which provides a greater specific surface of action in soil (Dias, 2000).
The use of limestone algae (Lithothanmium), applied in a consortium with filter cake increases the availability of nutrients to the plants, due to the pH correction and the activation of the autotrophic bacteria development responsible for the nitrification process (Oliveira et al., 2009). Studies carried out with this product have shown good results in the formation of yellow passion fruit and papaya seedlings (Mendoça et al., 2006; Hafle et al., 2009), ‘Cleopatra’ tangerine tree (Cruz et al., 2008) and ‘Swingle’ citrumelo development (Araújo et al., 2007). However, little is known about the application of Lithothanmium in the production of coffee seedlings.
The objective of this study was to evaluate the effect of two substrates (cattle manure and filter cake) interacting with four levels of organic fertilizer with lithothanmium in coffee seedlings production.
MATERIALS AND METHODS
The work was developed in the experimental area of the School of Agronomy, Federal University of Goiás (UFG), located in the geographical coordinates of 16° 35’ South and 49° 16’ West and 722 m elevation.
Two types of substrates were tested and five lithothamnium levels. Substrates: (i) conventional substrate composed by ravine soil classified as Oxisol, decomposed cattle manure and sand in proportions: 3:1:1 (weight/weight), adding 1 kg of superphosphate, 3 kg of potassium chloride and 2 kg of limestone per m3 of substrate; (ii) alternative substrate composed by ravine soil, filter cake, in proportions of 4:1 (weight/weight), adding 1 kg of superphosphate, 3 kg of potassium chloride and 2 kg of limestone for m3 of substrate.
The experimental design was completely randomized, with treatments in factorial arrangement 5 x 2, five lithothamnium levels (0, 1.75, 3.50, 5.25 and 7 kg m-3 of substrate), two substrates (x and y) and three replicates.
Soil and filter cake physical and chemical attributes are shown in Tables 1 and 2, respectively.


The seedlings were grown in plastic bags with 0.20 m high, 0.11 m wide and 0.07 m diameter, and were placed under a screen of 50% shading to avoid sunburn from excess insolation. The irrigation was performed daily to maintain soil moisture in field capacity.
The plants morphological characteristics were evaluated monthly from July to November 2015: plant height, leaf number, stem diameter, substrate saline activity, and root length. After 120 days the plants were removed from the bags. Both plant height and root length were measured as soon as they were cut and separated.
Statistical analyzes were performed using SISVAR 3.01 software. Polynomial regression analyzes were applied for fertilization levels, and deriving the equations, the best fertilization level were determined to obtain the maximum growth of coffee seedlings. And, it was use Tukey test (P>0.05) to substrates.
RESULTS AND DISCUSSION
The results of the statistical analysis are presented in Table 3. It is observed that the plant height was influenced by both substrate and organic fertilization (lithothanmium) levels. The root length and saline soil activity were not influenced by the substrate, but by interaction substractes and lithothamnium levels. The stem diameter and number of leaves were not influenced by the treatments.

Coffee seedlings that were planted with cattle manure had higher plant height than with filter cake (Figure 1).

Braun et al. (2009) found similar results.The authors report that the mean values of plant height produced with cattle manure were higher than with commercial substrate (Plantmax®) + soil. This result is probably due to the greater amount of organic material added in the substrate, which can improve infiltration, water retention, aeration, temperature and root penetration (Oliveira et al., 2009).
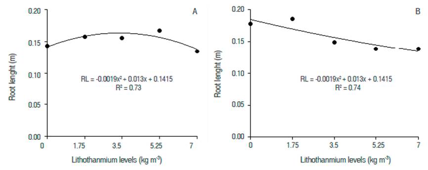
A quadratic function was better fitted to lihothamnium levels in the cattle manure substrate, and linear function for the filter cake substrate (Figure 2). The maximum root length of coffee seedlings was obtained in treatment with filter cake fertilized with 1.75 kg of lithothamnium per m-3 of substrate. The fertilization with levels higher than 1.75 kg of lithothamnium per m-3 of substrate reduced root length. While in cattle manure the maximum root length was with 5.25 kg m-3 of lithothanmium reducing at higher levels. According to Evangelista et al. (2015) high levels of lithothamnium cause negative effect on plant growth, due to the increase in pH of the soil and inhibition of nutrient absorption by plants. This can be justified by the possibility that the micronutrients present in lithothanmium, interacting with phosphorus and nitrogen in the filter cake, are given gradually by mineralization and attack of microorganisms in the soil, which causes greater efficiency by the plant (Santos et al., 2010).This may probably be due to smaller doses of lithothanmium, interacting with the phosphorus and the existing nitrogen in the filter cake, are slowly mineralized by the attack of microorganisms in the soil, which causes greater efficiency by the plant (Santos et al., 2010). It is suggested that the application of bioclastic granulate be made along with organic matter, once organic matter enhances chemical and physical properties of the soil (Damatto et al., 2006) in addition to having nutrients in its composition, which are best provided with the application of grained bioclastic (Days, 2000), favoring the coffee growth. Teixeira et al. (2015) and Mendoça et al. (2006) also evaluate the effect of application of lithothamnium levels and types of substrate on production of Carica papaya L. They found that high levels of this fertilizer had negative effects in the, and the authors attributed to a possible toxicity of the substrate.

CONCLUSIONS
The treatments produced significant effects on the initial development parameters of the coffee seedlings. The best results in plants grown were obtained in cattle manure substrate with 5.25 kg m-3 of lithothamnium, and decreased with levels higher than 1.75 kg m-3 of lithothanmium in filter cake substrate.
REFERENCES
Amaral J, Martinez H, Laviola B, Fernandez E and Cruz C. 2011. Eficiência de utilização de nutrientes por cultivares de cafeeiro. Ciência Rural 41(2): 621-629. doi: 10.1590/S0103-84782011005000027
Araújo E, Oliveira A, Cavalcante L, Pereira E, Brito N, Neves C and Silva E. 2007. Produção do pimentão adubado com esterco bovino e biofertilizante. Engenharia Agrícola e Ambiental 11(5): 466-470. doi: 10.1590/S1415-43662007000500003
Braun H, Henrique Zonta J, Soares J, Fialho E and Paulucio D. 2009. Desenvolvimento inicial do café conillon (coffea canephora pierre) em solos de diferentes texturas com mudas produzidas en diferentes substratos. Idesia 27(3): 35-40. doi: 10.4067/S0718-34292009000300006
Cruz M, Hafle M and Ramos P. 2008. Desenvolvimento do porta-enxerto de tangerineira "Cleópatra". Revista Brasileira de Fruticultura 30(2): 471-475. doi: 10.1590/S0100-29452008000200035
Dias G, 2000. Granulados bioclásticos: algas calcárias. Revista Brasileira de Geofísica 18(3): 308-318. doi: 10.1590/S0102-261X2000000300008
Evangelista A, Júnior J and Melo P. 2013. Resposta do cafeeiro à aplicação de níveis de irrigação e adubação com Alfertil. Revista Brasileira de Engenharia Agrícola e Ambiental 17(4): 392-396. doi: 10.1590/S1415-43662013000400006
Evangelista A, Alves J, Casaroli D and Resende F. 2015 Desenvolvimento inicial da mamoneira, girassol e nabo forrageiro adubados com Lithothamnium. Global Sciene and Technology 8(2): 40-48. doi: 10.14688/1984-3801/gst.v8n2p40-48
Fibl and Ifoam- Institute of Organic Agriculture-International Foundation for Organic Agriculture. En: The World of Organic Agriculture; En: The World of Organic Agriculture; https://www.fibl.org/fileadmin/documents/shop/1663-or ganic-world-2015.pdf. 306 p. consulta: junio 2016.
González C, Prado M, Hernández A, Caione G and Selva E. 2014. Uso de torta de filtro enriquecida com fosfato natural e biofertilizantes em Latossolo Vermelho distrófico. Revista Pesquisa Agropecuaria Tropical 44(2): 135-141. doi: 10.1590/S1983-40632014000200001
Hafle O, Andrade V, Ramos J, Monterio M and Melo P. 2009. Produção de mudas de mamoeiro utilizando Bokashi e Lithothamnium. Revista Brasileira de Fruticultura 31(1): 245-251. doi: 10.1590/S0100-29452009000100034
Marcuzzo K, Melo B, Carvalho H, Teodoro E and Alvarenga B. 2005. Desenvolvimento de mudas de cafeeiro em diferentes substratos e doses de fertilizante de liberaçao gradual. Bioscience Jornal, 21(57): 57-63.
Mendoça V, Orbes M, Arruda N, Ramos J, Teixeira G and Antunes H. 2006. Qualidade de mudas de maracujazeiro-amarelo formadas em substratos com diferentes níveis de Lithothamnium. Ciência Agrotecnica 30(5): 900-906. doi: 10.1590/S1413-70542006000500012
Oliveira A, Oliveira A, Leonardo P, Cruz S and Silva D. 2009. Yield of gherkin in response to doses of bovine manure. Revista Horticultura Brasileira 27(1): 100-102. doi: 10.1590/S0102-05362009000100020
Rezende R, Junior C, Souza R, Antunes F and Frizzone J. 2010. Crescimento inicial de duas cultivares de cafeeiro em diferentes regimenes hídricos e dosagens de fertirrigaçao. Revista Engenharia Agrícola 30(3): 447-458. doi: 10.1590/S0100-69162010000300009
Santos H,Tiritan S, Foloni S and Fabris L. 2010. Produtividade de cana-de-açúcar sob adubação com torta de filtro enriquecida com fosfato solúvel. Pesquisa Agropecuaria Tropical 40(4): 454-461. doi: 10.5216/pat.v40i4.7272
Souza R, Helbel Júnior C, Rezende R, Costa A, Freitas P, Tavore V and Maller A. 2013. Características de crescimento inicial de duas cultivares de cafeeiro sob diferentes regimes hídricos e níveis de fertilização NPK. Revista Semina 34(6): 3141. doi: 10.5433/1679-0359.2013v34n6supl1p3141
Teixeira G, Souza H, Mendonça V, Ramos D, Chalfun J, Ferreira A and Melo P. 2015. Produção de mudas de mamoeiro "formosa" em substratos com doses de lithothamnium. Revista da FZVA 16(2): 220-229.