ARTÍCULOS
Nuevas normas semánticas y de tiempos de latencia para un set de 400 dibujos en español1
New semantic and latency times norms for a 400 pictures set in spanish
Nuevas normas semánticas y de tiempos de latencia para un set de 400 dibujos en español1
Interdisciplinaria, vol. 32, núm. 2, pp. 289-305, 2015
Centro Interamericano de Investigaciones Psicológicas y Ciencias Afines
Recepción: 02 Diciembre 2014
Aprobación: 01 Junio 2015
Resumen: La utilización de estímulos pictóricos en la investigación básica y clínica puso de manifiesto la necesidad de disponer de material con normas pictóricas, lingüísticas y semánticas adecuadas a cada población. El objetivo del estudio que se informa es presentar los tiempos de latencia obtenidos a partir de una tarea de denominación con tiempos de reacción utilizando el Programa DMDX para el set de estímulos desarrollados por Cycowicz y colaboradores (1997). Dentro de este corpus se incluyen los 260 dibujos desarrollados por Snodgrass y Vanderwart (1980). Asimismo se obtuvieron nuevas normas léxico-semánticas a fin de ampliar los datos previamente recolectados de la población argentina, por Manoiloff y colaboradores (2010). Se recabaron datos de las variables de frecuencia léxica subjetiva, imaginabilidad, concretud, familiaridad conceptual, familiaridad visual, familiaridad funcional, tipicalidad, idea asociada y categoría semántica. Estos datos se adquirieron mediante una escala de diferencial semántico. Asimismo se obtuvo información de acuerdo en el nombre y porcentaje del nombre más frecuente. Además, los tiempos de latencia de la población estudiada se contrastaron con los de España (Cuetos, Ellis & Alvarez, 1999). Por último, y teniendo en cuenta que frecuentemente los sets pictóricos que se han desarrollado se utilizan también en la evaluación y tratamiento de pacientes con lesiones cerebrales adquiridas, se compararon los estímulos pertenecientes a los dominios de seres vivos y objetos inanimados a fin de identificar posibles diferencias entre dominios en las principales variables léxico-semánticas. Se espera que estos datos sean útiles para la selección de estímulos tanto para la práctica clínica como para futuras investigaciones.
Palabras clave: Normas, Español, Denominación, Tiempos de latencia, Dibujos.
Abstract:
Many parameters such as visual recognition, access to the concept or recovery the phonological format of a word influence different stages of the oral naming. Basic and clinical research showed the requirement of using the same pictorial stimuli for each culture. Nevertheless, pictorial stimuli may vary in visual complexity, image agreement, etc., semantic (conceptual familiarity, age of acquisition, image ability, concreteness, etc.) and linguistic norms (naming agreement, lexical frequency) in each different culture. Adaptation and standardization of pictorial stimuli are a critical issue since they are useful in research with healthy subjects (Psycholinguistic and Cognitive Psychology) as well as in studies of patients with acquired brain injuries (Neuropsychology and Neurolinguistic). In recent years, many researchers developed and adapted their own set to their socio-linguistic environment. However, the variability in the stimuli used makes difficult the comparison of the results reached (Alario & Ferrand, 1999). Snodgrass and Vanderwart (1980) developed the first corpus of pictorial stimuli. This corpus is composed by 260 drawings in black and white and they are standardized according to four variables: name agreement, image agreement, conceptual familiarity and visual complexity. have obtained certain variables for the pictorial stimuli developed by Manoiloff, Artstein, Canavoso, Fernández, & Seguí (2010) Cycowicz, Friedamn, Tothstein, & Snodgrass (1997) for our population. The material includes Snodgrass and Vanderwart's pictorial set (1980). They recollected data from seven variables: name agreement, image agreement, visual complexity, conceptual familiarity, image variability, age of acquisition and associated word. In this study we have three aims. The first one is to expand the normative data obtained by Manoiloff and colaborators (2010) by adding other lexical-semantic variables of importance in cognitive processing variables. In this study we included the subjective lexical frequency, image ability, concreteness, conceptual, visual and functional familiarity, typicality and semantic category. Second, we aim to obtain naming agreement (H and %NA) with a reaction time paradigm in order to compare our results with those obtained by Manoiloff and colaborators (2010). To administrate the task DMDX Program (Forster, K. I. & Forster, J. C., 2003) was used and all the responses were checked and classified using Check Vocal (Proto papas, 2007). The naming agreement of our population (H and %NA) was compared with the dates obtained by Manoiloff and colaborators (2010). Latency times were compared with the latency time for Spain (Cuetos, Ellis, & Alvarez, 1999). Spanish participants require less time to activate pictures names. This difference may be product of the design of the task, the stimuli used or because possible differences in the samples evaluated. Finally, taking in account that Bunn, Tyler, and Moss (1998) have reported that in the Snodgrass and Vanderwart´s pictures set (1980) the living things have less familiarity that inanimate objects, we compare the main semantic domains (living things and inanimate objects) in the most important lexical and semantic variables: visual complexity, conceptual familiarity, subjective lexical frequency, image ability, etc. In the data we obtained from the name agreement variable: H and %NA indexes (H and %NA). Both variables differ from Manoiloff´s data. When participants have a restricted time in oral naming, as in this study, they answered with less precision, thus obtaining higher values in H. The same result was observed when comparing the %NA. The outcomes show that this stimuli set has high image ability, concreteness and familiarity. Moreover, these results show that living things require more time for oral naming. The words that represent inanimate objects have more lexical frequency, are more familiar visually and functionally and also have more conceptual familiarity. In the concreteness variable the inanimate objects are more concrete than living things. And in the image ability variable, living things and inanimate objects are similar. These variables are also high correlated.
Key words: Spanish, Picture naming, Latency times, Pictures.
Ciertos parámetros influyen en diferentes estadíos de la denominación como por ejemplo, el reconocimiento visual, el acceso al concepto o la recuperación de la palabra. En esto se fundamenta la necesidad de obtener normas pictóricas (complejidad visual, concordancia en la imagen, etc.), lingüísticas (acuerdo en el nombre, frecuencia léxica, etc.) y semánticas (familiaridad, edad de adquisición, etc.).
En los últimos años muchos investigadores desarrollaron su propio set y lo adaptaron para su medio socio-lingüístico. No obstante, la variabilidad en los estímulos hace que los resultados no puedan ser comparados (Alario & Ferrand, 1999). Es por esto que es fundamental la adaptación y normatización del corpus a cada población.
Snodgrass y Vanderwart (1980) fueron los primeros en elaborar un corpus de dibujos y estandarizarlo. Estos datos se obtuvieron de una población estadounidense de adultos jóvenes. Posteriormente se recogieron en otras lenguas: inglés (Barry, Morrison & Ellis, 1997), alemán (Martein, 1995), español peninsular (Cuetos, Ellis & Alvarez, 1999; Sanfeliu & Fernández, 1996), español de México (Aveleyra, Gómez, Ostrosky, Rigalt & Cruz, 1996; Bates et al., 2003) y español de Cuba (Manzano, Piñeiro & Reigosa, 1997).
La adaptación de este primer material (Snodgrass & Vanderwart, 1980) a distintas lenguas mostró diferencias interculturales y puso de manifiesto la necesidad de estandarizar los estímulos para cada población lingüística y socio-cultural (Manoiloff, Artstein, Canavoso, Fernández & Seguí, 2010). Incluso entre hablantes de una misma lengua es posible encontrar disparidades por la cantidad de dialectos que se utilizan (Pérez & Navalón, 2003).
Otro dato de importancia son los tiempos de latencia (TL) requeridos para denominar; Snodgrass y Yuditsky (1996) los obtuvieron en la población estadounidense y constataron que los nombres son similares cuando se denominan en forma oral o escrita. Hasta la actualidad se publicaron TL para el inglés de Inglaterra (Ellis & Morrison, 1988), el español peninsular (Cuetos et al., 1999), el italiano (Dell'Acqua, Lotto & Job, 2000) y el francés (Alario et al., 2004; Bonin, Peereman, Malardier, Méot & Chalard, 2003). Esta información permite conocer cuáles son los estímulos, que a pesar de activar un nombre correcto, requieren mayores tiempos.
Una investigación estableció en lengua inglesa, además de los TL, la cantidad de estímulos que podían evaluarse en una única sesión (Székely et al., 2003). Para esto, compararon las respuestas obtenidas con un paradigma de tiempo libre y otro con restricción (3000 ms.). Los participantes nombraron la totalidad de los dibujos (520) en una única sesión de 45-50 minutos, con algunos intervalos de descanso. Al comparar los nombres obtenidos en este paradigma con los previamente publicados no encontraron diferencias que pudieran explicarse por restricciones de tiempo ni cantidad de estímulos.
En lo que respecta al español de Argentina, Manoiloff y colaboradores (2010) estandarizaron el material de Cycowicz, Friedman, Rothstein y Snodgrass (1997) en los que se incluyen los dibujos de Snodgrass y Vanderwart (1980). Los autores recabaron datos de siete variables: acuerdo en el nombre (nombre del dibujo en relación con la imagen dada), acuerdo en la imagen (concordancia entre una imagen mental de un objeto y su representación pictórica), familiaridad conceptual (frecuencia con la que se está en contacto o se piensa en un objeto), complejidad visual (cantidad de líneas y detalles que componen el dibujo), variabilidad en la imagen (cantidad de imágenes posibles para un mismo concepto), edad de adquisición (edad aproximada en la que se adquiere el concepto) y palabra asociada (frecuencia con la que una palabra se asocia con otra).
Una actividad cotidiana, como activar la palabra que se corresponde con aquello que estamos observando, requiere múltiples procesos: (1) reconocer lo que vemos, (2) acceder al significado, (3) recuperar la etiqueta léxica y (4) articular la palabra. Es decir, para denominar un dibujo se lo debe reconocer (información visual almacenada en una memoria de largo plazo: el sistema de descripción estructural). Con posterioridad se recuperará el significado de la memoria semántica (MS) y finalmente, la palabra que representa el concepto se activará desde el léxico de salida del habla. Cada variable influye diferencialmente en alguno de los niveles de procesamiento. Así, por ejemplo, la complejidad visual lo hará a nivel del sistema de descripción estructural en tanto que la familiaridad en la MS.
La MS es un almacén a largo plazo que guarda el significado de las palabras, los objetos y del mundo en general (Hodges & Patterson, 1997) y puede afectarse en forma selectiva. Los déficit de categoría específica se manifiestan en algunos pacientes luego de una lesión cerebral. Las dificultades se restringen al procesamiento de alguna categoría semántica (por ejemplo, animales), en tanto que otras (por ejemplo, herramientas) se conservan (Warrington & McCarthy, 1983; Warrington & Shallice, 1984).
Además de la familiaridad hay otras variables semánticas muy importantes. Desde la investigación de Warrington (1975) quedó de manifiesto que el procesamiento de seres vivos (SV) y objetos inanimados (OI) es disímil. Así, por ejemplo, las palabras que representan a los SV y a los OI difieren en frecuencia léxica (Warrington & McCarthy, 1983), familiaridad (Funnell & Sheridan, 1992) y edad de adquisición (Morrison, Ellis & Quinlan, 1992). Asimismo, los dibujos que los representan varían en complejidad visual (Laws, 2000).
La frecuencia léxica se describe como la frecuencia con la que estamos en contacto con las palabras. Es una variable léxica e indica que algunas palabras serán más frecuentes que otras, es decir, las escucharemos, leeremos o produciremos más cotidianamente que otras (Barca, Burani & Arduino, 2002). Las palabras de alta frecuencia son más fácilmente evocadas que las de baja frecuencia (Oldfield & Wingfield, 1965). La frecuencia puede ser obtenida de manera objetiva (aparición en muestras de habla de diferentes sujetos) o subjetiva (valoración de cada hablante del uso que realiza de esa palabra). Los diccionarios de frecuencias (medición objetiva) sólo están disponibles en algunas lenguas y además, para algunos dialectos.
La imaginabilidad (IMA) es una variable semántica que se refiere a la facilidad con la que una palabra genera una imagen mental (Barca et al., 2002; Paivio, Yuille & Madigan, 1968).
La concretud (CO) también es una variable semántica que indica si las palabras representan conceptos concretos o abstractos. Los conceptos concretos pueden ser percibidos por medio de los sentidos, en tanto que los abstractos no (Barca et al., 2002; Paivio et al., 1968). En general, los conceptos concretos son altamente imaginables y viceversa.
La familiaridad refiere a la cotidianeidad con la que pensamos o estamos en contacto con determinado concepto. Hay objetos que son muy familiares como una taza puesto que todos los días los vemos y los usamos. Otros, en cambio, no son tan familiares a pesar de que los conocemos como ocurre con un formón. Esto mismo sucede con los animales, hay algunos que son muy familiares como los perros o los gatos, y otros que, aunque conocidos, son poco familiares como el ornitorrinco. Algunos estudios identificaron que los dibujos que representan objetos más familiares son denominados más rápidamente (Cuetos et al., 1999; Snodgrass & Yuditsky, 1996). Este concepto fue inicialmente entendido como una entidad única, aunque con posterioridad Laws (1999) identificó tres tipos de familiaridades: conceptual (FC), visual (FV) y funcional (FF). De esta forma, el contacto diario que tenemos o creemos tener con un objeto diferirá si sólo refiere a la cotidianeidad con la que lo pensamos (FC), lo vemos (FV) o lo utilizamos (FF).
La tipicalidad o tipicidad (TI) es otra variable de relevancia semántica. Dentro de una misma categoría semántica no todos los ejemplares se activan con la misma rapidez. Aquellos que se recuperan con mayor frecuencia son los más típicos, en tanto los que solo aparecen unas pocas veces son atípicos. Por ejemplo, dentro de la categoría de frutas, banana es un ejemplar típico puesto que se piensa en él cuando se solicita decir una fruta, mientras que zapallo es atípico, dado que se activa tardíamente o no se activa y es además un ejemplar frecuente dentro de las verduras (Rosch, 1973).
Teniendo en cuenta las variables previamente mencionadas, los objetivos para realizar el trabajo que se informa fueron tres: En primer lugar, ampliar los datos normativos obtenidos por Manoiloff y colaboradores (2010) adicionando el estudio de otras variables léxico-semánticas de importancia teórica en el procesamiento cognitivo. Las variables aún no estudiadas e incluidas en la investigación son las siguentes: Frecuencia léxica subjetiva (FLS), Imaginabilidad (IMA), Concretud (CO), Familiaridad visual (FV), Familiaridad funcional (FF),Tipicalidad (TI) y Categoría semántica (CAT). Asimismo, al igual que en el trabajo previo de Manoiloff y colaboradores (2010), se recabó información acerca de las variables Familiaridad conceptual (FC) e Idea asociada (IA).
En segundo lugar, se obtuvieron los tiempos de latencia (TL) a partir de una tarea de Denominación computarizada. Estos nombres se compararon con los publicados por Manoiloff y colaboradores (2010) a fin de validar el paradigma utilizado. Asimismo, se compararon los TL con los previamente recabados por Cuetos, Ellis y Álvarez (1999) para un set de los estímulos evaluados para la población española.
Y por último, un objetivo más teórico fue comparar los principales dominios semánticos (SV vs. OI) en función de las principales variables léxico-semánticas. Esta información permitirá conocer posibles diferencias entre los estímulos de ambos dominios semánticos.
Método
Participantes
Participaron 341 alumnos universitarios, con una edad promedio igual a 23.05 años (DE = 5.73). Todos eran hablantes nativos del español, sin antecedentes psiquiátricos ni neurológicos y sin problemas visuales en el momento de la evaluación. Cada sujeto colaboró sólo en la clasificación de una única variable o en la tarea de denominación. La muestra se dividió en 10 grupos según las tareas a realizar: en la de Denominación participaron 48 alumnos, 36 en la de Frecuencia léxica subjetiva, 36 en la de Imaginabilidad, 35 en la de Concretud, 92 en las de Familiaridad (32 en la de Familiaridad conceptual, 36 en la de Familiaridad visual y 24 en la de Familiaridad funcional), 30 en la de Tipicalidad, 36 en la de Categorización semántica y 56 en la de Idea asociada.
Materiales y procedimiento
Se seleccionó el set de dibujos de Cycowicz y colaboradores (1997).
Inicialmente se administró la tarea de Denominación computarizada en forma individual. Se diseñó con el programa DMDX (Forster, K. I. & Forster, J. C., 2003) a fin de registrar las respuestas y los tiempos de inicio de la voz. Al igual que en el diseño de Székely y colaboradores (2003), los participantes respondieron la totalidad de los estímulos en una única sesión con una duración de 40-45 minutos. Las respuestas y los TL se chequearon con el programa Checkvocal (Protopapas, 2007).
Además de la información acerca de los TL necesarios para la Denominación esta tarea es un indicador de importancia para la investigación que es el Acuerdo en el nombre (AN). El AN permite saber la cantidad de veces que se activa determinada palabra frente a un dibujo específico.
El diseño de la tarea era el siguiente: luego de la presentación de un punto de fijación (*) por 400 ms., el sujeto veía cada dibujo durante un período de 800 ms. Posteriormente se presentaba por 4000 ms. una pantalla en blanco, tiempo durante el cual el participante debía denominar. Los estímulos se aleatorizaron en cuatro bloques de 100 estímulos,contrabalanceados en función de fonema inicial. Cada 100 estímulos, los sujetos tenían un descanso. La consigna era la siguiente: "Debés decir el nombre en voz alta lo más rápido que puedas, pero sin equivocarte". Se les indicaba que no debían toser, hacer ruidos o iniciar la denominación con un artículo. El micrófono se calibró en función de la voz de cada sujeto a fin de poder detectar el umbral de la voz. Para esto se utilizó una lista de 10 palabras que debían leer en voz alta.
El resto de las escalas se administró a grupos de alumnos universitarios previamente seleccionados. Cada sujeto participó en la clasificación de una única variable. Para las variables de Frecuencia léxica subjetiva (FLS), Imaginabilidad (IMA), Concretud (CO), Familiaridad conceptual (FC), Familiaridad visual (FV), Familiaridad funcional (FF), Categoría semántica (CS) e Idea asociada (IA) se presentaron los 400 estímulos divididos en dos sesiones diferentes, de manera tal que debían puntuar 200 estímulos por vez, evitando así omisiones de respuestas o errores debidos a una posible fatiga. Se mantuvo el orden de estímulos de Manoiloff y colaboradores (2010).
Las instrucciones se dieron oralmente, al tiempo que los sujetos recibían un cuadernillo con los estímulos y las instrucciones. En cada cuadernillo y junto a cada palabra o dibujo se presentaba una escala de 1 a 5 (FLS, IMA, CO, FC, FV, FF y TI). En las tareas de CAT e IA un espacio destinado a volcar la respuesta se presentaba al lado de cada dibujo (CAT) o palabra (IA).
Para los índices de FLS, IMA, FV, FF, CO y TI se utilizó el nombre dominante dado por los sujetos en la tarea de Denominación de dibujos. El método que se siguió para recolectar los datos, similar al utilizado por Snodgrass y Vanderwart (1980), fue el de diferencial semántico (Hernández Sampieri, Fernández Collado & Baptista Lucio, 2008). Para cada variable se diseñó un cuadernillo diferente en el que se presentaba la consiga y ejemplos. Los participantes debían juzgar con una escala de 1 a 5, cada uno de los 400 ítemes.
Para la variable Frecuencia léxica subjetiva debían juzgar cuán familiar era cada palabra en función de una escala que se extendía de 1 (Muy extraña) a 5 (Muy familiar). Si no conocían la palabra debían anotar NCP (no conoce palabra). La consigna fue la siguiente: "Tu tarea consiste en evaluar con qué frecuencia estás en contacto o pensás en cada una de estas palabras. Tené en cuenta que '1' implica que es Muy poco familiar y '5' que es Muy familiar". Debían realizar un círculo alrededor del número que consideraban más acorde a su juicio.
En la Escala de Imaginabilidad debían estimar si las palabras activaban una imagen mental rápidamente o no, siendo 1: Muy poco imaginable y 5: Muy imaginable. Al igual que en la escala anterior, la opción NCP indicaba que la palabra no era conocida. La consigna era la siguiente: "Tu tarea consiste en evaluar si las palabras difieren en su capacidad de generar imágenes mentales de objetos o eventos".
Para la Escala de Concretud las respuestas se extendían de 1 (Muy abstracto) a 5 (Muy concreto). En caso de desconocer el dibujo marcaban la opción NCO. En esta escala la consigna era: "Las palabras que refieren a objetos, seres vivos, acciones y materiales pueden ser experimentadas por medio de los sentidos y son consideradas 'concretas'. Las palabras que se refieren a conceptos a los que no se puede acceder a través de los sentidos son consideradas 'abstractas'. Tu tarea consiste en puntuar cada palabra en función de su grado de concretud o abstracción."
Para Familiaridad conceptual debían estimar con qué frecuencia pensaban en cada estímulo. En la de Familiaridad visual debían estimar el contacto diario visual con cada estímulo. Para la de Familiaridad funcional debían estimar el contacto diario funcional con los distintos ítemes. Las escalas para evaluarse extendían de 1 (Muy poco familiar) a 5 (Muy familiar). La opción NCO indicaba que el objeto era desconocido. La consigna era la siguiente: "Tu tarea consiste en evaluar el grado de familiaridad (el contacto diario, el contacto visual o el contacto funcional) que tenés con un objeto en tu vida cotidiana".
Para la evaluación de Categoría semántica (CAT) indicaban la categoría semántica del ítem. Del total de respuestas, se clasificó la palabra dentro la categoría señalada por la mayoría. La consigna era: "Los dibujos que se presentan a continuación pertenecen a diferentes categorías semánticas. Así por ejemplo, un kiwi pertenecería a la categoría de fruta. Tu tarea consiste en clasificar cada dibujo dentro de una categoría semántica".
Con posterioridad a la categorización se administró la Escala de Tipicalidad (TI) en la que debían puntuar cada palabra en función de cuán típica o atípica era, dentro de una determinada categoría semántica de 1 (Muy atípico) a 5 (Muy típico). La consigna era: "Verás una lista de palabras pertenecientes a categorías semánticas diferentes. Tu tarea consiste en puntuar cada palabra en funciónde cuán típica o atípica es dentro de la categoría a la cual pertenece. En otras palabras, debés decidir para cada palabra si es un buen o mal ejemplar de la categoría".
Para el índice de Idea asociada (IA) respondían a cada palabra con la primera que viniera a su mente. Al igual que en el trabajo de Fernández, Diez, Alonso y Beato (2004) las palabras se presentaron escritas. La consigna fue: "Tu tarea consiste en escribir la primera palabra en la que pensás, que viene a tu mente al leer la palabra que se presenta escrita".
Resultados
Datos normativos para las variables léxico-semánticas
Los análisis difieren en relación con el tipo de escala provista a los sujetos. Los resultados de seis escalas fueron numéricos (Frecuencia léxica subjetiva, Familiaridad conceptual, visual y funcional, Concretud e Imaginabilidad) y otros dos nominales (Categoría semántica e Índice de asociación semántica). Un procesamiento diferente se realizó con la Tarea de Denominación de dibujos.
La Escala de Tipicidad se administró con un número menor de estímulos, sólo con los que fueron clasificados dentro de alguna de las principales categorías.
Con el propósito de obtener datos normativos para el español rioplatense en un set de 400 estímulos para las variables de FLS, IMA, FV, FF, FC, CON, IA y TL, inicialmente se analizaron las distribuciones de las variables. Luego se realizó un análisis de correlaciones (r de Pearson). Por último, se compararon los nombres obtenidos en esta muestra de participantes con los de Manoiloff y colaboradores (2010).
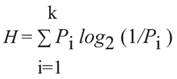
La Tarea de Denominación de dibujos permite obtener dos medidas de acuerdo en el nombre (AN): (a) el porcentaje de participantes que utilizaron el nombre dominante para cada dibujo (porcentaje del nombre más frecuente) y (b) el índice H. Esta información se computa para cada uno de los dibujos en función de la siguiente fórmula (Snodgrass & Vanderwart, 1980):

donde k es la cantidad de nombres dados para un mismo dibujo y Pi es la proporción de participantes que dieron cada nombre. Así, un porcentaje mayor implica un mayor acuerdo. Sin embargo en lo que respecta al índice H, un valor menor refiere a un mayor acuerdo. Si todos los participantes contestan con el mismo nombre en ese caso, el valor de H será igual a 0, valores más altos de H son indicadores de los diferentes nombres utilizados para un mismo dibujo. Por ejemplo, en el caso del dibujo de un búho, el k = 2 refiere a los dos nombres utilizados frente al dibujo (búho-lechuza) y Pi es el número de sujetos que denominaron el dibujo. El valor H permite obtener información más precisa que el porcentaje de acuerdo. Puede ocurrir que dos dibujos hayan sido denominados en forma correcta por un mismo porcentaje de sujetos (80%), pero que en un caso siempre se utilizara la misma palabra mientras que para el otro dibujo los sujetos seleccionaran entre tres nombres posibles. En este caso, aunque el porcentaje de acuerdo sea el mismo, el H será diferente en ambos casos, siendo siempre un H menor lo que indicará un mayor acuerdo.
Para el cálculo del índice H no se computan omisiones de respuesta. En la distribución se observa que sólo 84 dibujos obtienen un valor de H igual a 0, es decir un acuerdo perfecto en la denominación (21% del total de los dibujos). En lo que respecta al porcentaje del nombre más frecuente (%NMF) se observan una media igual a 81.13% y un desvío estándar igual a 20.32.
Las respuestas dadas se clasificaron como correctas o erróneas. Dentro de las correctas se aceptaron los distintos nombres para los dibujos en caso de sinónimos (por ejemplo: lechuza - búho), palabras relacionadas morfológicamente (koala - koalas, uva - uvas), como así también aquellas palabras dadas por más de un 30% de los sujetos de la muestra ante un mismo dibujo (camisa, frente al dibujo de una campera).
Los dibujos con mayor porcentaje de omisión fueron: bomba de agua (77.08%), zapallo (77.08%), ril de pesca (64.58%), calibrador (62.50%), ornitorrinco (58.33), rastrillo (pelapapas) (56.25%), azada (52.08), alce (54.17%), flipper (52.08%), veleta (52.08%), espárrago (52.08%) y armadillo (50%). Los resultados de AN no se informan por razones de espacio2.
Teniendo en cuenta que los errores pueden proveer información importante en lo que respecta al proceso de denominación, se analizaron también las respuestas incorrectas. Los errores sumaron un total de 1.247 respuestas y siguiendo la metodología utilizada por Cycowicz y colaboradores (1997) se clasificaron en dos grandes categorías: los errores conceptuales, cuando el nombre dado indicaba dificultades en el acceso a la categoría semántica. Estos podrían originarse en dificultades para el reconocimiento del dibujo (por ejemplo, cuando se recupera la etiqueta léxica de ladrillo por arco o puerta por armario). Los errores semánticos se presentaban cuando el sujeto reconocía al objeto y fallaba al dar el nombre apropiado. Las posibilidades dentro de los errores semánticos se clasifican en: (a) superordinado: categoría semántica a la que pertenece el concepto (mosca- animal), (b) coordinado: palabra que denota otro miembro de la misma categoría (abeja - mosca) o (c) subordinado: parte del concepto (tren - locomotora). Dada la extensión de la lista completa de respuestas ordenadas en función de su aparición, no se presenta por razones de espacio. Para el resto de los índices se estimaron los siguientes estadísticos descriptivos: media, desvío estándar, valor mínimo y máximo, rango, percentiles 25 y 75, asimetría y curtosis (ver Tabla 1). Los tiempos de latencia (TL) muestran una media igual a 1127.21 ms y un desvío estándar igual a 288.7. El estímulo que registró el menor promedio fue guitarra (683 ms.) en tanto que bañera alcanzó el mayor (2290 ms.). No se incorporó calibrador al análisis de los TL dado que ninguna de las respuestas obtenidas fue considerada como correcta. El error con mayor porcentaje fue pinza que alcanzó el 16.66% de las respuestas.

En la variable de FLS se observa una mayor dispersión. La media es igual a 2.59 y el desvío estándar, a 1.22. siendo el valor mínimo 1.03 y el máximo 5. Los datos de la variable de IMA muestran que todos los conceptos son altamente imaginables (M = 4.51, DE = .47). Estos hallazgos están en relación con los datos obtenidos para la variable de CO en donde se observa que los estímulos son considerados, en su mayoría, como muy concretos. El 75% de los dibujos obtiene valores superiores a 4.5.
El análisis descriptivo mostró que los índices de FA diferían entre sí. Por tal motivo se llevó a cabo un análisis de variancia según el modelo ANOVA de un factor en el que se compararon las medias de FV, FF y FC. Este análisis identificó diferencias significativas entre las tres familiaridades [F(1,399) = 161.34; p < .001]. El análisis post hoc (Bonferroni) mostró diferencias significativas entre FV y FF (p < .001), FV y FC (p < .001) y entre FF y FC (p < .001). Los valores más altos se presentan en la variable de FV, seguida por la FC. A partir de las medias obtenidas para cada variable se realizó un análisis de correlaciones utilizando el coeficiente de correlación r de Pearson (ver Tabla 2).

El índice H y el %NMF correlacionan significativamente en forma negativa entre sí con mediana - alta intensidad (-.62). Ambas variables (índice H y %NMF) presentan relaciones significativas de mediana (.47) y mediana - alta (-.67) con los TL. Por otro lado, las mismas variables (índice H y %NMF) evidencian correlaciones de mediana - baja intensidad (.20) y mediana intensidad (.40) con las variables de FLS, IMA, FV, FF y FC. Por último, este conjunto de variables no correlaciona significativamente con la IA ni con la CO. Los TL correlacionan en forma negativa y en mediana intensidad (entre .40 y .60) con las variables de FLS, IMA, FV, FF y FC, y no correlacionan con la CO y la IA. Por otro lado, el análisis de correlaciones muestra que las variables relacionadas con la FLS, IMA, FV, FC y FF presentan asociaciones significativas de mediana (.50), mediana - alta (.60) y alta (.90) intensidad entre sí. Respecto a la variable de CO, se observa que solo correlaciona significativamente pero con baja (.15) y mediana - baja intensidad (.35) con la FLS, IMA, FV y FF pero no con FC ni con IA. Por último, el análisis señala que la variable de IA solo se asocia significativamente pero con muy baja intensidad (.12) con FV.
Comparación en acuerdo en el nombre con y sin TL
Con los 400 estímulos se identifica en este trabajo que el índice H alcanza una media igual a .79 (DE = .72). En tanto que para %NMF la media es igual a 81.13 (DE = 20.32). En la investigación de Manoiloff y colaboradores (2010) para H la media es igual a .71 (DE = .62) y para el %NMF la media es igual a 80.50 (DE = 21.07). Con 260 estímulos el índice H alcanza una media iguala .69 (DE = .69) y el %NMF una media igual a 84.93 (DE = 18.94) en esta investigación. Para Manoiloff y colaboradores (2010) el índice H tiene una media igual a .57 (DE = .59) y el %NMF una media igual a 84.77 (DE = 19.11). En lo que respecta al índice H, estos resultados dan cuenta de diferencias significativas con 400 ítemes [t(399)= 3.17, p <.01] y marginales [t(259)= 1.83, p = .06] con 260 estímulos. Para el %NMF no se detectan diferencias con la totalidad de los estímulos [t(399)= .87, p = .39] ni con la selección de 260 [t(259)= .20, p = .84]. La restricción de tiempo de este estudio genera una mayor variabilidad en las respuestas. Esto se evidencia en el mayor valor del índice H (.79 en la muestra de 400 y .69 en la de 260). Cuando se utiliza un paradigma sin tiempos el valor del índice H es menor (.71 con 400 y .57 con 260).
Comparación de acuerdo en el nombre con TL
Al comparar los TL de nuestra población con los publicados para España (Cuetos et al., 1999) se identifican diferencias estadísticamente significativas [t(139)= 6.733, p < .001]. La media de los TL es mayor para Argentina (M = 901.10 ms; DE = 163.13) que para España (M = 827.54 ms; DE = 108.58). Es decir, los participantes españoles son más rápidos para denominar. Esto podría deberse al diseño de la tarea (tiempos de presentación de los estímulos o cantidad de estímulos), a los estímulos utilizados (podrían ser menos familiares en una población o en otra) como así también por posibles diferencias de las muestras de participantes (edad, sexo o escolaridad).
Seres vivos y objetos inanimados: Comparación de las variables de organización
Bunn, Tyler y Moss (1998) reportaron que en el set original (Snodgrass & Vanderwart, 1980) los seres vivos (SV) tienen una menor familiaridad que los objetos inanimados (OI).
En lo que respecta al índice H, los SV alcanzan una media igual a .85 (DE = .72) y los OI una media igual a .82 (DE = .20). Aunque no se detectan diferencias significativas en este índice [t(398) = 1.56; p = .12] los TL de ambos dominios sí difieren [t(397)= 2.20; p < .05]. Los SV tienen una media igual a 1168.64 (DE. = 286.19) y los OI una media igual a 1103.05 (DE = 287.98). Es decir, los SV requieren más tiempo para la denominación.
Las palabras que designan a los OI (M = 2.73; DE = 1.26) y los SV (M = 2.33 (DE = 1.33) difieren significativamente en Frecuencia léxica [t(332) = 3.18; p < .01] favoreciendo a los OI . También se disocian en Familiaridad conceptual [t(398) = 6.01; p < .001] puesto que los OI (M = 3.12; DE = 1.11) alcanzan mayores valores que los SV (M = 2.42; DE = 1.15). En Familiaridad funcional también los OI (M = 3.00; DE = .21) alcanzan una ventaja estadísticamente significativa [t(398)= 5.67; p < .001] por sobre los SV (M = 2.28; DE = 1.25). Si bien los resultados obtenidos en Familiaridadfuncional eran los esperados, esto no ocurrecon la visual. Los OI (M= 3.42; DE= 1.13)también obtienen puntuaciones más altas [t(398)= 5.94; p < .001] que los SV (M = 2.72; DE = 1.17). Es decir, los OI son más familiares que los SV tanto en lo que respecta al contacto diario y en cuanto al uso (FF) y al contacto visual (FV). Para la variable de CO se observan diferencias significativas [t(398)= 4.14; p < .001] a favor de SV (M = 4.76; DE = .17) en relación con OI (M = 4.69; DE = .17). Los dominios de SV (M = 4.47; DE = .49) y OI (M = 4.54; DE = .45) no difieren en Imaginabilidad [t(286)= 1.33; MES = .05; p =.193].
Discusión
El estudio realizado constituye una ampliación de las normas publicadas por Manoiloff y colaboradores (2010) para el set de 400 estímulos de Cycowicz y colaboradores (1997). Estos datos se recogieron de habitantes de la Ciudad Autónoma de Buenos Aires.
El principal objetivo era obtener datos acerca de los TL necesarios para la denominación de los dibujos. Estos datos se compararon con los obtenidos de una selección de 140 estímulos del set de Snodgrass y Vanderwart (1996) en población española (Cuetos et al., 1999). Los resultados muestran diferencias estadísticamente significativas entre ambas poblaciones. Los TL para la población española son menores que para la argentina. Estas diferencias deben estudiarse con mayor profundidad puesto que podrían deberse a diferencias léxicas como la frecuencia o a diferencias en las muestras de participantes.
Asimismo, se decidió comparar los nombres dominantes obtenidos con el paradigma de denominación con tiempo de respuesta restringido con los previamente reportados por Manoiloff y colaboradores (2010) en forma escrita y sin tiempo de respuesta. De esta manera, las variables de AN (índice H y %NMF) se obtuvieron en forma computarizada y registrando el tiempo de inicio de la voz. Otra importante distinción fue evaluarlos 400 estímulos en una única sesión, tomando en cuenta que Székely y colaboradores (2003) no encontraron diferencias significativas en las respuestas cuando exploraban gran cantidad de estímulos en una única sesión o los presentaban en varias sesiones.
Se compararon también los resultados del índice H y el %NMF de ambos trabajos, encontrando diferencias significativas en las dos variables. Es decir, cuando se restringen los tiempos en la denominación, los participantes responden con menor precisión, obteniendo así mayores valores de variabilidad (índice H). Este mismo resultado se observa al comparar el promedio del %NMF. Es decir, los participantes no denominan con la misma exactitud a causa de la restricción temporal. Estos resultados se diferencian de los previamente reportados por Székely y colaboradores (2003), quienes no encontraron diferencias significativas en el AN de dos muestras de participantes al comparar ambos paradigmas con el set pictórico de Snodgrass y Vanderwart (1980).
El análisis de correlaciones indica que las me didas de denominación (índice H y %NMF) se encuentran altamente asociadas entre sí. Esto significa que la variabilidad en la denominación se relaciona con el promedio de respuestas dadas por los participantes. Estos resultados se asemejan a los de Manoiloff y colaboradores (2010) sobre la muestra total de estímulos, como así también a los reportados por Székely y colaboradores (2003) con los 260 ítemes de Snodgrass y Vanderwart (1980).
Los TL se asocian con el índice H y el %NMF de la siguiente manera: los dibujos que tienen más de un nombre posible asociado (mayor variabilidad) requieren mayores TL en la denominación para la selección de alguna de las etiquetas léxicas.
Asimismo, los TL muestran asociaciones con la FLS y las familiaridades. Las palabras de mayor frecuencia léxica son recuperadas con menores TL. Los conceptos más familiares tanto visual, funcional como conceptualmente son evocados con mayor rapidez. También se observa que los TL se asocian con la IMA: los TL disminuyen ante conceptos de mayor imaginabilidad.
Por otro lado, las variables de FLS, IMA, FV, FF y FC se encuentran correlacionadas; esto indicaría que las palabras más imaginables y familiares son las que también presentan mayores frecuencias léxicas. Asimismo, el análisis indica que las variables de FLS, IMA, FV, FF y FC se asocian con mediana intensidad con las medidas de acuerdo en el nombre (índice H y %NMF), es decir, palabras más imaginables, más familiares y con mayor frecuencia léxica obtienen menores índices de variabilidad en la denominación (índice H) y mayores %NMF.
En relación a la CO se observa correlación con las variables de FLS, IMA, FV y FF, indicando que las palabras más concretas son más imaginables y más familiares visual y funcionalmente.
La variable de IA solamente correlaciona con FV es decir, las palabras con mayor FV permiten mayor cantidad de ideas asociadas.
Nuestros resultados dan cuenta de que el %NMF obtenido en ambas poblaciones no indica diferencias. No obstante, los nombres dominantes en ciertos estímulos no son los mismos3. Estas diferencias podrían ser explicadas en función de variaciones dialectales y/o culturales, puesto que se evaluaron dos poblaciones de distintas regiones: Córdoba y Ciudad de Buenos Aires. Esto se fundamenta en que ante el estímulo colectivo respondieron también con ómnibus, autobús, micro y bus. Para el blanco cabra usaron las respuestas de chivito, chivo, cabrito, bambi, ciervo y oveja.
Por otra parte, la variabilidad muestra que los tiempos generan que los participantes denominen utilizando más de un ítem léxico frente a cada estímulo. Así por ejemplo, para la palabra anzuelo los participantes activaron arpón, gancho y ancla.
Además, y dado que algunas variables han demostrado ser fundamentales para el procesamiento léxico-semántico, se obtuvo información de: FLS, IMA, CO, FC, FV, FF e IA. También se comparó si los SV y OI de este corpus diferían significativamente en esta organización.
Los datos dan cuenta que SV y OI difieren. Si bien todos los estímulos son altamente imaginables y concretos se observan diferencias significativas en CO a favor de OI. Lo mismo ocurre con los índices de familiaridad. Los OI tienen mayor familiaridad conceptual, funcional y visual. Incluso el índice de FV obtiene puntajes más altos que el resto de las familiaridades. Esto significa que el contacto diario que tenemos con los objetos es mayor visualmente que funcionalmente.
Por último se realizó un análisis del tipo de error observado en la tarea de acuerdo en el nombre, clasificando los errores en conceptuales (cuando no se accede al significado del dibujo) o semánticos (errores dentro de la misma categoría semántica). Los resultados indican que en algunos estímulos las principales dificultades se deben a la imposibilidad de reconocer el dibujo que se presenta quizás porque variables como la complejidad visual dificultan su identificación. Los participantes cometen errores visuales (ante el estímulo platillos activan el concepto de discos). En tanto que otros errores dan cuenta del acceso a la categoría y las dificultades para recuperar el nombre exacto quizás por variables como la frecuencia léxica. Así por ejemplo, al observar el dibujo de un ornitorrinco, reconocen que se trata de un ser vivo pero no recuperan el nombre específico y sí activan el superordinado (animal).
Al igual que en el trabajo de Manoiloff y colaboradores (2010), se realizó un análisis de los dibujos que obtienen mayor porcentaje de error en todas las variables estudiadas y que permite, por lo tanto, clasificarlos como problemáticos.
Estos datos se suman a los previamente obtenidos por Manoiloff y colaboradores (2010) para el español de Argentina, generando así un material adecuado tanto para la investigación del procesamiento visual, lingüístico y semántico en sujetos sanos como así también de utilidad para la investigación clínica y para la selección de estímulos en la práctica clínica.
Instituto de Lingüística
Facultad de Filosofía y Letras
Universidad de Buenos Aires (UBA)
Ciudad Autónoma de Buenos Aires
República Argentina
Agradecimientos:
Los autores agradecen a la Lic. Carolina Gattei, Becaria Doctoral del Consejo Nacional de Investigaciones Científicas y Técnicas (CONICET) su colaboración en la administración de la tarea de denominación de dibujos.
Referencias bibliográficas
1. Alario, F. X. & Ferrand, L. (1999). A set of 400 pictures standardized for French: Norms for name agreement, image agreement, familiarity, visual complexity, image variability, and age of acquisition. Behavior Research Methods, Instruments, & Computers, 31(3), 531-552.
2. Alario, F. X., Ferrand, L., Lagnaro, M., New, B., Frauenfelder, U. H. & Seguí, J. (2004). Predictors of picture naming speed. Behavior Research Methods, Instruments & Computers, 36, 140-155. http://dx.doi.org/10.3758/BF03195559
3. Aveleyra, E., Gómez, C., Ostrosky, F., Rigalt, C. & Cruz, F. (1996). Adaptación de los estímulos no verbales de Snodgrass y Vanderwart en población hispanohablante: Criterios para la denominación, concordancia de la imagen, familiaridad y complejidad visual [Adaptation of non verbal Snodgrass and Vanderwart stimuli in Spanish-speaking population: Criteria for picture naming, image agreement, familiarity and visual complexity]. Revista Mexicana de Psicología, 13, 5-19.
4. Barca, L., Burani, C. & Arduino, L. (2002). Word naming times and psycholinguistic norms for Italian nouns., Behavior Research Methods, Instruments & Computers 34(3), 424-434.
5. Barry, C., Morrison, C. M. & Ellis, A. W. (1997). Naming the Snodgrass and Vanderwart pictures: Effects of age of acquisition, frequency and name agreement. Quarterly Journal of Experimental Psychology, 50(A), 560-585.
6. Bates, E., D'Amico, S., Jacobsen, T., Székely, A., Andonova, E., Devescovi, A. et al. (2003). Timed picture naming in seven languages. Psychonomic Bulletin & Review, 20(2), 344-380. http://dx.doi.org/10.3758/BF03196494
7. Bonin, P., Peereman, R., Malardier, N., Méot, A. & Chalard, M. (2003). A new set of 299 pictures for psycholinguistic studies: French norms for name agreement, image agreement, conceptual familiarity, visual complexity, image variability, age of acquisition and naming latencies., Behavior Research Methods, Instruments, & Computers 35, 158-167.
8. Bunn, E. M., Tyler, L. K. & Moss, H. E. (1998). Category-specific semantic deficits: The role of familiarity and property type reexamined. Neuropsychology, 12(3), 367-379. http://dx.doi.org/10.1037/0894-4105.12.3.367
9. Cuetos, F., Ellis, A. & Alvarez, B. (1999). Naming times for the Snodgrass and Vanderwart pictures in Spanish., Behavior Research Methods, Instruments & Computers 31, 650-658. http://dx.doi.org/10.3758/BF03200741
10. Cycowicz, Y. M., Friedman, D., Rothstein, M. & Snodgrass, J. G. (1997). Picture naming by young children: Norms for name agreement, familiarity, and visual complexity. Journal of Experimental Child Psychology, 65(2), 171-237. http://dx.doi.org/10.1006/jecp.1996.2356
11. Dell'Acqua, R., Lotto, L. & Job, R. (2000). Naming times and standardized norms for the Italian PD/DPSS set of 266 pictures. Direct comparisons with American, English, French and Spanish published databases., Behavior Research Methods, Instruments, & Computers 31, 588-615.
12. Ellis, A. W. & Morrison, C. M. (1988). Real age of acquisition effects in lexical retrieval. Journal of Experimental Psychology: Learning, Memory & Cognition, 24, 515-523. http://dx.doi.org/10.1037//0278-7393.24.2.515
13. Fernández, A., Diez, E., Alonso, M. A. & Beato, M. S. (2004). Free-association norms for the Spanish names of the Snodgrass and Vanderwart pictures., Behavior Research Methods, Instruments, & Computers 36(3), 577-583.
14. Forster, K. I. & Forster, J. C. (2003). DMDX: A windows display program with millisecond accuracy., Behavior Research Methods, Instruments & Computers 35, 116-124. http://dx.doi.org/10.3758/BF03195503
15. Funnell, E. & Sheridan, J. (1992). Categories of knowledge? Unfamiliar aspects of living and non-living things. Cognitive Neuropsychology 9(2), 135-153.
16. Hernández Sampieri, R., Fernández Collado, C. & Baptista Lucio, P. (2008). Metodología de la investigación [Investigation methodology] (4ta.ed.). México: McGraw-Hill Interamericana.
17. Hodges, J. R. & Patterson, K. (1997). Semantic memory disorders. Trends in Cognitive Sciences, 1(2), 68-72. http://dx.doi.org/10.1016/S1364-6613(97)01022-X
18. Laws, K. R. (1999). Gender afects latencies for naming living and nonliving things: Implications for familiarity. Cortex, 35, 729-733.
19. Laws, K. R. (2000). Category-specificity naming errors in normal subjects: The influence of evolution and experience. Brain and Language, 75, 123-133. http://dx.doi.org/10.1006/brln.2000.2348
20. Manoiloff, L., Artstein, M., Canavoso, M., Fernández, L. & Seguí, J. (2010). Expanded norms for 400 experimental pictures in an Argentinean Spanish-speaking population. Behavior Research Methods, 42(2), 452-460. http://dx. doi.org/10.3758/BRM.42.2.452
21. Manzano, M., Piñeiro, A. & Reigosa, V. (1997). Estudio de las características de un conjunto de 260 figuras en sujetos adultos de habla hispana [Study of the characteristics of a set of 260 figures in Spanish-speaking adult subjects]. Cognitiva, 9, 29-64.
22. Martein, R. (1995). Norms for name and concept agreement, familiarity, visual complexity and image agreement on a set of 216 pictures. Psychologica Belgica, 35, 205-225.
23. Morrison, C. M., Ellis, A. W. & Quinlan, P. T. (1992). Age of acquisition, not word frequency, affects object naming, not object recognition. Memory and Cognition, 20, 705-714. http://dx.doi.org/10.3758/BF03202720
24. Oldfield, R. C. & Wingfield, A. (1965). Response latencies in naming objects., Quarterly Journal of Experimental Psychology 17, 273-281. http:// dx.doi.org/10.1080/17470216508416445
25. Paivio, A., Yuille, J. C. & Madigan, S. A. (1968). Concreteness, imagery, and meaningfulness values for 925 nouns. Journal of Experimental Psychology Monograph Supplements, 76, 1-25.
26. Pérez, M. A. & Navalón, C. (2003). Normas españolas de 290 nuevos dibujos: Acuerdo en la denominación, concordancia de la imagen, familiaridad, complejidad visual y variabilidad de la imagen [New Spanish norms for 290 pictures: Naming agreement, image agreement, familiarity, visual complexity and variability of the image]. Psicológica, 24, 215-241.
27. Protopapas, A. (2007). Check vocal: A program to facilitate checking the accuracy and response time of vocal responses from DMDX., Behavior Research Methods 39(4), 859-862. http://dx.doi.org/10.3758/BF03192979
28. Rosch, E. H. (1973). Natural categories. Cognitive Psychology, 4, 328-350. http://dx.doi.org/10.1016/0010-0285(73)90017-0
29. Sanfeliu, M. C. & Fernández, A. (1996). A set of 254 Snodgrass-Vanderwart pictures standardized for Spanish: Norms for name agreement, image agreement, familiarity, and visual complexity., Behavior Research Methods, Instruments & Computers 28, 537-555.
30. Snodgrass, J. G. & Vanderwart, M. (1980). A standardized set of 260 pictures: Norms for name agreement, image agreement, familiarity and visual complexity. Journal of Experimental Psychology: Human Learning and Memory, 6, 174-215. http://dx.doi.org/10.1037//0278-7393.6.2.174
31. Snodgrass, J. G. & Yuditsky, T. (1996). Naming times for the Snodgrass and Vanderwart pictures., Behavior Research Methods, Instruments & Computers 28(4), 516-536.
32. Székely, A., D'Amico, S., Devescovi, A., Federmeier, K., Herron, D. et al. (2003). Timed picture naming: Extended norms and validation against previous studies., Behavior Research Methods, Instruments & Computers 35, 621-633. http://dx.doi.org/10.3758/BF03195542
33. Warrington, E. K. (1975). The selective impairment of semantic memory. The Quarterly Journal of Experimental Psychology 27(4), 635-657. http://dx.doi.org/10.1080/14640747508400525
34. Warrington, E. K. & McCarthy, R. A. (1983). Category-specific access dysphasia. Brain, 106, 859-879. http://dx.doi.org/10.1093/brain/106.4.859
35. Warrington, E. K. & Shallice, T. (1984). Category specific semantic impairments. Brain, 107(3), 829-854. http://dx.doi.org/10.1093/brain/107.3.829
Notas