PRODUÇÃO ANIMAL
Comparing non-linear mathematical models to describe growth of different animals
Avaliação comparativa de modelos matemáticos não lineares para descrever o crescimento animal
Comparing non-linear mathematical models to describe growth of different animals
Acta Scientiarum. Animal Sciences, vol. 39, no. 1, pp. 73-81, 2017
Editora da Universidade Estadual de Maringá - EDUEM
Received: 19 March 2016
Accepted: 23 August 2016
Funding
Funding source: CNPq
Contract number: 484037/2013-7
ABSTRACT.: The main objective of this study was to compare the goodness of fit of five non-linear growth models, i.e. Brody, Gompertz, Logistic, Richards and von Bertalanffy in different animals. It also aimed to evaluate the influence of the shape parameter on the growth curve. To accomplish this task, published growth data of 14 different groups of animals were used and four goodness of fit statistics were adopted: coefficient of determination (R2 ), root mean square error (RMSE), Akaike information criterion (AIC) and Bayesian information criterion (BIC). In general, the Richards growth equation provided better fits to experimental data than the other models. However, for some animals, different models exhibited better performance. It was obtained a possible interpretation for the shape parameter, in such a way that can provide useful insights to predict animal growth behavior.
Keywords: body weight gain, Richards model, goodness of fit.
RESUMO.: O principal objetivo deste estudo foi comparar a qualidade do ajuste de cinco modelos matemáticos recorrentemente utilizados na literatura para a descrição do ganho de peso animal. Ele também teve o objetivo de estudar a influência do parâmetro de forma sobre as curvas de crescimento. Os modelos de Brody, Gompertz, Logístico, von Bertalanffy e Richards, foram ajustados a dados experimentais de 14 grupos de animais diferentes. Como critério de qualidade de ajuste quatro índices estatísticos foram adotados: coeficiente de determinação (R2 ), raiz do quadrado médio do erro (RMSE) e os critérios de informação, Akaike (AIC) e Bayesian (BIC). Em geral, o modelo de Richards forneceu os melhores ajustes aos dados experimentais comparados aos demais modelos. No entanto, para alguns animais, diferentes modelos exibiram melhor desempenho. Foi possível obter uma possível interpretação para o significado do parâmetro de modo a fornecer ferramentas úteis para prever o comportamento do crescimento animal.
Palavras-chave: ganho de peso animal, modelo de Richards, qualidade de ajuste.
Introduction
Traditionally, mathematical models have been applied to describe growth-age relationship in animals. One important feature of these models is their ability to describe the weight gain and evaluate some interesting biological parameters, such as the mature weight, the rate of maturing and the rate of gain. These parameters are useful tools to provide estimates of the daily feed requirements or to evaluate the influence of the environmental conditions on the weight gain of the animal. Growth models are also used to predict the optimum slaughter age. Therefore, mathematical models applied for animal growth can be considered as being important control and optimization instruments for the animal production (France & Thornley, 1984; France, Dijkstra, & Dhanoa, 1996; López et al., 2000; Vázquez, Lorenzo, Fuciños, & Franco, 2012).
An appropriate growth function should summarize the information provided by experimental observations into a small set of parameters with biological meaning. Usually, these models consist of nonlinear functions and several studies including different mathematical models can be found in the literature. These models are usually applied for the evaluation of the growth kinetics of a wide range of animals, including birds (Aggrey, 2002; Sezer & Tarhan, 2005; Nahashon, Aggrey, Adefope, Amenyenu, & Wright, 2006), mammals (Curi, Nunes, & Curi, 1985; Silva, Alencar, Freitas, Packer, & Mourão, 2011; Franco et al., 2011), fishes (Hernandez-Llamas & Ratkowsky, 2004; Santos, Mareco, & Silva, 2013), reptiles (Bardsley, Ackerman, Bukhari, Deeming, & Ferguson, 1995) and amphibians (Rodrigues et al., 2007; Mansano, Stéfani, Pereira, & Macente, 2013). Some mathematical functions commonly used in these studies include the Gompertz, Logistic, Brody, von Bertalanffy and Richards growth models (France et al., 1996).
The growth functions can be grouped into three main categories: those with a diminishing returns behavior (Brody model), those with sigmoidal shape and a fixed inflection point (Gompertz, Logistic and von Bertalanffy models) and those with a flexible inflection point (Richards model). The Logistic, Gompertz and von Bertalanffy models exhibit inflection points at about 50, 37 and 30% of the mature weight (asymptote), respectively. On the other hand, the Brody model does not exhibit an inflection point. The Richards model summarizes all the above growth functions in one function with a variable inflection point specified by the shape parameter (m) (Richards, 1959).
In this context, the aim of this study was to evaluate the influence of the shape parameter on growth curves and the five above mentioned models using experimental data of different animals, including mammals and birds, in order to identify the best growth model for each animal studied. The performance of the different models was compared using different goodness of fit statistics.
Material and methods
Experimental data
Growth data recorded for fourteen different datasets, all of them reported in the literature, were used for evaluation of the models. The raw growth data were collected from published articles by means of the GetData Graph Digitizer 2.24 software, as used by Vázquez, Lorenzo, Fuciños, and Franco (2012). The datasets are representative of the gain of body weight of mammals and birds (Table 1), with mature weights ranging from < 0.25 kg (Japanese quail) to > 1,000 kg (Holstein-Friesian bull). As usually adopted in similar studies, growth curves were based on means of weights of many individuals in order to minimize large variations that may occur in individual growth (López et al., 2000; Vázquez et al., 2012).
Mathematical models
Five nonlinear functions frequently used for the description of growth curves in animal production studies were analyzed: Brody, von Bertalanffy, Logistic, Gompertz, and Richards. The mathematical expressions associated to these functions are detailed in Table 2. In all equations presented, W stands for the body weight of the animal at age t, W( stands for the mature weight (asymptote) and W0 stands for the birth weight. The parameter k is a constant that is directly related to the postnatal rate of maturing and can be interpreted as a maturing index, establishing the rate at which W approaches W(. Finally, m is the shape parameter in Richards’ model. It determines the proportion of the mature weight at which the inflection point occurs (Perroto, Cue, & Lee, 1992; Gbangboche, Glele-kakai, Salifou, Albuquerque, & Leroy, 2008).
Richards’ model is a generalization of all growth models presented in Table 2, i.e., for m = -1, m = -1/3 and m = 1, it reduces to re-parameterized versions of Brody, von Bertalanffy and Logistic equations, respectively. In addition, it can be shown that it reduces to Gompertz model when one calculates limm(0W(t). The parameter m is the unique parameter which has no direct biological meaning. However, it exerts great influence on the time to an individual to reach the mature weight and on the point of inflection of the growth curve, as will be shown in the next section.
Influence of the shape parameter (m) on growth curves
As previously mentioned, Richards growth model encompasses all the other models, for special values of the parameter m. In order to illustrate this important feature, it is adopted a procedure to present a possible meaning to this parameter. After some algebra, it is possible to obtain a mathematical expression describing the influence of the parameter m on the relation of the weight at the inflection point (Winf) to the asymptotic mature weight (W() in equation 6:
Figure 1 presents simulations obtained with the use of equation 6 for different values of the parameter m. In all simulations performed, the values of W0 and W( adopted were kept constant and equal to 10 g, and 150 g, respectively, and the values of k adopted were -0.0142 d-1 for Brody, -0.0445 d-1 for von Bertalanffy, -0.0739 d-1 for Gompertz and -0.2143 d-1 for Logistic model. The parameter m is the main responsible for the different shapes of the curves.

The weight at the inflection point is of significance because it is associated with a change in the acceleration of growth: for values of the weight lower than Winf, the acceleration of growth is positive and for values the weight higher than Winf the acceleration of growth is negative. Thus, depending on the value of m, the time to the individual reaches the mature weight is lower, as observed for the Brody growth model.
Numerical method
The fitting procedures presented in this study were performed with the ‘fit function’ of the Curve Fitting Tool available in the Matlab R2011a software (MathWorks, Natick, USA), using the nonlinear least squares method. The starting value of each parameter model was based on visual inspection of the plots.
Statistical criteria for model selection
The performance of each model was evaluated by the calculation of the root mean square error, RMSE (Equation 7), and by the coefficient of determination, R2 (Equation 8). In these expressions, Wexp stands for the experimental data, Wcal stands for the result fitted by the model, N represents the total number of experimental points, and K corresponds to the number of parameters of the model.
In order to obtain a more complete evaluation of the performance of the models, two additional criteria based on the information theory were applied to compare the goodness of fit of the models (Burnham & Anderson, 2002): the Akaike information criterion (AIC) and the Bayesian information criterion (BIC). Equations 9 and 10 present the corresponding mathematical expressions wherein SSE is the sum of the squared errors.
For the case in that the sample size is smaller than the number of model parameters (N / K < 40), the AIC might not be accurate. Therefore the corrected AIC (AICc in Equation 11) was used in the present study (Burnham & Anderson, 2002):
Results and discussion
Fit with the use of Richards growth model
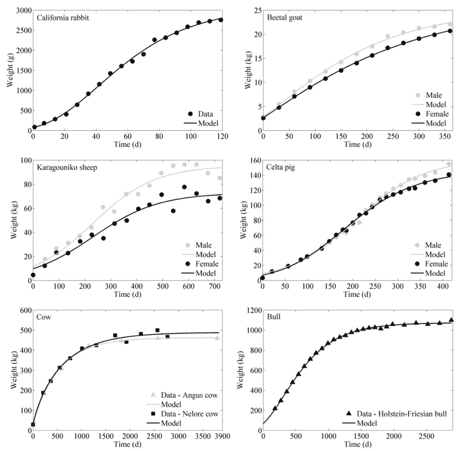
The growth curves obtained from regression analyses using Richards’ model are presented in Figure 2 for birds and in Figure 3 for mammals. Table 3 shows the values of the parameter m estimated from regression and the value of the proportion of the mature weight at which the inflection point occurs (Equation 6) for each growth curve studied.


As summarized in Table 3, all regression analysis of the Richards’ model resulted in values of the parameter m lower or equal to one. This means that, for the animals studied, the inflection point at each growth curve is lower than 50% of the mature weight. In addition, it was observed that the value of m was lower than minus one only for two datasets (Nelore cattle and Angus cattle). This result seems to indicate that the Brody’s model is not feasible for most datasets studied.
It was also observed that the values of m were, in general, lower for females than for males (with the exception of Japanese quail - wild line and Karagouniko sheep). Therefore it can be assumed that, for most datasets studied, the males reached the mature weight before the females. In addition, according to Table 3, it can be seen that Karagouniko sheep and celta pigs reach the mature weight faster than the others.
Comparison between models
Tables 4, 5 and 6 summarize the goodness of fit statistics obtained for the five models studied. It was observed that for birds (Table 4), the Richards’ and Logistic models provided the best fits. On the other hand, in what concerns mammals, different models provided best fits for different datasets. In this case, it was not possible to establish a model as being superior in relation to the others.
Table 7 summarizes comparison between pairs of models used in this study. Each entry of this table accounts for the number of times that the equation of the corresponding row provided better fit than the other equations. It can be seen that Richards’ model exhibited a better performance than all the others.
As shown in Table 7, Logistic and Brody´s model (Equations 3 and 1, respectively) exhibited the worst results in relation to the other models, since they provided a lower amount of better fits than the others. These poor results obtained for the Logistic and the Brody’s model can be ascribed to the symmetry of the inflection point and to the hyperbolic shape of the model, respectively. In order to illustrate this behavior, Figure 4 shows residuals obtained after fits of Logistic, Brody and Gompertz equations to Athens-Canadian chickens. As can be seen, the residuals are larger and not normally distributed for the Logistic and Brody models in relation to the Gompertz growth model.

In general, it was also observed that all models under investigation in this study exhibited high R2 values (above 0.94), suggesting overall good fits to the data. According to R2 values the Richards’ model provided better results. Theoretically, the four parameter Richards model, is expected to give a higher R2 than the three parameter models. However, due to the values of the shape parameter for some animals close to m = 0, m = -1/3, m = -1 or m = 1, the R2 values are similar among Richards’ and the three parameters models (Tables 4, 5 and 6).
The results obtained for Athens-Canadian chicken (m = 0.0541 for male and m = -0.0220 for female) and Guinea fowl (m = 0.0798 for male and m = -0.0760 for female) seem to indicate that the Gompertz model is appropriate to experimental data as previously pointed out by Aggrey (2002) and Nahashon et al. (2006), respectively. For Japanese quail m values showed deviations among lines and sex (Table 3). Only for the wild line, the parameter showed a similar value both for male (m = 0.2321) and female (m = 0.2342). The values of Winf/ W( were between 0.39 and 0.46 for all Japanese quail lines. This justified that the statistical parameters indicated Richards’ model as the most appropriated followed by Gompertz model (Table 4). None of the three parameters models generated inflection points between 39 and 46% of the mature weight, and the Gompertz model produced the value closest to this range (37%). These results are in accordance with the study of Sezer and Tarhan (2005), which discussed in details the fit of Richards’ model to different lines of Japanese quail.
Among the mammals studied, only Californian rabbit (m = -0.0640) seems to indicate Gompertz model as the best one. Curi et al. (1985) fitted Logistic and Gompertz models to rabbit data for three lines and found that the Gompertz model was better than the Logistic model. However, for Norfolk and New Zealand lines, the von Bertalanffy model was the most appropriated one (Tables 3 and 6).
The results presented in Table 3 for Karagouniko sheep (m = 0.9436 for male and m = 0.9642 for female) and pig (m = 1.0184 for male) indicate Logistic model as the most appropriate. These animals showed the inflection point at growth curve close to 50% of the mature weight (Table 3). On the other hand, Gbangboche, Glele-kakai, Salifou, Albuquerque, and Leroy (2008) compared the goodness of fit of four non-linear growth models in West African Dwarf sheep and concluded that the Brody model provided the best fit.
The appropriated models for Beetal goat were Brody model for male and Richards model for female (Table 5). Waheed et al. (2011) compared Brody and Gompertz models and concluded that both models efficiently explained the Beetal goat growth. An appropriated model for Beetal goat should exhibit an inflection point fixed close to 0.2 of the mature weight (Table 3).
Holstein-Friesian bull growth curve showed a m value equal to -0.223. Thus, the von Bertalanffy model could be a good choice for fitting the gain of body weight for this animal (Table 6). Vázquez et al. (2012) observed that this model was appropriate to describe the gain of the body weight of cattle. According to results obtained with Richards’ model (Table 3), Nelore and Angus cattle exhibit no inflection point (m < -1) at their growth curves. Statistical parameters indicated the use of Brody model for both species (Table 6). Silva et al. (2011) evaluated five non-linear models for the gain of weight for cows of different biological types and found that Richards’ and Brody models were the most appropriated for Nelore cow. Beltrán et al. (1992) evaluated growth patterns of two lines of Angus cow using Brody and Richards’ models and concluded that both models provided good results.
Conclusion
In general, all non-linear models demonstrated good capacities of fitting for describing the growth kinetics of several animals. Although the Richards model exhibited the highest R2 than the three parameters models, the two criteria based on the information theory, AIC and BIC, indicated that Gompertz model was the best model for chickens. In what concerns mammals, the Logistic model was the best model for pigs and sheep, von Bertalanffy for rabbits and bulls and when experimental data showed hyperbolic profiles, like cows and goats, the most appropriated model was the Brody equation. According to AIC and BIC criteria, the Richards’ model was the most appropriate only for Japanese quails, female pigs and female goats. However, it provided the best results in average when all animals studied were considered. The Richards’ model may be preferable for data based on a sigmoidal behavior, due to the fact that the placement of the inflection point is flexible. If a fixed inflection point is preferred, any placement is possible by substitution of the parameter m, for any given value above -1.
Acknowledgements
The authors would like to express their gratitude to Conselho Nacional de Desenvolvimento Científico e Tecnológico - CNPq for financial support (Process 484037/2013-7)
References
Aggrey, S. E. (2002). Comparison of three nonlinear and spline regression models for describing chicken growth curves. Poultry Science, 81(12), 1782-1788.
Bardsley, W. G., Ackerman, R. A., Bukhari, N. A., Deeming, D. C., & Ferguson, M. W. (1995). Mathematical models for growth in alligator (Alligator mississippiensis) embryos developing at different incubation temperatures. Journal of Anatomy, 187(1), 181-190.
Beltrán, J. J., Butts, W. T. Jr., Olson, T. A., & Koger, M. (1992). Growth patterns of two lines of Angus cattle selected using predicted growth parameters. Journal of Animal Science, 70(3), 734-741.
Burnham, K. P., & Anderson, D. R. (2002). Model selection and multimodel inference: a practical information-theoretic approach. New York City, NY: Springer-Verlag.
Calo, L. L., Mcdowell, R. E., Vanvleck, L. D., & Miller, P. D. (1973). Parameters of growth of Holstein-Friesian Bulls. Journal of Animal Science, 37(2), 417-422.
Curi, P. R., Nunes, J. R. V., & Curi, M. A. (1985). Modelos matemáticos para estimar o peso de coelhos. Pesquisa Agropecuária Brasileira, 20(7), 853-863.
France, J., & Thornley, J. H. M. (1984). Mathematical models in agriculture. London, UK: Butterworths.
France, J., Dijkstra, J., & Dhanoa, M. S. (1996). Growth functions and their application in animal science. Annales de Zootechnie, 45(Suppl1),165-174.
Franco, D., García, A., Vázquez, J. A., Fernández, M., Carril, J. A., & Lorenzo, J. M. (2011). Curva de crecimiento de la raza cerco celta (subrariedad barcina) a diferentes edades de sacrifício. Actas Iberoamericanas de Conservacíon Animal, 1(1), 259-263.
Gbangboche, A. B., Glele-kakai, R., Salifou, S., Albuquerque, L. G., & Leroy, P. L. (2008). Comparison of non-linear growth models to describe the growth curve in West African dwarf sheep. Animal, 2(7), 1003-1012.
Goliomytis, M., Orfanos, S., Panopoulou, E., & Rogdakis, E. (2006). Growth curves for body weight and carcass components, and carcass composition of the Karagouniko sheep, from birth to 720 d of age. Small Ruminant Research, 66(1), 222-229.
Hernandez-Llamas, A., & Ratkowsky, D. A. (2004). Growth of fishes, crustaceans and molluscs: estimation of the von Bertalanffy, Logistic, Gompertz and Richards curves and a new growth model. Marine Ecology Progress Series, 282(1), 237-244.
López, S., France, J., Gerrits, W. J., Dhanoa, M. S., Humphries, D. J., & Dikstra, J. (2000). A generalized Michaelis-Menten equation for analysis of growth. Journal of Animal Science, 78(7), 1816-1828.
Mansano, C. F. M., Stéfani, M. V., Pereira, M. M., & Macente, B. I. (2013). Deposição de nutrientes na carcaça de girinos de rã-touro. Pesquisa Agropecuária Brasileira, 48(8), 885-891.
Nahashon, S. N., Aggrey, S. E., Adefope, A., Amenyenu, A., & Wright, D. (2006). Growth characteristics of pearl gray guinea fowl as predicted by the Richards, Gompertz and Logistic models. Poultry Science, 85(2), 359-363.
Perroto, D., Cue, R. I., & Lee, A. J. (1992). Comparison of nonlinear functions for describing the growth curve of three genotypes of dairy cattle. Canadian Journal of Animal Science, 72(4), 773-782.
Richards, F. J. (1959). A flexible growth function for empirical use. Journal of Experimental Botany, 10(2), 290-300.
Rodrigues, M. L., Lima, S. L., Moura, O. M., Agostinho, C. A., Silva, J. H. V., Cruz, G. R. B., Albuquerque, A. G. (2007). Curva de crescimento em rã-touro na fase de recria. Archivos de Zootecnia, 56(214), 125-136.
Santos, V. B., Mareco, E. A., & Silva, M. D. P. (2013). Growth curves of Nile tilapia (oreochromis niloticus) strains cultivated at different temperatures. Acta Scientiarum. Animal Sciences, 35(3), 235-242.
Sezer, M., & Tarhan, S. (2005). Model parameters of growth curves of three meat-type lines of Japanese quail. Czech Journal of Animal Science, 50(1), 22-30.
Silva, F. L., Alencar, M. M., Freitas, A. R., Packer, I. U., & Mourão, G. B. (2011). Curvas de crescimento em vacas de corte de diferentes tipos biológicos. Pesquisa Agropecuária Brasileira, 46(3), 262-271.
Vázquez, J. A., Lorenzo, J. M., Fuciños, P., & Franco, D. (2012). Evaluation of non-linear equations to model different animal growths with mono and bisigmoid profiles. Journal of Theoretical Biology, 314(7), 95-105.
Waheed, A., Khan, M. S., Ali, S., & Sarwar, M. (2011). Estimation of growth curve parameters in Beetal goats. Archiv Tierzucht, 54(3), 287-296.
Author notes
*Author for correspondence. E-mail: jhony_tt@yahoo.com.br