On a finite moment perturbation of linear functionals and the inverse Szegó transformation
Sobre una perturbación finita de momentos de un funcional lineal y la transformación inversa de Szegó
On a finite moment perturbation of linear functionals and the inverse Szegó transformation
Revista Integración, vol. 34, no. 1, pp. 39-58, 2016
Universidad Industrial de Santander
Received: 13 October 2015
Accepted: 03 February 2016
Abstract: Given a sequence of moments {cn}n∈Z associated with an Hermitian linear functional L defined in the space of Laurent polynomials, we study a new functional LΩ which is a perturbation of L in such a way that a finite number of moments are perturbed. Necessary and sufficient conditions are given for the regularity of LΩ, and a connection formula between the corresponding families of orthogonal polynomials is obtained. On the other hand, assuming LΩ is positive definite, the perturbation is analyzed through the inverse Szegó transformation.
Keywords: Orthogonal polynomials on the unit circle, perturbation of moments, inverse Szegó transformation.
Resumen: Dada una sucesión de momentos {cn}n∈Z asociada a un funcional lineal hermitiano L definido en el espacio de los polinomios de Laurent, estudiamos un nuevo funcional LΩ que consiste en una perturbación de L de tal forma que se perturba un número finito de momentos de la sucesión. Se encuentran condiciones necesarias y suficientes para la regularidad de LΩ, y se obtiene una fórmula de conexión que relaciona las familias de polinomios ortogonales correspondientes. Por otro lado, suponiendo que LΩ es definido positivo, se analiza la perturbación mediante de la transformación inversa de Szegó.
Palabras clave: Polinomios ortogonales en la circunferencia unidad, perturbación de momentos, transformación de Szegó inversa.
1. Preliminaries and introduction
Consider a linear functional L defined in the linear space of Laurent polynomials Λ = span{zn}n∈Z such that L is Hermitian, i.e.,

Then, a bilinear functional can be defined in the linear space P = span{zn}n≥0 of polynomials with complex coefficients by

The sequence of complex numbers {cn}n∈Z is called the sequence of moments associated with L. On the other hand, the Gram matrix associated with the canonical basis {zn}n≥0 of P is

which is known in the literature as Toeplitz matrix [7]. A sequence of monic polynomials {φn}n≥0, with deg (φn) = n, is said to be orthogonal with respect to L if the condition

where kn ≠ 0, holds for every n, m ≽ 0. Notice that the sequence {φn}n≥0 can be obtained by using the Gram-Schmidt orthogonalization process with respect to the basis {zn}n ≽ 0. The necessary and sufficient conditions for the existence of such a sequence can be expressed in terms of the Toeplitz matrix T: {φn}n≥0 satisfies the orthogonality condition if and only if Tn, the (n + 1) × (n + 1) principal leading submatrix of T, is non-singular for every n ≥ 0. In such a case, L is said to be quasi-definite (or regular). On the other hand, if det Tn > 0 for every n ≥ 0, then L is said to be positive definite and it has the integral representation

where σ is a nontrivial positive Borel measure supported on the unit circle T = {z : |z| = 1}. In such a case, there exists a (unique) family of polynomials {ϕn}n≥0, with deg ϕn = n and positive leading coefficient, such that

{ϕn}n≥0 is said to be the sequence of orthonormal polynomials with respect to σ. If we denote by κn the leading coefficient of ϕn(z), then we have φn(z) = ϕn(z)/κn. These polynomials satisfy the following forward and backward recurrence relations (see [7], [10], [11]):


where φ∗n (z) = znφn(z−1) is the so-called reversed polynomial and the complex numbers {φn(0)}n≥1 are known as Verblunsky (Schur, reflection) parameters. It is important to notice that in the positive definite case we get |φn(0)| < 1, n ≥ 1, and

Moreover, we have

The n-th kernel polynomial Kn(z,y) associated with {φ}n≥0 is defined by

and the right hand side is known in the literature as Christoffel-Darboux formula and it holds if yz ≠ 1. It satisfies the so called reproducing property

for every polynomial p of degree at most n. Kn(i,j) (z,y) will denote the i-th and j-th partial derivative of Kn(z,y) with respect to z and y, respectively. Notice that we have φ∗n(z) = knKn(z, 0), n ≥ 0.
Furthermore, in terms of the moments, an analytic function can be defined by

If L is a positive definite functional, then (9) is analytic in D and its real part is positive in D. In such a case, (9) is called a Carathéodory function, and can be represented by the Riesz-Herglotz transform

where σ is the positive measure associated with L. By extension, for a quasi-definite linear functional, (9) will denote its corresponding Carathéodory function.
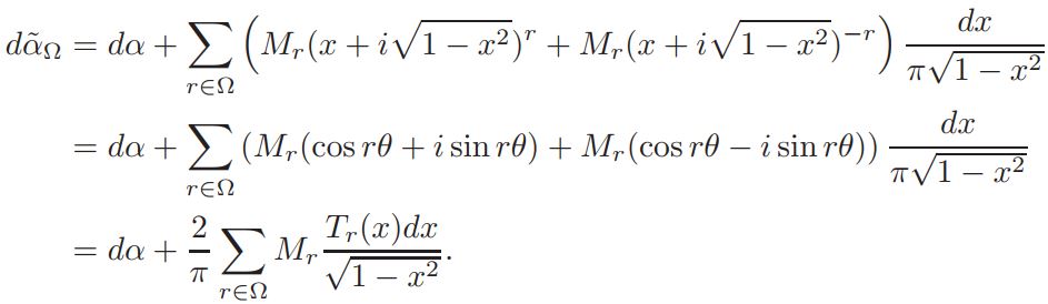
On the other hand, given a positive, nontrivial Borel measure α supported in [−1, 1], we can define a positive, nontrivial Borel measure σ supported in [−π, π] in such a way that if dα(x) = ω(x)dx, then

There exists a relation between the corresponding families of orthogonal polynomials (see [6]). On the other hand, since the moments {cn}n≥0 are real (see [6]), F(z), the Carathéodory function associated with σ, has real coefficients. Therefore, we have

and then dσ(θ) + dσ(2π − θ)=0. Thus, there exists a simple relation between the Stieltjes function (the real line analog of the Carathédory functions, given by S(x) =∑∞n=0 µnx−(n+1), where {µn}n≥0 are the moments associated with the measure on the real line) and the Carathéodory function associated with α and σ, respectively, given by (see [9])

where x = z+z−1/2, z = x + √ x2 − 1. In the literature, this relation is known as the Szegó transformation. Conversely, if σ is a positive, nontrivial Borel measure with support in the unit circle such that its moments are real, then there exists a positive, nontrivial Borel measure α, supported in [−1, 1], such that (10) holds. This is called the inverse Szegó transformation.
Given a measure σ supported on the unit circle, the perturbations



are called Christoffel, Uvarov, and Geronimus transformations, respectively. They are the unit circle analogue of the Christoffel, Uvarov and Geronimus transformations on the real line (see [12]). In general, a linear spectral transformation of a Stieltjes function is another Stieltjes function S(x) that has the form

where A, B and D are polynomials in x. The three transformations defined above are important due to the fact that any linear spectral transformation of a given Stieltjes function (i.e., for any polynomials A, B and D) can be obtained as a combination of Christoffel and Geronimus transformations (see [12]). A similar result holds for linear spectral transformations of Carathéodory functions, which are defined in a similar way (see [4]).
In [2], the authors studied the perturbation associated with the linear functional

where m ∈ R, p, q ∈ P, and L is (at least) a quasi-definite Hermitian linear functional defined in the linear space of Laurent polynomials. Notice that all moments associated with L are equal to the moments associated with L, except for the first moment, which is c0 = c0 + m. The corresponding Toeplitz matrix T is the result of adding m to the main diagonal of T. Later on, the linear functional

where j ∈ N is fixed and (·, ·)Lθ is the bilinear functional associated with the normalized Lebesgue measure on the unit circle was studied in [3]. It is easily seen that the moments associated with Lj are equal to those of L, except for the moments of order j and −j, which are perturbed by adding m and m, respectively. In other words, the corresponding Toeplitz matriz is perturbed on the j-th and −j-th subdiagonals. In both cases, the authors obtained the regularity conditions for such a linear functional and deduced connection formulas between the corresponding orthogonal sequences.
Assuming that both L and Lj are positive definite, the perturbation (13) can be expressed in terms of the corresponding measures as

On the other hand, the connection between the measure (14) and its corresponding measure supported in [−1, 1] via the inverse Szegó transformation was analyzed in [5], and it is deduced that the perturbed moments on the real line depend on the Chebyshev polynomials of the first kind.
In this contribution, we will extend those results to the case where a perturbation of a finite number of moments is introduced in (13). In Section 2, necessary and sufficient conditions for the regularity of the perturbed functional are obtained, as well as a connection formula that relates the corresponding families of monic orthogonal polynomials. For the positive definite case, the study of the perturbation through the inverse Szegó transformation will be analyzed in Section 3. An illustrative example will be presented in Section 4.
2. A perturbation on a finite number of moments associated with a linear functional L
Let L be a quasi-definite linear functional on the linear space of Laurent polynomials, and let {cn}n∈Z be its associated sequence of moments.
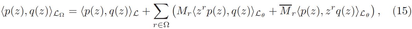
Definition 2.1. Let Ω be a finite set of non negative integers. The linear functional LΩ is defined such that the associated bilinear functional satisfies

where Mr ∈ C, p, q ∈ P, and (·, ·)Lθ is the bilinear functional associated with the normalized Lebesgue measure in the unit circle.
Notice that, from (15), one easily sees that

In other words, LΩ represents an additive perturbation of the moments cr and c−r of L, with r ∈ Ω. The rest of the moments remain unchanged. This is, the Toeplitz matrix associated with LΩ is

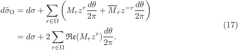
and therefore LΩ is also Hermitian. Moreover, if L is a positive definite functional, then the above perturbation can be expressed in terms of the corresponding measures as

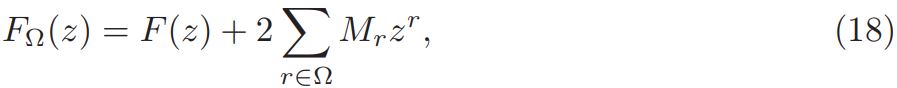
On the other hand, if FΩ(z) is the Carathéodory function associated with LΩ, then

which is a linear spectral transformation of F(z). The following notation will be used hereinafter:
§ A(s1,s2;l1,l2;r) will denote a (s2 − s1 + 1) × (l2 − l1 + 1) matrix whose entries are a(s,l)r, where s1 ≤ s ≤ s2 and l1 ≤ l ≤ l2,. For instance,
A(2,3;4,5;6) = [a(2,4)6 a(3,4)6 a(2,5)6 a(3,5)6]
§ Ψn(0) = [ψn(0) (0), ··· , ψn(n−1) (0)]T and Φn(0) = [φn(0) (0), ··· , φn(n−1) (0)]T.
§ In will denote the n × n identity matrix.
§ Derivatives of negative order are defined as zero. For instance, Kn(0,−2) (z,y) ≡ 0.
Necessary and sufficient conditions for the regularity of LΩ, as well as the relation between the corresponding sequences of orthogonal polynomials, are given in the next result.
Proposition 2.2. Let L be a quasi-definite linear functional and let {φn}n≥0 be its associated monic orthogonal polynomials sequence (MOPS). The following statements are equivalent[1]
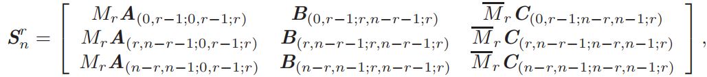
2. The matrix In + ∑r∈Ω Srn is nonsingular, and

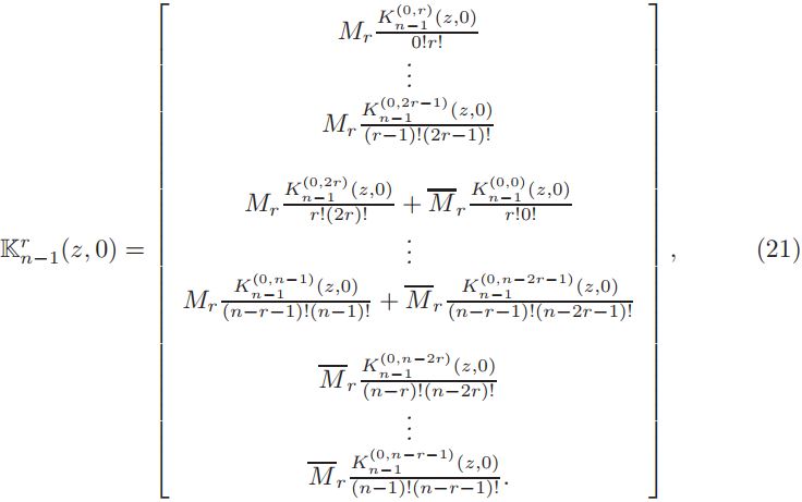
With


And

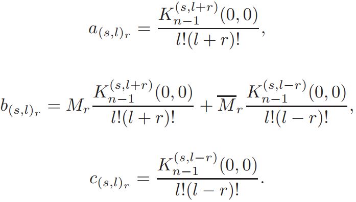
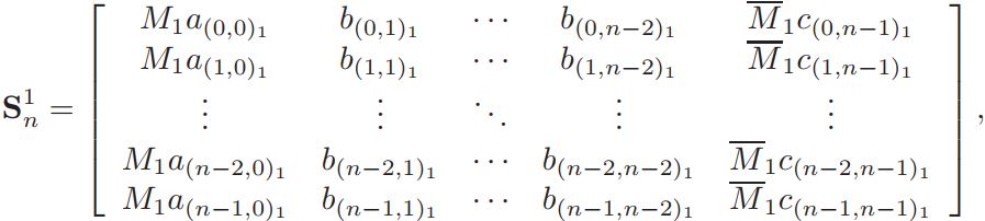
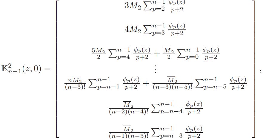
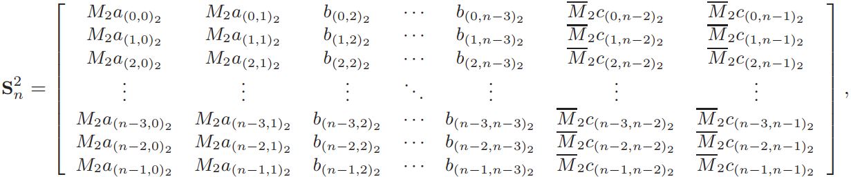
where the entries of the matrices A, B and C are given by

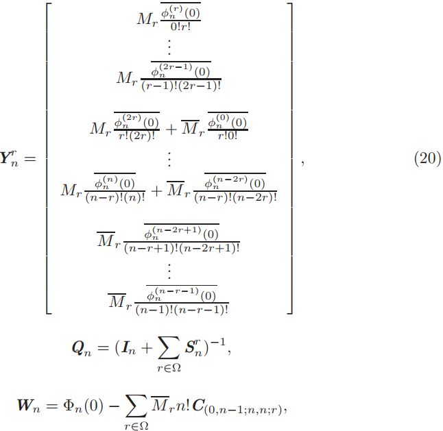
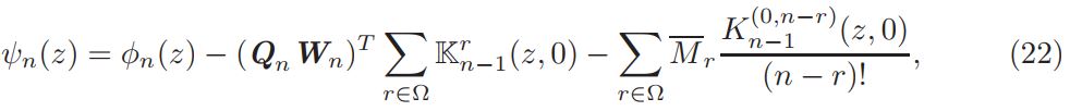
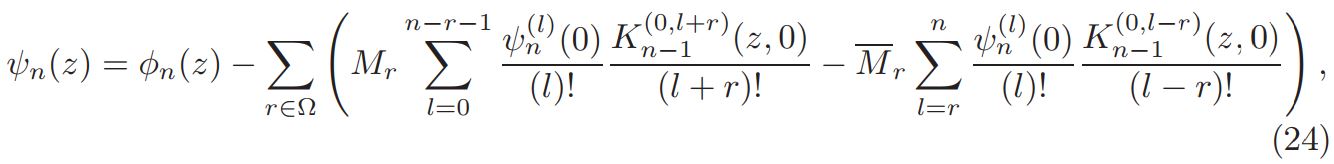
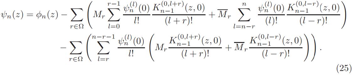
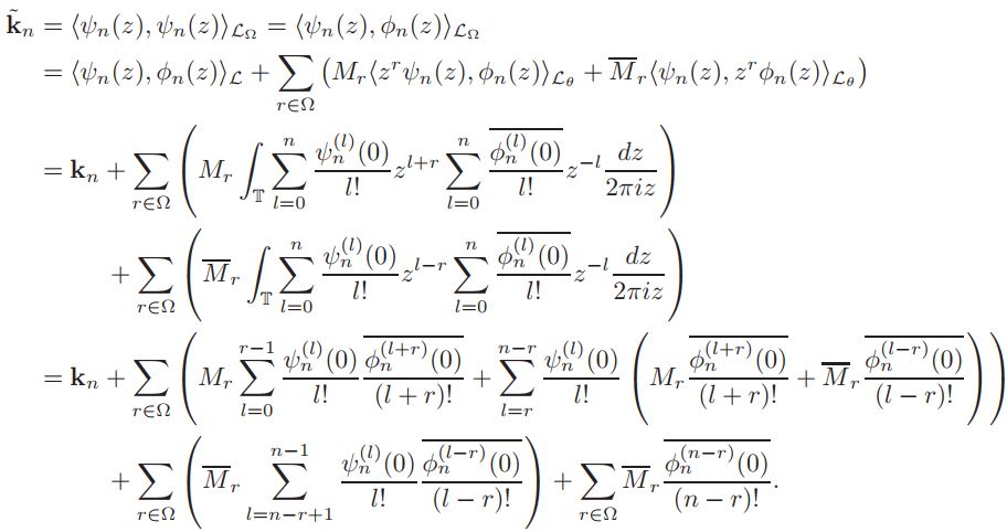
Furthermore, if {ψn}n≥0 denotes the MOPS associated with LΩ, then

for every n ≥ 1.
Remark 2.3. Notice that Qn and Srn are n×n matrices, whereas Yrn, Wn and Krn−1(z, 0) are n-th dimensional column vectors.
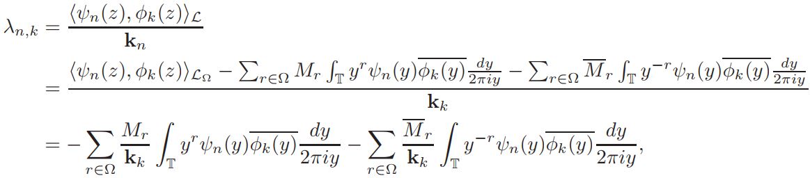
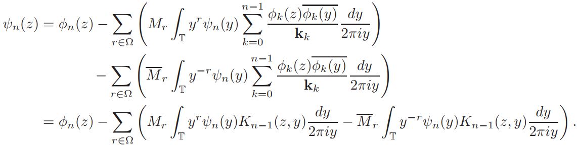
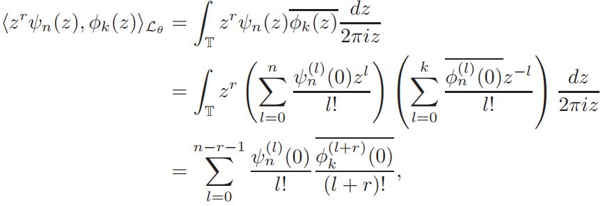
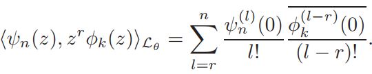
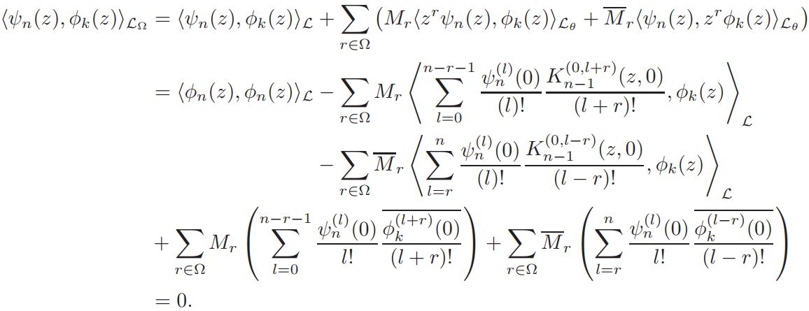
Proof. Assume LΩ is a quasi-definite linear functional, and denote by {ψn}n≥0 its associated MOPS. Let us write

where, for 0 ≤ k ≤ n − 1,

and notice that (ψn(z), φk(z))L ≠ 0 (in general), and (ψn(z), φk(z))LΩ = 0 for n > k.
Substituting in (23) and using (7), we get

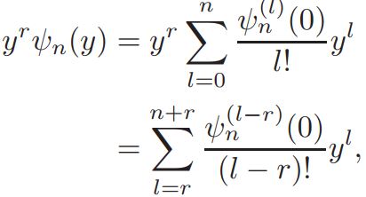
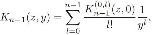
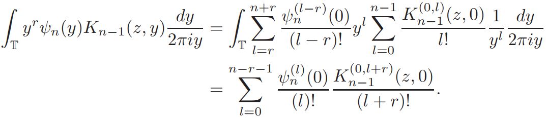
From the power series expansion of ψn(y) and Kn−1(z,y), we have

and for |y| = 1,

and since ʃT yr−t dy/2πiy = 1 if r = t and zero otherwise, we arrive at

Similarly,

As a consequence, we get

which after a reorganization of the terms becomes

In order to find the constant values ψ(l)n (0), we take s derivatives, 0 ≤ s ≤ n, with respect to the variable z and evaluate at z = 0 to obtain the (n + 1) × (n + 1) linear system

If we denote

then the linear system becomes

Notice that the last equation (i.e., when s = n) gives no information, since a(n,l)r = b(n,l)r = c(n,l)r = 0 and ψn(n) (0) = φn(n) (0) = n!. As a consequence, the (n + 1) × (n + 1) linear system can be reduced to an n × n linear system that can be expressed in matrix form as

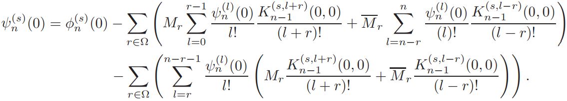
Since LΩ is quasi-definite, it has a unique MOPS and therefore the linear system has a unique solution. As a consequence, the matrix In + ∑r∈Ω Srn is nonsingular and

This is, we have

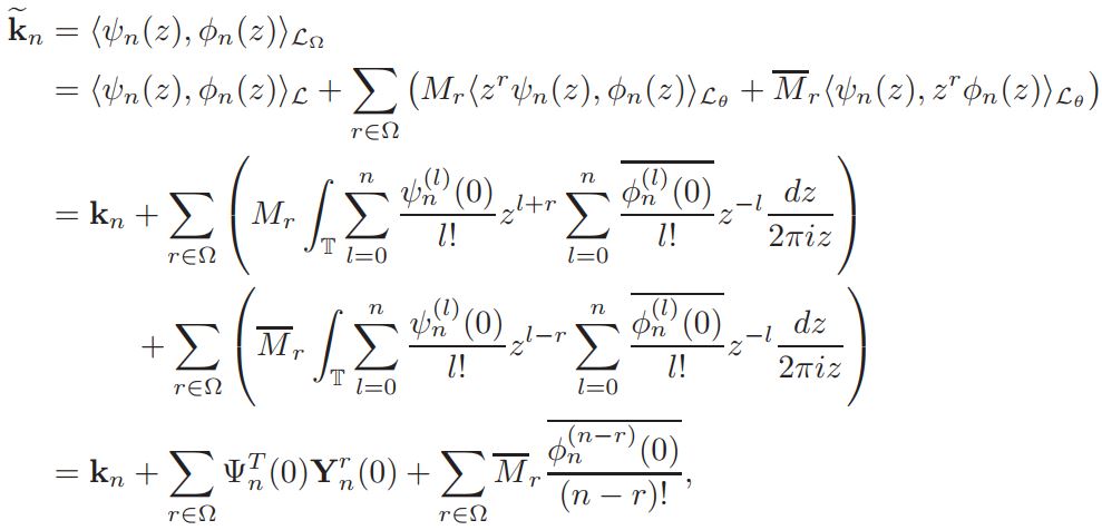
which is (22). On the other hand, for n ≥ 0,

Using (20) and (27), we get

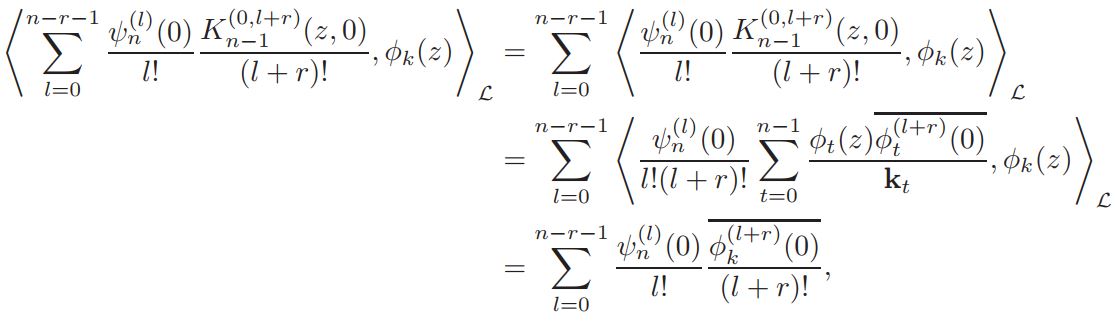
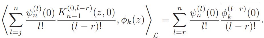
Conversely, assume In + ∑r∈Ω Srn is nonsingular for every n ≥ 1 and define {ψn}n≥0 as in (22). For 0 ≤ k ≤ n − 1, we have

and, similarly,

In addition,

and also

Thus, for 0 ≤ k ≤ n − 1, and taking into account (24) and the previous equations, we have

On the other hand,

which is different from 0 by assumption. Therefore, LΩ is quasi-definite.
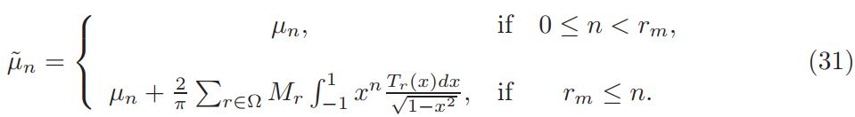
Notice that if rm = min{r : r ∈ Ω}, then from Proposition 2.2 we conclude that if n < rm then Krmn−1 is the zero vector, K(0,n−rm)n−1 (z, 0) = 0 and according to (22) we have ψn(z) = φn(z). This means that the only affected polynomials are those with degree n ⋟ rm.
3. Finite moments perturbation through the inverse Szegó transformation
Let σ be a positive measure supported on the unit circle such that its corresponding moments {cn}n∈Z are real. Assume also that the perturbed measure σΩ, defined by (17), is also positive and that Mr with r ∈ Ω is real, so that the moments associated with σΩ are also real. Our goal in this section is to determine the relation between the positive Borel measures α and αΩ, supported in [−1, 1], which are associated with σ and σ˜Ω, respectively, via the inverse Szegó transformation. This relation will be stated in terms of the corresponding measure and their sequences of moments.
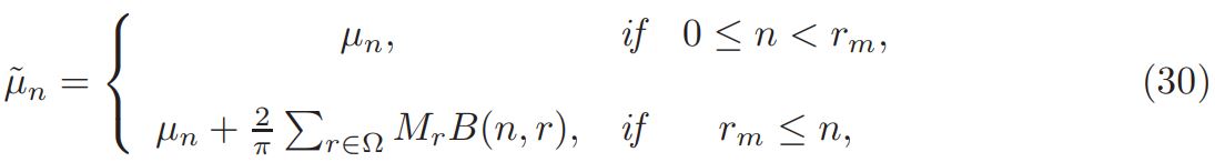
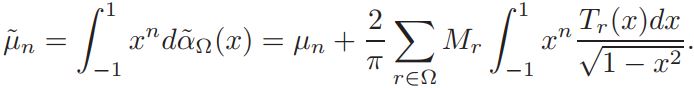
Proposition 3.1. Let σ be a positive nontrivial Borel measure with real moments supported in the unit circle, and let α be its corresponding measure supported in [−1, 1], obtained through the inverse Szegó transformation. Let {cn}n∈Z and {µn}n≥0 be their corresponding sequences of moments. Assume that σΩ, defined by (17) with r ∈ Ω and Mr ∈ R, is positive. Then, the measure αΩ, obtained by applying the inverse Szegó transformation to σΩ, is given by

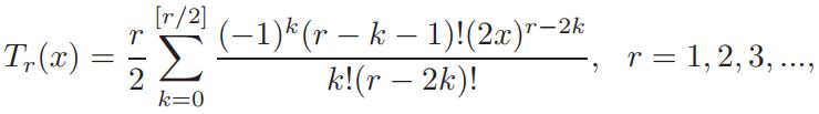
where Tr(x) := cos(rθ) is the r-th degree Chebyshev polynomial of the first kind. Its corresponding sequence of moments is

With



Proof. Notice that, setting z = eiθ, x = cos θ, and taking into account that the inverse Szegó transformation applied to the normalized Lebesgue measure dθ/2π yields the Chebyshev measure of the first kind dx/π √1−x2, the measure αΩ obtained by applying
the inverse Szegó transformation to σΩ is given by

Notice that a measure that changes its sign in the interval [−1, 1] is added to dα. Then, the moments associated with αΩ are given by

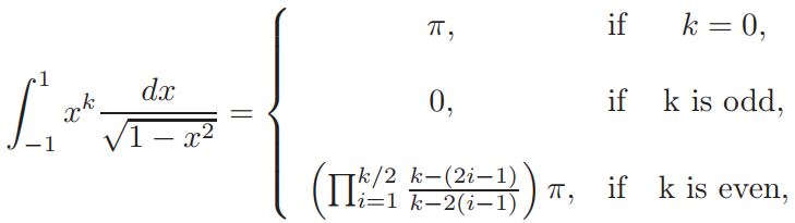
As a consequence, by the orthogonality of Tr(x), we obtain for the n-th moments with n /∈ Ω

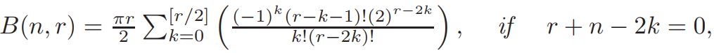
Furthermore (see [8]), we have

where [r/2] = r/2 if r is even and [r/2] = (r − 1)/2 if r is odd. Therefore,

and, since

(31) becomes (30).
From the previous proposition we can conclude that a perturbation of the moments cr and c−r with r ∈ Ω, associated with a measure σ supported in the unit circle, results in a perturbation, defined by (30), of the moments µn, n ⋟ rm, associated with a measure α supported in [−1, 1], when both measures are related through the inverse Szegó transformation.
4. Example
Let L be the Christoffel transformation of the normalized Lebesgue measure with parameter ξ = 1, i.e., (p(z), q(z))L = ((z − 1)p(z),(z − 1)q(z))Lθ , and let Ω = {1, 2}. Then,

i.e., the moments of order 1 and 2 are perturbed. Since the sequence {zn}n≥0 is orthogonal with respect to Lθ, the MOPS associated with ((z −1)p(z),(z −1)q(z))Lθ is given by (see [1])

or, equivalently,

and its corresponding reversed polynomial is

Furthermore, if 0 ≤ s ≤ n, we have

and if 0 ≤ t, s ≤ n − 1,

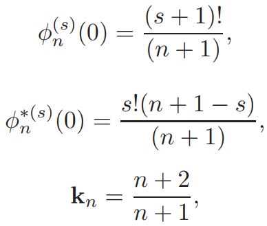
As a consequence, we have



We now proceed to obtain the MOPS associated with L{1,2}, denoted by {ψn}n≥0. Notice that we have c(s,n)1 = (s+1)!/n!(n+1) , c(s,n)2 = 2(s+1)!/n!(n+1) if 0 ≤ s ≤ n − 2 and c(n−1,n)2 = n−1/n(n+1) , and thus

On the other hand, for n ≥ 2 we have


and for n ≥ 3,


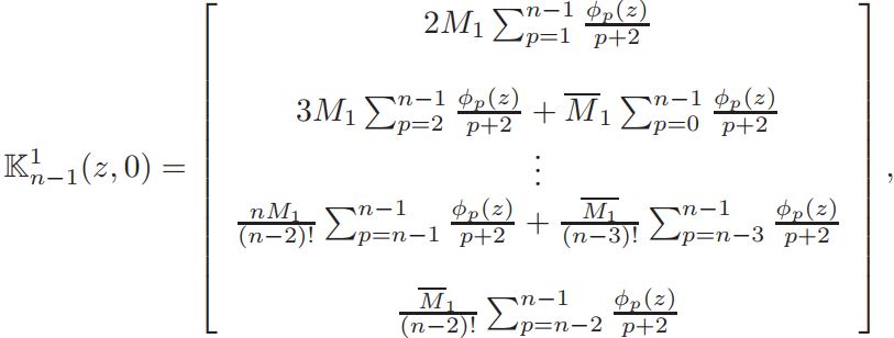
For illustrative purposes, we compute the first polynomials of the sequence:
§ Degree one:

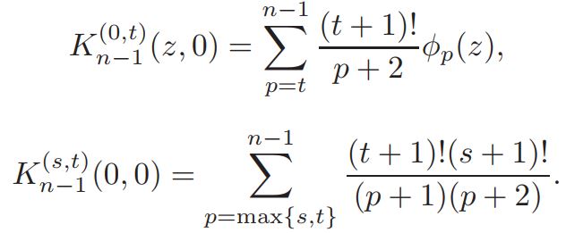
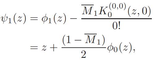
since K10 (z, 0) = 0, K20(z, 0) = 0 and φ1(z) = z + 1/2φ0(z).
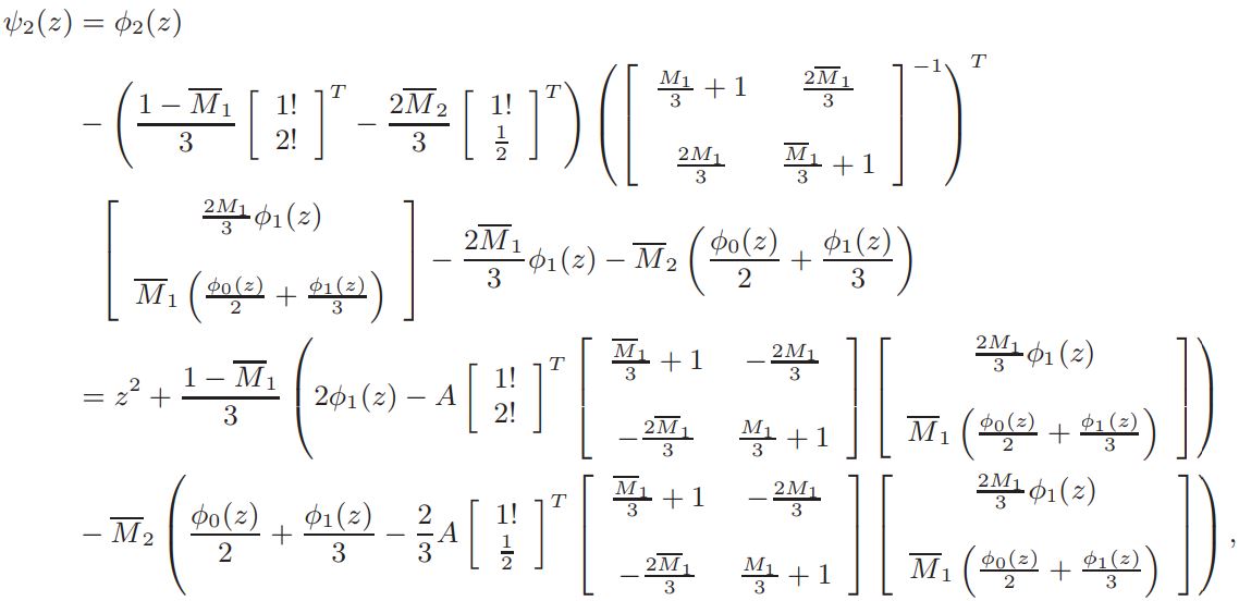
§ Degree two:

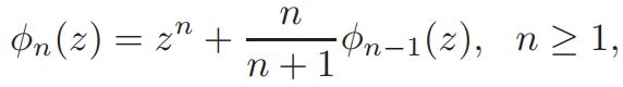
since K21(z, 0) = 0, φ2(z) = z2 + 2/3 φ1(z) and A = 1/det(I2+S1 2+S2 2) = 9/|M1+3|2−4|M1|2 .
§ In general, the n-th degree polynomial is

since φn(z) = zn + n/n+1 φn−1(z).
On the other hand, assuming that the linear functional (32) is positive definite, the associated measure is

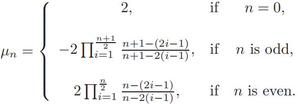
and the corresponding moments are given by

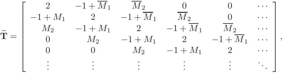
Thus, the perturbed Toeplitz matrix is

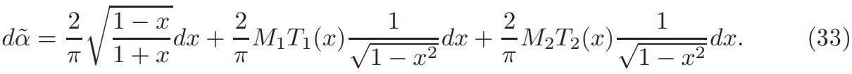
i.e., the first and second subdiagonals are perturbed. Furthermore, since dα = 2/π √1−x/1+x dx is the measure obtained applying the inverse Szegó transformation to dσ = |z − 1|2 dθ/2π, then according to (29) the measure supported in [−1, 1] is

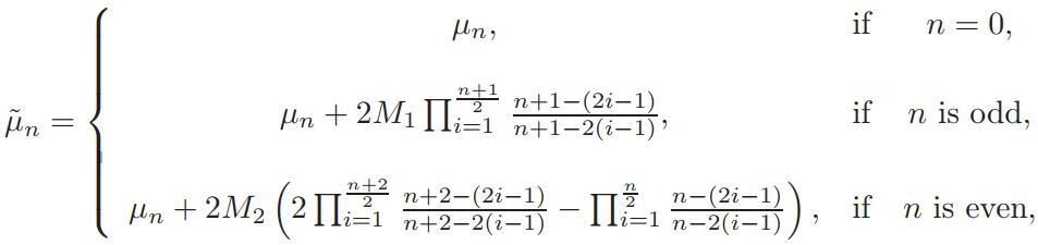
Then, according to (30), the perturbed moments associated with the measure (33) are

where {µn}n≥0 are the moments associated with the measure dα = 2 π √1−x/1+x, and

Acknowledgements
The work of the second author was supported by Consejo Nacional de Ciencia y Tecnología of México, grant 156668. Both authors thank the anonymous referees for her/his valuable comments and suggestions. They contributed greatly to improve the presentation and contents of the manuscript.
References
[1] Bueno M.I. and Marcellán F., “Polynomial perturbations of bilinear functionals and Hessenberg matrices”, Linear Algebra Appl. 414 (2006), No. 1, 64–83.
[2] Castillo K., Garza L.E. and Marcellán F., “Linear spectral transformations, Hessenberg matrices and orthogonal polynomials”, Rend. Circ. Mat. Palermo (2) Suppl. (2010), No. 82, 3–26.
[3] Castillo K., Garza L.E. and Marcellán F., “Perturbations on the subdiagonals of Toeplitz matrices”, Linear Algebra Appl. 434 (2011), No. 6, 1563–1579.
[4] Castillo K. and Marcellán F., “Generators of rational spectral transformations for nontrivial C-functions”, Math. Comp. 82 (2013), No. 282, 1057–1068.
[5] Fuentes E. and Garza L.E., “Analysis of perturbations of moments associated with orthogonality linear functionals through the Szeg´´o transformation”, Rev. Integr. Temas Mat. 33 (2015), No. 1, 61–82.
[6] Garza L., Hernández J. and Marcellán F., “Spectral transformations of measures supported on the unit circle and the Szegó transformation”, Numer. Algorithms. 49 (2008), No. 1-4, 169–185.
[7] Grenander U. and Szegó G., Toeplitz forms and their applications, Second ed., Chelsea Publishing Co., New York, 1984.
[8] Kreyszig E., Introductory functional analysis with applications, John Wiley & Sons Inc., New York, 1989.
[9] Peherstorfer F., “A special class of polynomials orthogonal on the circle including the associated polynomials”, Constr. Approx. 12 (1996), No. 2, 161–185.
[10] Simon B., Orthogonal polynomials on the unit circle. Part 1 and 2, American Mathematical Society Colloquium Publications 54, American Mathematical Society, Providence, RI, 2005.
[11] Szegó G., Orthogonal polynomials, Fourth ed., American Mathematical Society Colloquium Publications 23, American Mathematical Society, Providence, RI, 1975.
[12] Zhedanov A., “Rational spectral transformations and orthogonal polynomials”, J. Comput. Appl. Math. 85 (1997), No. 1, 67–86.
Notes