Original articles
An Introduction to the Theory of Local Zeta Functions from Scratch
Una Introducción a la Teoría de las Funciones Zeta Locales para principiantes
An Introduction to the Theory of Local Zeta Functions from Scratch
Revista Integración, vol. 37, no. 1, pp. 45-76, 2019
Universidad Industrial de Santander
Received: 16 November 2018
Accepted: 11 December 2018
Abstract:
This survey article aims to provide an introduction to the theory of local zeta functions in the p-adic framework for beginners. We also give an extensive guide to the current literature on local zeta functions and its connections with other fields in mathematics and physics.
MSC2010: 11S40, 11S80, 11M41, 14G10.
Keywords: Local zeta functions, p-adic analysis, local fields, stationary phase formula.
Resumen: En este artículo panorámico brindamos una introducción a la teoría de las funciones zeta locales p-ádicas para principiantes. También se presenta una revisión extensiva a la literatura especializada sobre funciones zeta locales y sus conexiones con otros campos de las matemáticas y la física.
Palabras clave: Funciones zeta locales, análisis p-ádico, cuerpos locales, fórmula de la fase estacionaria.
1. Introduction
In these notes we provide an introduction to the theory of local zeta functions from scratch. We assume essentially a basic knowledge of algebra, metric spaces and basic analysis, mainly measure theory. Let
be a local field, for instance
the field of p-adic numbers, or
the field of formal Laurent series with coefficients in a finite field with p elements. Let
be a non-constant polynomial and let 92 be a test function. The local zeta function attached to the pair (h, 9) is defined as

where
denotes the absolute value of
, s ∈ C, and dnx denotes a normalized Haar measure of the topological group (
n, +). These integrals give rise to holomorphic functions of s in the half-plane Re(s) > 0. If
has characteristic zero, then
admits a meromorphic continuation to the whole complex plane. The p-adic local zeta functions (also called Igusa's local zeta functions) are connected with the number of solutions of polynomial congruences mod pm and with exponential sums mod pm (see e.g., [14], [28], [31]).
In the Archimedean case,
the study of local zeta functions was initiated by Gel'fand and Shilov 21]. The meromorphic continuation of the local zeta functions was established, independently, by Atiyah [4] and Bernstein [6] (see also [31, Theorem 5.5.1 and Corollary 5.5.1]). The main motivation was that the meromorphic continuation of Archimedean local zeta functions implies the existence of fundamental solutions (i.e. Green functions) for differential operators with constant coefficients. It is important to mention here, that in the p-adic framework, the existence of fundamental solutions for pseudo differential operators is also a consequence of the fact that the Igusa local zeta functions admit a meromorphic continuation (see [33, Chapter 10] and [62, Chapter 5]).
On the other hand, in the middle 60s, Weil initiated the study of local zeta functions, in the Archimedean and non-Archimedean settings, in connection with the Poisson-Siegel formula [59]. In the 70s, Igusa developed a uniform theory for local zeta functions over local fields of characteristic zero [28], [30]. More recently, Denef and Loeser introduced in [15] the topological zeta functions, and in [16] they introduce the motivic zeta functions, which constitute a vast generalization of the p-adic local zeta functions.
In the last thirty-five years there has been a strong interest on p-adic models of quantum field theory, which is motivated by the fact that these models are exactly solvable. There is a large list of p-adic type Feynman and string amplitudes that are related with local zeta functions of Igusa-type, and it is interesting to mention that it seems that the mathematical community working on local zeta functions is not aware of this fact (see e.g. [2], [5], [7], [10]-[13], [18]-[20], [22]-[24], [27], [38], [39], [42], [48]-[52], and the references therein).
The connections between Feynman amplitudes and local zeta functions are very old and deep. Let us mention that the works of Speer [50] and Bollini, Giambiagi and González Domínguez [11] on regularization of Feynman amplitudes in quantum field theory are based on the analytic continuation of distributions attached to complex powers of polynomial functions in the sense of Gel'fand and Shilov [21] (see also [5], [7], [10] and [42], among others). This analogy turns out to be very important in the rigorous construction of quantum scalar fields in the p-adic setting (see [43] and the references therein).
The local zeta functions are also deeply connected with p-adic string amplitudes. In [8], the authors proved that the p-adic Koba-Nielsen type string amplitudes are bona fide integrals. They attached to these amplitudes Igusa-type integrals depending on several complex parameters and show that these integrals admit meromorphic continuations as rational functions. Then they used these functions to regularize the Koba-Nielsen amplitudes. In [9], the authors discussed the limit p approaches to one of tree-level p-adic open string amplitudes and its connections with the topological zeta functions. There is empirical evidence that p-adic strings are related to the ordinary strings in the limit p → 1. Denef and Loeser established that the limit p → 1 of a Igusa's local zeta function gives rise to an object called topological zeta function. By using Denef-Loeser's theory of topological zeta functions, it is showed in [9] that limit p → 1 of tree-level p-adic string amplitudes give rise to certain amplitudes, that we have named Denef-Loeser string amplitudes.
Finally, we want to mention about the remarkable connection between local zeta functions and algebraic statistics (see [40], [58]). In [58] is presented an interesting connection with machine learning.
This survey article is based on well-known references, mainly Igusa's book [31]. The work is organized as follows. In Section 2, we introduce the field of p-adic numbers, and we devote Section 3 to the integration theory over
Section 4 is dedicated to the implicit function theorems on the p-adic field. In Section 5, we introduce the simplest type of local zeta function and show its connection with number of solutions of polynomial congruences mod pm. In Section 6, we introduce the stationary phase formula and use it to establish the rationality of local zeta functions for several type of polynomials. Finally, in Section 7, we state Hironaka's resolution of singularities theorem, and we use it to prove the rationality of the simplest type of local zeta functions in Section 8.
For an introduction to p-adic analysis the reader may consult [1], [25], [32], [35], [46], [47], [53] and [56]. For an in-depth discussion of the classical aspects of the local zeta functions, we recommend [3], [14], [21], [28], [30], [31], [41]. There are many excellent surveys about local zeta functions and their generalizations. For an introduction to Igusa's zeta function, topological zeta functions and motivic integration we refer the reader to [14], [16], [17], [44], [45], [55]. A good introduction to local zeta functions for pre-homogeneous vector spaces can be found in [30], [31] and [34]. Some general references for differential equations over non-Archimedean fields are [1], [33], [56], [62]. Finally, the reader interested in the relations between p-adic analysis and mathematical physics may enjoy [12], [13], [19], [20], [22]- [24], [27], [33], [37]- [39], [43], [48], [49], [52], [54], [56], [57] and [62].
2. p-adic Numbers- Essential Facts
2.1. Basic Facts
In this section we summarize the basic aspects of the field of p-adic numbers, for an in-depth discussion the reader may consult [1], [25], [32], [35], [46], [47], [53] and [56].
Definition 2.1. Let F be a field. An absolute value on F is a real-valued function, | · |, satisfying


Definition 2.2. An absolute value | · | is called non-Archimedean (or ultrametric), if it satisfies

Example 2.3. The trivial absolute value is defined as

From now on we will work only with non trivial absolute values.
Definition 2.4. Given two absolute values | · |1, | · |2 defined on F, we say that they are equivalent, if there exists a positive constant c such that

for any x ∈ F.
Definition 2.5. Let p be a fixed prime number, and let x be a nonzero rational number. Then,
for some a ,b, k ∈
with p ∤ ab. The p-adic absolute value of x is defined as

Lemma 2.6. The function | · |pis a non-Archimedean absolute value on
The proof is left to the reader. In fact, we kindly invite the reader to prove all the results labeled as Lemmas in these notes.
Theorem 2.7 (Ostrowski, [35]). Any non trivial absolute value on
is equivalent to | · |por to the standard absolute value | · |∞.
An absolute value | · | on F allow us to define a distance d(x, y) := |x − y|, x, y ∈ F. We now introduce a topology on F by giving a basis of open sets consisting of the open balls Br (a) with center a and radius r > 0:

A sequence of points
is called Cauchy if

A field F with a non trivial absolute value | · | is said to be complete if any Cauchy sequence
has a limit point x* ∈ F, i.e. if |xn - x*| → 0, n → ∞. This is equivalent to the fact that (F, d) , with d(x, y) = | x - y| , is a complete metric space.
Remark 2.8. Let (X, d), (Y, D) be two metric spaces. A bijection p : X → Y satisfying

is called an isometry.
The following fact is well-known (see e.g. [36]).
Theorem 2.9. Let (M, d) be a metric space. There exists a complete metric space
such that M is isometric to a dense subset of
The field of p-adic numbers
p is defined as the completion of
with respect to the distance induced by | · |p. Any p-adic number x ≠ 0 has a unique representation of the form

where
The integer γ is called the p-adic order of x, and it will be denoted as ord(x). By definition ord(0) = +∞.
Lemma 2.10. Let (F, | · |) be a valued field, where | · | is a non-Archimedean absolute value. Assume that F is complete with respect to | · |. Then, the series
converges if, and only if, limk→∞ |ak | = 0.
Since |xipi+r |p = p-i-r → 0, i → ∞, from Lemma 2.10 we conclude that series (1) converges in | · |p.
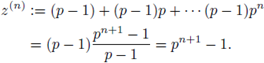
Example 2.11.

Indeed, set

Then limn→∞ z(n) = limn→∞ pn+1 - 1 = 0 - 1 = -1, since = |pn+1|p = p−n−1.
The unit ball

is a ring, more precisely, it is a domain of principal ideals. Any ideal of Zp has the form

Indeed, let
be an ideal. Set
, and let x0 ∈ I such that ord(xo) = m0. Then

From a geometric point of view, the ideals of the form
constitute a fundamental system of neighborhoods around the origin in
The residue field of
is
(the finite field with p elements).
The group ofunits of
is

Lemma 2.12. x = x0 + x1p + ... ∈
is a unit if, and only if, x0 ≠ 0. Moreover if x ∈
\ {0}, then
2.2. Topology of Qp
As we already mentioned,
with d(x,y) = |x → y|p is a complete metric space. Define

as the ball with center a and radius pr, and

as the sphere with center a and radius pr.
The topology of
is quite different from the usual topology of
First of all, since
the radii are always integer powers of p; for the sake of brevity we just use the power in the notation Br(a) and Sr(a). On the other hand, since the powers of p and zero form a discrete set in
in the definition of Br (a) and Sr (a) we can always use '≤'. Indeed,

Remark 2.13.

We declare Br(a), r ∈
a ∈
, are open subsets; in addition, these sets form a basis for the topology of
.
Proposition 2.14. Sr (a), Br (a) are open and closed sets in the topology of
.
Proof. We first show that Sr(a) is open. Note that
then

is an open set.
In order to show that Sr (a) is closed, we take a sequence
of points of Sr (a) converging to
We must show that
Note that
Since {xn} is a Cauchy sequence, we have

thus
is also Cauchy, and since QP is complete, un →
Then
so in order to conclude our proof we must verify that
Because um is arbitrarily close to
their p-adic expansions must agree up to a big power of p, hence

A similar argument shows that Br(a) is closed.
Proposition 2.15. f b ∈ Br(a) then Br(b) = Br(a), i.e., any point of the ball Br(a) is its center.
Proof. Let x ∈ Br (b); then,

i.e., Br(b) ⊆ Br(a). Since a ∈ Br(b) (i.e. |b - a|p = |a - b|p ≤ pr), we can repeat the previous argument to show that Br(a) ⊆ Br (b). 0
Lemma 2.16. The following assertions hold:
(i) any two balls in
are either disjoint or one is contained in another;
(ii) the boundary of any ball is the empty set.
Theorem 2.17 ([1, Sec. 1.8]). A set K ⊂
is compact if, and only if, it is closed and bounded in
.
2.3. The n-dimensional p-adic space
We extend the p-adic norm to
by taking

We define
then, ||x||p = p-ord(x). The metric space
is a separable complete ultrametric space (here, separable means that
contains a countable dense subset, which is
).
For r ∈
denote by
the ball of radius pr
with center at a = (a1,...,an) ∈
and take
Note that
where
is the one-dimensional ball of radius pr with center at
The ball
equals the product of n copies of Bo =
. We also denote by
the sphere ofradius prwith center at a = (a1, . . . , an) ∈
, and take
We notice that
(the group of units of
), but

As a topological space
is totally disconnected, i.e., the only connected subsets of
are the empty set and the points. Two balls in
are either disjoint or one is contained in the other. As in the one dimensional case, a subset of
is compact if, and only if, it is closed and bounded in
. Since the balls and spheres are both open and closed subsets in QJ, one has that
is a locally compact topological space.
3. Integration on Qp
For this section we assume a basic knowledge of measure theory (see e.g. [26]).
Theorem 3.1 ([26, Thm B. Sec. 58]). Let (G, ·) be a locally compact topological group. There exists a Borel measure dx, unique up to multiplication by a positive constant, such that
for every non empty Borel open set U, and
for every Borel set E.
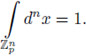
The measure dx is called a Haar measure of G. Since (
, +) is a locally compact topological group, by Theorem 3.1 there exists a measure dx, which is invariant under translations, i.e., d(x + a) = dx. If we normalize this measure by the condition

then dx is unique.
For the n-dimensional case we use that (
, +) is a locally compact topological group. We denote by dnx the product measure dxi ... dxn such that

This measure also satisfies that dn(x + a) = dnx, for a ∈
The open compact balls of ,
, generate the Borel σ-algebra of
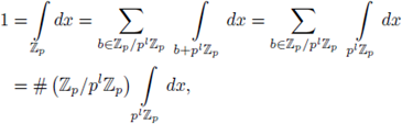
The measure dnx assigns to each open compact subset U a nonnegative real number
which satisfies

for all compact open subsets Uk in
, which are pairwise disjoint, and verify
is still compact. In addition,

3.1. Integration of locally constant functions
A function
is said to be locally constant if for every x ∈
there exists an open compact subset U, containing x, and such that f (x) = f (u) for all u ∈ U.
Lemma 3.2. Every locally constant function is continuous.
Remark 3.3. Set
then I is countable. We fix a set of representatives for the elements of I of the form

If V is an open subset of
, then for any x ∈ V there exists a ball contained in V of the form

for some j ∈ In and m ∈
containing x. Consequently,
is a second-countable space.
Any locally constant function
can be expressed as a linear combination of characteristic functions of the form

where


and
is an open compact for every k. In the proof of this fact one may use Remark 3.3.
Let
be a locally constant function as in (3). Assume that
with Ui open compact. Then we define

We recall that, given a function
the support of 9 is the set

A locally constant function with compact support is called a p-adic test function or a Bruhat-Schwartz function. These functions form a C-vector space denoted as D. From (2) and (4) one has that the mapping

is a well-defined linear functional.
3.2. Integration of continuous functions with compact support
We now extend the integration to a larger class of functions. Let U be a open compact subset of
. We denote by C(U,
) the space of all the complex-valued continuous functions supported on U, endowed with the supremum norm. We denote by
the space of all the complex-valued continuous functions vanishing at infinity, endowed also with the supremum norm. The function 9 vanishes at infinity, if given ε > 0, there exists a compact subset K such that

It is known that
is dense in
(see, e.g., [53, Prop. 1.3]). We identify C(U,
) with a subspace of
, therefore
is dense in C(U,
).
We fix an open compact subset U and consider the functional (5), since

This means that if f ∈ C(U,
) and
is any sequence in
approaching f in the supremum norm, then

3.3. Improper Integrals
Our next task is the integration of functions that do not have compact support. A
is said to be locally integrable,
if

exists for every compact K.
Example 3.4. The function |x|pis locally integrable but not integrable.
Definition 3.5 (Improper Integral). A function
is said to be integrable in
if

exists. If the limit exists, it is denoted as
and we say that the improper integral exists.
Note that

3.4. The change of variables formula in dimension one
Let us start with the formula

which means the following:

for every Borel set
for instance an open compact subset. Consider

with
is a topological and algebraic isomorphism. Then
is a Haar measure for (
, +), and by the uniqueness of such measure, there exists a positive constant C(a) such that
To compute C(a) we can pick any open compact set, for instance
and then we must show

Let us consider first the case
Fix a system of representatives
then,

And

i.e.,

The case
is treated in a similar way.
Now, if we take
where U is a Borel set, then

The formula follows by changing variables as x = ay + b. Then we get dx = d (ay + b) = d(ay) = | a|p dy, because the Haar measure is invariant under translations and formula (6).
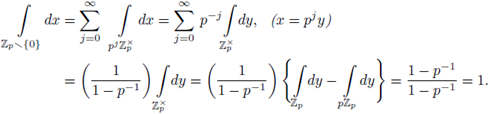
Example 3.6. Take U =
\ {0}. We show that

Notice that U is not compact, since the sequence
converges to 0 ∈ U. Now, by using

we have

This calculation shows that
\ {0} has Haar measure 1 and that {0} has Haar measure 0.
Example 3.7. For any r ∈
,

Example 3.8. For any r ∈
,

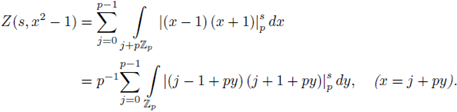
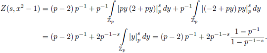
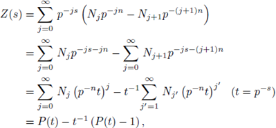
Example 3.9. Set

We prove that Z(s) has a meromorphic continuation to the whole complex plane as a rational function of p-s.
Indeed,

We now note that the right hand-side is defined for any complex number s ≠ -1, therefore, it gives a meromorphic continuation of Z(s) to the half-plane Re(s) < -1. Thus we have shown that Z(s) has a meromorphic continuation to the whole
with a simple pole at Re(s) = -1.
Example 3.10. Let
be a radial function, i.e., f(x) = f(|x|p). If
then

Example 3.11. By using
one may show that

Example 3.12. We compute

Let us take
as a system of representatives of
Then,

and

Let us consider first the integrals in which
i.e., the reduction mod p of j ∓ 1 is a nonzero element of
in this case,

and since p ≠ 2, there are exactly p - 2 of those j's; then,

Lemma 3.13. Take q (x) = FJ (x → a¿)ei ∈ Zp [x], a¿ ∈ Zp, ej ∈ N \ {0}. Assume that
Assume that
mod p. Then by using the methods presented in examples 3.9 and 3.12, one can compute the integral

3.5. Change of variables (general case)
A function
is said to be analytic on an open subset U ⊆
, if there exists a convergent power series
with
open, such that
for
In this case,
is a convergent power series. A function f is said to be bi-analytic if f and f-1 are analytic.
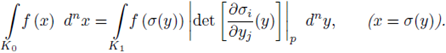
Let K0, K1 ⊂
be open compact subsets. Let σ : K1→ K0 be a bi-analytic function such that σ '(y) ≠ 0, y ∈ K1. Then, if f is a continuous function over K0,

4. Implicit Function Theorems on Qp
Let us denote by
[[x1,..., xn]], the ring of formal power series with coefficients in
. An element of this ring has the form

A formal series
is said to be convergent if there exists r ∈ Z such that
converges for
satisfying ||a||p = maxi |ai |p< pr . The convergent series form a subring of
[[x1,...,xn]], which will be denoted as

If for
there exists
such that
for all
we say that
is a dominant series for
and write

Proposition 4.1. A formal power series is convergent if, and only if, it has a dominant series.
Proof. Set
Assume that
then

and thus
is convergent by Lemma 2.10.
If
then there exists r ∈
such that
converges for any ||a|| p < pr. Choose r0 ∈
such that 0 < pr0 < pr. Then for every a ∈
satisfying ||a|| p < pr0 , we have

and thus
Hence,
for some positive constant M. Finally,

We say that
is a special restricted power series, abbreviated SRP, if f (0) = 0, i.e., c0 = 0, and ci = 0 mod p|i|−1, for any

Lemma 4.2. Assume that f (x) is a SRP; then the following assertions hold: (i) f (x) ∈
is convergent at every a in
Theorem 4.3 (First Version of the Implicit Function Theorem). (i) Take F (x,y) = (Fi (x,y),..., Fm (x, y)), with
such that Fi(0, 0) = 0, and

Then there exists a unique f (x) = (fi(x),..., fm(x)), with
fi(0) = 0, satisfying F (x, f (x)) = 0, i.e., Fi(x, f (x)) = 0 for all i.
(ii) If each Fi (x, y) is a convergent power series, then every fi (x) is a convergent power series. Furthermore, if a is near 0 in
then f (a) is near 0 in
and F (a, f (a)) = 0; and if (a, b) is near (0, 0) in
and F (a, b) = 0, then b = f (a).
For a proof of this result the reader may consult [31, Thm. 2.1.1].
Corollary 4.4 ([31, Cor. 2.1.1]).
for 1 ≤ i ≤ n, and

then there exists a unique f (x) = (fi(x),...,fn(x)) with fi(x) ∈
[[xi,...,xn]], fi (0) = 0, for all i, such that g (f(x)) = x.
(ii) If
then
for all i. Furthermore, if b is near 0 in
and a = g(b), then a is also near 0 in
and b = f(a). Therefore, y = f (x) gives rise to a bi-continuous map from a small neighborhood of 0 in
to another neighborhood of 0 in
.
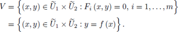
Remark 4.5. (i) Take
open subsets containing the origin. Assume that each Fi(x,y) : U1x U2 →
is a convergent power series. A set of the form

is called an analytic set. In the case in which all the Fi (x, y) are polynomials and
is called an algebraic set. If all the
satisfy the hypotheses of the implicit function theorem, V has a parametrization, possible after shrinking U1, U2, i.e. there exist open subsets containing the origin
such that

(ii) If we now use as coordinates

we have

We say that such V is a closed analytic submanifold of
of codimension m. The word 'closed' means that V is closed in the p-adic topology.
In the next version of the implicit function theorem we can control the radii of the balls involved in the theorem.
Theorem 4.6 (Second Version of the Implicit Function Theorem). (i) If Fi(x,y) ∈
for all i and

then there exists a unique solution f (x) = (f1(x),..., fm(x)), with fi(x) ∈
of F (x,f (x)) = 0, i.e. Fi (x, f (x)) = 0 for all i.
(ii) If every Fi(x, y) is an SRP in x1,..., xn,y1,...,ym, then every fi(x) is an SRP in x1,...,xn. Furthermore, if a ∈
then f (a) ∈
and F (a, f (a)) = 0, and if (a, b) ∈
satisfies F(a, b) = 0, then b = f (a).
For a proof of this result the reader may consult [31, Thm. 2.2.1].
Corollary 4.7 ([31, Cor. 2.2.1]). (i) If
for all i, and further

then every fj(x) in the unique solution of gi(f1(x),..., fn(x)) = x satisfying fj(0) = 0 is also in
(ii) If every gi(x) is a SRP in x1, . . . , xn, then every fj(x) is also a SRP in the same variables, and, y = f(x) gives rise to a bi-continuous map from
to itself.
Remark 4.8. Assume that every Fi(x,y) is a SRP in x,y. Take

Under the hypotheses of the second version of the implicit function theorem, we have

By using the coordinate system

V takes the form

and we will say V is a closed analytic submanifold of
of codimension m.
4.1. General change of variables formula
Theorem 4.9 ([31, Prop. 7.4.1]). Let K0, K1 ⊂
be open compact subsets, and let σ = (σ1, . . . , σn) : Ki → K0be a bi-analytic map such that

If f is a continuous function on K0, then

5. The Igusa local zeta functions
Let p be a fixed prime number. Set

the ring of integers modulo pm. Recall that any integer can be written in a unique form as

Thus we can identify, as sets, Am with

Take f (x) ∈
[x1,..., xn] \
, and define

A basic problem is to study the behavior of the sequence Nm as m → ∞.
More generally, we can take f (x) ∈
p [x1,... ,xn] \
p (recall that
⊂
p and that
), and

where x = y mod pm means x → y ∈ pm
p. To study the sequence
we introduce the following Poincaré series:

We expect that the analytic properties of P(t) provide information about the asymptotic behavior of the sequence
. A key question is the following:

In what follows we will use the convention: given a > 0 and s ∈
we set

Definition 5.1. Let
and let 92 be a locally constant function with compact support, i.e., an element of
The local zeta function (also called Igusa's local zeta function) attached to (f, φ) is

where dnx is the Haar measure of (
, +) normalized such that

Remark 5.2. Zφ (s, f) is an holomorphic function on the half-plane Re(s) > 0. For the proof of this fact the reader may consult [31, Lemma 5.3.1].
Given
we set

Proposition 5.3. With the above notation,

where P(t) is the Poincaré series defined in (7).
Proof. We first note that

On the other hand,

Now, take
satisfying ord (f (x0)) ≥ j, then, by using Taylor expansion,

we have ord (f (x0 + pjz)) ≥ j, for all z ∈
i.e.
This fact implies:

Therefore,

i.e.,
for Re(s) > 0. 0
Theorem 5.4 (Igusa, [31, Thm. 8.2.1]). Let f (x) be a non-constant polynomial in
There exist a finite number of pairs
such that

is a polynomial in p-swith rational coefficients.
The proof of this theorem will be given in Section 8. From Theorem 5.4 and Proposition 5.3, we get:
Corollary 5.5. P(t) is a rational function of t.
The rationality of P(t) was conjectured in the sixties by Borevich and Shafarevich. Igusa proved this result at middle of the seventies. The rationality of Zφ(s, f) also allows us to find bounds for the Nm's (see e.g. [28] and [31]).
The proof of Theorem 5.4 given by Igusa depends on a deep result in algebraic geometry known as Hironaka's resolution of singularities theorem. Now we introduce the stationary phase formula, which is an elementary method for computing p-adic integrals like Zφ(s, f), Igusa has conjectured in [29] that this method will conduct to a new elementary proof of the rationality of Zφ(s, f).
6. The Stationary Phase Formula
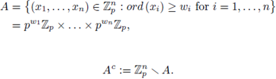
Let us identify Fp, set-theoretically, with {0,1,... ,p - 1}. Let '-' denote the reduction mod p map, i.e.,

This map can be extended to
The reduction mod p of a subset
will be denoted as
denotes its reduction mod p.
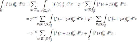
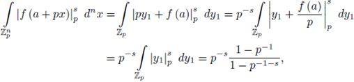
Proposition 6.1 (Stationary Phase Formula). Take
and denote by
the subset consisting of all
such that
mod p, for 1 ≤ i ≤ n. Denote by E, S the preimages of
under reduction mod p map
and by N the number of zeros of
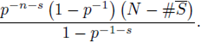
Then

Proof. By definition
then,

Take
such that
in this case,

and the contribution of these

Take now

say i = 1. Define

Then yi's are SRP's and
mod p; hence, the map x → y gives rise to a measure-preserving map from
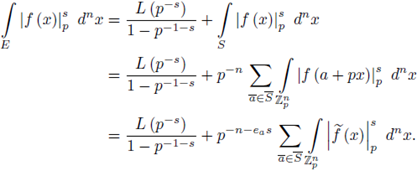
to itself (cf. Corollary 4.7). Therefore,

and the contribution of the points of the form (8) is

Set
The stationary phase formula, abbreviated SPF, can be re-written as

We can now apply SPF to each
Igusa has conjectured that by applying recursively SPF, it is possible to establish the rationality of integrals of type
in the case in which the polynomial f has coefficients in a non-Archimedean complete field of arbitrary characteristic.
The arithmetic of the Laurent formal series field

is completely analog to that of
. In particular, given a polynomial with coefficients in
we can attach to it a local zeta function, which is defined like in the p-adic case. The rationality of such local zeta functions is an open problem. The main difficulty here is the lack of a theorem of resolution of singularities in positive characteristic. The above-mentioned conjecture can be re-stated saying that the rationality of local zeta functions for polynomials with coefficients in
should follow by applying recursively SPF.
Remark 6.2. Take
If the system of equations

has no solutions in
then S = ∅, and by SPF,

Example 6.3. Let
be a homogeneous polynomial of degree d, such that
implies
We now compute Z(s, f). We use SPF with

therefore,

6.1. Singular points of hypersurfaces
Take

and define

Vf (
) is the set of
-rational points of the hypersurface defined by f. This notion can be formulated on an arbitrary field K. Set

is the set of Fp-rational points of the hypersurface defined by
If

then
A point a ∈ Vf (
) is said to be singular if
for 1 ≤ i ≤ n. The set of singular points of Vf (
) is denoted as Singf (
). We define
In a similar form we define

Note that
. In fact, it may occur that
and that
For instance, if f (x,y) = px + x2→ y3, then
, but

Example 6.4. We compute Z(s, f) for f (x, y) = px + x2 - y3by using SPF. Note that

then, by applying SPF,

By changing variables in the last integral as x = pu, y = pv, we have

We now apply SPF to the last integral. Take
Since the system ofequations

has no solutions,
by applying SPF we get

Remark 6.5. Take
If
but
then,

where L (p-s) is a polynomial in p-s with rational coefficients (see [60]- [61]). The denominator of Z (s, f) is controlled by
Nowadays the numerator is not fully understood, but it depends strongly on
The lack of
-singular point, i.e. Singf(
) = ∅, makes the denominator of Z (s,f) 'trivial': 1 or 1 → p-1-s.
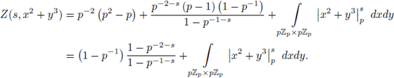
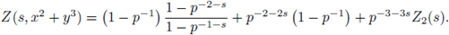
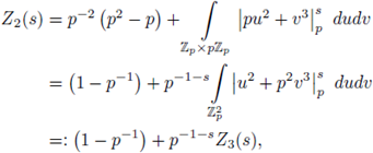
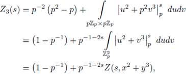
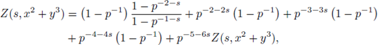
Example 6.6. We now compute

by using SPF. Note that
and that

because the set
can be parametrized as u = α3, v = α2, with
By applying SPF we have

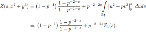
By changing variables in the last integral as x = pu, y = pv, dxdy = p-2dudv,

We now apply SPF to
since
the solution set of u2= 2u = 0 is
then
In addition,
Therefore,

and

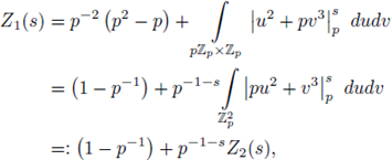
We now apply SPF to
then,

and

Finally, we apply SPF to
then,

and

i.e.,

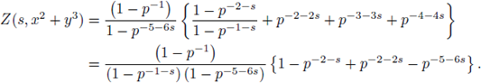
6.2. Quasi-homogenous singularities
Take
and
We say that f(x) is a quasi-homogeneous polynomial of degree d with respect to w if: (1)
.
Set |w| := w1 + ... + wn, and

Proposition 6.7. With the above notation and hypotheses,

where L (p-s) is a polynomial in p-swith rational coefficients.
Proof. Set

Then,

By changing variables in the first integral as
we have

And

We now note that
but it may occur that
this makes the computation of the integral on Ac not simple. By using SPF recursively and some ideas on Néron p-desingularization, one can show that
For a detailed proof, including the most general case of the semiquasi-homogeneous singularities, the reader may consult [60].
7. p-adic Analytic Manifolds and Resolution of Singularities
This section is based on [31, Sec. 2.4]. Let
be a non-empty open set, and let f : U →
be a function. If at every point a = (a1,...,an) of U there exists an element
such that f (x) = fa(x) for any point x near to a, we say that f is an analytic function on U. It is not hard to show that all the partial derivatives of f are analytic on U.
Let U be as above and let h = (h1,..., hm) : U →
be a mapping. If each hi is an analytic function on U, we say that h is an analytic mapping on U.
Let X denote a Hausdorff space and n a fixed non-negative integer. A pair (U, фU ), where U is a nonempty open subset of X and фU : U → фu (U) is a bi-continuous map (i.e., a homeomorphism) from U to an open set
is called a chart. Furthermore фU (x) = (x1,..., xn), for a variable point x of U are called the local coordinates of x. A set of charts {(U, фU )} is called an atlas if the union of all U is X and for every U, U' such that U ∩ U' ≠ ∅ the map

is analytic. Two atlases are considered equivalent if their union is also an atlas. This is an equivalence relation and any equivalence class is called an n-dimensional p-adic analytic structure on X. If {(U, фU )} is an atlas in the equivalence class, we say that X is an n-dimensional p-adic analytic manifold, and we write n = dim (X).
Suppose that X, Y are p-adic analytic manifolds respectively, defined by {(U, фU )}, {(V, ψv)}, and f : X → Y is a map. If for every U, V such that U ∩ f-1 (V) ≠ ∅ the map

is analytic, then we say that f is an analytic map. This notion does not depend on the choice of atlases.
Suppose that X is a p-adic analytic manifold defined by {(U, фU )} and Y is a nonempty open subset of X. If for every U' = Y ∩ U ≠ ∅ we put фU' = фU |U’ , then {(U', фU’ ')} gives an atlas on Y, which makes Y a p-adic analytic open submanifold of X, with dim(X) = dim(Y).
If U, U' are neighborhoods of an arbitrary point a of X, and f, g are p-adic analytic functions respectively on U, U' such that f |W = g |W for some neighborhood W of a contained in U ∩ U', then we say that f, g are equivalent at a. An equivalence class is
said to be a germ ofanalytic functions at a. The set of germs of analytic functions at a form a local ring denoted by
or simply

Suppose that Y is a nonempty closed subset of X, a p-adic analytic manifold as before, and 0 < m ≤ n such that an atlas {(U, фU )} defining X can be chosen with the following property: If фU (x) = (x1,...,xn) and U' = Y ∩ U ≠ ∅, there exist p-adic analytic functions F1,..., Fm on U such that firstly U' becomes the set of all x in U satisfying F1 (x) = ... = Fm (x) = 0, and secondly,

Then by Corollary 4.4-(ii) the mapping x → (F1 (x),..., Fm (x), xm+1,..., xn) is a bi-analytic mapping from a neighborhood of a in U to its image in
If we denote by V the intersection of such neighborhood of a an Y, and put ΨV (x) = (xm+1,... , xn) for every x in V, then {(V, ΨV)} gives an atlas on Y. Therefore Y becomes a p-adic analytic manifold with dim (Y) = n - m. We call Y a closed submanifold of X of codimension m.
Let µn denote the normalized Haar measure of
Take X and {(U, фU )} as before. Set a a differential form of degree n on X; then α |U has an expression of the form

in which fU is an analytic function on U. If A is an open and compact subset of X contained in U, then we define its measure µ α (A) as

We note that the above series converges because fu (A) is a compact subset. If (U', фU’ ) is another chart and A ⊂ U’ then we will have the same µα (A) relative to that chart. In fact, if
then

Actually, the previous equations just give account of the change of variables rule as x → x', in the integral (9), that is

(see [31, pg. 112 and Proposition 7.4.1]). Note that if
and

then µα is the normalized Haar measure of

Theorem 7.1 (Hironaka). Take f (X) a nonconstant polynomial in
[x1,...,xn], and put X =
Then there exist an n-dimensional p-adic analytic manifold Y, a finite set T = {E} of closed submanifolds of Y of codimension 1 with a pair of positive integers (NE,VE) assigned to each E, and a p-adic analytic proper mapping h : Y → X satisfying the following conditions: (i) h is the composition of a finite number of monoidal transformations each one with a smooth center; (ii)

and h induces a p-adic bianalytic map

(iii) at every point b of Y, if E1,...,Emare all the E in T containing b with local equations y1,...,ymaround b and (Ni, vi) = (NE, vE) for E = Ei, then there exist local coordinates of Y around b of the form (y1,...,ym,ym+1,…,yn) such that

on some neighborhood of b, in which ε (y), r, (y) are units of the local ring
of Y at b. In particular,
has normal crossings.
8. Proof of Theorem 5.4
We want to end this notes by proving Igusa's Theorem about the meromorphic continuation of Zφ(s, f) (see Theorem 5.4 in Section 5). We follow the proof given by Igusa in [31, Thm. 8.2.1].
Let
denote the measure induced by the differential form
which agrees with the Haar measure of
Then

Pick a resolution of singularities h : Y → Xi for f-1 (0) as in Theorem 7.1; we use all the notation introduced there. Then Y \ h-1(f-1(0)) → X \ f-1(0) is a p-adic bianalytic proper map, i.e., a proper analytic coordinate change; then,

At every point b of Y \ h-1(f-1(0)) we can choose a chart (U, (фU) such that (10) holds. Since h is proper and the support of φ, say A, is compact, we see that h-1(A) := B is compact. Then we can cover B by a finite disjoint union of open compact balls Ba such that each of these balls is contained in some U above. Since φ is locally constant, after subdividing Bα we may assume that
and further that
for some c = (c1,..., cn) in
and
Then,

with the understanding that Ni= 0,vi= 1 in the case Ei is not crossing through b. Finally one has by [31, Lemma 8.2.1] that

Acknowledgements
The authors were partially supported by CONACYT grants 286445 and 250845.
References
[1] Albeverio S., Khrennikov A. and Shelkovich V.M., “Theory of p-adic distributions: linear and nonlinear models”, in London Mathematical Society, Lecture Note Series, 370, Cambridge University Press, Cambridge (2010), xvi+351 pp.
[2] Aref’eva I., Dragović B.G. and Volovich I.V., “On the adelic string amplitudes”, Phys. Lett. B 209 (1988), No. 4, 445-450.
[3] Arnold V.I., Gusein-Zade S.M. and Varchenko A.N., Singularities of differentiable maps. Vol. II. Monodromy and asymptotics of integrals. Translated from the Russian by Hugh Porteous. Translation revised by the authors and James Montaldi. Monographs in Mathematics, 83. Birkhauser Boston, Inc., Boston, MA, 1988.
[4] Atiyah M.F., “Resolution of Singularities and Division of Distributions”, Comm. pure Appl. Math. 23 (1970), 145-150.
[5] Belkale P. and Brosnan P., “Periods and Igusa local zeta functions”, Int. Math. Res. Not. 49 (2003), 2655-2670.
[6] Bernstein I.N., “Modules over the ring of differential operators; the study of fundamental solutions of equations with constant coefficients”, Funct. Anal. Appl. 5 (1972), No. 2, 1-16.
[7] Bleher P.M., “Analytic continuation of massless Feynman amplitudes in the Schwartz space S′”, Rep. Math. Phys. 19 (1984), No. 1, 117-142.
[8] Bocardo-Gaspar M., Garcia-Compean H. and Zuniga-Galindo W.A., “Regularization of padic String Amplitudes, and Multivariate Local Zeta Functions”, Lett. Math. Phys.(2018), 1-38. https://doi.org/10.1007/s11005-018-1137-1.
[9] Bocardo-Gaspar M., Garcia-Compean H. and Zuniga-Galindo W.A., “ On p-Adic string amplitudes in the limit p approaches to one”, J. High Energ. Phys. (2018), No. 8, 043.https://doi.org/10.1007/JHEP08(2018)043.
[10] Bogner C. and Weinzierl S., “Periods and Feynman integrals”, J. Math. Phys. 50 (2009), No. 4, 042302, 16 pp.
[11] Bollini C.G., Giambiagi J.J. and Gonzalez Dominguez A., “Analytic regularization and the divergences of quantum field theories”, Il Nuovo Cimiento 31 (1964), No. 3, 550-561.
[12] Brekke L., Freund P.G.O., Olson M. and Witten E., “Non-Archimedean string dynamics”, Nuclear Phys. B 302 (1988), No. 3, 365-402.
[13] Brekke L. and Freund P.G.O., “p-adic numbers in physics”, Phys. Rep. 233 (1993), No. 1, 1-66.
[14] Denef J., “Report on Igusa’s Local Zeta Function”, Seminaire Bourbaki 43 (1990-1991), exp. 741; Asterisque 201-202-203, 359-386 (1991).
[15] Denef J. and Loeser F., “Caracteristiques D’Euler-Poincare, Fonctions Zeta locales et modifications analytiques”, J. Amer. Math. Soc. 5 (1992), No. 4, 705-720.
[16] Denef J. and Loeser F., “Motivic Igusa zeta functions”, J. Algebraic Geom. 7 (1998), No. 3, 505-537.
[17] Denef J. and Loeser F., “On some rational generating series occuring in arithmetic geo- metry”, in Geometric aspects of Dwork theory Vol I, II, Walter de Gruyter, Berlin, (2004), 509-526.
[18] Frampton P.H. and Okada Y., “p-adic string N-point function”, Phys. Rev. Lett. 60 (1988), No. 6, 484-486.
[19] Freund P.G.O. and Olson M., “Non-Archimedean strings”, Phys. Lett. B 199 (1987), No. 2, 186-190.
[20] Freund P.G.O. and Witten E., “Adelic string amplitudes”, Phys. Lett. B 199 (1987), No. 2, 191-194.
[21] Gel’fand I.M. and Shilov G.E., Generalized Functions, Academic Press, New York and London, 1977.
[22] Ghoshal D., “Noncommutative p-tachyon”, Proc. Steklov Inst. Math. 245 (2004), No. 2, 83-90.
[23] Ghoshal D., “p-adic string theories provide lattice discretization to the ordinary string worldsheet”, Phys. Rev. Lett. 97 (2006), 151-601.
[24] Ghoshal D. and Sen A., “Tachyon condensation and brane descent relations in p-adic string theory”, Nucl. Phys. B 584 (2000), No. 1-2, 300-312.
[25] Gouvea F., p-adic numbers: An introduction, Universitext, Springer-Verlag, Berlin, 1997.
[26] Halmos P., Measure Theory, D. Van Nostrand Company Inc., New York, 1950.
[27] Hloušek Z. and Spector D., “p-adic string theories”, Ann. Physics 189 (1989), No. 2, 370-431.
[28] Igusa J.-I., Lectures on forms of higher degree, Tata Institute of Fundamental Research, Lectures on Mathematics and Physics vol. 59, The Narosa Publishing House, New Delhi, 1978.
[29] Igusa J.-I., “A stationary phase formula for p-adic integrals and its applications”, in Algebraic geometry and its applications (West Lafayette, IN, 1990), , Springer, New York (1994), 175-194.
[30] Igusa J.-I., “On local zeta functions” [translation of Sugaku 46 (1994), no. 1, 2338], in Selected papers on number theory and algebraic geometry, 1-20, Amer. Math. Soc. Transl. Ser. 2, 172, Amer. Math. Soc., Providence, RI, 1996.
[31] Igusa J.-I., “An introduction to the theory of local zeta functions”, in AMS/IP Studies in Advanced Mathematics, 14, American Mathematical Society, Providence, RI; International Press, Cambridge, MA (2000), xii+232 pp.
[32] Katok S., “p-adic analysis compared with real”, in Student Mathematical Library, 37, American Mathematical Society, Providence, RI; Mathematics Advanced Study Semesters, University Park, PA (2007), xiv+152 pp.
[33] Khrennikov A., Kozyrev S. and Zuniga-Galindo W.A., “Ultrametric Pseudodifferential Equations and Applications”, in Encyclopedia of Mathematics and its Applications vol. 168, Cambridge University Press (2018), xv+237 pp.
[34] Kimura T., Introduction to prehomogeneous vector spaces, Translated from the 1998 Japanese original by Makoto Nagura and Tsuyoshi Niitani and revised by the author, Translations of Mathematical Monographs, 215. American Mathematical Society, Providence, RI, 2003.
[35] Koblitz N., “p-adic Numbers, p-adic Analysis and Zeta functions”, Second edition, in Graduate Texts in Mathematics, 58, Springer-Verlag, New York (1984), xii+150 pp.
[36] Lang S., “Real and functional analysis”, Third edition, in Graduate Texts in Mathematics, 142, Springer-Verlag, New York (1993), xiv+580 pp.
[37] Lerner E.Y., “Feynman integrals of a p-adic argument in a momentum space. I. Convergence”, Theoret. and Math. Phys. 102 (1995), No. 3, 267-274.
[38] Lerner E. Y., “Feynman integrals of a p-adic argument in a momentum space. II. Explicit formulas”, Theoret. and Math. Phys. 104 (1995), No. 3, 1061-1077.
[39] Lerner E. Y. and Missarov M. D., “p-adic Feynman and string amplitudes”, Comm. Math. Phys. 121 (1989), No. 1, 35-48.
[40] Lin S., “Ideal-theoretic strategies for asymptotic approximation of marginal likelihood integrals”, J. Algebr. Stat. 8 (2017), No. 1, 22-55.
[41] Loeser F., “Fonctions zeta locales d’Igusa a plusieurs variables, integration dans les fibres, et discriminants”, Ann. Sci. École Norm. Sup. 22 (1989), No. 3, 435-471.
[42] Marcolli M., Feynman motives, World Scientific Publishing, NJ, 2010.
[43] Mendoza-Martinez M.L., Vallejo J.A. and Zuniga-Galindo W.A., “Acausal quantum theory for non-Archimedean scalar fields”, arXiv:1805.08613.
[44] Meuser D., “A survey of Igusa’s local zeta function”, Amer. J. Math. 138 (2016), No. 1, 149-179.
[45] Nicaise J., “An introduction to p-adic and motivic zeta functions and the monodromy conjecture”, in Algebraic and analytic aspects of zeta functions and L-functions, MSJ Mem., 21, Math. Soc. Japan, Tokyo (2010), 141-166.
[46] Robert A., A course in p-adic Analysis, Springer-Verlag, New York , 2000.
[47] Schikhof W.H., “Ultrametric calculus: An introduction to p-adic analysis”, in Cambridge Studies in Advanced Mathematics, 4, Cambridge University Press, Cambridge (2006), xii+306 pp.
[48] Smirnov V.A., “Renormalization in p-adic quantum field theory”, Modern Phys. Lett. A 6 (1991), No. 15, 1421-1427.
[49] Smirnov V.A., “Calculation of general p-adic Feynman amplitude”, Comm. Math. Phys. 149 (1992), No. 3, 623-636.
[50] Speer E.R., “Generalized Feynman amplitudes”, in Annals of Mathematics Studies vol. 62, Princeton University Press (1969), vi+120 pp.
[51] Speer E.R., “Ultraviolet and infrared singularity structure of generic Feynman amplitudes”, Ann. Inst. H. Poincaré Sect. A (N.S.) 23 (1975), No. 1, 1-21.
[52] Spokoiny B.L., “Quantum Geometry of Non-archimedean Particles and Strings”, Phys. Lett. B 208 (1988), No. 3-4, 401-406.
[53] Taibleson M.H., Fourier analysis on local fields, Princeton University Press, Tokyo, 1975.
[54] Varadarajan V.S., Reflections on quanta, symmetries, and supersymmetries, Springer, New York, 2011.
[55] Veys W., “Arc spaces, motivic integration and stringy invariants”, in Singularity theory and its applications, Adv. Stud. Pure Math., 43, Math. Soc. Japan, Tokyo (2006), 529-572.
[56] Vladimirov V.S., Volovich I.V., and Zelenov E.I., “p-adic analysis and mathematical physics”, in Series on Soviet and East European Mathematics 1, World Scientific, River Edge, NJ (1994), xx+319 pp.
[57] Volovich I.V., “p-adic string”, Classical Quantum Gravity 4 (1987), No. 4, L83-L87.
[58] Watanabe S., “Algebraic geometry and statistical learning theory”, in Cambridge Monographs on Applied and Computational Mathematics, 25, Cambridge University Press, Cambridge (2009), viii+286 pp.
[59] Weil A., “Sur la formule de Siegel dans la theorie des groupes classiques”, Acta Math. 113 (1965), 1-87.
[60] Zuniga-Galindo W.A., “Igusa’s local zeta functions of semiquasihomogeneous polynomials”, Trans. Amer. Math. Soc. 353 (2001), No. 8, 3193-3207.
[61] Zuniga-Galindo W.A., “Local zeta functions and Newton polyhedra”, Nagoya Math. J. 172 (2003), 31-58.
[62] Zuniga-Galindo W.A., “Pseudodifferential equations over non-Archimedean spaces”, in Lectures Notes in Mathematics vol. 2174, Springer, Cham. (2016), xvi+175 pp.
Notes
Author notes
* E-mail: wazuniga@math.cinvestav.edu.mx