Estudio de indicadores de creatividad matemática en la resolución de problemas
Mathematics creativity indicators study in problem solving
Estudio de indicadores de creatividad matemática en la resolución de problemas
Revista Latinoamericana de Investigación en Matemática Educativa, vol. 20, núm. 2, pp. 193-222, 2017
Comité Latinoamericano de Matemática Educativa

Recepción: 01 Octubre 2014
Aprobación: 25 Febrero 2016
Financiamiento
Fuente: Trabajo realizado en el marco del proyecto de investigación EDU2015-64646-P (MINECO/FEDER, UE).
Nº de contrato: EDU2015-64646-P (MINECO/FEDER, UE)
Resumen: La enseñanza de las matemáticas siempre se ha preocupado por la resolución de problemas. En la presente investigación se pretende determinar el grado de creatividad en la resolución de un problema de matemáticas. El instrumento elegido ha sido la Prueba de Matemáticas de Acceso a la Universidad de junio de 2012 en la Universidad de Barcelona constituida por 6 problemas. A partir de una muestra de 104 estudiantes se han analizado 7 indicadores por cada resolución. Los resultados indican más creatividad en el diseño de estrategias que en la ejecución o revisión, una detección correcta de las partes de una resolución, pero una pobre capacidad de transmisión, organización y síntesis de las resoluciones. La competencia matemática evalúa la resolución de problemas, y dado que en toda resolución participan aspectos creativos, conviene mejorar la creatividad matemática.
Palabras clave: Actividad matemática, Resolución de problemas, Creatividad, Enseñanza y aprendizaje, Pruebas de Acceso a la Universidad.
Abstract: Mathematics teaching has always been concerned about problem solving. The objective of this investigation is to determine the creativity degree when solving a mathematics problem. The University Admission Test of Mathematics subject of June of 2012 of Barcelona University has been chosen as the instrument to collect data. This Test contains 6 problems. From a sample of 104 students, seven creativity indicators have been analyzed for each resolution. The results show students are more creative when they design strategies than when they execute them or review the whole process; students distinguish all the parts of a resolution; but there is a poor capacity of communicating, organizing and synthesizing resolutions. Problem solving is a mathematics skill that has to be evaluated, and because of any resolution requires creative aspects, mathematical creativity has to be improved.
Keywords: Mathematical Activity, Problem Solving, Creativity, Teaching and Learning, University Admission Tests.
Resumo: Ensinar matemática sempre foi preocupado com a resolução de problemas. Na presente investigação é determinar o grau de criatividade na resolução de um problema de matemática. O instrumento escolhido foi o de Junho de Matemática da Universidade Teste de acesso 2012 na Universidade de Barcelona é composto por seis problemas. A partir de uma amostra de 104 estudantes usaram sete medidas para cada resolução. Os resultados mostram mais criatividade na concepção de estratégias na implementação ou revisão, a detecção correta das partes de uma resolução, mas a capacidade de transmissão de pobres, organização e síntese de resoluções. A competição avalia resolução de problemas matemáticos, e desde que, em qualquer decisão que envolva aspectos criativos necessários para melhorar a criatividade matemática.
Palavras-chave: Atividade matemática, Resolução de problemas, Criatividade, Ensino e aprendizagem, Entrada Exames University.
Résumé: L'enseignement des mathématiques a toujours été préoccupé par la résolution des problèmes. Dans la présente étude est de déterminer le degré de créativité à résoudre un problème de mathématiques. L'instrument choisi était l'Université Mathématiques Test Access Juin 2012 à l'Université de Barcelone se compose de six problèmes. Sur un échantillon de 104 étudiants utilisé 7 mesures pour chaque résolution. Les résultats montrent une plus grande créativité dans la conception de stratégies dans la mise en oeuvre ou la révision, la détection correcte des parties à une résolution, mais une capacité de transmission pauvres, l'organisation et la synthèse des résolutions. Le concours évalue résolution de problèmes mathématiques, et puisque de toute décision impliquant des aspects créatifs nécessaires pour améliorer la créativité mathématique.
Mots clés: Activité mathématique, Résolution de problèmes, La créativité, Enseignement et l'apprentissage, Entrée à l'université examens.
1. Introducción y objetivos
Las matemáticas difícilmente se aprenden por transmisión directa de lo que se explica en el aula o de lo que se lee en los libros de texto, sino que se aprenden en interacción con situaciones problemáticas y con otros sujetos, que obligan al alumno a ir modificando su estructura cognitiva mediante la experimentación, haciéndose preguntas, particularizando situaciones, generalizando resultados o encontrando contraejemplos. Estos procesos requieren predisposición e intencionalidad por parte de aquél que aprende. La enseñanza de las matemáticas tiene que ver con una enseñanza que promueve un aprendizaje productivo y creativo. La construcción del conocimiento matemático es inseparable de la actividad concreta sobre los objetos, de la intuición y de las aproximaciones inductivas impuestas por tareas determinadas y la resolución de problemas particulares. Es difícil concebir el desarrollo del pensamiento matemático de los alumnos resolviendo problemas al margen de la creatividad (Rico, 1990). Encontrar la solución a un problema o a una situación sin tener en las estructuras cognoscitivas y operacionales del pensamiento ningún método idóneo exige crear o innovar (Petrovsky, 1978).
Las matemáticas son una disciplina donde se trabaja el razonamiento y el pensamiento lógico. Pero en ocasiones, tener un pensamiento lógico desarrollado no garantiza la resolución de determinados problemas para los que son necesarias imaginación y creatividad. Por ello las matemáticas debieran contemplar en el curriculum escolar la formación de un comportamiento creativo. Existe un desconocimiento sobre los métodos de enseñanza y aprendizaje para desarrollar la creatividad matemática y hay escasa bibliografía (Arteaga, 2010).
Las actividades sugeridas en los libros de texto están concebidas con el fin de trabajar el razonamiento lógico mayoritariamente. Son escasas las intenciones de trabajar otro tipo de razonamientos que lo complementen para hallar soluciones creativas de problemas. En los curricula de matemáticas tradicionalmente no ha existido una preocupación por componentes de afectividad ni motivacionales (Gómez - Chacón, 2000). Tal como dice Garrett (1988), solucionar problemas es un pensamiento creativo y, así, el científico creativo es aquel que hace surgir la respuesta y produce soluciones. De esta manera, es difícil separar en una persona el dominio afectivo de su pensamiento creativo. Debido a que la idea de resolución de problemas engloba la idea de reto, existe una actitud de persistencia y un componente motivacional positivo que debe tener el resolutor. Resulta necesario un cambio de rumbo para aproximarse a las nuevas tendencias que plantean la resolución de problemas como el motor del aprendizaje del conocimiento matemático creando un ambiente de trabajo reflexivo, dialogante y crítico (Abrantes y Serrazina, 1996; Mallart, 2008).
Guilford (1950) sugiere como rasgos principales de la creatividad: la fluidez, la flexibilidad, la originalidad, la elaboración, el análisis, la síntesis y la redefinición. Barron (1969) propone como indicadores de la creatividad: originalidad, tolerancia, independencia de juicio, energía, apertura a impulsos y fantasías, intuición, espontaneidad. Logan (1980) contempla las siguientes características como determinantes: fluidez, flexibilidad, originalidad, elaboración, redefinición, inventiva, ingenio, análisis - síntesis, independencia, tolerancia a la ambigüedad, curiosidad, desafío al riesgo, abierto, comunicación sensibilidad, abierto a problemas. Amabile (1983) establece los siguientes rasgos de la creatividad: destrezas de campo, motivación intrínseca, talento, estilo cognitivo, estilo de trabajo, generación de ideas, actitudes. Marín y De la Torre (1991) disponen que los rasgos particulares de la creatividad son: productividad, flexibilidad, originalidad, elaboración, análisis, síntesis, apertura mental, comunicación, sensibilidad a problemas, inventiva. Sternberg (1999) contempla como indicadores propios de la creatividad los siguientes: pensamiento analítico, pensamiento sintético, pensamiento práctico, personalidad, motivación, contexto medioambiental. A estos indicadores se les puede añadir otros, propuestos por Paz (2004): expresión, sentido del humor, factor sorpresa. Violant (2006) indica la existencia de creatividad observando: originalidad, flexibilidad, productividad o fluidez, elaboración, análisis, síntesis, apertura mental, comunicación, sensibilidad para los problemas, redefinición, nivel de inventiva.
Polya (1945) insistió en la importancia de la creatividad y la originalidad para resolver problemas no rutinarios, exponiendo un método de enseñanza basado en la heurística. Aunque no hace referencia explícita al término creatividad, propone el razonamiento heurístico que es esencialmente creativo. La investigación de la naturaleza de la creatividad científica toma interés de manera especial a mitades del siglo pasado. Guilford pronunció la conferencia titulada “Creativity” en el 1950 y Puig Adam (1960) con su metodología de la enseñanza de las matemáticas enfatizó el guiar la actividad creadora y descubridora, estimulando el interés por el conocimiento. Romberg y Carpenter (1986) reconocieron la existencia de estudios que trataban sobre la resolución de problemas y el comportamiento creativo. Arteaga (2010) en el I Congreso Iberoamericano de Educación expone la preocupación por incluir en los curricula de la asignatura de matemáticas aspectos de creatividad.
La resolución de problemas tiene un gran potencial creativo; la Fundación de Educación Creativa de Buffalo ha encarnado esta corriente creativa constituyendo un referente internacional: Osborn (1963) formalizó la técnica de “brainstorming”, Parnes, Noller y Biondi (1977) estudian el desarrollo del pensamiento creativo. Los instrumentos y técnicas tanto de medición como de estimulación creativa y organizativa son una gran aportación. Autores importantes que pueden servir de referentes en España se pueden considerar Marín y De la Torre (1991) como se ha señalado anteriormente, y Bono (1998) con su Pensamiento Lateral contempla conjuntamente una capacidad ideativa con la toma de decisiones para resolver problemas.
El presente estudio tiene como objetivo principal la descripción de la creatividad que los alumnos preuniversitarios esgrimen cuando resuelven problemas matemáticos. Entre los objetivos específicos en los que se desglosa el estudio se pueden destacar:
1. Elección de indicadores de creatividad en la resolución de problemas matemáticos. Tiene como finalidad establecer los indicadores de la creatividad que se utilizarán para el análisis de las resoluciones.
2. Evaluación de la creatividad matemática en las Fases de: diseño de estrategias de resolución, ejecución de dichas estrategias, y revisión de la solución. Se han elegido las Fases de Polya para evaluar la creatividad dejando de lado la primera de ellas (la comprensión del problema).
Los resultados del segundo objetivo servirán para determinar qué aspectos de la creatividad se presentan y cuáles son mejorables.
2. Metodología
A continuación se comentará la metodología seguida en esta investigación distinguiendo los apartados de diseño, instrumentos, participantes y variables.
2.1. Diseño
Para abordar los objetivos del estudio se ha efectuado un análisis de las resoluciones de la Prueba de Acceso a la Universidad (PAU) propuesta en la Universidad de Barcelona el año 2012 de la asignatura de Matemáticas. La muestra estudiada se ha obtenido a partir de la elección aleatoria de dos tribunales y los alumnos han tenido una hora y media de tiempo para realizar la prueba. Se han analizado los procesos resolutivos de cada problema y se han clasificado según el grado con el que han verificado cada uno de los siete indicadores establecidos para la creatividad matemática: originalidad, flexibilidad, elaboración, análisis, síntesis, comunicación, redefinición. La elección de los siete indicadores de creatividad en la resolución de problemas se ha llevado a cabo según la idoneidad y la relevancia de un listado de indicadores de creatividad más general tal como se explicará en el apartado de variables. Reagrupando los indicadores según la fase de resolución a la que pertenecen, es posible dar respuesta a los objetivos específicos planteados.
2.2. Instrumentos
Las PAU se convocan en Junio y Septiembre en cada Comunidad Autónoma. La asignatura de Matemáticas se estudia en primero y segundo de bachillerato en la modalidad de ciencias y tecnologías, y posibilita a los alumnos inscribirse en carreras universitarias de ciencias como matemáticas, física, ingenierías. En las convocatorias de Matemáticas de las PAU de Cataluña se proponen 6 cuestiones de entre las cuales, el alumno debe escoger 5. Cada cuestión vale 2 puntos.
Los criterios generales de evaluación insisten en que el alumno ha de explicar el porqué de sus respuestas. Incluso se puede valorar con un cero una cuestión con resultado correcto si el proceso resolutivo no se explica suficientemente. Las cuestiones que no estén resueltas completamente, se valorarán en función de las partes realizadas. En preguntas de carácter conceptual, el corrector intentará discernir si el alumno tiene claros los conceptos, aunque haya errores en la exposición. En ningún caso el corrector pondrá el acento en el rigor formal de las respuestas. Los errores de cálculo se tienen en cuenta en la puntuación final con una importancia relativa.
Se valora que los alumnos aprendan a razonar y no únicamente resuelvan problemas tipificados. Por este motivo se procura que las cuestiones, sin tener ninguna dificultad especial, hagan pensar y no sean rutinarias. Se intenta saber hasta qué punto el alumno es capaz de resolver por sí mismo un problema para el cual dispone de los conocimientos suficientes pero no es una pregunta puramente metódica. Este es el motivo por el cual se han escogido las seis cuestiones que configuran las PAU. Además, también es interesante resaltar el hecho de que el examen no se focaliza en un área de las matemáticas sino en todo el curriculum que un alumno preuniversitario debe saber. Así, el espectro de resoluciones creativas es más amplio.
El examen objeto de estudio es el que se expone en la Figura 1.

2.3. Participantes: Caracterización de la muestra
La muestra escogida de los alumnos que han sido preparados para acceder a carreras universitarias de ciencias está constituida por 104 estudiantes de Barcelona. Estos estudiantes han cursado la asignatura de Matemáticas en diversos centros públicos (46,2%) y concertados (53,8%) y pertenecen a diferentes niveles socioeconómicos.
Los alumnos descartan una cuestión de las 6 presentadas. El porcentaje de los estudiantes que eligen cada cuestión se expone a continuación:

Se observa que la cuestión más descartada con un 65,4% ha sido la que trata de un triángulo equilátero y plantea preguntas de geometría plana, la número 5. La cuestión que menos alumnos han descartado con un 3,8% ha sido la que versa sobre álgebra matricial, la número 4. También es significativo el 42,3% que decide descartar a priori la segunda cuestión que trata de una recta, una parábola y sus tangentes respectivas.
2.4. Variables
Para analizar la creatividad en la resolución de problemas matemáticos, se ha caracterizado un grupo de siete indicadores que han sido escogidos como los más representativos y comunes de entre los listados expuestos en la introducción como muestra la Tabla I.

Estos siete indicadores que se han escogido son: originalidad, flexibilidad, elaboración, análisis, síntesis, comunicación y redefinición. A continuación se expone una breve descripción:
1. Originalidad: es la capacidad para producir respuestas novedosas, poco convencionales, lejos de lo establecido y de lo usual, únicas, irrepetibles y auténticas.
2. Flexibilidad: es la capacidad de desplazarse de una idea a otra, de un contexto a otro, dando respuestas variadas, modificando y moldeando ideas, haciéndose replanteamientos, reorientaciones y transformaciones de las situaciones u objetivos originales, superando la propia rigidez. Es la capacidad de cambiar de modo de pensar y poder abordar un problema desde diferentes perspectivas.
3. Elaboración: es la capacidad para desarrollar o perfeccionar una idea o producción original alcanzando niveles de complejidad y detalle. Es la capacidad de agregar elementos al procesar la información, ampliando y profundizando.
4. Análisis: capacidad para estudiar una realidad determinando los límites del objeto, criterios de descomposición del todo, determinar las partes del todo y tratar cada parte por separado para así descubrir nuevos sentidos y relaciones entre los elementos del conjunto. El análisis de un objeto se realiza a partir de la relación existente entre los elementos que lo conforman como un todo.
5. Síntesis: capacidad para comparar las partes entre sí, rasgos comunes y diferencias, y descubrir nexos entre las partes para elaborar conclusiones acerca de un nuevo todo, elaborando esquemas, organizando la información y extrayendo los rasgos más valiosos.
6. Comunicación: capacidad de transmitir y compartir mensajes de manera convincente; se captan las necesidades insatisfechas como mensajes, resolviendo dichas necesidades como mensajes de respuesta. Su creación será exitosa si logra obtener respuestas positivas estableciéndose así un ciclo de comunicación.
7. Redefinición: capacidad de reestructuración y reconstrucción a partir de información conocida, con el objeto de transformar un fenómeno concreto de la realidad, encontrando aplicaciones y definiciones diferentes a las habituales.
Análisis: capacidad para estudiar una realidad determinando los límites del objeto, criterios de descomposición del todo, determinar las partes del todo y tratar cada parte por separado para así descubrir nuevos sentidos y relaciones entre los elementos del conjunto. El análisis de un objeto se realiza a partir de la relación existente entre los elementos que lo conforman como un todo.
Síntesis: capacidad para comparar las partes entre sí, rasgos comunes y diferencias, y descubrir nexos entre las partes para elaborar conclusiones acerca de un nuevo todo, elaborando esquemas, organizando la información y extrayendo los rasgos más valiosos.
Comunicación: capacidad de transmitir y compartir mensajes de manera convincente; se captan las necesidades insatisfechas como mensajes, resolviendo dichas necesidades como mensajes de respuesta. Su creación será exitosa si logra obtener respuestas positivas estableciéndose así un ciclo de comunicación.
Redefinición: capacidad de reestructuración y reconstrucción a partir de información conocida, con el objeto de transformar un fenómeno concreto de la realidad, encontrando aplicaciones y definiciones diferentes a las habituales.
Existen diferentes grados de creatividad, y por este motivo, se ha decidido categorizar los indicadores en función de su presencia. En los indicadores de originalidad y de redefinición sólo se han distinguido dos casos según si su aparición ha sido nula o positiva (0 y 1). Pero en el resto de los cinco indicadores se han distinguido tres categorías (0, 1 y 2) que se ejemplificarán cuando se analicen.
En concreto, para analizar cómo los alumnos diseñan estrategias para resolver un problema de manera creativa se consideran los indicadores de originalidad y flexibilidad. Para analizar cómo ejecutan de manera creativa las estrategias de resolución diseñadas se toman los indicadores de elaboración y análisis. Para analizar cómo revisan la solución con un enfoque creativo se han examinado los indicadores de síntesis, comunicación y de redefinición.

3. Análisisde datos y resultados
Con el propósito de presentar los resultados de manera organizada y coherente, se ha efectuado un análisis cuantitativo en el que se han recordado las clásicas fases de la resolución de problemas que Polya (1945) expuso: a) la Fase II que trata del diseño de estrategias de resolución del problema; b) la Fase III que se ocupa de ejecutar la estrategia de resolución escogida; c) la Fase IV que consiste en la revisión de la solución. Luego, la originalidad se ha analizado cualitativamente por tratarse de un rasgo creativo de suma importancia.
3.1. Análisis cuantitativo
A continuación se exponen los resultados obtenidos distinguiendo la Fase a la que pertenecen los 7 indicadores estudiados de cada uno de los 6 problemas de los 104 alumnos. Para poder comparar todos los resultados y debido a que los estudiantes descartaban uno de los 6 problemas planteados, se consideran los porcentajes de éstos.
3.1.1. La creatividad en la Fase II: Originalidad y Flexibilidad
Para determinar la creatividad a la hora de determinar estrategias para atacar el problema se han seleccionado los indicadores de Originalidad y de Flexibilidad. El indicador de Originalidad toma dos valores según si aplican algún método algorítmico de resolución o por el contrario hacen un razonamiento heurístico (valor 0: aplicación de métodos algorítmicos; valor 1: no aplicación de métodos algorítmicos), prescindiendo de que el resultado fuera el correcto. Por ejemplo:
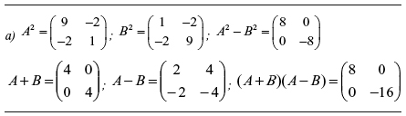
Originalidad 0: En una resolución del Problema 1 observamos la aplicación de una técnica (Figura 3).

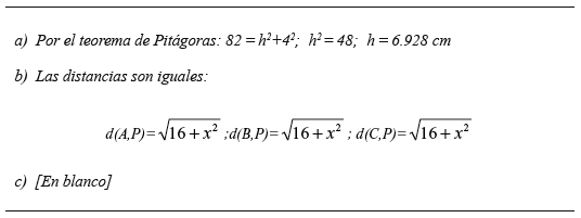
Originalidad 1: En una resolución del Problema 5 observamos el uso de un razonamiento heurístico en el segundo apartado, a pesar de que no sea pertinente o no haya finalizado pues encuentra la altura en vez de las distancias del punto P a todos los vértices (Figura 4).

Los resultados sobre la Originalidad de los 6 problemas se muestra en la Tabla III.

En relación con la Originalidad, en el problema 1 la forma de resolución se ha visto marcada por las pautas que el currículum establece que deben enseñarse en el aula (sólo un 23.5% de Originalidad 1). En los problemas 2, 3, 5 y 6 una amplia mayoría ha recurrido a razonamientos heurísticos (86.7%, 88.9%, 72.2% y 91.4% de Originalidad 1).
El indicador de Flexibilidad toma tres valores según la capacidad de moldear ideas y cambiar de modo de pensar, haciéndose replanteamientos frente a situaciones emergentes que aparecen en el curso de la resolución (valor 0: nula; valor 1: sesgada; valor 2: completa). Por ejemplo:
Flexibilidad 0: En una resolución del Problema 4 observamos una nula capacidad de replantearse nuevas resoluciones dados unos resultados incoherentes con lo que pregunta el enunciado (Figura 5).

Flexibilidad 1: En una resolución del Problema 1 observamos una capacidad sesgada para dar todas las respuestas variadas, desplazándose de una idea a otra, modificando y moldeando las ideas y transformando la situación original, aunque no supera totalmente la propia rigidez (Figura 6).

Flexibilidad 2: En una resolución del Problema 2 observamos como no hay rigidez, sino todo lo contrario; hay una capacidad para dar respuestas variadas, haciéndose replanteamientos, reorientaciones y transformaciones de las situaciones originales, abordando el problema desde diferentes perspectivas (Figura 7).

Los resultados sobre la Flexibilidad de los 6 problemas se muestran en la Tabla IV.

En relación con la Flexibilidad, constatamos que es en los problemas 1, 2 y 6 donde se ha registrado un índice mayor (43.5%, 53.3% y 53.8%) debido a que para responder a las preguntas es necesario el replanteamiento de la situación con la distinción de casos pertinente. En el problema 3 se ha registrado casi el mismo porcentaje de alumnos que sólo han sido capaces de modificar el pensamiento en algún caso o en ninguno (40% y 38.9%). En el problema 4 la mayoría se ha mostrado bastante rígida sin ser capaz de moldear las ideas en ningún caso (70%).
3.1.2. La creatividad en la Fase III: Elaboración y Análisis
Para evaluar la creatividad en la fase de ejecución de estrategias resolutivas se han escogido los indicadores de Elaboración y Análisis. El indicador de Elaboración toma tres valores según la capacidad para desarrollar una idea o perfeccionarla consiguiendo niveles de complejidad, de organización, precisión y consideración de todos los datos pertinentes cuando procesa la información (valor 0: desorganizado, sin considerar todos los datos pertinentes, sin profundizar en las ideas ni ampliarlas; valor 1: parcialmente organizado pero impreciso, consideración parcial de los datos, sin contemplar a fondo todas las ideas, sin ampliarlas; valor 2: organizado, preciso y consideración de todos los datos para acabar profundizando en una idea). Por ejemplo:
Elaboración 0: En una resolución del Problema 3 observamos desorganización e imprecisión sin profundizar en las ideas (Figura 8).

Elaboración 1: En una resolución del Problema 5 observamos un proceso aunque parcialmente organizado, impreciso y sin consideración de todos los datos, sin acabar de profundizar en las ideas (Figura 9).

Elaboración 2: En una resolución del Problema 6 observamos un proceso organizado teniendo presentes todos los datos que intervienen con precisión e intentando profundizar en las ideas, aunque erróneamente pues escribe “... y así no forman base” (Figura 10).

Los resultados sobre la Elaboración de los 6 problemas se muestran en la Tabla V.

En relación con la Elaboración, en los problemas 4 y 6 se han obtenido los mejores resultados (45% y 58% Elaboración 2). Los problemas 1 y 3 presentan muy parecidos los porcentajes de una elaboración desorganizada e imprecisa sin profundizar en las ideas (38.8%, 40%) o de una elaboración un tanto más organizada sin llegar a prestar atención a todos los datos ni tratar de llegar al fondo de todas las ideas (38.8%, 42.2%). En el problema 2 se ha recogido un alto porcentaje (40%) de resoluciones muy bien elaboradas, y también se han recogido resoluciones imprecisas que no han tenido presentes todos los datos sin acabar de profundizar en ellas aunque han sido parcialmente organizadas (28.3%).
El indicador de Análisis toma tres valores según la capacidad de estudiar la situación acotando los límites, concretando los criterios de descomposición del todo para acabar concretando las partes y tratando cada una por separado descubriendo nuevas relaciones entre ellas (valor 0: incapacidad de concretar criterios para descomponer el todo, imposibilidad de acotar límites, incapacidad de descubrir nuevas relaciones entre las partes; valor 1: capacidad parcial de acotar límites de la situación propuesta, establecimiento parcial de criterios para delimitar las diferentes partes del todo, escaso descubrimiento de nuevas relaciones entre las partes; valor 2: capacidad elevada para determinar las diferentes partes en que se puede descomponer el todo, para concretar criterios de descomposición, para descubrir relaciones nuevas entre ellas). Por ejemplo:
Análisis 0: En una resolución del Problema 1 observamos la incapacidad de concretar correctamente los criterios de descomposición de la situación propuesta, sin poder descubrir nuevas relaciones entre sus partes (Figura 11).

Análisis 1: En una resolución del Problema 5 observamos una capacidad parcial de acotar límites de la situación propuesta, delimitando parcialmente las diferentes partes del todo, aunque descubriendo nuevas relaciones entre las partes (Figura 12).

Análisis 2: En una resolución del Problema 2 observamos una alta capacidad para determinar las diferentes partes en que se puede descomponer el todo y para descubrir relaciones nuevas entre ellas (Figura 13).

Los resultados sobre el Análisis de los 6 problemas se muestran en la Tabla VI.

En relación con el Análisis, en los problemas 1, 2, 4 y 6 la mayoría de resoluciones han obtenido la calificación máxima (45.9%, 55%, 65% y 58.1%) por haberse tratado de resoluciones que sabían determinar límites, concretar criterios de descomposición del todo, tratar separadamente las partes y encontrar nuevas relaciones entre ellas.
3.1.3. La creatividad en la Fase IV: Síntesis, Comunicación y Redefinición
Para evaluar la creatividad en la fase de revisión donde se amplía la capacidad de razonamiento e intenta situar la resolución en un contexto más general, se han escogido los indicadores de Síntesis, Comunicación y Redefinición. El indicador de Síntesis toma tres valores según la capacidad para comparar las diferentes partes entre sí, descubriendo nexos entre ellas para acabar elaborando conclusiones del todo y esquemas, presentando organizadamente la información y extrayendo las ideas relevantes (valor 0: no hay ningún descubrimiento sobre nexos entre las diferentes partes de la resolución, además es caótica y no se extraen las ideas relevantes; valor 1: resolución parcialmente organizada, presentando una información sesgada, sin acabar de extraer todas las ideas relevantes ni descubrir todas las relaciones entre las distintas partes; valor 2: datos presentados esquemáticamente siguiendo un hilo argumental coherente, exponiendo todas las ideas relevantes). Por ejemplo:
Síntesis 0: En una resolución del Problema 3 observamos una incapacidad de presentar la información organizadamente, sin esquemas, sin extraer las ideas relevantes y sin ligar las diferentes partes de la resolución (Figura 14).

Síntesis 1: En una resolución del Problema 5 observamos una organización parcial, donde se presentan algunos datos sin acabar de extraer todas las ideas relevantes ni descubrir todas las relaciones entre las distintas partes (Figura 15).

Síntesis 2: En una resolución del Problema 6 observamos los datos presentados esquemáticamente siguiendo un hilo argumental coherente exponiendo todas las ideas relevantes (Figura 16).

Los resultados sobre la Síntesis de los 6 problemas se muestran en la Tabla VII.

En relación con la Síntesis, los mejores resultados se han conseguido en el problema 6 (54.8%) donde se ha apreciado la elaboración de esquemas o gráficos ilustrativos organizando la información a medida que se iban obteniendo los datos y también se ha observado como se van descubriendo conexiones entre las diferentes partes, destacando los rasgos más valiosos. En los problemas 4 y 5 la mayoría ha usado algún esquema ayudando a una explicación del modo en que se han conseguido los datos, aunque no todos ni los más relevantes, ni tampoco se ha acabado manifestando las conexiones entre las distintas partes (50% y 52.8%). En los problemas 1, 2 y 3 el indicador se ha valorado en la mayoría con el valor 0 (43.5%, 35%, 45.6%) pues no queda claro cómo se obtienen los datos, además faltan los más relevantes y no aparecen de manera organizada.
El indicador de Comunicación toma tres valores según la capacidad de transmisión de la resolución y de compartir mensajes de manera clara y convincente, captando y resolviendo lo que se pregunta (valor 0: difícil de interpretar la resolución por ser poco clara y no contestar a lo que se pregunta; valor 1: parcialmente inteligible, se intuye cómo se resuelve el problema a pesar de que se pueda explicar de manera más clara y concisa, y contesta parcialmente a lo que se le pregunta; valor 2: se capta con precisión lo que se pregunta y se contesta de manera concisa y clara). Por ejemplo:
Comunicación 0: En una resolución del Problema 1 observamos una nula capacidad de transmisión ni de lo que se hace ni de lo que se pregunta (Figura 17).

Comunicación 1: En una resolución del Problema 5 observamos una transmisión del proceso mejorable en cuanto a la exposición de los pasos de forma clara y convincente, y que contesta parcialmente a lo que se le pregunta (Figura 18).

Comunicación 2: En una resolución del Problema 4 observamos la transmisión del descubrimiento con claridad y con precisión, y de manera convincente (Figura 19).

Los resultados sobre la Comunicación de los 6 problemas se muestran en la Tabla VIII.

En relación con la Comunicación, los mejores resultados se han conseguido en los problemas 1, 4 y 6 (49.4%, 48% y 39.8%). Pero la comunicación de la resolución del problema 1 también ha contemplado el peor registro (44.7%). Los problemas 2 y 3 registran en la mayoría transmisiones poco claras y deficientes de los descubrimientos (36.7% y 38.9%), aunque en el problema 2 ha sido muy parecido el registro de transmisiones muy claras y precisas (35%).
El indicador de Redefinición toma dos valores según la capacidad de encontrar aplicaciones y definiciones diferentes a las trabajadas habitualmente en el aula, a pesar de ser incorrectas (valor 0: sin desviarse de las propiedades atribuidas a los elementos que participan; valor 1: uso de algún método o propiedad deducida). Por ejemplo:
Redefinición 0: En una resolución del Problema 2 observamos que las propiedades de los elementos que intervienen son las propias (Figura 20).

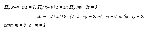
Redefinición 1: En una resolución del Problema 6 observamos en el apartado b) el uso del determinante sobre puntos para ver si pertenecen al mismo plano, que es innovador pero erróneo (Figura 21).

Los resultados sobre la Redefinición de los 6 problemas se muestran en la Tabla IX.

En relación con la Redefinición, el indicador ha sido claramente nulo en los problemas 1 y 2 (92.9% y 98.3%). En los problemas 3 y 6 la mayoría de resoluciones atribuyen fines no previstos a procedimientos incluyendo consecuencias erróneas inventadas (62.2% y 86%).
3.2. Análisis cualitativo
El análisis cuantitativo ha implicado el tratamiento de datos de 7 variables por cada uno de los 6 problemas, un total de 42 valores. A continuación se propone un análisis cualitativo de las respuestas de los alumnos. A modo de ejemplo se estudiará el indicador de Originalidad sobre el problema número 5. Este problema tiene un enunciado de geometría plana en el que interviene como sujeto principal un triángulo equilátero, figura estudiada en profundidad durante la secundaria. Además, es el único problema que incluye en el enunciado un esquema gráfico de la situación planteada. No obstante es el problema menos escogido con diferencia (35%).
Recordemos que el indicador de Originalidad hacía referencia a la capacidad para producir respuestas alejadas de lo convencional, únicas y podía tomar dos valores según si existía la repetición de algún método algorítmico (valor 0) o si existía el uso de un razonamiento heurístico (valor 1). Debido a que no se trata de un estilo de problema que se practique en el aula se presta a ser resuelto de manera original. La resolución requiere “construir” una argumentación concatenando los diferentes resultados de cada apartado para llegar al último, relacionando las diferentes partes.
Para responder al primer apartado de cuánto mide la altura del triángulo de vértices A, B y C, tan sólo una persona ha utilizado la trigonometría, el resto se ha decantado por el teorema de Pitágoras subdividiendo el triángulo en dos triángulos rectángulos. Otra estrategia resolutiva registrada calcula el área del triángulo a partir del cálculo del determinante del producto vectorial de los vectores que van de A a B, y de A a C, pero no responde a la pregunta. Al margen de errores frecuentes de cálculo (relativos al cuadrado de una diferencia y al cuadrado de una raíz cuadrada), se sigue la mecánica de la aplicación de la fórmula. Pero a la hora de dar el resultado (√48), existe una tendencia general a aproximarlo a un número de tres cifras decimales.
Para responder al segundo apartado expresando la distancia del punto P a cada uno de los vértices en función de x, se ha aplicado nuevamente el teorema de Pitágoras pero esta vez las tendencias se han repartido por igual entre considerar el triángulo rectángulo de cateto x con vértices A y P, o considerarlo con vértices C y P. También se ha recogido una estrategia de resolución geométrica curiosa a partir del área pero no concreta y no responde a la pregunta (expuesta en el Análisis cuantitativo en el apartado de Originalidad 1). Además ha habido otra estrategia de resolución que trabajaba las distancias desde el espacio tridimensional aunque tampoco ha conseguido concretar dando la respuesta. A pesar de los múltiples errores de cálculo con las identidades notables y las raíces cuadradas, se aplica el teorema de Pitágoras habiendo una tendencia marcada por expresar la distancia de P a B con valores aproximados a tres decimales. Un razonamiento erróneo compartido por algunos estudiantes ha consistido en contemplar la distancia del punto P al vértice B como igual a los otros vértices anteriormente calculados con el teorema.
Han sido pocos los alumnos que han respondido al tercer apartado, pero los que lo han hecho han optado por la misma estrategia: construir una función de x; derivar e igualar a 0 para encontrar el extremo relativo; volver a derivar y substituir por el extremo comprobando que se trata de un mínimo. En definitiva, han repetido un algoritmo convencional.
4. Discusión, conclusiones y perspectivas futuras
En el estudio de Riaguas, Arribas, Celorrio, y Lerís (2006) y en el de Boal, Bueno, Lerís y Sein - Echaluce (2008), se evalúa el perfil del estudiante de nuevo acceso a grados de ingeniería concluyendo que existe una escasa autonomía como aprendiz y que tiene poco desarrollada la habilidad para aplicar y relacionar sus conocimientos matemáticos. Tomando conciencia de ello, se pretende observar cómo razonan creativamente los alumnos que ya han finalizado los estudios preuniversitarios.
La extracción de conclusiones representativas en la resolución de problemas es una tarea complicada pues requiere la implicación máxima del sujeto. La dificultad aumenta cuando se trata de evaluar aspectos creativos. Se elige un contexto de suma relevancia como son las Pruebas de Acceso a la Universidad (PAU), y se toma una muestra en la asignatura de Matemáticas; el alumno se juega el futuro y así la voluntad está asegurada. Guilford (1950), Barron (1969), Logan (1980), Amabile (1983), Marín y De la Torre (1991), Sternberg (1999), Paz (2004) y Violant (2006) estudian los indicadores básicos que valoran la existencia de creatividad. Esta investigación pretende particularizar en el área de matemáticas y propone la selección de siete indicadores que son capaces de resumir si una resolución de un problema de matemáticas ha sido creativa o no. Estos indicadores son: originalidad, flexibilidad, elaboración, análisis, síntesis, comunicación y redefinición.
El proceso de resolución de problemas se puede contemplar como un conjunto de cuatro fases (Polya, 1945) en donde las Fases II, III y IV son las que pueden ofrecer mayor interés desde el punto de vista de la creatividad. La Fase II se ha resuelto de manera creativa en los problemas estudiados pues el grado de originalidad mostrando la capacidad para producir respuestas poco convencionales, aplicando razonamientos heurísticos y no aplicando métodos algorítmicos de resolución ha sido elevada. El grado de flexibilidad, aunque menos, también ha sido importante notándose la capacidad de ir moldeando las propias ideas, haciéndose replanteamientos y reorientaciones, superando la propia rigidez, y pudiendo abordar un problema desde diferentes perspectivas. La Fase III se caracteriza por tener el indicador de análisis elevado, observándose una gran capacidad para estudiar una situación y determinar los límites, los criterios de descomposición en partes, y tratar por separado cada parte descubriendo nuevas relaciones. Pero no se refleja una buena elaboración en la mayoría de los casos pues no destaca la capacidad para desarrollar una idea alcanzando altos niveles de complejidad y detalle. Por este motivo, la creatividad registrada en la Fase III no es especialmente importante. La Fase IV no se ha caracterizado por tener una resolución creativa: la síntesis o capacidad de organización de la información en esquemas, observando rasgos comunes entre sus partes y la extracción de las datos más importantes de los problemas no se ha registrado; la comunicación o capacidad de transmisión de la resolución no destaca ni por su claridad ni por su desorden; la redefinición de propiedades no ha tenido lugar en la mayoría de los casos.
Recordemos que esta investigación pretende determinar el grado de creatividad en la resolución de problemas de matemáticas de alumnos preuniversitarios. Para ello hemos establecido siete indicadores que han permitido analizar el grado de creatividad de las resoluciones. A la vista de los resultados se puede concluir que los alumnos de la muestra poseen como aspectos creativos positivos en la resolución de problemas matemáticos tres de los indicadores: la originalidad, la flexibilidad y el análisis. Como aspectos creativos mejorables otros tres indicadores: la elaboración, la síntesis y la redefinición. La comunicación también es mejorable aunque no haya registrado valores tan bajos como los tres indicadores anteriores. Analizando estos resultados, para caracterizar cada una de las Fases en relación a la creatividad, se puede afirmar que ha sido la Fase del diseño de una estrategia la más creativa. La Fase de revisión es la que menos creativamente se ha afrontado. Obsérvese que el resultado de validar la solución deriva en una construcción del propio conocimiento matemático pues existe una reflexión sobre las ideas y momentos clave. A menudo, esta parte resulta difícil de ejecutar porque los alumnos consideran muchas veces que una vez obtenida la solución, el problema ya está finalizado. El profesor debe insistir en la importancia de la revisión de la solución y de la toma de conciencia de todo el esfuerzo realizado para llegar a este punto (Alonso, 2009; Mallart, 2011).
El hecho de haber comprobado un correcto análisis de las partes en que se constituye un problema pero al mismo tiempo una deficiente organización de la información plantea nuevos interrogantes. Una línea de investigación podría preocuparse de investigar la relativización de la organización de la resolución frente a la importancia de la organización de la información. Tampoco son positivos los resultados obtenidos sobre la Fase IV de revisión; es necesaria una mejora. Otra línea de investigación podría tratar las causas que originan la deficiente ejecución de la Fase IV (existen estudios de Vila y Callejo, 2004; Mallart, 2008; Blanco, Caballero y Guerrero, 2009).
Agradecimientos
Trabajo realizado en el marco del proyecto de investigación EDU2015-64646-P (MINECO/FEDER, UE).
Referencias
Amabile, T. M. (1983). The social psychology of creativity: A componential conceptualization. Journal of Personality and Social Psychology, 45, 357-376. doi: 10.1037/ 0022-3514.45.2.357
Abrantes, P. y Serrazina, L. (1996). Matemática para todos. Cómo se aprende. En P. Abrantes y L. Serrazina (Eds.), A matemática na Educaçao Básica. Lisboa, Portugal: Ministério da Educação / Departamento de Educação Básica.
Alonso, D. (2009). Pensamiento matemático inconsciente: ¿resolver sin querer? Uno, 52, 94-105.
Arteaga, E. (2010, septiembre). El desarrollo de la creatividad en la Educación Matemática. Congreso Iberoamericano de Educación, Buenos Aires, Argentina.
Barron, F. (1969). Creative Person and Creative Process. New York: Holt, Rinehart & Winston.
Blanco, L., Caballero, A. y Guerrero, E. (2009). El dominio afectivo en la construcción del conocimiento didáctico del contenido sobre resolución de problemas de matemáticas. Enseñanza de las Ciencias, Número Extra VIII Congreso Internacional sobre Investigación en Didáctica de las Ciencias, 362-365.
Boal, N., Bueno, C., Lerís, D. y Sein - Echaluce, M. L. (2008). Las habilidades matemáticas evaluadas en las Pruebas de Acceso a la Universidad. Un estudio en varias Universidades públicas españolas. Revista de Investigación Educativa, 16 (1), 11-23.
Bono, E. (1998). El pensamiento lateral. Barcelona, España: Paidós.
Garrett, R. M. (1988). Resolución de problemas y creatividad: implicaciones para el currículo de ciencias. Enseñanza de las Ciencias, 6, 224-230.
Gómez - Chacón, I. M. (2000). Matemática emocional. Los afectos en el aprendizaje matemático. Madrid, España: Narcea.
Guilford, J. P. (1950). Creativity. American Psychologist, 5, 444-445. doi: 10.1037/ h0063487
Logan, G. (1980). Estrategias para una Enseñanza Creativa. Barcelona, España: Oikos-tau.
Mallart, A. (2008). Estratègies de millora per a la resolució de problemes amb alumnes de segon d'ESO: ús de la matemàtica recreativa a les fases d'abordatge i de revisió. (Tesis doctoral no publicada, Universitat Autònoma Barcelona). Obtenido de: http:// hdl.handle.net/ 10803/ 4719
Mallart, A. (2011, mayo). La superación de la adversidad en el aprendizaje matemático. III Forum Internacional Innovación y Creatividad. La adversidad como oportunidad, Barcelona, España.
Marín, R. y de la Torre, S. (1991). Manual de la creatividad. Barcelona, España: Vicens Vives.
Osborn, A. F. (1963). Applied imagination: Principles and procedures of creative problem solving (3rd Revised Edition). New York: Charles Scribner's Sons.
Parnes, S. J., Noller, R. B. y Biondi, A. M. (1977). Guide to Creative Action. New York, EEUU: Charles Scribner's Sons.
Paz, D. (2004). Apuntes de creatividad. Mérida, España: Humana Internacional.
Petrovsky, V. A. (1978). La psicología de los tipos principales de aprendizajes y de los procesos de enseñanza. En V. A. Petrovsky (Ed.), Psicología Pedagógica y de las Edades (285-330). La Habana: Pueblo y Educación.
Polya, G. (1945). How to solve it. Princeton: Princeton University Press.
Puig Adam, P. (1960). La matemática y su enseñanza actual. Madrid, España: MEC.
Riaguas, A., Arribas, M., Celorrio, R. y Lerís, D. (2006, julio). El acceso a los estudios de Ingeniería: detección de debilidades o carencias formativas en Matemáticas. IV Congreso Internacional de Docencia Universitaria e Innovación, CIDUI, Barcelona, España.
Rico, L. (1990). Diseño curricular en Educación Matemática. Una perspectiva cultural. En S. Llinares y M. V. Sánchez (Eds.), Teoría y práctica en Educación Matemática (17-61). Sevilla, España: Alfar.
Romberg, T. y Carpenter, T. (1986). Research in teaching and learning mathematics: Two disciplines of scientific inquiry. En Merlin C. Wittrock (Ed.), Handbook of research on teaching (850-873). New York: Macmillan.
Sternberg, R. J. (1999). Handbook of Creativity. New York: Cambridge University Press. doi: 10.1017/ CBO9780511763205
Vila, A. y Callejo, M. L. (2004). Matemáticas para aprender a pensar. El papel de las creencias en la resolución de problemas. Madrid, España: Narcea.
Violant, V. (2006). Indicadores clásicos en la evaluación de la creatividad. En S. Torre y V. Violant (Eds.), Comprender y evaluar la creatividad (169-179). Archidona, España: Aljibe.