Comunicaciones
DIMENSIONES PROPUESTAS POR LA TEORÍA DE AGENCIA. VISIONES DE EXPERTOS SOBRE EL GOBIERNO UNIVERSITARIO ARGENTINO
DIMENSÕES PROPOSTAS PELA TEORIA DE AGÊNCIA. PARECER DE PERITOS SOBRE A GOVERNANÇA UNIVERSITÁRIA ARGENTINA
DIMENSIONS PROPOSED BY THE AGENCY THEORY. EXPERT’S VISIONS ON THE ARGENTINIAN UNIVERSITY GOVERNMENT
DIMENSIONES PROPUESTAS POR LA TEORÍA DE AGENCIA. VISIONES DE EXPERTOS SOBRE EL GOBIERNO UNIVERSITARIO ARGENTINO
Interciencia, vol. 45, núm. 6, pp. 260-265, 2020
Asociación Interciencia
Recepción: 05 Diciembre 2019
Corregido: 27 Mayo 2020
Aprobación: 08 Junio 2020
Resumen: El presente estudio aborda el gobierno de las universidades nacionales argentinas y las relaciones entre los diferentes actores internos. A través de la perspectiva teórica propuesta, el Enfoque de Agencia, se exploran diferentes dimensiones referidas al gobierno universitario y al impacto que tienen sobre la eficiencia de la gestión. El contexto normativo brindado por la Ley de Educación Superior aporta el marco de referencia para el análisis. El objetivo central busca analizar en qué grado impactan en la gestión las divergencias de intereses y asimetrías de información existentes entre los rectores y los miembros de los máximos cuerpos colegiados. La investigación, de tipo exploratoria y cuantitativa, basa su análisis en la opinión de expertos académicos integrantes de los diferentes claustros. Los datos obtenidos fueron analizados utilizando múltiples técnicas que incluyen estadísticas descriptivas e inferenciales. Los resultados obtenidos contrastan con investigaciones realizadas en otros países, dado que no permiten identificar diferencias significativas en las dimensiones analizadas y arrojan luz respecto de las causas relacionadas.
Palabras clave: Asimetrías de Información, Divergencia de Intereses, Gobernanza Universitaria, Gobierno Universitario, Universidad Argentina.
Resumo: O presente estudo aborda a governança das universidades nacionais argentinas e as relações entre os diferentes atores internos. Através da perspectiva teórica proposta, o Enfoque de Agência, são exploradas diferentes dimensões referentes à administração universitária e ao impacto que têm sobre a eficiência da gestão. O contexto normativo brindado pela Lei de Ensino Superior fornece o ponto de referência para a análise. O objetivo central busca analisar em que grau, as divergências de interesses e assimetrias de informação existentes entre os reitores e os membros dos máximos corpos colegiados, impactam a administração. A investigação, de tipo exploratória e quantitativa, baseia sua análise na opinião de especialistas acadêmicos integrantes dos diferentes claustros. Os dados obtidos foram analisados utilizando múltiplas técnicas que incluem estatística descritiva e inferencial. Os resultados obtidos contrastam com investigações realizadas em outros países, já que não permitem identificar diferenças significativas nas dimensões analisadas e trazem esclarecimentos a respeito das causas relacionadas.
Abstract: The present study addresses the university government of Argentinian national universities and the relation between the different internal actors. Through the proposed theoretical perspective in the Agency Approach, different dimensions referred to the university government and the impact that they have on management efficiency are explored. The normative context brought by the Higher Education bill, contributes within the referential framework of the analysis. The main objective seeks to analyze in which degree, interests’ divergence and existent information asymmetry between university presidents and maximum collegiate body, impact in management. The study is exploratory and with a quantitative approach; it bases its analysis in the academic expert opinion of different members of university cloisters. The data obtained was analyzed using multiple techniques including descriptive and inferential statistics. Results contrast with those from other countries, given that they do not allow to identify the significant differences within the analyzed dimensions, and shed light on the matter of related causes.
Introducción
Los lineamientos propuestos hace más de dos décadas por la Ley de Educación Superior argentina N° 24.521 (LES, 1995) prácticamente no sufrieron cambios hasta la actualidad y consolidaron con el tiempo los preceptos de la reforma universitaria de 1918: autonomía, cogobierno con participación de los diferentes claustros, régimen de concursos y la función social de la universidad, entre otros. Incluso la autonomía fue plasmada como principio constitucional luego de la reforma del año 1994.
Asimismo, se consolidó también una idiosincrasia particular en Argentina, que podría ser entendida como un temperamento y carácter de cada individuo, que lo distingue de los demás (De Alba, 2017). La sociedad argentina, desde hace más de un siglo, lucha por determinados logros que la distinguen y se irradian por Latinoamérica. Ejemplo de esto son la Reforma Universitaria de 1918, en la que se defendió la función social de la universidad, el decreto ley 29.337 (Decreto, 1949), las leyes 14.297 (ley, 1954), 24.521 (Ley de Educación Superior; LES, 1995) y 27.204 (Ley, 2015), entre tantas otras, que delinearon un claro camino de políticas públicas tendientes a garantizar el ingreso irrestricto a las universidades, sin exámenes selectivos y con gratuidad de estudios en las universidades públicas, entidades que concentran cerca del 80% de la matrícula total (Castillo y Ganga, 2020).
A su vez, el gobierno corporativo se ha transformado en los últimos años en un indicador clave de una eficiente gestión organizacional, con la publicación de gran cantidad de códigos de buen gobierno destinados a fortalecer los sistemas de gestión y control de las organizaciones y lograr una mayor transparencia. Si bien Eells (1956) comenzó a utilizar el término gobierno corporativo para referirse al gobierno de las organizaciones, muchas fueron las definiciones propuestas desde entonces. Se dice que el gobierno corporativo es el sistema por el cual las empresas son dirigidas y controladas. Durante las últimas dos décadas se ha renovado el interés de esta temática por parte de los académicos a punto tal que hoy no se circunscribe de manera exclusiva al ámbito de la gran empresa que cotiza en bolsa, sino que también puede aplicarse a todas las organizaciones, sean estas privadas o sin fines de lucro (Portalanza, 2013:119).
Por su parte, Chicharro et al. (2015) sostienen que, considerando el concepto de gobierno corporativo en el ámbito universitario, el desempeño de la universidad en el ámbito de la organización y la gestión es una dimensión común que comparte con la empresa.
La problemática del gobierno universitario es compleja y abarca un sinnúmero de variables a considerar, entre las que se encuentran los procesos de toma de decisiones, de definición de objetivos, conflictos de intereses, relaciones de confianza, asimetría de información y procedimientos de control.
Esta investigación toma a la Teoría de Agencia como perspectiva válida para su desarrollo. La asimetría de información y divergencia de intereses entre agente y principal son dos importantes dimensiones propuestas por la teoría. Indagar acerca de estas, su existencia o no, posibles causas y costos de agencia relacionados puede contribuir a vislumbrar lo que ocurre con la gestión de las universidades argentinas, en particular con su sistema de gobierno, y coadyuvar con la mejora de la eficiencia.
En este orden de cosas, el propósito central de esta investigación es determinar el grado en el que las divergencias de intereses y las asimetrías de información, existentes entre los rectores y los de los miembros de los máximos cuerpos colegiados (MCC) de las universidades nacionales argentinas, podrían afectar la gestión.
Para lograr las metas trazadas, se trabajó en una investigación cuantitativa con un diseño no experimental. La obtención de datos se realizó aplicando un cuestionario a una muestra de 246 casos, considerados como ‘expertos’.
Contexto normativo
La Ley de Educación Superior (LES, 1995) que rige el sistema de educación superior en Argentina, describe detalladamente las formas de gobierno posibles, la representación de los claustros y los mecanismos de control, garantizando también amplia autonomía a las instituciones. Los cambios en la normativa introducidos por esta ley, si bien fueron duramente cuestionados por múltiples sectores, no fueron modificados posteriormente a pesar de que se produjeron varios cambios de gobierno y que las instituciones de la democracia funcionaron sin interrupción. A su vez, implicaron la adaptación de los estatutos de todas las universidades nacionales, tarea que se llevó adelante de manera armónica.
La LES contiene a las instituciones de formación superior, universitarias y no universitarias, nacionales, provinciales o municipales, tanto estatales como privadas, las que forman parte del Sistema Educativo Nacional (Mollis, 2003).
Cabe destacar que la LES regula también la autonomía universitaria y brinda a las instituciones educativas la posibilidad de dictar y reformar sus estatutos, administrar sus bienes y recursos, prever sus órganos de gobierno, tanto colegiados como unipersonales, así como sus atribuciones y composición. Establece que los órganos de gobierno colegiados tendrán funciones legislativas, de definición de políticas y de control y a las autoridades unipersonales les brinda funciones ejecutivas.
Adicionalmente se puede observar que las normas de los estatutos internos de las universidades no muestran cambios en la actualidad que rompan con la tradición universitaria del cogobierno, los tipos de órganos a nivel de la universidad y las unidades académicas, ni las funciones tradicionales de los distintos órganos (Nosiglia y Mulle, 2015).
La Teoría de Agencia
La Teoría de Agencia (TA) parte de un supuesto básico, el o los dueños de una organización, el Principal, debe delegar en un gerente, el Agente, la gestión y la toma de decisiones y señala las tensiones que se producen entre Agente y Principal, especialmente debido a dos fenómenos. En primer lugar, la asimetría de información, ya que el Agente desde su lugar privilegiado sabe más de la organización que el Principal. En segundo lugar, la divergencia de intereses que puede existir entre uno y el otro y que iría en detrimento de la organización y fundamentalmente del Principal. La teoría propone también mecanismos para prevenir potenciales inconvenientes o solucionar los ya ocurridos. La TA es perfectamente aplicable a la gestión de las universidades en tanto la figura del Principal y el Agente tienen un correlato directo con los MCC o consejos superiores y la figura del Rector, respectivamente (Ganga-Contreras, 2005).
En las décadas de los 70 y los 80 autores como (Alchian y Demsetz (1972), Jensen y Meckling (1976) y Fama y Jensen (1983) inician investigaciones que desarrollan postulados de la TA, tales como las asimetrías de información y la divergencia de intereses. Jensen y Meckling establecen la terminología esencial de este enfoque y definen el problema cardinal sosteniendo que una relación de agencia corresponde a un contrato explícito en el que una parte, el Agente, se compromete a llevar a cabo determinadas acciones en beneficio de otra, el Principal, en una relación que generalmente implica delegación de autoridad o delegación de derechos de decisión (Fama y Jensen, 1983), de modo que el Agente toma decisiones en nombre del Principal. Se podría deducir que si una y otra parte de la relación de agencia procede maximizando su utilidad, existen claras razones para creer que el Agente no siempre actuará a favor del interés del Principal (Ganga y Vera, 2008; Lane 2012). En síntesis, se produce una separación irreversible entre la propiedad y el control, alterándose el nexo habitual entre la inversión, la toma de decisiones y la obtención de beneficios. Esto da lugar a la aparición de conflictos de intereses entre los accionistas, propietarios de la empresa, y aquellos a los que se les delega la dirección y gestión de esta (Jensen y Ruback, 1983).
Otro abordaje del problema de agencia es relacionándolo con la sociedad en la cual está inmersa la organización. En este caso el problema no solo surge entre el gerente (Agente) y el Principal de la organización sino también entre la organización y la sociedad, puesto que quizás los intereses no estén alineados entre ellos (Raelin y Bondy, 2013).
Jensen y Meckling (1976) sostienen que el núcleo de esta perspectiva está en la relación entre Agente y Principal, entre quienes se producen una serie de divergencias que pueden resumirse en tres variables: motivación, información, y riesgo.
El problema de promover a un Agente a comportarse como si estuviera maximizando las ganancias del Principal es general, existe en las organizaciones y en los esfuerzos de cooperación, en los diferentes niveles de gestión en las empresas, en las universidades, en los sindicatos y en las oficinas gubernamentales, entre otras (Jensen y Meckling, 1976).
Divergencia de intereses
Este conflicto involucra una situación lógica y legítima de diferencia de intereses entre un empleador y el empleado. El primero centra su interés en obtener un determinado rendimiento y pagar por él la retribución mínima aceptable para el empleado y por la normativa. A su vez, el interés del empleado gira en torno a obtener la máxima retribución por las horas dedicadas, minimizando el esfuerzo. En el caso de la universidad es probable que el máximo directivo, el Rector, actúe motivado por sus metas particulares poniendo en segundo plano los objetivos institucionales fijados por el MCC (Ganga-Contreras et al., 2014).
Asimetría de información
La existencia de la asimetría de información planteada por la TA se materializa ya que el directivo se encuentra dentro de la organización, y dirigiéndola, por lo que tiene mayor información que el Principal, que no goza de estos beneficios.
Según Vergés (2000) al hablar de asimetría de información entre el Agente y el Principal nos referimos a que las variables ‘esfuerzo’ y ‘factores externos’ no son generalmente observables por el Principal. Además, el Principal desconoce en profundidad la relación cuantitativa existente entre estas variables y el producto conseguido por el Agente. Eliminar esta asimetría involucraría al Principal en todos los aspectos que concernieran al Agente supervisando todas las acciones, lo que se torna en un supuesto poco realista, e ineficiente.
Por otra parte, las asimetrías de información pueden darse en dos claros escenarios. Las asimetrías existentes ex-antes del contrato, que originan problemas de agencia conocidos como ‘selección adversa’, y las originadas ex-post del contrato, que dan lugar a problemas de agencia del tipo ‘riesgo moral’ (Ganga-Contreras, 2005).
Metodología
Este estudio tiene una justificación primordialmente práctica dado que, a partir de una teoría organizativa, se intenta identificar el impacto de variables que afecten el funcionamiento del gobierno de las universidades, en este caso estatales argentinas. A su vez, se orienta a describir, comparar y analizar aspectos del gobierno universitario y su impacto en la eficiencia universitaria, desde la mirada de la Teoría de Agencia y según la óptica de expertos de las universidades argentinas.
La investigación a realizar es eminentemente cuantitativa y tiene un diseño no experimental. Es exploratoria dado que se reseñan las características y principales rasgos o aspectos distintivos del objeto de estudio sobre la línea de pensamiento de expertos en relación con el gobierno corporativo universitario, abordando un fenómeno existente y no estudiado hasta el momento en Argentina. Asimismo, es correlacional ya que intenta examinar asociaciones entre variables a la vez que proporciona indicios de la relación que podrían existir entre dos o más elementos, pero no relaciones causales (Salkind, 1998).
Las universidades analizadas son las nacionales acreditadas por la Comisión Nacional de Evaluación y Acreditación Universitaria (CONEAU) de Argentina (período comprendido es entre 2015 y 2017).
Se tomó como población a expertos de 48 universidades nacionales con acreditación de CONEAU. Sustenta esta decisión la trascendencia que le brindó a las universidades nacionales la Ley 27204/15, que impone de manera explícita la indelegabilidad de la responsabilidad del Estado en la educación superior y establece a la educación y al conocimiento como bienes públicos y derechos humanos. No se incluyó a nueve de las actuales universidades por haberse creado en el año 2015 o posteriormente.
A los efectos de esta investigación se definieron como ‘expertos’ a aquellas personas que ocupan o hayan ocupado cargos de gestión tales como jefes de carreras, directores, decanos, miembros de cuerpos colegiados, rectores, secretarios, académicos y profesionales que estudien o tengan experiencia en la temática. Se consideró también a los diferentes claustros docentes, alumnos, no docentes (personal administrativo) y graduados, ya que la figura del cogobierno es considerada un aspecto fundamental en la estructura de autoridad en las universidades nacionales argentinas (Kandel, 2003).
Como la población total considerada en esta investigación es mayor a 100.000 sujetos, el cálculo de la muestra se hizo mediante la fórmula para poblaciones infinitas (Alós, 1995). De esta manera quedó conformada por 246 individuos.
Las fuentes de obtención de la información fueron primarias. Se recurrió a la realización de encuestas a expertos de las universidades seleccionadas utilizando un formulario de preguntas semiestructuradas.
Para el procesamiento e interpretación de la información recopilada se utilizaron programas estadísticos tales como el SPSS y Excel.
En el análisis de los datos se utilizaron técnicas de estadística descriptiva e inferencial. Dentro de la las descriptivas se utilizaron tablas de frecuencias y gráficos. En relación con la estadística Inferencial se utilizó el indicador de fiabilidad alfa de Cronbach y técnicas de análisis factorial exploratorio.
Resultados
Caracterización
No hubo diferencia significativa respecto al sexo y la mayoría de los encuestados (43,5%) se encuentra en un rango de edad entre 45 y 60 años. Esto es consecuente con que el 56,9% de los expertos encuestados pertenece al claustro docente. Vale destacar que esta última característica se encuentra dentro de las exigencias previstas por la LES para la composición de los cogobiernos universitarios (Art. 53) y posibilita lograr una buena representación en relación con el sistema de cogobierno imperante.
El mayor porcentaje de los encuestados, 53%, ocupa o ha ocupado un cargo de conducción en la universidad y solo un 16,63% afirma no haberlo ocupado nunca, lo que supone una importante experiencia y conocimiento de la situación existente. A su vez, el 74,3% de los encuestados hace más de cinco años que pertenece a la universidad y el 44,6% desde más de 20 años. Estas características nos permiten inferir una fuerte pertenencia al ámbito universitario y una sólida percepción sobre el funcionamiento de las universidades a las que pertenecen y sobre sistema universitario.
Divergencias de intereses entre los rectores y el MCC
Se utilizan cinco preguntas del cuestionario. La primera de ellas está diseñada para identificar si la mayoría de los expertos perciben que existen divergencias de intereses entre los rectores y los miembros del MCC que afecten la eficiencia de la gestión universitaria. Las dos siguientes profundizan sobre las posibles causales y las dos últimas indagan sobre las alternativas de mayor interés para el Rector y para los miembros del MCC.
Hipótesis 1: Los intereses entre los rectores y los miembros de los MCC de las universidades nacionales argentinas son divergentes y esto afecta la eficiencia de la gestión universitaria.
Para dar respuesta a la hipótesis planteada se aplica la prueba de diferencias entre proporciones.
H. = PSI ≥ PNO, la proporción de SI es mayor o igual que la proporción de NO.
H. = PSI < PNO, la proporción de SI es menor a la proporción de NO.
En la Tabla I se puede observar que el mayor porcentaje de los encuestados (57%) considera que no existen intereses divergentes entre el directivo máximo y el MCC.

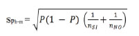
Con la información proporcionada tenemos que nSI= 109; nNO= 144; PSI= 0,43; PNO= 0,57; y PSI-PNO= 0,43-0,57= -0,14 para un nivel de significación de α= 0,05. El valor crítico para la prueba de una sola cola es de 1,64.
Estimamos el error estándar de la diferencia de las dos proporciones:

donde P= ; PSI= proporción muestra de SI; PNO= proporción muestra de NO; nSI= tamaño de muestra de SI; y nNO= tamaño de muestra de NO. Por lo tanto 
y

mientras que la prueba estadística:

tiene el valor

La hipótesis nula es rechazada porque el valor de la Z calculado es menor que el valor crítico Z o sea -2,22 < -1,64. Se determina con un 95% de confianza que la proporción de SI es menor a la proporción de NO y se concluye que los intereses entre los rectores y los miembros del MCC de las universidades nacionales argentinas no son divergentes y ello no afecta la eficiencia de la gestión universitaria.
La mayor causa de esta falta de divergencia se debe a la existencia de una buena comunicación entre el rector y el MCC (31,3%) y en segundo lugar a que existe un alto compromiso de la contraparte (25,7%), tal como lo muestra la Tabla II.

En relación con las alternativas de mayor interés en la gestión del rector, el 85,4% respondió ‘formar profesionales integrales’ y el 85% ‘contribuir a la sociedad’. Esto denota una imagen del rector de alto compromiso con la función social de la universidad, situación que se relaciona al hecho de que estamos analizando universidades estatales, y que es coherente con la falta de divergencia entre los intereses del Principal con el Agente.
Al analizar las alternativas con menor nivel de adhesión por parte de los expertos, observamos ‘captar mejores alumnos’ con 41,9% y ‘mejorar el estatus personal’ con 55,3%. En estas alternativas podemos inferir cuestiones interesantes. Con relación a la primera de ellas se visualiza la relación con la amplitud del sistema universitario argentino respecto a los ingresantes, realidad que está planteada incluso a nivel legal en la norma 27204/15 que impone la indelegabilidad de la responsabilidad del Estado en la educación superior. Con relación a la segunda, se infiere que el postulado de la TA de que el Agente trabaja para sus propios intereses no se cumple en este caso ya que ‘mejorar su estatus personal’ ha quedado como uno de los últimos intereses percibidos por los expertos.
Cuando se analizan las alternativas de mayor interés para el MCC el mayor porcentaje de respuesta las obtuvieron ‘formar profesionales integrales´ con un 85,4% y ‘contribuir a la sociedad, y ‘efectuar una gestión democrática’, ambas con 83%. Observamos una clara paridad con los intereses del rector, ocupando el primer y segundo lugar en importancia los mismos intereses, lo que sustenta aún más la falta de divergencia existente entre el Rector y el MCC. En el caso del MCC se agrega en el segundo lugar ‘efectuar una gestión democrática’. Una explicación razonable sería que el MCC es un órgano colegiado con la necesidad de lograr consensos, a diferencia del rector que es un cargo unipersonal y el liderazgo posa en la figura de un solo individuo.
Adicionalmente podemos mencionar dos intereses que quedaron relegados por igual a los últimos lugares. Por un lado ‘disminuir el exceso de procedimientos administrativos’, interés que quedó en el décimo lugar de doce entre los intereses del rector y en el octavo en el del MCC. La visión de los expertos en relación con esta opción podría estar indicando que las máximas autoridades de la universidad pública argentina no tienen en su agenda la modernización de la administración. Por otro, ‘aumentar el autofinanciamiento’, opción que quedó en el séptimo lugar de doce tanto para los intereses del rector como para los del MCC. Esto última puede explicarse dado que las universidades nacionales tienen garantizado el presupuesto para su funcionamiento por ley. De todas maneras, se contradice con la existencia de reclamos y conflictos relacionados a la necesidad de contar con mayores fondos para el financiamiento.
Los escenarios asociados a la divergencia de intereses son acompañados de costos de agencia asociados a la vigilancia que se realiza sobre el trabajo del Agente (Maquieira y Danús, 1998). El análisis efectuado nos lleva a deducir que los costos no se verían aumentados en el caso analizado dado la importante concordancia existente entre los intereses del Principal y el Agente.
Asimetrías de información entre rectores y el MCC
Se utilizan dos preguntas del cuestionario. La primera de ellas está diseñada para identificar si la mayoría de los expertos perciben que existen asimetrías de información entre los rectores y los MCC. La segunda intenta establecer un nivel alto, medio o bajo entre las respuestas afirmativas.
Hipótesis 2: Existen asimetrías de información entre el rector y los MCC que afectan la eficiencia de la gestión universitaria argentina.
H. = PSI ≤ PNO, la proporción de SI es menor o igual que la proporción de NO.
H. = PSI > PNO, la proporción de SI es mayor a la proporción de NO.
Como se puede apreciar en la Tabla III, prácticamente el 55% de quienes contestaron el cuestionario estiman que no existe asimetrías de información entre el MCC y el rector. Con la información proporcionada tenemos que nSI= 116; nNO= 137; PSI= 0,46; PNO= 0,54; y PSI-PNO= 0,08 para un nivel de significación de α= 0,05. El valor crítico para la prueba de una sola cola es de 1,64.

Estimamos el error estándar de la diferencia de las dos proporciones de igual manera que en el caso de la hipótesis 1, y por tanto 
y

mientras que la prueba estadística Z tiene el valor

La hipótesis nula no es rechazada porque el valor de la Z calculado es mayor que el valor crítico Z (-1.27 > -1.64). Se puede determinar con un 95% de confianza que la proporción de SI es menor o igual a la proporción de NO, por lo que se concluye que no existen asimetrías de información entre los rectores y los MCC que afectan la eficiencia de la gestión universitaria argentina, por lo cual la segunda pregunta queda sin efecto.
Esta dimensión de análisis es de trascendental importancia dado que uno de los principios para que se establezca un conflicto de agencia es que existan asimetrías en la información que manejan el Principal y el Agente. De acuerdo con las respuestas de los expertos, y en contraste con lo afirmado por Ganga-Contreras y Burotto (2012), es posible afirmar que no se presentaría esta situación de asimetría en las universidades argentinas y que no existirían diferentes niveles de información entre los integrantes del MCC y el Rector.
Conclusiones
La investigación desarrollada conduce a una reflexión sobre la gobernanza universitaria, es decir, sobre los gobiernos y las formas de gestión presentes en las universidades. La TA provee elementos clave de análisis para el abordaje de los gobiernos universitarios y para el estudio de las conductas de los actores principales de la organización; es decir, para la realización de un estudio empírico de los gobiernos corporativos, en este caso de las universidades públicas argentinas. A su vez, obtener información relevante sobre lo que ocurre en el país posibilitó la comparación de los resultados obtenidos con estudios realizados en otros estados latinoamericanos (Ganga-Contreras, Burotto, 2012;Ganga-Contreras et al., 2014;Maluk, 2016), lo que brinda un valor adicional a las conclusiones.
En relación con la primera dimensión de la TA analizada, la divergencia de intereses, y en sentido contrario a lo propuesto por la teoría, los resultados encontrados evidencian que no existe divergencia de intereses entre el Rector y los MCC. Esta falta de divergencia se debe fundamentalmente a la existencia de una buena comunicación entre el Rector y el MCC, y a que existe un alto compromiso de la contraparte.
La falta de divergencia de intereses se ve ratificada incluso en los tipos que se destacan como de mayor importancia tanto para el rector como para los MCC. Coinciden ambos casos en la formación de profesionales integrales y en la contribución a la sociedad, situación que se relaciona con el carácter público de la institución analizada y con la función social de la universidad. Cabe mencionar también lo observado respecto a los intereses que menos adhesiones tuvieron por parte de los expertos encuestados. Captar mejores alumnos quedó relegado a uno de los últimos lugares, situación que es coherente con la idiosincrasia argentina, incluso consolidada por la ley 27204/15. Adicionalmente, podemos mencionar también la posible falta de interés en mejorar la gestión a través de la disminución de procesos administrativos y del logro del autofinanciamiento, intereses que no están en la cima ni del Rector ni del MCC.
Más allá de que las universidades públicas tengan garantizado su presupuesto por ley, la no consideración del autofinanciamiento como uno de los principales intereses es también coherente con la idiosincrasia de la población argentina, que considera la gratuidad de lo público y ha enarbolado esta bandera en el caso de la educación rechazando cualquier intento de arancelamiento, incluso de la educación de posgrado, aunque los estudiantes sean extranjeros. Cabe destacar que este escenario de coincidencia de intereses entre el Agente y el Principal debería redundar en la disminución, o incluso la ausencia, de los costos propuestos por la TA para este tópico.
La segunda dimensión de la TA analizada es la asimetría de información. Para nuestra sorpresa la situación que se presenta en las universidades argentinas, ausencia de asimetría de información entre el Rector y el MCC, contrasta con lo observado en estudios realizados en otros países latinoamericanos en los que no solo se verificaron asimetrías en la cantidad de información (Maluk, 2016) en Ecuador, sino también en la calidad de la misma, como es el caso del estudio llevado a cabo en Chile por Ganga-Contreras y Burotto (2012). Al arribar a esta conclusión se descarta otro de los postulados de la TA. En este caso es importante complementar las conclusiones obtenidas con futuros estudios que analicen la eficacia de la implementación de los mecanismos alineadores, dado que esta situación podría estar relacionada a su buen funcionamiento.
La existencia de estudios previos de similares características en otros países iberoamericanos posibilitó el contraste de los resultados obtenidos; sin embargo, la falta de investigaciones en Argentina que aborden al gobierno universitario desde la perspectiva de la TA es una clara limitación para esta investigación y un obstáculo para encontrar una tendencia que respalde las conclusiones realizadas.
Los resultados observados dejan abierta la posibilidad a la realización de nuevas investigaciones. Interesante sería indagar con mayor profundidad en torno a la normativa vigente y su impacto en la eficiencia de la gestión. En otro orden de ideas, el intrincado entramado de redes que se crea al incluir a otros actores en el análisis (gobiernos de facultades, departamentos, organizaciones no gubernamentales relacionadas con la universidad, entre otros) da lugar a una compleja realidad institucional y a lo que Steinberg (2010) denomina un problema de agencia en cadena.
En relación a lo propuesto por Brunner (2011), cabe mencionar la importancia de ampliar las investigaciones en torno a la gestión, a las dinámicas de poder existentes y a los principios de legitimidad que generen confianza en que la organización cuenta con estructuras y procesos apropiados para la toma de decisiones. Estudiar los gobiernos de las universidades desde diversas perspectivas teóricas permitiría enriquecer el acervo de información que existe sobre la temática, posibilitando que las universidades tiendan a asegurar las mejores condiciones para garantizar la calidad institucional y consolidar modelos organizacionales más inclusivos y democráticos.
DIMENSIONES PROPUESTAS POR LA TEORÍA DE AGENCIA. VISIONES DE EXPERTOS SOBRE EL GOBIERNO UNIVERSITARIO ARGENTINO
Alchian A, Demsetz H (1972) Production, information costs and economic organization. Am. Econ. Rev. 62: 777-795.
Alós JS (1995) Técnicas de Encuesta por Muestreo. Seminario de ESOMAR. México.
Brunner J (2011) Gobernanza universitaria: tipología, dinámicas y tendencias. Rev. Educ. 355(2): 137-159.
Castillo J, Ganga-Contreras F (2020) Hitos que impactaron sobre la autonomía y los gobiernos de las universidades nacionales argentinas. Espacios 41(2): 19-31.
Chicharro M, Carrillo I, Rosa C (2015) Responsabilidad Social Universitaria: estudio empírico sobre la fiabilidad de un conjunto de indicadores de Gobierno Corporativo. Innovar 25(58): 91-103.
De Alba JG (2017) Suma de Minucias del Lenguaje. Fondo de Cultura Económica. México.
Decreto (1949) Decreto N° 29.337. Argentina. http://www.undav.edu.ar/general/recursos/adjuntos/13382.pdf (Cons. 15/06/2018).
Eells R (1956) The rationale of Corporate Philantropy. Vital Speeches of the Day. pp. 216-219.
Fama E, Jensen M (1983) Separation of ownership and control. J. Law Econ. 26: 301-325.
Ganga-Contreras F (2005) Análisis preliminar del gobierno universitario chileno. Rev. Venez. Gerenc. 10(30): 213-246. https://www.redalyc.org/pdf/290/ 29003004.pdf.
Ganga-Contreras F, Burotto J (2012) Asimetrías de información entre agente y principal de universidades chilenas. Estud. Gerenc. 28(122): 83-104. https://doi.org/10.1016/S0123-5923(12) 70195-X.
Ganga-Contreras F, Vera-Garnica J (2008) El gobierno corporativo: consideraciones y cimientos teóricos. Cuad. Admin. 21(35): 93-126. https://www.redalyc.org/pdf/205/20503505.pdf.
Ganga-Contreras F, Garrido Álvarez O, Abello-Romero J, Vázquez L (2014) Intereses divergentes en las universidades de Chile: una indagación desde la teoría de agencia (TA). Opción 30(75): 15-23. http://www.redalyc.org/articulo.oa?id=31035400005.
Jensen M, Meckling W (1976) The Theory of the Firm: Managerial behavior, agency costs, and ownership structure. J. Financ. Econ. 3: 305-360. https://doi.org/10.1016/0304-405X(76)90026-X.
Jensen M, Ruback W (1983) The market for corporate control: The scientific evidence. J. Financ. Econ. 11: 5-50. https://doi.org/10.1016/0304 -405X(83)90004-1.
Kandel V (2003) Algunas reflexiones en torno al gobierno, la representación y la democracia en la universidad argentina. Rev. Educ. Sup. Lín. 125(6): 419-427.
Lane J (2012) Agency Theory in Higher Education organizations. En The Organization of Higher Education: Managing Colleges for a New Era. Johns Hopkins University Press. Baltimore, MD, EEUU. pp. 278-303.
LES (1995) Ley Nacional de Educación Superior Nro. 24.521. Argentina. http://infoleg.mecon.gov.ar/infolegInternet/anexos/25000-29999/ 25394/texact.htm.
Ley (1954) Ley Universitaria 14.297. Ministerio de Educación. Buenos Aires, Argentina. 23 pp. http://www.bnm.me.gov.ar/giga1/documentos/EL002752.pdf.
Ley (2015) Ley 27.204. De Implementación Efectiva de la Responsabilidad del Estado en el Nivel de Educación Superior. Buenos Aires, Artgentina. http://servicios.infoleg.gob.ar/infolegInternet/anexos/250000- 254999/254825/norma.htm
Maluk S (2016) Las Relaciones de Agencia en el Gobierno Univer-sitario: Contribuciones del Principal y Agente Ecuatoriano. Tesis. Universidad Andina Simón Bolívar. Ecuador.
Maquieira C, Danús M (1998) Costos de agencia y costos de transacción como determinantes de la tasa de pago de dividendos en Chile. Estud. Admin. 5(2):49-81.
Mollis M (2003) Un breve diagnóstico de las universidades argentinas: identidades alteradas. En Las Universidades en América Latina: ¿Reformadas o Alteradas? La Cosmética del Poder Financiero. Consejo Latinoamericano de Ciencias Sociales. Buenos Aires, Argentina. pp. 202-221.
Nosiglia M, Mulle V (2015) El gobierno de las instituciones universitarias a partir de la Ley de Educación Superior 24.521: un análisis de los Estatutos Universitarios. Rev. Iberoam. Educ. Sup. 6(15): 72-89. https://doi.org/10.1016/S2007 -2872(15)30004-4.
Portalanza A (2013) Gobierno corporativo una aproximación teórica. Saber, Ciencia y Libertad 8: 117-124.
Raelin J, Bondy K (2013) Putting the good back in good corporate governance: the presence and problems of double-layered Agency Theory. Corp. Govern. Int. Rev. 21: 420-435.
Salkind N (1998) Métodos de Investigación. Pearson. México.
Steinberg R (2010) Principal-Agent Theory and nonprofit accountability. En Comparative Corporate Governance of Non-Profit Orga-nizations. Cambridge University Press. Cambridge, RU. pp. 73-126. DOI: https://doi.org/10.1017/CBO9780 511712128.006.
Vergés J (2000) Control e Incentivos en la Gestión Empresarial. Universidad Autónoma de Barcelona. España.
Notas de autor
ganga.francisco@gmail.com