Artículo de investigación
Recepción: 24 Agosto 2018
Aprobación: 14 Diciembre 2018
DOI: https://doi.org/10.22430/22565337.1037
Resumen: Los deslizamientos detonados por la infiltración de las lluvias son comunes en las regiones tropicales. La falla de taludes representa una de las causas más comunes de pérdidas humanas y económicas en todo el mundo. El presente trabajo presenta una metodología para la evaluación de la amenaza a deslizamientos superficiales detonados por lluvia. La metodología implementada utiliza el modelo de base física - TRIGRS (Transient Rainfall Infiltration and Gridbased Slope-Stability), así como un análisis de confiabilidad a través del método probabilístico FOSM (First Order Second Moment), permitiendo incorporar la incertidumbre sobre los parámetros de resistencia del suelo (cohesión y fricción) y el espesor de la superficie de falla. Estos parámetros presentan gran variabilidad asociada a las condiciones geológicas y geomorfológicas de cada zona en particular. Adicionalmente, la metodología utilizada permite un análisis adecuado del efecto del proceso de infiltración de la lluvia en la inestabilidad de los suelos, ya que considera tanto las características de la lluvia (intensidad-duración), como la permeabilidad y los parámetros de resistencia del suelo. El contraste de los resultados obtenidos utilizando FOSM en relación con los resultados determinísticos, resalta la importancia de considerar la incertidumbre dentro del análisis de estabilidad. El procedimiento presentado y los resultados obtenidos pretenden mostrar una herramienta útil para la ordenación y planificación del territorio que permita una mirada progresiva y sostenible en el desarrollo socio-económico de las zonas susceptibles a deslizamientos detonados por lluvia.
Palabras clave: Modelo de base física, infiltración transitoria de lluvia, análisis de estabilidad de laderas, método probabilístico FOSM.
Abstract: Landslides triggered by rainfall infiltration are common in tropical regions. Slope failures represent one of the most common causes of human and economic losses around the world. This study presents a methodology for hazard assessment of shallow landslides triggered by rainfall. The implemented methodology uses the physical based model - TRIGRS (Transient Rainfall Infiltration and Gridbased Slope-Stability), as well as a reliability analysis using the FOSM probabilistic method (First Order Second Moment), which allow to incorporate the uncertainty of strength parameters of the soil (cohesion and friction) and the thickness of the failure surface, these soil properties present great variability associated with the geological and geomorphological conditions for each zone. Additionally, the used methodology allows an adequate analysis of the effect of the rainfall infiltration process on the soil instability since it considers both, the rainfall characteristics (intensity-duration), as well as the hydraulic conductivity and the strength parameters of the soil. The contrast of the results obtained by the FOSM compared to the deterministic results, highlights the importance of considering the uncertainty within the stability analysis. The procedure and obtained results intend to show a useful tool for land use plans, that allows a progressive and sustainable socio-economic development of the areas which can be susceptible to landslides triggered by rainfall infiltration.
Keywords: Physical based model, transient rainfall infiltration, slope stability analysis, FOSM probabilistic Method.
1. INTRODUCCIÓN
Los movimientos en masa son considerados uno de los fenómenos con mayores impactos socioeconómicos alrededor del mundo, causando considerables pérdidas de vidas humanas y económicas [1], [2]. El acelerado aumento de la población y la ocupación de terrenos susceptibles ha incrementado las condiciones de riesgo por movimientos en masa [3], especialmente en regiones ubicadas en zonas tropicales y terrenos montañosos, los cuales presentan una mayor susceptibilidad a los movimientos en masa a causa de sus características topográficas e hidrometeorológicas [4]. En Colombia, el caso del Valle de Aburrá representa un ejemplo de la acelerada e inadecuada ocupación de terrenos susceptibles a la ocurrencia de movimientos en masa. En las últimas décadas se han conformado grandes asentamientos no consolidados sobre laderas conformadas por suelos residuales y depósitos de vertiente [5], generando una grave problemática para las entidades encargadas de la planeación del territorio.
La evaluación de la amenaza por movimientos en masa es una herramienta fundamental en la planeación y distribución del territorio. En Colombia, mediante la expedición de la Ley 1523 de 2012, que organiza el Sistema Nacional de Gestión del Riesgo de Desastre, se exigió a los municipios la elaboración de estudios de amenaza como parte de los elementos estructurantes en la formulación de los Planes de Ordenamiento Territorial (POT). El alcance de estos estudios es delimitado mediante el Decreto 1807 de 2014, en el cual se establece las escalas y metodologías requeridas en la elaboración de los estudios básicos de amenaza para los POT [6].
Los estudios básicos de amenaza tienen como alcance delimitar y zonificar las áreas con condición de amenaza y condición de riesgo en los suelos con vocación de desarrollo. El desarrollo de las áreas establecidas con condición de amenaza y condición de riesgo es sujeta a estudios de detalle que establezcan los suelos con riesgo no mitigables y que deberán ser destinados a suelos de protección, y suelos con riesgo mitigable que podrán ser desarrolladas de forma restringida. Debido a las implicaciones para el desarrollo urbano, se han desarrollado múltiples metodologías de evaluación para la zonificación de la susceptibilidad y amenaza por movimiento en masa que permitan establecer con precisión la probabilidad de falla de las laderas analizadas [7].
En la literatura existen diversos modelos de susceptibilidad y amenaza según el enfoque, la escala de trabajo, la complejidad de las condiciones ambientales, y la disponibilidad de información e inventario de movimientos en masa [8], [9]. Estos modelos son divididos en métodos cualitativos (análisis de inventario y análisis heurísticos) y métodos cuantitativos (análisis estadísticos y modelos con base física) [10]. Los métodos cualitativos se basan en el criterio y evaluación de expertos que estiman de forma directa o indirecta la potencial ocurrencia de movimientos en masa [11]. Entre los métodos cuantitativos, el análisis estadístico establece relaciones entre los factores de inestabilidad y la distribución de los eventos de movimientos en masa registrados [12]. Entre tanto, los modelos con base física evalúan la ocurrencia de movimientos en masa en términos de factores de seguridad o probabilidades de ocurrencia [13], a través de modelos numéricos que acoplan análisis de estabilidad de equilibrio límite con modelos de infiltración [14]. Los modelos con base física permiten tener en consideración la complejidad de los factores detonantes (sismo y/o lluvia) y las características geomecánicas del terreno. Sin embargo, los análisis determinísticos basados en el factor de seguridad no consideran la variabilidad espacio-temporal de los factores que intervienen en el análisis de estabilidad [15], introduciendo en los resultados incertidumbres y variaciones como producto de un análisis singular [16].
A pesar del avance investigativo en las metodologías de evaluación de la amenaza, en Colombia ha sido poco el uso de los modelos con base física en la zonificación de la amenaza por movimientos en masa. En el presente trabajo se emplea el modelo determinístico con base física denominado TRIGRS (Transient Rainfall Infiltration and Gridbased Slope-Stability), con un análisis de confiabilidad FOSM (First Order Second Moment), que permite incorporar la incertidumbre de los parámetros del suelo, para la evaluación de la amenaza por movimientos en masa superficiales detonados por lluvias en las zonas montañosas tropicales, como insumo para la actualización de los Planes de Ordenamiento Territorial, con el propósito de armonizar la gestión del riesgo con la planificación territorial.
2. SITIO DE ESTUDIO
Como sitio de estudio se considera el área urbana y de expansión del municipio de Envigado, el cual se encuentra localizado en el suroriente de la subregión denominada Valle de Aburrá en el centro del departamento de Antioquia, a 10 kilómetros de la ciudad de Medellín. La Fig. 1 presenta la localización del municipio y la división del territorio en suelos urbanos y de expansión, y suelos rurales.

El territorio de Envigado está formado por un relieve montañoso con alturas entre los 1.575 m.s.n.m. en la cabecera municipal, hasta 2.900 m.s.n.m en el cerro Astilleros, con temperatura promedio de 22°C, precipitación media anual de 2.107 mm/año y clasificado en términos climáticos como bosque húmedo tropical. La cabecera municipal se ubica al sur del Valle de Aburrá en las coordenadas 6°10′19″ de latitud norte y 75°35′09″ de longitud oeste de Greenwich. Corresponde al quinto municipio más pequeño en extensión en el Valle de Aburrá, con un territorio de 79 km2, que representa el 4,3 % de la subregión, de los cuales 67 km2 (85 %) corresponden a suelo rural distribuido en 6 veredas, y 12 km2 (15 %) de suelo urbano y expansión distribuido en 39 barrios, de acuerdo con la clasificación del suelo definida en el POT del año 2011. En términos de población, Envigado cuenta con una población de 175.337 habitantes, 2.219 hab./km2, de los cuales el 95 % se encuentran en la zona urbana y el 5 % restante en la zona rural [17].
3. METODOLOGÍA
Para la evaluación de la amenaza por movimientos en masa superficiales detonados por lluvias, la metodología propuesta se basa en la utilización del modelo determinístico con base física denominado TRIGRS, con un análisis de confiabilidad por medio del método FOSM, con el fin de incorporar la incertidumbre de los parámetros del suelo.
La Fig. 2 presenta el esquema metodológico empleado para la evaluación de la amenaza a movimientos en masa superficiales. La metodología requiere como información base la lluvia detonante, características topográficas del terreno y parámetros mecánicos e hidráulicos del suelo.

En la metodología se considera que la fricción, la cohesión y la profundidad de la superficie de falla son funciones con una distribución normal. La información base es procesada en el programa TRIGRS para el análisis el proceso de infiltración y calcular el factor de seguridad. Haciendo uso del método FOSM se puede determinar finalmente la esperanza (valor esperado) y la desviación estándar del factor de seguridad para calcular el índice de confiabilidad. Los detalles de las metodologías empleadas y la descripción de la obtención de la información base para el análisis se presentan en las siguientes secciones.
3.1 Modelo TRIGRS (Transient Rainfall Infiltration and Gridbased Slope-Stability)
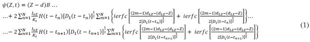
Para el análisis del proceso de infiltración del agua lluvia y el cálculo del factor de seguridad, se utiliza el modelo TRIGRS. Este es un modelo con base física que evalúa la distribución temporal y espacial de movimientos en masa superficiales detonados por lluvia a través del cálculo de los cambios transitorios de la presión de poros y su incidencia en la variación del factor de seguridad, debido a la infiltración de la lluvia [18]. El modelo de infiltración está basado en la solución lineal de las ecuaciones de Richards [19], [18], y el flujo de agua en el suelo es el resultado de la sumatoria del estado estacionario y el componente transitorio asociado al evento de lluvia modelado. La solución para el caso de frontera basal impermeable a una profundidad finita está dada por (1).

Donde ψ es la cabeza de presión, t el tiempo. Z=z/cos δ, Z es la coordenada en dirección vertical (positiva hacia abajo), z la coordenada en dirección normal al talud y δ es el ángulo del terreno con la horizontal; d es la profundidad inicial del nivel en dirección vertical. B=cos2δ- (IZLT/Ks), Ks es la conductividad hidráulica saturada en dirección Z, IZLT la tasa de infiltración estacionaria (inicial) en la superficie del suelo. InZ es la tasa de infiltración a una intensidad dada para el n-ésimo intervalo de tiempo. D1=D0/ cos2δ, D0 es la difusividad hidráulica saturada (D0=Ks/Ss , donde Ss es el almacenamiento especifico). N es el número total de intervalos y H(t-tn) es la función de paso de Heaviside, donde tn es el tiempo en el n-ésimo intervalo en la secuencia de infiltración de lluvia. La función ierfc tiene la forma 
, donde ierfc(n) es la función de error complementario [20].
El modelo geotécnico empleado en TRIGRS es un modelo de talud infinito unidimensional. El factor de seguridad FS se determina a partir de (2) propuesta por [21].

Donde c' es la cohesión efectiva del suelo, ϕ' el ángulo de fricción efectivo, γw el peso unitario del agua, γs el peso unitario del suelo y ψ(Z,t) la cabeza de presión en función de la profundidad y el tiempo t. En [18] se tiene información detallada del modelo TRIGRS.
3.2 Modelo FOSM (First Order Second Moment)
Entre los modelos de confiabilidad más utilizados en la geotecnia se encuentran el método de Montecarlo, FOSM y estimativas puntuales [22]. Para el presente trabajo se emplea el método estadístico FOSM, el cual emplea la expansión de la serie de Taylor de primer orden para derivar el primer y segundo momento de variables de entrada aleatorias. De esta forma, para estimar indirectamente la probabilidad de falla se calcula el Índice de Confiabilidad (β), dado por la relación entre la media y la desviación estándar de una función de probabilidad que se ajusta al factor de seguridad [23], [24].
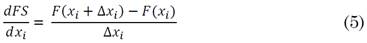
Las ventajas del modelo FOSM consisten en que los cálculos son simplificados y solo requiere el conocimiento de los valores de los momentos de las distribuciones estadísticas de las variables que forman la función, expresados en la media y la varianza de cada variable, asumiendo una distribución normal tanto para las variables como para el factor de seguridad (FS) [25]. De esta manera, para N variables aleatorias no correlacionadas F (x1, x2,…, xN), conservando solamente los términos del primer orden (lineales) de la serie de Taylor, se producen las siguientes expresiones (3) y (4):


Donde
son la media y varianza de cada variable aleatoria, respectivamente. Para los valores de las derivadas usualmente se utiliza la aproximación numérica dada en (5) propuesta por [26].

Finalmente, se obtiene el Índice de Confiabilidad del Factor de Seguridad, calculado por (6):

Donde E[FS] es el valor esperado del factor de seguridad calculado con los parámetros medios de las variables independientes y σ[FS] es la desviación estándar del Factor de Seguridad (FS) obtenida por (3), teniendo como el FS crítico el valor igual a 1. Este índice expresa la confiabilidad del factor de seguridad en relación con la probabilidad de falla o ruptura.
El método FOSM permite evaluar la variabilidad de cualquiera de los parámetros incluidos dentro del análisis. En el presente estudio se evalúan los efectos de las variaciones de los parámetros de resistencia (cohesión y ángulo de fricción) y el espesor de suelo en el factor de seguridad.
3.3 Evaluación de la amenaza
Los movimientos en masa superficiales son detonados principalmente por eventos de lluvia intensos que conllevan a la disminución de la resistencia al cortante del suelo durante el proceso de infiltración [27]. De esta forma, los escenarios de lluvia analizados se establecieron en términos de la intensidad y duración del evento de lluvia detonante y evaluando el proceso de inestabilidad sujeto a los escenarios de lluvia en estado transitorio. Como insumo para la determinación de los escenarios de lluvia, se emplean las curvas IDF (Intensidad-Duración-Frecuencia) de la estación pluviométrica Ayurá de EPM, teniendo en cuenta los periodos de retorno de 10 y 100 años. La localización de la estación Ayurá se puede observar en la Fig.1.
3.3.1 Parámetros de entrada
La Fig.3 presenta el modelo esquemático del procedimiento que se lleva a cabo en el programa TRIGRS, en donde se definen los parámetros e insumos que describen el comportamiento físico-mecánico del suelo, las características topográficas como variables morfométricas del terreno y los datos de lluvia como factor detonante.
3.3.1.1 Características topográficas
Como parámetros morfométricos de entrada para el modelo TRIGRS es necesario el Modelo Digital del Terreno (DEM) y los mapas de espesor de suelo (ver Fig. 4). Para generar las variables morfométricas, tales como pendiente y dirección de flujo, se utilizó un DEM con resolución espacial de 2m x 2m elaborado por el Instituto Geográfico Agustín Codazzi (IGAC). Para determinar la distribución espacial del espesor de suelo deslizable (hi ) se utilizó el modelo propuesto por [29]. Este modelo se basa en la relación inversa de la pendiente con el espesor del suelo, planteada en (7):


Donde θmax y θmin corresponden a los valores máximos y minimos de elevación o pendiente, mientras hmax y hmin son valores que restringen el espesor (hi ), mediante las mediciones directas hechas en el área de estudio. Los valores hmax y hmin se definieron a partir de los perfiles de meteorización propuestos por [30], seleccionando como h_max el valor del espesor correspondiente al horizonte más superficial según el perfil propuesto en cada unidad, empleando el modelo de [31]. Para los materiales transportados como los depósitos de vertiente, no es posible establecer un valor constante, debido a su heterogeneidad y cambios significativos en el espesor según su distribución espacial. Por lo cual se utilizó como espesor máximo 3.5 m. El valor asignado de hmin para todas las unidades fue de 0.2 m.
3.3.1.2 Propiedades del suelo
Las propiedades geotécnicas e hidráulicas de la zona de estudio se obtuvieron de los estudios de microzonificación sísmica [32], y estudios geotécnicos en detalle ejecutados por [33] [34] y [35], los cuales fueron determinados a partir de la exploración en campo y ensayos de laboratorio. Los parámetros de estos estudios son comparados con valores típicos encontrados en la literatura. Esta comparación se realiza a partir del tipo de suelo típico desarrollado por cada unidad geológica, con el fin de evaluar la incertidumbre de los parámetros utilizando los rangos de valores recopilados en [36] y [37]. Las propiedades geotécnicas y las propiedades hidráulicas se consideran iguales a lo largo de unidades homogéneas, definidas a partir de las unidades geológicas. La Tabla 1 presenta los valores medios de los parámetros geotécnicos seleccionados en cada unidad geológica-geotécnica y su respectiva desviación estándar. La Fig. 5 presenta la localización de las unidades geológica-geotécnicas en las cuales se dividió el área de estudio y se parametrizaron los modelos implementados.


Adicionalmente, el modelo TRIGRS considera la difusividad hidráulica (D0 ) y la tasa de infiltración inicial (IZLT ) dentro de las condiciones iniciales de infiltración. En el presente proyecto se considera la condición saturada inicial en el modelo de infiltración, de modo que el flujo es modelado a partir de la ley de Darcy y la difusividad hidráulica se convierte en un valor constante, dado por la difusividad hidráulica saturada (D0 ) [20]. Para la determinación del valor de (D0 ), se empleó una relación proporcional con la conductividad hidráulica saturada (Ks), la cual ha sido utilizada comúnmente por otros investigadores [38]. La ecuación (8) presenta la relación empleada:

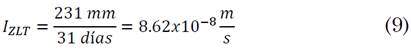
Por otra parte, la tasa de infiltración inicial (IZLT ) junto con la profundidad inicial del nivel freático (d), representan la componente de infiltración estacionaria, dada por la solución de [19]. La profundidad inicial del nivel freático se asume en la base del estrato superficial o suelo deslizable. Para la estimación de IZLT se emplea el promedio de lluvias multianual del mes con mayor precipitación, el cual corresponde al mes de octubre, mediante un análisis de registros históricos en múltiples estaciones pluviométricas a lo largo del Valle de Aburrá. Con una precipitación acumulada antecedente de 231 mm, el cálculo de IZLT se realiza, como se muestra en (9):

Una de las principales variables que representan las condiciones del flujo sub-superficial son las características hidráulicas del suelo, en donde la conductividad hidráulica controla la generación de la presión de poros y su posterior disipación a través de la estructura de suelo, siendo una de las propiedades dominantes en la inicialización de los movimientos en masa [39]. Por consiguiente, la selección de la conductividad hidráulica toma relevancia en el análisis de estabilidad. Sin embargo, esta propiedad es un parámetro complejo de determinar con precisión, debido a su variabilidad espacial y temporal [40]. En esta investigación, la conductividad hidráulica se considera constante y sin variaciones en cada unidad geológica, al no contar con valores experimentales que permitan analizar la distribución de esta característica hidráulica dentro de una misma unidad.
La estimación de la conductividad hidráulica se realiza en función de la clasificación del suelo típico de cada una de las unidades geológicas. Para la clasificación del suelo se emplea la descripción geológica de las capas más superficiales, según el perfil de meteorización asociado a cada unidad, además de la caracterización del suelo descrita en [30]. Esta información se compara y se complementa con la clasificación de suelo dada por el [41] y la descripción de la composición mineral de las unidades geológicas, contemplada en la memoria explicativa del mapa geológico del departamento de Antioquia [42]. Posteriormente, se asignan valores de conductividad hidráulica (Ks ) dentro de los rangos propuestos por [43] y por diferentes autores como [44] y [45]. En la Tabla 2 se presenta el tipo de suelo y el valor aproximado de Ks , correspondiente a cada unidad geológica-geotécnica.

3.3.1.3 Factor detonante-lluvia
Para la incorporación de la lluvia como factor detonante se utilizaron escenarios de lluvia en términos de intensidad y duración mediante las curvas IDF. Para esto se emplearon la estación pluviométrica de Ayurá de Empresas Públicas de Medellín (EPM). Para la selección de los escenarios se considera la relación entre la intensidad de lluvia y la permeabilidad saturada (I/Ks ), como una propiedad fundamental en el desarrollo de las presiones de poros y deformaciones en el suelo [46]. Diferentes autores señalan que las lluvias de corta duración en suelos con bajo coeficiente de permeabilidad saturado (Ks <10-6 m/s) no generan un incremento del nivel freático significativo, independientemente de la intensidad de lluvia [3], [47]. Consecuentemente, la selección de los escenarios corresponde a una condición crítica que considere el comportamiento de los suelos con bajos valores de permeabilidad presentes en el municipio (ver Tabla. 2).
De esta forma, se modelan lluvias de larga duración (240 min) y su correspondiente intensidad a partir de las curvas IDF con periodos de retorno de 10 y 100 años. La Tabla 3 presenta los escenarios que se utilizan en el proceso de simulación.

4. ANALISIS Y RESULTADOS
Las Fig. 6 y Fig. 7 presentan los mapas del factor de seguridad obtenidos del modelo TRIGRS para la zona de estudio sujeta a los escenarios de lluvia con periodos de retorno de 10 y 100 años, respectivamente. Estos resultados corresponden al valor esperado del factor de seguridad E[FS], obtenido a partir de los valores medios de los parámetros de resistencia (cohesión, ángulo de fricción) y del espesor de suelo, los cuales son las variables aleatorias empleadas en el modelo.


De las Fig. 6 y Fig. 7 no se observa una variación significativa en las áreas con factores de seguridad menores a 1.0; esto se debe a que en suelos de baja permeabilidad donde la relación I/Ks es mayor a 1.0, el efecto de la duración de la lluvia es mayor que el efecto de su intensidad. Teniendo en cuenta que ambas lluvias tienen una duración de 4 horas, el volumen mayor de la lluvia para el periodo de retorno de 100 años se disipa como escorrentía superficial y no se infiltran en los suelos, lo que trae como consecuencia un resultado similar en las áreas inestables para los dos periodos de retorno.
4.1 Análisis de confiabilidad
Con el fin de obtener la desviación estándar del factor de seguridad σ[FS], se efectúan incrementos del 10 % de la media (∆xi ) en cada una de las variables aleatorias (cohesión, ángulo de fricción y espesor de suelo). Este incremento se adopta de los resultados y recomendaciones dadas por [48], la cual ha sido empleada por varios autores [25], [49]. La varianza V(xi ) que aporta cada variable en el factor de seguridad tiene en cuenta los coeficientes de variación reportados en la literatura [50] [51] y [52], verificando que los valores de la desviación estándar determinados a partir de la recopilación de información secundaria no superen los valores típicos de coeficiente de variación.
A partir de los resultados de la desviación estándar y valor esperado del factor de seguridad se obtiene el índice de confiabilidad (β). Las Fig. 8 y Fig. 9 presentan los resultados del índice de confiabilidad para los escenarios de lluvia especificados. La clasificación de estos mapas según el valor del índice de confiabilidad se ajusta a la propuesta dada por [53], la cual asigna un nivel de desempeño esperado según el índice de confiabilidad y probabilidad de falla, en el cual β=1.0 se cataloga como un nivel de desempeño peligroso y β=2.5 es un nivel de desempeño por debajo del promedio, asociado a una probabilidad de 6x10-3 que el factor de seguridad por movimientos en masa sea menor que 1, teniendo en cuenta la incertidumbre que aporta cada parámetro [22].


En las Fig. 8 y Fig. 9 se presenta la distribución del índice de confiabilidad (β) en el área de estudio, determinando los niveles de amenaza relacionado con la probabilidad de falla de cada celda. Se observa un comportamiento de las zonas con valores bajos de β, localizados en sectores con valores altos en la pendiente, destacando la influencia de las características topográficas en la estabilidad del terreno. Este resultado es acorde con la investigación presentada por [54] empleando el modelo TRIGRS. También, se observa una acumulación de las áreas con amenaza alta en dos unidades geológicas, Migmatitas de Puente Peláez (Pnm) y Anfibolitas de Medellín (TRam), ambas corresponden a rocas metamórficas con textura granítica. Adicionalmente, se presenta una proporción de áreas con amenaza alta que se concentran en las unidades correspondientes a los depósitos de flujos y/o escombros, presentando un comportamiento de inestabilidad en dichas zonas.
Los resultados derivados de emplear el método de confiabilidad (FOSM) presentan un comportamiento más crítico en términos de estabilidad que los resultados dados por el factor de seguridad (FS), manifestando una reducción significativa de la resistencia en las áreas con factor de seguridad entre 1 y 1.3 obtenidos con los valores medios de las variables aleatorias, que posteriormente representan valores de índice de confiabilidad (β) menores a 1. Sin embargo, cabe destacar que la distribución de las áreas con bajos niveles de Factor de Seguridad (FS) e índice de confiabilidad (β) son compatibles, reflejando la consistencia e idoneidad de integrar el método de confiabilidad en el análisis de estabilidad.
En la Tabla 4 se muestran los porcentajes de área de falla, considerando el criterio de falla a partir del factor de seguridad e índice de confiabilidad menor a 1.0, indicando un estado de equilibrio límite y un nivel de desempeño peligroso, respectivamente.

Como se muestra en la Tabla 4, no hay variación en las áreas de falla con los escenarios de lluvia planteados, mostrando una baja influencia y/o sensibilidad de la intensidad de la lluvia en los resultados de estabilidad, teniendo en consideración el comportamiento hidráulico específico de los suelos existentes en el área de estudio. Por otro lado, la tabla muestra un incremento considerable de las áreas inestables cuando se considera el análisis de confiabilidad, el cual incluye la variabilidad de los parámetros de resistencia y la profundidad de la superficie de falla.
5. DISCUSIÓN Y CONCLUSIONES
El modelo implementado en esta metodología permite una mejor representación del proceso de infiltración del agua de lluvia en el suelo, ya que incluye el proceso combinado de infiltración estacionaria y transitoria, para luego acoplarse con un análisis de talud infinito que tiene en cuenta el efecto de la pérdida de resistencia de los suelos debida al proceso de infiltración, lo que finalmente actúa como detonante de movimientos en masa superficiales.
El modelo TRIGRS permite incluir las variables más influyentes que involucran los procesos de infiltración en suelos, lo que genera mayor certeza en el análisis del fenómeno y en los resultados obtenidos. Adicionalmente, esta metodología permite con solo información básica, generalmente existente (DEM, lluvias, parámetros de suelo), identificar zonas susceptibles a los movimientos en masa, lo cual la convierte en una herramienta potencial para la determinación de zonas de amenaza a movimientos en masa superficiales detonados por lluvias en zonas tropicales.
Es importante mencionar que el modelo TRIGRS es una metodología determinística para el cálculo del FS; cuando es acompañado del análisis probabilístico permite complementar los resultados y obtener áreas de falla crítica dependientes de los escenarios detonantes. Este modelo de base física solo permite el análisis estático del fenómeno de deslizamientos detonados por lluvia de infiltración, por lo que el efecto sísmico no está incluido.
La implementación del análisis de confiabilidad en el modelo TRIGRS presenta resultados satisfactorios y con mayor confiabilidad en términos de estabilidad. Se consideran las incertidumbres y variaciones inherentes y/o inmersas en la caracterización del suelo y su interacción con los procesos gravitacionales, en comparación a los resultados determinísticos, que pueden subestimar la amenaza y el proceso de inestabilidad al emplear condiciones estáticas y constantes de las variables e insumos que intervienen en el modelo, sin considerar su variación [55]. No obstante, cabe resaltar que el método FOSM tiende a ser un modelo conservador al asumir el comportamiento de las variables aleatorias y el factor de seguridad mediante la distribución normal [56], la cual plantea probabilidades de falla mayores en relación con otras funciones de probabilidad [23]. Por lo que se requiere contribuir a la estimación de los parámetros geomecánicos que intervienen en el factor de seguridad, realizando un análisis detallado del comportamiento estadístico de cada variable, como también determinar la función de distribución que mejor se ajuste al factor de seguridad. Esto permitiría evaluar con mayor consistencia la complejidad del comportamiento de los suelos en respuesta a un evento de lluvia y su relación con la estabilidad del suelo.
Uno de los resultados con mayor relevancia es la presencia de áreas con amenaza alta en los depósitos de flujos y/o escombros. Esto refleja la necesidad de la ejecución de estudios en detalle que permitan un mayor conocimiento de las condiciones de estabilidad en dichas formaciones superficiales, aportando en la evaluación de sus características geotécnicas e hidráulicas. El desarrollo y evolución de estos depósitos está inmerso en procesos dinámicos presentes en las vertientes, como la interacción con los procesos gravitacionales [57], reflejando la susceptibilidad a movimientos en masa que presentan estos suelos transportados, además de la variabilidad y heterogeneidad de sus características geomecánicas. Por consiguiente, se resalta la importancia de entender el origen de estos depósitos, comprendiendo la relación y dependencia del origen del Valle de Aburrá con el desarrollo de los mismos, relación planteada anteriormente por varias investigaciones [58] [59] y [60], lo cual permita un mejor análisis y comprensión de los estudios de estabilidad realizados en el Valle de Aburrá.
La metodología y resultados presentados pretenden ser una herramienta útil y primordial en la planificación del territorio que permita una mirada progresiva y sostenible en el desarrollo socioeconómico. Proporcionando información para ser incorporada en los POT y los Planes de Gestión del Riesgo y Planes de Emergencia y Contingencia exigidos por la normatividad nacional. Esto permitiría prevenir la ocupación e intervención inadecuada en zonas de amenaza a movimientos en masa. De igual forma, la metodología podría también convertirse en una herramienta de apoyo para sistemas de alerta temprana a deslizamientos.
Otros tipos de análisis que se puede llevar a cabo con esta metodología son aquellos que involucran escenarios supuestos de lluvia que inducen movimientos en masa. Por ejemplo, la proyección de escenarios de lluvia asociados al cambio climático que consideren el incremento de la intensidad permite estimar la magnitud de las zonas inestables adicionalmente afectadas. En este sentido, esta metodología no solo se convierte en una herramienta potencial para el estudio de este tipo de movimientos, sino que permiten incluir las complejidades de los procesos de infiltración de lluvias en suelos saturados y parcialmente saturados. Aunque la metodología utilizada en este trabajo considera los aspectos topográficos y las condiciones mecánicas del suelo, es necesario también implementar modelos que simulen movimientos en masa profundos, los cuales responden a condiciones de lluvia de mediano plazo, lo que permite utilizar información de lluvia bajo escenarios de cambio climático con menor nivel de incertidumbre.
6. AGRADECIMIENTOS
Este trabajo se realizó en el marco del contrato N° 715 de 2017, celebrado entre el Área Metropolitana del Valle de Aburrá y la Universidad Nacional de Colombia, sede Medellín.
REFERENCIAS
[1] R. L. Baum et al., “Regional landslide-hazard assessment for Seattle, Washington, USA,” Landslides, vol. 2, no. 4, pp. 266-279, Dec. 2005.
[2] R. C. Sidle and H. Ochiai, Landslides : Processes, Prediction, and Land Use. American Geophysical Union, 2006.
[3] E. Aritstizábal and H. Martínez, “Una revisión sobre el estudio de movimientos en masa detonados por lluvias,” Rev. la Acad. Colomb. Ciencias Exactas, Fis. y Nat., vol. 34, no. 131, pp. 209-227, 2010.
[4] R. L. Schuster and R. W. Leighton, “Socioeconomic significance of landslides and mudflows,” in KOZLOVSKII, E.A. Landslides and Mudflows.Moscow: UNESCO/UNEP, 1988, pp. 131-141.
[5] E. Aristizábal and J. Gómez, “Inventario de emergencias y desastres en el valle de Aburrá,” Gestión y Ambient., vol. 10, no. 2, pp. 17-30, 2007.
[6] G. E. Á. Álvarez et al., “Guía metodológica para estudios de amenaza, vulnerabilidad y riesgo por movimientos en masa,” Servicio Geológico Colombiano-SGC, 2015.
[7] J. Chacón, C. Irigaray, T. Fernández, and R. El Hamdouni, “Engineering geology maps: landslides and geographical information systems,” Bull. Eng. Geol. Environ., vol. 65, no. 4, pp. 341-411, 2006.
[8] M. Mergili, I. Marchesini, M. Rossi, F. Guzzetti, and W. Fellin, “Spatially distributed three-dimensional slope stability modelling in a raster GIS,” Geomorphology, vol. 206, pp. 178-195, Feb. 2014.
[9] C. J. van Westen, T. W. J. van Asch, and R. Soeters, “Landslide hazard and risk zonation-why is it still so difficult?,” Bull. Eng. Geol. Environ., vol. 65, no. 2, pp. 167-184, May 2006.
[10] P. Aleotti and R. Chowdhury, “Landslide hazard assessment: summary review and new perspectives,” Bull. Eng. Geol. Environ. , vol. 58, no. 1, pp. 21-44, Aug. 1999.
[11] J. Barredo, A. Benavides, J. Hervás, and C. J. van Westen, “Comparing heuristic landslide hazard assessment techniques using GIS in the Tirajana basin, Gran Canaria Island, Spain,” Int. J. Appl. earth Obs. Geoinf., vol. 2, no. 1, pp. 9-23, 2000.
[12] J. Mendoza Ramírez and E. V. Aristizábal Giraldo, “Metodología para la zonificación de la susceptibilidad por movimientos en masa en proyectos lineales. Estudio de caso en elacueducto del municipio de Fredonia,Antioquia,” Ing. y Cienc., vol. 13, no. 26, pp. 173-206, 2017.
[13] F. Guzzetti, A. Carrara, M. Cardinali, and P. Reichenbach, “Landslide hazard evaluation: a review of current techniques and their application in a multi-scale study, Central Italy,” Geomorphology, vol. 31, no. 1-4, pp. 181-216, Dec. 1999.
[14] P. L. Wilkinson, M. G. Anderson, and D. M. Lloyd, “An integrated hydrological model for rain-induced landslide prediction,” Earth Surf. Process. Landforms, vol. 27, no. 12, pp. 1285-1297, Nov. 2002.
[15] S. Lacasse and F. Nadim, “Uncertainties in characterising soil properties,” in Uncertainty in the geologic environment: From theory to practice, 1996, pp. 49-75.
[16] S. E. Cho, “Effects of spatial variability of soil properties on slope stability,” Eng. Geol., vol. 92, no. 3-4, pp. 97-109, Jul. 2007.
[17] Departamento Administrativo Nacional de Estadística-DANE, “Sistema de Consulta información Censal-CENSO,” 2005. [Online]. Available: https://www.dane.gov.co/index.php/estadisticas-por-tema/demografia-y-poblacion/censo-general-2005-1/sistema-de-consulta-censo-2005.
[18] R. L. Baum, W. Z. Savage, and J. W. Godt, “TRIGRS-a Fortran program for transient rainfall infiltration and grid-based regional slope-stability analysis,” Citeseer, 2002.
[19] R. M. Iverson, “Landslide triggering by rain infiltration,” Water Resour. Res., vol. 36, no. 7, pp. 1897-1910, Jul. 2000.
[20] R. L. Baum, J. W. Godt, and W. Z. Savage, “Estimating the timing and location of shallow rainfall‐induced landslides using a model for transient, unsaturated infiltration,” J. Geophys. Res. Earth Surf., vol. 115, p. 26, 2010.
[21] D. W. Taylor, Fundamentals of Soil Mechanics, 2nd ed. Chapman And Hall, Limited, 1948.
[22] C. A. Hidalgo-Montoya and A. Pacheco de Assis, “Herramientas para análisis por confiabilidad en geotecnia: Aplicación,” Rev. Ing. Univ. Medellín, vol. 10, no. 18, pp. 79-86, 2011.
[23] G. B. Baecher and J. T. Christian, Reliability and statistics in geotechnical engineering. John Wiley & Sons, 2005.
[24] Z.-Y. Wu, Q. Shi, Q. Guo, and J.-K. Chen, “CST-based first order second moment method for probabilistic slope stability analysis,” Comput. Geotech., vol. 85, pp. 51-58, May 2017.
[25] C. C. da Silva, “Análise De Estabilidade De Um Talude da Cava de Alegria Utilizando Abordagem Probabilística,” Universidade Federal de Ouro Preto, 2015.
[26] J. T. Christian, C. C. Ladd, and G. B. Baecher, “Reliability applied to slope stability analysis,” J. Geotech. Eng., vol. 120, no. 12, pp. 2180-2207, 1994.
[27] Q. Ran, Y. Hong, W. Li, and J. Gao, “A modelling study of rainfall-induced shallow landslide mechanisms under different rainfall characteristics,” J. Hydrol., vol. 563, pp. 790-801, Aug. 2018.
[28] D. Kim, S. Im, C. Lee, and C. Woo, “Modeling the contribution of trees to shallow landslide development in a steep, forested watershed,” Ecol. Eng., vol. 61, pp. 658-668, Dec. 2013.
[29] F. Catani, S. Segoni, and G. Falorni, “An empirical geomorphology-based approach to the spatial prediction of soil thickness at catchment scale,” Water Resour. Res. , vol. 46, no. 5, pp. 1-15, May 2010.
[30] Área Metropolitana del valle de Aburrá (AMVA), “Microzonificación Sísmica detallada de los municipios de Barbosa, Girardota, Copacabana, Sabaneta, La Estrella, Caldas y Envigado,” 2006.
[31] W. R. Dearman, F. J. Baynes, and T. Y. Irfan, “Engineering grading of weathered granite,” Eng. Geol. , vol. 12, no. C, pp. 345-374, Jan. 1978.
[32] Área Metropolitana del Valle de Aburrá, “Armonización de la microzonificación sísmica de los municipios del valle de Aburrá, al reglamento NSR-10 e inclusión de los cinco corregimientos del Municipio de Medellín,” 2014.
[33] Solingral Ltda, “Estudio de riesgo al deslizamiento en el Municipio de Envigado,” 2004.
[34] Alcandía Municipio de Envigado, “Actualización y profundización de estudios amenaza, vulnerabilidad y riesgo en la zona 3 y los barrios el Esmeraldal y la Inmaculada del Municipio de Envigado,” 2014.
[35] A. M. de Envigado, “Actualización y Profundización de Estudios Amenaza, Vulnerabilidad y Riesgo en la Zona 6 del Municipio de Envigado,” 2013.
[36] Minessota Department of Transportation, “2007 MnDOT Pavement Design Manual,” 2007.
[37] NAVFAC, “Foundations & Earth Structures,” 1986.
[38] T. V. Tran, M. Alvioli, G. Lee, and H. U. An, “Three-dimensional, time-dependent modeling of rainfall-induced landslides over a digital landscape: a case study,” Landslides , vol. 15, no. 6, pp. 1071-1084, Jun. 2018.
[39] F. Wang and H. Shibata, “Influence of soil permeability on rainfall-induced flowslides in laboratory flume tests,” Can. Geotech. J., vol. 44, no. 9, pp. 1128-1136, 2007.
[40] M. Rienzner and C. Gandolfi, “Investigation of spatial and temporal variability of saturated soil hydraulic conductivity at the field-scale,” Soil Tillage Res., vol. 135, pp. 28-40, 2014.
[41] Corantioquia, “Consultoría para ajustar (actualizar) del plan de ordenación y manejo de la cuenca hidrográfica del río Aburrá - NSS (2701-01), localizada en el departamento de Antioquia, en jurisdicción de la Corporación Autónoma Aegional del Centro de Antioquia (Corantioquia),” 2016.
[42] H. González, “Mapa geológico del Departamento de Antioquia,” 2001.
[43] Swiss Standard SN 670010b, “Characteristic Coefficients of soils, Association of Swiss Road and Traffic Engineers,” 1999.
[44] M. Carter and S. P. Bentley, Correlations of soil properties. Pentech press publishers, 1991.
[45] M. Dysli and W. Steiner, Correlations in soil mechanics. PPUR Presses polytechniques, 2011.
[46] E. García, F. Oka, and S. Kimoto, “Numerical analysis of a one‐dimensional infiltration problem in unsaturated soil by a seepage-deformation coupled method,” Int. J. Numer. Anal. Methods Geomech., vol. 35, no. 5, pp. 544-568, 2011.
[47] I. Tsaparas, H. Rahardjo, D. Toll, and E. Leong, “Controlling parameters for rainfall-induced landslides,” Comput. Geotech. , vol. 29, no. 1, pp. 1-27, Jan. 2002.
[48] A. P. Assis, T. J. Espósito, M. G. Gardoni, P. Silva, and J. A. Maia, “Métodos estatísticos e probabilísticos em geotecnia,” 2002.
[49] C. A. Hidalgo Montoya and A. Pacheco de Assis, “Herramientas para análisis por confiabilidad en geotecnia: La teoría,” Rev. Ing. Univ. Medellín , vol. 10, no. 18, pp. 69-78, 2011.
[50] M. E. Harr, Reliability-Based Design in Civil Engineering. McGraw-Hill, 1987.
[51] C. A. Hidalgo, “Incertezas, Vulnerabilidade e Avaliação de Risco Devido a Deslizamento em Estradas,” Universidad de Brasìlia, 2013.
[52] J. M. Duncan, “Factors of Safety and Reliability in Geotechnical Engineering,” J. Geotech. Geoenvironmental Eng., vol. 126, no. 4, pp. 307-316, Apr. 2000.
[53] US Army Corps of Engineers, “Engineering: Risk-based analysis in geotechnical engineering for support of planning studies,”, p. 387, 1999.
[54] Z. Liao, Y. Hong, D. Kirschbaum, R. F. Adler, J. J. Gourley, and R. Wooten, “Evaluation of TRIGRS (transient rainfall infiltration and grid-based regional slope-stability analysis)’s predictive skill for hurricane-triggered landslides: a case study in Macon County, North Carolina,” Nat. hazards, vol. 58, no. 1, pp. 325-339, 2011.
[55] S. Qasim and I. Harahap, “Geotechnical Uncertainties and Reliability Theory Applications,” Int. J. Eng. Res. Technol., vol. 1, no. 6, pp. 1-8, 2012.
[56] J. T. Christian, “Geotechnical Engineering Reliability: How Well Do We Know What We Are Doing?,” J. Geotech. Geoenvironmental Eng. , vol. 130, no. 10, pp. 985-1003, Oct. 2004.
[57] R. Dikau and D. Brunsden, Landslide Recognition: Identification, Movement and Causes, 1st ed. Wiley, 1996.
[58] C. García, “Estado del conocimiento de los depósitos de vertiente del valle de Aburrá,” Boletín Ciencias la Tierra, no. 19, pp. 99-112, 2006.
[59] G. Botero, Contribución al conocimiento de la geología de la zona central de Antioquia. Universidad Nacional de Colombia, 1963.
[60] J. J. Restrepo, “Unidades litológicas de los alrededores de Medellín,” in First conference about the geologic hazards of the Aburra Valley, 1984, vol. 1, pp. 1-26.
Notas