Supervivencia de pacientes con leucemias agudas en dos hospitales de la seguridad social del Perú
Supervivencia de pacientes con leucemias agudas en dos hospitales de la seguridad social del Perú
Revista Venezolana de Oncología, vol. 30, núm. 1, pp. 2-9, 2018
Sociedad Venezolana de Oncología

Recepción: 02 Junio 2017
Revisado: 15 Julio 2017
Aprobación: 22 Agosto 2017
Resumen: OBJETIVO: Las leucemias agudas representan un grupo heterogéneo de patologías oncohematológicas divididas esencialmente en dos tipos, linfoides y mieloides cuyo linaje determina no solo el tratamiento a iniciar, sino el pronóstico del paciente, influido por factores genéticos, cronológicos y laboratoriales. Calcular la supervivencia a 5 años de los pacientes diagnosticados de leucemias agudas en los hospitales, Víctor Lazarte Echegaray de Trujillo y Almanzor Aguinaga Asenjo de Chiclayo, durante el período 2010-2015. MÉTODO: Se realizó un estudio retrospectivo analítico de los archivos diagnósticos del laboratorio de Citometría de flujo del Hospital Nacional Almanzor Aguinaga Asenjo de Chiclayo-Perú, centro donde se diagnostican también los pacientes con leucemias agudas de Trujillo, usando además la base de datos del Registro Nacional de Identificación y Estado Civil, para identificar las fechas de fallecimiento de los pacientes. RESULTADOS: La supervivencia global de los pacientes del Hospital Almanzor tiende a cero a 5 años y del hospital Víctor Lazarte a 3,0 %. CONCLUSIÓN: La supervivencia a 1 año para el Hospital Almanzor Aguinaga Asenjo fue de 35 % y del hospital Víctor Lazarte Echegaray de Trujillo 22 %. A los 5 años tiende a cero en el hospital Almanzor Aguinaga y 3 % en el caso de Trujillo.
Palabras clave: Leucemia, agudas, mieloides, supervivencia, pacientes.
Abstract: OBJECTIVE: Acute leukemia’s represent a heterogeneous group of the oncohematological pathologies divided essentially into two types, the lymphoid and the myeloid, whose lineage determines not only the treatment to be initiated, also the patient's prognosis, the influenced by genetic, the chronological factors and the laboratories. The objective of this work was to estimate the 5 year survival of the patients diagnosed with acute leukemia in hospitals: Víctor Lazarte Echegaray of Trujillo and the Almanzor Aguinaga Asenjo of Chiclayo, during the period 2010-2015. METHOD: A retrospective analytical study of the diagnostic files of the flow cytometry laboratory of Almanzor Aguinaga Asenjo National Hospital in Chiclayo, Peru, center in which also diagnostic of patients with acute leukemias of Trujillo, using the database of the National Registry of Identification and Civil Status, to identify the dates of the death of patients. RESULTS: The global survival of Almanzor Hospital patients tends to zero to 5 years and Hospital Víctor Lazarte to 3.0 %. CONCLUSION: The 1-year survival rate for the Almanzor Aguinaga Asenjo Hospital was 35 % and the Hospital Víctor Lazarte Echegaray de Trujillo Hospital was 22 %. At age 5 tends to zero at the Almanzor Aguinaga hospital and 3 % at Trujillo.
Keywords: Leukemia, acute, myeloid, survival, patient.
INTRODUCCIÓN
Las leucemias agudas representan un grupo heterogéneo de patologías oncohematológicas originadas por la expansión de una célula madre hematopoyética que ha perdido su capacidad de diferenciación y control normal de proliferación (1), todo ello motivado por una serie de fenómenos esencialmente genéticos que motivan la pérdida de los mecanismos normales, que regulan dichos procesos (2,3).
En promedio se diagnostican 1 500 casos nuevos de leucemias por año en el Perú (4), y en la Red Asistencial de Lambayeque, si bien no es el cáncer más frecuente, pero si el tercero (luego del cáncer de mama y cérvix) en carga de enfermedad en el año 2013 (5) agregando además que el 60 % presenta una mala calidad de vida respecto al estado global de la salud (6), sino también la patología per se; un estudio realizado sobre factores pronóstico de sobrevida en los cánceres en la Red Asistencial de Lambayeque, ya nos muestra que las leucemias aumentan 70 veces el riesgo de morir (7).
Se distinguen dos tipos de leucemias agudas, linfoides (LLA B y LLA-T) y mieloides (LMA), cada una con factores pronósticos conocidos, las primeras presentan un conjunto de factores tales como la recaída posterior al tratamiento de inducción, edad menor de 1 año o mayor de 10 años, presencia de algunas translocaciones, etc. (8) en las leucemias mieloides agudas, mutaciones en FLT3 indican mal pronóstico, mientras lo inverso ocurre con mutaciones en NPM1 (8,9).
Las tasas de supervivencia reportadas en la bibliografía son muy amplias y están influidas por una serie de factores, por ejemplo Gómez R y col., refiere que la sobrevida global es de 20 % con una media de seguimiento de 60 meses. La sobrevida global fue ligeramente superior en el sexo femenino (25 % comparada a 18 %) y que los pacientes tratados con alguna variante de trasplante tuvieron una mejor sobrevida (75 % comparada a 13 %)(10). Sarmiento M y col., en Chile reportan que la sobrevida global estimada en pacientes que lograron remisión parcial a dos años de seguimiento fue de 30 % y en los que tuvieron enfermedad progresiva o refractaria fue 5 %, siendo la mediana de sobrevida de 7 meses (rango de 2 a 24 meses) en los pacientes tratados y de 1 mes (rango de 1 a 3 meses) en los pacientes que recibieron tratamiento paliativo (P<0,001), falleciendo el 95 % de los pacientes con tratamiento de intención paliativa en el primer mes post diagnóstico (11).
En México, Combariza JF evalúo en 66 pacientes con LMA menores de 60 años, que recibieron quimioterapia o trasplante alogénico de médula ósea determinó que la supervivencia global a 2 años fue del 90 % para el grupo de bajo riesgo, del 61 % para el de riesgo intermedio y del 30 % para el de riesgo alto (P = 0,016)(12); y Reyes-López A y col., en pacientes con leucemia linfoblástica aguda de donde menos de la mitad de los pacientes fueron atendidos en hospitales de tercer nivel, presentaron una tasa de supervivencia de 82 % a cuatro años de seguimiento, mientras que los pacientes atendidos en hospitales de segundo nivel tuvieron una tasa de supervivencia de 55 % (13). Ruiz G y col., la mediana de supervivencia fue de 29 meses y la supervivencia a 120 meses fue de 35% (14).
La tasa de supervivencia a 5 años para los niños con leucemia linfocítica aguda ha aumentado significativamente con el tiempo y en general ahora es mayor de 85 %. También la tasa de supervivencia a cinco años general para niños con leucemia mieloide aguda (LMA) ha aumentado con el tiempo y ahora está entre 60 % y 70 %. Sin embargo, las tasas de supervivencia varían dependiendo del subtipo de LMA y de otros factores. Por ejemplo, la mayoría de los estudios sugieren que la tasa de curación de la leucemia promielocítica aguda (LPA), un subtipo de LMA, es ahora superior al 80 %, aunque las tasas son menores para algunos otros subtipos de LMA (15).
En el 2011 en el Perú la tasa de mortalidad por leucemias llego a ser 5,1 por cada 100 000 defunciones, y en Lambayeque llego a ser 8,0 (16). Las tasas de supervivencia en países con características sociodemográficas análogas al Perú varían ampliamente (17), por ello es importante realizar el análisis de la supervivencia de los pacientes con diagnóstico de leucemias agudas en los Hospitales Nacional Almanzor Aguinaga (HNAAA) y Víctor Lazarte de EsSalud (HVL) en el período 2010-2015.
MÉTODO
Tipo y diseño de estudio: se realizó un estudio longitudinal, observacional retrospectivo.
Población: se consideró los diagnósticos de leucemia realizados en el período 2010-2015, obtenida de la base de datos del Registro Hospitalario de Cáncer y del laboratorio de citometría de flujo del Hospital Nacional Almanzor Aguinaga Asenjo, donde son derivados los pacientes de la macro región norte del Perú (Lambayeque y La Libertad) para su inmunofenotipicación.
Criterios de selección: se incluyeron a solo aquellos que iniciaron quimioterapia dentro del período de estudio.
Para determinar la situación del paciente (fallecido o vivo) al momento de la evaluación, se utilizó la base de datos del registro nacional de identificación y estado civil (RENIEC), ingresando al siguiente link https://cel.reniec.gob.pe/valreg/valreg.do, los datos de edad y sexo fueron tomados del Sistema de Gestión Hospitalaria.
Análisis de datos: los datos se ingresaron en una base de datos de Excel y se realizó análisis descriptivo con frecuencias absolutas y relativas, para el análisis supervivencia fue estimada a 5 años y se evalúo usando el método de Kaplan-Meier y el análisis paramétrico de Log Rank, con nivel de confianza 95 % y P<0,05. Se usó el paquete estadístico SPSS versión 23.0
Aspectos éticos: el estudio cuenta con aprobación de la jefatura de servicio y se respetó la confidencialidad de la información.
RESULTADOS
En la investigación se consideró una muestra de 262 pacientes con diagnósticos de leucemias agudas; 77 (29,2 %) del Hospital Víctor Lazarte de la ciudad de Trujillo y 185 (70,8 %) del Hospital Almanzor Aguinaga Asenjo de la ciudad de Chiclayo, ambos pertenecientes al Seguro Social (EsSalud.)

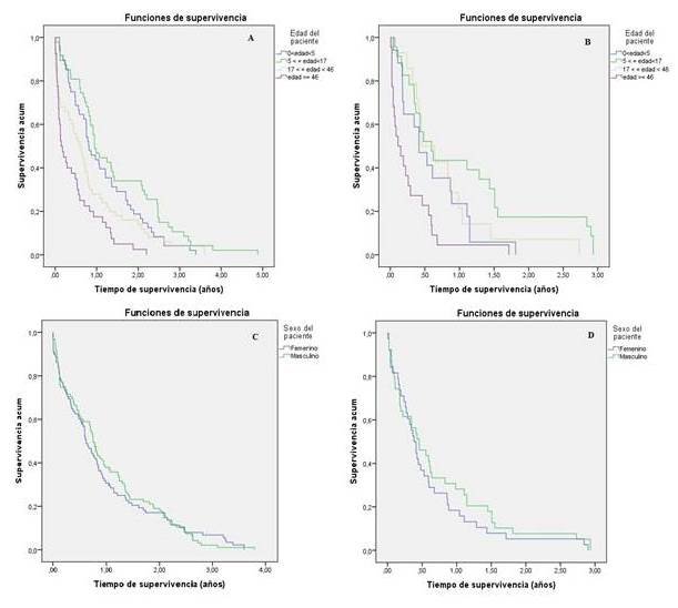
Para el análisis Kaplan-Meier, el período de seguimiento se extendió durante 5 años (media de seguimiento 10,6 meses, DE = 10.97 meses, rango: 0,03- 58,57), y entre aquellas personas que iniciaron el tratamiento se produjeron un total de 106 fallecimientos, mostrando una tasa de supervivencia a los 5 años de 40,5 %. Las curvas de Kaplan-Meier para el análisis global (incluye ambos hospitales) mostraron una media de supervivencia de 0,8 años (IC 95 % = 0,778 -0,999). La mediana de supervivencia fue de 0,594 años (IC 95 %: 0,473 -0,716 (Figura 1).

De la Figura 1A podemos observar que la supervivencia a 1 año fue de 30 % y a 5 años tiende a cero. Se estimaron diferencias significativas entre la mortalidad de los pacientes del hospital Víctor Lazarte Echegaray de Trujillo y el Hospital Almanzor Aguinaga Asenjo de Chiclayo (Log Rank test, P =0,012)
De la Figura 1B podemos observar que la supervivencia a 1 año para el Hospital Almanzor Aguinaga Asenjo fue de 3 5% y del hospital Víctor Lazarte Echegaray de Trujillo 22 %. A los 5 años tiende a cero en el hospital Almanzor Aguinaga y 3 % en el caso de Trujillo. En relación a los grupos de edad para el hospital de Chiclayo, la supervivencia media decreció en relación a su incremento, Log Rank, P = <0001.

a. La estimación se limita al mayor tiempo de supervivencia si se ha censurado.
b. Estimación en años

En relación a los grupos de edad para el caso del HVLE, la supervivencia media decreció en relación a su incremento, a partir del intervalo de 5 a 17 años (Log Rank, P = <0,001). Además podemos observar que la supervivencia a 1 año fue del orden del 21 % para los grupos de 0 a 5 años, 41 % para 5 a 17 años, 30 % para mayor de 17 y menor a 46 años y 0,5 % para mayores de 46 años. En relación al sexo para el caso del hospital de Chiclayo, la supervivencia media es similar en relación al sexo (Log Rank, P=0,850), siendo la supervivencia a 1 año del orden del 30 % para las mujeres y 35 % para los hombres, en relación al sexo para el caso del hospital de Trujillo, la supervivencia media es similar según sexo (Log Rank, P=0,301). La supervivencia a 1 año fue del orden del 20 % para las mujeres y 32 % para los hombres.
DISCUSIÓN
Los valores de supervivencia determinados en el presente estudio para los pacientes con leucemias linfoblásticas agudas fueron inferiores a los reportados por distintos autores en países con características sociodemográficas análogas al Perú (13,14),lo que podría explicarse por diversas causas entre ellas la no disposición de pruebas moleculares para la subclasificación apropiada de los pacientes acorde a su riesgo (18,19), la tasa de incumplimiento de los esquemas terapéuticos por abandono de los pacientes que según el Registro Hospitalario de cáncer , aproximadamente el 24 % están en condición de perdidos de vista con enfermedad (más de 9 meses sin control en el hospital)(20); además las infecciones nosocomiales tienen un impacto en los muertes hospitalarias de pacientes con cáncer, como lo reportó Díaz-Vélez C en el 2016, el 13,3 % de las muertes hospitalarias son atribuibles a infecciones nosocomiales (21).
En el caso de las leucemias mieloides si bien la tasas de sobrevida de los diversos estudios a 5 años también son reducidas (10,11,12), son superiores a las que hemos encontrado en nuestro estudio a corto plazo (1-2 años) y las razones podría ser similares a las mencionadas para las leucemias linfoides, aunque en ambos casos el Registro Hospitalario de cáncer en el año 2012 ya nos mostraba solo un 44 % de sobrevida en las leucemias (20).
Nuestro estudio tuvo la limitante de evaluar solo la supervivencia global, no diferenciando las pertenecientes a las leucemias linfoides y mieloides de forma independiente, esto podría infraestimar la supervivencia en general puesto que como es conocido las leucemias mieloides tienen un peor pronóstico en comparación con las linfoides (22), sin embargo, la tendencia a cero de la supervivencia global, si nos alerta sobre un punto común en ambos tipos de leucemias a los 5 años de seguimiento por lo que se hace necesario hacer estudios más extensos con mayores casuísticas que permitan hacer cálculos independientes para ambos grupos oncohematológicos, y de la misma manera resulta necesario evaluar la supervivencia según el riesgo de los pacientes (alto, intermedio, bajo) en relación a sus hallazgos cito-genéticos y moleculares para poder evaluar una real respuesta a la quimioterapia brindada.
Por otra parte resulta relevante poder cotejar la supervivencia en relación al antecedente de trasplante de progenitores hematopoyéticos (11), por lo cual el presente estudio constituye un primer paso para conocer la repuesta de nuestros pacientes a la quimioterapia, pero debe ser complementado con estudios más extensos.
El hospital Nacional Almanzor Aguinaga Asenjo cuenta con un laboratorio de citometría de flujo que permite hacer el inmunofenotipo de las leucemias en corto tiempo, sin embargo, no dispone de pruebas moleculares y citogenéticas para sub-clasificar a los pacientes de acuerdo a su riesgo, y las muestras tienen que ser derivadas a otros hospitales para su evaluación, lo que genera que muchas veces se inicie tratamiento sin poder clasificar previamente al paciente según su riesgo; cambiar esta situación llevaría a que los pacientes reciban un mejor tratamiento, oportuno y preciso con estudios de inmunofenotipo, biología molecular y cito-morfología y hacer que la intervención terapéutica sea la más adecuada.
Referencias
1. Quispe-Bellido EM. La patogénesis de la leucemia. Una revisión. Rev Cuerpo Med HNAAA. 2015;8(2):94-97.
2. Tovar CFL. Factores de pronóstico en leucemia linfoblástica aguda pediátrica: posibles marcadores moleculares. 2015 [citado el 15 de abril de 2017]; Disponible en: URL:http://ri.uaemex.mx/handle/20.500.11799/49591.
3. Merino A. Clasificación de las leucemias agudas mieloides. Rev Lab Clínico. 2010;3(3):139-147.
4. Polo-Capuñay AM, León-Seminario CA, Pérez-Villena JF, Yovera-Merino JD, Barraza-Chavesta O, Torres-Anaya V, et al. Características clínico epidemiológicas de los pacientes con leucemia aguda del Servicio de Hematología del Hospital Almanzor Aguinaga Asenjo. Horiz Medico. 2014;14(1):18-23.
5. Díaz-Vélez C, Neciosup-Puican E, Soto-Cáceres V. Carga de enfermedad de los cánceres prioritarios en la Red Asistencial de Lambayeque, Perú 2013. Rev Venez Oncol. 2016;28(4):204-215.
6. Lozano GOL, Cooper NIG, Díaz-Vélez C. Calidad de vida en pacientes con leucemia mieloide crónica en tratamiento, hospitales nivel III Chiclayo. Rev Venez Oncol. 2013;25(3):150-156.
7. Díaz-Vélez C, Peña-Sánchez R. Factores pronóstico de sobrevida de los cánceres prioritarios en el seguro social Essalud Lambayeque, Perú. Rev Venez Oncol. 2012;24(3):202-216.
8. Papaemmanuil E, Gerstung M, Bullinger L, Gaidzik VI, Paschka P, Roberts ND, et al. Genomic classification and prognosis in acute myeloid leukemia. N Engl J Med. 2016;374(23):2209-2221.
9. Dourisboure R. Factores moleculares pronóstico en leucemia mieloide aguda: detección de mutaciones en FLT3, NPM1 y CEBPA. Hematología. 2012;16(3):200-202.
10. Gómez Baute R, Fernández Águila J, Dita Salabert L, Guerra Alfonso T. Sobrevida en pacientes con leucemia aguda no linfoblástica en el Hospital Dr. Gustavo Aldereguía Lima? Experiencia de diez años: cefradina, cefalexina, cefadroxilo, cefprozilo y ceftobiprole. MediSur. 2010;8(5):32-41.
11. Sarmiento Maldonado M, Ocqueteau Tachini M, Pilcante J, Ramírez Villanueva P. Response and survival in acute myeloid leukemia patients not candidates to transplantation treated with azacitidine versus palliative treatment: a retrospective study [Internet]. Medwave; 2015 [citado el 15 de abril de 2017]. Disponible en: URL: http://www.medwave.cl/medios/medwave/Agosto2015/PDF/medwave.2015.07.6207ENG.pdf
12. Combariza-Vallejo JF. Cohorte de supervivencia en pacientes menores de 60 años con leucemia mieloide aguda de acuerdo con la citogenética y el tratamiento de consolidación. Iatreia. 2015;28(4):378-387.
13. Reyes-López A, Miranda-Lora AL, Ruíz-Cano J, Manuell-Lee G, Dorantes-Acosta E, Zapata-Tarrés M, et al. Factores pronósticos de supervivencia en pacientes pediátricos con leucemia linfoblástica aguda afiliados al Seguro Popular. Bol Méd Hosp Infant México. 2012;69(3):197-204.
14. Ruíz Argüelles GJ, Apreza Molina MG. Resultados del tratamiento de leucemias agudas en adolescentes. Rev Invest Clín. 1997;49(4):271-275.
15. American Cancer Society. Tasas de supervivencia para leucemias en niños [Internet]. American Cancer Society. [citado el 16 de abril de 2017]. Disponible en: URL: https://www.cancer.org/es/cancer/leucemia-en-ninos/deteccion-diagnostico-clasificacion-por-etapas/tasas-de-supervivencia.html
16. Ramos Muñoz WC, Venegas Ojeda DO, Medina Osis JL, Guerrero León PC, Cruz Martínez A. Análisis de la situación del cáncer en el Perú 2013. En: Análisis de la situación del cáncer en el Perú 2013 [Internet]. 2013 [citado el 16 de abril de 2017]. p. 108-108. Disponible en: URL: http://pesquisa.bvsalud.org/enfermeria/resource/es/pru-6212
17. Globocan 2012 - Home [Internet]. [citado el 16 de abril de 2017]. Disponible en: URL: http://globocan.iarc.fr/Default.aspx
18. Aragón-González M, Aragón-González C. Diagnóstico molecular y tratamiento de leucemias. Rev Med Cos Cen. 2014;71(609):39-45.
19. Villalobos IS, Danjanovic EV, Fiestas SN, Infantes MF, Coronel KC, Mogollón JLF, et al. Caracterización inmunofenotípica de leucemias agudas diagnosticadas en un Hospital Nivel III en el período 2010-2013, Chiclayo-Perú. Rev Cuerpo Med HNAAA. 2015;8(1):5-8.
20. Díaz-Vélez C. Registro hospitalario de cáncer 2007-2012. En: Registro hospitalario de cáncer 2007-2012 [Internet]. 2013 [citado el 16 de abril de 2017]. p. 20. Disponible en: URL: https://www.researchgate.net/publication/279704319_Registro_Hospitalario_de_Cancer_2007-2012
21. Díaz-Vélez C, Neciosup-Puicán E, Fernández-Mogollón JL, Tresierra-Ayala MÁ, Apolaya-Segura M. Mortalidad atribuible a infecciones nosocomiales en un hospital de la Seguridad Social en Chiclayo, Perú. Acta Med Peru. 2016;33(3):250-252.
22. Correa LMD, Muñoz CAM, Vallejo JFC, Cárdenas KMG, Colorado VO, Gómez JHD. Supervivencia de los pacientes adultos con leucemia mieloide aguda en el departamento de Hematología del Hospital Pablo Tobón Uribe entre los años 2004 y 2010. Med UPB [Internet]. 2012 [citado el 16 de abril de 2017];31(2). Disponible en: URL: http://search.proquest.com/openview/019902e341e7fdacf60e666d494f838f/1?pq-origsite=gscholar&cbl=1666335
Notas de autor
Correspondencia: Dr. Cristian Díaz Vélez Plaza de la Seguridad Social S/N, distrito de Chiclayo. Tel: 998697613. E-mail: cristiandiazv@hotmail.com