Artículos
Modelling and simulation of multi spindle drilling redundant SCARA robot using SolidWorks and MATLAB/SimMechanics
Modelado y simulación de un robot redundante de perforación tipo manipulador SCARA utilizando SolidWorks y MATLAB/SimMechanics
Modelling and simulation of multi spindle drilling redundant SCARA robot using SolidWorks and MATLAB/SimMechanics
Revista Facultad de Ingeniería Universidad de Antioquia, no. 81, pp. 63-72, 2016
Facultad de Ingeniería, Universidad de Antioquia
Received: 23 March 2016
Accepted: 29 September 2016
ABSTRACT: The robots are electromechanical systems that need mechatronic approach before manufacturing them, in order to reduce the development cost. In this paper, a novel attempt of Modelling PRRP (Prismatic-Revolute-Revolute-Prismatic), configuration redundant SCARA (Selective Compliance Articulated Robot Arm), robot with a Multi spindle drilling tool (MSDT) using SolidWorks CAD software, and the dynamic study with the aid of MATLAB/SimMechanics is presented. The SCARA with MSDT is used to drill multiple holes in the printed circuit boards (PCBs) and sheet metal. In this work, the 3D CAD model of the proposed robot is converted into SimMechanics block diagram by exporting it to the MATLAB/SimMechanics second generation technology environment. Then, SimMechanics simulation is performed and by utilizing its motion sensing capability, the dynamic parameters velocity and torque of the manipulator are observed for modified variable robot structure. The simulation results indicate the considerable change in the dynamic performance for varying design parameters.
Keywords: SCARA, multi spindle drilling tool, SolidWorks, SimMechanics, dynamic, simulation, mechanics explorer.
RESUMEN: Los robots son sistemas electromecánicos que necesitan enfoque mecatrónico antes de fabricarlos, esto con el fin de reducir el costo de desarrollo. En este trabajo se presenta un nuevo intento de modelado PRRP (prismáticos-revoluto-revoluto-prismático), una configuración redundante SCARA (Brazo robótico articulado de respuesta selectiva), herramienta de perforación milti-eje (MSDT) usando el software CAD de SolidWorks y el estudio dinámico con la ayuda de MATLAB/SimMechanics de perforación. Un SCARA con MSDT se utiliza para perforar varios agujeros en las placas de circuito impreso (PCB) y la chapa metálica. En este trabajo, el modelo de CAD 3D del robot propuesto se convierte en un diagrama de bloque SimMechanics exportando a MATLAB/SimMechanics segunda generación de tecnología de modelado y simulación. Entonces se realiza una simulación SimMechanics y utilizando su capacidad de detección de movimiento la velocidad de parámetros dinámicos y la torsión del manipulador se observa la estructura del robot variable modificado. Los resultados de la simulación indican un cambio considerable en el rendimiento dinámico para diferentes parámetros de diseño.
Palabras clave: SCARA, herramienta de perforación multi-eje, SolidWorks, SimMechanics, dinámica, simulación, explorador de mecánica.
1. Introduction
The SCARA (Selective Compliance Articulated Robot Arm) is an extensively applicable robot manipulator in this industrial developed age. It is a popular configuration with RRP (Revolute Revolute Prismatic) structure with four degrees of freedom. It has two revolute and one prismatic joint. The tool is attached in the end of the prismatic arm. The prototype of SCARA robot is introduced in the year 1978 in Japan [1]. SCARA is compact and the working envelopes are relatively limited. Today SCARA robots are very widely used in manufacturing industries for their high speed, short cycle time, advanced control for path precision and controlled compliance to perform the necessary light duty tasks to achieve high flexibility, dexterity and productivity. Few light duty applications of SCARA are product inspection, touch panel evaluation, conveying masks for wafers, screw tightening, stacking electronics components, inserting components in printed circuit boards, tapping, chamfering, deburring, drilling, welding, soldering, gluing, packing, loading and unloading parts of an automated line.
Nowadays, automotive, electrical and electronics industries are utilizing SCARA robots [2]. The flexibility in workspace is very essential for the above task. This can be achieved by the redundancy in the design of the manipulator [3]. The SCARA with redundant characteristics [4] [5] can be developed by kinematic modelling and simulation technique incorporated with CAD modelling software.
A comprehensive study of manipulator performance measures that are very essential to design and study the applications of robotic manipulators, in order to develop a robot with improvised configuration was made by [6]. The Forward and inverse kinematics for SCARA, Cylindrical robot with four degrees of freedom to find the end-effector position and orientation which is applicable for TIG or MIG welding was studied by [7] .
The literature reviews showed the importance of modelling and simulation techniques to develop mechanical or electromechanical systems. The researcher [8] emphasized in his paper the need and the application of modelling and virtual simulation essential to build a robot rapidly and cost effectively. The advanced simulation tools are essential to design sophisticated robotic systems was suggested by [9]. The simulation is important in designing, testing, predicting the behaviour of robots and solve many problems before making it was proposed by an author [10] in his paper. The mathematical and software developments needed for efficient simulation of mechanical systems in the Simulink simulation environment was presented by [11] in their work. The simulation of spherical inverted pendulum and dynamics of multibody system using SimMechanics described by the researchers in their paper [12]. The hybrid driven mechanical system mechanism characteristics was studied using MATLAB/SimMechanics platform [13]. The hybrid driven planar five bar parallel mechanism was also investigated using MATLAB/SimMechanics and acquired angular velocity, angular acceleration of kinematic pairs [14]. A 3D CAD model of KUKA KR5 robot applicable for peg-in-hole insertion using Autodesk Inventor was developed earlier by few researchers. Further, they performed the dynamic simulation using MATLAB/SimMechanics and verified the inverse dynamics [15].
In this paper, modelling and simulation of new architecture of redundant SCARA robot with MSDT is proposed. The modelling, simulation and performance evaluation will be carried out in three stages. Firstly, the 3D CAD model of the proposed robot is developed by using the SolidWorks software. Secondly, the CAD model is converted into multi body system block diagram by exporting it to the MATLAB/SimMechanics second generation technology environment. Thirdly, the SimMechanics simulation is performed to observe the dynamic parameters.
The paper is organised as follows: section 2 shows the related works; section 3 describes the 3D CAD modelling of the proposed SCARA by SolidWorks software; section 4 presents the method of kinematic modelling the SCARA with MSDT; section 5 exposes the SimMechanics simulation and dynamic study; section 6 exhibits the simulation results and discussion. Finally, section 7 presents the conclusion derived from the results.
2. Related works
In this present work, the focus is on the development of new type of redundant SCARA Robot with multiple tool end effector applying modelling and MATLAB/SimMechanics simulation technique, which is not reported yet by other researchers. The proposed PRRP configuration SCARA in this paper has MSDT as an end effector. Recent research by few authors has adopted the modelling and simulation technique which was adopted for the RRP configuration of SCARA robot with and without single point tool end effector. The joint motion of SCARA robot with a single electromagnetic gripper by MATLAB simulation was observed and verified [16]. A multi-body model of four degrees of freedom SCARA was developed for pick and place application using MapleSim software and the robot performance was evaluated [17]. The Kinematic equations for a high speed SCARA robot with a single material handling end effector was developed and performed MATLAB Simulation to validate the robot parameter for reasonable design [18]. The dynamic mathematical equation for the two-link robot manipulator for pitching a ball was derived and the simulation was performed using SimMechanics to analyse the best performance of the system [19]. Earlier the researchers also analysed the position, velocity and acceleration in dynamic conditions of pick and place SCARA robot using MATLAB/SimMechanics simulation study [20]. The dynamics of the SCORA -ER14 robot with a single gripper end effector was analysed using MATLAB simulation [21]. The two SCARA robot postures were compared without end effector for the same length of time with the same trajectory to obtain the kinematic and dynamic parameters by using SolidWorks and MATLAB/SimMechanics [22]. Previously few authors developed the mathematical model of SCARA with a single drilling tool robot [23]. They performed the solid dynamics simulation to analyse the actuator torque performance and verified it with MATLAB/Simulink.
The present work can be closely compared with the research work of [24][25]. They had modelled a redundant SCARA robot for pick and place application with five degrees of freedom. The authors developed the dynamic model of their proposed robot by means of MATLAB/Simulink programming and performed several tests like actuator dynamics with different controllers under path tracking requirements. Unlike the mentioned research, this paper reveals a new methodology to develop a 3D CAD model of the SCARA redundant robot of four degrees of freedom with MSDT by using SolidWorks software and simulating the developed model in the MATLAB/SimMechanics second generation environment. The dynamic performance was observed from the simulation results and compared for modified variables of the robot structure.
3. Modelling by SolidWorks
SolidWorks is a solid modelling software which is used to produce parts and assembly drawings by utilizing parametric features. Here, parameters are referred to constraints. Its values determine the shape or geometry of the model. Using this CAD modelling software, the newly proposed redundant SCARA of its kind with MSDT is modelled. In this SCARA model, the main arm and forearm form the revolute joints. The tool head is attached to the prismatic arm in its bottom that is capable of holding four drilling tools placed mutually perpendicular as shown in the Figure 1. The material assigned to the parts of SCARA is aluminium. The required design parameters are mentioned in the Table 1 and Table 2.

4. Robot Kinematics
Robot Kinematics is a geometric study of motion of a robotic manipulator with respect to the datum coordinates system. In this paper, kinematic model is developed using the Denavit-Hartenberg (D-H) forward kinematic approach. The primary goal of kinematic modelling is to describe the robot mechanism.
4.1. Forward kinematics
The forward kinematics deals with computing the position and orientation of the end effector for the given joint variables. The kinematic model for finding the position of the Multi spindle drilling tool end effector attached to the SCARA robot is derived using the Denavit-Hartenberg (D-H) forward kinematic approach. The coordinate frames are assigned based on D-H convention to each joint as shown in Figures 2 and 3 and its parameters are given in the Table 1.


The homogeneous transformation Matrix [26] Ai is represented as a product of four basic transformations in the Eq. (1). It expresses the position and orientation of the tool with respect to the reference frame as given in Eqs. (2) and (3).
(1)
(2)
(3)The (4x4) rigid homogeneous transformation matrices A1, A2, A3, A4, A5, A6, A7 shown in the Eqs. (4-10) are computed by applying the D-H parameters listed in Table 1 in the Eq. (3).

Where
lm is length of the main arm in mm.
lf is length of the fore arm in mm.
la is length of the drilling Tool A from the prismatic arm axis (Z3 ).
lb is length of the drilling Tool B from the prismatic arm axis (Z3), it is in the x axis but in negative direction .So it is assumed as - lb .
d2, d3, d4, d5, d5 are link offset length between the successive links.
C2, C3, C6, C7 are Cosine function of joint angles.
S2, S3, S6, S7 are Sine function of joint angles.
(4)
(5)
(6)
(7)
(8)
(9)
(10)4.2. Kinematic model for drilling Tool A and Tool B position
The direct kinematic model to find the orientation and the position of the tool A is obtained by applying the homogeneous transformations given in the Eqs. (11) and (12).
(11)
(12)The Eqs. (13-15) represent the Tool a Position with reference to the base frame.
(13)
(14)
(15)The kinematic model in the homogeneous transformation matrix form for Tool B is TB given in the Eqs. (16) and (17).
(16)
(17)Tool B position is indicated by the Eqs. (18-20).
(18)
(19)
(20)The D-H parameter values are given in Table 2.

In the Eqs. (12-14) and Eqs. (17-19), C23 denotes Cos (Ө2 + Ө3 ), S23 denotes Sin (Ө2 + Ө3 ).
4.3. Determination of drilling tool C and D position
The coordinate position of the midpoint 'M' of the tool head is found as follows in the Eqs. (21-23) using the D-H representation.
(21)
(22)
(23)Here dM = d5 = d6
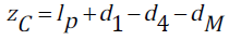
Geometrically by using the principle of a right angle triangle the position of tool C and tool D are found out using the Figure 4. From the geometrical representation in Figure 4, the tool C position coordinates xc and yc can be predicted by substituting the value Ɵ3 = Ɵ3 - δ in the Eqs. (24) and (25). Zc coordinate can be found out by using the Eq. (26).
(24)
(25)
(26)

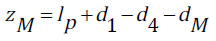
Similarly substituting Ɵ3 = Ɵ3 + δ in the Eqs. (27) and (28). The position coordinates xd and yd of tool D can be determined. The zd coordinate can be determined by using the Eq. (29).
(27)
(28)
(29)4.4. Inverse kinematics for the end effector
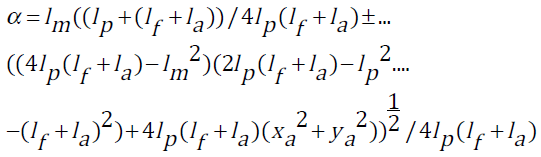
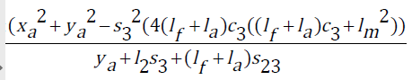
In the inverse kinematics the joint variables are determined for the desired position and orientation of the end effector of the robot. The algebraic methods [27][28]of inverse kinematics are used to verify the joint angles when its is in tool A position using the coordinate Eqs. (13) and (14).
The inverse kinematic model is expressed in the Eqs. (30-33) by solving the Eqs. (13) and (14) by required simplifications.
(30)
(31)
(32)
(33)Where the symbol Ɵ2 and Ɵ3 denotes angular displacement of rotary joint 2 and joint 3.
Similarly the Ɵ2 andƟ3 are to find out for tool B, tool C and tool D positions.
5. SimMechanics simulation and dynamic study
SimMechanics [29] is a multibody simulation environment for 3D mechanical and electromechanical systems. The multibody system can be modelled using blocks representing bodies, joints, constraints and force elements. Then the SimMechanics formulates and solves the equations of motion for the complete mechanical system based on the CAD model. The equations derived through kinematic modelling in the previous section will not be used in the SimMechanics to analyse the system performance. It has the flexibility to change the structure, optimize system parameters and to analyze the results within the SimMechanics environment in much lesser time [30] [31]. The 3D CAD model from the SolidWorks modelling platform can be imported into SimMechanics. The system dynamics are visualized using automatically generated 3D animation in MATLAB/Mechanics Explorer. The CAD model developed using SolidWorks mentioned in the previous section is used for the simulation purpose.
5.1. Simulation methodology
The 3D CAD model of the proposed SCARA was exported from SolidWorks environment to MATLAB/SimMechanics environment in the form of XML and STL file through SimMechanics second generation link. The XML file of the model was executed using the MATLAB command window .The CAD model of the robot was converted into a block diagram with the connecting blocks representing the revolute and prismatic joints. The input joint primitives are assigned in the joint blocks to get the output through workspace block mentioned in the Figure 5.
5.2. Dynamic study by SimMechanics
The robot dynamics is the study of manipulator motion in terms of time rate of change of the robot configuration. Conventionally, dynamic parameters are computed using the laborious equations, but in this present work the simulation methodology is used to study the dynamics of the system. The dynamic behavior exerted in the joints by the manipulator links is studied in this section with the aid of SimMechanics second generation platform. The dynamic variables can be sensed between joint frames, for the modified design parameters of the robot by using the sensing capability of joint blocks shown in the Figure 5.
6. Simulation results and discussion
The simulation of CAD model of the SCARA is carried out in the SimMechanics second generation environment with the modified variable of the robot structure and performance characterestics are observed. The modified variable and the dynamic performace of the robot are shown in the Table 3.

By adding PS-Simulink convertor blocks, sine wave blocks and by enabling the joint velocity sensing primitives to SimMechanics block diagram of the proposed SCARA robot provide the filtered linear velocity of the prismatic joint 1 and 2. The output plot through the workspace block for the maximum displacement of 100mm by prismatic link 1 and 10mm by prismatic link 2 respectively for time instant t =10s is shown in Figure 5. The simulated elbow up and elbow down path by the manipulator links for the assigned joint primitives is shown in the MATLAB Explorer window as shown in Figure 6.


Figures 7 and 8 shows the Linear velocity vs time plot generated for prismatic joint 1 and 2. It shows the velocity varies with time as it gets displaced periodically.


Figures 9 and 10 shows the graphical result of angular velocity at the revolute joints if lm = lf = 250mm. The maximum angular velocity observed at the joint 1 and joint 2 are 35.92deg/s and 88.49deg/s.


Figures 11 and 12 indicates the torque required at joint 1 and joint 2 respectively. The observed torque values are 12.29Nm and 0.09Nm respectively if lm = lf = 250mm.


If lm = lf = 300mm, the maximum angular velocity observed in the joints 1 and 2 as 14.01deg/s and 38.88deg/s are as shown in the Figures 13 and 14.


Figures 15 and 16 shows the required torque at joint 1 and joint 2 as 42.49Nm and 16.12Nm respectively.


The performance characterstics velocity and torque in the joints of the proposed robot structure for varying main arm length and the fore arm length of the manipulator are mentioned in the Table 3. By comparing the performance given in the Table 3, the change in the dynamic performance is observed for the modified design variables of the robot.
7. Conclusion
This paper presents the first attempt of modelling and simulation of a new type of redundant SCARA robot with MSDT by utilizing the SolidWorks CAD modelling and MATLAB/SimMechanics software. With the aid of schematic representation of the CAD model of the robot and assigned D-H parameters, new kinematic model was developed to identify the four tool positions of the MSDT attached to the SCARA. The simulation was performed in the MATLAB /SimMechanics second genetration environment by exporting the 3D CAD model from the SolidWorks platform . The dynamic performance velocity and torque are observed from the simulation results for the manipulator movement in elbow up and elbow down path for modified main arm length and fore length of robotic manipulator. The simulations results of dynamic performance for the modified variables of the robot structure infer that the structure of the robot can be modified to get the required dynamic parameters. The modelling and simulation of robot using SolidWorks and SimMechanics methodology reveals that the design and structural changes can be done with great ease based on the simulated dynamic study. Thus, developing a robot with a desired configuration will be economical and easier; it is the obtained end result of this innovative research.
8. Acknowledgements
The work presented here had been done in the lab developed in Velammal College of Engineering and Technology, Madurai, Tamil Nadu, India by the All India Council for Technical Education, Government of India project grant under research promotion scheme (No.20/AICTE/RIFD/RPS(POLICY-III)111/ 2012-2013) or developing “Intelligent Robot Manipulator Systems”
9. References
1. B. Siciliano and O. Khatib, Handbook of Robotics, 2nd ed. Heidelberg, Germany: Springer, 2008.
2. R. N. Jazar, Theory of applied robotics, 2nd ed. New York, USA: Springer, 2009.
3. R. Patel and F. Shadpey , Control of Redundant Robot Manipulators, 1st ed. Heidelberg, Germany: Springer, 2005.
4. F. Lewis, D. Dawson, and C. Abdallah, Robot Manipulator Control Theory and Practice, 2nd ed. New York, USA: Marcel Dekker Inc., 2004.
5. R. Paul, Robot Manipulators: Mathematics, Programming, and Control, 1st ed. Cambridge, MA, USA: MIT Press, 1981.
6. S. Patel and T. Sobh, “Manipulator Performance Measures - A Comprehensive Literature Survey,” Journal of Intelligent Robot System, vol. 77, no. 3, pp. 547-570, 2015.
7. V. Hernandez, G. Bravo, J. Rubio, and J. Pacheco, “Kinematics for the SCARA and the Cylindrical Manipulators,” ICIC Express Letters Part B: Applications, vol. 2, no. 2, pp. 421-425, 2011.
8. O. Michel, “Cyberbotics Ltd - WebotsTM: Professional Mobile Robot Simulation,” International Journal of Advanced Robotic Systems, vol. 1, no. 1, pp. 39-42, 2004.
9. L. Zlajpah, “Simulation in robotics,” Mathematics and Computers in Simulation, vol. 79, no. 4, pp. 879-897, 2008.
10. F. Ionescu, “Modelling and Simulation in Mechatronics,” IFAC Proceedings Volumes, vol. 40, no. 18, pp. 301-312, 2007.
11. G. D. Wood and D. C. Kennedy, Simulating Mechanical Systems in Simulink with SimMechanics, 2003. [Online]. Available: Available: http://cn.mathworks.com/tagteam/12634_SimMechanics.pdf. Accessed on: Jan. 06, 2016.
12. M. Fajar, S. S. Douglas, and J. B. Gomm, “Modelling and Simulation of spherical inverted pendulum based on LQR control with sim mechanics,” Applied Mechanics and Materials, vol. 391, pp 163-167, 2013.
13. M. E. Kütük, R. Halicioglu, and L. C. Dulger, “Kinematics and Simulation of a Hybrid Mechanism: MATLAB/SimMechanics,” Journal of Physics: Conference Series, vol. 574, pp. 451-458, 2015.
14. B. Zi, J. Cao, and Z. Zhu, “Dynamic Simulation of Hybrid-driven Planar Five-bar Parallel Mechanism Based on SimMechanics and Tracking Control,” Int. J. Adv. Robotic Sy., vol. 8, no. 4, pp. 28-33, 2011.
15. A. D. Udai, C. G. Rajeevlochana, and S. K. Saha, “Dynamic Simulation of a KUKA KR5 Industrial Robot using MATLAB SimMechanics,” in 15thNational Conference on Machines and Mechanisms (NaCoMM), Chennai, India, 2011, pp. 1-8.
16. J. Fang and W. Li, “Four degrees of freedom SCARA robot kinematics modeling and simulation analysis,” International Journal of Computer, Consumer and Control (IJ3C), vol. 2, no. 4, pp. 20 -27, 2013.
17. M. A. Mashagbeh and M. B. Khamesee, “Virtual performance evaluation of an industrial SCARA robot prior to real-world task,” Microsyst. Technol., vol. 21, no. 12, pp. 2605-2609, 2015.
18. G. Q. Ma, Z. L. Yu, G. H. Cao, Y. B. Zheng, and L. Liu, “The Kinematic Analysis and Trajectory Planning Study of High-Speed SCARA Robot Handling Operation,” Applied Mechanics and Materials , vol. 687-691, pp. 294-299, 2014.
19. S. Umar and E. A. Bakar, “Study on Trajectory Motion and Computational Analysis of Robot Manipulator,” Jurnal Teknologi, vol. 67, no. 1, pp. 53-59, 2014.
20. T. Elaikh, H. J. Abed, K. M. Abed, S. M. Swadi, and K. Karim, “Vibration and Kinematic Analysis of SCARA Robot Structure,” Diyala Journal of Engineering Sciences, vol. 6, no. 3, pp.127-143, 2013.
21. A. K. Jha , A. K. Dutta, and J. Saha, “Analysis of Dynamics of SCORA-ER14 Robot in MATLAB,” International Journal of Innovative Research in Advanced Engineering (IJIRAE), vol. 1, no. 4 , pp. 145-150, 2014.
22. M. Gouasmi, M. Ouali, B. Fernini, and M. Meghatria, “Kinematic Modelling and Simulation of a 2-R Robot Using SolidWorks and Verification by MATLAB/Simulink,” Int. J. Adv. Robotic Sy ., vol. 9, pp. 245-258, 2012.
23. M. S. Alshamasin, F. Ionescu, and R. T. Al-Kasasbeh, “Modelling and simulation of a SCARA robot using solid dynamics and verification by MATLAB/Simulink,” International Journal of Modelling, Identification and Control, vol. 15, no. 1, pp. 28-38, 2012.
24. C. Urrea and J. Kern, “Modelling, Simulation and Control of a Redundant SCARA Type Manipulator Robot,” Int. J. Adv. Robotic Sy ., vol. 9, pp. 58-72 , 2012.
25. C. Urrea and J. Kern , “Trajectory Tracking Control of a Real Redundant Manipulator of the SCARA Type,” J. Electr. Eng. Technol., vol. 10, pp. 709-720, 2015.
26. L. W. Tsai, Robot Analysis: The Mechanics of Serial and Parallel Manipulators, 1st ed. New York, USA: John Wiley & Sons, 1999.
27. M. W. Spong, S. Hutchinson, and M. Vidyasagar , Robot Modelling and Control, 1st ed. New York, USA: John Wiley & Sons , 2005.
28. A. B. Rehiara, “Kinematics of Adept Three Robot Arm,” in Robot Arms, 2nd ed., S. Goto (ed). Rijeka, Croatia: InTech, 2011, pp. 21-38.
29. V. Fedák, F. Ďurovský, and R. Üveges, “Analysis of Robotic System Motion in SimMechanics and MATLAB GUI Environment,” in MATLAB Applications for the Practical Engineer, 3rd ed., K. Bennett (ed). Rijeka, Croatia: InTech , 2014, pp. 565-581.
30. M. Schlotter, Multibody System Simulation with SimMechanics, 2003. [Online]. Available: Available: http://citeseerx.ist.psu.edu/viewdoc/download?doi=10.1.1.476.8590&rep=rep1&type=pdf . Accessed on: Mar. 16, 2016.
31. MathWorks, Simscape™ Multibody™ Getting Started Guide, 2016. [Online]. Available: reftype="book">Available: reftype="book">http://cn.mathworks.com/help/pdf_doc/physmod/sm/sm_gs.pdf. Accessed on: Mar. 16, 2016
Author notes
* Corresponding author: Saravana Mohan Mariappan e-mail: saravana.moha@gmail.com