Artículos
Test and fabrication of piezoresistive sensors for contact pressure measurement
Fabricación y pruebas de sensores piezorresistivos para la medición de presión por contacto
Test and fabrication of piezoresistive sensors for contact pressure measurement
Revista Facultad de Ingeniería Universidad de Antioquia, no. 82, pp. 47-52, 2017
Facultad de Ingeniería, Universidad de Antioquia
Received: 17 August 2016
Accepted: 06 February 2017
ABSTRACT: The use of contact pressure sensors has become popular in various engineering disciplines in recent years. They are used in characterization of vehicle tires, bearings, wind tunnels, prosthesis design, ergonomic analysis among other areas. These sensors are fabricated with materials that have certain properties such as piezoelectricity, piezoresistance and variable capacitance; however, the most used characteristic is the piezoresistive effect. This paper describes the fabrication of three different sensors using piezoresistive materials. Furthermore, a comparative technical study including a commercial sensor as a benchmark is done with the aim of selecting a suitable material when measuring contact pressure. The repeatability and hysteresis of each sensor were evaluated in a response to load test realized several times. A time drift test with a dead load was also performed for evaluating stability. Materials such as piezoresistive fabric or ink show to be suitable for applications where deformation and flexible sensors are required, Velostat is the least accurate but suitable for basic applications and in which a high resolution is not needed. Finally, some recommendations are given regarding the type of material to be used in pressure sensors for engineering applications, particularly in the biomedical field.
Keywords: Piezoresistive effect, contact pressure measurements, repeatability, sensor hysteresis, time drift test.
RESUMEN: El uso de sensores de presión de contacto se ha popularizado en diferentes disciplinas de la ingeniería en los últimos años. Se utilizan en la caracterización de llantas para vehículos, rodamientos, túneles de viento, diseño de prótesis, análisis ergonómicos, entre otras áreas. Estos sensores, son diseñados con materiales que poseen ciertas propiedades tales como piezoelectricidad, piezorresistencia y capacitancia variable; sin embargo, la característica más usada es la piezorresistencia. En este artículo se describe la fabricación de tres sensores de presión diferentes usando materiales piezorresistivos. Adicionalmente, se realizó un estudio técnico comparativo incluyendo un sensor comercial usado como punto de referencia con el fin de seleccionar el material idóneo para medir presión por contacto. La repetibilidad y la histéresis de cada sensor fueron evaluadas en una prueba de respuesta a la carga realizada varias veces. También se llevó a cabo una prueba de desviación en el tiempo para evaluar estabilidad de la medición de un peso muerto. Los materiales como la tela o tinta piezoresistiva muestran ser adecuados para aplicaciones en las que haya deformación y se necesite de sensores flexibles, el Velostat es el menos preciso pero adecuado para aplicaciones básicas y en las cuales no se necesite de mucha resolución. Finalmente se presentan recomendaciones respecto al tipo de material que se debe utilizar en sensores de presión para diversas aplicaciones en ingeniería en general y en el campo biomédico en particular.
Palabras clave: Efecto piezorresistivo, presión de contacto, repetibilidad, histéresis de sensor, prueba de desviación en el tiempo.
1. Introduction
Force distribution sensors and contact pressure sensors are widely used in biomechanics research, robotics applications, wearable devices, characterization of vehicle tires, wind tunnels, prosthesis design and gait analysis among other areas [1][2][3][4][5][6]. Therefore, the design and characterization of such sensors is a matter of actual concern and must be studied with detail in order to obtain reliable results.
The three most used methods to design electronic sensors for measuring force and pressure are given by three different physical phenomena present in some materials: piezoresistive effect, piezoelectric effect, and variable capacitance [7][8][9]. The three phenomena have been extensively studied and used in different types of sensing applications. However, among these three types of physical phenomena, the piezoresistive materials allow a better matricial pressure distribution measuring in biomedical applications because of their low cost and their deterministic behavior [10][11]. These characteristics have allowed the developing of commercial applications in the biomechanics field [12]. Piezoresistive materials are those that vary their electrical resistance due to a deformation that is generally caused by an applied force [13]. The relationship between the variation of the electric resistance and the applied force over a piezoresistive material is inversely proportional [14]. When no force is applied, the electrical resistance of the material is around Megaohms and as the applied force increases, the resistance decreases to the range of Kiloohms or less [12][14].
Piezoresistive materials are commercially available in various formats and by different manufacturers; in the present study, three self-made piezoresistive sensors were compared using a response to load, hysteresis, and time drift tests. Such developed sensors were designed using three different materials: Velostat by 3MTM, a piezoresistive ink by Voltec Electrónica and the Static Dissipative Fabric EX-STATIC™ by Less EMF Inc [15][16]. Also, the commercial sensor ThruMode Matrix ArrayTM developed by Sensitronics was implemented and compared with the other three self-made sensors using the same tests [17].
This paper shows the fabrication techniques of each sensor; the experimental design for acquiring and processing data; the results of the tests; and a comparison of the four sensors in terms of repeatability, hysteresis, and drift. Finally, some recommendations are made according to the obtained results in order to improve the developing of pressure measuring devices in biomedical applications.
2. Methodology
2.1. Sensor fabrication
Velostat (S1) and EX-STATIC fabric (S2) were tested using a 1cm2 sandwich type structure (two cupper layers covering a pressure sensitive sheet) so that piezoresistive material deformations were sensed over the entire surface. Sandwich shape sensor is depicted in Figure 1. The electrodes supply the voltage to the piezoresistive material and detected changes in impedance, the insulation is to reduce interference in voltage changes.

On the other hand, the piezoresistive ink was deposited over 1 cm2 insulator polymer and its sensitive side located over a layer with two copper electrodes (S3). Shape of electrodes was chosen so that sensitive contact area was increased. Copper electrodes layer is depicted in Figure 2. In one layer two copper electrodes are located and isolated, the polymer with the ink is deposited, and the electrodes sense the current that passes through the piezoresistive ink.

During Sensors design, special care was taken in order to avoid that electrodes generate stress concentration by allowing a contact layer as flat as possible.
Finally, a 10 by 16 matrix sensor (thruMode MatrixTM) with an active area of 2’’x3’’ from Sensitronics was also tested by applying stress over one sensor of the array. Sensitronics sensor (S4) is shown in Figure 3.

2.2. Conditioning circuit design
Resistance of piezoresistive materials between electrical contacts has been extensively researched. It has been found that resistance-force relationship is described by (1). [14].
(1)Where ρ is the resistivity of the contacting surfaces, F is the force applied normal to the contact surfaces and K is a function of the roughness and elastic properties of the surfaces. Eq. (1) establishes an inversely proportional resistance-force relationship.
Resistance of the sensors was converted into a voltage signal by implementing a voltage divider circuit, placing the sensor in series with a fix resistor RL as depicted in Figure 4. The voltage measured in the sensor-resistor junction is obtained by applying Ohm´s law like is shown in (2).
(2)Where RL is the resistance that completes the voltage divider, Vin is the input voltage of the sensor and Vo is the output of the voltage divider. Voltage-force relationship is given in (3) by taking (1) into (2). This relationship is still inversely proportional. This type of interface is adequate for qualitative force sensing, but it is still useful to test sensor qualities like hysteresis in a response to load test and drift from a constant load during time.
(3)

A linear response might be obtained by connecting the sensor resistor between a voltage source and an input of a current to voltage converter (a virtual ground) obtaining a voltage output proportional to the piezoresistive sensor resistance [18].
2.3. Experimental design
Two types of compression tests were performed using a Shimadzu ag-100 universal testing machine [Figure 5]. The first one evaluated dynamic response over a range of forces. The universal testing machine was programed to increase monoaxial load cell force from 0 to 500N with a 10 N/s rate. As soon as the force reached 500N, the machine held the force for 5 seconds and then started to reduce force at the same rate. Each 5ms, voltage and force data were stored. This procedure was made for the four samples, four times per sample so that repeatability and hysteresis could be determined.
Second test was a time drift test to determine the stability of sensors with a constant load in time. Three loads were tested in each sensor during 480s: 50N, 150N and 400N with a transition rate of 10N/s.

2.4. Acquisition system
The acquisition system took voltage variations at a sample frequency of 200Hz from the resistance divider circuit using a 16 bits’ analog to digital converter. The acquisition system also acquired force data from the universal testing machine each sample time. Software was also developed in order to make a real time tracking of voltage changes as force increased.
2.5. Statistical analysis and error measurement
An analysis of variance (ANOVA) was implemented in order to prove how repeatable each sensor was during the response to load tests (first test) using the four repetitions described previously.
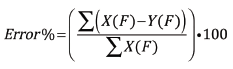
During the first test, the percentage of error between the increase vs. the decrease of load at the same applied force was calculated with (4):
(4)Where X is the data of the increase of load and Y is the data of the decrease of load.
3. Results
3.1. Sensors Characterization
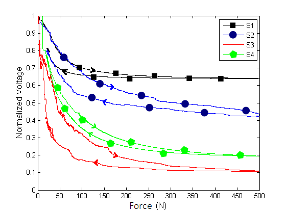
Figure 6 shows the response to load test for each sensor using a force range increasing from 0 to 500N. The variable measured was the voltage divider using a source of 5V. The value of RL was adjusted according to the sensor used during the test in order to achieve an adequate response considering that each of these materials had a different reference resistivity, and therefore the relationship between the voltage and the force is affected as it was shown in (3).
The value of RL used was 1 kOhm for both the Sensitronics commercial sensor and the sensor fabricated with the piezoresistive ink. On the other hand, RL had a value of 50 kOhm for the sensor designed with the Static Dissipative Fabric EX-STATIC™, and finally it had a value of 50 Ohm for the sensor with Velostat.

Table 1 shows the results of ANOVA analysis performed over repeated measurement test.

Figure 7 shows the resistance obtained for each sensor, R from (2), during the test vs. the force applied.

To take the hysteresis into consideration during the response to load test (first test), the force was diminished in a controlled manner until getting the minimum value. The behavior of each sensor during the whole cycle of incrementing and decrementing force from 0N to 500N and then, from 500N to 0N is shown also in Figure 6. The percentage of error between the increase vs. the decrease of load is shown in Table 2.

3.2. Time drift test
During the second test, three different loads (50N, 150N and 400 N) were tested over each sensor during 480 seconds. The test was performed without removing the previous force, but instead of it, the remaining force was added after each 480s cycle as depicted in Figure 8. From these curves, the average value and the standard deviation were calculated in order to determine how stable each sensor is in function of the applied force. These values are represented in Table 3.


4. Discussion
Two different tests were performed for each of the four sensors using a universal testing machine with the aim of being able to identify the following characteristics: the response to different loads; the repeatability of the measurements; the hysteresis when increasing and decreasing the load; and the capacity of the sensors to keep the voltage inside acceptable ranges over time without significant drifting. The area of the piezoresistive materials for the construction of the sensors is of 1cm2 and the sides of the square are of the same size to ensure that the sensor impedance is reproducible effectively. Also, the contact area of the sensors is going to be the same, so the comparison in the results of each material is more accurate.
The curve of S1 (Velostat) in Figure 6 shows that voltage decreases inversely to the force. Although, S1 has smaller voltage changes (around 0.3 normalized units) inside the tested range of 0N to 500N, when comparing with the other sensors, it has the smallest sensitivity. However, in the hysteresis test, S1 had the best results out of the four sensors by having the lowest percentage of error between the increase vs. the decrease of load (see Table 2]. This suggests that Velostat or similar materials made of film surfaced with carbon particles could be used in devices where the sensitivity does not affect the application purpose, that is to say, not broad pressure ranges.
Although piezoresistive ink (S3) had the best sensitivity within the tested force range, it was the sensor with the highest hysteresis having the highest percentage of error between the increase vs. the decrease load curves (see Fig 6]. This result suggests that piezoresistive ink could be used in applications where the sensitivity is important, as in relative pressure measurements or detection of load. However, the influence of the hysteresis could affect the accuracy.
The sensor made of the piezoresistive fabric as well as the ThruMode Matrix ArrayTM did not show significant noise along the curve. Both had similar hysteresis percentage (around 20%) and also good sensitivity. They can be used in force measurements and pressure distribution systems in both flexible and rigid applications.
Results of ANOVA test [Table 1], suggest that the piezoresistive ink and the fabric as well as the ThruMode Matrix ArrayTM have good repeatability. Despite having a good behavior regarding the hysteresis, Velostat did not have a good result for the ANOVA test because the p value was bigger than 0.05, suggesting that this sensor does not have good repeatability.
On the other hand, concerning the time drift test (see Fig 9), it is evident that all sensors had an acceptable behavior. The sensor with the highest standard deviation for the three loads was the one fabricated with Velostat as shown in Table 3, which means that it can have more unstable measurements than the others. This could have happened due to temperature changes in the environment that could have altered the sensitivity of the material [19]. However, no temperature measurements were made during the tests and it is not possible to determine if the environment affected the results. Also, the few repetitions in the tests can help the temperature to play an even more important role in the results obtained and other factors like humidity or contact area.
The obtained results show that both the ThruMode Matrix ArrayTM and the fabric are really good options when designing piezoresistive sensors, because they have an excellent response to load, good repeatability, an acceptable hysteresis, and small standard deviation suggesting small drift from the sensed value. It could be possible to build prototypes and low cost devices with multiple applications in the biomedical field such as flexible pressure sensors and plates for force distribution measurement.
5. Conclusions
Several piezoresistive sensors have been fabricated and tested in this study. The conditioning circuit, the type of material and the electrode configuration affect the performance of such type of sensors.
According to the results of these tests, it can be concluded that the most adequate sensor is the ThruMode Matrix ArrayTM due to its good repeatability, low hysteresis error, low noise generation and low drift. However, sensing small loads can lead to small oscillations as seen in Figure 8.
On the other hand, the excellent results obtained with the fabric is related not only to repeatability and small drift but also to its flexibility capacity let us think in the utilization of this sensor in the measurement of contact pressure over flexible surfaces allowing the design of new biomedical or wearable devices.
However, it is necessary to make more studies of the implementation of these sensors inside a matricial array for measuring distribution of contact pressure with the aim of verifying that the interaction that could exist among them, does not affect the measurement.
Finally, the development of these kinds of piezoresistive sensors opens a possibility of making contact pressure measurements inside the biomedical field, especially in wide areas such as sporting environments, occupational health, specialized diagnostic, and commercial scopes.
6. Acknowledgment
This work was supported by Sistema General de Regalías, Republic of Colombia through the project "Fortalecimiento de la plataforma tecnológica para la formación especializada en el área de la salud y el desarrollo de tecnología biomédica", code RutaN-139C
7. References
1. M. Doumiati, A. Victorino, A. Charara, and D. Lechner, “Virtual sensors, application to vehicle tire-road normal forces for road safety,” in American Control Conference (ACC), St. Louis, MO, USA, 2009, pp. 3337-3343.
2. S. Salibindla, B. Ripoche, D. Lai, and S. Maas, “Characterization of a new flexible pressure sensor for body sensor networks,” in IEEE 8th International Conference on Intelligent Sensors, Sensor Networks and Information Processing , Melbourne, Australia, 2013, pp. 27-31.
3. C. Castellini and V. Ravindra, “A wearable low-cost device based upon Force-Sensing Resistors to detect single-finger forces,” in 5thIEEE RAS/EMBS Int. Conf. Biomed. Robot. Biomechatronics, São Paulo, Brazil, 2014, pp. 199-203.
4. Y. Li, X. Ding, and Y. Wang, “Force measurement system of a low-speed wind tunnel,” in 9th International Conference on Electronic Measurement & Instruments (ICEMI), Beijing, China, 2009, pp. 302-305.
5. J. E. Sanders, L. M. Smith, F. A. Spelman, and D. J. Warren, “A Portable measurement system for prosthetic triaxial force transducers,” IEEE Trans. Rehabil. Eng., vol. 3, no. 4, pp. 366-373, 1995.
6. B. T. Smith, D. J. Coiro, R. Finson, R. R. Betz, and J. McCarthy, “Evaluation of force-sensing resistors for gait event detection to trigger electrical stimulation to improve walking in the child with cerebral palsy,” IEEE Trans. Neural Syst. Rehabil. Eng., vol. 10, no. 1, pp. 22-29, 2002.
7. S. J. Woo, J. H. Kong, D. G. Kim, and J. M. Kim, “A thin all-elastomeric capacitive pressure sensor array based on micro-contact printed elastic conductors,” J. Mater. Chem. C, vol. 2, no. 22, pp. 4415-4422, 2014.
8. E. O. Doebelin, Measurement Systems Application and Design, 4th ed. City, country: Mcgraw-Hill College, 1989.
9. J. Y. Su et al., “Design of tactile sensor array on electric gripper jaws for wire gripping recognition,” in IEEE International Conference on Automation Science and Engineering (CASE), New Taipei, Taiwan, 2014, pp. 1014-1019.
10. S. J. Dempsey, M. Szablewski, and D. Atkinson, “Tactile sensing in human-computer interfaces: The inclusion of pressure sensitivity as a third dimension of user input,” Sensors Actuators, A Phys., vol. 232, pp. 229-250, 2015.
11. A. M. Almassri, W. Z. Hasan, S. A. Ahmad, and A. J. Ishak, “A sensitivity study of piezoresistive pressure sensor for robotic hand,” in IEEE Regional Symposium on Micro and Nanoelectronics (RSM), Daerah Langkawi, Malaysia, 2013, pp. 394-397.
12. A. M. Hernández, J. D. Lemos, and J. Gallego, “Dispositivo autónomo para la medición de presión plantar e identificación del arco del pie,” Colombian Patent 1056, 2013.
13. J. Fraden, “Sensor Characteristics”, in Handbook of Modern Sensors: Physics, Designs, and Applications, 4th ed. New York, USA: Springer, 2010, pp. 13-52.
14. T. V. Papakostas, J. Lima, and M. Lowe, “A large area force sensor for smart skin applications,” in 1st IEEE Int. Conf. on Sensors , Orlando, USA, 2002, pp. 1620-1624.
15. Less EMF Inc., Ex-StaticTM Static Dissipative Fabric . [Online]. Available: https://www.lessemf.com/1209.pdf. Accessed on: Jul. 20, 2016.
16. 3M, Velostat Sheet Stock (Thermoformable). [Online]. Available: http://multimedia.3m.com/mws/media/305240O/stock-de-hojas-velostat-termoconformables.pdf. Accessed on: Jun. 15, 2016.
17. Sensitronics, Sensitronics, the dynamics of touch. [Online]. Available: http://www.sensitronics.com/fsr101.htm. Accessed on: Jul. 25, 2016.
18. S. I. Yaniger, “Force Sensing Resistors: A Review of the Technology,” in Electro International, New York, USA, 1991, pp. 666-668.
19. E. Jeong, J. Lee, and D. Kim, “Finger-gesture Recognition Glove using Velostat (ICCAS 2011),” in 11th Int. Conf. Control. Autom. Syst . (ICCAS), Gyeonggi-do, Korea (South), 2011, pp. 206-210
Author notes
* Corresponding author: Alher Mauricio Hernández Valdivieso e-mail: alher.hernandez@udea.edu.co