Manejo de cosecha y tecnología poscosecha
Propiedades fisicoquímicas de siete variedades destacadas de fresa (Fragaria x ananassa Duch.) cultivadas en Cundinamarca (Colombia), durante su maduración
Physicochemical properties of seven outstanding strawberry (Fragaria x ananassa Duch.) varieties cultivated in Cundinamarca (Colombia) during maturation
Propriedades físico-químicas de sete variedades notórias de morango (Fragaria x ananassa Duch.) cultivadas em Cundinamarca (Colombia), durante a sua maturação
Propiedades fisicoquímicas de siete variedades destacadas de fresa (Fragaria x ananassa Duch.) cultivadas en Cundinamarca (Colombia), durante su maduración
Ciencia y Tecnología Agropecuaria, vol. 19, núm. 1, 2018
Corporación Colombiana de Investigación Agropecuaria
Recepción: 16 Septiembre 2016
Aprobación: 05 Octubre 2017
Resumen: El mercado de la fresa en el departamento de Cundinamarca (Colombia) se rige principalmente por el tamaño del fruto, sin valorar su estado de maduración ni su calidad nutricional, desaprovechando su potencial organoléptico y nutritivo. Por esta razón, se determinaron las diferencias fisicoquímicas en frutos de siete variedades de fresa: Albión, Dulce Ana, Lucía, Monterrey, Ruby June, Sabrina y Ventana, cultivadas en el municipio de Sibaté, Cundinamarca. Se analizaron frutos recolectados en un predio productivo en condiciones homogéneas de manejo, en seis estados de madurez, determinados por su grado de pigmentación roja, de acuerdo con la Norma Técnica Colombiana NTC 4103. Se evaluaron peso fresco, tamaño, color, firmeza, sólidos solubles totales, acidez total titulable, e índices de madurez y de respiración. En los estados 4, 2 y 3, los frutos desarrollaron su mayor tamaño y peso, y se destacó la variedad Dulce Ana. Los valores más altos en el índice de color se encontraron en el estado de madurez 5, en especial en la variedad Ventana. Las mayores firmezas se registraron en los estados 4 y 5 en Monterrey y Ventana. Sabrina, Dulce Ana y Monterrey acumularon la mayor concentración de sólidos solubles totales, y las dos últimas mostraron la mejor relación de madurez. Las tasas de respiración aumentaron con la maduración, sobre todo a partir del estado 3. Los resultados sugieren que los puntos óptimos para la comercialización y el consumo son los estados 3 y 4, debido al mayor índice de madurez y peso del fruto. Entre las variedades estudiadas, Monterrey sobresale por sus mayores firmeza e índice de madurez.
Palabras clave: calidad de los alimentos, Cundinamarca (Colombia), Fragaria ananassa, madurez, propiedades fisicoquímicas.
Abstract: The strawberry market in Cundinamarca (Colombia) is mainly size driven with no consideration for its maturation state and nutritional quality, wasting therefore, its organoleptic and nutritional potential. For that reason, the physicochemical differences among seven strawberry varieties (Albión, Dulce Ana, Lucía, Monterrey, Ruby June, Sabrina and Ventana) cultivated in the municipality of Sibaté (Cundinamarca) were established. Fruits collected from a productive plot with homogeneous cultivation management conditions were analyzed in six maturity states, establishing the degree of red pigmentation according to the Colombian Standard NTC 4103. Fresh weight, size, color, firmness, total soluble solids (TSS), total titratable acidity (TTA), maturity and respiration indices were evaluated. Fruits in stages 4, 2 and 3 developed their largest size and weight, where the variety Dulce Ana stands out. The highest color index values were found in the maturity stage 5 in the variety Ventana. Moreover, the highest firmness values were recorded in stages 4 and 5 in the varieties Monterrey and Ventana. The varieties Sabrina, Dulce Ana and Monterrey accumulated the highest tss concentration and the last two showed the best maturity relations. Respiration rates increased with maturation, especially from stage 3. The results suggest that the optimum commercialization and consumption points are stages 3 and 4, namely because these stages exhibit the highest maturity index and fruit weight. Among the varieties studied, Monterrey stands out due to its firmness and maturity index.
Keywords: chemicophysical properties, Cundinamarca (Colombia), food quality, Fragaria ananassa, maturity.
Resumo: O mercado de morango em Cundinamarca (Colômbia) é governado principalmente pelo tamanho do fruto, sem dar valor o estado de maduração e qualidade nutricional do mesmo. Por esta razão, foram determinadas as diferencias físico químicas em frutos de sete variedades de morango (Albión, Dulce Anna, Lucia, Monterrey, Ruby June, Sabrina e Ventana) cultivadas no município de Sibaté, segundo produtor na Cundinamarca. Foram analisados frutos coletados numa propriedade produtiva com condições homogéneas de manejo, em seis estados de maduração determinados pelo grau de pigmentação vermelha de acordo à Norma Colombiana NTC 4103. Foi avaliado o peso fresco, tamanho, cor, firmeza, sólidos solúveis totais (SST), acidez total titulável (ATT), índices de maduração e de respiração. Nos estados 4, 3 e 2 os frutos desenvolveram seu maior tamanho e peso, destacando-se a variedade Dulce Anna. Os valores mais altos no índice de cor encontraram-se no estado de maduração 5, especialmente na variedade Ventana. Os valores mais altos de firmeza, nos estados 4 e 5, observaram-se para Ventana e Sabrina. As variedades Sabrina, Dulce Anna e Monterrey acumularam a maior concentração de SST, mostrando as duas últimas a melhor relação de maduração. As taxas de respiração aumentaram com a maduração, especialmente a partir do estado 3. Os resultados indicam que os melhores momentos de comercialização e consumo são os estados 3 e 4, devido ao maior índice de peso da fruta. Entre as variedades estudadas, Monterrey se destaca por apresentar maiores valores de firmeza e maturidade.
Palavras-chave: Cundinamarca (Colombia), Fragaria ananassa, maturidade, propriedade físico-química, qualidade do alimento.
Introducción
La fresa, Fragaria x ananassa Duch. (Rosaceae), es una fruta blanda de alto valor económico, a la que millones de personas incluyen en su dieta, gracias a sus propiedades organolépticas y a su contenido fitoquímico, ya que es una fuente sustancial de vitamina C, compuestos fenólicos y antioxidantes (Halvorsen et al., 2006; Hancock, 1999).
La fresa es muy deseable por su gusto y sabor únicos, y es una de las frutas más populares en el mundo. En el mercado internacional, el consumo promedio es de 3,9 kg/año/persona, incluyendo la fruta fresca y la procesada, aunque en Colombia el consumo es de solo 0,7 kg/año (Olmue Colombia, 2010).
Los consumidores compran esta fruta ante todo por su sabor agradable, pero en la actualidad el modelo nacional de comercialización de fresa para consumo en fresco distingue las categorías de los frutos solo con base en el tamaño. Estas categorías son arbitrarias, y no consideran el estado de madurez, el cual, en productos perecederos y no climatéricos, tiene una marcada influencia en la calidad y vida útil en almacenamiento. También afecta el manejo de la poscosecha, el transporte y el mercadeo, y es una variable crucial en la tecnología de poscosecha (Reid, 2002).
Entre los muchos factores que pueden afectar la calidad y el sabor de un producto, son especialmente importantes la madurez, la variedad, el riego y la fertilización (Kays, 1991). Los componentes de la calidad pueden ser sensoriales y nutricionales, lo que implica el uso de las características físicas y químicas del fruto para determinar la madurez óptima, por los cambios en estos parámetros y su correlación con la percepción de calidad del producto (Kays, 2004).
En el año 2014, Colombia produjo 43.778 t de fresa, con una participación del 52 % del departamento de Cundinamarca, que registró los rendimientos más altos del país: 40,41 t/ha. Los municipios de Chocontá, Sibaté, Guasca, Soacha y Facatativá tuvieron la mayor producción, que representó cerca del 90 % (Red de Información y Comunicación del Sector Agropecuario [Agronet], 2016). Estos altos rendimientos son posibles por una producción continua durante todo el año, con picos de cosecha que ocurren entre cada tres y cinco meses (Grijalba, Pérez-Trujillo, Ruiz, & Ferrucho, 2015; Hancock, 1999).
Realizar la cosecha en la etapa adecuada de madurez es esencial para una calidad óptima, en especial en frutos no climatéricos como la fresa. La tendencia creciente a una agricultura cada vez más abierta al comercio mundial y a la industrialización determina que las actividades agrícolas deben ser cada día más productivas y competitivas, generando productos de calidad, que satisfagan los requerimientos de los consumidores.
En este caso, uno de los factores que más limitan la agroindustria colombiana de la fresa es la imposibilidad de localizar productores que cumplan con los requerimientos industriales en lo que respecta a la uniformidad, la madurez y la sanidad de los frutos (Ruiz & Piedrahíta, 2012).
En la actualidad, las variedades de fresa que más se cultivan en Cundinamarca son Monterrey y Albión. Sin embargo, se carece de suficientes análisis de calidad en los que se recomiende un punto de cosecha óptimo, en función de la concentración de compuestos y enfocado en la aceptación del consumidor.
En parte, lo anterior se debe a que la comercialización no se rige por la Norma Técnica Colombiana (NTC) 4103, una reglamentación obsoleta que requiere actualizaciones. Además, el mercado de la fresa es poco especializado y carece de planificación para sectores como la exportación y la industrialización.
Por lo expuesto hasta el momento, el objetivo del presente estudio consistió en determinar la calidad de los frutos de fresa en diferentes estados de madurez en siete variedades promisorias en Colombia, con el fin de contribuir al desarrollo de herramientas prácticas que permitan especificar el momento óptimo de cosecha, así como estimular el desarrollo de futuros estudios, relacionados con la selección de variedades con fines industriales y de exportación.
Materiales y métodos
Material vegetal
El material vegetal de las siete variedades de fresa (Albión, Monterrey, Lucía, Dulce Ana, Sabrina, Ventana & Ruby June), en diferentes estados de madurez, provino de la finca El Porvenir, ubicada en la vereda San Miguel, en el municipio de Sibaté, Cundinamarca, a 04°26′43″ N, 74°17′43,9″ O, a una altitud de 2.663 m s. n. m., con una temperatura promedio de 13 °C y una precipitación promedio anual de 850 mm.
Las plantas se sembraron en un marco de plantación de 0,3 m entre ellas, a tres bolillos. En el momento en el que se realizaron las mediciones, llevaban 42 semanas sembradas. El manejo agronómico fue homogéneo para todas las variedades, de acuerdo con lo establecido para esta región.
El cultivo se instaló en campo abierto, en camas de suelo de 45 m de largo y 1 m de ancho, cubiertas por una película de polietileno de color negro, tricapa, liso, de calibre 1,2. El riego y el fertirriego se realizaron a través de un sistema de goteo. Además, se aplicaron fertilizantes foliares, con el fin de complementar la nutrición del cultivo.
Para cada cultivar, se seleccionaron frutos cosechados de las categorías A (≥ 34 mm, 21,8 g en promedio) y B (30 a 33 mm, 16,1 g en promedio) —por peso y diámetro, según la ntc 4103 (Instituto Colombiano de Normas Técnicas y Certificación [Icontec], 1997)—, que equivalen a categorías comerciales “de segunda” y “de tercera”, y que corresponden a las características de fruto encontradas con mayor frecuencia en el mercado.
El estado de madurez de los diferentes frutos se determinó a partir de la proporción pigmentada de su epidermis, en una escala de 0 (color verde pálido) a 5 (100 % de color rojo intenso) (Icontec, 1997).
Las muestras de cada estado por variedad tuvieron un peso aproximado de 0,6 kg (±25 frutos). El mismo día en que se cosechó, el material vegetal se transportó, a una temperatura estable de 17 °C, al Laboratorio de Poscosecha y Control de Calidad de Granos y Semillas del Departamento de Ingeniería Civil y Agrícola de la Universidad Nacional de Colombia, en Bogotá.
Dimensiones
El diámetro del fruto, que corresponde a la máxima longitud perpendicular a la altura, se midió en centímetros, con un calibrador convencional; y el peso fresco de los frutos mediante una balanza analítica Precisa modelo XT-220A (0,0001 g) [Dietikon, Suiza], siguiendo la metodología de Herrera (2010).
Color
El color se determinó utilizando un colorímetro Minolta, modelo CR-400 [Tokio, Japón], en modo CIELab, sobre cinco puntos en el ecuador de la superficie de la fresa, midiendo las coordenadas l*, a* y b* de cinco frutos, por estado y variedad. Además, se calculó el índice de coloración (IC), con la ecuación usada por Vignoni, Césari, Forte y Mirábile (2006).
Un valor IC* negativo (-40 a -20) va del azul violeta al verde profundo; si este valor va de -20 a -2, se encuentra entre un verde profundo y uno amarillento; por otra parte, el IC* positivo se asocia a colores que van desde el naranja suave hasta el rojo profundo.

Firmeza
Para medir la firmeza, siguiendo la metodología de Herrera (2010), se obtuvo el valor correspondiente a la carga pico (peak load), que representa la carga soportada por los frutos en gramos, mediante el analizador de textura Brookfield, modelo CT3-4500 [Massachusetts, EE. UU.], ajustado a una sensibilidad de lectura de 0,5 g, y una penetración en el fruto de 5 mm, utilizando la punta Magness Taylor con un diámetro de 2 mm, a una velocidad de 1 mm/s (recomendada en el manual del fabricante para este tipo de frutos). La medición se hizo en cinco fresas de cada variedad y estado de madurez, sobre el punto medio de los frutos.
Respiración
Se pesaron 100 g de frutos de la misma variedad y estado de madurez, y se midió la intensidad respiratoria de tres repeticiones, siguiendo la metodología de Herrera (2010), y utilizando una cámara de respiración modelo Biochamber 2000 Vernier [Beaverton, EE. UU.], durante 15 minutos, a 22 °C. Se determinó la concentración de CO2 mediante de un sensor modelo CO2-BTA Vernier en un Labquest modelo LQ2-LE Vernier, y el resultado se expresó en mg de CO2/kg/h.
Pruebas químicas
Se prepararon tres repeticiones de extracto de frutos (20 ml de macerado de fresa) para cada uno de los seis estados de madurez y cada una de las siete variedades. Las mediciones de cada extracto consistieron en analizar los sólidos solubles totales (SST) mediante el refractómetro análogo Kikuchi [Tokio, Japón], con un rango de lectura en grados Brix que se encuentra entre 0 y 32 °Bx.
El pH y la acidez total titulable (ATT), correspondiente al ácido cítrico, se midieron con el titulador digital si Analytics, modelo TitroLine® 6000 tm 235, NaOH 1N, y el potenciómetro IOLine Schott Instruments [Mainz, Alemania], analizando una solución compuesta de agua destilada y extracto de fruta en relación de peso 1:1. La fórmula aplicada para el cálculo de la acidez titulable siguió la metodología de Nielsen (2009), y la relación de madurez se estableció como el cociente entre el valor de los SST y la ATT.
Análisis de datos
Para cada medición se realizaron tres repeticiones por estado de madurez y variedad, y los datos obtenidos de las variables mencionadas se procesaron y analizaron con el programa SAS®, versión 9.3. Se realizó un análisis de varianza de dos vías, en el que los estados de madurez y las variedades fueron los componentes de variación.
Se hicieron contrastes ortogonales con la prueba de Duncan, con un 95 % de confiabilidad, mediante la comparación de medias y agrupaciones generadas por diferencias significativas, comparando todas las variedades en cada estado de madurez, para cada una de las variables.
Resultados y discusión
En el ámbito comercial en Colombia, se otorga valor a la fresa con base en los parámetros de diámetro y peso del fruto, debido a la practicidad de esta medición. Sin embargo, este criterio desestima las cualidades organolépticas nutricionales y las demás propiedades fisicoquímicas (color, firmeza, respiración, SST y ATT) de los frutos en diferentes variedades y estados de madurez, aunque dichas características se han estudiado en otras variedades (Nunes, Brecht, Morais, & Sargent, 2006).
Diámetro y peso fresco del fruto
De acuerdo con los diferentes estados de madurez, el comportamiento del diámetro y el peso fresco del fruto mostró diferencias significativas (figura 1) en todas las variedades. Los tamaños más grandes corresponden a los estados de madurez 4 (3,51 cm), 2 (3,37 cm) y 3 (3,34 cm), y los menores a los estados 1 (3,14 cm), 5 (3,06 cm) y 0 (2,95 cm). El peso fresco presentó un resultado similar (figura 1b) en las fases 2, 4 y 3, con los mayores pesos (21,48; 21,25 y 20,68 g, respectivamente), frente a los estados 1 (17,76 g), 5 (16,71 g) y 0 (14,63 g).

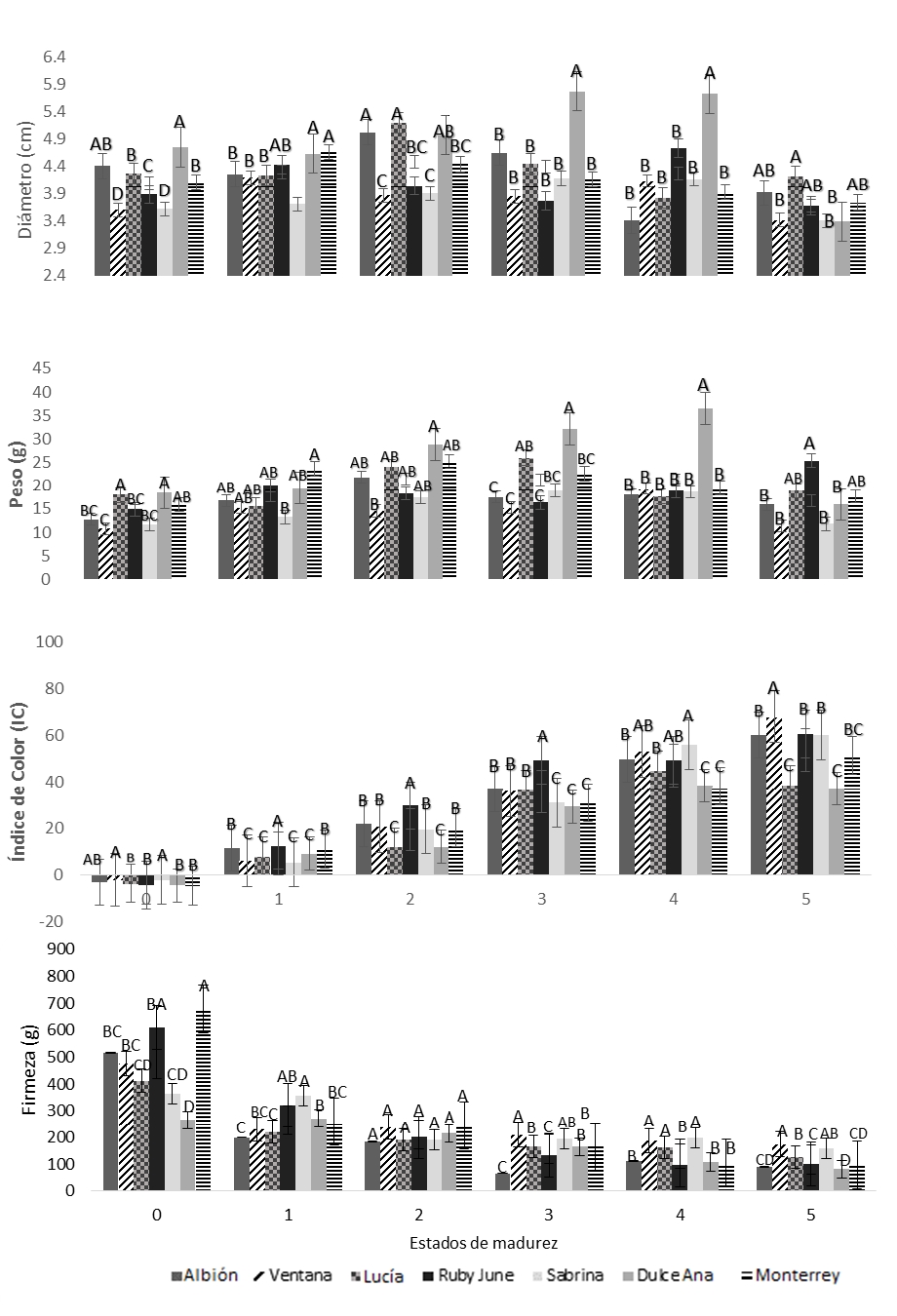
a. Diámetro (cm); b. Peso (g); c. Índice de color (IC); d. Firmeza (g). Las letras sobre las barras indican las diferencias estadísticas, según la prueba de Duncan (p ≤ 0,05).
Fuente: Elaboración propiaCuando se comparó el diámetro de las siete variedades evaluadas (figura 1a), Dulce Ana (3,48 cm) y Ruby June (3,45 cm) presentaron el mayor tamaño, mostrando diferencias significativas (p < 0,001) frente a las demás. Les siguieron Lucía, Monterrey y Albión, con promedios de 3,25, 3,0 y 3,12 cm, respectivamente. Ventana (3,01 cm) y Sabrina (2,90 cm) mostraron ser significativamente más pequeñas que el resto de las variedades.
En cuanto al peso fresco (figura 1b), los resultados mostraron en gran medida la misma tendencia que en el diámetro, pero con diferencias significativas y los mayores valores en Dulce Ana (25,22 g), en comparación con la variedad Ventana (con apenas 14,44 g) (p = 0,0007). Dulce Ana presentó los frutos más pesados en todos los estados de madurez, a excepción del 5, en el que su peso fresco fue significativamente menor al de Ruby June, mientras Ventana presentó de manera consistente valores menores en todos los estados de madurez.
El tamaño y el peso de los frutos dependen de factores endógenos, como la genética de las variedades, y exógenos, como el clima y el manejo agronómico del cultivo (Fischer, Ramírez, & Almanza-Merchán, 2012). Al ser el clima y el manejo de las plantas los mismos en este estudio, es probable que el factor varietal haya sido uno de los más influyentes en estas diferencias de las dimensiones de los frutos (Fischer, Almanza-Merchán, & Ramírez, 2012).
Hancock (1999) afirma que el tamaño final de la fresa depende solo entre un 15 % y un 20 % de la división celular, que ocurre sobre todo antes de la antesis, y de un 80 % a un 85 % del alargamiento celular, para el cual el suministro de agua y nutrientes, en especial el potasio, es de suma importancia (Fischer, Ramírez et al., 2012).
En estado de plena madurez (5) se notó la reducción del tamaño y el peso, en paralelo con la disminución de la firmeza (figura 1d) y el aumento de la respiración (figura 5), ante todo en la variedad Dulce Ana. Rahmann, Moniruzzaman, Ahmad, Sarker y Alam (2016) también encontraron este resultado en variedades de fresa al comparar los estados 2, 3 y el completamente maduro.
Índice de respiración

Promedios con letras distintas para cada estado de madurez indican una diferencia significativa, según la prueba de Duncan (p ≤ 0,05).
Fuente: Elaboración propiaColor del fruto
Durante el desarrollo y la maduración del fruto ocurren muchos cambios en su pigmentación; algunos pueden continuar después de la cosecha y no siempre son deseados. En el caso de la fresa, el desarrollo de antocianinas es deseable, pero estos compuestos hidrosolubles son inestables y se degradan con facilidad (Kader, 2002).
El color es una propiedad de referencia fácilmente identificable para determinar el estado de madurez de la fresa, y presenta una relación directa con el índice de madurez. El índice de color (IC) depende de la coloración de la epidermis de la fruta, que permite seguir la evolución de la maduración. Según Vignoni et al. (2006), en el caso del estado de madurez 0 hay una coloración verde en todas las variedades (figura 1c), entre las que se destacan Dulce Ana (-5,07) y Monterrey (-5,58), por presentar frutos especialmente verdes.
Si el valor del IC se encuentra entre -2 y 2, se relaciona con un color amarillo verdoso, mientras que, si está entre 2 y 20, se asocia con colores que van desde el amarillo pálido hasta el naranja intenso, como en el caso de los estados 1 y 2 en todas las variedades, a excepción de Monterrey (26,26), que presentó un color rojo en estos estados.
Por otra parte, si el IC se encuentra entre 20 y 40, se vincula con colores que van desde el rojo intenso hasta el rojo profundo, correspondiente a los estados de maduración entre 3 y 5 en todas las variedades, y, entre ellas, Ventana tiene los frutos con un color rojo de mayor intensidad y, por consiguiente, con una mayor acumulación de pigmentos y antocianinas: 68,2, en estado de madurez 5 (Nunes et al., 2006).
Esta diferencia varietal es influenciada por distintas concentraciones de cianidina-3-glucósido, que dan al fruto el color rojo-anaranjado (magenta y carmesí), y la pelargonidina, que otorga los colores naranja, rosado y rojo (Mazza & Miniati, 1993). Por consiguiente, la diversidad de color entre las variedades y estados de maduración de la fresa se debe a las distintas concentraciones de estos dos pigmentos.
Firmeza
La firmeza o textura son propiedades que afectan considerablemente los hábitos de consumo y almacenamiento de los frutos (Priya, Prabha, & Tharanathan, 1996), y hoy en día son utilizadas como parámetro para el mejoramiento de los manejos y el seguimiento de la calidad poscosecha de los productos (Herrera, 2010).
Al evaluar la firmeza en los distintos estados de madurez, se presentó una tendencia que muestra una mayor resistencia en un estado menor (figura 1d), y se encontraron diferencias significativas en cada uno de los estados (p < 0,0001), siendo el 0 el de mayor resistencia, con un valor medio de 474,0 g, y el 5 el que presenta la menor, con una media de 117,3 g.
La pérdida de firmeza está asociada a la degradación de los componentes de las paredes celulares (celulosa y pectina), que se incrementa con la respiración y el estado de madurez de los frutos, mediante la acción de las enzimas celulasa, pectinmetilesterasa y pectinasa (Paliyath, Murr, Handa, & Lurie, 2008), lo que explica la pérdida paulatina de material en las paredes celulares del tejido cortical, a causa de la maduración del fruto, que ocurre tanto en la que sucede en campo como durante el almacenamiento (Koh & Melton, 2002).
Nunes (2008) expone que la fragilidad característica de las células de frutos de fresas maduras obedece en parte a que adoptan una estructura alargada, con delgadas paredes celulares, lo que explica lo observado en las tendencias opuestas de las variables de firmeza (decreciente) y respiración (creciente), a medida que aumenta el estado de madurez de los frutos.
Este comportamiento se observó en todas las variedades, debido a que el proceso de maduración requiere la inversión de energía y compuestos carbonados de los frutos para la síntesis de pigmentos y proteínas, proceso que se da a partir de la respiración (Seymour, Taylor, & Tucker, 1993).
Ménager, Jost y Aubert (2004) encontraron que la firmeza de las fresas decrece rápidamente desde su estado de color blanco (0) hasta que presentan la mitad de la coloración (3), punto en el cual la variable se estabiliza, hasta el punto de completa madurez. Así mismo, se reporta que la firmeza en el estado 3 es por lo menos un 20 % mayor que en el punto de maduración total (Forney, Kalt, McDonald, & Jordan, 1998; Ménager et al., 2004; Nunes et al., 2006).
Los datos obtenidos muestran diferencias significativas (p = 0,019) entre las variedades en todos sus estados de madurez, pero fue claramente inferior el valor de Dulce Ana (183,0 g), frente a los de Monterrey (257,5g), Ventana (253,0 g), Sabrina (243,7 g), Ruby June (242,3 g), Albión (213,6 g) y Lucía (212,7 g).
Las mayores diferencias en las variedades se expresan en los estados tempranos de madurez, manteniéndose la tendencia de Monterrey como la más firme y Dulce Ana como la de menor firmeza; sin embargo, Ventana presentó los mayores valores durante los últimos tres estados de madurez: 210,6 g, 187,8 g y 173,6 g, respectivamente.
En la patente de la variedad Albión, Shaw y Larson (2006) reportaron una firmeza de 0,93 lb en 3 mm2 en estado de madurez 5, es decir, 281,2 g, un valor significativamente superior a los encontrados en el presente ensayo para todas las variedades. A su vez, Haig (2013) describe que Lucía tiene una firmeza superior a la de Dulce Ana, en resultados obtenidos para los estados 0, 3, 4 y 5.
Shaw y Larson (2009) reportan valores de firmeza iguales en Albión y Monterrey, lo que concuerda con lo observado en los estados del 1 al 5, en los que estas dos variedades no mostraron diferencias significativas. Por otro lado, cuando se compararon Sabrina y Ventana con la variedad Camarosa, diferentes estudios de Pierron (2012) y de Larson y Shaw (2003) mostraron una firmeza superior en Ventana, lo que concuerda con los resultados de este estudio.
Por otra parte, Xie et al. (2016) irradiaron plantas en producción con UV-C (280-190 nm) en Canadá, y encontraron frutos de mayor firmeza en la variedad Albión, un resultado interesante, teniendo en cuenta que en la altitud de Sibaté (2.663 m s. n. m.) existen también altos niveles de la radiación ultravioleta, que podrían fomentar la firmeza de las fresas.
Sólidos solubles totales
Los sólidos solubles totales (SST) mostraron diferencias significativas en todos los estados de madurez y en todas las variedades (p = 0,0004 y p = 0,002), respectivamente (figura 2). Los frutos en estado de madurez 0 mostraron un valor menor que en los demás estados, seguido por el estado 1 que, si bien mostró una media significativamente mayor, también presentó una amplia varianza.

Promedios con letras distintas para cada estado de madurez indican una diferencia significativa, según la prueba de Duncan (p ≤ 0,05).
Fuente: Elaboración propiaSegún Ménager et al. (2004), Nunes et al. (2006) y Salamat, Ghassemzadeh, Heris y Hajilou (2013), los sólidos solubles de la fresa tienden a incrementarse durante la maduración del fruto en planta, lo que coincide con los resultados obtenidos en todos los estados de madurez, en los cuales, por lo general y como lo muestra la línea de tendencia (figura 2), los mayores SST se registraron en los estados 3, 4 y 5.
Ogiwara, Habutsu, Hakoda y Shimura (1998) han reportado diversidad en el contenido de SST entre las variedades, principalmente por las distintas concentraciones de azúcares que se acumulan en el fruto desde el inicio de la maduración, pero no en sus estados anteriores de desarrollo, lo cual podría explicar la diferencia significativa encontrada en el contenido de SST de la madurez 0 frente a los demás estados.
Los SST de las variedades mostraron diferencias significativas (p = 0,002) (figura 2), y los mayores valores correspondieron a Monterrey, Sabrina, Ventana y Albión. Sabrina logró la mayor acumulación de SST en la madurez completa del fruto (5), y Dulce Ana presentó la menor concentración, debido a su bajo contenido inicial de SST (en los estados de madurez 0, 1, 2 y 3); sin embargo, fue la variedad que presentó la mayor tasa de acumulación durante todo el desarrollo del fruto.
Nunes, Morais, Brecht y Sargent (2002) midieron un contenido de SST significativamente mayor en frutos de fresas en estado 5 de madurez frente al que se encontró en estado 3. Los resultados del presente estudio concuerdan con los registrados por Pineli et al. (2011), quienes en fresas en estado 5 encontraron niveles de SST de 7,9 y 6,3 °Bx, y valores de 7,5 y 7,1 °Bx para frutos en estado 4, en las variedades Oso Grande y Camino Real, respectivamente. También coinciden con los resultados reportados por Goulas y Manganaris (2011) y Kader (1991).
Shaw y Larson (2006) encontraron en la variedad Albión una concentración de SST de 11,2 °Bx, Bagdasarian (2012) de 12,1 °Bx en Dulce Ana, y Pierron (2012) de 6,9 °Bx en Sabrina. Por lo general, los autores adhieren a lo expuesto por Wang (2007): que las diferencias entre las distintas variedades en el contenido de SST pueden deberse a factores genéticos, que desempeñan un rol importante en la composición de los frutos tipo baya.
Acidez total titulable (ATT)
Los valores de ATT obtenidos en los diversos estados de madurez solo mostraron diferencias significativas en lo que se refiere al estado 0 (figura 3), además de una relación inversa entre el aumento de la madurez del fruto y el porcentaje de ácido presente en el mismo. Según Paliyath et al. (2008), las principales moléculas presentes en las frutas durante su fase de llenado, y antes del inicio de la maduración, son los ácidos orgánicos.

Promedios con letras distintas para cada estado de madurez indican una diferencia significativa, según la prueba de Duncan (p ≤ 0,05).
Fuente: Elaboración propiaEn el caso de la fresa, el principal es el ácido cítrico, que muestra una concentración máxima en los estados más verdes del fruto, y que disminuye a medida que se produce una ganancia de SST, por su conversión en azúcares (Wills, McGlasson, Graham, & Joyce, 2007).
En estudios previos realizados en fresas de la variedad Selva, Vicente, Martínez, Civello y Chaves (2002) observaron una disminución en la ATT, conforme a los resultados reportados para otras frutas, como manzana, durazno, uva y tomate. Estos cambios son el resultado del uso de los ácidos orgánicos como sustrato para el proceso de respiración (Wills et al., 2007).
Las variedades Sabrina y Ventana acumularon los mayores contenidos de ATT, con disparidades significativas respecto a las demás. Sabrina mostró valores superiores de acidez del estado 2 al 5, mientras que Dulce Ana presentó el menor contenido y diferencias significativas por debajo de las otras variedades (figura 3).
Cabe destacar que, aunque la mayoría de las variedades mostraron un comportamiento descendente del porcentaje de acidez con el incremento de la maduración, Dulce Ana no presentó esta tendencia, lo que coincide con lo afirmado por Skupién (2003), ya que la acidez es una característica que depende de la variedad, las condiciones climáticas y los factores agronómicos. Kallio, Hakala, Pelkkikangas y Lapveteläinen (2000) reportaron que el contenido de ácidos orgánicos en la fresa no suele superar el 3 %, y la acidez total del fruto se basa en el contenido de ácido cítrico y citratos.
Los resultados de este estudio concuerdan con los reportados por Forney et al. (1998), Moing et al. (2001), Nunes et al. (2006) y Sturm, Koron y Stampar (2003), quienes encontraron que la acidez se incrementa ligeramente en frutos verdes, y después disminuye con rapidez en estados posteriores de madurez.
Además, las diferencias de ATT registradas entre las variedades concuerdan con lo expuesto por Kafkas, Koşar, Paydaş, Kafkas y Başer (2007) y Morvai, Molnár-Perl y Knausz (1991), quienes registraron variaciones significativas en la acidez titulable de diferentes germoplasmas, y suponen que estas desigualdades entre variedades pueden ser causadas por las diversas concentraciones de ácido cítrico de cada una, lo que puede deberse a las diferencias en la síntesis o la capacidad de almacenamiento vacuolar durante la maduración del fruto.
Relación de madurez
El agradable sabor de la fresa está relacionado con la proporción de azúcares y ácidos orgánicos (Perkins‐Veazie, 1995; Shaw, 1988), que determina el momento óptimo de cosecha, ya que es considerada un índice de calidad (Cordenunsi, Oliveira do Nascimento, Genovese, & Lajolo, 2002).
Durante la maduración, los azúcares simples que contribuyen a la dulzura se incrementan, los ácidos orgánicos y fenoles que causan la acidez y la astringencia disminuyen, y aumentan los volátiles aromáticos que caracterizan el sabor y el aroma de la fresa (Salunkhe, Bolin, & Reddy, 1991).
La relación de madurez en los frutos estudiados presentó diferencias significativas entre los diversos estados (figura 4). Los mayores valores se alcanzaron en los estados 3, 5 y 4, en comparación con el estado 0, que obtuvo las menores cifras.

Promedios con letras distintas para cada estado de madurez indican una diferencia significativa, según la prueba de Duncan (p ≤ 0,05).
Fuente: Elaboración propiaAl analizar los datos comparando las variedades, se encontró que Monterrey y Ruby June lograron los mayores valores de relación de madurez. Sin embargo, en el estado de máxima madurez del fruto, Dulce Ana alcanzó la mayor relación. Se presentaron diferencias significativas en Sabrina, que consistentemente registró menores cifras durante los diversos estados de madurez.
Índice de respiración
Kader (2002) cataloga la fresa como un fruto con alta respiración, y lo relaciona con la tasa de deterioro del fruto cosechado. Este fruto se clasifica como no climatérico, ya que carece de un pico de respiración alto en su maduración, pero Wills et al. (2007) consideran que este concepto es arbitrario, teniendo en cuenta que por lo general la respiración de la fresa es alta.
Se encontraron diferencias significativas entre todos los estados de madurez, con una tendencia al incremento del índice de respiración a medida que avanza la maduración (figura 5). La mayor similitud entre los promedios de esta variable se encontró en los estados 3 y 4. Con el aumento de la maduración, el índice de respiración mostró una tendencia inversa a la observada para la variable de firmeza.
Entre las variedades examinadas se encontraron disparidades importantes: los mayores valores del índice de respiración se registraron en Ruby June (284,9 mg CO2 kg/h) y Lucía (276,9 mg CO2 kg/h), durante los estados de madurez 3 y 4; en comparación con las de menor respiración, Dulce Ana (157,5 mg CO2 kg/h) y Ventana (155,4 mg CO2 kg/h), que tuvieron las menores tasas (figura 5). Aun así, los mayores picos de respiración de Ventana se encontraron en los primeros estados de madurez, 0 y 1.
Los resultados encontrados para la variable de respiración en este ensayo (150 a 450 mg CO2 kg/h entre los estados 4 y 5) fueron superiores al rango reportado por Kader (1999), quien registró tasas de respiración en fresa de entre 100 y 200 mg CO2 kg/h. Tales valores solo concuerdan con los obtenidos en los estados de madurez más avanzados en las variedades Monterrey y Ventana. No obstante, las tasas respiratorias de las fresas evaluadas corresponden a valores que se encuentran dentro de los rangos de alta respiración, reportados por Kader (2002) y Herrera (2010).
Conclusiones
Se encontraron diferencias significativas en variables químicas y físicas evaluadas en fresas provenientes del municipio de Sibaté, de las siete variedades seleccionadas en la región. Las mayores dimensiones y pesos que alcanzaron los frutos en todas ellas se encontraron en los estados 4 y 3, en especial en Dulce Ana.
Dichos estados y variedad resultan de mayor interés para el productor, ya que, con los criterios actuales del mercado, estas son las principales características para considerar un producto como de primera categoría.
Las mejores características fisicoquímicas se registraron en los estados de madurez 4 y 5, en todas las variedades, mostrando su mayor potencial organoléptico y nutricional. Los valores más deseables en cuanto a color (índice de color) se encontraron en el estado 5, sobre todo en Ventana, seguida de Albión, Ruby June y Sabrina.
Sin embargo, esta cualidad, que por lo general se usa como criterio de cosecha, no corresponde al punto en el que los frutos exponen sus mayores pesos, y, dado que la comercialización se basa en este último factor, la variable del color no es la característica más apropiada para la elección de un punto de cosecha adecuado para la fresa.
Los valores más altos de firmeza, en todos los estados de madurez, se observaron en las variedades Ventana y Sabrina, lo que, dada su mayor resistencia mecánica, les otorga un alto potencial de mantener características aceptables durante su transporte y poscosecha, así como una mayor vida en anaquel, aspecto en el que se puede destacar ante todo Ventana, que posee también el menor índice de respiración entre las variedades, lo que le otorga buenas condiciones para mercados de exportación o que requieran un transporte prolongado.
Sabrina, Dulce Ana y Monterrey mantuvieron la concentración más alta de sólidos solubles totales, y las dos últimas mostraron la mejor relación de madurez (SST/ATT), por lo tanto, un mejor sabor y potencial para su uso en consumo fresco y en la industria de alimentos.
Es necesario realizar mediciones y estudios similares adaptados a las zonas productoras colombianas, dado que muestran condiciones agroecológicas particulares que potencian atributos específicos de cada variedad, tanto en campo como en poscosecha.
Descargos de responsabilidad
Este estudio fue financiado por el Corredor Tecnológico Agroindustrial de Bogotá y Cundinamarca. Los autores están de acuerdo con la publicación del presente artículo y declaran que no existe ningún conflicto de interés.
Agradecimientos
Los autores agradecen al Corredor Tecnológico Agroindustrial y a los ingenieros agrónomos Yorlady Criollo, Edna Alayón y Sixto J. Sandoval, por su colaboración en el desarrollo de la investigación.
Referencias
Bagdasarian J. H. (2012). Patente EE. UU. No. PP22, 472 P3. Washington, DC, EE. UU.: Oficina de Patentes y Marcas de EE. UU.
Cordenunsi, B. R., Oliveira do Nascimento, J. R., Genovese, M. I., & Lajolo, F. M. (2002). Influence of cultivar on quality parameters and chemical composition of strawberry fruits grown in Brazil. Journal of Agricultural and Food Chemistry, 50(9), 2581-2586.
Fischer, G., Almanza-Merchán, P. J., & Ramírez, F. (2012). Source-sink relationships in fruit species. A review. Revista Colombiana de Ciencias Hortícolas, 6(2), 238-253.
Fischer, G., Ramírez, F., & Almanza-Merchán, P. J. (2012). Inducción floral, floración y desarrollo del fruto. En G. Fischer (Ed.). Manual para el cultivo de frutales en el trópico (pp. 120-140). Bogotá, Colombia: Produmedios.
Forney, C. F., Kalt, W., McDonald, J. E., & Jordan, M. A. (1998). Changes in strawberry fruit quality during ripening on and off the plant. Acta Horticulturae, 464, 506.
Goulas, V., & Manganaris, G. A. (2011). The effect of postharvest ripening on strawberry bioactive composition and antioxidant potential. Journal of the Science of Food and Agriculture, 91(10), 1907-1914.
Grijalba, C. M., Pérez-Trujillo, M. M., Ruiz, D., & Ferrucho, A. M. (2015). Strawberry yields with high-tunnel and open-field cultivations and the relationship with vegetative and reproductive plant characteristics. Agronomía Colombiana, 33(2), 147-154.
Haig, B. J. (2013). Solicitud de patente EE. UU. N.º 20150128318. Strawberry plant named ‘Lucia’. Washington, DC, EE. UU.: Oficina de Patentes y Marcas de EE. UU.
Halvorsen, B. L., Carlsen, M. H., Phillips, K. M., Bøhn, S. K., Holte, K., Jacobs, D. R., & Blomhoff, R. (2006). Content of redox-active compounds (ie. antioxidants) in foods consumed in the United States. The American Journal of Clinical Nutrition, 84(1), 95-135.
Hancock, J. F. (1999). Strawberries. Wallingford, Reino Unido: Centre for Agriculture and Bioscience International (CABI).
Herrera, A. A. (2010). Poscosecha de perecederos: prácticas de laboratorio. Bogotá, Colombia: Universidad Nacional de Colombia.
Instituto Colombiano de Normas Técnicas y Certificación (Icontec). (1997). Frutas frescas. Fresa variedad Chandler. Especificaciones. Norma Técnica Colombiana ntc 4103. Bogotá, Colombia: Icontec.
Kader, A. A. (1991). Quality and its maintenance in relation to postharvest physiology of strawberry. En A. Dale & J. J. Luby (Eds.). The Strawberry into the 21st (pp. 145-152). Portland, EE. UU.: Timber Press.
Kader, A. A. (1999). Fruit maturity, ripening, and quality relationships. Acta Horticulturae, 485, 203-208.
Kader, A. A. (2002). Postharvest biology and technology: an overview. En A. A. Kader (Ed.). Postharvest technology of horticultural crops (3a ed., pp. 39-47). Oakland, EE. UU.: University of California.
Kafkas, E., Koşar, M., Paydaş, S., Kafkas, S., & Başer, K. H. C. (2007). Quality characteristics of strawberry genotypes at different maturation stages. Food Chemistry, 100(3), 1229-1236.
Kallio, H., Hakala, M., Pelkkikangas, A. M., & Lapveteläinen, A. (2000). Sugars and acids of strawberries varieties. European Food Research and Technology, 212(1), 81-85.
Kays, S. J. (1991). Postharvest physiology of perishable plant products. Nueva York, EE. UU.: Van Nostrand Reinhold.
Kays, S. J. (2004). Postharvest biology. Athens, EE. UU.: Exon Press.
Koh, T. H., & Melton, L. D. (2002). Ripening-related changes in cell wall polysaccharides of strawberry cortical and pith tissues. Postharvest Biology and Technology, 26(1), 23-33.
Larson, K. D., & Shaw, D. V. (2003). Patente EE. UU. N.º PP13, 469 P3. Strawberry plant named ‘Ventana’. Washington, DC, EE. UU.: Oficina de Patentes y Marcas de EE. UU.
Mazza, G., & Miniati, E. (1993). Anthocyanins in fruits, vegetables and grains. Boca Raton, EE. UU.: crc Press.
Ménager, I., Jost, M., & Aubert, C. (2004). Changes in physicochemical characteristics and volatile constituents of strawberry (cv. Cigaline) during maturation. Journal of Agricultural and Food Chemistry, 52(5), 1248-1254.
Moing, A., Renaud, C., Gaudillère, M., Raymond, P., Roudeillac, P., & Denoyes-Rothan, B. (2001). Biochemical changes during fruit development of four strawberry cultivars. Journal of the American Society for Horticultural Science, 126(4), 394-403.
Morvai, M., Molnár-Perl, I., & Knausz, D. (1991). Simultaneous gas-liquid chromatographic determination of sugars and organic acids as trimethylsilyl derivatives in vegetables and strawberries. Journal of Chromatography A, 552, 337-344.
Nielsen, S. S. (2009). Food analysis laboratory manual (2a ed.). Nueva York, EE. UU.: Springer.
Nunes, M. C. N. (2008). Soft fruits and berries. En M. C. N. Nunes (Ed.). Color atlas of postharvest quality of fruits and vegetables (pp. 175-185). Ames, EE. UU.: John Wiley and Sons.
Nunes, M. C. N., Morais, A. M., Brecht, J. K., & Sargent, S. A. (2002). Fruit maturity and storage temperature influence response of strawberry to controlled atmospheres. Journal of the American Society for Horticultural Science, 127(5), 836-842.
Nunes, M. C. N., Brecht, J. K., Morais, A. M., & Sargent, S. A. (2006). Physicochemical changes during strawberry development in the field compared with those that occur in harvested fruit during storage. Journal of the Science of Food and Agriculture, 86(2), 180-190.
Ogiwara, I., Habutsu, S., Hakoda, N., & Shimura, I. (1998). Soluble sugar content in fruit of nine wild and forty-one cultivated strawberries. Journal of the Japanese Society for Horticultural Science, 67(3), 406-412.
Olmue Colombia. (2010). Oportunidad frutícola de Colombia. Mango, piña y fresa [diapositivas de PowerPoint]. Recuperado de http://www.asohofrucol.com.co/archivos/biblioteca/biblioteca_184_Oportunidad%20Frut%C3%ADcola%20de%20Colombia.pdf
Paliyath, G., Murr, D. P., Handa, A. K., & Lurie, S. (2008). Postharvest biology and technology of fruits, vegetables, and flowers. Nueva York, EE. UU.: Wiley-Blackwell.
Perkins‐Veazie, P. (1995). Growth and ripening of strawberry fruit. Horticultural Reviews, 17, 267-297.
Pierron, D. A. (2012). Patente EE. UU. N.º PP22506 P3. Strawberry plant named ‘Sabrina’. Washington, DC, EE. UU.: Oficina de Patentes y Marcas de EE. UU.
Pineli, L., Moretti, C., Dos Santos, M., Campos, A., Brasileiro, A., Córdova, A., & Chiarello, M. (2011). Antioxidants and other chemical and physical characteristics of two strawberry cultivars at different ripeness stages. Journal of Food Composition and Analysis, 24(1), 11-16.
Priya, M., Prabha, N., & Tharanathan, N. (1996). Post-harvest biochemical changes associated with the softening phenomenon in Capsicum annuum fruits. Phytochemistry, 42(4), 961-966.
Rahman, M. M., Moniruzzaman, M., Ahmad, M. R., Sarker, B. C., & Alam, M. K. (2016). Maturity stages affect the postharvest quality and shelf-life of fruits of strawberry genotypes growing in subtropical regions. Journal of the Saudi Society of Agricultural Sciences, 15(1), 28-37.
Red de Información y Comunicación del Sector Agropecuario (Agronet). (2016). Producto: fresa [Base de datos]. Recuperado de http://www.agronet.gov.co/estadistica/Paginas/default.aspx.
Reid, M. S. (2002). Maturation and maturity indices. En A. A. Kader (Ed.). Postharvest technology of horticultural crops (3a ed., pp. 55-62). Oakland, EE. UU.: University of California.
Ruiz, R., & Piedrahíta, W. (2012). Fresa (Fragaria x ananassa). En G. Fischer (Ed.). Manual para el cultivo de frutales en el trópico (pp. 474-495). Bogotá, Colombia: Produmedios.
Salamat, R., Ghassemzadeh, H. R., Heris, S. S. S., & Hajilou, J. (2013). Determination of appropriate harvesting time for strawberry to enhance its flavor index and reduce bruising susceptibility. International Journal of Agronomy and Plant Production, 4(8), 1969-1977.
Salunkhe, D. K., Bolin, H. R., & Reddy, N. R. (1991). Storage, processing and nutritional quality of fresh fruits and vegetables: Vol. I. Fresh fruits and vegetables (2a ed.). Boca Raton, EE. UU.: crc Press.
Seymour, G., Taylor, J., & Tucker, G. (1993). Biochemistry of fruit ripening. Londres, Reino Unido: Chapman and Hall.
Shaw, D. V. (1988). Genotypic variation and genotypic correlations for sugars and organic acids of strawberries. Journal of the American Society for Horticultural Science, 113(5), 770-774.
Shaw, D. V., & Larson, K. D. (2006). Patente EE. UU. N.º PP16,228 P3. Strawberry named ‘Albion’. Washington, DC, EE. UU.: Oficina de Patentes y Marcas de EE. UU.
Shaw, D. V., & Larson, K. D. (2009). Patente EE. UU. N.º PP19,767 P2. Strawberry plant named ‘Monterey’. Washington, DC, EE. UU.: Oficina de Patentes y Marcas de EE. UU.
Skupień, K. (2003). Estimation of chosen quality traits of fresh and frozen fruit of six strawberry cultivars. Acta Scientiarum Polonorum Hortorum Cultus 2(2), 115-123.
Sturm, K., Koron, D., & Stampar, F. (2003). The composition of fruit of different strawberry varieties depending on maturity stage. Food Chemistry, 83(3), 417-422.
Vicente, A. R., Martínez, G. A., Civello, P. M., & Chaves, A. R. (2002). Quality of heat-treated strawberry fruit during refrigerated storage. Postharvest Biology and Technology, 25(1), 59-71.
Vignoni, L. A., Césari, R. M., Forte, M., & Mirábile, M. L. (2006). Determinación de índice de color en ajo picado. Información Tecnológica, 17(6), 63-67.
Wang S. Y. (2007). Antioxidant capacity and phenolic content of berry fruits as affected by genotype, preharvest conditions, maturity, and postharvest handling. En: Zhao Y. (Ed.). Berry fruit value-added products for health promotion (pp. 147-186). Boca Raton, EE.UU.: crc Press.
Wills, R., McGlasson, B., Graham, D., & Joyce, D. (2007). Postharvest: An introduction to the physiology and handling of fruit, vegetables and ornamentals (5a ed.). Wallingford, Reino Unido: Centre for Agriculture and Bioscience International (cabi).
Xie, Z., Fan, J., Charles, M. T., Charlebois, D., Khanizadeh, S., Rolland, … & Zhang, Z. (2016). Preharvest ultraviolet-C irradiation: Influence on physicochemical parameters associated with strawberry fruit quality. Plant Physiology and Biochemistry, 108, 337-343.
Notas de autor
* Autor de correspondencia. Universidad Nacional de Colombia, Carrera 30 No. 45-03, Facultad de Ciencias Agrarias, Edificio 500, Oficina 327, Bogotá, Colombia.
Información adicional
Para
citar este artículo: López-Valencia, D., Sánchez-Gómez, M., Acuña-Caita, J. F.,
& Fischer, G. (2018). Propiedades fisicoquímicas de siete variedades
destacadas de fresa (Fragaria x ananassa
Duch.) cultivadas en Cundinamarca (Colombia), durante su maduración. Corpoica Ciencia y Tecnología Agropecuaria, 19(1), XX-XX.