Ciencias Sociales, Humanidades y Artes
La Productividad de la Población Económicamente Activa (PEA) en México: Historia, Panorama Actual y Perspectiva
The Productivity of the Economically Active Population (EAP) in Mexico: History, Today’s Panorama and Perspective
La Productividad de la Población Económicamente Activa (PEA) en México: Historia, Panorama Actual y Perspectiva
Entreciencias: Diálogos en la Sociedad del Conocimiento, vol. 4, núm. 10, pp. 165-186, 2016
Universidad Nacional Autónoma de México

Recepción: 15 Febrero 2016
Aprobación: 06 Junio 2016
Resumen: El artículo da una perspectiva de la relación entre la población económicamente activa (pea) y el Producto Interno Bruto (pib) en México de 1895 a 2015, ya que la dimensión y estructura de aquélla inciden en éste; el objetivo es estimar la productividad laboral con los datos disponibles y plantear algunos ajustes para tener estimadores confiables. Hay cinco fases: la primera dimensiona la pea; la segunda la liga con el crecimiento económico; la tercera señala deficiencias en la medición de la pea; la cuarta es de prospectiva para pea, pib y ocupación; la quinta es de conclusiones y recomendaciones. Se infiere que la productividad crece hasta el inicio de los 1980, luego desciende en perspectiva conflictiva; a mediano y corto plazo se le estima estadísticamente con resultados congruentes; y se sugiere que la pea se mida en años de vida activa para tener una mejor estimación de la fuerza de trabajo.
Palabras clave: PEA, PIB, productividad laboral, evolución, perspectiva.
Abstract: This article outlines some aspects of the relationship between Economically Active Population (eap) and Gross Domestic Product (gdp) in Mexico from 1895 to 2015, since both size and structure of the former have an impact on the gdp; its purpose is to estimate the labor productivity with available data and some adjustments to obtain reliable estimators. There are five phases: The first describes the dimensions of the eap; the second analyzes its relation with the economic growth; the third describes deficiencies in measuring the eap; the fourth presents a prospective of eap, gdp and employment, and the fifth is for conclusions and recommendations. It is inferred that the labor productivity grew until the early 1980s, descending afterwards under a conflictive perspective; in the medium and short run, statistical estimates produce consistent results;, it is recommended the eap should be measured in active life years to obtain a better estimate of the labor force.
Keywords: EAP, GDP, labor productivity, evolution, perspective.
Introducción: conceptos y fuentes
El concepto de Población Económicamente Activa (pea) fue introducido por La Organización de las Naciones Unidas (onu) en 1958 en sus principios y recomendaciones relativos a los censos de población de 1960 como se especificó en su Centro Latinoamericano de Demografía (Elizaga y Mellon, 1971), “grupo constituido por todas las personas, de uno u otro sexo, que suministran la mano de obra disponible para la producción de bienes y servicios” (p. 19); producción que hoy se estima con el Producto Interno Bruto (pib) como especifican Samuelson y Nordhaus (2010), “El Producto Interno Bruto es el nombre que se asigna al valor total de los bienes y servicios finales producidos en un país durante un año” (p. 87).2 Por otro lado, la pea se orienta a producir, y por ende, es conveniente saber qué tan activa y productiva es.
La pea incluye personas con y sin ocupación; los grupos llamados de ocupación están conformados por quienes dependen de un empleador (De Buen, 2000, p. D6), también lo constituyen aquellas personas que trabajan por cuenta propia, como en el sector informal, por esta razón, en el año 2005, el inegi cambió el título de su Encuesta Nacional de Empleo (ene) a Encuesta Nacional de Ocupación y Empleo (enoe), cuyos datos consideran el empleo parte de la ocupación, que es el término usado en este artículo, por otro lado, la desocupación, incluye a quienes buscan un trabajo sin vincularse aún a una actividad productiva (ver glosario al final del artículo).
La pea en México se considera a partir de los 15 hasta los 64 años, cuya proporción, respecto a la población total, supera la resultante de sumar la de los otros grupos (de menos de quince y 65 años y más). A este fenómeno se le denomina bono demográfico de acuerdo con El Colegio de la Frontera Norte [El Colef] (2016).3
Los conceptos y métodos de estimación de pea y pib se ajustaron en la segunda mitad del siglo xx bajo la coordinación de la onu para mejorar su medición y comparabilidad; el de pea primero se denominó fuerza de trabajo y se estimó por primera vez en América en el censo de población de Estados Unidos de 1940 (Elizaga y Mellon, 1971, p. 21); en México en el censo de población de 1950 y ya como pea en el censo de población de 1960; antes de 1950 se le entreveía por sumar las cifras de las ocupaciones de campesinos ̶ oficios y profesiones principalmente ̶ . Por otra parte, el producto nacional ya se medía en el Porfiriato (1895-1910), como valor de la producción de las actividades agropecuarias, manufactureras, mineras y de comercio interior, según lo estimó El Colmex (s.f., pp. 51-145); después, el registro oficial adoptó los conceptos de Ingreso Nacional y Producto Nacional Bruto (pnb) hasta 1960 (Presidencia de la República, 1963, pp. 31-35), con estimaciones retroactivas a 1910; en 1974 aparece publicado el pib de 1972 y su medición retroactiva a 1950 por Nacional Financiera (1974, pp. 24-35), y con mayor precisión en el último tercio del siglo xx, en México y en otros muchos países, cambió su adjetivo de nacional a interno para que la contabilidad nacional considerara los crecientes flujos comerciales y financieros bajo la llamada globalización; en este artículo se adoptan las mediciones de pea y pib del Inegi, principal y respectivamente de los censos de población y del Sistema de Cuentas Nacionales de México (scnm) que el inegi ajustó para generar series de 1895 a 2015 en sus Estadísticas Históricas. Pero aunque la pea se denomine económicamente activa, rara vez se estima su actividad ligada a la producción: la productividad.
En efecto, rara vez se explica la relación pea-pib, aunque ambas esten implicadas. En México, a Urquidi (1974) le preocupó el asunto del empleo debido a la perspectiva de la pea, por otro lado, también a Trejo (1973), le preocupó la relación producción-empleo en la industria, ambos con horizonte hasta el año 1980, después Blecker (2010), señala el impacto de la apertura de la economía a nivel y composición del empleo, que trajo desigualdad salarial entre trabajadores calificados y no calificados.
La mayoría de las referencias consultadas, soslaya la relación directa entre pea y pib, el tema lo abordan para pea o pib; más no para la relación entre ambos, por ejemplo, en Chile, con la economía más dinámica de América Latina, Coloma (2001) se refiere al desafío del desempleo y, para reducirlo, propone capacitación y flexibilidad laboral; por su parte Repetto (2011), señala la precariedad del mercado laboral, y para superarla, sugiere que negocien trabajadores y empleadores. En Estados Unidos, Rifkin (1996) analiza la carrera entre producción y empleo, enfatizando en el desempleo como consecuencia de la sustitución de trabajadores por nuevas tecnologías y para reducirlo, propone generar plazas de trabajo en el sector servicios. Los antecedentes aquí expuestos sobre la relación pea - pib sirvieron de referencia para el estudio de Melvin y Peralta (1998) para la región Sonora-Arizona, Peralta (2010) del caso mexicano. Así, las omisiones señaladas en la bibliografía consultada y el contenido de las dos últimas referencias nos incentivaron a escribir este artículo.
El pib creció más que la pea hasta los años 1980, luego se invirtieron, mermándose la productividad laboral y promoviéndose la desocupación interpretada como la no utilización del trabajo (The Harper Collins Dictionary, 1991, p. 533), y no como simple desocupación; así, con la tasa de crecimiento del pib per cápita de los últimos 33 años, tomaría más de un siglo duplicarlo.4 Hoy, quienes compondrán la pea hasta el año 2035, viven sin la certeza de conseguir una ocupación decente: remunerativa, estable y con perspectiva de desarrollo según la interpretación de La Organización Internacional del Trabajo [oit] (2016, p.1). La historia secular que traza la relación pea-pib ubicaría mejor los análisis de corto plazo, a veces limitados para delinear políticas y enfocados a lo urgente y no a lo importante, por ejemplo, la omisión oficial al medir el crecimiento económico en términos per cápita como lo hace la Secretaría de Hacienda y Crédito Público (shcp, 2015, p. 136), al referirse a la creación de empleos, sin mencionar cuántos se requieren, lo primero incluso con datos dudosos como los del Instituto Mexicano del Seguro Social (IMSS), usados oficialmente (shcp, 2015, p. 151), que, sin restarles mérito, no se refieren a la ocupación laboral sino a los trabajadores asegurados, ya que muchas plazas de trabajo existían pero sus ocupantes no habrían estado asegurados.5
La información aquí revelada proviene del Inegi y supera sus propias deficiencias, pues si bien las definiciones y estimaciones de pea y pib cambian según la evolución socioeconómica, ha sido necesario que investigadores e instituciones ajusten sus datos porque discrepan en un tópico aun cuando provienen de la misma fuente, esto debido a las diferentes fechas de captura, ya que el pib y la ocupación tienen estacionalidad (máximos al cuarto trimestre, mínimos al primero), por diferencias en sus periodos de referencia, límites de edad de quienes ingresan a la actividad (ocho años en 1960 y quince en la actualidad) y por errores humanos;6 la conceptualización y medición de la pea y su productividad en México tienen antecedentes coloniales que conviene conocer para entenderlos en sus circunstancias, como se verá más adelante.
Cabe aclarar que las fuentes de información se listan en la sección de Referencias. Para facilitar la lectura de este artículo se adoptaron dos procedimientos: uno, se priorizan gráficos cuyos datos de apoyo se ubican en los anexos estadísticos y, dos, en otros anexos, los métodos de obtención de los resultados que se presentan en los cuadros.
Evolución de la pea
Como se menciona líneas atrás, la pea, en cierta forma, ya se estimaba en La Nueva España con el Censo de Revillagigedo de 1790, que reportó entonces una población de 4,636,074 habitantes con 49.7 y 50.3 por ciento de hombres y mujeres respectivamente, 39.8 y 7.9 por ciento de niños (hasta 14 años de edad) y adultos mayores (50 años y más), luego los adultos integrarían el 52.3 restante; la ocupación incluía 562,382 personas en ocho intendencias cuya población total era 1,774,184, así la ocupación representaba 31.7 por ciento. El territorio de la Nueva España era de 4.665 millones de kilómetros cuadrados (González, 2003, p. 97-107), por ende, contaba con una baja densidad demográfica. A fines del siglo xviii la economía de la Nueva España tenía forma señorial sin registro de desocupación, lo que da pie a decir que la desocupación es un fenómeno que se intensifica en el capitalismo (Garraty 1978, pp.103-128); las ocupaciones novohispanas se agrupaban en religiosos, empleados del estado, nobleza y otras ocupaciones, cuya composición en la intendencia de México se puede observar en el cuadro 1, ligada a la estructura productiva de la época, quizá como en la primera década del siglo xix cuyos montos se estimaron por el estudioso y militar José María Quirós (Solís, 2000, pp. 16-24) en millones de pesos de ese tiempo de la siguiente forma: producción agrícola 90, minera 28.5 y manufacturera 72.4, sin referencia de servicios; esto explica el predominio de tributarios, gañanes y jornaleros (Cuadro 1), quienes pagaban por usufructuar tierra ajena, peones de labranza o devengaban jornales respectivamente. Esta descripción se hace por empatía, pues si estuviésemos en otro lugar y/o tiempo sería difícil entender la naturaleza actual de las ocupaciones como Advertising, promotions, and marketing managers (Bureau of Labor Statistics, 2016a), propios de una economía saturada de servicios como la actual.

Como el siglo xix fue convulso de la Independencia en 1821 hasta que Porfirio Díaz llegó al poder en 1876, era difícil realizar una medición demográfica; y fue en el Porfiriato cuando se inician los censos de población oficiales con datos de la pea y que El Colmex (s.f., pp. 61 - 172) plantea con un enfoque actual en el cuadro siguiente:

Originalmente, se especificaron ocupaciones principales y El Colmex las agrupó en Fuerza de Trabajo o pea; en el cuadro 2 se infiere que en ese periodo la población creció 1.2 por ciento anual y la pea, en 0.8, y la Tasa Bruta de Actividad (pea como por ciento de la población total) descendió. En los censos posteriores la pea ha registrado alzas notables en su componente femenino y en la edad de ingreso a la actividad ̶ siete años en 1921 y quince en la actualidad ̶, o cambios sectoriales con fuerte descenso en el sector agropecuario y gran ascenso en el de servicios; lo mismo le ocurre al pib, pero en diferente forma, ya que la disminución de la proporción del producto agropecuario es mayor que la de su ocupación y ambas de acelerado crecimiento en servicios. Hasta 1980 la fuerza laboral que el sector agropecuario generaba fue más o menos absorbida en la industria y los servicios, posteriormente la desocupación agropecuaria y la industrial, es captada en la informalidad de servicios, principalmente bajo una desocupación disfrazada que implica no utilización del trabajo.
Como se mencionó, la historia estadística de la pea proviene de los censos de población para generar una tendencia, pero hubo errores y, en consecuencia, ajustes en los correspondientes al año 1960 y 1980; el primero, porque algunas de sus cifras eran irreales, pues en algunos grupos se reportaron más personas activas que vivas, sin que la Dirección General de Estadística (antecedente del Inegi) explicara la causa, error que se pretendió corregir en una nueva publicación de la Dirección, donde las tasas de actividad por edad femeninas crecían con la edad, o sea, las mujeres de mayor edad serían más activas que las jóvenes, algo fuera de las tendencias en países como México (onu,1978, p. 598). El ajuste de la pea de 1960 fue publicado por El Colmex (Altimir, 1974, pp. 50 -83) y es el aquí adoptado. El censo de 1980 también arrojó datos dudosos del volumen de la pea, con un treinta por ciento de su ocupación involucrada en actividades insuficientemente especificadas; imprecisiones que eran de esperarse al retrasar por seis años la publicación del censo de 1980, (el de 1970 se publicó rápido, en 1972); por ende, fue necesario ajustar el total de la pea y la estructura ocupacional. Estos resultados fueron publicados por El Colmex (Rendón y Salas, 1986, pp. 291-309), y también son las cifras aquí citadas. La tendencia, original y ajustada de pea se puede observar en el Gráfico 1, donde se notan los ajustes del año 1960 a 1980.

Ocupación y Producción
Como se anticipó, los datos de la pea se tomaron principalmente de los censos de población y los del pib del Sistema de Cuentas Nacionales de México (scnm), a los precios constantes determinados por el Inegi primero y, luego, con base en esta información, Manuel Aguirre,7 creó una serie desde 1895 a precios de 2008, de estas fuentes se estimaron las tasas de cambio de pea y pib entre las fechas censales que aparecen en el gráfico 2.

Así, el pib creció más que la pea y la ocupación hasta el inicio de los años 80, luego se invirtieron reduciéndose la productividad laboral (pib/ocupación) e incrementándose la desocupación, como lo expresan los gráficos 2 y 3; el 2 muestra que hasta 1980 (excepto 1930 cuando la Gran Depresión), el crecimiento del pib superó a los de pea y la ocupación; por otro lado, en el Gráfico 3 las tendencias de la productividad se ajustaron con una función cúbica que muestra un lento crecimiento de la productividad de 1960 a 1980 y su ulterior descenso.

Así, desde los años 80, la economía se va rezagando respecto a la fuerza laboral (pea u ocupación), cuyo crecimiento fue promovido por el bono demográfico: de donde surge la oferta laboral; por otro lado, el crecimiento económico sienta las bases a la ocupación y genera la demanda laboral; como la primera es mayor a la demanda, hay desocupación abierta y disfrazada que incrementa su parte en la pea, mermando su eficiencia al incluir ocupaciones de baja productividad; y si bien el Inegi inició la estimación de desocupación en los años 70, en el Distrito Federal y los municipios de Guadalajara y Monterrey, la mejora en la medición de la desocupación se da en los años 1980 con la ene, pues previo a ese año, la medición era imprecisa por no considerarse significativa. Especialmente, a partir del 2005 con la enoe, se hizo un esfuerzo para visualizar su tendencia secular, de 1895 a 2015, por estimarla como diferencia de pea, menos ocupación, con datos originales de los censos de población, y algunos de ellos ajustados tal y como se muestra en el gráfico 4.

El gráfico 4, muestra que la tasa de desocupación alcanza sus niveles mínimos entre 1940 y 1960, cuando el pib crecía más de seis por ciento anual y el pib per cápita más de tres, época del llamado milagro mexicano (Hansen, 1971, pp. 57-96). Los “picos” de 1960 y 1980, bajo y alto respectivamente, provienen de los datos censales originales errados y luego ajustados – en rayas ̶ , lo que da una tendencia parabólica mínimo cuadrática en U que confirmaría la desocupación creciente desde los 1980 por el mayor crecimiento de la pea que el del pib, debido también al bono demográfico causado por el mayor descenso en natalidad que en mortalidad y la resultante tasa de crecimiento natural, como se puede observar en el gráfico 5.

Por ende, la estructura por edad de la población envejeció; el bono demográfico se muestra en el gráfico 6 como la franja clara intermedia cuyo mínimo se da en 1970, luego crece y coincide en el tiempo con la desaceleración de la economía.

Las Omisiones en la Medición de la pea
Los registros oficiales del tamaño y estructura de la pea omiten aspectos que conviene mencionar, y que ahora se describen porque implican una pea presente invisible y una peaausente visible, aspectos relevantes a menudo marginados que, al considerarlos, se tiene una mejor perspectiva de su volumen y crecimiento.
La pea Presente Invisible
Generalmente la pea se mide en número de personas ocupadas y desocupadas y, rara vez, por la fuerza de trabajo que cada una ofrece como parte de su vida, que bajo un enfoque histórico, conviene revisar. En 1930 la esperanza de vida al nacer era de 36 años (Benítez y Cabrera, 1967, pp. 50-52 ) y en 2014, 78 años (Inegi, 2016); su parte activa fue promovida por el bono demográfico y la inserción femenina en la pea; dicha información se presenta más adelante, en el cuadro 3, que considera el cambio de 1960 a 2010, con los datos que permitieron estimar esos indicadores para el mayor periodo histórico posible, en particular, de las tasas de actividad por sexo y edad (pea de edad x entre la población de edad x) que generalmente se presentan en grupos quinquenales; el grupo inicial fue de 8 - 11 años en 1960 y de 12 -14 años en el 2010; estas tasas de actividad son necesarias para estimar los diversos indicadores de esperanza de vida al nacer (eoo, en el cuadro 3). En México, en el año 1960, se estimó por primera vez la pea en el censo de población, y hubo errores en sus tasas de actividad que El Colmex procuró corregir con una muestra de uno por ciento de la pea, dándoles secuencia lógica (Morelos, 1968, pp. 19-43), y son las aquí adoptadas; las de 2010 se tomaron directamente del Censo de Población. En el gráfico 7, podemos ver esas tasas donde las de edades extremas bajan entre 1960 y 2010 a causa de mejores condiciones de escolaridad de jóvenes y retiro de mayores; las tasas de actividad femeninas crecen en la parte central y desaparece la sima entre las edades de 25 – 29 años vista en 1960, presumiblemente porque las mujeres se retiraban de la actividad laboral al casarse en torno a la edad de veinte y se reintegraban después de transcurrido el tiempo de cuidado de sus hijos en edad pre-escolar.

En el cuadro 3, eoo es la esperanza de vida al nacer, de gran incremento en ese medio siglo, siendo mayor el de las mujeres; nba = SAxdx es el número bruto de años de vida activa, es decir, los que una persona estaría activa sin someterla a riesgo de muerte hasta su retiro, dada por la suma ponderada de las tasas de actividad (Ax) multiplicadas por la amplitud del intervalo del grupo de edad respectivo (dx), indicador que declina para los hombres, mas no para las mujeres entre los años 1960 y 2010; (e0a) x es el número potencial de años de vida activa de una persona sujeta a riesgo de muerte; nótese que la vida activa potencial se reduce como parte de la esperanza de vida [(eoa)x / eoo] para los hombres pero no para las mujeres, si bien la proporción es aún menor que la masculina; el hombre aumentó el tiempo libre de su vida y la mujer el de su vida activa. Por último, la tga = (pea/población en edades laborales) es la tasa global de actividad, indicador con la misma tendencia que el nba que sirvió para cotejarlo con las tendencias de los otros indicadores y estima el “riesgo” de actividad de la población en edades laborales. En resumen: se infiere de las dos últimas líneas de datos del cuadro 3, cómo varía la magnitud del cambio de pea si se toma en personas o en años de vida activa que, en por ciento, la de hombres pasa de 254 a 283 y la de mujeres, de 754 a 2,435; la pea, oferta laboral, crece más al implicar la esperanza de vida activa.

e00 esperanza de vida al nacer; (e0a)x, número potencial de años de vida activa; NBA, número bruto de años de vida activa; TGA, Tasa global de actividad.
La esperanza de vida y tabla de vida 1960, Benitez y Cabrera, 1967. pp. 59-60. La esperanza de vida 2010, Inegi. El resto de indicadores por elaboración propia vía tabla de vida activa como se describe en el texto. La estimación de e00 y (e0a)x se explica en el Anexo iii. *Variación por cociente.pea Ausente Visible
Se tomó como la parte de la pea proyectada que emigró hacia Estados Unidos (EE. UU.) principalmente, medición interesante, ilustrativa y retadora pues deja áreas inconclusas; en 1990 la población mexicana era (en millones de personas) de 81.3 y en 2012, 117.1, según el censo de población de 1990 y la enoe respectivamente; de 1990 a 2012 el crecimiento natural (nacimientos, menos defunciones) acumuló 49 millones de personas, luego la población en 2012 debería ser de 130.3 millones (= 81.3 + 49.0) sin emigración, faltan 13.2 millones (= 130.3 – 117.1); por otra parte, el U.S. Department of Homeland Security (Baker y Rytina, 2013, p. 3) estimó que el arribo ilegal de extranjeros a Estados Unidos en ese periodo fue 9.4 millones y de mexicanos en particular, 6.4, cifra inferior respecto al faltante citado, pero los censos a veces no estiman bien y los datos estadounidenses pueden ser imprecisos dada la migración ilegal o porque no consideran a los legalmente emigrados; 6.4 podría ser parte del 13.2 faltante, tema a investigar. Otra estimación proviene de los censos de población mexicanos, la población entre 0 y 19 años de edad en 1990 era de 40.8 millones (20.5 y 20.3 por ciento de hombres y mujeres respectivamente); si a estas personas se le asigna la probabilidad de sobrevivencia de 0.988 de 1990 a 2010, la consecuente población de 20 a 39 años de edad debería ser 40 (20 y 20 a grosso modo) en el año 2010, pero el censo solo reportó 34.7 millones (16.6 y 18.1 respectivamente), faltan 6.1 millones (3.8 y 2.3 respectivamente), cifra cercana a la estimada en el vecino país. Una tercera fuente proviene de comparar los pronósticos de la pea que el Consejo Nacional de Población (Conapo) elaboró contra los ulteriores y respectivos datos históricos de la enoe, las diferencias se presentan en el cuadro 4.

Del cuadro 4 se infiere que: i) los pronósticos de 1998 y 2000 superan a los registros históricos respectivos; ii) los pronósticos se reducen de 1998 a 2008, iii) los de 2008 son menores a los datos históricos, excepto en 2005, esto es raro porque ya existía un dato histórico; y iv) los excesos de los pronósticos de 1998 y 2000 sobre el respectivo dato de 2010, son 6.7 y 5.6 millones, el de 2000 sobre 2015, 7.2 millones; cifras cercanas al flujo estimado en ee.uu. entre 1990 y 2012.
Esta claro que la emigración mexicana se debe a la búsqueda de ocupación por tres razones principales: i) el flujo mayor es de personas en edad laboral; ii) hay pocas oportunidades de ocupación y, se incrementa la desocupación (ver gráfico 9); y iii) el creciente diferencial de ingreso atrae al emigrante aun sin la certeza de conseguir un empleo. Esto se infiere al aplicar el siguiente modelo migratorio (Todaro y Smith, 2012, pp. 356-358):

Donde e es la elasticidad ingreso de la emigración; S, la pea en México y N su ocupación, [(S – N)/ S], la tasa de desocupación; w, el salario estadunidense; wp, el salario esperado con p probabilidad de hallar ocupación, de 0.5 para tener máxima varianza; r, el salario mexicano, luego d=(wp–r)/w corresponde a la brecha salarial; la elasticidad se comporta como se muestra en el gráfico 8, construido principalmente con datos trimestrales de la enoe.

La tendencia de la elasticidad alcanza su máximo durante la recesión de 2009 y aunque después se mengua, lo hace a un nivel mayor al de antes de la recesión, tendencia promovida por la creciente desocupación mexicana estimada como la suma de la Tasa de Desocupación (td) más la Tasa de Condiciones Críticas de Ocupación (tcco)9, tal suma y la respectiva cantidad de personas afectadas se presentan en el Gráfico 9.

Nótese que la suma de tasas td + tcco alcanza su máximo en la recesión de 2009 y aunque posteriormente parece estabilizarse, el número de desocupados crece y esto no siempre se menciona.
Hacia los Escenarios Prospectivos de Ocupación
En este capítulo revisaremos una parte importante de la dinámica de la fuerza de trabajo al cuestionar ¿qué tan activa es la pea? La pregunta cabe porque la pea contiene ocupación y desocupación y se orienta a producir los bienes y servicios que la sociedad requiere, así, se puede estimar en cuánto y cómo su componente ocupación se aboca a producir; para ello se procuró considerar primero la parte de la pea que produce, no fue fácil de detectar pues el Inegi estima once tasas de desocupación, de donde se eligieron dos para determinar qué parte de la pea se liga mejor al pib; se tomaron los datos de mejor cobertura, de 1993 a 2015, de la Encuesta Nacional del Empleo (ene) hasta 2004, después de la enoe, y el pib del scnm; y luego la ocupación en función del pib y el acervo de capital bajo estas pautas: i) para obviar la estacionalidad se tomaron datos de pib y pea del segundo trimestre, 23 observaciones; ii) los de ocupación de la pea (menos desocupados, más ocupados en condiciones críticas); iii) para el capital, se partió de su acervo estimado para 1993 (Dieck y Peralta, 2013, p. 586) al que se le sumó la inversión neta anual obtenida de la inversión bruta reportada en el scnm, menos la depreciación equivalente a diez por ciento del pib oficialmente (Inegi, Banco de Información Económica, [bie], 2016a)10 y por experiencia internacional (Piketty, 2012, p. 43); y iv) la función original fue la función Cobb Douglas Q = AKaLb para obtener estimadores de A, a y b; donde Q es pib y K acervo de capital, ambos en millones de pesos de 2008, L, el trabajo u ocupación como se señaló, A representa el estado del arte, calidad de capital y trabajo principalmente; a y b son las elasticidades producto de capital y trabajo. El ajuste de Q = AKaLb fue con logaritmos y regresión mínimo cuadrática, los resultados se muestran en el cuadro 5.

El grado explicativo R2 aj de la ecuación resultante es 0.98, las t de los coeficiente a yb caen en rango de confianza de 95 por ciento (rechazo a su nulidad) y su suma cerca del valor uno especificado teóricamente, también en rango de 95 por ciento; la medición de la auto-correlación con el indicador Durbin Watson (dw) es incierto al 95 por ciento para aceptar la hipótesis de no correlación entre los residuos (entre mínimo 1.17, y máximo 1.54), pero aceptable al 99 por ciento; sin problemas de varianza heterogénea pues la correlación entre residuos y los valores estimados del pib fue nula. Con los estimadores A, ayb se estimó la ocupación con la expresión L=(Q/AKa )1/ b, y el gráfico 10 compara los valores estimados con los observados, presentando un gran acercamiento, es por eso que se usó para pronosticar.

El pronóstico de desocupación se hizo hasta el año 2020 extendiendo las tendencias del pib y del capital observadas de 1993 a 2015, con los estimadores obtenidos del ajuste a la función CobbDougas que se muestran en el cuadro 5; ahora la variable dependiente es la ocupación (L=(Q/ Ka) 1/b y las independientes, variables argumento, son los valores proyectados de pib y capital con base en sus respectivas tasas históricas de crecimiento de 2.4 y 5.1 por ciento; los pronósticos resultan optimistas si se comparan con los de la pea proyectada por el Conapo (Partida, 2008, p. 33), pero a partir de que éste no ha publicado nuevas proyecciones, la desocupación sería mayor a la que se muestra en la columna 4 del cuadro 6, porque las proyecciones de pea omiten la emigración hacia ee. uu.

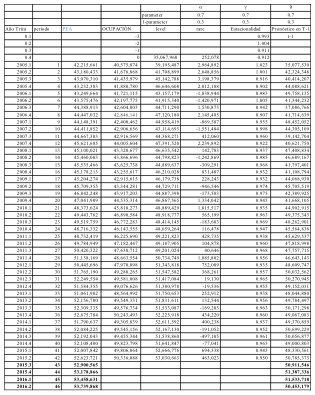
Como resultado de lo anterior, se hizo una proyección de corto plazo con base en la experiencia trimestral de 2005 a 2015 para estimar los dos últimos trimestres de 2015 y los dos primeros de 2016, con los datos de pea que la enoe reporta y el método auto–regresivo Holt Winters multiplicativo que considera la estacionalidad; los resultados se pueden observar en el gráfico 11, donde se advierte que la desocupación persiste y crece en los dos últimos trimestres de 2015 y los dos primeros de 2016, situación realmente preocupante.11

Finalmente, de lo aquí descrito se procede a la última sección de este artículo.
Resumen, Conclusiones y Recomendaciones
Se deriva a las siguientes aseveraciones al resumir, concluir y recomendar.
Resumen
Se construyó una serie histórica de la relación entre pea y pib de 1895 a 2015; los datos del pib, según el scnm; los de pea de los censos de población, excepto de 1960 y 1980 por sus deficiencias, optándo por las que corrigen y ajustan los originales, labor de prestigiados investigadores y difundidas por El Colmex.
En esa tendencia se ve que el pib creció más que la pea y la ocupación hasta 1981, después sucede lo contrario; el rezago deja entrever problemas de caída en la productividad laboral, en la creciente desocupación y emigración hacia ee. uu.
Con la función de producción Cobb Douglas se obtuvieron indicadores que ayudaron a estimar la ocupación en función del pib y el capital de 1993 a 2015, y estimarla hasta el año 2020 bajo las tendencias de crecimiento del pib y el capital, sus variables argumento.
Y para terminar, se elaboró un pronóstico trimestral para un año con el método auto regresivo Holt Winters multiplicativo, con base en las observaciones trimestrales de 2005 al 2015; los resultados muestran la persistente y creciente desocupación para 2015 y 2016.
Conclusiones
La desocupación subsiste y crece; el mismo fenómeno se presentó en el Porfiriato (en La Colonia no se menciona), y su tendencia traza una U secular cuyo mínimo se da en el tiempo del milagro económico entre 1940 y 1960 principalmente, años que fueron prósperos económicamente.
Como la pea crece menos que el pib hasta el inicio de los 1980 y posteriormente lo rebasa, y como consecuencia la desocupación crece, pero no es evidente porque casi 7 millones de mexicanos emigraron hacia ee. uu. desde 1990; y porque el crecimiento de la fuerza de trabajo bajo la pea se hace en números de personas y no como parte de su vida media, así, se infiere que el aumento de la oferta laboral en años de vida activa crece más que la pea y esto no es considerado oficialmente.
Los resultados obtenidos del ajuste regresivo con la función Cobb Douglas se comparan con la proyección de pea del Conapo en 2008; resultando una desocupación subestimada porque la proyección de la pea es mayor al omitir la emigración de mexicanos hacia ee. uu., como sucedió entre 1990 y 2012.
Además, se comparó la productividad laboral de 2013 con datos de la enoe, del scnm y del Censo Económico 2014 (datos de 2013); la enoe dio una ocupación de 49.5 millones de personas, 95.1 por ciento de la pea (de 52 millones), si a ésta se le resta la desocupación y ocupación en condiciones críticas, la ocupación baja a 43.3 millones, un 83.1 por ciento de pea; como en 2013 el valor agregado nacional fue 13.1 billones de pesos, la productividad (miles de pesos) de esas dos ocupaciones son 265 y 303; como el censo económico registró ocupación de 21.6 millones y valor agregado de 6 billones, la productividad es de 278, cifra obtenida de los datos anteriores; se advierte consistencia en la medición.
Recomendaciones
Que los reportes oficiales relacionen ocupación y producción (pea y pib) para un mejor conocimiento del nivel productivo de la fuerza laboral.
Considerar la pea en años de vida económicamente activa y no solo en número de personas, así se tendrían estimaciones más realistas de la oferta de fuerza de trabajo.
Que el Conapo elabore proyecciones de pea que consideren los flujos de migración internacional, cuya ausencia demeritó sus pronósticos anteriores.
Que investigaciones ulteriores ubiquen su análisis de ocupación y productividad de corto plazo en una tendencia histórica como la aquí delineada, para así contar con una herramienta de mejor visión sobre la problemática económica y social del país.
Y ojalá que el ejercicio como el aquí presentado se repita a nivel estatal o regional.
Referencias
Aguirre, B. M. (2016). Series históricas del Producto Interno Bruto de México desde 1896 hasta 2015. Transportadas a bases de 1993, 2003 y 2008. Recuperado de: http://www.mexicomaxico.org/Voto/PIBMex.html
Altimir, O. (1974). La medición de la Población Económicamente Activa de México, 1950 – 1970. Demografía y Economía. (Vol. viii), núm. 1. México: El Colegio de México.
Baker, B. y Nancy R. (2012). Estimates of the Unauthorized Immigrant Population Residing in the United States. Homeland Security. Recuperado de: www.dhs.gov/.../publications/ois_ill_pe_2012_2.pdf
Benitez Z., R., y Cabrera G. A. (1967). Tablas Abreviadas de Mortalidad de la Población de México 1930, 1940, 1950, 1960. México: El Colegio de México.
Blecker, R. (2010). Comercio, Empleo y Distribución: Efectos de la Integración Regional y Global. Crecimiento Económico y Equidad, Los Grandes Problemas de México,ix, 188-195. Recuperado de: http://2010.colmex.mx/16tomos/IX.pdf
Bowerman, B.; O´Conell R. y Koheler A. (2005). Forecasting, Time Series, and Regression. EE.UU.: Thomson.
Bureau of Labor Statistics. (2016a, Febrero 15). Ocupaciones del sector servicios en EE. UU. Recuperado de: http://www.bls.gov/ooh/management/advertising-promotions-and-marketing-managers.htm#tab-2
Bureau of Labor Statistics. (2016b, Febrero 15). Salarios en EE. UU. Recuperado de: http://data.bls.gov/timeseries/CES0500000008
Colegio de la Frontera Norte. [El Colef]. (2016). Definición del bono demográfico. Recuperado de:http://www.colef.mx/opinion/el-desperdicio-del-bono-demografico/?lang=es).
Colegio de México. (El Colmex). (1965). Estadísticas económicas del Porfiriato, Fuerza de Trabajo y Actividad Económica por Sectores. México: El Colegio de México.
Coloma, F. (2001). Los Desafíos Futuros en el campo Laboral. En ¿Qué Hacer Ahora?, Propuestas para el Desarrollo. (Pp. 161-204). Santiago de Chile: Centro de Estudios Públicos.
Consejo Nacional de Población [Conapo]. (2000). Proyecciones de la población económicamente activa, de la matrícula educativa, de los hogares y las viviendas y de la población por tamaño de localidad. México: Conapo.
De Buen, N. (2000, noviembre 21). Diferencia entre Ocupación y Empleo. El Universal, p. D 6.
Dieck - Assad, F., A., y Peralta, E. (2013). Energy and capital inputs: cornerstones of productivity growth in Mexico: 1965–2004. Vol. 44. En Springer Verlag, Empirical Economics (pp.563-590). EE:UU: Springer.
Dirección General de Estadística. (1977). 1er Censo de Población de la Nueva España. 1790. Censo de Revillagigedo. Un censo condenado. México: Dirección General de Estadística.
Elizaga, J. C. y Mellon, R.. (1971). Aspectos Demográficos de la Mano de Obra en América Latina. Santiago de Chile: Centro Latinoamericano de Demografía (CELADE).
Garraty, J., A. (1978). Unemployment in History. Economic Thought and Public Policy. Nueva York: Harper & Row.
González, L. (2003). El paréntesis de Santa Anna. Historia Mínima de México. México: Colegio de México.
Hansen, R. (1971). La política del desarrollo mexicano. México: Siglo xxi.
Harper Collins Dictionary. (1991). Economics. Nueva York: Harper Perennial.
Instituto Nacional de Estadística y Geografía [inegi] y Secretaría de Trabajo y Previsión Social [stps]. (1996 - 2004). Encuesta Nacional de Empleo. México: inegi.
Instituto Nacional de Estadística y Geografía [inegi]. (2016a, Febrero 15). PIB por sectores 1993 –2015. Banco de Información Económica (bie). Recuperado de: http://www.inegi.org.mx/sistemas/bie/
Instituto Nacional de Estadística y Geografía [inegi]. (2016b, Febrero 15) Glosario Recuperado de:http://www3.inegi.org.mx/sistemas/glosario/Default.aspx?ClvGlo=EHENOE15mas&s=est&c=33309
Instituto Nacional de Estadística y Geografía [inegi]. (2016c, Febrero 15) Estadísticas Históricas de México. Recuperado de: http://www3.inegi.org.mx/sistemas/biblioteca/ficha.aspx?upc=702825058203
Instituto Nacional de Estadística y Geografía [inegi]. (2016d Febrero 15). Censo Económico 2015. Recuperado de:http://www3.inegi.org.mx/olap/olap.aspx?server=2&db=Serie_Censal_Economicos&cube=Censos%20Econ%C3%B3micos&fp=1
Instituto Nacional de Estadística y Geografía [inegi]. (2016e, Febrero 15). PEA, Ocupación, Empleo y remuneraciones 2005 - 2015. Recuperado de: http://www.inegi.org.mx/sistemas/bie/
Instituto Nacional de Estadística y Geografía [inegi]. (2016f, Febrero 15). Esperanza de vida al nacer 2010. Recuperado de: http://www3.inegi.org.mx/sistemas/sisept/Default.aspx?t=mdemo129&s=est&c=23598
Keath, J. (2012). Lo que indican los indicadores. Jonathan Heat. Recuperado de: http://jonathanheath.net/lo-que-indican-los-indicadores/, p. 62.
Melvin, M. y Peralta, E. (1998). Financiamiento al Desarrollo y al crecimiento Económico de la Región Sonora - Arizona. Sonora, México: Comisión Sonora - Arizona.
Morelos, J., B. (1968). Entradas a la actividad, salidas y vida media activa en México 1960 – 1965. Demografía y Economía. Vol. II, (1), pp. 19 – 43.
Organización de las Naciones Unidas (onu). (1978). Factores Determinantes y Consecuencias de las Tendencias Demográficas. Nueva York: Organización de las Naciones Unidas.
Organización Internacional del Trabajo [oit] (2016, Febrero 15). ¿Qué es el Trabajo decente?. Recuperado de:http://www.ilo.org/americas/sala-de-prensa/WCMS_LIM_653_SP/lang--es/index.htm
Nacional Financiera [Nafinsa]. (1974). La economía mexicana en cifras., México: Nafinsa.
Nacional Financiera [Nafinsa] (1998). La economía mexicana en cifras, 1998. México: Nafinsa.
Partida, B., V. (2008). Proyecciones de la población económicamente activa de México y de las entidades federativas, 2005 - 2050. Recuperado de: www.conapo.gob.mx/work/models/CONAPO/PEA/PEA.pdf.
Peralta, E. (2010). El Desempleo en México 2008 - 2030. México: Universidad Nacional Autónoma de México, Instituto de Investigaciones Económicas, Tecnológico de Monterrey.
Piketty, T., (2014). Capital in the Twenty-First Century. Londres: The Beknap Press.
Presidencia de la República. (1963). 50 AÑOS DE REVOLUCIÓN MEXICANA EN CIFRAS. México: Nafinsa.
Pressat, R. (1967). El Análisis Demográfico. México: Fondo de Cultura Económica.
Rendón, T., y Salas C. (1986). La población económicamente activa en el censo de 1980. Comentarios críticos y una propuesta de ajuste. Estudios Demográficos y Urbano. i, (2), 291- 309.
Repetto, A. (2011). Un Trato Laboral: de la lógica del conflicto a la lógica de la negociación. En R. Lagos y O. Landerretche (coords.), El Chile Que se Viene (pp. 307 - 316). Santiago de Chile: Catalonia
Rifkin, J.(1996). El Fin del Trabajo. México: Paidós.
Samuelson, P. y Nordhaus, W. (2010). Economics. Singapore: McGraw Hill.
Secretaría de Hacienda y Crédito Público. (2015). Criterios Generales de Política Económica para la Iniciativa de Ley de Ingresos y el Proyecto de Presupuesto de Egresos de la Federación Correspondientes al Ejercicio Fiscal 2016. Recuperado de http://www.shcp.gob.mx.
Solís, L., M. (2000). La Realidad Económica Mexicana: Retrovisión y Perspectivas. México: Fondo de Cultura Económica.
Todaro, M. y Smith, S. (2012). Economic Development. Nueva York: Pearson.
Trejo, S. (1973). Industrialización y Empleo en México. México: Fondo de Cultura Económica.
Urquidi, V. (1974). Empleo y Explosión Demográfica. Demografía y Economía. viii, (2), pp. 141 – 153.
Anexo I. GLOSARIO (Inegi, 2016b)
Población económicamente activa. Personas de 15 y más años de edad que tuvieron vínculo con la actividad económica o que la buscaron en la semana de referencia, por lo que se encontraban ocupadas o desocupadas,
Población ocupada. Personas de 15 y más años de edad que en la semana de referencia realizaron alguna actividad económica durante al menos una hora. Incluye a los ocupados que tenían trabajo, pero no lo desempeñaron temporalmente por alguna razón, sin que por ello perdieran el vínculo laboral con este; así como a quienes ayudaron en alguna actividad económica sin recibir un sueldo o salario.
Semana de referencia. Periodo que comprende la semana anterior (de lunes a domingo) al momento de la entrevista, y sobre el cual se captan las características económicas de la población de 15 y más años de edad.
Tasa de desocupación. Porcentaje de la Población Económicamente Activa (pea) que se encuentra sin trabajar, pero que está buscando trabajo (ver población desocupada).
Tasa de condiciones críticas de ocupación (tcco). Porcentaje de la población ocupada que se encuentra trabajando menos de 35 horas a la semana por razones de mercado, más la que trabaja más de 35 horas semanales con ingresos mensuales inferiores al salario mínimo y la que labora más de 48 horas semanales ganando hasta dos salarios mínimos.
Producto Interno Bruto (pib). Es la suma de los valores de mercado de todos los servicios y bienes finales producidos por los recursos (trabajo y capital) de la economía que residen en el país (Keath, 2012, p.59).
Anexo II. Tablas Estadísticas


Anexo III. Obtención de la esperanza de vida activa potencial
Con las tasas de mortalidad de 1960 y 2010, mx, se estimó las probabilidades de muerte qx con la fórmula:
aqx = 2a* amx / (2 +a amx), donde a es la amplitud del intervalo de edad.
De la raíz de la tabla de vida adoptada l0= 100,000, se obtuvieron los sobrevivientes lx+n por multiplicar l x por la probabilidad de sobrevivencia:
l x+n = lx *(1- nqx)
Luego los años vividos entre las edades x y x+n:
nLx= (lx + lx+n)*(n/2),
Que al ser multiplicada por la tasa de actividad a la edad exacta x, ax estimadas como promedio de la tasa de actividad por grupos de edad:
ax = (Ax + Ax+n )* (n/2)
Se obtiene el total de años económicamente activos potenciales entre esas edades:
ax * nLx= nLxa
Cuya suma da los años activos vividos a partir del ingreso a la actividad Txa :
S wa * nLxa = Txa
Donde a y w son las respectivas edades de inicio y fin de la actividad; luego Txa se divide entre lx, para obtener la esperanza de vida potencial (e0a) x :
Txa / l x = (e0a) x
Estos son los datos que aparecen en la tercera línea del cuadro 3.
Nota. Este modelo se tomó de Elizaga y Mellon (1972), pp. 140 - 154. Se insertan las tablas de vida y vida activa de la población masculina en 2010; sin embargo, por razones de espacio se omitieron las de mujeres en el 2010 y, de ambos, correspondientes a 1960; esta información está disponible si se solicita a peralta@itesm.mx.


Anexo IV. Proyección de desocupación estacional con elmétodo Holt Winters multiplicativo
Este método fue usado para proyectar la desocupación de los dos últimos semestres de 2015 y los dos primeros del 2016. Implica estos pasos:
El método se aplica si la serie de tiempo exhibe una tendencia lineal y posee un patrón estacional de incrementos multiplicativos en variación estacional, en el que pueden cambiar su nivel, tasa de crecimiento y patrón estacional. Entonces lT es el estimado para nivel, bT para la tasa de crecimiento y el estimador sn T como factor de estacionalidad de la serie de tiempo del periodo T, y se asignan las siguientes ecuaciones.
lT = a (yT / snT – L) + (1 – a) lT-1+ bT-1)
bT =g (lT – lT-1) + (1 – g) bT-1
snT =d (T /lT) + (1 – d) sn T – L
Donde a, g y d son constantes suavizantes entre 0 y 1, lT-1 y bT- 1 son estimados en el periodo T- 1 del nivel y la tasa de crecimiento, y snT-1 es el estimado en el tiempo, T–L del factor estacional.
Un punto de pronóstico se hace para el periodo T para y T + t viene a ser:
yT + t (T) = ( lT + tbT ) sn T + t – L (t = 1, 2, ….)
Donde sn T + t – L es el más reciente estimado del factor estacional para la estación correspondiente al periodo T + t.
Nota. Este modelo se tomó de Bowerman, O´Conell y Koheler (2005). pp. 375 – 376.
Y se trajo a presencia el método aplicado que dio la información que aparece en el gráfico 11.

Notas
Notas de autor