Artigos Originais
Análise de parâmetros clínicos e laboratoriais relacionados à atopia em crianças da zona urbana e rural
Clinical and laboratorial parameters analysis related to atopy in children from urban and rural zones
Análisis de parámetros clínicos y laboratoriales relacionados a la atopía en niños de la zona urbana y rural
Análise de parâmetros clínicos e laboratoriais relacionados à atopia em crianças da zona urbana e rural
Revista Família, Ciclos de Vida e Saúde no Contexto Social, vol. 4, núm. 3, 2016
Universidade Federal do Triângulo Mineiro

Resumo: O objetivo deste estudo foi analisar a expressão de alergias (dermatite, rinite e ou asma) e relacionar com a incidência de parasitoses. Foi feito um estudo clínico em crianças de 2 a 15 anos residentes na zona urbana ou rural. A avaliação se fez pelo questionário ISAAC adaptado e exames laboratoriais - dosagem de IgG4, IgE total e específico para Derp 1 2, Per a7, tropomiosina de ácaro e de Ascaris, contagem de eosinófilos e parasitológico de fezes. A prevalência de parasitoses foi reduzida na população estudada, mas elevada na população proveniente de zona rural. Observou-se correlação entre a concentração de IgE total e contagem relativa de eosinófilos. A ocorrência de alergias ou a procedência dos indivíduos não esteve relacionada com alterações laboratoriais, e nem com reatividade a antígenos parasitários e ambientais, por se tratar de uma interiorana, com poucas discrepâncias sociais, ambientais e climáticas entre zona rural e urbana.
Palavras-chave: Hipersensibilidade, Imunoglobulina E, Helmintos.
Abstract: The objective this study was analyze the expression of allergy (dermatitis, rhinitis and/or asthma) e relate it to the incidence of parasites’ infections. A clinical study was made on children from 2 to 15 years old inhabiting urban or rural zone. The evaluation was made by the ISAAC adapted quiz and laboratorial exams - counting of IgG4, total IgE and specific to Derp 1 2, Per a7, mite’s tropomyosin and from Ascaris, eosinophil counting and parasitologyc feces’ exam. The prevalence of parasite infections was reduced on the studied population, but was elevated in the population resident at rural zone. It observed correlation between the total concentration of IgE and the relative eosinophil counting. The occurrence of allergies or the precedence of the people wasn’t related to laboratorial alterations, nor to reactivity to parasite and environmental antigens, due to the fact that the studied city with low social, environmental and climatic discrepancies between rural and urban zones.
Keywords: Hipersensitivity, Immunoglobulin E, Helminths.
Resumen: El objetivo de este estudio fue analizar la expresión de alergias (dermatitis, rinitis y/o asma) y relacionarla con la incidencia de parasitosis. Fue hecho un estudio clínico en niños de 2 a 15 años residentes en la zona urbana o rural. La evaluación se hizo por el cuestionario ISAAC adaptado y exámenes laboratoriales - dosificación de IgG4, IgE total y específico para Derp 1 2, Per a7, tropomiosina de ácaro y de Ascaris, conteo de eosinófilos y parasitológico de heces. La prevalencia de parasitosis fue reducida en la población estudiada, pero elevada en la población de la zona rural. Se observó una correlación entre la concentración de IgE total y conteo relativo de eosinófilos. La incidencia de alergias o la procedencia de los individuos no estuvo relacionada con alteraciones laboratoriales, ni con reactividad a antígenos parasitarios y ambientales, por tratarse de una ciudad del interior, con pocas discrepancias sociales, ambientales y climáticas entre zona rural y urbana.
Palabras clave: Hipersensibilidad, Inmunoglobulina E, Helmintos.
INTRODUÇÃO
Atualmente se observa aumento na prevalência de doenças alérgicas, especialmente asma, rinite e eczema atópico, acometendo cerca de 30% da população mundial. A rinite alérgica representa um problema global de saúde pública que atinge no mínimo 10 a 25% da população geral e sua prevalência também vem aumentando. Entre 5 a 20% das crianças de todo o mundo são afetados por dermatite atópica e 60 % destas continuam a apresentar esta enfermidade após a puberdade1.
A asma é uma das doenças crônicas mais comuns na infância, estimando-se mais de 200 milhões de casos no mundo, constituindo-se em uma verdadeira epidemia2. Além disto, aproximadamente 80% das crianças portadoras de dermatite atópica estão sob risco de desenvolver alergia respiratória. Os pacientes com dermatite atópica são mais sensíveis à exposição à alérgenos do meio ambiente e quando expostos a altas concentrações de alérgenos inalatórios, podem desencadear um quadro grave de eczema3.
O saneamento básico inadequado, comumente observado em comunidades rurais, está associado a maior prevalência de parasitoses intestinais. Entretanto, são frequentes os relatos de ascaridíase em áreas urbanas, semelhante ou mesmo superior às áreas rurais adjacentes em países do terceiro mundo4. Além disso, existem importantes relações entre o saneamento inadequado e a exposição à alérgenos ambientais, especialmente aqueles derivados de baratas e ácaros, assim como, no desencadeamento de alergias alimentares5,6,7,8.
Estudos epidemiológicos têm demonstrado uma associação inversa entre a prevalência de asma e atopia e de exposição a infecções (vírus, bactérias e parasitas) e produtos bacterianos (endotoxinas)9. A partir destas evidências, foi desenvolvida a “hipótese da higiene”, postulando que infecções inibem o desenvolvimento de atopia - populações com alta prevalência de parasitoses intestinais, vão ter maior produção de IgE, e, seriam protegidas de doenças alérgicas10. Diversos estudos ao longo dos anos procuram demonstrar uma relação mais clara entre infecção parasitária intestinal e a ocorrência de asma e outras atopias, embora algumas observações sejam contrárias a esta teoria11.
Recentes achados indicam que a resistência para ascaridíases em indivíduos atópicos poderia ocorrer mediante produção de IgE e expressão de citocinas Th2 para antígenos do parasito, com maior liberação de histamina por basófilos do que crianças sem alergia12. No contexto desta relação entre helmintos e alérgenos foi demonstrada a existência de antígenos similares em parasitos e ácaros, a exemplo da cisteína protease de Ancylostoma duodenale e o Der p1 do gênero Dermatophagoides, podendo estar relacionada à exacerbação de alergia em pacientes infectados ou mesmo maior resistência à infecção helmíntica13.
A controvérsia de resultados observados em diversos estudos demonstra a elevada complexidade da interação alergia/helmintíase, provavelmente influenciada por fatores restritos a populações e fatores ambientais. Neste contexto o objetivo deste estudo foi analisar a expressão de alergias (dermatite, rinite e ou asma) e relacionar com a incidência de parasitoses.
MÉTODO
A população entre 2 e 15 anos de idade era aproximadamente 470 indivíduos14, sendo pesquisados 335 destas, demonstrando representatividade da casuística deste estudo.
Foi realizada coleta de sangue periférico através de punção venosa para realização de hemograma e dosagem de anticorpos, além de coleta de amostra de fezes para realização de exame parasitológico. Foi aplicado um questionário – o Internacional Study of Asthma and Alergies in Childhood (ISAAC) adaptado para investigação do acometimento de asma, rinite alérgica e dermatite atópica. O trabalho foi aprovado no Comitê de Ética em Pesquisa da Universidade Federal do Triângulo Mineiro, protocolo n° 909.
O hemograma foi realizado no laboratório de patologia clínica do Hospital de Clínicas da UFTM. A contagem diferencial de eosinófilos foi realizada em esfregaço corado pelo método de Giemsa.
Em relação ao parasitológico de fezes, foram coletadas 3 amostras de cada criança, obtidas em dias alternados, sem laxante prévio, em frasco contendo MIF (Methiolate, Iodo e Formol). Foram realizadas as técnicas de Exame direto e Hoffman modificado, descritos brevemente: Exame Direto: Foram colocadas duas a três gotas de salina a 0,85% em uma lâmina de microscopia. Adicionou-se com um palito pequena porção de vários pontos da amostra de fezes, espalhando-as e fazendo-se esfregaço corado posteriormente com lugol. A amostra foi observada em microscópio ótico nas objetivas 10x e 40x. Exame Hoffman Modificado: Foram colocados aproximadamente 5g a 10g de fezes em um frasco descartável), com cerca de 10 ml de água, e triturada bem com bastão de vidro. Acrescentou-se mais 10 ml de água e filtrou-se a suspensão em um tubo de 15 ml com tampa, por intermédio de gaze cirúrgica dobrada em quatro partes. Deixou-se essa suspensão em repouso durante 2 horas. Centrifugou-se a 220g, durante 10 minutos, desprezando o sobrenadante. Agitou-se o sedimento em agitador elétrico, colocando uma gota deste sobre uma lâmina adicionadas de duas gotas de lugol. A amostra foi observada em microscópio ótico nas objetivas de 10x e 40x.
Os níveis séricos de IgG4 e de IgE total foram determinadas pelo método de ELISA, com pares de anticorpos monoclonais comercialmente disponíveis (eBioscience, San Diego, CA, USA). Brevemente, foram utilizadas placas de 96 poços de fundo chato, sensibilizadas com os anticorpos monoclonais específicos para a captura da IgG4 ou IgE, conforme fabricante (eBioscience, USA). Após incubação as placas foram lavadas e então bloqueadas com solução salina tamponada com fosfato (PBS) contendo 2% de albumina bovina (Sigma, St. Louis, MO, USA). Após incubação as placas foram lavadas e adicionadas as amostras, diluídas 1:2 em PBS/BSA 2%. Após incubação as placas foram lavadas e incubadas com anticorpos de detecção conjugados com HRP (eBioscience, USA). Após incubação as placas foram lavadas e adicionado substrato TMB (eBioscience, USA). Os resultados foram obtidos pela diferença entre as absorbâncias obtidas a 450 e 570nm (Abs 450- Abs 570) e expressas em absorbância.
Um ELISA quimérico foi utilizado para quantificar a presença de IgE específica a antígenos de Derp1-2 (INDOOR, USA). O ELISA foi realizado segundo metodologia descrita anteriormente por Araujo et al., 200015 e o resultado expresso em absorbância ou em UI/mL, concentração obtida diretamente a partir da curva controle.
Dados nominais foram descritos conforme sua ocorrência absoluta e percentual. Para a análise dos resultados numéricos, se utilizou o teste de Mann-Whitney e teste de “t” não-pareado para comparação das variáveis entre 2 grupos; e, Correlação de Spearman para avaliar correlação entre dados quantitativos. As análises estatísticas foram feitas com o programa StatView Abacus Concepts versão 4,57 (Statsoft, USA). O nível considerado de significância para os testes foi de 5% (p<0,05).
RESULTADOS
Foram avaliadas 335 crianças do município de Veríssimo - MG, com idade entre 2 e 15 anos, através de demanda espontânea, atendimento ambulatorial e busca ativa nas escolas. Destes, 167 eram do sexo feminino (49%) e 168 do sexo masculino (51%). Ainda, 249 (74%) eram residentes em zona urbana e 86 (26%) da zona rural. Segundo dados do último censo populacional brasileiro, Veríssimo possuía 3.486 residentes, sendo 58,4% na zona urbana e 41,6% na zona rural14.
No estudo em questão se observa que 117 crianças não apresentaram nenhuma atopia (34,9%) e, 218 crianças (65,1%) apresentaram algum tipo de atopia (asma, rinite ou eczema), com ocorrência de asma em 89 crianças (26,6%), de rinite em 162 (48,4%) e de eczema em 97 (29%). Quanto à associação entre as doenças, asma e rinite se apresentaram concomitantemente em 57 crianças (17%), asma e eczema em 37 (11%) e rinite e eczema em 65 (14,9%). Na ocorrência global de atopias de acordo com a procedência dos indivíduos não se observou diferença significativa (Tabela 1).

Sem diferença estatisticamente significativa. Análise estatística pelo Teste Exato de Fisher, p=0.514.
Quanto ao exame parasitológico de fezes apenas 30 amostras (8,95%) foram positivas. Das 30 amostras positivas, 5 (1,5%) crianças procedentes da zona urbana apresentaram positividade para Giardia sp, 24 (7,2%) apresentaram positividade para Entamoeba sp, e destes 17 eram procedentes de zona urbana e 7 de zona rural, apenas uma criança (0,3%) procedente da zona urbana apresentou positividade para Ascaris lumbricoides. De modo geral, houve uma ocorrência significativamente mais elevada de exames parasitológicos de fezes positivos nas crianças provenientes de zona rural (Tabela 2).

Análise estatística pelo Teste Exato de Fisher, p=0.0006.
Não se verificou diferenças estatisticamente significativas na concentração de hemoglobina, no hematócrito e na contagem de hemácias entre indivíduos provenientes da zona rural ou urbana, assim como entre indivíduos positivos e negativos no exame parasitológico de fezes (Figura 1A e 1D). A contagem de leucócitos totais, bem como o diferencial do leucograma não teve significância estatística em relação à procedência ou resultado do exame parasitológico de fezes (Figura 1B e 1E). Especificamente a contagem de eosinófilos, cujo aumento poderia estar relacionado com atopia ou presença de verminoses, não mostrou diferenças significativas, seja de acordo com a procedência, rural ou urbana (Figura 1C) mas, estiveram significativamente elevados nos pacientes com exame parasitológico de fezes positivo (Figura 1F). Ainda, nas diferentes condições alérgicas – asma, rinite e eczema – não se observou diferenças no percentual de eosinófilos (dados não mostrados).

Níveis de hemoglobina, leucócitos totais e percentual de eosinófilos de acordo com a procedência de zona urbana ou rural (A-C) e resultado positivo ou negativo no exame parasitológico de fezes (D-F). A linha horizontal representa a mediana, as barras os percentis 25-75% e as linhas verticais os percentis 10-90%. Análise estatística pelo teste de Mann Whitney.
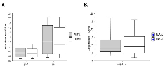
Não houveram diferenças entre os pacientes nos níveis de IgG4 ou IgE plasmática, seja quanto à procedência de zona rural ou urbana (Figura 2A), ou especificamente a IgE anti-derp 1-2 (Figura 2B). Em relação à proveniência da zona rural ou urbana também não encontramos diferenças estatisticamente significativas nos níveis de IgE ou IgG4 (dados não mostrados). Em relação à IgG4 se observa aumento estatisticamente significativo nos indivíduos com exame parasitológico de fezes negativo em relação aos positivos (Figura 3A). Nesses indivíduos nenhuma diferença nos níveis de IgE total ou IgE anti-derp 1-2 se observou (Figura 3B).

Valor de IgG4, IgE (A) e IgE anti-derp 1-2 (B) entre indivíduos procedentes de zona urbana ou rural. A linha horizontal representa a mediana, as barras os percentis 25-75% e as linhas verticais os percentis 10-90%. Análise estatística pelo teste de Mann Whitney. (B-D).

Valor de IgG4, IgE (A) e IgE anti-derp 1-2 (B) entre indivíduos positivos ou negativos no exame parasitológico de fezes. A linha horizontal representa a mediana, as barras os percentis 25-75% e as linhas verticais os percentis 10-90%. Análise estatística pelo teste de Mann Whitney.
Os dados mostraram correlação significativa e positiva entre a contagem relativa de eosinófilos e os níveis plasmáticos de IgE total (Figura 4A). Por outro lado, a concentração plasmática de IgE total e a reatividade aos antígenos Der p 1-2 não tiveram correlação significativa (Figura 4B).

Correlação entre IgE total e Eosinófilos (A) e anti-Derp 1-2 (B). Análise estatística pelo teste de correlação de Spearman.
DISCUSSÃO
A relação de alergia e helmintíase é controversa. Cooper et al. avaliando pacientes equatorianos relatou uma influência negativa da infecção helmíntica na atopia16, assim como Flohr et al. em pacientes do Vietnam17. Entretanto, outro estudo não apresentou influência da infecção helmíntica nas atopias ou mesmo que esta era fator agravante dos quadros alérgicos18. No Brasil, Nascimento-Silva et al., observaram uma alta prevalência de helmintíase (57%) associada com alta prevalência de asma (60%)19.
Nesse estudo a prevalência de asma e rinite esteve próxima da descrita por Solé20 avaliando 20 cidades brasileiras, embora no presente estudo houve uma maior ocorrência de eczema. Em contrapartida, estudo realizado em Belo Horizonte, encontrou cerca de 75% de rinite em crianças21. No estudo aqui apresentado a rinite também foi a manifestação alérgica mais comum, mas a prevalência se mostrou menor (48,4%).
Não se verificou diferenças nos índices hematimétricos em relação à procedência ou ocorrência de atopias, nem entre os portadores de parasitoses intestinais. Porém, como não se teve alta positividade no exame parasitológico de fezes não é possível tal análise mais ampliada. O fato dos parâmetros hematimétricos estarem dentro dos limites da normalidade, nos que todas as crianças gozavam de boas condições gerais de saúde e, de saneamento básico que contribuem para o controle destas parasitoses, em especial quando associado ao tratamento antiparasitário disponível pelo sistema público de saúde.
Não se observou diferenças na incidência de atopias, asma, rinite e eczema em relação a sexo ou procedência dos indivíduos, talvez esse resultado seja reflexo da similaridade entre zona urbana e rural na localidade avaliada. Naqueles indivíduos provenientes de ambiente rural se teve maior prevalência de parasitose intestinal no exame de fezes. Este resultado está de acordo com estudos que observaram uma maior positividade para helmintos em regiões rurais e/ou com saneamento básico deficiente18.
A determinação da IgE anti-Ascaris é capaz de detectar a infecção mesmo em indivíduos com parasitológico negativo, podendo estar negativamente relacionada com a presença de ovos na fezes23. Medeiros et al., sugerem que em pacientes apresentando condições alérgicas a determinação de IgE anti-Ascaris é mais sensível que o exame parasitológico de fezes na demonstração de infecção helmíntica24. Os pacientes que apresentaram alguma sintomatologia de atopia, seja asma, rinite ou eczema, não demonstraram níveis de IgE total estatisticamente diferentes dos indivíduos não atópicos. Artigos prévios são conflitantes, ora demonstrando maior concentração de IgE em indivíduos atopicos25, ora não evidenciando diferenças entre atópicos e não atópicos26. Ainda, dados epidemiológicos indicam que a inibição da reatividade á aeroalérgenos em indivíduos infectados por geohelmintos não está associada ao nível sérico de IgE18.
Já foi sugerido que o parasitismo intestinal, especialmente por helmintos, influencia os níveis totais de IgE27, embora estudo com um grupo maior de indivíduos parasitados não tenha confirmado esta influência, seja na zona urbana ou rural25. A concentração de IgE total se mostrou correlacionada com o percentual de eosinófilos. Da mesma forma Satwani et al.26 observaram uma forte correlação entre a eosinofilia e o nível de IgE total e, ainda, presença de alergia. Entretanto a associação de eosinofilia e níveis de IgE não foi significativa em algumas doenças alérgicas sistêmicas.
Além de IgE, anticorpos IgG4 foram previamente relacionados tanto com imunidade anti-parasitária quanto à reação alérgica28,29. O estudo aqui em questão mostrou que crianças com exame parasitológico de fezes negativo apresentaram maior concentração destes anticorpos. Apesar da menor ocorrência de parasitoses nas crianças provenientes de zona rural não se demonstrou diferenças na IgG4 segundo a procedência. Estudos anteriores apontam que há uma inversão entre proteção e patogenia entre essas classes de anticorpos em alergia e parasitoses, especialmente helmintíases, e que mecanismos efetores anti-parasitários são mais dependentes de IgE que de IgG430,31,32
Muitos aspectos como idade do paciente quando da infecção parasitária inicial, carga parasitária, condições socioeconômicas, estilo de vida e exposição à alérgenos ambientais podem ter papéis importantes na relação entre infecções parasitárias e doenças alérgicas. Eventos que ocorrem por volta dos 2 ou 3 anos de idade podem ser cruciais na determinação do desenvolvimento de doenças alérgicas33. A escolha da idade mínima de 2 anos se baseou em apontamentos na literatura de que o sistema imune, especialmente os de resposta inata atingem maturação completa por volta de 24 meses de idade34.
Estudos prévios apontam que alérgenos de ácaros D. pteronyssinus e B. tropicalis são os mais prevalentemente encontrados na poeira na maioria das regiões tropicais33 e que existe uma associação entre sensibilização aos ácaros e asma35 com a redução à exposição ao alérgeno melhorando significativamente os sintomas e exacerbações da doença36. Na população avaliada houve tendência de correlação entre os níveis de IgE total e anti-Derp1, podendo sugerir que a exposição a este alérgeno tem maior impacto nos níveis séricos de IgE que um possível parasitismo intestinal. Verificou-se também correlação entre os níveis de IgE total e aumento no número de eosinófilos. Estudos sugerem que, na infância, elevações na concentração de IgE sérica se devam principalmente à fenômenos alérgicos e não com a presença de parasitoses34.
CONCLUSÃO
A ocorrência de fenômenos de hipersensibilidade ou a procedência dos indivíduos não esteve relacionada com alterações de parâmetros laboratoriais, especialmente com reatividade a antígenos parasitários e alérgenos, embora se demonstrou que os anticorpos contra antígenos de ácaros podem ser grandes responsáveis pelos níveis de IgE total e que a reatividade a antígenos de ácaros é acompanhada por aumento na reatividade à antígenos Per a7.
REFERENCIAS
Asher MI, Montefort S, Bjorksten B, Lai CK, Strachan DP, Weiland SK et al, et al. Worldwide time trends in the prevalence of symptoms of asthma, allergic rhinoconjunctivitis, and eczema in childhood: ISAAC Phases One and Three repeat multicountry cross-sectional surveys. Lancet 2006; 368 (9537):733-43.
Hamid OA, Elfedawy S, Mohamed SK, Mosaad H. Immunoblotting technique: a new accurate in vitro test for detection of allergen-specific IgE in allergic rhinitis. Eur Arch Otorhinolaryngol 2009; 266(10):1569-73.
Thestrup-Pedersen K. Clinical aspects of atopic dermatitis. Clin Exp Dermatol. 2000; 25 (7):535-43.
San Sebastian M, Santi S. Control of intestinal helminths in schoolchildren in Low-Napo, Ecuador: impact of a two-year chemotherapy program. Rev Soc Bras Med Trop. 2000; 33(1):69-73.
Arlian LG, Platts-Mills TA. The biology of dust mites and the remediation of mite allergens in allergic disease. J Allergy Clin Immunol 2001; 107(Suppl 3):S406-13.
Arruda LK, Ferriani VP, Vailes LD, Pomes A, Chapman MD. Cockroach allergens: environmental distribution and relationship to disease. Curr Allergy Asthma Rep. 2001; 1(5):466-73.
Chaudhuri N. Interventions to improve children's health by improving the housing environment. Rev Environ Health 2004; 19(3-4):197-222.
Turner S, Respiratory G. Environmental exposures and respiratory outcomes in children. Paediatr Respir Rev. 2012; 13(4):252-7.
Weiss ST. Parasites and asthma/allergy: what is the relationship? J Allergy Clin Immunol. 2000; 105(2 Pt 1):205-10.
Strachan DP. Family size, infection and atopy: the first decade of the "hygiene hypothesis". Thorax 2000; 55 Suppl 1:S2-10.
Leonardi-Bee J, Pritchard D, Britton J. Asthma and current intestinal parasite infection: systematic review and meta-analysis. Am J Respir Crit Care Med. 2006; 174(5):514-23.
Cooper PJ, Chico ME, Rodrigues LC, Strachan DP, Anderson HR, Rodriguez EA, et al. Risk factors for atopy among school children in a rural area of Latin America. Clin Exp Allergy. 2004; 34(6):845-52.
Pritchard DI. Atopy and helminth parasites. Int J Parasitol. 1993; 23(2):167-8.
Brasil. Veríssimo: IBGE - Censo demográfico 2010 - sinopse. 2010 [citado Fev 2015]; Disponível em: http://www.cidades.ibge.gov.br/xtras/temas.php?lang=&codmun=317110&idtema=1&search=minas-gerais|verissimo|censo-demografico-2010:-sinopse- .
Araujo MI, Lopes AA, Medeiros M, Cruz AA, Sousa-Atta L, Sole D, et al. Inverse association between skin response to aeroallergens and Schistosoma mansoni infection. Int Arch Allergy Immunol. 2000; 123(2):145-8.
Cooper PJ, Chico ME, Rodrigues LC, Ordonez M, Strachan D, et al. Reduced risk of atopy among school-age children infected with geohelminth parasites in a rural area of the tropics. J Allergy Clin Immunol. 2000; 111(5):995-1000.
Flohr C, Tuyen LN, Lewis S, Quinnell R, Minh TT, Liem HT, et al. Poor sanitation and helminth infection protect against skin sensitization in Vietnamese children: A cross-sectional study. J Allergy Clin Immunol. 2006; 118(6):1305-11.
Scrivener S, Yemaneberhan H, Zebenigus M, Tilahun D, Girma S, Ali S, et al. Independent effects of intestinal parasite infection and domestic allergen exposure on risk of wheeze in Ethiopia: a nested case-control study. Lancet 2001; 358 (9292):1493-9.
Nascimento Silva MT, Andrade J, Tavares-Neto J. Asthma and ascariasis in children aged two to ten living in a low income suburb. J Pediatr. 2003; 79(3):227-32.
Sole D, Wandalsen GF, Camelo-Nunes IC, Naspitz CK. Prevalence of symptoms of asthma, rhinitis, and atopic eczema among Brazilian children and adolescents identified by the International Study of Asthma and Allergies in Childhood (ISAAC) - Phase 3. J Pediatr. 2006; 82(5):341-6.
Lasmar LM, Camargos PA, Ordones AB, Gaspar GR, Campos EG, Ribeiro GA. Prevalence of allergic rhinitis and its impact on the use of emergency care services in a group of children and adolescents with moderate to severe persistent asthma. J Pediatr. 2007; 83(6):555-61.
Frei F, Juncansen C, Ribeiro-Paes JT. Epidemiological survey of intestinal parasite infections: analytical bias due to prophylactic treatment. Cad Saude Publica. 2008; 24(12):2919-25.
Hagel I, Lynch NR, Di Prisco MC, Rojas E, Perez M, Alvarez N. Ascaris reinfection of slum children: relation with the IgE response. Clin Exp Immunol. 1993; 94(1):80-3.
Medeiros D, Silva AR, Rizzo JA, Motta ME, Oliveira FH, Sarinho ESC. Total IgE level in respiratory allergy: study of patients at high risk for helminthic infection. J Pediatr (Rio J) 2006; 82 (4):255-9.
Nyan OA, Walraven GE, Banya WA, Milligan P, Van Der Sande M, Ceesay SM, et al. Atopy, intestinal helminth infection and total serum IgE in rural and urban adult Gambian communities. Clin Exp Allergy. 2001; 31(11):1672-8.
Satwani H, Rehman A, Ashraf S, Hassan A. Is serum total IgE levels a good predictor of allergies in children? J Pak Med Assoc. 2009; 59(10):698-702.
Levin ME, Le Souef PN, Motala C. Total IgE in urban Black South African teenagers: the influence of atopy and helminth infection. Pediatr Allergy Immunol. 2008; 19(5):449-54.
Aalberse RC, Van Milligen F, Tan KY, Stapel SO. Allergen-specific IgG4 in atopic disease. Allergy 1993; 48(8):559-69.
Hussain R, Poindexter RW, Ottesen EA. Control of allergic reactivity in human filariasis. Predominant localization of blocking antibody to the IgG4 subclass. J Immunol. 1992; 148 (9):2731-7.
Turner JD, Faulkner H, Kamgno J, Kennedy MW, Behnke J, et al. Allergen-specific IgE and IgG4 are markers of resistance and susceptibility in a human intestinal nematode infection. Microbes Infect. 2005; 7(7-8):990-6.
Figueiredo JP, Oliveira RR, Cardoso LS, Barnes KC, Grant AV, Carvalho EM, et al. Adult worm-specific IgE/IgG4 balance is associated with low infection levels of Schistosoma mansoni in an endemic area. Parasite Immunol. 2012; 34(12):604-10.
Oliveira RR, Figueiredo JP, Cardoso LS, Jabar RL, Souza RP, Wells MT, et al. Factors associated with resistance to Schistosoma mansoni infection in an endemic area of Bahia, Brazil. Am J Trop Med Hyg. 2012; 86(2):296-305.
Segundo GR, Sopelete MC, Terra SA, Pereira FL, Justino CM, Silva DA, et al. Diversity of allergen exposure: implications for the efficacy of environmental control. Braz J Otorhinolaryngol. 2009; 75(2):311-6.
Moraes LS, Barros MD, Takano OA, Assami NM. Risk factors, clinical and laboratory aspects of asthma in children. J Pediatr. 2001; 77(6):447-54.
Wickens K, Pearce N, Siebers R, Ellis I, Patchett K, Sawyer G, et al. Indoor environment, atopy and the risk of the asthma in children in New Zealand. Pediatr Allergy Immunol. 1999; 10(3):199-208.
Clark RA, Adinoff AD. The relationship between positive aeroallergen patch test reactions and aeroallergen exacerbations of atopic dermatitis. Clin Immunol Immunopathol. 1989; 53 (2 Pt 2):S132-40.
Notas
Autor notes