Resumen: En Ecuador existe un gran consumo energético por climatización y refrigeración en los sectores industrial, comercial y residencial. Un método para reducir la demanda eléctrica máxima es incorporar un sistema óptimo de almacenamiento de energía térmica de refrigeración. Este trabajo tiene por objetivo realizar el estudio paramétrico de un generador de hielo tubular de laboratorio para su posterior optimización. Se estudiaron los principales parámetros que intervienen en la formación de hielo como temperatura del agua en el reservorio, temperaturas del refrigerante en el evaporador y condensador, temperatura de subenfriamiento del hielo y velocidad de formación de hielo. Los parámetros destacados que intervinieron en el proceso fueron las condiciones ambientales del lugar y la temperatura del agua utilizada. Al disminuir la temperatura ambiental, disminuye la carga térmica y mejora la eficiencia del condensador, el cual influye directamente sobre la eficiencia del equipo. La inestabilidad observada en la primera hora de prueba intervino en la temperatura final del agua, la misma que varió en el rango de 1,1 °C a –0,4 °C en 3 horas.
Palabras clave:eficiencia energéticaeficiencia energética,generadorgenerador,hielohielo,optimizaciónoptimización,refrigeraciónrefrigeración,almacenamientoalmacenamiento.
Abstract: In Ecuador, there is a large energy consumption by air conditioning and refrigeration in the industrial, commercial and residential sectors. A maximum electricity demand reduction method is to incorporate an optimal cooling thermal energy storage system. The main objective of this work was to develop a parametric study of laboratory ice tube generator for an after optimization. For that, the main parameters were studied, which are: water storage temperature, refrigerant temperature in the evaporator and condenser, ice subcooling temperature and ice formation speed. Two outstanding parameters that intervened in the ice formation process were the place environmental conditions and the water temperature used, when the environmental temperature decreased, thermal load also decreased and condenser efficiency improved, which directly influenced the efficiency of the equipment. The instability observed in the first hour of test intervened in the final water temperature, final temperature ranged from 1.1 ° C to -0.4 ° C in three hours.
Keywords: Energy efficiency, ice, bank, optimization, refri-geration, storage.
Estudio paramétrico para optimización de un generador de hielo tubular de laboratorio
Parametric Study for Optimization of the Ice Tube Generator of Laboratory

Recepción: 24 Octubre 2019
Aprobación: 09 Diciembre 2019
Guapulema-Maygualema, R. y Hidalgo-Díaz, V. (2020). «Estudio paramétrico para optimización de un generador de hielo tubular de laboratorio». Ingenius. N.° 23, (enero-junio). pp. 86-96. doi: https://doi.org/10.17163/ings.n23.2020.08.
En la actualidad, el ahorro de energía y la protección del medioambiente es un tema importante en todo el mundo [1]. Por otra parte, el almacenamiento de energía térmica es considerado una de las tecnologías energéticas más importantes [2] con fines de reducción de consumo eléctrico. Se han realizado estudios en generadores de hielo con la finalidad de evaluar y mejorar su funcionamiento a más de reducir el consumo eléctrico, parámetros evaluados como la conductividad térmica del material del condensador, la capacidad del tanque, el paso longitudinal y transversal de tubería del condensador y las temperaturas del refrigerante [3], afectan directamente al diseño del equipo, necesidad de espacio y eficiencia del sistema.
De igual forma, se han evaluado pérdidas energéticas por almacenamiento de hielo, estructuras de costos y tarifas eléctricas, periodos de tarifas, capacidad de almacenamiento de los generadores de hielo y el impacto de la previsión de la carga [4].
En [5] se presenta un modelo para optimización de sistemas de aire acondicionado con termoacumulación y los resultados de la simulación del sistema. Considerando que, la creciente demanda de sistemas de aire acondicionado ha llevado a un mayor consumo de energía durante las horas pico [6], los sistemas de acumulación térmica son cada vez más populares [7], permitiendo el desarrollo de estudios que abarcan aspectos físicos, técnicos, económicos, ambientales [8, 9] y de consumo de materia prima [10] de los sistemas de almacenamiento de energía térmica de refrigeración y sus aplicaciones [2], con el fin de encontrar un método que mejore su eficiencia [11].
En Ecuador, los sectores residencial, industrial y comercial, representan el 31 %, 25,9 % y 15,9 % de la demanda de energía [12]; aproximadamente el 50 % del consumo energético en los sectores residencial y comercial en las regiones Costa y Sierra, se debe a refrigeración y climatización [13]. El Balance Nacional de Energía Eléctrica presentado por la Agencia de Regulación y Control de Electricidad (ARCONEL) en junio de 2019 indica que, el consumo de electricidad para estos sectores fue de 17 736,87 GWh [12]. Un método para reducir la demanda eléctrica máxima es incorporar almacenamiento de energía térmica de refrigeración [14], el mérito radica en transferir el consumo de energía de las horas pico a las horas de bajo consumo [7, 10, 15]. La energía térmica se puede almacenar utilizando calor sensible o latente [16, 17], es decir, agua fría o hielo, siendo este último ventajoso ya que requiere volúmenes de almacenamiento más pequeños [18, 19].
Con el fin de ahorrar energía y optimizar procesos que utilizan sistemas de almacenamiento de energía frigorífica como climatización, procesamiento de lácteos, cervecerías, fabricación de plásticos, procesos químicos, entre otros, es importante simular la eficiencia que tendría un equipo para generación y almacenamiento de hielo. Un estudio paramétrico fue realizado para optimización del generador de hielo tubular construido a través del proyecto de titulación Diseño y construcción de un generador de hielo tubular para laboratorio [20].
Este generador que corresponde al sistema de hielo sobre evaporador consiste en un arreglo de tubos sumergidos en un tanque por los cuales se bombea refrigerante frío para congelar el agua que los rodea [21]. Se estudiaron los parámetros que intervienen en el proceso de formación de hielo y almacenamiento de energía térmica de refrigeración mediante modelación matemática del ciclo térmico y de transferencia de calor. La creación de un programa para simulación numérica en el entorno Guide de Matlab permitió simular el funcionamiento del equipo en diferentes ambientes, mientras que, un estudio experimental se realizó para valorar la simulación numérica. Con este estudio se definieron los parámetros más importantes que modifican el funcionamiento y eficiencia del generador.
Los parámetros considerados para el estudio involucran temperaturas de almacenamiento de agua en el generador, temperaturas del refrigerante en el evaporador y condensador, temperatura de subenfriamiento de hielo, espesor de hielo y velocidad de liberación y extracción de calor de forma natural. Fue importante estudiar la generación de hielo, tomando en cuenta que, al aumentar el espesor aumenta la resistencia de transferencia de calor [22, 23].

El equipo utilizado para el estudio paramétrico está conformado por una unidad condensadora L’UNIQUE HERMETIQUE CAJ2428ZBR de 1/2 HP de capacidad, que utiliza R404a como refrigerante, una válvula de expansión TES 2 – 0,45, filtro A-TD -132 SAE, visor de líquidos SGI-10, válvula solenoide TR ¼ 032F8107, presóstato, manómetros, tablero de control, conjunto tanque-reservorio, sistema de aire para agitación de agua y un evaporador alojado en el tanque (Figura 1), que está conformado por dos serpentines de cobre tipo L de 15,88 mm (1/2 pulg) de diámetro, cada uno de 3 metros de longitud. Entre cada serpentín existe una separación de 120 milímetros. Además, entre los elementos que intervienen en el sistema de adquisición de datos se encuentra la interfaz de control, sensores LM 35, tarjetas Arduino UNO, computadora y software para adquisición de datos.
En [24] indica el proceso para estudio y evaluación del ciclo de refrigeración y su eficiencia. Se tomó esta información como base para la modelación matemática del ciclo de refrigeración.

En el diagrama Presión-Entalpía (Figura 2) se observan cuatro procesos. El refrigerante que idealmente se encuentra como vapor saturado a temperatura T1 = −0.5 °C es comprimido y recalentado hasta alcanzar las condiciones de condensación a presión P ≈ 1, 416 MPa , y temperatura T ≈ 28, 9 ° C, para luego ser condensado sin que exista variación de temperatura. Posteriormente pasa por una válvula de expansión disminuyendo presión y temperatura conservando entalpía, para luego absorber calor del agua en el reservorio cambiando su estado de líquido a gas.
La entalpía real se calcula mediante la ecuación del cambio de entalpía a presión constante mostrada en la Ecuación 1.

y P1 representan la temperatura real y la presión en el punto 1, Cprefes el calor específico del refrigerante.
La caída de presión en la válvula de aspiración hacia el compresor se evalúa en el punto a, la entalpía se calcula mediante la ecuación del cambio de entalpía a temperatura constante como se indica en la Ecuación 2.

donde, Rref es la constante del refrigerante,
la presión real en el punto 1, va y Ta el volumen específico del refrigerante y temperatura en el punto a respectivamente.
Se considera una caída de presión a la salida del condensador por efecto de la fricción del refrigerante al pasar por este componente. Para el cálculo de la entalpía del refrigerante sobre la línea de entropía constante considerando un proceso de compresión isentrópica se utiliza la Ecuación 3.

donde, c1, c2, c3, c4 son coeficientes calculados según las tablas ASHRAE del refrigerante R404a [25], Tb y Tc son temperaturas de saturación del refrigerante como vapor a las presiones Pb y Pc, hb es la entalpía evaluada por el contacto que tiene el refrigerante con la superficie interna del compresor. Para los puntos: 1, b, c’, 2, 3 y 4 presentes en la Figura 2, el cálculo de las entalpías se realiza de acuerdo con la tabla de propiedades del refrigerante. Se evalúa la eficiencia frigorífica del sistema, el coeficiente de desempeño en función del efecto refrigerante útil y la energía neta suministrada por el compresor, mientras que, la cantidad de refrigerante suministrado en el equipo se calcula en función de la capacidad de la unidad condensadora , como se observa en la Ecuación 4.

Para el modelo se consideró tres situaciones básicas:
1) Flujo de calor ambiental hacia el interior del tanque: El calor fluye desde un foco caliente hacia un foco frío [26, 27], es decir, si en el interior del tanque se tiene agua a baja temperatura y hielo sobre el evaporador, el calor se transmitirá por convección libre del aire hacia las paredes externas del tanque, siendo esta la primera etapa del fenómeno. En la segunda etapa el calor se transmite por conducción desde las paredes externas del tanque hacia la capa de aislante y posteriormente a las paredes internas hasta llegar al agua, aquí la transferencia se estudia como convección libre.
2) Enfriamiento de agua sin formación de hielo: Se transfiere calor del agua hacia el refrigerante en dos etapas: la transferencia de calor libre entre el agua y la superficie exterior del evaporador y la transferencia de calor desde la superficie externa del evaporador hacia el refrigerante.
3) Formación de hielo sobre el evaporador: En la fase de congelación se supone dos etapas, la primera describe la transferencia de calor del agua hacia la capa de hielo, mientras que, la segunda etapa supone la transferencia de calor desde la capa superficial de hielo hacia el fluido refrigerante.
Los datos necesarios para la evaluación por transferencia de calor se toman basándose en la temperatura fílmica calculada en función de la temperatura superficial y la temperatura del fluido T∞.
El incremento de calor debido al ambiente se deduce en función del coeficiente global de transferencia de calor U, el área de transferencia de calor A y las variaciones de temperatura entre el aire exterior y el agua, T∞aire_externo y TmW respectivamente.

El flujo de calor que atraviesa la pared del tanque está definido por la Ecuación 5, donde eac es el espesor de la lámina de acero inoxidable 304, ep es el espesor del poliuretano, kac es el coeficiente de conductividad del acero inoxidable 304, kprepresenta el coeficiente de conductividad del poliuretano, h∞a y h∞w son los coeficientes convectivos promedio del aire exterior y agua respectivamente.
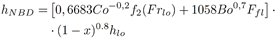
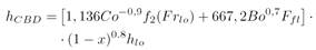
Para el estudio del enfriamiento de agua sin formación de hielo se evaluó el coeficiente por convección forzada de ebullición h∞ref, que es igual al valor máximo entre el coeficiente de ebullición de las regiones de ebullición nucleada dominante hNBD, y el coeficiente de ebullición de las regiones de ebullición convectiva dominante, calculados a través de las Ecuaciones 6 y 7.


Se tomó en cuenta el número de convección Co, el factor de fricción del refrigerante f2, el número de Froude Frlo, el punto de ebullición Bo, el parámetro de asociación superficie-fluido Ffl, la calidad del fluido refrigerante x, el coeficiente de transferencia de calor hlo, [28] presenta la forma de cálculo de estos coeficientes.
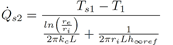
Se determinaron dos cargas térmicas,
que toma en cuenta la resistencia térmica del agua solamente y
que considera las resistencias térmicas por las paredes del evaporador y el refrigerante. Las dos cargas térmicas están definidas por las Ecuaciones 8 y 9.


donde, L representa la longitud de tubería del evaporador, ri y re los radios interno y externo del evaporador, kc el coeficiente de conductividad térmica del cobre y Ts1 la temperatura de la capa superficial agua-evaporador. En la fase de formación de hielo sobre el evaporador se calcula la carga térmica por transferencia de calor de agua Importar tabla hacia la capa superficial de hielo (Ecuación 10) y la carga térmica por transferencia de calor desde la superficie de hielo hacia el refrigerante (Ecuación 11).
hacia la capa superficial de hielo
(Ecuación 10) y la carga térmica por transferencia de calor desde la superficie de hielo hacia el refrigerante
(Ecuación 11).


donde, e representa el espesor de hielo formado en un tiempo t, h∞w2 el coeficiente convectivo del agua utilizado en la transferencia de calor agua-evaporador, Tmw la temperatura media aritmética del agua evaluada en función de las temperaturas inicial T0_agua y final Tf_agua del agua y kh el coeficiente de conductividad del hielo. E
El tiempo necesario para enfriar el agua del reservorio de una temperatura ambiental a una temperatura requerida, varía directamente con respecto a
. La Ecuación 12 permite calcular el tiempo de enfriamiento de agua en horas, se considera la masa del agua en el tanque magua en kg, el calor específico del agua Cpagua en kJ/kg °C. La carga neta
con la que cuenta el sistema para enfriamiento de agua y generación de hielo es igual a la diferencia entre la capacidad de la unidad condensadora y la carga total perdida.

El espesor de hielo generado en un tiempo t (Ecuación 13) se determina en función del flujo de calor latente Qlat. Este valor es el resultado de la diferencia entre la carga térmica por transferencia de calor de agua hacia la capa superficial de hielo y la carga térmica por transferencia de calor desde la superficie de hielo hacia el refrigerante.

donde, De es el diámetro externo del evaporador en metros, ρh la densidad de hielo en kg/m3, hsfel calor latente de fusión del agua en kJ/kg. Mientras que, la masa de hielo generada mh se determina a través de la Ecuación 14.

En un tiempo inicial el agua en el tanque se encuentra a temperatura ambiente, con el funcionamiento del equipo, la temperatura disminuye hasta llegar a una temperatura igual o cercana a 0 °C. La temperatura final a la que llegará el agua en un determinado tiempo se calcula en función de la diferencia entre la carga neta y la carga estimada por la resistencia térmica del agua solamente
(Ecuación 15).


En tanto que, la Ecuación 16 se utiliza para evaluar la temperatura del agua considerando la existencia de hielo sobre el evaporador, para esto se utilizará la carga calculada por la resistencia térmica del agua en el proceso de congelación
.
El programa realizado en el entorno Guide de Matlab permite la modificación continua de datos de temperatura y presión ambientales, de agua y refrigerante necesarios para el análisis termodinámico y de transferencia de calor. Guide permitió diseñar de forma gráfica la interfaz en el editor de diseño mientras se generaba de manera automática el código de Matlab para construirla. Al guardar las modificaciones realizadas en la interfaz se crearon dos archivos, uno es .fig y el otro .m, las líneas de código que contiene el segundo archivo son las que crean la interfaz que se tiene en el archivo .fig. En la zona de comandos del push button «Calcular» se insertó la programación a ejecutarse.
La secuencia de programación involucra el ingreso de datos tipo texto que luego serán convertidos a tipo double para utilizarlos en la resolución de ecuaciones presentes en la programación, el cálculo de parámetros a ser evaluados y visualización de resultados en tablas y una gráfica presentando el diagrama Presión-Entalpia definido en el ciclo termodinámico.
Las ecuaciones evaluadas para simular el funcionamiento del generador de hielo fueron definidas en la modelación matemática. La interfaz creada para el proceso consta de ciclos iterativos para aproximación de resultados y evaluación del fenómeno a distintos valores de calidad de fluido y de espesor de hielo generado.
Para la simulación se plantearon tres escenarios de funcionamiento en base a horas de la mañana, tarde y noche. Esta información permitió crear curvas de variación de espesor, velocidad de formación de hielo, temperatura del agua en el tanque y temperatura de capa superficial en el evaporador.
El procedimiento utilizado para la puesta en marcha del equipo y la adquisición de datos se detallan en la Figura 3. Se establecieron las condiciones iniciales de operación del equipo al estabilizar la presión de trabajo.
Se registraron valores de temperaturas al ingreso y salida del evaporador, a la salida del condensador, en el centro del reservorio y a distancias de 3, 12 y 25 milímetros de la capa superficial agua-evaporador. El crecimiento del espesor de hielo también fue registrado por medio de una cámara fotográfica.

Datos técnicos de fabricantes y valores de funcionamiento registrados fueron necesarios para cálculos y discusión de resultados. Las presiones de baja y alta de funcionamiento del sistema fueron 0,5 y 1,4 MPa (75 y 203 psig) respectivamente. Se determinó que el refrigerante llega al evaporador como una mezcla de líquido y vapor saturado con una calidad del 29 %. Las temperaturas de trabajo fueron –5 °C en el evaporador y 28,9 °C en el condensador.
Mediante simulación se evaluaron los parámetros de funcionamiento indicando lo siguiente:
• La generación de hielo en un tiempo determinado para las diferentes experiencias, inició cuando la capa de fluido más cercana al evaporador se enfrió hasta la temperatura de cambio de fase, esto se observó como un desplazamiento en el origen de cada curva mayor a 0,2 h.
• El acelerado incremento de la velocidad de formación de hielo y su posterior estabilización representa el enfriamiento rápido que ocurre en las capas de agua más próximas a la tubería del evaporador y su consecuente congelación, menores velocidades se registraron al incrementar el espesor de hielo, esta velocidad fue mayor en las primeras 1,5 h.
• La temperatura del agua decreció a razón de °C/h durante las dos primeras horas, después de ese tiempo este valor decreció considerablemente hasta llegar a 0,5 °C/h al pasar las 3 horas de funcionamiento. Con temperaturas ambientales bajas, el tiempo de generación de hielo fue menor.
• El cambio de temperatura de capa superficial en el evaporador presentó dos variaciones, la primera corresponde a la tasa de cambio del calor sensible, hasta llegar a una temperatura de 0 °C. Posteriormente la variación tiende a detenerse por un rango de 0,25 h, este fenómeno responde a un cambio de fase del agua en los sectores más cercanos a la pared de la tubería. Transcurrido el tiempo de cambio de fase inicia el subenfriamiento de hielo para finalmente estabilizarse a –7 °C.
• Mediante simulación numérica se registró una eficiencia de refrigeración promedio del 70 % y un coeficiente de desempeño (COP) promedio de 5,5.
Experimentalmente se recolectaron datos de temperaturas y espesor de hielo en el tiempo, datos principales de las experiencias representativas consideradas para el estudio se detallan en la Tabla 1. Las prácticas 1, 2, 3 y 4 se realizaron considerando convección natural del agua. Por el contrario, la práctica 5 fue realizada contemplando convección forzada. La Figura 4 muestra el proceso de formación de hielo observado en la práctica 2. Los resultados obtenidos de forma experimental se sintetizan a continuación.


• La formación de hielo fue nula en un rango de tiempo de 0 a 8 minutos, durante este período, la capa de fluido más cercana al evaporador se enfrió para luego cambiar de fase.
• Las condiciones de baja temperatura hicieron que la velocidad de formación de hielo sea mayor, obteniéndose espesores de hielo de 22 a 25 mm en 3 horas de funcionamiento.
• En un tiempo de funcionamiento mayor a 3 horas, la generación de hielo disminuyó considerablemente, transcurridas 5 horas de funcionamiento el espesor de hielo aproximado fue de 35 mm como se observa en la Figura 5.
• El funcionamiento del equipo en convección forzada, presentó mayor velocidad de enfriamiento de agua y menor crecimiento de hielo, en comparación con los cálculos de prácticas en convección libre.
• En el transcurso de 5 a 10 minutos después de iniciada la práctica, con una temperatura 2 °C menor que la temperatura inicial, comienza el cambio de fase de la película de fluido más cercana al evaporador. Las velocidades de generación de hielo van desde los 3 a 9 mm/h.
• La temperatura del refrigerante en el evaporador varía en forma descendente desde –3 °C a –5 °C, indicando la variación de la capacidad frigorífica del equipo de acuerdo con la demanda en ese instante.

• La temperatura del refrigerante a la salida del condensador se estabiliza a los 15 minutos de encendido el equipo, en un rango de 28 °C a 34 °C. Este valor se encuentra principalmente en dependencia de la temperatura ambiental, temperatura del agua y presión de alta del sistema considerando las pérdidas existentes.
• El valor de carga térmica total se obtuvo mediante la suma del calor sensible y calor latente para un instante de tiempo determinado, tomando en cuenta los datos de temperatura del agua en el tanque, la masa de hielo y la masa de agua, este valor llega a un punto de equilibrio cuando las pendientes de las curvas de flujo de calor sensible y latente tienen valores aproximados, es decir, cuando la carga térmica necesaria para enfriar el agua disminuye en la misma proporción en la que aumenta la carga térmica para generación y subenfriamiento de hielo. No se observó variación considerable de carga térmica a partir de 1,5 h de funcionamiento. Transcurridas 3 horas, la carga térmica total varía en el rango de 858 W a 892 W. En la Figura 6 a), los dos picos más altos (cargas térmicas mayores) son el resultado de experiencias realizadas por la tarde, mientras que los dos picos siguientes son el resultado de experiencias realizadas por la noche, indicando una relación directa con la temperatura ambiental y temperatura del agua.
• Los valores de carga térmica obtenidos de 0 a 0,5 horas son mayores a los obtenidos 3 horas después. Los picos observados en las curvas responden al requerimiento de mayor capacidad frigorífica para enfriamiento de agua. A los 10 minutos de funcionamiento del equipo del 100 % de capacidad frigorífica requerida, el 90 % corresponde al calor necesario para enfriamiento de agua, pero, a las 3 horas de funcionamiento del equipo, el 40 % de la capacidad frigorífica requerida se utiliza para enfriamiento de agua.
• El consumo del compresor en 3 horas de funcionamiento varió en el rango de 165 W a 173 W, para retirar una carga térmica de 859 W a 892 W. Las curvas de la Figura 6 b) indican la variación de la potencia consumida por el compresor de acuerdo con la capacidad frigorífica requerida.

• Por cada vatio consumido por el compresor, se retiró aproximadamente 5 W de energía térmica del agua en el tanque reservorio.
• El COP observado para distintas temperaturas de ambiente y agua varía en el rango de 5,8 a 6,1; mientras que, la eficiencia frigorífica fluctúa entre valores de 78 % y 95 %.
• En la experiencia realizada a temperatura inicial de agua de 17 °C y temperatura ambiental de 20 °C en convección forzada, se obtuvo la menor carga térmica retirada igual a 794,11 W, la temperatura del agua al final de la experiencia fue de 0 °C, el COP obtenido fue de 5,92 y la eficiencia frigorífica del 90,7 % (Figura 6c). Si se comparan estos valores con los resultados obtenidos en la experiencia realizada con la temperatura inicial de agua más baja (convección natural), los resultados de potencia absorbida, COP y eficiencia frigorífica son muy similares, en tanto que, al igualar los valores de temperatura final de agua y espesor de hielo si existe una diferencia notoria de –0,4 °C y 5 mm respectivamente. En consecuencia, utilizar convección forzada en el agua sí mejoró la eficiencia frigorífica del equipo, como se indica en [11], pero poner en funcionamiento el equipo en condiciones como las observadas en la práctica realizada a temperatura inicial de agua de 16 °C resultó ser la mejor opción.
Una validación de resultados experimentales se realizó con el fin de observar el porcentaje de error de los datos generados con el modelo realizado. Se consideran los datos de la práctica 1. La Figura 7a presenta la variación de temperatura de agua obtenida por simulación y de forma experimental. La curva obtenida por simulación presenta gran similitud con los datos de temperatura obtenidos en la experiencia. 10 minutos después de iniciada la experiencia se obtuvo una temperatura de agua de 12,8 °C, mientras que, por simulación la temperatura fue de 14 °C; esta es la mayor variación observada al comparar los datos. La curva obtenida por simulación presenta una tendencia polinómica de quinto orden con un coeficiente R2 de 0,99.
Curvas obtenidas mediante datos de espesor de hielo por simulación y de forma experimental se presentan en la Figura 7b. Se observa una variación en la primera hora de funcionamiento con una diferencia máxima de espesor de hielo de 2 mm, esto debido a que la generación de hielo inició a los 10 minutos de encendido el equipo, mientras que, por simulación inició media hora después. La curva presenta una tendencia polinómica de tercer orden con un coeficiente R2 de 0,998.
Por otro lado, la Figura 7c presenta datos de variación de temperatura de la capa superficial entre el evaporador y el agua (Ts1) por simulación y de forma experimental. Para definir el cambio de esta temperatura se necesita utilizar dos ecuaciones, la primera ecuación define la variación de temperatura en el enfriamiento y cambio de fase, mientras que la segunda ecuación indica un subenfriamiento. Las curvas presentadas tienen una tendencia polinómica de tercer y sexto orden con un coeficiente R2 de 0,996.

Una situación particular ocurre con la gráfica de velocidad de formación de hielo en el tiempo observada en la Figura 8. Experimentalmente el espesor de hielo se incrementa a mayor velocidad y después de una hora se estabiliza, mientras que, por simulación se esperaba una velocidad de formación de hielo creciente en el tiempo que iniciaba después de media hora de funcionamiento del equipo. Esta diferencia se presenta a causa de inestabilidades en el proceso de formación de hielo. Al transcurrir una hora, las dos curvas se aproximan indicando igualdad. A partir de la tercera hora de funcionamiento del equipo, la velocidad de formación de hielo tiende a mantenerse con mínimas variaciones (aproximadamente 1 mm por hora).
La Tabla 2 presenta una síntesis de los resultados obtenidos de las diferentes experiencias en el transcurso de 3 horas. Se determinó el error encontrado de los datos de simulación (S) con respecto a los obtenidos de forma experimental (E), observando lo siguiente: Las diferencias contempladas al comparar los datos de temperatura final del agua y espesor de hielo obtenidos por simulación y experimental, se dan a causa de la inestabilidad observada en el proceso de formación de hielo durante la primera hora de experiencia.
Para la temperatura final del agua, el porcentaje de error calculado se encuentra en el rango del 1,78 al 80 %, el rango es elevado debido a que los valores obtenidos por simulación indicaban menores temperaturas, el modelo matemático consideró una variación de temperatura constante en el condensador, esta variación de temperatura tiene bastante similitud con la variación de temperatura observada en pruebas realizadas durante la mañana y tarde, pero en pruebas realizadas por la noche la variación de temperatura disminuyó considerablemente obteniendo temperaturas finales de agua más elevadas que las esperadas. Para los datos de espesor de hielo generado, el porcentaje de error calculado varía en un rango de 0,39 % al 15,24 %.


Una diferencia relevante se observa en el porcentaje de error de la capacidad frigorífica a retirar por simulación y experimental. Como en la simulación se tomó el valor dado en el catálogo del producto, esta es una capacidad frigorífica óptima para selección, pero no es la real, al compararlo con el valor real se observa una diferencia importante ya que el porcentaje de error varía del 25,83 al 32,77 %.
Los porcentajes de error evaluados para la velocidad de formación de hielo, trabajo del compresor, energía consumida, COP y eficiencia frigorífica no sobrepasaron el 20 %. Para el estudio paramétrico realizado, el margen de error encontrado es aceptable.
Se desarrolló un modelo matemático con base en el estudio del ciclo térmico y transferencia de calor existente y un código de programación para simulación en Guide de MATLAB. El programa creado permite variar datos del equipo, funcionamiento, ambiente y fluido de trabajo con el fin de observar el cambio en eficiencia, potencia consumida y su interacción en el tiempo. Las curvas obtenidas por simulación fueron validadas al compararlas con las curvas obtenidas con datos experimentales y evaluar el porcentaje de error que existe entre estos resultados.
Los principales parámetros que intervinieron en el proceso de formación de hielo y almacenamiento de energía térmica fueron las condiciones ambientales del lugar en donde se instaló el equipo y la temperatura del agua utilizada. El equipo instalado en Riobamba disminuyó su capacidad frigorífica a la presentada por el catálogo debido a la presión barométrica del lugar y la temperatura ambiental en días soleados.
La inestabilidad observada en el proceso de formación de hielo, en el transcurso de la primera hora de experiencia, interviene directamente en la temperatura final del agua. Al iniciar la formación de hielo 15 minutos antes de lo observado por simulación, se retiró más calor de lo calculado, obteniendo una temperatura final de agua menor a la observada por simulación. La temperatura final de agua varió en el rango de 1,1 °C a –0,4 °C en 3 horas.
La mayor eficiencia encontrada y el menor consumo energético se observaron en experiencias realizadas por la noche, cuando las temperaturas ambientales descienden, disminuyendo la carga térmica y mejorando la eficiencia del condensador, el cual influye directamente sobre la eficiencia del equipo. Para el funcionamiento por la noche con la temperatura de agua igual a 16 °C.
rocio.guapulema@ikiam.edu.ec

























