Artículo de Investigación
Análisis del congestionamiento vehicular para el mejoramiento de vía principal en Guayaquil-Ecuador
ANALYSIS OF TRAFFIC CONGESTION FOR THE IMPROVEMENT OF A MAIN ROAD IN GUAYAQUIL-ECUADOR
Análisis del congestionamiento vehicular para el mejoramiento de vía principal en Guayaquil-Ecuador
Gaceta Técnica, vol. 21, núm. 2, pp. 4-23, 2020
Universidad Centroccidental Lisandro Alvarado

Recepción: 18/02/2020
Aprobación: 15/04/2020
Resumen: En Guayaquil-Ecuador, la Av. Pedro Menéndez Gilbert es una vía principal diseñada para una capacidad de 9000 veh/h presentando en la actualidad problemas de congestionamiento vial, lo cual afecta a sus usuarios. Con el fin de proponer posibles soluciones a la problemática de movilidad, la investigación realizada tuvo como objetivo analizar alternativas que permitan mejorar el nivel de servicio. El método de toma de datos consistió en la observación, con un trabajo de campo en las intersecciones de entrada y salida de un tramo de 900 m de longitud. Se realizaron conteos manuales y categorización de vehículos durante una semana, así como conteo de tiempos de reparto de los semáforos. Se caracterizaron las intersecciones en su geometría, flujos de tráfico y sistema de semáforos. Sobre la base de un estudio previo se proyectó un incremento a 5 años de 135170 a 190424 vehículos. Se comprobó que las causas principales del congestionamiento son la distribución de los tiempos de reparto del ciclo semafórico, y el atascamiento que se produce por los buses alimentadores y colectores de la Metrovía. Se concluye que la solución principal es la actualización y ajuste adecuado del sistema semafórico, así como la apertura de una vía de salida prexistente, anterior a la intersección, y control del atascamiento producido por las unidades de la Metrovía.
Palabras clave: congestión del tránsito, control de tráfico vehicular, señales de tránsito.
Abstract: In Guayaquil-Ecuador, Av. Pedro Menéndez Gilbert is a main road with a designed capacity of 9000 vehicles/h, currently presenting traffic congestion problems, which affects its users. In order to propose possible solutions to the mobility problem, the research carried out aimed to analyze alternatives that would improve the level of service. The data collection method consisted of observation, with fieldwork at the entrance and exit intersections of a 900-m-long section. Manual counts and vehicle categorization were carried out for one week, as well as counting the distribution times of the traffic lights. The intersections were characterized in their geometry, traffic flows and traffic light system. Based on a previous study, a 5-year increase from 135,170 vehicles to 190,424 vehicles was projected. It was found that the main causes of congestion are the distribution of the alternating times of the signal cycle, and the blockage that occurs by the Metrovía feeder and collector buses. It is concluded that the main solution is the updating and proper adjustment of the traffic light system, as well as the opening of a pre-existing exit road, prior to the intersection, and control of the blockage produced by the Metrovía units.
Keywords: traffic congestion, vehicular traffic control, traffic signs.
1. INTRODUCCIÓN
La congestión vehicular afecta a la red vial de un país, representando un grave problema para la población que debe circular por ellas, entre sus causas se encuentra el incremento demográfico, la falta de obras viales como vías alternas, señales de tránsito inexistentes o desactualizadas, incremento del parque automotor, y la falta de mantenimiento vial. En tal sentido, a través de esta investigación se propuso plantear posibles soluciones que permitan mejorar el nivel de servicio y disminuir el congestionamiento en la Av. Pedro Menéndez Gilbert, ubicada en la zona este de Guayaquil - Ecuador, específicamente en el tramo de 900 m y durante las horas de mayor flujo.
Las consecuencias del congestionamiento vial asociadas con la reducción de velocidad de tránsito de los vehículos, el retraso en los tiempos de viajes, así como, incrementos en: accidentes de tránsito, consumo de combustible adicional, desgaste de las obras viales, mayor contaminación ambiental, afectan la calidad de vida y salud de los usuarios que circulan en dirección Durán – Guayaquil y Samborondón – Guayaquil. Por ello, se hizo necesario estudiar la operatividad del flujo de tránsito, o nivel de servicio vehicular a fin de encontrar soluciones que modifiquen la percepción por parte de los usuarios, así como, la velocidad, condición de flujo, volumen de servicio, tiempo de viaje y posibilidad de maniobra.
El tramo en estudio se encuentra entre dos importantes intersecciones: intersección (I1) en dirección N-S, donde confluye el tráfico proveniente de 3 fuentes: dirección norte-sur de la Av. Benjamín Rosales proveniente del Terminal Terrestre, Puente de la Unidad Nacional y retorno por giro en U de la Av. Pedro Menéndez Gilbert (Figura 1); y la intersección (I2) en dirección S-N, donde confluye el tráfico proveniente de la Av. Pedro Menéndez Gilbert y la Av. Luis Plaza Dañin (Figura 1).

En la I2, existe un paso a desnivel en sentido N-S, sobre la Av. Pedro Menéndez Gilbert (Av. PMG), lo que permite la continuidad en la circulación. Otro porcentaje de vehículos puede dirigirse bajo el paso a desnivel en carriles compartidos con la Metrovía (sistema de autobús de tránsito rápido que funciona en la ciudad de Guayaquil, Ecuador), en cuyo caso se dispone de tres opciones de circulación: tomar la av. Luis Plaza Dañin (Av. LPD) como ingreso al sector la Atarazana, girar en U para retornar en sentido S-N de la Av. PMG, o seguir en sentido N-S sobre la Av. PMG.
La velocidad media de circulación vehicular estimada en horas pico en la Av. PMG es de 15 a 30 km/h, generando una condición de flujo inestable y forzado. Las alternativas que han sido implementadas en la zona de estudio son: la puesta en servicio de una vía alternativa tipo puente, paralelo al Puente de la Unidad Nacional a una distancia perpendicular aproximada de 3 km respecto a I1, en el año 2018, para reducir el volumen de tráfico desviando los vehículos de un afluente de I1 (Av. Samborondón). Otra alternativa fue el ensanchamiento que inicia 300 m antes de I2, para mejorar el flujo en dirección a la entrada de la Av. LPD [1]. Sin embargo, persiste la congestión vehicular en las horas de alto flujo o llamada hora pico (07:00 a 10:00, 11:00 a 14:00 y 13:00 a 20:00) desde la I2 y bifurcándose en los tres afluentes de I1.
La capacidad vial máxima de diseño del tramo en estudio es de 9000 veh/h, la superación de dicha capacidad se evidencia con el congestionamiento vial y el acelerado desgaste de la vía, lo que afecta directamente a todos sus usuarios [2]. La existencia de una estación de la Metrovía bajo el paso a desnivel parece incidir en la obstrucción vial cuando las unidades vehiculares de la misma realizan su parada, reduciendo así la posibilidad de flujo vehicular y generando por parte del transporte público, y autos particulares la decisión de adelantar las unidades del sistema de transporte mencionado en un espacio reducido o continuar en cola.
Inciden también el aumento poblacional, y el incremento del nivel socioeconómico en el Ecuador sobre el número de vehículos matriculados. El Instituto Nacional de Estadística del Ecuador (INEC) registró entre los años 2014 y 2015 un crecimiento en la matriculación vehicular anual de 9,8%. Comparativamente se presenta un indicador para países latinoamericanos de 124 vehículos matriculados por cada 1000 habitantes, y registra un incremento vehicular de 8,8% entre 2016 y 2017 [3].
Resaltando que el transporte masivo disminuye la congestión vial, e incrementa la posibilidad de desplazamiento de personas que no poseen automóviles, para la Provincia de Guayas en el año 2017 se registraron 480977 veh, que representan 21,5% del total matriculados a nivel nacional. El transporte público en la ciudad de Guayaquil cuenta con aproximadamente 67 cooperativas y compañías, adicionalmente existen 107 líneas de buses circulando por la ciudad [4,5].
Tres rutas de la Metrovía transitan por la zona en estudio, ellas son Metroquil con 40 buses alimentadores y 50 articulados, Metrobastión con 70 buses alimentadores y 65 buses articulados, y Metroexpress con 90 buses alimentadores y 90 buses articulados [4]. Por tanto, es de suma importancia el estudio y análisis de la congestión vehicular en sector de estudio en la ciudad de Guayaquil, con el fin de proponer soluciones viables y económicamente factibles.
2. DESARROLLO
2.1. Clasificación de la red vial y sus componentes
La vía en estudio corresponde al tipo de alta capacidad urbana (100 km/h), corredor arterial de 5 calzadas por cada sentido de circulación, con separación y diseño tipo pavimento rígido. Según lo establecido en el Ministerio de Transporte y Obras Públicas del Ecuador (MTOP) pertenece a una la red vial cantonal [6]. La Norma Ecuatoriana Vial (NEVI) [7] clasifica mediante los siguientes siete parámetros a las vías:
• TPDA
• Desempeño por uso y velocidad
• Jerarquía en la red vial (corredores arteriales, colectoras y caminos vecinales)
• Condiciones orográficas de acuerdo al tipo de relieve terrestre natural.
• Números de: calzadas, separación física y sentidos de circulación.
• Superficie de rodamiento (pavimentos flexibles, pavimentos rígidos, afirmados y de superficie natural o terreno debidamente compactado).
• Nivel de servicio
La señalética como dispositivo de control del tránsito en calles y carreteras es constituida por: señales verticales (preventivas, restrictivas, informativas), señales horizontales o marcas que se encuentren sobre la superficie de una vía (rayas, marcas, símbolos), dispositivos para protección y sistema de semáforos; los cuales deben ser mejorados por actualización o mantenimiento [8, 9]. Complementariamente, la adecuada sincronización de los semáforos permite la circulación continua de vehículos a una velocidad constante, sin embargo, se evidencia una sincronización incorrecta que contribuye al congestionamiento vehicular.
2.2. Bases conceptuales
Para esta investigación se evaluó técnicamente el servicio vial, al realizar el estudio del sistema vial en términos de oferta-demanda (servicio ofrecido-satisfacción del usuario), se consideraron las siguientes variables según los criterios de diseño:
Capacidad u oferta del sistema vial. Corresponde al máximo de vehículos que pueden pasar por un punto específico durante un tiempo en condiciones prevalecientes, tales como: la infraestructura vial, las condiciones del tránsito, las condiciones de control, es decir, aquellas condiciones que al variar modifican la capacidad del sistema. Fueron por tanto inspeccionadas dichas condiciones previas a la investigación para realizar delimitaciones o decidir sobre su incorporación al estudio [8, 9]
Demanda vehicular. Siendo el número de vehículos que pasan por un punto durante un tiempo específico, y la oferta vial o número máximo de vehículos que pueden circular en un espacio físico, se cuantificaron para establecer una relación que identifico problemas de tránsito tales como, flujo continuo, forzado e inestable [8, 9]. Por otra parte, la infraestructura vial, de circulación continúa o discontinua tales como, semáforos, señales de alto y otros tipos de regulación que gestionan el tránsito resultaron un factor relevante en la I2 ya que en ella existen 10 diferentes tipologías de semáforos así como diferentes tipos de señaléticas [10].
Tasa de flujo vehicular. Correspondiendo a la frecuencia de circulación de una cantidad de vehículos en un punto determinado en una hora. La NEVI plantea la clasificación funcional de vías en base al Tránsito Promedio Diario Anual (TPDA) equivalente a: tiempo de duración del estudio (años) + tiempo de duración de los procesos de licitación y construcción (años) + tiempo de operatividad de la vía en años (n, si el proyecto es de rehabilitación y mejoras n=20 años, si el proyecto es especial de nuevas vías n=30 años o si es un mega proyecto nacional n=50 años) (Tabla 1) [7].
| Descripción | Clasificación funcional | Tránsito promedio diário anual (TPDA) | |
| Límite inferior | Límite superior | ||
| Autopista | AP2 | 80.000 | 120.000 |
| AP1 | 50.000 | 80.000 | |
| Autovía o carretera multicarril | AV2 | 26.000 | 50.000 |
| AV1 | 8.000 | 26.000 | |
| Carretera de 2 carriles | C1 | 1.000 | 8.000 |
| C2 | 500 | 1.000 | |
| C3 | 0 | 500 | |
La vía multicarril en estudio se clasifica funcionalmente en AV1 y AV2, sin embargo, el tope máximo del TPDA para esta clasificación es superado. La proyección de los volúmenes de TPDA, por la diversidad de afluentes involucra el tránsito inducido o desplazamiento de nuevos vehículos en la vía, el tránsito convertido o desplazamiento de vehículos que han cambiado su modo de transporte, el tránsito trasladado o desplazamiento de vehículos que anteriormente hacían uso de otras vías, y finalmente el tránsito desarrollado o aumento del parque automotor debido a las mejores condiciones de las vías o de alguna zona de influencia a este tráfico [11].
Criterios de operatividad del flujo de tránsito. En la zona de estudio se relacionaron con la velocidad, la congestión o la fluidez y la clasificación del nivel de servicio [11], a partir de los cuales de establecieron comparaciones en la caracterización del nivel de congestión vial. Esta congestión ocurre cuando es obstruida o entorpecida total o parcialmente la circulación vehicular, y los vehículos avanzan a paso lento e irregular [12], por ello para el análisis de la congestión se utilizó la medición de la longitud de cola, cuantificando por ejemplo los vehículos que esperaban por estacionamientos, semáforos, carril especial [13]. En esta investigación la congestión vial represento el punto focal que incentivo el estudio.
La disminución temporal en la capacidad vehicular como resultado de la unión de una o varias vías con un mayor número de carriles hacia otra que contiene un menor número de carriles disponibles o cuello de botella, se produce con frecuencia en la zona en estudio debido a la mala demarcación de los carriles, las rampas de acceso y salida, y particularmente cambio constante de carril de las unidades de transporte público [14].
Se identificaron seis niveles de servicio, asociados a las condiciones de operación, cada nivel describe la velocidad promedio de viaje cuando no se produce congestión, condiciones adversas como mal tiempo, hasta el flujo restringido con altos volúmenes [15]. En la Figura 2 se presentan las condiciones de flujo en cada nivel de servicio, adaptado para estimar un volumen de 2 a 5 carriles respecto a los datos del MTOP, y su asociación mediante fotografías de la zona en estudio.

El análisis de alternativas de solución a problemas de congestionamiento vehicular permite generar las estrategias de solución de ser posible de bajo costo y corto plazo. Al plantear criterios económicos estos corresponden con la construcción o no de obras civiles, en cuyo caso las estrategias pueden ser de alto a medio costo y de largo plazo. Se pueden citar como soluciones de alto a medio costo la intervención de vías angostas, intersecciones peligrosas, capacidad restringida, falta de control en la circulación, pasos a desnivel. Y de bajo costos la intervención considerando el mínimo de obra material y el máximo en cuanto a regulación funcional del tránsito, es decir, la disciplina y educación al usuario incluyendo la legislación y reglamentación adaptadas a las necesidades del tránsito, el análisis del direccionamiento del sistema de calles; la limitación del tiempo de estacionamiento, actualización de señales de tránsito y semáforos, organización del transporte público y aceras peatonales [16].
3. METODOLOGÍA
La investigación realizada es de corte transversal y de tipo descriptiva, la toma de datos se realizó mediante observación en tiempos para cuantificar y describir el comportamiento del tránsito vehicular sin influir sobre él mismo. La zona en estudio se definió por dos intersecciones, I1 e I2 previamente descritas en la sección introductoria. El trabajo de campo se realizó entre las intersecciones en un tramo de 900 m de longitud.
El conteo de vehículos se realizó utilizando el método de conteo manual en estaciones de trabajo Ei y Ef, localizadas entre las intersecciones I1 e I2 a 5 m de ellas. Simultáneamente 8 ayudantes realizaron los registros durante 8 h en horario de 7:00 a 15:00. A partir de los datos recopilados se determinaron: el valor del Tránsito Promedio Diario (TPD), Tránsito Promedio Diario Anual (TPDA), Tránsito Promedio Diario Mensual (TPDM), Tránsito Promedio Diario Semanal (TPDS). Determinando posteriormente el volumen de tráfico, la capacidad de la vía y el nivel de servicio.
Haciendo uso del aforo vehicular realizado en 24 h continuas en octubre del año 2018 [17], se efectuó un análisis comparativo entre los aforos vehiculares en los horarios pico para 2018 y 2019. Para determinar si se sobrepasa la capacidad vial máxima de diseño o se mantiene la tendencia del estudio de 2018, se realizó el aforo con registros cada 15 min entre las estaciones Ei y Ef durante las 8 horas por 7 días continuos. Así mismo, como criterio de optimización del trabajo de campo se determinaron las horas de mayor flujo vehicular entre las 7:00 y 11:00, a partir de lo cual se definen las mediciones de velocidad para la Ei de 7:00-9:00 y en la Ef. de 9:00-11:00, y las mediciones de longitud de cola entre 7:00-10:00.
La muestra para el estudio de 8 h/día es aquella entre las 7:00 y 15:00 debido a que en este horario se identifican los dos mayores períodos de congestionamiento, ocurriendo un tercero de 17:30 a 19:30 pero con menor longitud de cola y aforo vehicular. Para las mediciones se utilizaron:
• Criterios de inclusión: motos, vehículos livianos, buses, buses articulados y alimentadores de la Metrovía y vehículos pesados
• Criterio de exclusión correspondiente a los ciclistas y peatones
• Elementos fijos que constituyen la red de infraestructura vial como calles, puentes, carreteras, pasos a desnivel, intersecciones, señaléticas
• Equipamientos urbanos terminales, paradas de transporte, estacionamientos, puntos de transferencia de pasajeros, ciclo vías, entre otros, son considerados en este estudio [8]
Para el logro de las metas propuestas en esta investigación, el desarrollo metodológico se estructuró de la siguiente manera:
Realización de un aforo vehicular actualizado de 8 h en la Av. PMG, discriminado por cada estación y por vías afluentes a la intersección correspondiente: Ei: Av. Benjamín Rosales, Puente Durán-Samborondón, Giro en U; Ef: Giro en U, Paso a Desnivel, entrada a la Av. Luis Plaza Dañin, Carriles de la Metrovía). Se diseña la planilla para el registro manual, contabilizándose los vehículos entre Ei y Ef, y clasificándolos en cinco tipologías (Figura 3.1)

Posteriormente se realizó el análisis del conteo en forma comparativa entre los resultados del aforo realizado en 2018 y el aforo 2019. El porcentaje de crecimiento vehicular del año 2018, entre 07:00 y 15:00, permite proyectar en un intervalo equivalente de tiempo los valores del estudio en 2019. Finalmente se obtuvo el TPDA como la suma el resultado del aforo actual y el resultado proyectado de las 07:00 y 15:00.
Determinación de la velocidad, el nivel de servicio y longitud de cola actual de la Av. PMG, como información base para realizar proyecciones con el TPDA actual hasta el año 2025. Utilizando una pistola medidora de velocidad marca Bushnell, se registró cada 2 min durante 2 h en la estación Ei entre 7:00 y 9:00 y 2h en la estación Ef entre 9:00 y 11:00; se diseñó la planilla de registro manual (Figura 3.2), y se procede con el análisis de tendencias de velocidad. Para establecer el nivel de servicio y la condición de flujo se utilizaron los datos obtenidos de la medición de velocidad y de la relación volumen/capacidad. Aplicando las tasas de crecimiento vehicular del MTOP se realizó una proyección del TPDA de 2019 a 2025. Por último para la medición de longitud de cola se obtienen fotos tomadas desde un Dron (modelo Dji-Mavic-Pro-2), para calcular la distancia en metros de los vehículos detenidos desde el semáforo 1/10. Se diseña la planilla de registro de las mediciones de longitud de cola en intervalos fotográficos de 5 min (Figura 3.3).
Identificación de los ciclos y repartos de tiempo del sistema semafórico de la intersección de la Av. PMG y Av. LPD. Los diez semáforos presentes en la I2 se categorizan por tipo (elevado, primario, secundario y terciario) direcciones y repartos de tiempo para controlar el tránsito vehicular [18]. Se diseñaron las planillas para el registro manual de las mediciones de: tiempos de ciclo semafórico por hora durante 24 horas (Figura 3.4) y repartos de tiempo por semáforo (Figura 3.5). Se observó una longitud de cola medida a partir del semáforo en rojo identificado como número 1 en la Figura 4.

Análisis de las causas del congestionamiento en la intersección de la Av. PMG: para proponer posibles soluciones, haciendo uso de la relación volumen/capacidad y del nivel de servicio correspondiente. Por otra parte, con los datos obtenidos del sistema semafórico se evalúa su incidencia en la longitud de cola de la Av. PMG.
4. RESULTADOS
En relación con el aforo vehicular de 8 h entre las estaciones Ei - Ef en la Av. PMG, los registros del año 2018 y 2019 totalizan 122905 veh y 135170 veh respectivamente. El análisis de los datos de tránsito vehicular obtenidos para la estación Ei indican, que el 57% de los vehículos provenían del puente de la Unidad Nacional, un 39% del aforo provenían de la Av. Benjamín Rosales, y el 4% restante corresponde a los vehículos que vienen del giro en U.
Para la estación Ef, el 66% se movilizaron hacia el paso a desnivel, 21% del aforo de vehículos tomaron la entrada a la Av. LPD, el 13% restante corresponde a los vehículos que pasaron por los carriles de la Metrovía y los que realizan el giro en U. Al realizar los conteos vehiculares en la estación inicial Ei el giro en U existente promedia de 60 a 80 vehículos en 15 min, sin embargo, de 12:15 a 13:15 el número de vehículos que transitaban era de 120-150. Se verifica que este comportamiento corresponde con actividades de entradas y salidas de urbanizaciones y de instituciones de las Fuerzas Armadas Terrestre y Naval.
La hora de mayor flujo vehicular en la Av. PMG es de 8:00 a 9:00 circulan 2300 a 2400 vehículos mixtos en 15 min. En la Tabla 2 se presenta el total de los conteos realizados de la estación Ei en 2019 y el conteo de 2018, dichos registros indican que existe un crecimiento vehicular en el conteo de 9,98%, este porcentaje resulta muy elevado en el transcurso de 1 año.
| ConteosEstación 1 | Moto | Auto | Buses | Buses articulados | Pesados | TotalVehículos |
| Conteo 2019 8h | 4382 | 58232 | 1058 | 249 | 1212 | 65133 |
| Total 2018 8h | 4435 | 52462 | 797 | 243 | 1286 | 59223 |
| Conteo 2019 16h | 4712 | 62616 | 1138 | 268 | 1303 | 70037 |
| Total 2018 16h | 4593 | 56251 | 884 | 267 | 1687 | 63682 |
| Conteo 2019 24h | 9094 | 120848 | 2196 | 517 | 2515 | 135170 |
| Total 2018 24h | 9028 | 108713 | 1681 | 510 | 2973 | 122905 |
De la relación entre los conteos totales en 8 h de 2019 y 2018 se define un factor de proporción de 1.10. A partir del conteo referencial de 16 h y el factor de proporción se obtiene la proyección del conteo 2019 a 16 h, cuyo valor es de 70037 veh, y mediante una relación porcentual se determinan los conteos por tipología de vehículo para 16 h. El acumulando de 8 h y 16 h representa el conteo por tipología de vehículo a 24 h. Para obtener una medida de equivalencia vehicular homogenizada la NEVI define 3 tipologías de vehículo como liviano, bus, pesado [13], por tanto, para la medición realizada se agrupan los vehículos mixtos como: las motos y automóviles como “livianos” los buses y Metrovía como “bus” y vehículos pesados. Luego, haciendo uso del factor de equivalencia vehicular: Vehículo equivalente (VE) [7]; se obtiene los datos en la Tabla 3.
| Factor de equivalencia vehicular FE | Moto | Auto | Buses | Bus Articulado | Pesados |
| 0,33 | 1 | 2,25 | 2,5 | 2 | |
| Factor de equivalencia vehicular normalizado para agrupación FE | |||||
| 0,33 | 1 | 1 | 1/2,25*2,5 | 2 | |
| Vehículo Equivalente, año 2019 en 24h | Liviano | Bus | Pesado | ||
| 123849 | 2770 | 2515 | |||
Para determinar el nivel de servicio se identificó el máximo valor del conteo vehicular de 8 h por total de tipologías/h, resultando 2369 veh en el intervalo horario de 08:30 a 08:45, luego se determinó el volumen vehicular máximo en 1 h sobre la base del vehículo equivalente, multiplicando por 4 el vehículo equivalente corresponde a un intervalo de 15 min (Tabla 4).
| Moto | Auto | Buses | Bus Articulado | Pesados | |
| Factor de equivalencia vehicular FE | 0,30 | 1 | 2,25 | 2,5 | 2 |
| Conteo de 08:30 08:45, en Ei | 131 | 2144 | 36 | 9 | 39 |
| Vehículo equivalente/ máximo conteo vehicular de 8h - tipo | 43 | 2114 | 81 | 23 | 78 |
| Volumen máximo en base al vehículo equivalente en 15 min | 2369 | ||||
| Volumen máximo en base al vehículoequivalente en 1h | 9476 | ||||
Finalmente, el nivel de servicio de la zona en estudio cuya capacidad vial es de 9000 veh/h es referida a la estación inicial donde el volumen vehicular máximo determinado es 9475 veh, luego mediante la relación entre el volumen máximo y la capacidad vial se obtuvo un coeficiente de 1,05. A partir de estos resultados según lo establecido en el Nivel de Servicio para vías de 2 y 5 carriles [7] en la Av. Pedro Menéndez Gilbert el nivel de servicio es de tipo forzado categoría F. Según las tasas de crecimiento presentadas por el MTOP del Ecuador en 2013 la proyección a uno y cinco años de la zona en estudio se estima en 142997 veh y 190424 respectivamente (Tabla 5)
| PROYECCIÓN 1 AÑO 2019-2020 EN ESTACIÓN INICIAL | Livianos | Buses | Pesados | ||
| Tasa crecimiento Prov. Guayas, (TC) Años: 2015-2019 | 5,56% | 3,00% | 3,33% | ||
| Transito actual (TA) | 123849 | 2770 | 2515 | ||
| Tránsito por desarrollo (TD=5%*TA) | 6192 | 138 | 126 | ||
| Tránsito generado (TG) | 0 | 0 | 0 | ||
| Tránsito asignado (TAs=TA+TD) | 130042 | 2908 | 2641 | ||
| TPDA (TPDA=TAs*(1+TC)n) | 137272 | 2996 | 2729 | ||
| Total | 142997 | ||||
| PROYECCIÓN 5 AÑOS 2019-2020 EN ESTACIÓN INICIAL | Livianos | Buses | Pesados | ||
| Tasa crecimiento Prov. Guayas, (TC) Años:2020-2024 | 4,95% | 2,67% | 2,96% | ||
| Transito actual (TA) | 137272 | 2996 | 2729 | ||
| Tránsito por desarrollo (TD=5%*TA) | 6864 | 150 | 136 | ||
| Tránsito generado (TG) | 0 | 0 | 0 | ||
| Tránsito asignado (TAs=TA+TD) | 144136 | 3145 | 2865 | ||
| TPDA (TPDA=TAs*(1+TC)n) | 183520 | 3588 | 3315 | ||
| Total | 190424 | ||||
Algunos factores que generan conflicto vial en la Av. PMG, son: presencia de urbanizaciones e instituciones de las fuerzas armadas terrestre y naval, así como, estaciones de abastecimiento de combustible, paradas de buses y de la Metrovía, tal que, por maniobras de ingreso y salida obligan a disminuir la velocidad de los vehículos que transitan sobre la avenida. Otro factor de incidencia son los cambios de carril de circulación efectuados bruscamente para acceder al paso elevado, lo que potencia el riesgo de accidentes.
La medición de longitud de cola en la Av. PMG, reflejó una longitud promedio de 387 m entre las 07:00 y 10:00 con un valor máximo de 7:04 a 7:50. El comportamiento resaltó dos instantes ascendentes, el primero entre las 7:05 - 7:50, con una tendencia de incremento de 12 m/min (Figura 5).

El segundo ocurre entre las 9:00 - 9:20, donde el valor máximo de longitud de cola es 614 m. El segundo intervalo con una tendencia de incremento de 23 m/min. Estos resultados se asocian con los horarios de traslado del hogar al trabajo o viceversa de los usuarios.
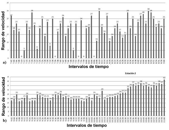
La medición de velocidad en las Ei y Ef de la Av. PMG, presentó un comportamiento irregular debido a que el flujo vehicular no era constante, validándolo con los datos recopilados de aforo vehicular en diferentes horas en las dos estaciones. El máximo valor de velocidad no alcanzó el máximo permitido, debido al problema de congestión vial y al control por radares durante las 24 h/día. Los periodos de velocidad “cero” implicaban tránsito detenido por la congestión o un accidente vial en horas pico. Las mediciones realizadas de la velocidad en la Ei entre las 7:00-9:00, promediaron una velocidad de18 km/h, y en la Ef entre las 9:00-11:00, 25 km/h (Figuras 6 y 7).

Entre las estaciones se permanece por debajo del 50% de la velocidad de circulación de 40 km/h correspondiendo a flujo forzado. Tal comportamiento en velocidad confirma el resultado de nivel de servicio obtenido.
El sistema semafórico en I2 entre la Av. PMG y la Av. LPD, para cuatro ciclos diferentes (sucesión completa de semáforos) y repartos de tiempo del sistema semafórico se presenta en la Tabla 6.

| Intervalo de tiempo (h:min:s) | 06:00 | 11:00 | 16:00 | 19:00 | 20:00 | 21:00 | 24:00 | 05:00 |
| 11:00 | 16:00 | 19:00 | 20:00 | 21:00 | 24:00 | 05:00 | 06:00 | |
| Tiempo del ciclo (min) | 1,30 | 1,40 | 1,50 | 1,40 | 1,30 | 1,20 | Intermitente | 1,20 |
Los resultados obtenidos registran prioridad en luz verde para los semáforos 5 y 6. Es importante resaltar cómo el semáforo 1 y los semáforos 5 y 6 que controlan el flujo de la Av. PMG y Av. LPD respectivamente, afectan el flujo vehicular en la I2 y en la entrada a la Av. LPD, quedando retenidos por la longitud de cola que se produce por el reparto de tiempo actual. Dicha afirmación se sustenta agregando en el análisis la prioridad de paso vehicular que los agentes de tránsito dan a las vías que presenten mayor congestión, controlando así el incremento en tiempo del semáforo 1 en luz verde, sin afectar a los semáforos 5 y 6 y reduciendo un poco la problemática de la longitud de cola en horas pico.
Finalmente, los tiempos de reparto 1,20 min a 1,50 min en el semáforo 1 no modificaron el flujo del carril compartido de la Metrovía, permaneciendo en 17 s el tiempo de la luz verde como se observa en la Figura 8.

Se identificó que los repartos de tiempo actual ocasionan longitud de cola en la intersección de la Av. PMG y Av. LPD, y el semáforo que debe ser intervenido para mejorar el servicio en la vía de entrada hacia la Av. LPD para reducir dicha longitud de cola. Se comprueba que a pesar de la existencia de la señalización horizontal y vertical para ofrecer un tránsito seguro, algunos usuarios de la Av. PMG no las respetan, lo que origina en ciertas ocasiones riesgos de accidentabilidad.
5. PROPUESTA DE SOLUCIÓN
Se determinaron tres causas del congestionamiento en la I2: el volumen de vehículos supera la capacidad de la vía, el cuello de botella ocasionado por la estación de la Metrovía y los repartos de tiempo actual del sistema semafórico que ocasionan longitud de cola. En concordancia con los resultados obtenidos del conteo vehicular y la velocidad, existe congestión con operación de pare y siga a baja velocidad respecto a lo proyectado en el diseño de la vía. Mediciones de longitud de cola indican que la misma crece hasta los 704 m en I2 como punto de origen, siendo ocasionada por la distribución de repartos de tiempo del ciclo semafórico en horas pico, el atascamiento que producen los buses alimentadores y colectores de la Metrovía, así como las maniobras para rebasar de los conductores de vehículos particulares y de transporte público.
El nivel de servicio de la Av. PMG en 2019 corresponde con un flujo de tipo forzado, y según lo proyectado para el año 2025 se estima que 190424 vehículos transitarán por la Av. PMG, lo que es un indicativo del incremento de la problemática actual. Producto de los resultados obtenidos se evaluaron alternativas para reducir el congestionamiento vial, presentándose tres propuestas de solución a dicha problemática:
1. Modificar los repartos de tiempo del sistema semafórico en horas pico en I2, esta solución es considerada una solución de bajo costo, y de impacto instantáneo ya que al analizar los tiempos y la longitud de cola, así como la congestión vehicular cuando intervienen los policías de tránsito en horarios pico se evidencia una mejora del servicio.
2. El trazado de una vía alterna de salida para el flujo vehicular que transita la Av. PMG y que se dirige a la Av. LPD, constituye otra alternativa de solución de bajo costo. En este sentido existe una vía alterna en dirección a la Av. Cosme Renella. Esta solución requiere de propuestas menores de obras civiles, para no afectar a la ciudadela de las Fuerzas Armadas Ecuatorianas (Figura 9), se estima con esta alternativa una reducción del 21% de los vehículos en la intersección 2, reduciendo el tiempo de llegada a la Av. LPD.
3. Una solución caracterizada de alto costo es modificar el posicionamiento actual de la estación de la Metrovía llevándola aproximadamente 200 m más adelante. Como se comentó previamente los tiempos de parada y la longitud de los buses alimentadores y buses articulados, la ausencia de un sobre ancho lateral de la vía como paradero inciden notoriamente en la congestión vehicular de tipo cuello de botella.

6. CONCLUSIONES Y RECOMENDACIONES
Citando la paradoja de Braess: “la alteración de una red de carreteras para mejorar el flujo de tráfico tiene el efecto inverso: en vez de hacer más fluido el tráfico, la vía termina congestionándose” [19], en la cual se entiende que, el flujo en una vía no ha de centrarse en el incremento de la capacidad vial existente, ya que no resulta en mejoras y por el contrario se produce el incremento del volumen de tráfico e implícitamente el de emisiones de CO2, ruido, riesgos de accidentabilidad, deterioro acelerado de la capa de rodadura entre otros. En este sentido ensanchar la Av. PMG, corresponde a una solución de alto costo en la que un aumento de la capacidad de 9000 a 10800 veh/h, perdería viabilidad al determinar la proyección a 5 años.
Los datos de velocidad obtenidos por el aforo vehicular entre dos estaciones equidistantes aproximadamente en 900 m, indican que en el tramo la baja velocidad, 18 km/h a 25 km/h, potencia la insatisfacción del usuario, el incremento de emisiones de CO2, condiciones de riesgo por accidentabilidad, retrasos en tiempo de traslado de los usuarios, entre otros factores. Debido al potencial incremento de carga vehicular estos problemas también pueden incrementarse en el año 2025. Por tanto los resultados de este estudio son un llamado de atención a los organismos competentes, para plantear una solución eficiente a la mayor brevedad posible.
Se definen soluciones en función de una estimación general del costo del proceso constructivo, algunas resultan de aplicación a largo plazo y otras de aplicación a corto plazo. Si se implementan las soluciones de corto plazo con bajo costo y el problema persiste entonces sería aconsejable considerar las soluciones de largo plazo. Entre las soluciones de alto costo el uso de una vía alterna de salida en dirección Av. LPD puede requerir el menor tiempo de ejecución.
Es necesario trabajo colaborativo entre instituciones gubernamentales de tránsito terrestre y las Universidades para analizar la problemática vial que incide en la calidad de vida. Crear y compartir bases de datos del tránsito vial, desarrollar procesos de análisis, formar a profesionales en el área y educar a los ciudadanos son actividades que pueden potenciarse desde las universidades.
7. REFERENCIAS
[1] G. Arguellos, G. Mera y J. Nuñez, «Ampliación de la calzada derecho de la av. 5 NE Pedro Menéndez Gilbert, y la intersección con calle 12 NE Dr. Carlos Luis Plaza Dañin» Dirección de urbanismo, avalúos y ordenamiento territorial, Subdirección de proyectos específicos. Anexo A Oficio DUOT-PE-2016-10709. 2016
[2] R. Méndez «Capacidad y Nivel de Servicio. Análisis de Capacidad y Nivel de Servicio de Segmentos Básicos de Autopistas, Segmentos Trenzados y Rampas» Manual de Capacidad de Carreteras HCM2000 aplicando MathCadHCM-2000 cap. 3, pp.43-48. 2000
[3] INEC, «Instituto Nacional de Estadísticas y Censos» Recuperado de: http://www.ecuadorencifras.gob.ec/documentos/web-nec/Estadisticas_Economicas/
[4] A. Sarmiento, «Análisis situacional de la calidad de servicio del transporte terrestre público convencional urbano de pasajeros para plantear propuestas de mejora en la ciudad de Guayaquil» Guayaquil: Universidad Católica de Santiago de Guayaquil, pp. 36-43, 2014
[5] F. Moya, S. Huerta, y O. Carrillo, «Análisis del nivel de satisfacción de los usuarios del sistema integrado transporte masivo urbano de Guayaquil METROVÍA, Guayaquil» Revista Universidad y Sociedad, vol 9 , No 2 ,pp. 147-155, 2017
[6] CNC, Consejo Nacional de Competencias Registro Oficial N°413- Resolución 009. Ecuador, 2015
[7] NEVI-12-MTOP, «Ministerio de Transporte y Obras Publicas - Norma Ecuatoriana Vial» NEVI-12-MTOP, Recuperado de https://www.obraspublicas.gob.ec/wp-content/uploads/downloads/2013/12/01-12-2013_Manual_NEVI-12_VOLUMEN_2A.pdf. 2013
[8] H. Carpio, «Diseñar una propuesta de señalización horizontal y vertical para el centro de la ciudad de Loja bajo la normativa NEVI. 2012» Trabajo de titulación, Universidad Técnica Particular de Loja, Loja- Ecuador, pp.10-26, 2015
[9] R. Cal, M. Reyes, J. Cárdenas, «Ingeniería de Tránsito. Fundamentos y aplicaciones» Edición 8, Ed. A.G. editor, México D.F, pp. 9-28, 353-433. 2007
[10] N. Zamora, & O. L. Barrera. «Diagnóstico de la infraestructura vial actual en Colombia» Recuperado de: http://hdl.handle.net/10882/3405. 2012
[11] W. Vargas, M. Rincón, y C. González, «Ingeniería de Tránsito, Conceptos Básicos» Edición 1 Editorial Colección Espacios, Universidad Distrital Francisco José de Caldas, Bogotá, pp.37-58, 87-110, 255-267, 279-293. 2012
[12] CEPAL, «Congestión de tránsito-El problema y cómo enfrentarlo». Santiago de Chile, No 87, pp. 23-45. 2003
[13] C. Moyano, «Estimación de la contaminación del aire generada por efecto de la circulación vehicular motorizada en la Av. 10 de Agosto de la ciudad de Cuenca-Ecuador, usando la herramienta de micro- simulación de tránsito Aimsun 8.1», Cuenca, Tesis de Maestría, Universidad del Azuay, pp. 15-30, 2017
[14] C. Angarita, Pinto M. «Identificación y análisis de “cuellos de botella” que obstaculizan la movilidad en el corredor de la calle 56 perteneciente a la red vial del municipio de Bucaramanga» Univ. Industrial de Santander, Fac. Ing. Físico-Mecánicas, Esc. Ingeniería Civil, Bucaramanga-Colombia. 2017
[15] M. Cortez, M. Marca., «Análisis de la influencia del nuevo puente Guayaquil - Samborondón sobre el nivel operacional de la Av. Pedro Menéndez Gilbert, desde planta progreso Interagua hasta la escuela de infantería aérea» Trabajo de titulación, Universidad de Guayaquil, Facultad de Ciencias Matemáticas y Físicas, Guayaquil, pp. 32-59, 2018
[16] C. Mayor, y J. Cárdenas, «Ingeniería de Tránsito. fundamentos y aplicaciones» Edición 8. Alfaomega Grupo Editor, México D.F, 353-433. 2007
[17] CONSULTRANSE S.A. «Informe Operación Sector P. Menendez Gilbert y Plaza Dañin, Guayaquil-Ecuador » Consultoría optimizacion de planeamiento de la red semafórica de la ciudad de Guayaquil, unidad de Proyectos de Ingeniería Vial y de Transporte, R-LCC-EPMTG-001-2018
[18] A. Ordóñez, «Diseño semafórico y señalización vial del centro urbano de Saraguro» Tesis de Licenciatura, Universidad del Azuay, Cuenca, pp. 19-25, 102-104, 2016
[19] C. Fisk and S. Pallotion, «Empirical evidence for equilibrium paradoxes with implications for óptimal planning strategies. » TRANSPORT. RES. Vol. 15A, núm.3, pp. 245-248. 1981
Notas de autor