Secciones
Referencias
Resumen
Servicios
Descargas
HTML
ePub
PDF
Buscar
Fuente


CERRADO RUPESTRE DO ESPINHAÇO: diversidade genética de espécie endêmica
THE CAMPOS RUPESTRES OF ESPINHAÇO: mountain range: genetic diversity of endemic species
CERRADO RUPESTRE DEL ESPINHAÇO: diversidad genética de especie endémica
Revista Cerrados (Unimontes), vol. 18, núm. 01, pp. 300-330, 2020
Universidade Estadual de Montes Claros

https://creativecommons.org/licenses/by-nc-nd/4.0/

Recepção: 09 Março 2020

Aprovação: 15 Junho 2020

Publicado: 30 Junho 2020

DOI: https://doi.org/10.46551/rc24482692202003

Resumo: O objetivo do trabalho foi de caracterizar a diversidade e a estrutura genética de 82 indivíduos de P. adamantinum, espécie de campos rupestres e de altitude do Cerrado brasileiro, na região central de Minas Gerais, divididos em 02 populações de 41 indivíduos. Foram utilizados 08 primers ISSR que amplificaram 135 locos, com 108 (80%) locos polimórficos entre as populações e média de 16,9 locos por primer. O valor médio de PIC foi de 0,375. Os valores médios do índice de Shannon (.) e da diversidade genética de Nei (H.) foram de 0,491 e 0,341, respectivamente. O índice da proporção da diversidade genética (GST = 0,047) demonstrou que a variabilidade entre e dentro das populações contribuiu com 4,7% e 95,3% da heterozigosidade total (H.), respectivamente. O fluxo gênico observado foi alto (Nm = 10,213), o que contrapõe os efeitos da deriva genética. Foi observada a ocorrência de baixa estruturação genética espacial (EGE) (S.= 0,058) e coancestria positiva nas duas populações (Fij = 0,016; . < 0,123 em POP01 e Fij = 0,018; . < 0,057 em POP02), ambas avaliadas até a segunda classe de distância. Mesmo com a presença de fatores favoráveis à endogamia, P. adamantinum apresentou altos índices de diversidade genética. O elevado fluxo gênico registrado pode terr amenizado os efeitos do acasalamento de indivíduos aparentados.

Palavras-chave: ISSR, Fluxo Gênico, Cerrado, Espécie Endêmica, Estrutura Espacial.

Abstract: The objective of the study was to characterize the diversity and genetic structure of 82 individuals of P. adamantinum, divided into 02 populations of 41 individuals. We used 08 ISSR primers that amplified 135 loci, with 108 (80%) polymorphic loci between the populations and a mean of 16.9 loci per primer. The mean value of PIC was 0.375. The mean values ​​of the Shannon index (.) and the genetic diversity of Nei (H.) were 0.491 and 0.341, respectively. The genetic diversity ratio index (GST = 0.047) showed that the variability between and within the populations contributed with 4.7% and 95.3% of the total heterozygosity (H.), respectively. The observed gene flow was high (Nm = 10,213), which contrasts the effects of genetic drift. The occurrence of low spatial genetic structuration (EGE) (S. = 0.058) and positive coancestry in both populations (Fij= 0.0161; . < 0.123 in POP01 and Fij = 0.018; . < 0, 057 in POP02), both evaluated up to the second distance class. Even with the presence of factors favorable to inbreeding, P. adamantinum presented high levels of genetic diversity. The high recorded gene flow was responsible for mitigating the effects of mating of related individuals.

Keywords: ISSR, Gene Flow, Cerrado, Endemic Specie, Spatial Structure.

Resumen: El objetivo del estudio fue caracterizar la diversidad y la estructura genética de 82 individuos de P. adamantinum, una especie típica del Cerrado brasileño, en la región central de Minas Gerais, dividida en 02 poblaciones de 41 individuos. Se utilizaron 08 cebadores ISSR que amplificaron 135 loci, con 108 (80%) loci polimórficos entre poblaciones y un promedio de 16.9 loci por cebador. El valor medio de PIC fue 0.375. Los valores medios del índice de Shannon (.) y la diversidad genética de Nei (H.) fueron 0.491 y 0.341, respectivamente. El índice de la proporción de diversidad genética (GST = 0.047) demostró que la variabilidad entre y dentro de las poblaciones contribuyó con 4.7% y 95.3% de la heterocigosidad total (H.), respectivamente. El flujo de genes observado fue alto (N. = 10.213), lo que se opone a los efectos de la deriva genética. Se observó la ocurrencia de baja estructura genética espacial (EGE) (S. = 0.058) y coancestria positivo en ambas poblaciones (Fij = 0.016; P <0.123 en POP01 y Fij = 0.018; P <0.057 en POP02), ambos evaluados hasta el segundo clase de distancia. Incluso con la presencia de factores favorables a la endogamia, P. adamantinum mostró altas tasas de diversidad genética. El alto flujo de genes registrado fue responsable de mitigar los efectos del apareamiento de individuos relacionados.

Palabras clave: ISSR, Flujo de genes, Cerrado, Especies endêmicas, Estructura espacial.

INTRODUÇÃO

O Cerrado é conhecido como um dos biomas mais importantes do Brasil, e uma das Savanas Tropical mais ricas em biodiversidade do mundo (MITTERMEIER et al., 2004). Transformações antrópicas ocorridas nos últimos anos nos ecossistemas brasileiros, principalmente no Cerrado, trouxeram grandes danos ambientais – fragmentação de habitats, extinção da biodiversidade, invasão de espécies exóticas, erosão dos solos, poluição de aquíferos, degradação de ecossistemas, alterações nos regimes de queimadas, desequilíbrios no ciclo do carbono e possivelmente modificações climáticas regionais (CUNHA ET AL., 2018). Devido ao grande endemismo de espécies e à atual velocidade de devastação, o Cerrado é considerado, desde o ano 2000, um dos 25 hot spots de diversidade biológica do mundo, prioritários para a conservação, e um dos ecossistemas mais ameaçados do Brasil (FERNANDES E PESSÔA, 2011).

Muitas espécies da flora do Cerrado estão ameaçadas de extinção, principalmente as de interesse madeireiro e medicinal). Outras espécies, porém, são endêmicas e apresentam áreas de distribuição restrita a determinadas regiões no Cerrado e, portanto, estão mais vulneráveis às modificações nos seus habitats. Uma dessas áreas de endemismo é o Vale do Jequitinhonha, situado na região nordeste do estado de Minas Gerais, com cerca de 80 mil km2, que abriga diversas unidades de conservação e áreas de refúgio. Nesse contexto, o Parque Estadual do Rio Preto (PERP) é uma dessas importantes unidades de conservação. Localizado no Município de São Gonçalo do Rio Preto (MG), pertencente ao complexo da Serra do Espinhaço, região do Alto Jequitinhonha, área de relevo acidentado, com diversos afloramentos rochosos. Tal região merece atenção especial, pois representa um santuário de preservação da diversidade biológica de inúmeras espécies da fauna e flora, muitas delas endêmicas, monitorado pelo Instituto Estadual de Florestas (IEF-MG).

A cobertura vegetal nativa é constituída principalmente por Campos de Altitude, Cerrado, Cerradão, Campos Rupestres e Matas de Altitude (VELOSO et al., 1991). Prevalece na região o clima tropical úmido, com períodos chuvosos (entre novembro e março e médias pluviométricas de 8,2 mm e 223,2 mm, respectivamente) intercalados com períodos de estiagem bem definidos (de junho a agosto) (PEREIRA ET AL., 2014). Esta região encontra-se sob ameaça constante de preservação da sua biodiversidade, pois é alvo de extrativismo vegetal e mineral devido à riqueza de minérios no subsolo (ferro, bauxita, ouro e manganês).

Presente no ecossistema do Complexo do Espinhaço, destaca-se a espécie Philodendron adamantinum Mart. ex Schott, popularmente conhecida como imbé pertencente à família Araceae. O gênero Philodendron é o maior da família e contém aproximadamente 500 espécies (SAKURAGUI, 2001). O gênero apresenta algumas espécies com potencial medicinal como, por exemplo, P. bipinnatifidum, utilizado como contraceptivo e tratamento do reumatismo (ALBERTTASSE et al., 2010), P. ochrostemon podem ser usadas no tratamento de bronquite crônica, edemas e tratamento de úlceras (PLOWMAN, 1969).

A espécie P. adamantinum possui hábito rupícola ou saxícola, com raízes adventícias emaranhadas que possibilitam o crescimento firme e paralelo às rochas e fornecem sustentação ao caule aéreo que pode atingir 1,5 m de altura (PEREIRA et al., 2014). São características que favoreceram a adaptação de P. adamantinum à região do complexo da Serra do Espinhaço, onde são amplamente distribuídas, com presença de inúmeros adensamentos (MAYO, 1991). As flores são cantarófilas e exalam compostos químicos voláteis, de odor típico (buquê floral), atrativo ao único agente polinizador, o besouro Erioscelis emarginata (Cyclocephalini; família Dynastidae) (PEREIRA et al., 2014). Os compostos voláteis florais funcionam como mediadores únicos nos sistemas de polinização, extremamente especializados, entre flores cantarófilas e Cyclocephalini (GOTTSBERGER et al., 2013). P. adamantinum possui dependência quase que exclusiva de E. emarginata como agente polinizador para gerar frutos (SILVA, 2013). A floração é anual, com início ao final de novembro e término no final de janeiro. Além da relevância ecológica, P. adamantinum é explorada economicamente, por possuir folhas exuberantes de diversas formas, tamanhos e cores e inflorescências exóticas (HEYWOOD, 1993) e por serem resistentes a baixos níveis de luminosidade, características valorizada por paisagistas.

Na busca por informações sobre o status de conservação de espécies endêmicas, os estudos genéticos em populações naturais são bastante úteis, pois avaliam como os genótipos encontram-se espacialmente distribuídos dentro e entre as populações, o grau de diversidade genética entre os indivíduos, taxas de cruzamentos, a estrutura genética espacial, o grau de isolamento de populações e o fluxo gênico (MORAES et al., 2005; BRANDÃO et al., 2011). Este último permite verificar se a distribuição dos alelos ocorre de forma homogênea dentro das populações, o que favorece a investigação a respeito da diversidade genética da espécie. A perda da diversidade genética pode levar à endogamia e aumento de alelos deletérios e configura redução no potencial reprodutivo e na capacidade de sobrevivência da espécie, frente às alterações ambientais, com risco de extinção (REED, 2005).

O estudo da diversidade genética em populações naturais é realizado por meio de marcadores moleculares, ferramentas de fundamental importância que possibilitam a mensuração dos níveis de diversidade genética das espécies e fornecem informações extremamente relevantes para subsidiar a adoção de estratégias de manejo e conservação. Conforme Ferreira e Grattapaglia (1998), os marcadores correspondem a características fenotípicas oriundas de genes expressos (proteínas, enzimas) ou de regiões não codificadas do DNA. Estudos sobre diversidade genética podem ser realizados com utilização de marcadores moleculares do tipo ISSR (Inter Simple Sequence Repeats ou inter-sequências simples repetidas) (ZIETJIEWICZET et al., 1994), que utiliza um primer único, composto por repetições (di, tri, tetra ou penta nucleotídeos) com ou sem ancoragem de 1 a 3 nucleotídeos e utilizam como sequência alvo os microssatélites. Os marcadores ISSR amplificam segmentos genômicos distribuídos aleatoriamente ao longo do genoma eucarionte (HERNÁNDEZ, 2014).

O presente estudo foi realizado com o objetivo de (1) avaliar os níveis de diversidade genética em populações naturais de Philodendron adamantinum por meio de marcadores moleculares do tipo ISSR, (2) analisar a distribuição da variabilidade genética entre os indivíduos, (3) estudar a distribuição espacial do genótipo e (4) estimar o fluxo gênico entre populações, com o intuito de fornecer subsídios para adoção de estratégias de manutenção e gerar novos conhecimentos para a conservação da espécie in situ.

MATERIAL E MÉTODOS

Amostragem e coleta

A coleta foi realizada no mês de julho/2016, fora do período da floração anual de P. adamantinum que, conforme relatou SILVA (2013), estende-se do final de novembro ao final de janeiro, na região conhecida como Campo dos Veados, área de amortecimento do Parque Estadual do Rio Preto (Figura 1), com coordenadas geográficas entre 17°56’00,10” de latitude sul e 43°19’22,63” de longitude oeste e altitude entre 915,2 e 951,4 m acima do nível do mar. Foram coletadas 82 plantas adultas e juvenis, e todas foram georreferenciadas. Amostras de tecido foliar dos indivíduos, 01 folha por indivíduo, foram acondicionadas em sacos plásticos com sílica gel, etiquetadas, conduzidas ao Laboratório de Bioprospecção e Recursos Genéticos da Universidade Estadual de Montes Claros e armazenadas em freezer (-20ºC), até o momento da extração de DNA. Amostras não utilizadas foram congeladas, para estudos posteriores.


Figura 1
Mapa de localização do Parque Estadual do Rio Preto - Município de São Gonçalo do Rio Preto – MG
GEOSGB, 2019.

Extração de DNA

A extração do DNA genômico foi realizada pelo método descrito em DOYLE e DOYLE (1987), com modificações, onde foram utilizados aproximadamente 150mg de material foliar, macerado com nitrogênio líquido em almofariz de porcelana, acrescido de 700μl de tampão de extração (100 mM de Tris HCl pH 8,0; 1,4 M de NaCl; 20 mM de EDTA pH 8,0; 5,6% (p/v) CTAB; 1% (p/v) PVP-40 e 0,2% de β-mercaptoetanol). Após a extração, os pellets de DNA concentrado foram solubilizados em 100μL de TE (Tris HCl 10mM pH 8,0; EDTA 1mM) e armazenados em freezer a -20°C, até o momento da amplificação por meio da reação em cadeia da polimerase (PCR). As diluições de DNA testadas foram 1:5, 1:10, 1:25, 1:50, 1:100 e 1:200. A diluição que apresentou melhores resultados e foi adotada como padrão para todas as PCRs foi de 1:100 (1μL de DNA + 99μL de água destilada ultrapura).

Reação em cadeia da polimerase (PCR), eletroforese e genotipagem

As reações de PCR foram conduzidas com volume final de 12 μL/amostra, sendo 2,0 μL de DNA (diluição 1:100) e 10 μL da solução dos reagentes para PCR [6,638 μL de H2O destilada ultra pura, 1,2 μL de tampão PCR 10X (500mM de Tris-HCl + 200mM de KCl + 2,5 mg.mL-1 de BSA + 200 mM de Tartazene e 1% de Ficol); 0,312 μL de MgCl2 a 50mM; 1,2 μL do mix dNTP a 2,5 mM; 0,5 μL de primer ISSR 2,0 μM; 0,15μL de Taq polimerase a 5U.μL-1]. As reações de PCR consistiram de desnaturação prévia a 94°C por 2 minutos, seguidas de 37 ciclos (30 segundos a 94°C para desnaturação, 45 segundos para anelamento do primer com temperaturas de anelamento (Ta) variando entre 48°C a 56°C, conforme o primer [Tabela 1 – pág. 20], 01 minuto e 30 segundos a 72°C para a extensão e 40 minutos a 72°C para extensão final dos fragmentos). A eletroforese foi conduzida em gel de agarose 1,5% (200 ml TBE 1X + 3,0 g de agarose), corado com brometo de etídio (5mg.mL-1), em cuba horizontal sob tampão TBE 1X (tris-ácido bórico-EDTA), com duração de 2 horas e 40 minutos e voltagem de 110V. Foi utilizado o marcador de peso molecular (“DNA Ladder” de 100bp [100 μg.mL-1]) para estimar o tamanho dos fragmentos. Para genotipagem, foi realizada a leitura minuciosa das fotografias dos géis, levando-se em consideração somente fragmentos robustos, de melhor visualização, descartados os de pouca definição e baixa intensidade. Foi considerado (1) para a presença do fragmento e (0) relativo à ausência deste nos géis e cada fragmento foi considerado um loco. A partir desta análise, foi construída a matriz binária de dados para avaliar o nível de polimorfismo das populações.

Diversidade e estrutura genética

As similaridades genéticas entre as populações de P. adamantinum e a análise da diversidade genética intrapopulacional foram estimadas com uso do software POPGENE 1.31 (YEH, YANG E BOYLE, 1999), que permite analisar o grau de variabilidade genética para dados diplóides dominantes e, conforme Nei (1987) é possível calcular a estatística de variação genética por população. Os locos foram considerados em Equilíbrio de Hardy-Weinberg (EHW). Por meio do coeficiente de diferenciação populacional (GST) ou pela análise de variância molecular (AMOVA) é estimada a estrutura genética, realizada por meio do programa Arlequin, versão 3.5 (EXCOFFIER; LISCHER, 2010), para avaliar a divisão da variância entre indivíduos dentro e entre as populações.

Considerando-se o mesmo padrão de acasalamento para todos os indivíduos dentro das populações, realiza-se o cálculo de uma matriz de distância fenotípica para os pares de comparações, por meio de um coeficiente de similaridade genética. O quadrado das distâncias euclidianas foi utilizado como coeficiente para o cálculo da AMOVA, semelhante às análises de EXCOFFIER & LISCHER (2010) e NYBOM (2004). Foram testadas 10.000 permutações para análise da significância dos componentes da variância. O dendograma será construído com base na similaridade de Jaccard, a partir da matriz de identidade genética de NEI (1978), com uso do software NTSYS 2.11 método UPGMA.

Estrutura genética espacial (EGE)

A estrutura genética espacial pode ser estimada pela autocorrelação espacial ou a partir dos coeficientes de coancestria. A autocorrelação espacial tem sido realizada por meio do coeficiente I de Moran, com caráter genético. O coeficiente de coancestria baseia-se na probabilidade de amostragem aleatória de dois alelos em dois indivíduos e de ambos serem idênticos por descendência, o que permite detectar presença ou ausência de estruturação e avaliar o grau de parentesco entre os indivíduos (BRANDÃO, 2008). O software SPAGeDi 1.2 (HARDY e VEKEMANS, 2002) foi utilizado para calcular o coeficiente de kinship, por meio do qual foi estimado o valor de coancestria entre os pares de indivíduos para as classes de distância.

Fluxo gênico

Para estimar o fluxo gênico das populações de P. adamantinum utilizou-se o software POPGENE 1.31 (YEH, YANG e BOYLE, 1999), por meio do método indireto, baseado na relação inversa da divergência entre populações e a taxa de migração (m), pelo modelo de ilhas (Reis, 1996), que tem como característica o número de migrantes (Nm), que corresponde ao número de indivíduos ou gametas que se movem. O fluxo alélico foi calculado por meio da fórmula Nm = 0,5 (1 – GST) / GST, de MCDERMOTT e MCDONALD (1993).

RESULTADOS

Teste e seleção dos primers ISSR

Dentre os 15 primers ISSR testados, 8 produziram fragmentos de maior expressão. Foram considerados polimórficos os locos em que a frequência do alelo mais comum foi menor ou igual a 95% (NEI, 1987), uma vez que o tamanho amostral nas populações estudadas foi inferior a 50. Foram produzidos 135 fragmentos no total, com média de 16,9 fragmentos por primer (Tabela 1).

Tabela 1
Nome, sequência, número de fragmentos amplificados/primer (n), temperatura de anelamento (Ta), tamanho dos locos em pares de base (pn) e conteúdo de informação polimórfica (PIC) dos 08 (oito) primers ISSR utilizados para amplificação do DNA de Philodendron adamantinum

Autores, 2019.

O tamanho médio dos fragmentos amplificados para P. adamantinum variou entre 180 a 2800 pares de nucleotídeos (pn). O primer UBC 834 apresentou o maior valor de PIC (0,486) e o primer UBC 888 o menor (0,199), sendo que o valor médio de PIC para todos os primers foi de 0,375. Os indivíduos apresentaram o mesmo padrão de fragmentos de DNA a partir do mesmo primer e foi possível constatar a qualidade e a potencialidade do marcador ISSR, confirmado pelo valor acima da média de fragmentos amplificados por primer (16,9), pela quantidade total de locos amplificados (135), pelo tamanho médio dos fragmentos (180 a 2800 pn) e pelo valor médio de PIC (0,375). Os números obtidos confirmam a eficiência dos marcadores ISSR (Tabela1).

Diversidade genética

Foi observado elevado polimorfismo nas das populações analisadas, sendo que os 08 marcadores ISSR utilizados geraram 135 bandas polimórficas. Dessas, 76,3% (103) foram polimórficas para POP01 e 83,7% (113) para POP02. A média entre as duas populações foi de 80% (108) de locos polimórficos, índice considerado relativamente alto (Tabela 2).

Tabela 2
Estimativas de variação genética, intra e interpopulacional, de Philodendron adamantinum amostradas

Onde: n = tamanho da população; He = heterozigosidade esperada; I = índice de Shannon; N = nº de locos polimórficos; P = % de locos polimórficos Fonte: Autores, 2019.

Considerando que as populações de Philodendron adamantinum encontram-se em equilíbrio de Hardy-Weinberg, a POP01 apresentou valores de heterozigosidade esperada (He ou diversidade genética de NEI (1973) e índice de Shannon (I) iguais a 0,315 e 0,457, respectivamente (Tabela 2). A POP02 apresentou valores maiores, sendo He = 0,365 e I = 0,523. A heterozigosidade esperada entre as duas populações foi de 0,357 e o índice de Shannon foi de 0,517. O índice de Shannon varia de 0 a 1 e quanto mais próximo de zero, mais baixa é a diversidade (GIUSTINA et al., 2014).

Os valores estimados de P, He e I demonstram não haver diferenças significativas para os índices de diversidade genética de P. adamantinum, tanto dentro das populações como entre elas, com base na análise de variância e considerando os desvios padrões apresentados. Em outras palavras, foi possível perceber níveis razoavelmente elevados de diversidade genética dentro das populações de P. adamantinum, se comparados com trabalhos que utilizaram metodologias similares para populações naturais e endêmicas.

É importante ressaltar que os resultados aqui apresentados são estimativas das populações atuais, que provavelmente já existiam antes dos processos de degradação da biodiversidade no local do estudo. Assim, é importante que se desenvolva novos trabalhos, para que se obtenham estimativas para outras gerações e também de outras populações de P. adamantinum.

Estrutura genética e fluxo gênico

Para as duas populações de P. adamantinum estudadas, considerando-se os 82 indivíduos amostrados, o valor da heterozigosidade total (Ht) entre as populações foi de 0,357 e o da heterozigosidade dentro das populações (Hs) foi de 0,341, valores bem próximos. O valor da diversidade genética entre as populações (DST) de P. adamantinum foi 0,017 e o da proporção da diversidade genética entre as populações ou coeficiente de diferenciação populacional (GST) foi de 0,047. O índice GST indica que a variabilidade entre e dentro das populações contribuiu com 4,7% e 95,3% da heterozigosidade total, respectivamente, isto é, a maior parte da diversidade genética encontra-se dentro das populações. O fluxo gênico obtido, entre as duas populações, foi da ordem de Nm = 10,231, índice bastante elevado. Em relação à análise de variância molecular (AMOVA), os resultados obtidos são muito próximos aos valores estimados de GST (95,3%) o que significa que existe maior diversidade genética dentro das populações (94,32%; P < 0,0002) e menor entre as populações (5,68%; P < 0,0002) (Tabela 3).

Pela AMOVA, foi obtido valor baixo (0,057) e significativo para o índice de fixação (FST) em P. adamantinum. A estimativa de distância genética de Nei (1978) entre as duas populações estudadas também foi baixa (0,045) e o valor complementar, que indica identidade genética, foi elevado (0,995). Estes índices com valores próximos evidenciam diferenciação genética reduzida entre as populações. Estes valores, provavelmente, se devem ao elevado fluxo gênico encontrado.

Tabela 3
Análise de variância molecular (AMOVA) entre duas populações de P. adamantinum

GL = graus de liberdade; SQ = soma do quadrado dos desvios; FST = proporção da variabilidade molecular entre populações. Testes de significância (10.100 permutações) Fonte: Autores, 2019.

Estrutura genética espacial (EGE)

O gráfico, construído a partir das coordenadas em UTM, mostrando a posição e a distribuição espacial dos indivíduos amostrados de P. adamantinum, dentro das populações, está representado na Fig. 2. Conforme os resultados da estatística Sp, a POP01 foi analisada com sete classes de distâncias e acusou estruturação genética até a segunda classe (13,66m), com coancestria positiva (Fij = 0,016) e não significativa (0,123; P > 0,05), sendo que, para a primeira classe de distância (5,70 m), o valor de coancestria foi positivo (Fij = 0,099) e significativo (0,000; P < 0,05). A POP02 foi analisada com cinco classes de distâncias e apresentou estruturação genética até a segunda classe (25,02m), com coancestria positiva (Fij = 0,018) e relativamente não significativa (0,057; P > 0,05) e, na primeira classe de distância (8,94 m), o valor de coancestria foi positivo (Fij = 0,089) e significativo (0,000; P < 0,05).


Figura 2
Gráfico (coordenadas em UTM) e a distribuição espacial dos indivíduos de Philodendron adamantinum amostrados dentro das duas populações
Arquivo pessoal; Autores, 2019.

O valor médio de Sp (0,058) encontrado, para as duas populações de P. adamantinum estudadas, indica ocorrência de fraca EGE nas duas primeiras classes de distância, mas fica acima do valor médio para espécies de fecundação cruzada (Sp = 0,013) e de espécies cuja dispersão de sementes é zoocórica (Sp = 0,009) (VEKEMANS e HARDY, 2004). Isto se deve à eficiência da polinização e da dispersão de sementes.

Ao comparar com outros estudos que utiliziraram os mesmo marcadores ISSR, Melo Júnior et al. (2015) encontraram baixos valores de Sp, que variaram entre 0,0005 a 0,019, para Cavanillesia arborea e Brandão et al. (2011), registraram valor médio de Sp correspondente a 0,007 em Myrcia splendens. Melo (2012) encontrou valor médio negativo de Sp (-0,0004) para Cabralea canjerana, o que significa ausência de EGE dentro dos fragmentos analisados com marcador dominante RAPD, similar ao ISSR. Collevatti et al. (2010), com uso do mesmo marcador RAPD, encontraram fraca EGE, com valores muito baixos em populações naturais de Caryocar brasiliensis (Sp = 0,012), Dipteryx alata (Sp = 0,017) e Tibouchina papyrus (Sp = 0,008).

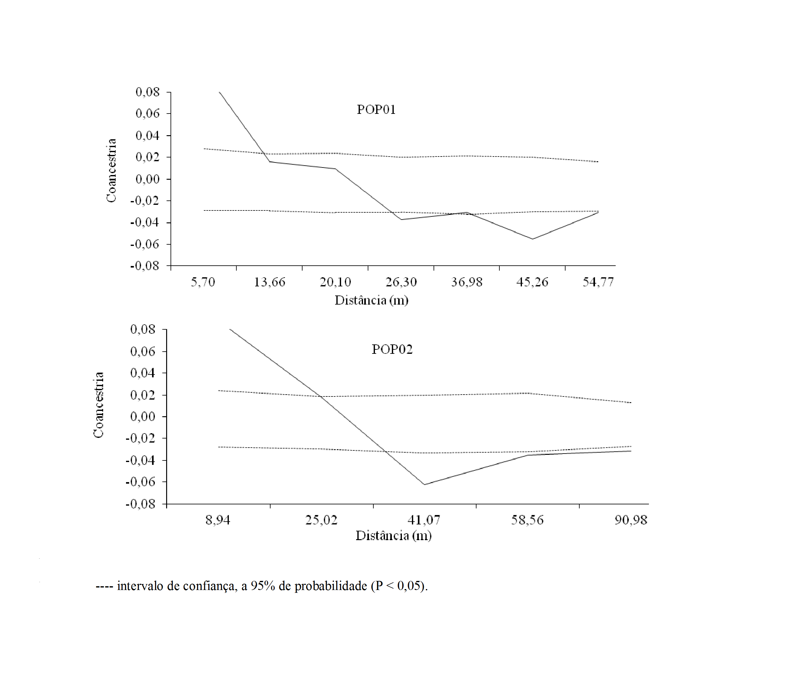
Os correlogramas da Figura 3 apresentam a distribuição espacial dos genótipos de Philodendron adamantinum, obtida por meio do coeficiente de kinship de coancestria (HARDY, 2002) entre os indivíduos amostrados, para cada classe de distância nas duas populações estudadas. Os intervalos de confiança foram construídos baseados no erro padrão da média das estimativas obtidas por reamostragem jackknife, com 1.000 permutações dentro de cada classe, para teste de ocorrência de estrutura genética espacial.


Figura 3
Correlogramas do coeficiente de kinship (de coancestria), por classes de distância, para indivíduos de P. adamantinum nas duas populações analisadas
arquivo pessoal; Autores, 2019.

Conforme os resultados pode-se afirmar que a hipótese nula Ho (distribuição aleatória da estrutura genética) deve ser rejeitada para as duas populações de P. adamantinum estudadas, até a segunda classe de distância, e que existe maior probabilidade de ocorrer endogamia entre os indivíduos mais próximos, até 13,66 m em POP01 e até 25,02 m em POP02. Dessas distâncias em diante, os indivíduos passam a distribuírem-se de maneira aleatória, dentro de suas respectivas populações, e são mais divergentes geneticamente, com valores negativos de coancestria (Fig. 3).

DISCUSSÃO

Teste e seleção dos primers ISSR

O poder de discriminação e a capacidade dos primers ISSR, utilizados para detectar a variabilidade entre os indivíduos de P. adamantinum, apresentaram resultados elevados, comparados a outros trabalhos realizados com o mesmo tipo de marcador molecular. Em Ziziphus joazeiro, espécie típica do semi-árido brasileiro o valor médio de conteúdo de informação polimórfica (PIC) ficou entre 0,25 e 0,41, para duas populações estudadas (Duarte, 2015). Em Anthurium andraeanum, família Araceae, Neto et al. (2014) encontraram valores médios de PIC entre 0,196 e 0,401. Em Baccharis crispa o valor médio de PIC encontrado foi de 0,38 (GÓRSKI, 2015). Segundo Preczenhak (2013), os valores de PIC mostram a capacidade do marcador em detectar a variabilidade entre os indivíduos e, quanto maior essa capacidade, maior o valor de PIC.

Em relação à quantidade de locos amplificados por marcadores dominantes, vários estudos mostram que o número de locos amplificados pode variar, conforme a espécie estudada. Cardozo (2013) em trabalho realizado com Anthurium augustinum (Araceae), utilizou seis primers ISSR e obteve 68 locos totais amplificados, com o número de locos por primer entre 10 e 14 locos, valor próximo ao encontrado por Gaiero et al. (2011) para espécies monocotiledôneas do gênero Butia Becc. (11 a 17 locos) e por Kiani et al. (2012) para Tulipa L. (8 a 15 locos amplificados). Em Dioscorea trifida, Nascimento (2013) encontrou fragmentos amplificados com tamanhos entre 100 e 1300 pn e Da Silva (2012) encontrou para diferentes espécies do gênero Manihot fragmentos com tamanho entre 200 a 2000 pn, ambos com uso de primers ISSR. Os valores encontrados para P. adamantinum estão bem acima dos valores encontrados para outras espécies que fizeram uso do mesmo tipo de marcador molecular.

Diversidade genética

A média entre as duas populações de P. adamantinum foi de 80% (108) de locos polimórficos, índice considerado relativamente alto, se comparado a outros trabalhos que fizeram uso do mesmo tipo de marcador, como Rossi et al. (2014) que encontraram 78,3% de locos polimórficos em Mauritia flexuosa (Arecaceae) espécie comm das veredas e Cerrado brasileiro; Asadiar et al. (2012) que obtiveram 79,3% para Elaeagnus angustifolia e Dogan et al. (2015) que encontraram de 38,8 a 66,7% de polimorfismo para Klasea sp. (Asteraceae).

A porcentagem de locos polimórficos pode ser considerada como parâmetro para medida da diversidade genética, como constatado em diversos trabalhos com populações naturais (GONÇALVES et al., 2014; DUARTE, 2015). Entretanto, apesar de adotar esse parâmetro como índice de diversidade genética, os valores de porcentagem de locos polimórficos variam bastante conforme a espécie estudada, como constatado por LIMA et al. (2015), que encontraram variação polimorfismo entre 42,85% a 100% para Malpighia emarginata e Da Silva et al. (2016) que, para Theobroma grandiflorum, registraram índices variáveis de polimorfismo, entre 31,8 a 40,2% , ambos os trabalhos realizados com marcadores moleculares ISSR. Moura (2005) encontrou 75% de locos polimórficos em Eremanthus erythropappus com uso de marcadores RAPD. Basha e Sujatha (2007) encontraram baixo polimorfismo, 42% e 37,4%, para RAPD e ISSR, respectivamente, em trabalho realizado com Jatropha curcas.

A variação expressiva nos percentuais de polimorfismo, como constatado nas comparações supracitadas para marcadores moleculares da mesma natureza, em relação ao resultado obtido para P. adamantinum, muito provavelmente se devem às características de cada espécie, suas condições ecológicas, o tamanho das populações e ainda, ao maior potencial de polimorfismo dos marcadores ISSR em relação aos marcadores RAPD. Na maioria das vezes são feitas padronizações da temperatura de anelamento, considerando a mesma temperatura para todos os primers utilizados. O que talvez explique os resultados elevados de polimorfismo para P. adamantinum é que não foi realizada essa padronização, sendo que para cada primer foi considerada uma temperatura de anelamento específica, pois a temperatura descrita para um primer nem sempre é funcional para outro, comparados aos disponíveis na literatura.

Os valores de diversidade genética de Nei ou heterozigosidade esperada (He) encontrados para P. adamantinum são considerados acima da média, superiores aos encontrados em outros trabalhos realizados com marcadores ISSR, como em populações de Anthurium pentaphyllum (Araceae), que variaram entre 0,09 a 0,15 (ANDRADE et al., 2009). Em três populações de Theobroma grandiflorum os valores médios de He e I registrados foram da ordem de 0,10 e 0,16, respectivamente (Da Silva et al., 2016). Cardozo (2013) encontrou He = 0,291 e I = 0,429 para Anthurium augustinum (Araceae). Espécies endêmicas apresentam menores níveis de diversidade genética (GITZENDANNER; SOLTIS, 2000) e, segundo Nybom (2004), apresentam em média He em torno de 0,20. Os valores encontrados nesse trabalho podem ser atribuídos ao fato de que a população estudada encontra-se preservada dentro do Parque Estadual do Rio Preto-MG, e também os indivíduos pertencem a gerações remotas dessa espécie.

Estimativas de diversidade genética com uso de marcadores dominantes são, em alguns casos, menores que as estimativas por meio de marcadores codominantes. Entretanto, marcadores dominantes, como o ISSR, apresentam ótimos resultados de forma rápida e confiável em análises de diversidade genética, pois são distribuídos de maneira aleatória e abundante no genoma, além de fornecerem locos polimórficos em quantidades satisfatórias, são de baixo custo e alta reprodutibilidade (RODRIGUES, 2010).

Segundo Ge e Sun (2001), marcadores dominantes fornecem maiores níveis de diversidade genética, quando comparados com marcadores codominantes. Patel et al. (2015) encontraram altos níveis de diversidade genética em diversas espécies do gênero Ocimum, tanto para os marcadores dominantes ISSR como para RAPD. Xing et al. (2015), com utilização de marcador dominante ISSR e codominante SSR, encontraram altos níveis de diversidade para ambos marcadores, em trabalho realizado com populações naturais de Amygdalus mira. Em cinco populações de Eremanthus erythropappus, Moura (2005) encontrou níveis elevados de diversidade genética, tanto para marcadores codominantes (isoenzimas) quanto para marcadores dominantes (RAPD).

Estrutura genética e fluxo gênico

Os valores encontrados de heterozigosidade total (Ht = 0,357) entre as populações e da heterozigosidade dentro das populações (Hs = 0,341) para P. adamantinum são relativamente elevados. São índices considerados superiores aos valores observados em plantas de polinização zoocórica (0,167) e ao de espécies arbóreas tropicais de ampla distribuição (0,204), como afirmam Loveless e Hamrick (1984) e Hamrick e Godt (1996). Em Cattleya sp., estudo realizado com marcadores moleculares ISSR, Rodrigues (2010) encontrou valores de Ht e Hs correspondentes a 0,1938 e 0,0724, respectivamente. Cardozo (2013) encontrou valores entre 0,203 e 0,358 de heterozigosidade média esperada dentro de populações de Anthurium augustinum (Araceae). Em Caryocar brasiliense o valor da heterozigosidade total foi de 0,395 (FERNANDES, 2008).

O fluxo gênico indireto (Nm) observado para P. adamantinum foi de 10,213 (Tabela 3). Segundo Slatkin (1987), teoricamente, quando Nm assume valores acima de quatro migrantes por geração (Nm > 4) é suficiente para compensar os efeitos da deriva genética. Este último autor afirma ainda que valores de Nm menores que 1 (Nm < 1) indicam isolamento genético. O fluxo gênico registrado para P. adamantinum é considerado elevado, sugerindo que a troca de alelos entre as populações é alta, em comparação a outros trabalhos realizados com marcadores ISSR, como o trabalho realizado com Ficus bonijesulapensis, Duarte (2011) encontrou Nm = 1,10, índice considerado baixo. Em Mauritia flexuosa Rossi et al. (2014) encontraram o fluxo gênico estimado de 3,02. Com uso do mesmo tipo de marcador, Hernández (2014) no Brasil e Kumar et al. (2011) na Índia, registraram 0,723 e 0,808, respectivamente, de fluxo gênico entre populações de Jatropha curcas.

É importante considerar que o elevado fluxo gênico (10,213) registrado para P. adamantinum pode ser consequência da eficiência dos mecanismos de dispersão de sementes e da polinização. O principal agente polinizador (coleóptero) e os dispersores de sementes (aves e roedores) são os protagonistas responsáveis pelo fluxo alélico por meio do transporte de pólen e propágulos entre populações distantes. O fruto tipo baga, de cores atrativas, possui sementes suculentas de cheiro forte adocicado e de fácil aderência (BOWN, 2000), o que favorece a dispersão. É possível notar a frequente movimentação de agentes polinizadores e dos dispersores ao longo da área estudada. Além disso, existem inúmeras populações de P. adamantinum na região onde foi realizada a coleta, uma vez que se trata de área endêmica da espécie. Sendo assim, seria interessante a realização de outros estudos, com novas abordagens, como, por exemplo, coleta de maior número de indivíduos, amostragem de progênies, trabalhos em microescala e ou análise de paternidade, no intuito de auxiliar a melhor compreensão do fluxo alélico contemporâneo e dos padrões atuais de estrutura genética na paisagem estudada.

Os valores encontrados para DST (0,017) e GST (0,047) estão em consonância com aqueles encontrados em trabalhos com espécies de fecundação cruzada (NYBOM, 2004; MELO JÚNIOR et al., 2004), realizados com marcadores ISSR, como por exemplo, Santana et al. (2016) encontraram 0,58 como valor médio de similaridade genética entre indivíduos de Myrciaria tenella. Em Rollinia mucosa, LORENZONI et al. (2014) obtiveram índices de diversidade genética que oscilou entre 0,0909 a 0,5147. Brandão (2008) encontrou valores maiores GST para Myrcia splendens em populações de fragmentos (DST = 0,021; GST = 0,054) e corredores (DST = 0,034; GST = 0,092). Todos esses valores de GST ficaram abaixo do esperado, se comparados com Nybom (2004), que encontrou GST = 0,22 para espécies de fecundação cruzada. Espécies alógamas, de maneira geral, apresentam maiores valores de diversidade genética dentro das populações, quando comparadas a espécies autógamas (HU et al. 2010). Segundo Nybom e Bartish (2000), os valores referentes a marcadores dominantes utilizados para estimativas do GST são similares aos obtidos com marcadores codominantes.

Os resultados da AMOVA encontrados para P. adamantinum são próximos aos resultados encontrados para outras espécies de fecundação cruzada que fizeram uso de marcadores ISSR. Duarte (2011), em estudo com Ficus bonijesulapensis (77,18% de variabilidade dentro das populações; Da Silva et al. (2016), em estudo com Theobroma grandiflorum (65,09% de variabilidade intrapopulacional); Meloni et al. (2006) encontraram 76,5% de variabilidade dentro das populações de Juniperus phoenicea; houve divergência moderada (FST = 0,266) entre populações de Anthurium augustinum (Araceae), como constatou Cardozo (2013). Já Ueno (2013), em contradição aos demais trabalhos citados, obteve alto índice de FST (0,933) para Oeceoclades maculata, com elevada diversidade genética entre as populações estudadas (93,34%) e apenas 6,66% dentro das mesmas. É interessante observar que Cavallari et al. (2006), em trabalho de investigação da variabilidade genética populacional em três espécies ameaçadas de extinção de Encholirium (Bromeliaceae), endêmicas da Cadeia do Espinhaço como P. adamantinum, com uso de marcadores dominantes RAPD, também encontraram altos níveis de diversidade genética entre populações (valores de FST entre 0,08 e 0,16 com P < 0,001 para as três espécies investigadas), com resultados semelhantes confirmados pelos respectivos índices de Shannon, o que, segundo os autores, não era esperado devido ao hábito clonal das plantas e ao pequeno tamanho das populações.

O valor de distância genética de Nei indica baixa divergência genética entre as populações, devido à eficiência do fluxo gênico entre estas, que deve ocorrer via pólen, apesar da dispersão dos frutos ocorrer principalmente por ornitofilia, que supostamente alcança distâncias maiores, inclusive sobre formações rochosas de elevada altitude. A inexistência de barreira geográfica entre as populações avaliadas pode ser considerada como um facilitador para a polinização. Em comparação, De Oliveira et al. (2012) obtiveram índices de distância genética que ficaram entre 0,269 a 0,715 (média de 0,517) em Astrocaryum vulgare, trabalho realizado com o marcador dominante RAPD. Conforme Souza et al. (2008), o índice de identidade genética de Nei, entre pares de populações de Zabrotes subfasciatus, variou de 0,723 a 0,945 (o que indica alta similaridade genética). Lima et al. (2015), em estudo realizado com Malpighia emarginata, identificaram que a distância genética entre os indivíduos variou entre 0,358 e 0,766. Estes dois trabalhos foram realizados com marcadores ISSR.

A maioria das espécies que compõem a família Araceae é dióica, de reprodução alógama, mas algumas podem realizar a propagação vegetativa por brotamento (MONTALDO, 1991), como é o caso de P. adamantinum, que se adaptou sobre afloramentos rochosos, locais de pouca matéria orgânica disponível. Nos adensamentos populacionais, frequentes na região, os indivíduos encontram-se muito próximos. Tais fatos sugerem tendência à homogeneização e redução da diversidade genética intrapopulacional, uma vez que polinizadores e dispersores terrestres não necessitam percorrer longas distâncias. Entretanto, pela AMOVA, foi verificado baixo índice de fixação (0,057) e maior diversidade genética dentro (94,32%) do que entre (5,68%) as populações. A baixa diferenciação genética entre as populações sugere que ambas faziam parte de um único grupo contínuo no passado. O elevado fluxo alélico via pólen e/ou sementes é o principal responsável pela redução da divergência genética entre populações, considerando o tipo de polinização por entomofilia e a principal forma de dispersão por ornitofilia, que transporta os diásporos a longas distâncias e causa homogeneização genética das populações. Mills e Allendorf (1996) e Wang (2004) afirmam que fluxo gênico de 1 a 10 migrantes por geração pode amenizar os efeitos do acasalamento de indivíduos aparentados entre populações.

Estrutura genética espacial

Wallace (2006) afirmou que os padrões da estrutura genética espacial entre as populações podem ser comparados por meio dos valores da estatística Sp. Pelos resultados da estatística Sp para P. adamantinum, foi observada fraca estruturação genética espacial (EGE), com valores baixos e próximos a outros trabalhos com espécies de fecundação cruzada (VEKEMANS e HARDY, 2004), por meio de marcadores ISSR, como Melo Júnior et al. (2015) em trabalho realizado com Cavanillesia arborea, Gonçalves et al. (2014), que trabalharam com Erythrina velutina. Vieira et al. (2015) em pesquisa realizada com Copernicia prunifera, nesse caso sem ocorrência de EGE e Ferreira (2011), que trabalhou com oito populações naturais de Annona crassiflora, sendo que em três os genótipos encontraram-se distribuídos de forma aleatória, enquanto as demais populações apresentaram estrutura genética espacial.

Segundo Collevatti et al. (2010), características da história de vida, pressões seletivas, eventos históricos e processos ecológicos podem produzir distribuição dos genótipos de forma não aleatória, ocasionando aparecimento de EGE em populações naturais. No caso de P. adamantinum, a ocorrência de EGE para as duas primeiras classes de distância, nas duas populações estudadas, deve-se, provavelmente, à existência de grande número de inflorescências disponíveis ao mesmo tempo e às taxas elevadas de polinização com pólen de plantas vizinhas, muito próximas. Outro fator que deve ser levado em conta é a capacidade de P. adamantinum gerar novos indivíduos de maneira autógama, por brotamento (SILVA, 2013). Futuyama (1992) afirma que limitações físicas em uma população podem dificultar os cruzamentos aleatórios, o que aumenta a probabilidade de cruzamento entre indivíduos mais próximos, podendo levar à formação de grupos com estruturação genética. Além disso, parte da dispersão dos frutos realizada pelas aves pode atingir distâncias além dos limites da área de ocorrência de P. adamantinum.

A distribuição espacial dos genótipos ou estrutura genética espacial é a forma como os genótipos estão distribuídos no espaço, podendo ser de maneira aleatória ou agregada (FERNANDES, 2008). O sistema de reprodução, os padrões de dispersão de pólen, sementes ou outros propágulos determinam a estrutura espacial, característica de cada espécie (Conte, 2004), pois a frequência alélica na próxima geração será influenciada pelo número de indivíduos que efetivamente trocaram alelos entre si (NEIGEl, 1997). P. adamantinum possui dispersão zoocórica, principalmente por ornitofilia, na maioria das vezes por aves frugívoras, das famílias Emberezidae (ex., papa-capim), Furnariidae (pedreiro-do-espinhaço) e Psittacidae (periquito-verde) (OLIVEIRA, 2013), responsáveis pela dispersão em médias e longas distâncias. Esses dispersores transportam sementes para o alto das formações rochosas e ali ocorre a formação de pequenas populações que, com o tempo, originam adensamentos em locais isolados, de difícil acesso.

Nesses agrupamentos é bastante comum a ocorrência de endogamia, que contribui para a ocorrência de estruturação genética. Pequenos répteis e mamíferos, como o mocó (Kerodon rupestres, família Caviidae), típico da região da Serra do Espinhaço, realizam a dispersão a distâncias intermediárias, e muitas vezes transportam os diásporos para junto de plantas maternas, fator que reforça a ocorrência de EGE, pois nestes ambientes os indivíduos mais próximos são mais semelhantes entre si do que indivíduos mais distantes espacialmente (VIEIRA, 2005). A polinização é realizada, quase que exclusivamente, por um único agente polinizador, o coleóptero E. emarginata, inseto de voo curto e, muito provavelmente, transporta o pólen entre indivíduos com elevado grau de parentesco genético. A dispersão realizada pelas aves, que transportam as sementes a longas distâncias, diminui a coancestria entre as populações e, consequentemente, eleva o índice do fluxo gênico, como o alto valor de Nm registrado para P. adamantinum (10,213), responsável por reduzir a endogamia dentro das populações e contrapor os efeitos da deriva genética, o que contribuiu para a baixa diversidade genética entre as populações.

Assim, é de grande relevância especialmente em todos os domínios do Cerrado que estratégias de amostragens, especialmente EGE, possam ser utilizadas como ferramentas para análise da diversidade populacional ou das espécies (CLOUTIER et al., 2007). Além disso, produzir informações que auxiliem a elaboração de estratégias de conservação. Seriam interessantes outras abordagens, como o uso de marcadores codominantes, amostragem de progênies, análise de paternidade que possam auxiliar novos estudos e mostrar novas perspectivas, no intuito de melhor compreender o fluxo alélico contemporâneo da área estudada. Também seria importante avaliar uma quantidade maior de populações de P. adamantinum ao longo da cadeia do Espinhaço e realizar trabalhos em microescala, como estratégias para tentar compreender melhor os padrões da estrutura genética atual desta espécie endêmica.

CONSIDERAÇÕES FINAIS

Apesar da ocorrência de fatores que favorecem a endogamia (reprodução vegetativa por brotamento, proximidade dos indivíduos nos adensamentos populacionais e inexistência de barreiras geográficas) os níveis obtidos de diversidade genética em P. adamantinum ficaram acima do esperado. Podem ser resultado de suas características ecológicas e principalmente devido ao elevado fluxo gênico indireto encontrado, via polinização cruzada entomófila e dispersão de sementes por ornitofilia. Houve registro de estruturação genética espacial, com coancestria positiva, para as duas primeiras classes de distância, com alto grau de parentesco entre os indivíduos mais próximos. Esse grau de parentesco diminui à medida que a distância entre as plantas aumenta, com consequente distribuição aleatória dos genótipos. Assim, os resultados e análises obtidas nesse trabalho, são de fundamental importância para a conservação de populações de Philodendron adamantinum, espécie endêmica do Cerrado. Ao analisar sua estrutura genética, e demais parâmetros, é possível futuramente propor estratégias de conservação dessa espécie, bem como de outras espécies associadas, e do Cerrado como um todo.

REFERÊNCIAS

AKURAGUI, C. M.; Biogeografia de Philodendron seção Calostigma (Schott) Pfeiffer (Araceae) no Brasil. Acta Scientiarum, Maringá, v. 23, n. 2, p. 561-569, 2001.

ALBERTTASSE, P. D.; THOMAZ, L. D.; ANDRADE, M. A. Plantas medicinais e seus usos na comunidade da Barra do Jucu, Vila Velha, ES. Revista Brasileira de Plantas Medicinais, [S./l.], v. 12, n. 3, p. 250-260, 2010.

ANDRADE, I. M.; MAYO, S. J.; VAN DEN BERGGO, C.; FAY, M. F.; CHESTER, M.; LEXER, C.; KIRKUP, D. Genetic variation in natural populations of Anthurium sinuatum and A. pentaphyllum var. pentaphyllum (Araceae) from north-east Brazil using AFLP molecular markers. Bot. Jour Linn Soc., [S./l.], v. 159, n. 1, p. 88-105, 2009.

ASADIAR, L. S.; RAHMANI, F.; SIAMI, A. Avaliação da diversidade genética em Oliva Russa (Elaeagnus angustifólia) com base em marcadores genéticos ISSR. Ciência Agronômica, Fortaleza, v. 44, n. 2, p. 310-316, 2012 .

BASHA, S. D.; SUJATHA, M. Inter and intra-population variability of Jatropha curcas (L.) characterized by RAPD and ISSR markers and development of population-specific SCAR markers. Euphytica, [S./l.], v. 156, p. 375-386, 2007.

BOWN, D. Aroids: plants of the Arum family. Portland: Timber Press, 2000.

BRANDÃO, M. M. Diversidade genética de Myrcia splendens (SW.) DC. (Myrtaceae) por marcadores ISSR em sistema corredor-fragmento semideciduais no sul de Minas Gerais. 2008. 80 f. Dissertação (Mestrado em Engenharia Florestal), Universidade Federal de Lavras, Lavras, 2008.

BRANDÃO, M. M.; VIEIRA, F. A.; CARVALHO, D. Estrutura genética em microescala espacial de Myrcia splendens (Myrtaceae). Revista Árvore, [S./l.], v. 35, n. 5, p. 957-964, 2011.

CARDOZO, A. P. Estudos biossistemáticos no complexo Anthurium augustinum K. Koch & Lauche (Araceae). 2013.73 f. Dissertação (Mestrado Botânica), Universidade Federal do Paraná, Curitiba, 2013.

CARVALHO, F. M. V.; MARCO JÚNIOR, P.; FERREIRA, L. G. The Cerrado into pieces: habitat fragmentation as a function of landscape use in the savannas of central Brazil. Biological Conservation, Essex, v. 142, n. 7, p. 1392-1403, 2009.

CAVALLARI, M. M.; FORZZA, R. C.; VEASEY, E. A.; ZUCCHI, M. I.; OLIVEIRA, G. C. X. Genetic variation in three endangered species of Encholirium (Bromeliaceae) from Cadeia do Espinhaço, Brazil, selected using RAPD markers. Biodiversity and Conservation, [s./l.], v. 15, n. 14, p. 4357-4373, 2006.

CLOUTIER, D.; KANASHIRO, M.; CIAMPI, A. Y.; SCHOEN, D. J. Impact of selective logging on inbreeding and gene dispersal in an Amazonian tree population of Carapa guianensisis Aubl. Molecular Ecology, v. 16, 797-809, 2007.

Collevatti R G, Lima J S, Soares T N, Telles M P C Spatial genetic structure and life history traits in Cerrado Tree species: inferences for conservation. Brazilian Journal of Nature Conservation 8(1): 2010, 54-59. Doi: 10.4322/natcon.00801008

CUNHA, N. R. S.; LIMA, J. E.; GOMES, M. F. M.; BRAGA, M. J. A intensidade da exploração agropecuária como indicador da degradação ambiental na região dos Cerrados, Brasil. Piracicaba/SP. RER, São Paulo, v. 46, n. 2, p. 291 -323, 2008.

DA SILVA, B. M.; ROSSI, A. A. B.; DARDENGO, J. F. E.; ARAUJO, V. A. A. C.; ROSSI, F. S.; OLIVEIRA, L. O.; CLARINDO, W. R. Diversidade genética estimada com marcadores entre sequências simples repetidas em cultivos comerciais de Cupuaçuzeiro. Ciência Rural, [S./l.], v. 46, n. 1, p. 108-113, 2016.

DE OLIVEIRA, N. P.; DE OLIVEIRA, M. S. P.; MOURA, E. F. Variabilidade e divergência genética entre genótipos de Tucumanzeiro-do-Pará (Astrocaryum vulgare Mart.) promissores para a produção de frutos por marcadores RAPD. Rev. Bras. Frutic., Jaboticabal, v. 34, v. 1, p. 216-226, 2012.

DÖTTERL, S.; DAVID, A.; BOLAND, W.; SILBERBAUER-GOTTSBERGER , I.; GOTTSBERGER, G. Evidence for Behavioral Attractiveness of Methoxylated Aromatics in a Dynastid Scarab Beetle-Pollinated Araceae. Journal of Chemical Ecology, [S./l.], v. 38, n. 12, p. 1539-1543, 2012.

DOYLE, J. J.; DOYLE, J. L. A rapid DNA isolation procedure for small quantities of fresh leaf tissue. Phytochemical Bulletin, [S./l.], v. 19, p. 11-15, 1987.

DUARTE, J. F. Conservação genética de Ficus bonijesulapensis R.M. Castro em florestas deciduais sobre afloramentos calcários. 2011. 87 f. Dissertação (Mestrado em Ecologia), Universidade Federal de Lavras, Lavras, 2011.

DUARTE, M. M. Diversidade genética de populações naturais de Ziziphus joazeiro Mart. como subsídio para adoção de estratégias de conservação. 2015. 63 f. Dissertação (Mestrado Engenharia Florestal), Universidade Federal do Paraná - UFPR, Curitiba, (2015).

EXCOFFIER, L.; LISCHER, H. E. L. Arlequin suite ver 3.5: a new series of programs to perform population genetics analyses under Linux and Windows. Molecular Ecology Resources, [S./l.], v. 10, p. 564-567, 2010.

FERNANDES, P.A.; PESSÔA, V. L. S. O Cerrado e suas atividades impactantes: uma leitura sobre o garimpo, a mineração e a agricultura mecanizada. Observatorium: Revista Eletrônica de Geografia, Uberlândia, v.3, n.7, p. 19-37, 2011.

FERNANDES, R. C. Diversidade e estrutura genética em populações naturais de pequizeiro (Caryocar brasiliense Camb.) no Norte de Minas Gerais. 2008. 68 f. Dissertação (Mestrado em Engenharia Florestal), Universidade Federal de Lavras, Lavras, 2008.

FERREIRA, M. E.; GRATTAPAGLIA, D. Introdução ao uso de marcadores moleculares em análise genética. 3 ed. Brasília: Embrapa-Cenargen, 1998.

FERREIRA, M. F. M. Análises genéticas de Annona crassiflora (Annonaceae): implicações para a conservação da espécie. 2011. 127 f. Dissertação (Mestrado Ciências Florestais), Universidade Federal de Lavras, Lavras, 2011.

FUTUYAMA, D. J. Biologia evolutiva. Ribeirão Preto: Sociedade Brasileira de Genética, 1992, 631 p.

GE, X. J.; SUN, M. Population genetic structure of Ceriops tagal (Rhizophoraceae) in Thailand and China. Wetlands Ecology and Management, [S./l.], v. 9, p. 203-209, 2001.

GITZENDANNER, M.; SOLTIS, P. S. Patterns of genetic variation in rare and widespread plant congeners. Am. J Bot., [S./l.], v. 87, v. 6, p. 783-792, 2000.

GIUSTINA, L. D.; LUZ, L. N.; VIEIRA, F. S.; ROSSI, F. S.; SOARES-LOPES, C. R. A.; PEREIRA, T. N. S.; ROSSI, A. A. B. Population structure and genetic diversity in natural populations of Theobroma speciosum Willd. Ex Spreng (Malvaceae). Genetics and Molecular Research, [S./l.], v. 13, n. 2, p. 3510-3519, 2014.

GONÇALVES, L. O.; PINHEIRO, J. B.; ZUCCHI, M. I.; SILVA-MANN, R. Caracterização genética de mulungu (Erythrina velutina Willd.) em áreas de baixa ocorrência. Ciência Agronômica, [S./l.], v. 45, n. 2, p. 290-298, 2014.

GÓRSKI, F. Seleção de primers ISSR e estrutura genética populacional de Baccharis crispa Spreng. (Asteraceae) do sul do Brasil. 2015. 58 f. Dissertação (Mestrado Biologia Evolutiva), Universidade Estadual do Centro-Oeste, Guarapuava, 2015.

GOTTSBERGER, G.; SILBERBAUER-GOTTSBERGER, I.; SEYMOUR, R. S.; DÖTTERL, S. Pollination and floral scent differentiation in species of the Philodendron bipinnatifidum (Araceae). Plant Systematics and Evolution, [S./l.], v. 299, p. 793–809, 2013.

HAMRICK, J. L.; GODT, M. J. W. Allozyme diversity in plant species. In: BROWN, A. H. D.; CLEGG, M. T.; KAHLER, A. L.; WEIR, B. S. (ed.). Plant population genetics, breeding and genetic resources. MA/Sunderland: Sinauer Associates, 1989. p.43–63.

HAMRICK, J. L.; GODT, M. J. W. Conservation genetics of endemic plant species. In: AVISE, J. C.; HAMRICK, J. L. (ed.). Conservation genetics: case histories from nature. New York : Chapman & Hall, 1996. p. 281–304.

HARDY, O. J.; VEKEMANS, X. SPAGeDi: a versatile computer program to analyse spatial genetic structure at the individual or population levels. Molecular Ecology Notes, [S./l.], v. 2, n. 4, p. 618-620, 2002.

HERNÁNDEZ, B. G. D. Diversidade genética e desenvolvimento de protocolo de regeneração in vitro em Jatropha curcas. 2015. 65 f. Dissertação (Mestrado Melhoramento Vegetal e Biotecnologia), Instituto Agronômico, Campinas, 2015.

HEYWOOD, V. H. Flowering plants of the world. New York: Oxford University Press, 1993.

HU, Y.; WANG, L.; XIE, X.; YANG, J.; LI, Y.; ZHANG, H. Genetic diversity of wild populations of Rheum tanguticum endemic to China as revealed by ISSR analysis. Biochemical Systematics and Ecology, [S./l.], v. 38, n. 3, p. 264-274, 2010.

KIANI, M.; MEMARIANI, F.; ZARGHAMI, H. Molecular analysis of species of Tulipa L. from Iran based on ISSR markers. Plant Syst Evol, [S./l.], v. 298, p. 1515–1522, 2012.

KUMAR, S.; KUMARIA, S.; SHARMA, S. K.; RAO, S. R.; TANDON, P. Genetic diversity assessment of Jatropha curcas L. germplasm from Northeast India. Biomass and Bioenergy, [S./l.], v. 35, p. 3063-3070, 2011.

LIMA, E. N.; ARAÚJO, M. E. B.; BERTINI, C. H. C. M.; MOURA, C, F, H.; HAWERROTH, M. C. Diversidade genética de clones de aceroleira avaliada por meio de marcadores moleculares ISSR. Comunicata Scientiae, [S./l.], v. 6, n. 2, p. 174-180, 2015.

LORENZONI, R. M.; SOARES, T. C. B.; SANTIAGO, V. F.; SILVA, J. A.; COELHO, R. I. Utilização de marcadores ISSR na avaliação da divergência genética entre acessos de beribazeiro. Ver. Bras. Frutic.,v. 36, n.1, p. 251-257, 2014.

LOVELESS, M. D.; HAMRICK, J. L. Ecological determinants of genetic structure in plant populations. Annual Review of Ecology and Systematics, Palo Alto, v. 15, n. 1, p. 65-95, 1984.

MAYO, S. J. A revision of Philodendron subgenus Meconostigma (Araceae). Kew Bulletin, New York, v. 46, n . 4, p. 601-681, 1991.

McDERMOTT, J. M.; McDONALD, B. A. Gene flow in plant pathosystems. Annual Review of Phytopathology, [S./l.], v. 31, n. 1, p. 353-373, 1993.

MELO JÚNIOR, A. F.; CARVALHO, D.; PÓVOA, J. S. R.; BEAZORTI, E. Estrutura genética de populações naturais de pequizeiro (Caryocar brasiliense Camb.). Scientia Forestalis, Piracicaba, v. 66, n. 1, p. 56-65, 2004.

MELO JÚNIOR, A. F.; CARVALHO, D.; BRANDÃO, M. M.; SOUSA, L. G.; VIEIRA, F. A.; MENEZES, E. V.; ROYO, V. A.; OLIVEIRA, D. A. Spatial genetic structure of Cavanillesia arborea K. Schum. (Malvaceae) in seasonally dry Tropical forest: implications for conservation. Biochemical Systematics and Ecology, [S./l.], v. 58, n. 1, p. 114-119, 2015.

MILLS, L. S.; ALLENDORF, F. W. The one-migrant-pergeneration rule in conservation and management. Conservation Biology, Essex, v.10, n. 6, p.1509-1518, 1996.

MITTERMEIER, R.; GIL, P.; HOFMANN, M.; PILGRIM, J.; & BROOKS, T; MITTERMEIER, C.; LAMOREUX, J.; FONSECA, G. Hotspots Revisited. Earth's Biologically Richest and Most Endangered Terrestrial Ecoregions, 2004.

MONTALDO, A. Cultivo de raíces y tubérculos tropicales. 2 ed. San José, Costa Rica Instituto Interamericano de Cooperación para la Agricultura, 1991, 395 p.

MORAES, M. L. T.; KAGEYAMA, P. Y.; SEBBEN, A. M.; Diversidade e estrutura genética espacial em duas populações de Myracrodruon urundeuva Fr. All. sob diferentes condições antrópicas. Revista Árvore, Viçosa, v. 29, n. 2, p. 281-289, 2005.

MOURA, M. C. O. Distribuição da variabilidade genética em populações naturais de Eremanthus erythropappus (DC.) MacLeish (Asteraceae) por marcadores isoenzimáticos e RAPD. 2005. 125 f. Tese (Doutorado Engenharia Florestal), Universidade Federal de Lavras, Lavras, 2005.

NASCIMENTO, F. W. Diversidade genética de inhame (Dioscorea trifida L.) avaliada por marcadores morfológicos SSR e ISSR. 2013. 89 f. Tese (Doutorado Genética e Melhoramento de Plantas), Escola Superior de Agricultura Luiz de Queiroz, Universidade de São Paulo, São Paulo, 2013.

NASON, J. D.; ALDRICH, P. R.; HAMRICK, J. L. Dispersal and the Dynamics of genetic structure in fragmented tropical tree populations. In: LAURANCE, W. F.; BERREGAARD, R. O. (ed.) Tropical Forest Remmants: Ecology, Management and conservation of fragmented communities. Illinois: University of Chicago Press, 1997, p. 304-320,

NEI, M. Analysis of gene diversity in subdivided populations. Proc. Nat. Acad. Sci, [S./l.], v. 70, n. 1, p. 3321-3323, 1973.

NEI, M. Estimation of average heterozygosity and genetic distance from a small number of individuals. Genetics,Pittsburgh, v. 89, n. 3, p. 583-590, 1978.

NEIGEL, J. E. A comparision of alternative strategies for estimating gene flow from genetic markers. Annual Review Ecology Systematics, Palo Alto, v. 28, n. 1, p. 105-128, 1997.

NETO, J. D. S.; SOARES, T. C. B.; MOTTA, L. B.; CABRAL, P. D. S.; SILVA, J. A. Molecular characterization of Anthurium genotypes by using DNA fingerprinting and SPAR markers. Genet. Mol. Res., [S./l.], v. 13, n. 3, p. 4766-4775, 2014.

NYBOM, H.; BARTISH, I. Effects of life history traits and sampling strategies on genetic diversity estimates obtained with RAPD markers in plants. Perspectives in Plant Ecology, Evolution and Systematics, Amsterdam, v. 3, n. 1, p. 93-114, 2000.

NYBOM, H. Comparison of different nuclear DNA markers for estimating intraspecific genetic diversity in plants. Molecular Ecology, Dordrecht, v. 13, n. 1, p. 1143-1155, 2004.

OLIVEIRA, L. V. L. Avifauna em áreas com diferentes estádios de conservação no Espinhaço Meridional. 2013. 68 f. Dissertação (Mestrado Ciência Florestal), Universidade Federal dos Vales do Jequitinhonha e Mucuri, Diamantina, 2013.

PATEL, H. K.; FOUGAT, R. S.; KUMAR, S.; MISTRY, J. G.; KUMAR, M. Detection of genetic variation in Ocimum species using RAPD and ISSR markers. 3 Biotech, [S./l.], v. 5, n. 1, p. 697-707, 2015.

PEREIRA, J.; SCHLINDWEIN, C.; ANTONINI, Y.; MAIA, A. C. D.; DÖTTERL, S.; MARTINS, C.; NAVARRO, D. M. F. A.; OLIVEIRA, R. Philodendron adamantinum (Araceae) lures its single cyclocephaline scarab pollinator with specific dominant floral scent volatiles. Biological Journal of the Linnean Society, London, v.111, n. 3, p. 679–691, 2014.

PLOWMAN, T. Folk uses of new world aroids. Economic Botany, Oxford, v. 23, n. 2, p. 97-122, 1969.

REED, D. H. Relationship between population size and fitness. Conservation Biology, Oxford, v. 19, n. 1, p. 563–568,2005.

RODRIGUES, J. F. Delimitação de espécies e diversidade genética no complexo Cattleya coccinea Lindl. e C. Mantiqueirae (Flowie) van den Berg (Orchidaceae) baseada em marcadores moleculares ISSR. 2010. 58 f. Dissertação (Mestrado Genética e Melhoramento de Plantas), Escola Superior de Agricultura, USP, Piracicaba, 2010.

ROHLF, F. J. Numerical taxonomy and multivariate analysis system version 2.11. New York: Applied Biostatistics, 2000.

ROSSI, F. S.; ROSSI, A. A. B.; DARDENGO, J. F. E.; BRAUWERS, L. R.; DA SILVA, M. L.; SEBBENN, A. M. Diversidade genética em populações naturais de Mauritia flexuosa L. f. (Arecaceae) com uso de marcadores ISSR. Sci. For., Piracicaba, v. 42, n. 104, p. 631-639, 2014.

SIEBERT, S. F. From shade – to sun-grown perennial crops in Sulawesi, Indonesia: implications for biodiversity conservation and soil fertility. Biodiversity and Conservation, [S./l.], v.11, n. 11, p. 1889-1902, 2002.

SILVA, J. A. P. Interações ecológicas de Philodendron adamantinum (Araceae, Philodendreae) no Parque Estadual do Rio Preto, Minas Gerais: polinização por besouros e interação com formigas. 2013. 65 f. Dissertação (Mestrado Evolução e Funcionamento de Ecossistemas), Universidade Federal de Ouro Preto, Ouro Preto, 2013.

SLATKIN, M. Gene flow and the geographic structure of natural populations. Science, [S./l.], v. 236, n. 1, p. 787-792, 1987.

SMITH, J. F.; PHAM, T. V. Genetic diversity of the narrow endemic Allium aaseae (Alliaceae). American Journal of Botany, [S./l.], v. 83, n. 1, p. 717-726, 1996.

SOUZA, G. A.; CARVALHO, M. R. O.; MARTINS, E. R.; GUEDES, R. N. C.; OLIVEIRA, L. O. Diversidade genética estimada com marcadores ISSR em populações brasileiras de Zabrotes subfasciatus. Pesq. Agropec. Bras., Brasília, v. 43, n.7, p. 843-849, 2008.

UENO, S. Diversidade e estrutura genética de populações de Oeceoclades maculata (Lindl.) Lindl. 2013. 57 f. Dissertação (Mestrado Genética e Melhoramento de Plantas), Escola Superior de Agricultura Luiz de Queiroz, USP, Piracicaba, 2013.

VEKEMANS, X.; HARDY, O. J. New insights from fine-scale spatial genetic structure analyses in plant populations. Molecular Ecology, Oxford, v.13, n. 1, p. 921-935, 2004

VELOSO, H. P.; RANGEL FILHO, A. L. R.; LIMA, J. C. A. Classificação da vegetação Brasileira, adaptada a um sistema universal. Rio de Janeiro: Ministério da Economia, Fazenda e Planejamento, IBGE, 1991.

VIEIRA, F. A. Diversidade e estrutura genética de Protium spruceanum (Benth.) Engler em remanescentes e corredores de vegetação na região do Alto Rio Grande-MG. 2005. 78 f. Dissertação (Mestrado Ciências Florestais), Universidade Federal de Lavras, Lavras, 2005.

VIEIRA, F. A.; SOUSA, R. F.; SILVA, R. A. R.; FAJARDO, C. G.; MOLINA, W. F. Diversidade genética de Copernicia prunifera com uso de marcadores moleculares ISSR. Ver. Bras, Ciênc. Agrár. [S./l.], v. 10, n. 4, p. 525-531, 2015.

WALLACE, L. E. Spatial genetic structure and frequency of interspecific hybridization in Platanthera aquilonis and P. dilatata (Orquidaceae) occurring in simpatry. Am. J. Bot. [S./l.], v. 93, n. 7, p. 1001-1009, 2006.

XING, C.; TIAN, Y.; GUAN, F.; MENG, F. Evaluation of genetic diversity in Amygdalus mira (Koehne) Ricker using SSR and ISSR markers. Plant Syst Evol, [S./l.], v. 301, n. 3, p. 1055-1064, 2015.

YEH, F. C.; YANG, R. C.; BOYLE, T. POPGENE: Microsoft Windows-based freeware for population genetic analysis. Version 1.31. University of Alberta, Canada and Centre for International Forestry Research, Canadá, 1999.

YOUNG, A.; BOYLE, T.; BROWN, T. The population genetic consequences of habitat fragmentation for plants. Trends in Ecology and Evolution, Amsterdam, v. 11, n. 10, p. 413-418, 1996. 1996.

ZIETJIEWICZET, E.; RAFALSKI, A.; LABUDA, D. Genome fingerprinting by simple sequence repeat (SSR)-anchored polymerase chain reaction amplification. Genomics, [S./l.], v. 20, n. 1, p. 176-183, 1994.



Buscar:
Ir a la Página
IR
Visualizador XML-JATS4R. Desarrollado por