Review article
Urease and nickel in plant physiology
Urease and nickel in plant physiology
Revista Chapingo. Serie horticultura, vol. XXII, no. 2, 2016
Universidad Autónoma Chapingo
Received: 17 December 2014
Accepted: 20 April 2016
Abstract: This review compiles and discusses current scientific information relating to the role of urease in plants; moreover, it addresses its catalytic function, distribution, influence of pH on hydrolysis of urea and Ni as a cofactor in its activation. This enzyme is of vital importance in nitrogen metabolism. To be activated, urease requires binding with two nickel (Ni) atoms, and in plant cells it participates in the metabolism of compounds containing nitrogen (N). To date, urease activation appears to be the only enzymatic function of Ni in higher plants. The importance of Ni in the physiological and biochemical processes of plants, and the typical responses to the presence of Ni in soil and plants are discussed. Evidence of a close relationship between urease and Ni in the physiology of some plants is provided, thereby indicating that urease activity could be considered as a biochemical indicator of Ni deficiency before symptoms are visibly present.
Keywords: micronutrient, metalloenzyme, catalysis, cofactor..
Introduction
Confirmation that Ni is an essential nutrient for plants was demonstrated by proving its function in urease activity. Some studies have shown that Ni is a mobile element in plants and accumulates in leaves and seeds of barley (Hordeum vulgare L.) (Brown, Welch, & Cary, 1987a; Wood, Reilly, & Nyczepir, 2004a). Even Ni deficiency symptoms have been induced in wheat (Triticum aestivum), oats (Avena sativa) and barley (Hordeum vulgare), showing interveinal chlorosis similar to that caused by deficiency of Fe, Mn, Zn and Cu (Brown, Welch, Cary, & Checkai, 1987b).
Urease is an enzyme that is activated by the interaction of two Ni atoms. A reaction catalyzed by this enzyme is the hydrolysis of urea, having as products carbonate and ammonia, followed by a spontaneous reaction of another molecule of ammonia and carbonic acid. This enzyme is important in nitrogen metabolism; however, its activity can be blocked or reduced in the absence of Ni (Wood, Reilly, & Nyczepir, 2004d). This element is required for the metabolism of plants in amounts below 0.001 mg∙kg-1 dry weight. Lack of Ni also disrupts the assimilation of nitrogen and carbon during foliage expansion (Bai, Reilly, & Wood, 2007b). Necrotic spots associated with Ni deficiency are due to the accumulation sites of urea or oxalic and lactic acids, indicating that there are changes in carbon metabolism, particularly in reduced respiration (Klucas, Hanus, Russell, & Evans, 1983; Wood, Reilly, & Nyczepir, 2004b).
In this context, this paper sets out the state of knowledge concerning the importance of urease and Ni in physiological and biochemical processes of plants, as well as their responses to the presence of Ni in soil.
Ni in soil
Heavy metals are present in the soil as a result of anthropogenic activities or natural components thereof (Bosiacki & Wojciechowska, 2012). Different metals which are part of minerals, such as magnesium (Mg) and nickel (Ni), can be found. Ni is found in the soil in various forms, such as niccolite (NiAs), garnierite and as Fe and Ni sulphides (Wood et al., 2004a).
In the Earth’s crust there is similarity between the distribution of Ni, Co and Fe. In the surface soil horizons (topsoil), Ni appears to be linked to organic forms, some of which can be found in the form of easily soluble chelates. In the soil, heavy metals may be present as free or available ions, compounds of soluble metal salts or insoluble or partially solubilizable compounds (oxides, carbonates and hydroxides) (Bai, Reilly, & Wood, 2007a).
Ni is of utmost importance in terms of its availability and potential for leaching of soil profiles to groundwater, and differs in terms of origin, since it can be natural or anthropogenic (Polacco, Mazzafera, & Tezzoto, 2013). This element is released into the atmosphere by human activities such as mining, smelting, fossil fuel burning, vehicle emissions, household, municipal and industrial waste, and application of chemical and organic fertilizers (Kutman, Kutman, & Cakmak, 2013).
The Ni level in the soil ranges from 0.2 to 450 mg∙kg-1; however, the most common values are between 5 and 22 mg∙kg-1. It can replace Zn, Fe and other metal ions in some other metalloenzymes of lower plants. Ni solubility is inversely related to soil pH (Halstead, Finn, & Maclean, 1969; Mulrooney & Hausinger, 2003). This element is mainly used as raw material in the metallurgical and electroplating industries, as a catalyst in the chemical and food industry, and as a component in batteries. Ni2+ concentrations can reach 0.2 mg∙L-1 and 26,000 mg∙kg-1 in contaminated surface water and soils, respectively (20 to 30 times more than what is found in clean areas). This type of pollution has become a global problem (McGrath & Zhao, 2003).
In order to reduce Ni soil contamination, ornamental plants are currently used for phytoremediation purposes. Some species of the families Brassicaceae and Fabaceae are suitable for improving landscape architecture and extracting this metal (Bosiacki & Wojciechowska, 2012).
Ni as an essential micronutrient
Since 2004, the Official American Association for Control of Plant Nutrients has recognized nickel as an essential element in plants, given its relationship with the urease enzyme (Wood et al., 2004a). Aksu (2002) reports that Chlorella vulgaris requires Ni for growth, as does barley (Hordeum vulgare L.). Despite the studies conducted and compared to other microelements, little is known about the metabolism or function of Ni (Figure 1) (Contreras et al., 2006). In part this is because the levels considered required for plants are low (0.001 mg∙kg-1 dry weight) in relation to the relative abundance of Ni in virtually all soils (above 5 kg∙ha-1) (Wood et al., 2004a, 2004b; Wood, Reilly, & Nyczepir, 2004c). The symptomatology in pecan (Carya illinoinensis [Wangenh.] K.Koch) tree leaflets suffering a deformity known as “mouse-ear” is associated with the deficiency of this element (Wood et al., 2004a, 2004b, 2004c). This disorder was initially attributed to various causes such as damage caused by cold, viral diseases or deficiencies of Mn or Cu. Foliar analyses of healthy and affected leaves revealed that the symptoms are caused by a deficiency of Ni or induced by an excess of Zn in the soil (Figure 2) (Wood et al., 2004b).

Ni in plant physiology
Ni uptake in plants is mainly carried out by the root systems via passive diffusion and active transport; this varies depending on the plant species, and the form and concentration of Ni in the soil or nutrient solution. For example, soluble compounds with Ni can be absorbed through the cation transport system. Since Cu2+ and Zn2+ inhibit Ni2+ uptake in a competitive manner, these three soluble metal ions appear to be introduced by the same passive transport system. Ni uptake by plants depends on the concentrations of Ni2+, the metabolism of the plant, the acidity of the soil or solution, the presence of other metals and composition of the organic matter. As an example, Ni2+ absorption by Lathyrus sativus increased with decreasing pH to 5.0, then decreased as the pH was raised to 8.0 (Walsh & Orme-Johnson, 1987; Mulrooney & Hausinger, 2003).
In Berkheya coddii, Ni2+ uptake is inhibited by Ca2+ and Mg2+. However, Ca2+ and Mg2+ do not compete in the flow of Ni2+ in barley (Hordeum vulgare L.) roots, in this case with the ions Zn2+, Cu2+, Co2+, Cd2+ and Pb2+, which inhibit Ni2+. Among these Zn2+ and Cu2+ were very competitive, Co2+ was slightly so, and Cd2+ and Pb2+ did not appear to be competitive (Walsh & Orme-Johnson, 1987; Mulrooney & Hausinger, 2003).
Adsorption of Ni2+ by Datura inoxia is favored by the application of ethylenediaminetetraacetic acid (EDTA) on the soil surface. Moreover, other factors may influence the absorption of Ni2+, such as the duration of the season, the planting method and the geochemical properties of the soil (Walsh & Orme-Johnson, 1987; Mulrooney & Hausinger, 2003).

An estimated 50 % of the Ni absorbed by plants is retained in the roots; this may be due to the cation exchange sites of the xylem parenchyma cell walls and to immobilization in the root vacuoles. In addition, 80 % of the Ni in the roots is present in the vascular cylinder, while less than 20 % is in the cortex. This distribution suggests high Ni mobility in xylem and phloem.
Ni is carried from the roots to the shoots and leaves through the transpiration stream by means of xylem. This element is supplied to the meristematic parts of plants by retranslocation from old to new leaves, and to buds, fruit and seeds through phloem. This transport is closely regulated by metal-ligand or metal-protein complexes that specifically bind to Ni, such as nicotianamine (NA), histidine (His) and organic acids (citric acid and malate ions), which can act as intracellular chelates, which bind to Ni in the cytosol or in subcellular compartments for transport, translocation and accumulation in plants. Evidence has been found of the following complexes: Ni-NA in the roots of several plants such as Thlaspi caerulescens, Ni- His in Alyssum lesbiacum, Alyssum montanum and Brassica juncea, and Ni citrate in leaves of Thlaspi goesingense and Thlaspi arvense (Ghaderian, Mohtadi, Rahiminejad, & Baker, 2007).
It is noteworthy that the Ni forms in xylem exudates are highly influenced by pH. This element is mainly chelated by citrate at pH 5.0, and by histidine at pH 6.5. It has been found that Ni is preferably distributed in the stems and leaves of hyperaccumulators (Allyssum bertolonii, Alyssum lesbiacum and Thlaspi goesingense), probably in the vacuoles rather than in the cell wall. However, 67 to 73 % of the Ni in the leaves was found in the cell walls of Thlaspi goesingense. The consensus is that the Ni in stems and leaves is mainly located in the vacuoles, cell walls and epidermal trichomes associated with citrate, malate and malonate. Also, the amounts of this element within the different organelles and in the cytoplasm can differ substantially. Approximately 87 % of the Ni in the cells of leaves of four species was located in cytoplasm and vacuoles, while chloroplasts contain from 8 to 9.9 %, and mitochondria and ribosomes from 0.32 to 2.85 % (Kramer, Smith, Wenzel, Raskin, & Salt, 1997; Kutman, Kutman, & Cakmak, 2014).
Crop response to Ni
For three generations, barley (Hordeum vulgare L.) plants were grown in nutrient substrate without Ni. The germinated seeds showed extremely small concentrations of this micronutrient, and the germination percentage decreased linearly in relation to the Ni concentrations below the critical level (100 μg∙kg-1). In bean (Phaseolus vulgaris) and soybean (Glycine max L.), the mode of transport of NH4+ fixed in the root nodules mainly includes the ureides, allantoic acid and citrulline, which are transported via xylem to the leaves, and via phloem pass from the older leaves to the younger ones and developing seeds. The metabolism of these ureides implies the formation of urea, and this can only be hydrolysed in the presence of urease, an enzyme containing Ni. If the metal is not present, the urea concentration increases and behaves as a toxic compound which produces necrosis on the leaf tips. Since the degradation of the purine bases (adenine and guanine) occurs via ureides, it seems likely that all plants present and therefore need Ni to function.
In this regard, experiments in barley (Hordeum vulgare), although forced to reach the third generation in order to obtain seeds unable to germinate and with significant structural abnormalities, show the first criterion of essentiality of a nutrient, in this case Ni. Also, various bacteria show clear dependence on Ni, Rhizobium being the best known. In this species, Ni is part of the hydrogenase enzyme, responsible for the recovery of the hydrogen involved in the nitrogen fixation process (Bai et al., 2007b).
In the autumn, foliar application of Ni sulfate (NiSO4 · 6H2O) induces Ni transport to the tissues of dormant stems and shoots in sufficient amounts for normal growth of pecan (Carya illinoinensis [Wangenh.] K. Koch). In the spring, the leaves of the treated plants are normal in size and shape, and have 7 mg Ni∙kg-1, while leaves with deficiency symptoms have 0.5 mg Ni∙kg-1. The soils of orchards with severe deficiency contain from 0.4 to 1.4 kg Ni∙ha-1 (Wood, Reilly, & Nyczepir, 2006).
Pecan trees transport N as ureides in early spring. The nutritional status of N in these trees affects both ureide and amide metabolism, and the composition of spring xylem sap. In this fruit tree Ni deficiency quantitatively affects the composition of xanthine in the sap, allantoic acid, asparagine, citrulline and β-phenylethylamine.. The observed effect of Ni on nitrogen metabolism is evidence that nutrition with Ni is more important for the management of this nutrient in crops (Bai et al., 2007b).
General aspects and distribution of urease
In 1926, James B. Sumner, an assistant professor at Cornell University, showed by X-rays that urease is a crystallized protein. This work was the first demonstration that a pure protein can function as an enzyme. Urease (EC 3.5.1.5) was the first crystallized enzyme and functionally belongs to the amidohydrolase and phosphotriesterase families (Todd et al., 2006).
The molecular weight of urease is 545,000 Da. It consists of six identical subunits of 90,790 Da, organized in a trigonal bipyramidal structure. The active site is composed of a dimer of Ni (II), being distorted octahedral coordination geometry. Among other dinuclear metal hydrolases in the family, the ureases are the only ones possessing Ni (II) ions in the active site (Kojima, Bohner, & Von-Wirén, 2006). This enzyme contains four structural domains (Figure 3). One of them has a binickel center with 3.5-armstrong separation between the two Ni atoms.


A modified lysine residue (carbamylated) (Figure 4) provides a ligand with oxygen to every nickel ion, which explains why carbon dioxide is essential for activation of apoenzyme (protein part of a holoenzyme); i.e. an enzyme which cannot carry out its catalytic action devoid of the necessary co-factors, whether metal (Fe, Cu, Mg, etc.) or organic ions, which in turn can be a coenzyme or a prosthetic group (Kojima et al., 2006; Alexandrova & Jorgensen, 2007).
Activation of urease
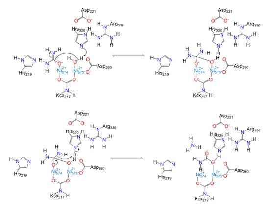
Like many other enzymes, urease is not immediately functional, but needs to bind with two nickel atoms to be activated. Specifically, three accessory proteins called UreD, UreF and UreG form a complex capable of placing the nickel in the right place in the urease (Figure 5). Thus, once the Ni is in its site (Figure 6), the enzyme breaks down the urea and produces ammonia. Also, when the formation of the UreD-UreF- UreG complex is impeded, synthesis of active urease is inhibited (Lebrette et al., 2014).
Hydrolysis of urea
The reaction catalyzed by urease is the hydrolysis of urea to carbamic acid, which occurs 1014 times faster in the presence of this enzyme, having as products carbonic acid and ammonia, followed by a spontaneous reaction of another molecule of ammonia and carbonic acid (Figure 7) (Zambelli et al., 2014).
Urea can be exploited directly by the roots or aerial parts. After being absorbed it is rapidly hydrolyzed by the urease, in roots (for example in soya) or after translocation to shoots (for example maize). In soil, hydrolysis of urea usually takes place before root absorption (Almanza, Rojas, Borda, Galindo, & Galindo, 2009).
Urea is converted into ammonia and is then transformed into ammonium. This transformation into ammonium is a hydrolysis process that, depending on the pH of the soil, gives rise to different products. Thus, at a pH higher than 6.3 urea is hydrolyzed into ammonium and bicarbonate ion, but if it is less than 6.2 it breaks down into ammonium, carbon dioxide and water (Figure 8) (Lebrette et al., 2014).


Urease in plants and Ni as cofactor
Ni deficiency inhibits urease action, and this condition leads to the accumulation of urea, which results in the presence of necrotic spots on leaves. Ni deficiency disrupts metabolism of ureides, amino acids and organic acids, and the oxidative stress generated by this deficiency results in the accumulation of oxalic and lactic acids (Kutman et al., 2014). Ureide- transporting species such as pecan (Carya illinoinensis [Wangenh.] K.Koch) have a greater N requirement than amide-transporting species, such as legumes, thereby increasing the likelihood that ureide-transporting systems may have enzymes requiring Ni for their activation or to enhance their activity (Wood et al., 2004a). The likely candidates for these systems are enzymes that affect ureide catabolism.
To date, the metabolic effects of Ni deficiency have only been reported for a few annual species. An example of this is barley (Hordeum vulgare), which showed alterations in the metabolism of amino acids, malate and various inorganic anions (SO -, Cl-, P and NO -) (Brown, Welch, & Madison, 1990; Bai, Liping, & Wood, 2013).
Urease is linked to the cellulosic fraction of the cotyledon cell wall of different varieties of squash, including Cucurbita ficifolia. This plant is closely related to Cucurbita spp, although it is atypical in its chromosomal and biochemical characters (Vicente, Villalobos, & Hernández, 1975; Almanza et al., 2009).


The effect of foliar Ni application on Cucurbita ficifolia plants, at concentrations of 1.0, 2.5 and 5.0 mg∙L-1, and a control without Ni application was studied by quantifying the incidence of crystalline urease in seeds and observing the growth and morphological development of plants from first application to fruiting. Ni caused phytotoxicity in all plants. The growth of fruits and seeds was indirectly proportional to the concentrations applied. Addition of 1.0 and 2.5 mg∙L-1 Ni was tolerated by the plants, but interveinal chlorosis occurred. In 100 % of the plants, 5.0 mg Ni∙L-1 caused senescence of flowers, preventing fruiting. The amount of urease obtained was directly proportional to the Ni concentrations applied. The activity of this enzyme in descending order was: 1.0 mg∙L-1 Ni > control > 2.5 mg∙L-1 Ni. The urease obtained from each of the treatments had lower yield than the commercial treatment (Almanza et al., 2009).

Urease in plants
Urease catalyzes the hydrolysis of urea to produce ammonium, which can be used in the root cells. This is possible due to the presence of these enzymes in the soil, a fact exploited in urea fertilization practices (Almanza et al., 2009). It is important to note that large amounts of this compound may constitute a grave danger to plants and the environment. The use of urease inhibitors is an option to increase the application efficiency of surface N as urea up to 50 %. In foliage, urea is applied to improve absorption of foliar fertilizers. Urea is rapidly absorbed; however, it can be toxic at concentrations of 2 % or greater (Almanza et al., 2009).
By being metabolized, urea does not accumulate and can serve as a nitrogen source. Due to the generation of ammonia, it has also been hypothesized that urease plays a defensive role in which it exhibits antifungal and insecticidal properties (Figure 9) (Wood, Reilly, & Nyczepir, 2004d; Bai et al., 2007b; Zambelli et al., 2014). Urease is especially abundant in leguminous seeds; soybean (Glycine max) meal contains 0.012 % and bean (Canavalia ensiformis [L.] DC.) from 0.07 to 0.14 % (Wood et al., 2006).
Conclusions
Urease is the enzyme that catalyzes the hydrolysis of urea into carbon dioxide and ammonia, functionally, and belongs to the family of amidohydrolases and phosphotriesterases. In plant cells, this enzyme is involved in the metabolism of N-containing compounds. To date, the only enzymatic function of Ni in higher plants appears to be the activation of urease. If the metal is not present, the urea concentration increases and behaves as a toxic compound which causes necrosis on leaf tips. Since the degradation of purine bases (adenine and guanine) occurs via ureides in plants, it seems likely that all plants, not just legumes, require Ni for their operation.ureasa obtenida fue directamente proporcional a las concentraciones de Ni aplicadas. La actividad de esta enzima en su orden fue: 1.0 mg∙L-1 de Ni > testigo >mg∙L-1 de Ni. La ureasa obtenida de cada uno de los tratamientos tuvo rendimiento menor que la comercial (Almanza et al., 2009).
References
Aksu, Z. (2002). Determination of the equilibrium, kinetic and thermodynamic parameters of the batch biosorption of nickel (II) ions onto Chlorella vulgaris. Process Biochemistry, 38(1), 89-99. doi: 10.1016/S0032-9592(02)00051-1
Alexandrova, A. N., & Jorgensen, W. L. (2007). Why urea eliminates ammonia rather than hydrolyzes in aqueous solution. Journal of Physical Chemistry B, 111(4), 720-730. doi: 10.1021/jp066478s
Almanza, M. P., Rojas, H. A., Borda, G. C., Galindo, A. R., & Galindo, D. R. (2009). Aplicación foliar de níquel en Cucurbita ficifolia Bouché para producción de ureasa (EC 3.5.1.5) cristalina. Agronomía Colombiana, 27(1), 33-40 Retrieved rom http://revistas.unal.edu.co/index.php/agrocol/article/ view/11328
Bai, C., Liping, L., & Wood, B. (2013). Nickel affects xylem Sap RNase and converts RNase A to a urease. Plant Biology, 13(207). doi: 10.1186/1471-2229-13-207
Bai, C., Reilly, C. C., & Wood, B. W. (2007a). Nickel deficiency affects nitrogenous forms and urease activity in spring xylem sap of pecan. Journal of the American Society for Horticultural Science, 132(3), 302-309. Retrieved from http://journal.ashspublications.org/content/132/3/302.full
Bai, C., Reilly, C. C., & Wood, B. W. (2007b). Insights into the nutritional physiology of nickel. Acta Horticulturae, 772, 365-368. doi: 10.17660/ActaHortic.2008.772.62
Bosiacki, M., & Wojciechowska, E. (2012). Phytoextraction of nickel by selected ornamental plants. Ecological Chemistry and Engineering S, 19(3), 331-345. doi: 10.2478/v10216-011-0024-9
Brown, P. H., Welch, R. M., & Madison, J. T. (1990). Effect of nickel deficiency on soluble anion, amino acid, and nitrogen levels in barley. Plant Soil, 125, 19-27. doi: 10.1007/BF00010740
Brown, P. H., Welch, R. M., & Cary, E. E. (1987a). Nickel: A micronutrient essential for high plants. Plant Physiology, 85(3), 801-803. doi: 10.1104/pp.85.3.801
Brown, P. H., Welch, R. M., Cary, E. E., & Checkai, R. T. (1987b). Beneficial effects of nickel on plant growth. Journal of Plant Nutrition, 10(9-16), 2125-2135. doi: 10.1080/01904168709363763
Contreras, R., Fontal-Rivera, B., Reyes-Malavé, M., Suárez, T., Bellandini, F., Romero, I., & Cancines, P. (2006). Algo más sobre alimentos: una visión desde la química. México: Universidad de los Andes. Retrieved from http://webdelprofesor.ula.ve/ciencias/Ricardo/pdf
Ghaderian, S. M., Mohtadi, A., Rahiminejad, M. R., & Baker, J. M. (2007). Nickel and other metal uptake and accumulation by species of Alyssum (Brassicaceae) from the ultramafics of Iran. Environmental Pollution, 145(1), 293-298. doi: 10.1016/j.envpol.2006.03.016
Halstead, R. L., Finn, B. J., & Maclean, A. J. (1969). Extractability of nickel added to soils and its concentration in plants. Canadian Journal of Soil Science, 49, 335. Retrieved from http://pubs.aic.ca/doi/pdf/10.4141/cjss69-046
Klucas, R. V., Hanus, F. J., Russell, S. A.,& Evans, H. J. (1983). Nickel: a micronutrient element for hydrogen-dependent growth of Rhizobium japonicum and for expression of urease activity in soybean leaves. Proceedings of the National Academy of Sciences, 80(8), 2253-2257.
Kojima, S., Bohner, A., & Von-Wirén, N. (2006). Molecular mechanisms of urea transport in plants. Journal of Membrane Biology, 212(2), 83-91. doi: 10.1007/s00232-006-0868-6
Kramer, U., Smith, R. D., Wenzel, W. W., Raskin, I., & Salt, D. E. (1997). The role of metal transport and tolerance in nickel hyperaccumulation by Thlaspi goesingense Halacsy. Plant Physiology, 115(4), 1641-1650. doi: 10.1104/pp.115.4.1641
Kutman, B. Y., Kutman, U. B., & Cakmak, I. (2013). Foliar nickel application alleviates detrimental effects of glyphosate on grain yield and seed quality of wheat. Journal of Agricultural and Food Chemistry, 61(35), 8364-8372. doi: 10.1021/jf402194v
Kutman, B. Y., Kutman, U. B., & Cakmak, I. (2014). Effects of seed nickel reserves or externally supplied nickel on the growth, nitrogen metabolites and nitrogen use efficiency of urea- or nitrate-fed soybean. Plant and Soil, 376(1-2), 261-276. doi: 10.1007/s11104-013-1983-7
Lebrette, H., Brochier-Armanet, C., Zambelli, B., Reuse, H., Borezïe-Durant, E., Ciurli, S., & Cavazza, C. (2014). Promiscuous nickel import in human pathogens: structure, thermodynamics, and evolution of extracytoplasmic nickel-binding proteins. Structure, 22(10), 1421-1432. doi: 10.1016/j.str.2014.07.012
McGrath, S. P., & Zhao, F. J. (2003). Phytoextraction of metals and metalloids from contaminated soils. Current Opinion in Biotechnology, 14(3), 277-282. Retrieved from http://www.ncbi.nlm.nih.gov/pubmed/12849780
Mulrooney, S. B., & Hausinger, R. P. (2003). Nickel uptake and utilization by microorganisms. FEMS Microbiology Reviews, 27, 239-261. doi: 10.1016/S01686445(03)00042-1
Polacco, J. C., Mazzafera, P., & Tezzoto, T. (2013). Opinion: nickel and urease in plants: still many knowledge gaps. Plant Science, 79(90), 199-200. doi: 10.1016/j.plantsci.2012.10.010
Todd, C. D., Tipton, P. A., Blevins, D. G., Piedras, P., Pineda, M., & Polacco, J. C. (2006). Update on ureide degradation in legumes. Journal of Experimental Botany, 57(1), 5-12. doi: 10.1093/jxb/erj013
Vicente, C., Villalobos, N., & Hernández, A. (1975). Ureasa de cucurbitáceas y su localización citológica.Anales del Instituto Botánico, 32(1), 269-277. Retrieved from http://www.rjb.csic.es/jardinbotanico/ficheros/documentos/pdf/anales/1975/Anales_32%281%29_269_277.pdf
Walsh, C. T., & Orme-Johnson, W. H. (1987). Nickel enzymes.Biochemistry, 26, 4901-4906. doi: 10.1021/bi00390a001
Wood, B. W., Reilly, C. C., & Nyczepir, A. P. (2004a). Mouse-ear of pecan: I. Symptomology and occurrence. HortScience, 39(1), 87-94. Retrieved from http://hortsci.ashspublications.org/content/39/1/87.full.pdf+html
Wood, B. W., Reilly, C. C., & Nyczepir, A. P. (2004b). Mouse- ear of pecan: II. Influence of nutrient applications. HortScience, 39(1), 95-100. Retrieved from http://hortsci.ashspublications.org/content/39/1/95.full.pdf+html
Wood, B. W., Reilly, C. C., & Nyczepir, A. P. (2004c). Mouse-ear of pecan: a nickel deficiency. HortScience, 39(6), 1238-1242. Retrieved from http://hortsci.ashspublications.org/content/39/6/1238.full.pdf+html
Wood, B. W., Reilly, C. C., & Nyczepir, A. P. (2004d). Nickel deficiency is occurring in orchard trees. HortScience, 39(4), 858. Retrieved from http://hortsci.ashspublications.org/content/39/4/858.2.full.pdf+html
Wood, B. W., Reilly, C. C., & Nyczepir, A. P. (2006). Field deficiency of nickel in trees: symptoms and causes. Acta Horticulturae, 721, 83-87. Retrieved from http://naldc.nal.usda.gov/naldc/download.xhtml?id=23592&content=PDF
Zambelli, B., Berardi, A., Martin-Diaconescu, V., Mazzei, L., Musiani, F., Maroney, M. J., & Ciurli, S. (2014). Nickel binding properties of Helicobacter pylori UreF, an accessory protein in the nickel-based activation of urease. Journal of Biological Inorganic Chemistry, 19(3), 319-334. doi: 10.1007/s00775-013-1068-3
Author notes
dojeda@uach.mx, tel.: (614) 4391844 (*Corresponding author).