Simulación numérica del índice de lesión encefálica provocado por un accidente vehicular en diferentes escenarios de colisión
Numerical Simulation of the Encephalic Injury Index Caused by a Vehicular Accident in Different Collision Scenarios
Simulación numérica del índice de lesión encefálica provocado por un accidente vehicular en diferentes escenarios de colisión
Científica, vol. 20, núm. 2, pp. 93-101, 2016
Instituto Politécnico Nacional
Recepción: 04/11/2015
Aprobación: 31/05/2016
Resumen: Este trabajo se centra en el estudio de los efectos resultantes tras un accidente automovilístico y específicamente en el Criterio de Lesión Encefálica (HIC, por sus siglas en ingles). Utilizando dos modelos numéricos diferentes de maniquí y representados en condiciones diferentes de acuerdo a las características propias para cada evento. Para el primer caso, se tiene un infante de 6 años bajo el efecto de una colisión vehicular frontal empleando un asiento porta infante en dirección del sentido de la marcha del vehículo. Para tal efecto, se incluyó un cinturón de seguridad del automóvil y el pretensor de 5 puntos que incluye la silla porta infante para visualizar los efectos de la silla perfectamente instalada y cuando no está adecuadamente anclada al vehículo. Para el segundo escenario, se busca evaluar la agresividad de los frontales de los vehículos de acuerdo a su geometría y composición. Donde la obtención de parámetros biomecánicos, como: fuerza, velocidad y aceleración son fundamentales para determinar el daño producido en el peatón. Los análisis numéricos presentados en este trabajo se desarrollaron bajo las directivas establecidas por la Canadian Motor Vehicle Safety Standard 208 y la United States Federal Motors Vehicle Safety Standard. Con valores de HIC obtenidos, es posible establecer las bases y teorías capaces de predecir los daños que sufrirá cada uno de los casos estudiados.
Palabras clave: seguridad pasiva, índice de lesión, maniquí, impacto frontal, atropello.
Abstract: This work focuses on the study of the effects resulting after a car accident and specifically, Brain Injury Criterion (HIC, for its acronym in English). Using two different numerical models dummy and represented in different conditions according to the specific characteristics for each event. In the first case, you have an infant of 6 years under the effect of a frontal vehicle collision using an infant carrier seat toward the direction of travel of the vehicle. To this end, a safety belt pretensioner car and 5 points including infant carrier seat to see the effects of the chair and perfectly installed when not properly anchored to the vehicle was included. For the second scene, it seeks to assess the aggressiveness of the front of the vehicle according to its geometry and composition. Where obtaining biomechanical parameters such as: force, speed and acceleration are essential to determine the damage to the pedestrian. The numerical analyzes presented in this paper were developed under the guidelines established by the Canadian Motor Vehicle Safety Standard 208 and the United States Federal Motors Vehicle Safety Standard. With HIC values obtained, it is possible to establish the foundations and theories able to predict who will suffer damage each of the cases studied.
Keywords: passive safety, Injury index, dummy, frontal impact, outrage.
1. Introducción
Los accidentes de tránsito son sucesos donde se provocan daños tanto a los automóviles como a los ocupantes, esto conlleva a pérdidas monetarias y lesiones en las personas involucradas e incluso la muerte de las mismas [1]. Las lesiones de tránsito más comunes son traumatismos encéfalo craneanos, lesiones del aparato locomotor (que generalmente son en la pelvis y en la columna), lesiones maxilofaciales, fractura de costillas, contusiones abdominales, heridas, desgarros e incluso quemaduras [2].
Con base en el informe sobre la situación mundial de la seguridad vial 2013, las lesiones causadas por accidentes viales son la octava causa de muerte a nivel mundial y la primera entre los jóvenes de 15 a 29 años [3]. Las tendencias actuales indican que para el 2030 se convertirá en la quinta causa de muerte. En México, el panorama de los accidentes viales no es alentador. En países como Holanda, Alemania y Suecia redujeron en 35 años, que comprende de 1970 al 2006, sus tasas de mortalidad en alrededor del 80%. Tomando en cuenta que los viajes vehículo/ kilómetro han aumentado 2.7 veces en promedio. Sin embargo, en México se incrementó la tasa de mortalidad en el mismo periodo en un 94% [4].
Además, más de 260 000 niños mueren anualmente a nivel mundial a consecuencia de colisiones de tránsito y se calcula que hasta 10 millones más sufren traumatismos no mortales. Los traumatismos causados por accidentes de tránsito son la segunda causa de mortandad en niños de 5 a 14 años. El 22.3% de todos los niños fallecidos en el 2004 de 0 a 14 años fue por accidentes de tránsito, de los cuales los de mayor tasa de mortandad fueron niños de 5 a 9 años [5]. En México a partir del 2000 al 2010 han fallecido 17 700 niños menores de 15 años por accidentes de tránsito. En el 2011, los accidentes de tránsito ocurridos en la Ciudad de México se volvieron la tercera causa de mortandad en niños de 5 a 9 años y en la cuarta de 10 a 14 años. En las colisiones frontales, generalmente se sufren graves lesiones en la pelvis, hombro, tórax, cuello y cabeza. Asimismo el cuello normalmente experimenta una carga inercial en la cabeza [6]. Durante la fase inicial de estas situaciones, la carga es en el cuello y la cabeza normalmente se somete a un desplazamiento en traslación horizontal con respecto al torso. Induciendo movimiento de prolongación del cuello en colisiones frontales [7]. Además, el cuello está expuesto a cargas mecánicas significativas cuando el extremo de la gama natural de prolongación y flexión del cuello se alcanza, originando la elongación e incluso desgarro en los diferentes ligamentos y en un punto extremo de la luxación anterior de las articulares; las articulares inferiores de la vértebra suprayacente se enganchan en el pico anterosuperior de las articulares de la vértebra subyacente; este tipo de luxación con "enganche" de las articulares es muy difícil de reducir y pone en peligro al bulbo y la médula, con riesgo de muerte súbita, de cuadriplejía o paraplejía [8].
Existe una larga lista de diferentes tipos de accidentes pero el 70% está relacionado a colisiones entre vehículos, el 11.5% es debido a colisiones con objetos fijos como postes, baquetas, camellones, semáforos, etc. Los usuarios vulnerables como los motociclistas, ciclistas y peatones ocupan el 10%. Este último sector es el más afectado y particularmente los peatones poseen la mayor tasa de mortalidad, donde por cada 100 000 habitantes mueren 4.21 peatones, 0.26 ciclistas y 0.45 motociclistas. En la distribución de los vehículos involucrados en un accidente de tránsito en el que también estuvo involucrado un peatón se observa que con un 62%, los automóviles provocan más accidentes mientras que con solo el 4% los camiones urbanos de pasaje tienen menor contacto con los peatones. El número de defunciones de usuarios vulnerables puede variar respecto al sexo y la edad. En el 2011, el 78% de los peatones eran del sexo masculino, mientras que la edad oscila de entre los 15 a 70 años [9].
Las lesiones ocasionadas a consecuencia de un impacto de vehículo a peatones así como a infantes en el habitáculo han sido exhaustivamente investigadas, donde se han empleado diferentes formas de sustituir a las víctimas, por medio de cadáveres, animales, maniquíes, simulaciones virtuales e impactadores [10]. Para este caso de estudio, Se aplica un sistema de modelo numérico por medio de algoritmos de elemento finito, donde es posible representar al peatón por medio de un modelo Hybrid III en posición vertical. Además de utilizar dos modelos de vehículos tipo sedán con distintos materiales y geometrías de capó. Asimismo, se emplea un maniquí virtual para método de elementos finitos Hybrid III de 6 años y un sistema de retención infantil marca Nania, modelo Trio SP Comfort, perteneciente al grupo 0, 1 y 2 (ajustable de 0-6 años o de 0-25 kg). El cual cuenta con un arnés de 5 puntos con ajuste central. A continuación, se revisa la metodología general para la obtención numérica de daño encefálico de un peatón adulto y un infante dentro del habitáculo bajo condiciones establecidas por las diferentes normativas actuales.
2. Metodología
Para el primer caso donde el infante sufre un impacto frontal al interior del vehículo. El análisis se lleva a cabo empleando el cinturón de 3 puntos, que sujete a la silla al vehículo como se indica en el manual de la propia silla para un infante de 6 años de edad. Mediante el pretensor de 5 puntos que incluye la silla. El mismo caso de estudio se lleva acabo pero en esta ocasión sin anclar la silla adecuadamente, para ello el infante será montado en la silla, pero la silla no se encontrará adecuadamente instalada sobre el asiento del vehículo.
Lo anterior para evaluar las lesiones que sufrirá el infante al utilizar cada uno de estos sistemas de retención infantil y cuando estos no son montados de manera adecuada (véase Fig. 1).

Para el segundo caso de estudio, se hace una reconstrucción del accidente elaborando una teoría que explique secuencialmente el desarrollo espacio-temporal con las mismas herramientas numéricas. Utilizando dos escenarios. Primero donde el maniquí se encuentra al frente del vehículo modelado únicamente con la superficie necesaria para el atropello en posición frontal y el segundo escenario donde el maniquí se encuentra de frente un vehículo completamente modelado (véase Fig. 2).

3. Desarrollo
3.1. Fase preparatoria
La reconstrucción del accidente implica una investigación para determinar las causas del accidente y entender cómo se suscitó, logrando así tomar medidas de seguridad para reducir la probabilidad de accidentes semejantes en el futuro. Se agrupa en dos procesos sucesivos y complementarios que son:
- Proceso material.
- Proceso intelectual.
El proceso material está compuesto por tareas de campo que involucra inspección ocular, fotografías, mediciones, análisis de laboratorio, entre otros. El proceso intelectual de la investigación implica la elaboración de hipótesis iniciales, partiendo de los datos de campo recopilados, continuando con la reconstrucción analítica y secuencial del siniestro y se termina comprobando la validez de la hipótesis con un programa de simulación [11].
La reconstrucción de los hechos es una fase técnica dirigida por el proceso intelectual que consiste en la elaboración de una teoría que explique secuencialmente el desarrollo espacio-temporal del suceso, para el vehículo y el individuo implicado, de acuerdo con las leyes de la física mediante modelos matemáticos. La reconstrucción cinemática de un siniestro vial se resume con los siguientes puntos:
- Fase preparatoria.
- Establecer la secuencia del siniestro.
- Planteamiento del problema cinemático.
- Definir escenarios individuales.
- Análisis de coherencia global de la reconstrucción.
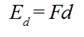
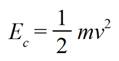
La reconstrucción de los accidentes suele implicar la aplicación de la física para determinar la dinámica del vehículo que existe antes, durante y después del accidente. Previamente a la colisión, el vehículo posee una energía cinética descrita en la ecuación (1)[12].
(1)Donde Ec es la energía cinética, m es la masa y v es la velocidad. Una vez que el vehículo colisiona, necesita disipar la energía cinética que poseía para poder detenerse por completo. Dicha energía es absorbida por la carrocería, los ocupantes y el objeto contra el que se impacta. En caso que el vehículo colisione contra una barrera indeformable, dicha barrera no absorberá nada de energía por lo cual únicamente se disipara en el vehículo y los ocupantes. La energía disipada por el automóvil está cuantificada mediante la ecuación (2) [13].
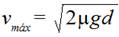
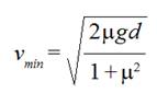
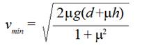
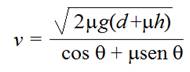
(2)En una forma idealizada para la reconstrucción analítica del caso de atropello, se suele utilizar las ecuaciones del movimiento de una partícula que tras describir un tiro parabólico, se desliza sobre una superficie hasta llegar a su posición final. La expresión matemática que se aplica para calcular el valor de la velocidad de salida del peatón después del impacto es la siguiente [14]:
(3) Donde v0 es la velocidad de salida,
es el ángulo de salida del centro de gravedad del peatón, g es la gravedad (9.8 m/s2), d es la distancia de proyección en deslizamiento y m es el coeficiente de rozamiento.
En la mayoría de los casos el ángulo de salida
es desconocido, y aunque puede servir para establecer un rango de valores de la velocidad de salida, el resultado obtenido dista de ser práctico. Por este motivo derivando la fórmula con respecto al ángulo de salida, se obtienen dos expresiones que ofrecen el valor máximo y mínimo de la velocidad de salida del peatón [15]:
(4)
(5)Finalmente se tiene:
(6)
(7)3.2. Medición de lesiones
Los traumatismos craneales son las lesiones con mayor probabilidad de fatalidad tras un impacto en el peatón. Los mecanismos de lesiones en la cabeza son complejos y siempre son el foco constante de investigaciones. Tanto la aceleración lineal como angular se debaten para ser el principal determinante de la lesión en el cerebro. Otros factores que intervienen son el tipo de impacto (sea lateral o frontal), la duración de la fase aceleración/desaceleración y el movimiento del cerebro con relación al cráneo.
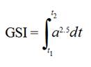
La curva de tolerancia Way State University fue determinada a partir de pruebas en cadáveres, donde se describe el umbral de lesiones con respecto a la duración de un impulso de aceleración lineal, basado en la probabilidad de fractura de cráneo después de un impacto. Los puntos por encima de la curva indican una alta probabilidad de daño cerebral o muerte. La búsqueda de un criterio común para la evaluación de lesiones en la cabeza durante las pruebas de impacto, ayudo en el desarrollo de GSI ( Gadd Severity Index ). Una integración de la curva de tolerancia, con el componente de la aceleración elevado a 2.5, se obtendrá un valor que representa la pendiente de la curva de tolerancia presentado de forma logarítmica con un tiempo de entre 2.5 y 50 milisegundos. Por lo tanto la expresión de GSI es [16]:
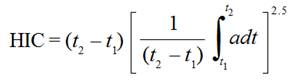
(8)Donde a es la aceleración lineal y t1, t2 es el intervalo de tiempo del impacto. Esto permitió la aparición de Head Injury Criterion (HIC). Este criterio se centra en la integración del intervalo de tiempo en la parte más perjudicial del impulso. Definiendo t1 y t2 como el momento en que iguales niveles de aceleración se producen en ambos lados en un instante de máxima aceleración. La aceleración lineal resultante en el centro de gravedad de la cabeza es medida en múltiplos de la aceleración de la gravedad. La expresión de HIC es la siguiente [17]:
(9)t1 y t2 se seleccionan a fin de proporcionar un valor máximo de HIC para un intervalo de tiempo dado.
Para el contacto con superficies duras se utiliza comúnmente un intervalo de 15 milisegundos. El HIC no tiene en cuenta algunos factores, como la aceleración rotacional de la cabeza, o cualquier efecto en la localización del impacto sobre la cabeza. Aun así es común su uso a nivel mundial. El máximo valor que puede alcanzar este indicador es 1000, cuando el HIC supera este valor se considera que ha alcanzado el umbral a partir del cual se esperan lesiones en la persona (véase Fig. 3) [18].

Actualmente se tiene una correlación entre el HIC ( Head Injury Criterion ) y AIS ( Abbreviated Injury Scale ). Basado en pruebas realizadas por ETH zürich, a partir de pruebas experimentales hechas con cadáveres. Estos experimentos dieron como resultado la gráfica que se muestra en la Fig. 4 y que se usará más adelante para determinar el daño sobre el peatón y el infante. Es importante mencionar que esta gráfica que fue desarrollado únicamente en impacto frontal [19].

3.3. Modelado en CAD de silla y perfil del vehículo sedán
Se realizó el modelado CAD del asiento porta infante mediante SolidWorks 2014 versión estudiantil. El modelado se realizó únicamente de la silla sin contemplar en el diseño el arnés de 5 puntos. Para realizar el diseño de la silla se procedió a tomar fotografías de 3 vistas: frontal, lateral y aérea (véase Fig. 5). De igual manera, a partir del plano del vehículo Audi A6 modelo 2005 donde se especifican las medidas necesarias, se modelo en el programa de diseño por computadora (véase Fig. 6).


Finalmente los modelos creados en CAD son discretizados en el programa HyperMesh para cada pieza diseñada con un tamaño de malla de 8 mm y elementos 3D tetraedros, con lo que se obtuvo el mayor número de nodos y elementos posibles, siendo su principal objetivo minimizar la distorsión de la malla del maniquí, con la finalidad de obtener valores más precisos para su uso en el programa basado en elementos finitos.
Uno de los modelos de automóvil utilizado fue desarrollado por National Crash Analysis Center (NCAC) y pertenece al modelo Yaris del segmento B producido por el fabricante japonés Toyota. Este modelo se comenzó a producir en el año 1999, existiendo 3 generaciones a través de los años. El modelo Yaris es uno de los vehículos más representativos en el parque vehicular de la Ciudad de México. El desarrollo de este modelo se llevó a cabo por el proceso de ingeniería inversa en la NCAC en el año 2012. Los modelos se han mantenido actualizados y se encuentra de manera libre desde su página oficial (véase Fig. 7) [20].

El maniquí Hybrid III percentil 50 masculino, es el maniquí para pruebas de impacto más utilizado a nivel global para la evaluación de los sistemas de seguridad en el automóvil y medir las fuerzas, momentos y aceleraciones que pueda interpretarse, en la medida de lesiones humanas que se experimentarían en condiciones de impacto (véase Fig. 8a). En términos técnicos se llaman "dispositivos de prueba antropomórficos". El modelo del maniquí en elementos finitos fue desarrollado por Livermore Software Technology Corporation (LSTC) en el año 2010 (véase Fig. 8a). El tamaño y peso del maniquí percentil 50 representa el promedio de la población adulta del sexo masculino en el continente americano. Para el infante, el maniquí fue desarrollado conjuntamente por Livermore Software Technology Corporation y el National Crash Analysis Center en el código de elementos finitos LS-DYNA (véase Fig. 8b), el cual está basado en el Hybrid III 6C (Versión Beta). Este modelo se ha validado para las pruebas de certificación que se describen en el Código de Regulaciones Federales, Título 49, Parte 572.

4. Escenarios de colisión
En total se llevaran a cabo cuatro análisis. Para el primer caso de estudio donde el infante sufre una colisión frontal contra un cuerpo rígido. Se tiene que a) está anclado correctamente al vehículo y b) no se encuentra correctamente anclado al vehículo. El segundo caso de estudio se enfoca en el efecto del atropello contra un peatón. Donde existe un choque frontal del vehículo con peatón en posición lateral y un choque frontal del vehículo con peatón en posición de frente.
5. Condiciones de frontera
Para el primer caso donde el infante sufre un impacto contra un cuerpo rígido. La velocidad inicial para todas las partes es 13.34 m/s, la curvatura de desaceleración frenara los asientos del vehículo (véase Fig. 9).

Para el caso de atropello, la velocidad que se aplicarán a los vehículos será con base en la normativa establecida por la National Highway Traffic Safety Administration (NHTSA) y la European New Car Assessment Programme (EuroNCAP), donde establecen que la velocidad a partir de la cual el umbral de daño puede ser considerablemente peligroso comienza desde los 40 km/hr = 11.11 mm/ms y una velocidad rotacional de wy= 0.0366 rad/ms.
La gravedad impuesta se establece en dirección vertical con un sentido perpendicular, aplicado a todas las partes del sistema, siendo para los análisis realizados el eje y . El valor de la gravedad se introduce como una desaceleración en función del tiempo, en este caso toma el valor constante de 0.00981 mm/ms2.
6. Resultados
En el primer caso de estudio, la simulación numérica se llevó a cabo en un intervalo de 120 ms. El resultado se muestra con la secuencia del análisis en vista lateral desde el instante t = 0 hasta t = 120 ms (véase Fig. 10).

Los índices de lesión HIC15 de los dos primeros análisis se pueden observar en la Fig. 11. En el análisis 1, se obtuvo un HIC15 = 547.7 en un intervalo de tiempo t1 = 56.35, t2 = 71.34. En el análisis 2, debido a que el infante sale disparado montado en la silla e impacta contra el asiento del copiloto, se tienen valores elevados con un HIC15 = 4421 en el tiempo que se da el impacto severo contra el asiento de copiloto ( t1 = 91.62, t2 = 94.02).

Para el caso de atropello, la simulación numérica se llevó a cabo en un intervalo de 150 ms. El resultado se muestra en la secuencia del análisis con vista lateral desde el instante t = 0 hasta t = 120 ms (véase Fig. 12).

Los índices de lesión HIC de los últimos análisis se pueden observar en la Fig. 13. Para el análisis 3, se obtuvo un HIC = 3662. Para el análisis 4, el HIC obtenido es de 1708.

7. Conclusiones
De acuerdo a los resultados obtenidos en el análisis del infante, es recomendable emplear la silla de retención infantil con el cinturón de 5 puntos para infantes de 6 años de edad, ya que genera una mejor disipación de la energía transmitida por el impacto del automóvil, generando menores índices de lesión. Al emplear la silla porta infantes con el cinturón de 3 puntos que incluye el vehículo, como se recomienda por el fabricante de la silla, ocasiona un mayor latigazo cervical, propiciando un mayor HIC, el cual se encuentran por encima del umbral de lesión.
Si no se empleara cinturón de seguridad para el infante de 6 años o se olvidara sujetar el sistema de retención infantil, el infante moriría ya que el HIC supera las gravedades que tolera el cuerpo, ocasionando fracturas e inclusión en órganos internos y desgarros musculares.
Si el cinturón de seguridad del vehículo se llegara a desabrochar por descuido del usuario o por falla mecánica, el cinturón quedaría atorado en la silla y permitía retener a la silla y al infante, sin embargo, esto ocasionara que el infante sufra mayores lesiones que si la silla es anclada correctamente.
Pasando al segundo caso de estudio. Los resultados obtenidos sobre el atropello, serán considerados como estadísticos debido a la incertidumbre de diferentes variables que resultan ser muy difíciles de representar (orientación, respuesta muscular, velocidad del peatón).
El vehículo que menor daño representa es el análisis 4 (modelo Yaris del año 2010) y se puede determinar que se debe a dos aspectos fundamentales, el material y su perfil frontal o distancia de envolvimiento (WAD). El material usado en el parachoques corresponde a un compuesto llamado polipropileno que a pesar de ser un termoplástico parcialmente cristalino, ofrece una elevada amortiguación a vibraciones, buena rigidez y dureza, pero un material de baja densidad que produce sensibilidad a impactos. Es esta última propiedad la que beneficia al peatón. Los daños en la cabeza pueden reducirse a: inconciencia mayor a 24 horas, lesión del tallo cerebral crítico y hematoma intracraneal.
El modelo del análisis 3 fue diseñado sólo con la superficie fundamental para simular el atropello, fue basado en el Audi A6 año 2005, se toma como referencia este modelo debido a su parecido del perfil frontal con otros vehículos contenidos dentro del parque vehicular en México. Se sabe que el parachoques está fabricado con un compuesto llamado poliacetales, presenta propiedades de resistencia mecánica, rigidez y dureza elevadas; así como, elevada resistencia a la cedencia. Los daños generados en este análisis causan la muerte del peatón.
Agradecimiento
Los autores agradecen el apoyo otorgado para la realización de este trabajo al Consejo Nacional de Ciencia y Tecnología, al Instituto Politécnico Nacional, a la Sección de Estudios de Posgrado e Investigación del Instituto Politécnico Nacional, ESIME Zacatenco y la participación del grupo de biomecánica de INSIA incorporado a la Universidad Politécnica de Madrid.
Referencias
[1] INEGI, Principales Causas de Muerte en el Estado 2006 a 2011, [en línea]. Disponible en http://www.conapra.salud.gob.mx/Interior/Perfil_Accidentes_Estado.html , 2013.
[2] R. Hinojosa and P. Leobard, "Siniestralidad por accidentes de tránsito en México; una aproximación desde el análisis espacial, GESIG-UNLUG," Revista Digital del Grupo de Estudio sobre Geografía y Análisis Espacial con Sistemas de Información Geográfica, no. 4, pp. 292-296, 2012.
[3] OMS, Global Status Report on Road Safety, Department of Violence and Injury Prevention and Disability, 2013.
[4] OMS, Informe sobre el Estado de la Seguridad Vial en la Región de las Américas, Washington, DC: Biblioteca sede Organización Panamericana de la Salud, 2009.
[5] INEGI, Siniestros de tránsito 2006 a 2011, 2012 [en línea]. Disponible en www.inegi.org.mx .
[6] OMS, Informe sobre el Estado de la Seguridad Vial en la Región de las Américas, 2015 [en línea]. Disponible en http://www.paho.org/par/index.php?option=com_docman&view=download&category_slug=ambiente-y-desarrollo&alias=514-informe-sobre-la-situacion-de-la-seguridad-vial-en-la-region-de-las-americas&Itemid=253
[7] European Enhanced Vehicle-Safety Committee, Improved Test Methods to Evaluate Pedestrian Protection Afforded by Passenger Cars, WG 17 Report, 2002.
[8] F. Pintar, "Analysis of Human Tolerance To Side Impact," The 41st Stapp Car Crash Conference, no. 973320, Warrendale, PA, USA, pp. 12-17, 1997.
[9] D. Wood, "Impact and Movement of Pedestrian in Frontal Collisions With Vehicles," Journal of Automobile Engineering, vol. 202, no. 2, pp 101- 107, 1988.
[10] D. Marzougui, Extended Validation of the Finite Element Model for the 2010 Toyota Yaris Passenger Sedan, FHWA/NHTSA National Crash Analysis Center, vol. W-005, pp. 1-6, 2013.
[11] D. Reid, "Modeling Crushable Foam for the SAFER Racetrack Barrier," en 8th International LS-DYNA Users Conference, vol.6, pp. 2-6, 2004.
[12] A. Noureddine, "Computer Modeling and Validation of a Hybrid III Dummy for Crashworthiness Simulation," Mathematical and Computer Modelling, vol. 35, no. 7, pp. 885-891, 2002.
[13] P. Mohan, "Dummy Model Development," en 11th Int. LS-Dyna Users Conference, vol. 11, pp 3-7, 2010.
[14] W. Rust, "Finite Element Limit Load Analysis of Thin Walled Structures," Thin.Walled Structures, vol. 41, no. 2, pp. 228-232, 2003.
[15] H. F. Quintero, S. Cardona, C. A. Romero, "Respuesta transitoria del tren de potencia de un vehículo," Scientia Et Technica, vol. 11, no. 28, octubre, 2005, pp. 95-99. [en línea]. Disponible en http://www.redalyc.org/articulo.oa?id=84911707018
[16] Y. Mizuno, "Summary of IHRA Pedestrian Safety WG Test Methods to Evaluate Pedestrian Protection," en 15th International Technical Conference on the Enhanced Safety of Vehicles, Melbourne, Australia, mayo, 1996.
[17] D. Ma, L. Obergefell, A. Rizer and L. Rogers, Biodynamic Modeling and Simulation of the Ejection Occupant System, Veridian Engineering Dayton OH, No. 2000-0080, pp. 20-29.
[18] G. Maudes, Influencia de la defensa de un todorerreno en las lesiones sufridas por un peatón en caso de atropello, Granada: Universidad Carlos III De Madrid, pp. 60-63, 2010.
[19] H. Mertz, A. Irwin, J. Melvin, R. Stanaker et al., Size, Weight and Biomechanical Impact Response Requirements for Adult Size Small Female and Large Male Dummies, Society of Automotive Engineers Technical Paper 890756, 1989. Disponible en http://papers.sae.org/890756/
[20] J. Kajzer and G. Schroeder, Examination of Different Bumper System Using Hybrid II, RSPD Subsystem and Cadavers, Society of Automotive Engineers Technical Paper 922519, 1992. Disponible en http://papers.sae.org/922519/