Configuración alterna de sistema de guías pailas de galvanizado de tubos con extracción manual
Alternate Configuration for Manual Extraction Drives System of Pipes Galvanizing Melting Pots
Configuración alterna de sistema de guías pailas de galvanizado de tubos con extracción manual
Científica, vol. 22, núm. 2, pp. 137-145, 2018
Instituto Politécnico Nacional
Recepción: 10 Octubre 2017
Aprobación: 23 Febrero 2018
Resumen: En el proceso de galvanizado de tubos de acero por inmersión en caliente, una etapa crítica es la inmersión de la pieza a recubrir en un baño de zinc fundido; la calidad y espesor de este recubrimiento depende de varios factores uno de los cuales es el tiempo de residencia de la pieza en el baño de zinc fundido. El tiempo de residencia es controlado por los mecanismos de inmersión y extracción del crisol de galvanizado, sin embargo, en las pailas de extracción manual resulta sumamente complicado controlar el tiempo de residencia, debido a la aleatoriedad de la acumulación de piezas su interior. En el presente trabajo se propone una configuración alterna del sistema guías del mecanismo de extracción de dicho tipo de pailas, modificando su geometría, para que de esta manera sea posible controlar la acumulación de piezas inmersas en un esquema de primeras entradas - primeras salidas. Sobre esta base se plantea la factibilidad de automatizar esta actividad, como consecuencia de la configuración propuesta.
Palabras clave: sistema de extracción de tubos en pailas de galvanizado, guías de sistema de extracción pailas de galvanizado.
Abstract: In hot-dipped, zinc coated galvanizing process of Steel pipe, a critical steep represents the immersion of the item to be coated into molten zinc; the coat quality and thickness depends upon several factors one of which is the immersion time into the molten zinc. The immersion time is handled by the immersion and extraction galvanizing melting pots mechanisms, however on manual extraction devices, it becomes very hard to manage this immersion time, mainly due to the random nature of how the pieces are stored inside it. In the present paper it is addressed this issue by proposing an alternate extraction mechanism drives system for this kind of melting pots, by modifying its geometry in such a way that inside storing process could become merely orderly in a first entry - first out basis. Over this approach, it is arising the feasibility of carrying out automation of this task, as a consequence of this proposed configuration.
Keywords: pipe extraction system galvanizing of melting pots, galvanizing melting pots drives extraction system.
1. Introducción
En el proceso de galvanizado [1] una etapa crítica es la inmersión de la pieza a recubrir en un baño de zinc [2] fundido. En la superficie de la pieza ocurre una reacción química entre el Fe, una película de ZnCl2-NH4 (flux) y el zinc fundido, produciendo un enlace [3] entre el Fe de la pieza y el zinc que se extiende por toda la superficie de la pieza (recubrimiento). La calidad y espesor de este recubrimiento depende de varios factores uno de los cuales es el tiempo de residencia de la pieza en el baño de zinc fundido. El espesor de la capa [4] de zinc es directamente dependiente del tiempo de residencia (o velocidad en el caso del galvanizado de rollos de láminas); posterior a una cantidad de tiempo determinada por el proceso, a partir del cual el recubrimiento pierde su adherencia (se quema) y al enfriarse comienza a desprenderse en forma de escoria con el más mínimo impacto o doblez de la pieza.
En el caso del galvanizado de tubo de acero al carbón [5], [6], [7], [8] el tiempo de residencia es de la misma manera relativo y depende de las mencionadas condiciones de proceso, pero en general, se pretende emplear el menor tiempo de residencia posible para obtener una capa lo más delgada posible para un mejor aprovechamiento de zinc; aunque también un tiempo de residencia demasiado corto pudiera ocasionar un recubrimiento parcial en la superficie (pieza manchada).
En las pailas de extracción manual, los problemas con los que se ha hecho frente en su operación los representan principalmente el surgimiento de defectos como: tubo quemado, manchado (véase Apéndice A) y, por otro lado, espesores de capa de zinc demasiado significativos > 600 g/m2. Entre algunas de las principales causas que ocasionan estos defectos e inconvenientes, se encuentra el tiempo de residencia. El tiempo de residencia de los tubos de acero, como piezas individuales, es muy irregular ya que como su extracción se realiza en forma manual, algunas piezas permanecen durante una mayor cantidad de tiempo que otras lo que ocasiona prolongados tiempos de residencia. Esto se debe a la disposición aleatoria en que estos son almacenados en el interior del crisol (véase Fig. 1), ya que la acumulación se realiza a lo largo del tramo horizontal, en el cual los tubos se van apilando unos sobre otros y son extraídos primeramente los que se encuentran más cercanos a la superficie.

En general son comunes los reprocesos por tubo quemado (véase Apéndice A. Glosario) por la permanencia durante prolongados periodos en inmersión. Un tiempo promedio adecuado para tubos de acero al carbón, podría rondar alrededor de 1.5 min. Por otro lado, la optimización en el consumo de zinc es un aspecto fundamental en el proceso de galvanizado y es uno de los principales indicadores en la eficiencia del proceso. Debido al elevado precio que involucra la adquisición de este metal como materia prima, es necesario aprovecharlo al máximo y constantemente eficientar su consumo para obtener una mayor rentabilidad del proceso.
Se propone modificar la ingeniería del sistema de extracción manual de las pailas de galvanizado modificando el sistema de guías del mecanismo para que de esta manera sea posible controlar de manera más ordenada la disposición de piezas acumuladas en el interior de la paila y así el tiempo de residencia, permitiendo que sea el adecuado para todas y cada una de las piezas a galvanizar, manteniendo una acumulación constante a lo largo de todo el proceso, mediante un esquema de primeras entradas - primeras salidas.
Esto se lograría mediante la modificación geométrica del dispositivo, como se ilustra en la Fig. 2; donde las guías colocarían el tubo a una distancia L1 de la pared de la paila.

2. Sistema de guías propuesto
En las guías que se proponen los tubos se acumularían a lo largo de una sección inclinada de determinada longitud. La acumulación de los tubos sería totalmente en línea recta, nunca apilados, de tal manera que todos los tubos tendrían el mismo desplazamiento y por consiguiente el mismo tiempo de residencia. Debido a la disposición ordenada de las piezas en el interior de la paila, adicionalmente se plantea la factibilidad de instalar un mecanismo de brazos de extracción que girarían parcialmente /2 sobre su propio eje longitudinal hacia la dirección del tubo cuando vayan a ser extraídos y /2 hacia fuera cuando bajen para colocarse nuevamente en posición.
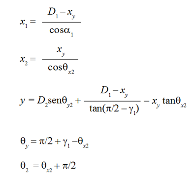
En la Fig. 3 se muestra en detalle el sistema de guías que se propone.

Para el dimensionamiento, con base en la Fig. 3, se tienen el siguiente conjunto de parámetros libres, a establecer por parte del dueño de proceso:

Con base en las dimensiones del crisol de galvanizado. Sobre los valores de estas variables, se establecen las siguientes ecuaciones:

Que permiten dimensionar las guías en su totalidad. La estructura que se propone utilizar para realizar directamente la extracción del tubo del interior de la paila, consiste en un brazo alargado con un vértice en la punta en donde colocaría el tubo para llevarlo hasta la superficie donde sería tomado por los rodillos magnéticos.
El brazo realiza un giro de /2 sobre el eje (x,y) para realizar adecuadamente los movimientos de posicionamiento. Cuando el brazo sube lleva consigo un tubo, al momento de su inmersión gira /2, cuando se encuentra completamente sumergido y en su posición original, giraría nuevamente en su posición 0, este sería su ciclo completo (véase Fig. 4).

En cuanto a la maquinaria necesaria para el movimiento del brazo, se considera la posibilidad de emplear algún sistema compuesto por dos pistones, uno con movimiento horizontal y otro con movimiento vertical, aunque en esto último puede haber otros sistemas también adecuados.
En cuanto a la adecuación de estas estructuras a las diferentes medidas de tubo, podría ser posible la necesidad de realizar un cambo de brazos de extracción en cada cambio de medida o manejar un brazo para un rango de medidas.
3. Información de la posición del tubo dentro del crisol de galvanizado
Una vez que el tubo es introducido a la paila por los gusanos de inmersión (mecanismo típico de inmersión) u otro mecanismo, se pierde contacto visual con el tubo y por un instante no se tiene información referente a este. La única información que se tiene es durante sus condiciones iniciales y finales, es decir cuando ingresa y cuando es extraído de la paila de galvanizado.
Es conveniente desarrollar alguna expresión que pueda proveer de una cierta aproximación sobre la localización del tubo en un instante determinado en el interior del crisol de galvanizado.
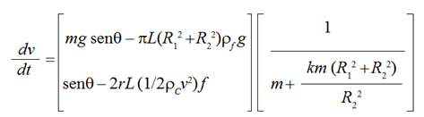
Consideremos una pieza cilíndrica que parte del reposo; inmediatamente adquiere movimiento debido a la acción de la fuerza de la gravedad, con una velocidad definida desplazándose a través de una guía inclinada. Las fuerzas que actúan sobre este sistema se pueden representar mediante la Fig. 5.

Con base en lo anterior, se plantea el siguiente sistema de ecuaciones:

El primer término de la primera ecuación representa la acción de la fuerza de gravedad a lo largo de la guía, el segundo representa la fuerza de flotación que ejerce el fluido en el tubo, el tercero la fuerza de oposición que ocasiona un momento angular al tubo, el cuarto representa la fuerza de oposición al movimiento del tubo a través del fluido debida a las fuerzas viscosas.
Agrupando y sustituyendo términos se obtiene:

Si se despeja y se agrupa para así finalmente obtener la ecuación diferencial, se tiene entonces:

Para resolver y obtener:

donde se fueron aplicadas las agrupaciones siguientes a modo de simplificación:

donde:
m: masa del tubo.
g: valor de la aceleración de la gravedad.
L: longitud del tubo.
R1: radio interior del tubo
R2: radio exterior del tubo.
r: radio exterior.
f: densidad del fluido en el que se desplaza el tubo.
c: densidad del material del tubo.
f : factor de fricción de Fanning (véase Apéndice D).
k: constante del momento de inercia (1/2 para cilindros, 2/5 para esferas).
: constante de proporcionalidad (ya que la gráfica del factor de fricción está diseñada para esferas, es necesario realizar alguna corrección para cilindros; es un número cercano a 1).
Re: número de Reynolds (véase [9]).
: ángulo de inclinación de guía ( de acuerdo a Fig. 3).
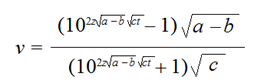
Finalmente se procede a despejar para v y se obtiene la siguiente expresión:
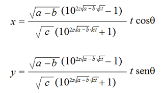
(1)Es posible representar la posición del tubo a lo largo de la guía en un momento determinado mediante el siguiente conjunto de ecuaciones paramétricas:
(2)Una vez obtenidas las ecuaciones es necesario emplear el siguiente algoritmo de cálculo para obtener:
1. Suponer un valor de f.
2. Calcular la velocidad del cilindro con ese valor.
3. Calcular el número de Reynolds con el valor obtenido de la velocidad.
4. Determinar de la Fig. 8 (tabla del Apéndice D), el factor de fricción f correspondiente al Re calculado en el paso anterior.
5. Comparar ambos valores de f (propuesto vs calculado).
6. Si la diferencia calculada se considera sustancial, considerar el valor calculado del factor de f como valor propuesto y repetir el procedimiento desde el paso 2 hasta que la diferencia entre el valor calculado y el valor propuesto sea considerado adecuado.
7. Repetir los pasos anteriores para cada valor de dt.
Una aproximación más práctica puede ser tomar dt/dv=0 (cuando las fuerzas se encuentran en equilibrio), en este momento se alcanza la velocidad máxima, entonces se puede despejar y calcular el valor de la velocidad, calcular Re y f para emplear estos valores durante todo el desarrollo. Esta es la aproximación que se utilizó en los resultados provistos con este documento.
4. Simulación del movimiento de piezas
Se plantea un esquema teórico de aplicación del sistema de guías propuesto y del modelo matemático desarrollado en la sección anterior.
Sea un tubo de acero de 3" de diámetro que se encuentra moviéndose a través de un sistema de guías como el que ilustra la Fig. 2, suponer que el medio se trata de agua líquida. Determinar el perfil de velocidad desarrollado y su posición en este sistema de guías.
Con los datos de la Tabla 1, se aplica la ecuación (1), se obtienen los resultados mostrados en la Fig. 6.


Se procede a aplicar las ecuaciones en (2), y se obtienen los resultados mostrados en la Fig. 7 (los valores obtenidos de este resultado, se encuentran en el Apéndice C. Valores del cálculo de simulación).

5. Ventajas y desventajas planteadas
Se plantean una serie de ventajas y desventajas sobre la implementación del sistema de guías propuesto y sobre la automatización un brazo de extracción. La principal ventaja representa la posibilidad de contar con una disposición espacial definida y, por consiguiente, de obtener un control más preciso del tiempo de residencia de cada uno de los tubos. Entre los efectos principales de controlar el tiempo de residencia, se encuentran las siguientes:
- Evitar la aparición de tubos "quemados" (véase Apéndice A. Glosario) o disminuir considerablemente este defecto ocasionado por tiempos de residencia muy prolongados. Al evitar los tubos quemados se generaría una menor cantidad de reproceso, el desperdicio de zinc y ácido clorhídrico (debido a reprocesos) sería menor.
- Disminuir la cantidad de tubo manchado (véase Apéndice A. Glosario). Una de las causas de la aparición de tubo manchado es el tiempo de residencia muy corto, controlándolo nos aseguramos que todos los tubos permanezcan el tiempo necesario.
- Capas de zinc más bajas. De esta manera se podría operar con capas de zinc aproximadamente menores de 650 g/m2, mejorando de esta forma el aprovechamiento de zinc.
- Acumulación de tubo controlada. Con este mecanismo se podría tener más controlada y mantener constante la cantidad de tubos acumulados en el interior de la paila.
- Posibilidad de automatización del proceso. De ser llevada a cabo la extracción en forma automática, el operador no necesitaría estar tan cerca e interactuar tanto con la máquina. Se podría trabajar en un ambiente más seguro.
Sin embargo, de ser llevada a cabo la automación del proceso de extracción de tubo, podrían presentarse los siguientes inconvenientes:
- El sistema de guías funcionaría solamente para diámetros de tubo 1¼", de lo contrario el peso de cada pieza podría no ser significativo para mantenerlo en las guías, por la turbulencia generada en el interior de la paila debido el movimiento del zinc fundido durante las actividades que conllevan a interactuar con este.
- Necesidad de realizar cambio de brazos de extracción en cada cambio de medida de diámetro de tubo.
- Dificultad de ajuste inicial. Sería muy pequeño el margen de error.
- Inversión inicial al requerir mecanismos móviles y necesidad de mantenimiento; aunque no representaría una fracción del costo de una paila de galvanizado de tubo integrada con sistemas completamente automatizados.
6. Conclusiones
El sistema de guías propuesto para las pailas de galvanizado de tubos con mecanismo manual de extracción de piezas, podría representar una optimización significativa en el proceso de galvanizado, ya que con estas guías sería posible adaptar un brazo controlado de manera automática para realizar esta actividad. La propuesta aquí expuesta puede representar una alternativa económica de modernización de una paila de galvanizado con extracción manual, orientada hacia la disminución de defectos en el tubo galvanizado, reproceso, mejor aprovechamiento de zinc y en general mejor aprovechamiento de recursos aumentando la rentabilidad de utilizar utilización de este tipo de pailas como opción para producción continua.
Para adquirir un panorama del estado del arte de lo propuesto, así como una comparativa con otros dispositivos automáticos muy utilizados actualmente, revise el Apéndice B (comparación de características generales).
Apéndice A. Glosario
Galvanizado (por inmersión o en caliente): Proceso en el cual una pieza de acero es recubierta con una capa de zinc, a través de una reacción química metalúrgica que tiene lugar entre este metal y el fierro a una temperatura de alrededor de 450°C [1].
Zinc o cinc: Elemento químico metálico de número atómico y masa atómica 65.41 u, perteneciente al grupo de los metales de transición, cuyo símbolo químico es Zn [2], [3]. Representa la materia prima para el proceso de galvanizado.
Ácido clorhídrico: Gas formado por una molécula de hidrógeno y una de cloro, de aspecto amarillento y corrosivo. Se utiliza disuelto en agua, en soluciones de alrededor de 15% en volumen como agente removedor de óxido de piezas previo a ser galvanizadas. Es el agente químico más comúnmente utilizado en procesos de galvanizado, aunque en menor grado son empleados el ácido sulfúrico, fluorhídrico, entre otros ácidos fuertes.
Pieza galvanizada: Cuerpo formado de acero que ha sido recubierto por una capa de zinc, para prevenir su oxidación y corrosión debido a distintas condiciones ambientales. Los tubos galvanizados se utilizan en la industria de la construcción principalmente para la conducción de fluidos y algunos otros componentes como los son el cableado eléctrico. Para obtener mayor información sobre especificaciones para tubo galvanizado comercial, favor de revisar [5], [6], [7], [8].
Paila o crisol de galvanizado: Recipiente metálico construido de una aleación de acero de bajo silicio, se utiliza para contener el zinc fundido utilizado en el proceso de galvanizado de tubos. En este recipiente son sumergidas las piezas a ser galvanizadas; el sistema de guías se encuentra también en su interior, (véase Fig. 1 y Fig. 2).
Sistema de guías: En las pailas de galvanizado, representan estructuras metálicas tubulares fabricadas mediante una aleación de acero de bajo silicio. En estos elementos son colocadas las piezas que por inmersión ingresan a la paila; es donde se lleva a cabo la reacción química metalúrgica. Son colocadas en disposición de tres a cuatro unidades, axialmente en dirección a los tubos que son introducidos, para evitar que estos se precipiten hacia el fondo del crisol.
Defecto tubo quemado (o su equivalente): Condición indeseable en un tubo galvanizado que consiste en el desprendimiento de la capa de zinc ante alguna fuerza cortante aplicada en su superficie. Es ocasionado por el rompimiento del enlace químico entre el zinc y el acero, debido a prolongados períodos de tiempo de residencia de estas piezas en el interior de la paila. Su reproceso conlleva a la remoción de la capa de zinc existente mediante ácido clorhídrico.
Defecto tubo manchado (o su equivalente): Condición indeseable de un tubo galvanizado que consiste en la presencia de tramos en la superficie, en los que no se fue llevada a cabo la reacción química entre el zinc y el acero; por tanto, dichos tramos no presentan una capa de zinc, lo que ocasiona un aspecto contrastante discontinuamente en toda la superficie del tubo galvanizado. Su reproceso conlleva a la remoción de la capa de zinc existente mediante ácido clorhídrico.
Apéndice B. Comparación de características generales (sistemas mencionados contra otros dispositivos)
Tabla comparativa de algunas de las características de los sistemas de extracción de los dispositivos de galvanizado mencionados en este documento, contra otros equipos automáticos [10], [11] ampliamente utilizados hoy en día (representando estos últimos el estado del arte). Los valores deseables de estas variables en general buscados por la mayoría de los galvanizadores, se han establecido con verde, mientras que aquellos menos deseables con rojo, y para un punto intermedio, en color naranja.

Apéndice C. Valores obtenidos de cálculo en simulación
Los valores del cálculo de simulación se muestran en la Tabla 3.

Apéndice D. Factor de fricción de Fanning [12].
![Tabla de factor de fricción de Fanning, obtenida de [12].](../61458109007_gf9.png)
Referencias
[1] American Galvanizers Association, Hot-Dip Galvanizing for Corrosion Protection, a specifiers guide, 2012 [en línea]. Disponible en: http://galvanizeit.org/uploads/publications/Galvanized_Steel_Specifiers_Guide.pdf
[2] American Society for Testing and Materials, Standard Specification for Zinc, ASTM B6-13, 2013.
[3] R. Chang, Química, 4a ed., Ciudad de México: McGraw-Hill, 1992.
[4] A. Ramón-Córdoba, "Control de Espesor en el Proceso del Galvanizado," Tesis de Maestría en Ciencias, Facultad de Ingeniería Mecánica y Eléctrica, Universidad Autónoma de Nuevo León, San Nicolás de los Garza, N. L., México, 1993. [en línea]. Disponible en: http://eprints.uanl.mx/6216/1/1020070659.PDF
[5] American Society for Testing and Materials, Standard Specification for Pipe, Steel, Black and Hot-Dipped, Zinc-Coated, Welded and Seamless, ASTM A53A/A53M-12, 2012.
[6] American Society for Testing and Materials, Standard Test Method Weight [Mass] of Coating on Iron and Steel Articles with Zinc or Zinc-Alloy Coatings, ASTM A90/A90M-13, 2013.
[7] Secretaría de Comercio y Fomento Industrial, Tubos de Acero Con o Sin Costura, Negros y Galvanizados en Caliente, 1990, NMX-B-177.
[8] American National Standards Institute, Inc., American National Standard for Electrical Rigid Steel Conduit (ERSC), ANSI C80.1, 2005.
[9] R. H. Perry, D. W. Green, J. O. Maloney, Perry´s Chemical Engineers´ Handbook, Nueva York: McGraw-Hill, 1997.
[10] C. Gillet, Automatic Equipment for Galvanizing Tubes, U.S. Patent 3,410,200, 1968.
[11] L. Gang, W. Yaping, G. Jianjun, Machine for Automatically Picking Out Galvanizing Steel Pipes, C. N. Patent CN201704394U, 2011.
[12] R. B. Bird, W. E. Stewart, E. N. Lightfoot, Fenómenos de transporte, 2a ed., Ciudad de México: Limusa, 2006.