Un colorante liposoluble de semillas de Onoto (Bixa Orellana L.) como insumo para la industria alimentaria
A liposoluble colorant from Annatto seeds (Bixa Orellana L.) as an input for food industry
Un colorante liposoluble de semillas de Onoto (Bixa Orellana L.) como insumo para la industria alimentaria
Revista INGENIERÍA UC, vol. 25, núm. 2, 2018
Universidad de Carabobo
Recepción: 01 Marzo 2018
Aprobación: 31 Mayo 2018
Resumen: En el presente trabajo se planteó la obtención de un colorante liposoluble para la industria de alimentos a partir de la Bixa Orellana L. o conocido comúnmente como onoto a través de una extracción con el uso de un solvente. Se estudiaron las características del suelo de las plantas de onoto de la comunidad El Pernal, Tinaquillo, estado Cojedes, seleccionada para la presente investigación. Se evaluaron solventes como el etanol, n-hexano, acetato de etilo e hidróxido de potasio como agentes lixiviadores de la bixina, con la ayuda de una muestra patrón facilitado por la industria alimenticia, y con el empleo del equipo UV-visible se comprobó que el KOH al 2 % resultó mejor solvente extractor por su bajo costo, bajos niveles de toxicidad y alto rendimiento. Se realizaron ensayos de extracción a las semillas de onoto a escala de laboratorio donde se estudiaron variables como relación de cantidad de soluto y solvente, tiempo de remojo, agitación y a su vez pasos posteriores como neutralización y precipitación de la bixina, filtrado al vacío, secado al horno a y almacenamiento, donde se determinó el rendimiento en la extracción.
Palabras clave: Bixa Orellana L, onoto, bixina, colorantes naturales, lixiviación, alimentos.
Abstract: In the present work, it was proposed to obtain a liposoluble dye for the food industry from the Bixa Orellana L. or commonly known as annatto through an extraction with the use of a solvent. The soil characteristics of the onoto plants of the community El Pernal, Tinaquillo, Cojedes state, selected for the present investigation, were studied. Solvents such as ethanol, n-hexane, ethyl acetate and potassium hydroxide were evaluated as leaching agents of bixin, with the help of a standard sample facilitated by the food industry, and with the use of UV-visible equipment it was found that 2 % KOH was the best extractive solvent due to its low cost, low levels of toxicity and high yield. Extraction tests were performed on onoto seeds at a laboratory scale where variables such as solute and solvent quantity ratio, soaking time, agitation and in turn subsequent steps as bixin neutralization and precipitation, vacuum filtering, drying were studied. to the oven and storage, where the extraction performance was determined.
Keywords: Bixa Orellana L, onoto, bixina, natural dyes, leaching, food.
1. Introducción
La naturaleza está caracterizada en gran medida debido a la rica diversidad que poseen, distintas especies de animales y plantas. El ser humano se ha provisto de esa diversidad con el fin de mejorar la calidad de vida y con el pasar de la historia el desarrollo de la humanidad ha ido de la mano con el aprovechamiento de recursos naturales y su transformación. Los alimentos son un punto sensible para la sociedad, tanto en tiempos antiguos como en la actualidad, y es un área importante para la investigación y elaboración de proyectos que satisfagan demandas y necesidades.
Actualmente existe una tendencia mundial a la utilización de alimentos sin el uso de herbicidas, pesticidas y fertilizantes artificiales, conocidos como alimentos orgánicos o naturales. Debido a este requerimiento, la industria intenta incorporar estas exigencias a sus productos, generando como resultado alimentos saludables, atractivos y de mejor calidad.
Uno de estos insumos importantes para la industria alimenticia es la incorporación de colorantes, estos juegan un papel importante debido a que representan a través del contacto visual, el primer acercamiento entre el consumidor y el producto, lo que puede hacer que este último sea más atractivo entre una gran cantidad de productos existentes en el mercado nacional, donde compiten alimentos nacionales e importados. Los pigmentos naturales son aquellos obtenidos de fuentes presentes en la naturaleza, usados para impartir color a algunos productos. Son sujetos a las mismas pruebas de calidad y seguridad toxicológica que los sintéticos, pero la Administración de Alimentos y Fármacos de Estados Unidos (F.D.A) por sus siglas en inglés y otras agencias gubernamentales, no requieren que se certifique su pureza química y por tanto se refiere a ellos como aditivos de color no certificados; sin embargo, algunos de estos pigmentos sí están sujetos a restricciones en su uso, como el nivel máximo permitido o el uso en animales y/o humanos (ver [1]).
El onoto se ha utilizado desde tiempos pre-coloniales en Venezuela con diferentes usos: medicinal, colorante corporal y como condimento en alimentos, por tanto, el onoto es conocido como fuente natural histórica proveedora de color, es una planta arbustiva que científicamente lleva el nombre de Bixa Orellana L. Este arbusto puede medir entre 3 y 10 metros de altura, sus hojas son simples, grandes, de forma acorazonada y dispuesta de manera alterna, de bordes lisos y con largos pecíolos. Las flores son hermafroditas y están dispuestas en ramilletes terminales, de colores blanco a rosado, según las variedades. El fruto es una cápsula ovoide u ovoide - globosa, pardo - rojiza, que mide de 2 a 5 centímetros de diámetro, puede tener espínulas sedosas (escasas o abundantes) o carecer de ellas. Puede ser de color naranja, verde, amarillo, rojo o poseer diferentes tonalidades entre éstos. En su interior se encuentran de 10 a 50 semillas rojas, casi triangulares y pequeñas, rodeadas con una sustancia viscosa de color rojo vivo que contiene la bixina. El onoto, conocido de esta forma coloquialmente a la Bixa Orellana L., prospera en zonas tropicales y se adapta a distintos tipos de clima y suelos. Crece en altitudes desde 100 hasta 1 000 m.s.n.m., aunque prospera mejor en zonas relativamente bajas (100 a 500 m) y planas. Soporta temperaturas desde 24 hasta 35°C, y precipitaciones anuales de 1.000 a 1.200 mm. Es posible reproducirla por semillas, estacas o injertos. Los arbustos de onoto comienzan su producción comercial entre los 3 y 4 años de edad. En promedio, una plantación resulta redituable por un periodo de 12 años, aunque varía de acuerdo con las condiciones del suelo, el clima y el manejo (ver [2]).
El método que se utilice para extraer el colorante de las semillas redundará en la calidad del producto final. Existe una forma tradicional y antigua para la extracción del colorante, practicado en miles de hogares, el cual consiste en colocar las semillas de onoto en aceite caliente, agitando constantemente y así se obtiene un aceite, que se usa para darle color a las comidas. Esta técnica muy empleada en casas presenta bajos rendimientos, con pérdidas elevadas en el contenido de bixina. Otro procedimiento para la extracción de bixina es el método industrial, este consiste en la utilización de solventes orgánicos y se evita el uso de altas temperaturas. Con este método se obtienen altos rendimientos, ya que la molécula de bixina es afín a estos solventes y permite obtener extractos puros del pigmento (ver [2]). El método industrial resulta mucho más costoso debido a la cantidad disolvente y equipo necesarios para el proceso de extracción. La bixina tiene varias formas de presentación comercial, cada una con diferentes concentraciones como colorante soluble en aceite, colorante en solución acuosa o colorante en pasta.
La meta de este trabajo es desarrollar un colorante natural liposoluble a partir de la semilla de onoto (Bixa Orellana L.) utilizable en la industria de alimentos con carácter de exportación.
Los aditivos alimentarios forman parte principal en muchos de los productos alimenticios de consumo humano, debido a que ayudan a la conservación de alimentos, benefician en el procesamiento de los mismos e inclusive pueden modificar sus características sensoriales como lo son el olor, sabor y el color; este ultimo de gran importancia debido a que forma parte de la apariencia del producto y puede representar “el primer acercamiento del consumidor al alimento” (ver [1]). Los colorantes como aditivo alimentarios pueden ser clasificados en sintéticos y naturales, sin embargo el uso de colorantes naturales es más cotizado debido a que su presencia en alimentos no representa peligro para la vida humana, no tiene restricciones en su uso y esto influye directamente en la calidad del producto. La bixina compuesto liposoluble proveniente de la especie Bixa Orellana L., es usada ampliamente en la industria de alimentos y cosméticos. Adicionalmente en su composición química, la bixina tiene presencia de vitamina A y minerales que aportan al alimento adicionado, nutrientes. Además de sus propiedades pigmentantes tiene propiedades farmacológicas, entre las más importantes se pueden mencionar: antinflamatoria, antioxidante, cicatrizante y se ha indicado incluso en el tratamiento de heridas y quemaduras por su acción antibacteriana. La extracción de un colorante liposoluble por lixiviación de la semilla, conduce a la generación de un producto de elaboración a nivel industrial que permita disminuir considerablemente los costos por sustitución de importación, seleccionando un solvente económico, que permita obtener alto rendimiento de extracción en bixina y que su toxicidad no represente un problema para la salud del consumidor, que satisfaga parte de la demanda de la industria de alimentos a nivel nacional.
2. Aspectos Teóricos
A continuación seran presentados algunos antecedentes de colorantes naturales.
Narváez [3] describe un método de extracción del colorante natural del fruto de Evilán (Monnina spp) para su uso como colorante en yogurt; para lo cual, toma como solvente una solución (etanol 90 % y ácido cítrico al 0,03 %). La materia prima fue sometida al proceso de liofilización, en forma de pulpa, optimizando de esta manera tiempo y cantidad de fruta a procesar. Obtenido el colorante se realizaron pruebas, entre ellas diferentes concentraciones de colorante en yogurt de mora, análisis sensoriales, análisis de degustación. Se pudo establecer una efectividad de tinción utilizando una dosis de 4 % de colorante de Evilán, el cual se le comparo con una muestra de yogurt comercial tomada esta como patrón de análisis. Se realizaron análisis bromatológico y microbiológico a las muestras almacenadas. Se obtuvieron resultados como por ejemplo un rendimiento de: 149,2 g de colorante, a partir de 980 g de fruta, es decir un 15,22 % de rendimiento, se obtuvo una tonalidad de color en el yogurt de mora apta para la comercialización y teniendo una vida útil del producto de 4 semanas para su consumo. Dentro de las principales diferencias de esta investigación con la que se plantea realizar esta en la materia prima o fruto a utilizar para la obtención del colorante, en este caso parte del Evilán, que además lo emplean en forma de pulpa para la extracción, caso contrario a la Bixa Orellana L. la cual se hará de manera entera por contener gran cantidad de bixina en la corteza de la semilla y se perdería parte de esa bixina en un proceso de trituración.
El trabajo de Beltrán [4] está dirigido al diseño de un sistema de costos para una empresa agroindustrial dedicada a la producción de colorantes naturales, utilizando como fuente natural la semilla de onoto, Bixa Orellana L., utilizando como metodología el estudio de la estructura de costos de una empresa productora de colorantes en Perú. Persigue establecer el diseño de sistema de costos tomando en cuenta variables de estudio como estacionalidad de la materia prima, capacidad instalada en la planta, exigencia de los clientes de llevar la trazabilidad del producto. Se reflejan estadísticas mundiales en la producción de la materia de Bixa Orellana L., situando como principal productor a Brasil con 33 % del aporte mundial y Venezuela con 2 % ubicándose entre el sexto y séptimo lugar. Se describe brevemente la técnica industrial de extracción de bixina usando metanol como solvente. Concluye estableciendo que la producción de la planta cumple con criterios de trazabilidad del producto y que el costo por órdenes de producción en las empresas tiene incidencia sobre la determinación del costo de producción. Este trabajo anterior se analiza el sistema de costos en una empresa de colorantes naturales, además como sus unidades de proceso y métodos de extracción usando metanol como solvente, referencias importantes para esta investigación, pero que no aborda el estudio de otros solventes para la extracción de la bixina así como el análisis con materia prima de Perú y no de Venezuela la cual será objeto de estudio.
La investigación de Rey [5] está dirigida a la extracción de tocotrienoles a partir de la semilla de la Bixa Orellana L. como antioxidante natural usando CO2 súper critico como solvente de extracción. El CO2 supercrítico es el fluido adecuado para la extracción de tocotrienoles provenientes del achiote, ya que gracias a su punto crítico (34°C y 78.2 atm) permite trabajar en condiciones de operación fáciles de alcanzar, evitando así la degradación de compuestos que son sensibles a las altas temperaturas, además el CO2 es un solvente inodoro, no tóxico y no inflamable. Los objetivos fueron establecer las condiciones adecuadas de presión y temperatura en el proceso de extracción, caracterizar las fracciones obtenidas, encontrar los rendimientos que presenta el proceso de extracción de tocotrienoles contenidos en la semilla del achiote. Se pudo confirmar la presencia de tocotrienoles y tocoferoles en la Bixa Orellana L., Se demostró que los extractos obtenidos en el proceso presentan una capacidad antioxidante relevante, el extracto soluble que se puede obtener es de 8.34 % del peso de las semillas del onoto. Se utiliza un método de extracción de componentes presentes en la especie Bixa Orellana L. como lo son los tocotriceroles como elementos antioxidantes, básicamente dirigidos a la salud, aunque usan la misma materia prima de estudio, difieren en solvente utilizado, y componente principal a extraer, sirve de utilidad a esta investigación debido a el aprovechamiento de subproductos que pueda tener la Bixa Orellana L. despues de retirar la bixina.
2.1. Onoto
El onoto es un colorante natural extraído del pericarpio de las semillas de Bixa Orellana L; la Bixa Orellana L es una valiosa planta medicinal conocida popularmente como “sinduri” o “árbol de lápiz labial”. La cubierta de la semilla de onoto produce comercialmente tinte, un pigmento naranja rojo conocido como bixina, así como la “norbixina” que se usa principalmente en la industria láctea, la industria de la medicina y la industria textil y para la alimentación animal. Esta especie se utiliza en la producción de fitoquímicos como flavonoides, esteroles, taninos, bisulfato y aceites esenciales. Se ha informado que el sinduri se usa para tratar problemas de la piel, enfermedades hepáticas, hepatitis, trastorno de la próstata, como diurético y como antioxidante. Das et al [6] en una revisión de la germinación de la Bixa orellana L. afirman que se propaga comúnmente a través de semillas para el cultivo a gran escala. Pero la cubierta de la semilla se caracteriza por una testa impermeable al agua. Por lo tanto, es muy difícil germinar y también contiene menos del 40 % de humedad, que es la causa principal de la germinación lenta. La germinación se puede aumentar mediante el uso de varios pretratamientos con agua, hormonas, reguladores de crecimiento, estiércol, ácidos, etc.
El onoto (Bixa orellana) es un colorante importante domesticado en el neotrópico, aunque no está claro dónde o de qué poblaciones silvestres. Ambrósio Moreira et al [7] revisaron la información biológica, arqueológica y etnográfica disponible sobre el onoto, y la integraron con recientes observaciones etnobotánicas de poblaciones cultivadas y no cultivadas para evaluar la hipótesis de que lo que se clasifica como Bixa urucurana es el ancestro silvestre del onoto cultivado. La mayoría de las poblaciones de Bixa urucurana de la Amazonía ocurrieron en bosques abiertos o paisajes antropogénicos, aunque nunca se cultivaron, y siempre se asociaron con ambientes ribereños. Mientras que el onoto cultivado siempre produce abundante pigmento, las poblaciones de Bixa urucurana contenían cantidades variables de pigmento, desde muy poco hasta casi la cantidad en onoto cultivado, lo que sugiere un flujo de genes desde cultivados hasta no cultivados. Bixa urucurana tiene frutos indehiscentes, que indican cambios en la dehiscencia durante la domesticación del onoto, una característica notable que rara vez se encuentra en otras especies arbóreas.
Los residentes locales identificaron las poblaciones no cultivadas como onoto silvestre, y destacaron sus frutos más pequeños con menos pigmento, su regeneración espontánea, su no uso, y que se hibridizan con achiote cultivado. La etnografía identificó la importancia simbólica del onoto, pero una mención explícita del origen solo proviene del sur de la Amazonia. Aunque el registro arqueológico más antiguo del onoto provino del Caribe, la domesticación se produjo en el norte de América del Sur, ya que Bixa urucurana no ocurre en el Caribe. El conocimiento y la morfología ecológicos tradicionales identificaron la estrecha relación entre Bixa urucurana (nunca cultivada) y Bixa orellana (siempre cultivada). La evidencia reportada por Ambrósio Moreira et al [7] apoya fuertemente la sugerencia de que Bixa urucurana Willd es una variedad de Bixa orellana L. lo que identifica al ancestro silvestre del achiote cultivado.
El estudio de Gallardo–Cabrera y and Rojas–Barahona [8] evalua el efecto de la luz y la temperatura sobre la estabilidad de una formulación acuosa de norbixina. Sus resultados de los estudios de fotoestabilidad forzada mostraron que las muestras con una concentración alta de norbixina (5,58 %) no sufrieron descomposición. La descomposición de la norbixina promovida por la temperatura se ajustó a un modelo lineal y se observó un cambio significativo de color a los 12 meses cuando la concentración de norbixina restante fue del 4,42 %. Los hallazgos mostraron que las altas concentraciones son un factor protector contra la fotodegradación y la vida útil de norbixina en formulación acuosa fue de 12 meses a 30°C.
Este arbusto tiene follaje en todas las épocas del año (arbusto perenne), posee una altura de 2 a 6 m; tiene una copa baja y extendida, el tallo es pardo y se caracteriza por ramificarse a poca altura del terreno en donde ha sido cultivado. Sus hojas son simples y grandes, alrededor de 6x4 cm, y base redondeada, verdosas claras, con márgenes lisas; sus flores poseen forma de ramillete con pelos glandulares [5]. Se trata de un árbol hermafrodita cuyo fruto es una cápsula roja, de 2 a 6 cm de largo, con pelos gruesos espinosos, de color morado (varía la tonalidad según su variedad), que al madurar pasa a pardo rojizo oscuro. En cada valva o cápsula hay entre 10 y 50 semillas.
La Tabla 1 muestra la composición de las semillas de onoto donde se destacan carotenoides (bixina y norbixina), además que contiene saponinas, compuestos fenólicos, aceites fijos terpenoides y tocotrienoles.

2.2. Colorantes
El color es un personaje sensorial a menudo pasado por alto que sin duda influye en la percepción del sabor. Los pigmentos que colorean los alimentos generalmente son inestables y se modifican durante el procesamiento. Para mantener o restablecer la uniformidad del color del producto, los colorantes, considerados en todo el mundo como aditivos alimentarios, se agregan intencionalmente a los productos alimenticios. El mercado de aditivos alimentarios naturales ha estado creciendo de manera extensa desde el siglo pasado debido a los peligros potenciales de los aditivos alimentarios artificiales y los beneficios potenciales de los compuestos biológicamente activos. El trabajo de Solymosi et al [9] proporciona una descripción de los colorantes más importantes de origen natural, así como información sobre las moléculas de coloración menos comunes y/o prometedoras.
El color es una propiedad del material relacionada directamente con el espectro de la luz y que, por lo tanto puede medirse físicamente en términos de energía radiante o intensidad, y por su longitud de onda. El color también puede definirse como “la parte de la energía radiante que el humano percibe mediante sensaciones visuales que se generan por la estimulación de la retina del ojo”. La calidad de un alimento, sin tomar en cuenta los aspectos sanitarios, toxicológicos y nutricionales, se basa en los siguientes parámetros: color, sabor, olor, y textura. Sin embargo, el primer acercamiento del consumidor es por su color, ya que relaciona lo adecuado con la aceptación o rechazo [1]. Los colores de los alimentos se deben a diferentes compuestos, principalmente orgánicos, algunos de los cuales se producen durante su manejo y procesamiento, sin embargo, la mayoría de los alimentos deben su color a las sustancias pigmentantes que contienen o se añaden. Muchos pigmentos también se extraen de su fuente natural y se emplean como colorantes en la elaboración de un gran número de alimentos.
Los pigmentos según la F.D.A. es cualquier material que imparte color a otra sustancia obtenida por síntesis o artificio similar, extraída o derivada, con o sin intermediarios del cambio final de identidad, a partir de un vegetal, animal, mineral u otra fuente y que cuando es añadido o aplicado a alimentos, medicamentos o cosméticos, es capaz de impartir color por sí mismo. Los pigmentos se pueden dividir en sintéticos y naturales.
2.2.1. Colorantes sintéticos
Azoicos: Su estructura es de mono, di o triazo. Producen casi todos los colores, se caracterizan por tener un grupo cromóforo (–N = N–);
Antraquinonas: Su estructura tiene uno o más grupos carboxilo en un sistema de anillos conjugados, con al menos tres anillos condensados.
Debido a la preocupación por la seguridad en el uso de pigmentos sintéticos, estos se han estudiado exhaustivamente con respecto a su efecto sobre la salud. En general, en alimentos sólo se aceptan nueve pigmentos sintéticos, con severas restricciones de uso [1].
Tartracina: Autorizado para usarse en más de 70 países. Es ampliamente usado en repostería, productos cárnicos, sopas instantáneas de vegetales en conserva, helados, caramelos, bebidas no alcohólicas. Puede producir alergia en el 10 % de los consumidores;
Amarillo anaranjado S: se utiliza para bebidas no alcohólicas, helados, caramelos y postres entre otros. No autorizado en Norteamérica pero si en Europa;
Azorrubina: No autorizado en Norteamérica pero si en Europa, se emplea principalmente en caramelos;
Rojo Ponceau: se emplea para producir el color fresa de caramelos y productos de repostería, así como en productos cárnicos en lugar del pimentón;
Negro brillante: en Europa se emplea para productos de imitación en caviar, no se autoriza su uso en Estados Unidos, Canadá ni Japón;
Amarillo de quinoleína: se autoriza su uso en Europa para aplicación en bebidas de naranja, bebidas alcohólicas, repostería, conservas vegetales, helados y productos cárnicos;
Eritrosina: muy usado en productos lácteos con sabor a fresa, en mermeladas, caramelos y productos cárnicos. Debido a su alto contenido de yodo puede ser nocivo por su acción sobre la tiroides, por lo que en Europa no está autorizado en alimentos dirigidos a niños;
Indigotina: autorizado a nivel mundial, se emplea en bebidas no alcohólicas, caramelos, confitería y helados;
Azul V: se utiliza en conservas vegetales, mermeladas, repostería, caramelos y bebidas para lograr tonos verdes al combinar con colorantes amarillos [1].
2.2.2. Colorantes naturales
Son generados por microorganismos, vegetales, animales, o minerales. Representa 940 millones de dólares en ventas en el mercado mundial de colorantes al año, y debido a la precaución del consumidor por el consumo de productos que no alteren o ayuden a su salud, crece alrededor de 4 % al año. Los pigmentos naturales son aquellos obtenidos de fuentes presentes en La naturaleza, usados para impartir color en algunos productos. Son sujetos a las mismas pruebas de calidad y seguridad toxicológica que los sintéticos, pero la FDA y otras agencias gubernamentales no requieren que se certifique su pureza química, y por tanto se refiere a ellos como aditivos de color no certificados.
La demanda de onoto y otros colorantes naturales en Europa viene en notable crecimiento, esto debido a que el consumidor promedio europeo prefiere los productos naturales en oposición a los sintéticos o artificiales, esto motivado por la tendencia mundial respecto al medio ambiente, la pérdida de biodiversidad y problemas relacionados con la salud del consumidor [4].
La Tabla 2 muestra la producción mundial de este rubro, onoto (Bixa Orellana L.) siendo América y África las principales fuentes generadoras de esta materia prima.

2.3. Bixinia
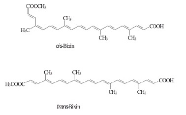
La Bixinia es un ácido carboxílico carotenoide y tiene sabor insípido, por lo que es adecuado para dar color a las comidas, arroz, margarinas, quesos y bebidas en general. Además se usa en productos cosméticos con el mismo fin, es de estructura amorfa y fácilmente soluble en alcohol caliente. La fórmula química de la bixina es C25H30O4.
La bixina tiene una masa molar de 393,96 gramos por mol y su concentración se lee a una longitud de onda de 480 nm [10].
El pigmento está localizado en la superficie de la semilla. Como una cubierta resinosa y aceitosa, está formado fundamentalmente por bixina (cis y trans), con trazas de norbixina, éster de dimetil bixina y otros pigmentos carotenoides [4].
La Figura 1 muestra la estructura química de la bixina en sus posiciones Cis y Trans, posee una cadena carbonada de 20 átomos de carbono y se aprecia que el grupo funcional principal es un ácido carboxílico, correspondiendo a su naturaleza de compuesto orgánico.

La bixina es un colorante natural que es usado actualmente como sustituto de algunos colorantes de origen sintético, como la eritrosina y la geranina, por lo que su uso en alimentos es permitido por su comprobada y total inocuidad [10]. Los usos más comunes son: En la industria alimentaria, para coloración de mantequillas y margarinas, en la coloración de quesos y derivados, coloración de aceites, helados y harinas, coloración de galletas, tortas, y panetones; coloración de salchichas, sopas instantáneas, embutidos, bocaditos y chorizos. En la industria cosmética, para colorear esmaltes de uñas, lacas, bronceadores, lápices de labios, etc. En la industria textil, se emplea para teñir fibras naturales como el algodón, lana, seda, lográndose distintas tonalidades. Otras industrias: en coloración de cueros, betunes, cera para pisos, barnices para muebles, jabones, y como colorante para maderas.
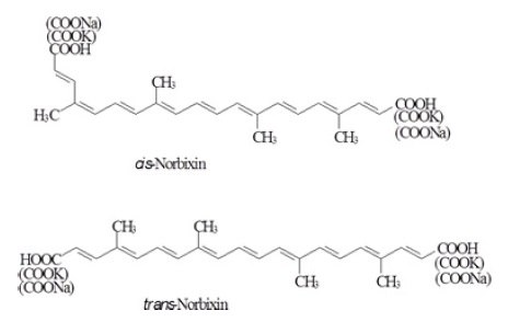
2.3.1. Nor–Bixina
El extracto primario de la Bixa Orellana L. contiene a su vez la Nor–bixina, una sal sódica o dipotasica. Como sal disódica posee una masa molar de 423,94 gramos por mol y como sal dipotásica 456,2 gramos por mol [10].
La Figura 2 muestra la estructura química de la nor-bixina en sus posiciones Cis y Trans, donde presenta una cadena carbonada de 20 átomos de carbono y donde el principal grupo funcional es un ácido carboxílico, que también corresponde por su naturaleza a un compuesto orgánico.

2.3.2. Carotenoide
Son un grupo numeroso de pigmentos muy difundidos en los reinos vegetal y animal, producen colores que van desde el amarillo hasta el rojo intenso. Se han identificado en la naturaleza más de 600 de estos compuestos, y se estima que anualmente se sintetizan 100.000 toneladas de carotenoides de fuentes naturales [1]. Debido a que los carotenoides son solubles en lípidos o en solventes como el hexano o el éter de petróleo se obtienen por métodos de extracción. Casi todos son estables a los álcalis, por tanto pueden purificarse por saponificación para liberar la fracción pigmentante de otras fracciones como proteínas y carbohidratos.
2.3.3. Estracción de bixinia
En la actualidad, una alta proporción de carotenoides se obtienen sintéticamente, ya que resulta más factible desde el punto de vista económico; sin embargo, debido a las restricciones legislativas, cada vez se emplean más los de origen vegetal [1].
Esta tendencia de uso de colorantes de origen natural, lleva a este trabajo de investigación a perfilar un método de extracción y proceso productivo en el cual permita enmarcar el colorante a obtener como un producto natural, tolerable con la F.D.A. y amigable con el medio ambiente. El onoto es una de las principales materias primas para la producción de colorantes naturales. Su industrialización requiere conocimiento tecnológico para permitir la obtención de colorantes a bajo costo, con los mayores rendimientos y con una calidad aceptable que permita competir en los mercados nacional e internacional. Se conocen diversas formas de extraer el colorante de las semillas de achiote, desde técnicas artesanales hasta técnicas industriales [4].
Los colorantes se encuentran entre los aditivos más comunes utilizados principalmente para intensificar, compensar o agregar color a los productos manufacturados. El principal color detectado en las semillas de onoto proviene de los carotenoides bixina y norbixina, según el método de extracción. el trabajo de Santos et al [11] presenta caracterizaciones espectroscópicas de absorción y fluorescencia de onoto extraídos en soluciones acuosas a partir de semillas del arbusto tropical Bixa orellana L. Santos et al [11] realizaron las extracciones utilizando una solución acuosa (a 98°C) con diferente potencial de valores de hidrógeno (pH 6.5–11.2 ), y compararon los resultados con los obtenidos con métodos de extracción química usando otros solventes; determinaron los parámetros termoópticos, como el coeficiente de temperatura del índice de refracción (dn/dT), la difusividad térmica (D), la carga térmica de la fracción (φ) y el rendimiento cuántico (η) para las soluciones de onoto.
Giridhar et al [12] justifican los desarrollos en la extracción de tintura de onoto, los esfuerzos para mejorar el rendimiento del extracto, aspectos de estabilidad del color de onoto en los productos alimenticios, métodos potenciales viables para ser empleados con mejores perspectivas económicas, que serán útiles para los posibles emprendedores.
Se conocen diferentes métodos para la obtención de colorante bixina a partir del onoto, según Beltrán Ramírez establece los siguientes procesos a nivel industrial, los cuales resultan ser los más empleados por las ventajas que ofrece. “Los métodos de extracción utilizados para la producción de colorantes de achiote a partir de la semilla pueden envolver la producción de bixina, a través de la hidrólisis acuosa, la extracción simultánea de norbixina. En escala comercial, tres métodos básicos son usados para extraer el pigmento de las semillas: a) extracción alcalina, que resulta de la conversión del carotenoide encontrado en la semilla del achiote, en una forma de éstermonometílico liposoluble a hidrosoluble, o sea, sal de norbixina; b) extracción en óleo (aceite), que resulta en la remoción de la bixina de las semillas además de pequeñas cantidades de otros materiales coloridos; c) extracción con solvente, que resulta en la forma más pura del pigmento de bixina” [4].
Solventes en estudio. En el presente trabajo de investigación se empleará el tercer método mencionado anteriormente, una extracción de bixina a partir de la semilla de onoto empleando un solvente adecuado a los requerimientos de toxicidad, rendimiento, costo e impacto con el medio ambiente. Dentro de los solventes a estudiar para el proceso de extracción se tienen N–hexano, Hidróxido de potasio, Etanol y Acetato de etilo.
Extracción. Es una operación unitaria de transferencia de masa basada en la disolución, de uno o de vario de los componentes de una mezcla (líquida o que forme parte de un sólido) en un disolvente selectivo. Se hace la distinción entre la extracción solido- líquido y la extracción liquido-liquido según la materia a extraer este en un sólido o un líquido, respectivamente. En este caso, obviamente, el disolvente ha de ser inmiscible con la fase líquida que contiene el soluto [13].
Lixiviación. Es un proceso de separación, esta técnica se utiliza para disolver materia soluble a partir de su mezcla con un sólido insoluble. El material soluble separado generalmente es mayor que el lavado por filtración. En el proceso de lixiviación las propiedades del solido pueden variar, si se alimentan solidos del tipo gruesos, duros o granulados, se desintegran para formar una pulpa cuando el contenido del material soluble es retirado. Con sólidos impermeables o materiales que se desintegran durante la lixiviación los sólidos se dispersan en el solvente y después se separan de éste [14]. Este proceso involucra una operación de transferencia de masa por lo que es indispensable que exista un contacto íntimo entre el solvente y el soluto contenido en el sólido. La lixiviación es empleada para las mezclas de sustancias biológicas, compuestos orgánicos y compuestos orgánicos en forma sólida, para extraer componentes o purificar, para realizar lavados en procesos con agua, entre otros. También es conocido con otras denominaciones como extracción o infusión. Es empleada en la industria de alimentos entre otra cosas, para la obtención de azúcar a partir de la de remolacha empleando agua caliente como solvente extractor; en la extracción de aceites vegetales mediante el uso de hexano, acetona, éter; café instantáneo (15 a 30 %; 60 %; partículas de 300 µm y 0,2 kg/m³); té instantáneo (de 5 a 20 %, 40 %).
La Figura 3 muestra un esquema básico de un proceso de lixiviación en la industria en donde se aprecia una entrada para la carga de sólidos, una entrada para el solvente extractor y un diseño cóncavo de tanque para la facilidad en la extracción.

3. Metodología
3.1. Reactivos, materiales y equipos utilizados
Reactivos:
N-Hexano (C6H14) al 96 % marca Merck;
Etanol (C2H6O) al 37 % marca Merck;
Hidróxido de potasio (KOH) al 99 % marca Merck;
Acetato de etilo (C4H8O2);
Agua destilada (H2O);
Ácido clorhídrico (HCl) al 37 % marca Merck.
Equipo:
Espectrofotómetro UV- Visible. Marca HP. Modelo 8452ª.
Muestra. La materia prima utilizada Bixa Orellana L. (Onoto), en cápsula o vaina , del tipo conocido como onoto criollo, es proveniente de la comunidad del Pernal, municipio Falcón, Tinaquillo, Estado Cojedes el cual posee una superficie geográfica de 15884,41 km2 , con coordenadas de latitud 9°41’08” y longitud 68°20’50”; limita al NORTE con la Quebrada La Guabina, al SUR con el rio Tinapun, el ESTE con el sector la Guamita y al OESTE con el sector Sabaneta. El onoto fue previamente cosechado y expuesto al sol dentro de su cápsula.
3.2. Diseño de la investigación
A continuación se plantean las fases para llevar a cabo el desarrollo sistemático de la investigación.
Fase 1 Análisis de parámetros como pH y textura del suelo en estudio donde se encuentra la planta de Bixa Orellana L. en el sector del Pernal, Tinaquillo, municipio Falcón del Estado Cojedes;
Fase 2 Selección del solvente a utilizar para la extracción de la bixina a partir de la semilla de onoto (Bixa Orellana L.) basado en criterios de solubilidad y toxicidad;
Fase 3 Caracterización del extracto de bixina obtenido mediante el (los) solvente(s) seleccionado(s);
Los análisis de pH han sido reportados en los apendices del trabajo de Camacaro y Gómez [15]. Estos resultados serán comparados con las referencias bibliográficas recomendadas por el Instituto Nacional de Investigaciones Agricolas, INIA, en Maracay, Estado Aragua, Venezuela (ver Manual [16]). Para la selección del solvente se usaron los resultados en [17].
4. Resultados
4.1. Análisis de parámetros de pH y textura del suelo
De las mediciones de pH realizadas en el laboratorio de cada una de las muestras de suelo, siguiendo el método Boyoucus, el rango obtenido fue de 5,36 a 6,143; con un valor promedio de (5, 653±0, 010) adim. (Ver Apéndices A y B en [15]); manteniendo un pH ácido en todo momento.
Según los estudios realizados en el I.N.I.A. el resultado del análisis de pH a la muestra de suelo compuesta fue 5,7 (Adim.). De acuerdo a estos resultados de pH obtenidos, tanto en análisis propios de laboratorio como en análisis externos (I.N.I.A.) el suelo donde se cultivó la planta de Bixa Orellana L. se encuentra en un valor aceptable, esto de acuerdo a parámetros manejados por el manual técnico del achiote del CNTFA. Las mejores plantaciones de Bixa Orellana L. se encuentran normalmente en suelos con un pH comprendido entre 5 y 7,5; aunque esta planta es capaz de soportar suelos con pH entre 4,3 y 8,7.
4.2. Análisis y determinación del tipo de suelo
La Tabla 3 presenta los porcentajes de granulometría obtenida en las muestras de suelo compuesto, donde crece la planta de Bixa Orellana L. en estudio, analizadaa en el I.N.I.A., Aragua.

En materia del tipo de suelo se puede afirmar que, de manera general la planta de onoto se adapta bien a las diferentes clases de suelos siempre que tengan buen drenaje, que sean profundos, franco arenosos y de textura liviana. La planta de Onoto como todo organismo vivo responde a las buenas condiciones donde se desarrolla. Si se cultiva en suelos profundos, fértiles y con buen drenaje interno y externo, sin compactación que afecte el crecimiento y desarrollo radicular, se tendrá buenos rendimientos; pero si se cultiva en terrenos pobres, erosionados, con poca fertilidad los rendimientos son menores.
4.3. Determinación de cantidad de semillas contenidas por cápsula de Bixa Orellana L.
Las plantas cosechadas y utilizadas para el procedimiento de extracción de la bixina arrojaron un promedio en masa de M =(2, 9922±0, 0005)g,
Es importante la cantidad de masa contenida en las cápsulas pues arroja datos importantes sobre
rendimiento del cultivo en el campo y de la cantidad estimada de colorante que se puede obtener a partir de una cosecha, a su vez permite el establecimiento de criterios o parámetros de control de calidad en la recepción de materia prima y de adquisición de la misma por parte del industrial hacia el productor agrícola.
Uno de los criterios que pudiese establecerse es el rendimiento de semillas por cápsula cosechada, y establecer parámetros de rechazo u aprobación de esa cápsula para ser adquirida por parte del industrial que elabora el colorante. Con una muestra apreciable y compuesta de cápsulas de una cosecha a adquirir, la masa de semilla debería estar alrededor de (2,9922±0,0005) g para poder así ser adquirida.
Es importante la adquisición de la materia prima en cápsula, pues es necesario garantizar el máximo aprovechamiento de bixina contenida en las semillas de Bixa Orellana L.; al estar la bixina en la superficie de la semilla, puede fácilmente perderse parte de la misma sino se le da un trato apropiado al momento de ser cosechada, por ende la vital importancia de controlar la masa encapsulada, y así darle un trato adecuado en el proceso de recolección y almacenamiento de la materia prima.
4.4. Selección de solventes
La selección del solvente a utilizar para la extracción de la bixina a partir de la semilla de onoto (Bixa Orellana L.) está basada en criterios de solubilidad y toxicidad. Al estudio realizado de las muestras patrón en remojo con cada uno de los solventes en estudio respectivamente (KOH al 2 %, n–hexano, acetato de etilo y etanol) se le hizo un primer descarte visual a aquellos viales donde no hubo mayor extracción durante el remojo de una hora, quedando para un segundo estudio de absorbancia vs longitud de onda mediante el equipo UV-visible, las muestras en presencia de n-hexano y KOH por tener una mayor extracción.
La Figura 4 presenta el comportamiento de la muestra n–hexano blanco, cuya composición es n– hexano al 96 % y es empleado como referencia para la futura lectura de la solución muestra patrón en n–hexano. Esta gráfica guarda concordancia con las señaladas de n–hexano en bibliografías y referencias, correspondiéndose exitosamente la obtenida experimentalmente con la teórica.

La Figura 5 da el comportamiento de la muestra patrón en n–hexano, detallando su absorbancia en función de la longitud de onda. En dicho barrido se puede observar que para una longitud de onda de 454 λ, presenta una absorbancia de 0.0098 nm a una concentración de (0,1040 ± 0,0004) % p/v.

La bixina es un ácido carboxílico que, al agregarle un álcali acuoso, forma sales del álcali solubles en agua, lo cual hace posible extraer fácilmente el colorante, por ende el KOH (al 2 %) por ser un agente alcalino en medio acuoso presenta grandes potencialidades para esta extracción.
La Figura 6 muestra la absorbancia en función de la longitud de la muestra patrón de KOH al 2 % utilizado como blanco referencial para la evaluación en el UV-visible antes de correr la solución formada por la muestra patrón disuelta en KOH al 2 %.

En la Figura 7 se puede observar gráficamente como se manifiestan dos picos importantes de absorbancia, uno a 422 λ y el siguiente a los 450 λ, este último correspondiente al compuesto deseado (bixina) teniendo una mayor absorbancia según la referencia teórica en una longitud de onda entre 450 λ y 460 λ. Para una longitud de onda de 450 λ presentó una absorbancia de 0,2223 nm.

De esta manera claramente se puede tener mayor absorbancia en uso de KOH al (2,0000 ± 0,0006) % y con una concentración (0,0684 ± 0,0002) % p/v que en empleo de N-hexano al 96 % y concentración (0,1040 ± 0,0004) % p/v.
Quedando definido el KOH al (2,0000 ± 0,0006) % como buen solvente extractor de bixina según el estudio realizado y sus incidencias toxicológicas mínimas, además de ser más económico que n-hexano y su empleo en menos cantidades que el acetato de etilo y etanol para una extracción adecuada.
4.5. Caracterización del extracto de bixina obtenido mediante el (los) solvente(s) seleccionado(s)
Una vez seleccionado el solvente más adecuado, hidróxido de potasio, por sus capacidades de extracción en ácidos carboxílicos, su baja toxicidad, su buen comportamiento con la bixina patrón (muestra) utilizada en la industria y su bajo costo en comparación con otros solventes y definida la metodología de procesamiento de la Bixa Orellana L. (onoto) a través de un ensayo a escala de laboratorio para la obtención de la bixina, se caracteriza el mismo extracto.
4.6. Análisis de variables en proceso de extracción de la bixina a escala de laboratorio
Al analizar la incidencia del solvente durante el remojo de la semilla de onoto en el mismo, se pudo constatar que la extracción se realizaba de manera exitosa, sin embargo era necesario un segundo lavado con más solvente para el aprovechamiento máximo de la bixina presente, además de la ayuda de un agente mecánico (agitación) para facilitar la separación que se desarrolló.
Las extracciones se realizaron a diferentes relaciones de soluto solvente (1:1; 1:2; 1:3) respectivamente; a su vez se combinaron diferentes tiempos de remojo para analizar el tiempo de retención óptimo del proceso a escala de laboratorio.
La neutralización ocupa una etapa fundamental del proceso, gracias a ella se lleva a una condición de pH neutro el producto a obtener, y además se forma un precipitado que debería ser la bixina presente en la reacción. Al tener una solución alcalina (bixina disuelta en KOH al 2 %), que se hace reaccionar con un ácido fuerte (HCl al 5 %) se generan dos fases, una sólida la cual corresponde a la precipitación de la bixina y parte de la sal soluble de cloruro de potasio (KCl) que se forma y una fase acuosa donde debería estar presente la Nor-bixina (componente presente en la Bixa Orellana L. soluble en agua).
Este proceso de neutralización y generación de las fases sólida y acuosa se lleva acabo exitosamente en cada una de las relaciones de extracción en estudio. En el proceso de separación de esta mezcla bifásica se utilizó un mecanismo de succión al vacío con filtrado microporoso, con la finalidad de atrapar la bixina y retirar la mayor humedad posible en esta etapa.
Es necesario resaltar que el producto sólido fue retenido por el material filtrante y la fase acuosa fue contenida en un quitasato, dicho lixiviado era de color naranja o rojizo, lo que nos indica presencia aun de agentes pigmentantes pero solubles en agua, posiblemente corresponda a la nor-bixina obtenida como subproducto en el proceso de extracción.
Una vez obtenida la fase sólida del producto se dispuso en un horno a 50 °C durante 90 min con la finalidad de retirar la mayor cantidad de humedad restante en la muestra sólida obtenida, y alcanzar así un mayor grado de pureza de soluto extraído. La temperatura fue definida a 50 °C ya que con esa temperatura se garantizaba retiro del agua presente en la muestra y así no degradar las propiedades naturales y pigmentantes del producto.
La Tabla 4 refleja el valor de rendimiento de colorante obtenido luego del secado para cada una de las relaciones de extracción en estudio. En el trabajo [15] se puede constatar los valores de las masas de la celulosa (material filtrante) antes y después del filtrado, datos de partida para la determinación de la masa final de la muestra obtenida y rendimiento de la relación de extracción.
Una vez finalizado el proceso de extracción, filtrado, secado y obtención de rendimiento, se evalúa cual relación de variables es la más favorable para el proceso de producción de bixina a escala piloto.
Entre esas podemos observar que experimentalmente las extracciones que obtuvieron mayor rendimiento fueron B21, B31, B33, C31, C22.
Las muestras en estudio de la serie C utilizaron 25 % más solvente que la serie B, lo que se traduce en mayor gasto en consumo de solvente para la obtención del producto y con un rendimiento máximo de (10, 2269±0, 0008) %; en el caso de la muestra C22 es menor a rendimientos de la serie B por lo que podemos descartar esta muestra C22. Por otra parte la muestra C31 da resultados fuera de los límites de confianza por lo cual este valor estadísticamente no es confiable y se descarta.
Quedando para seleccionar entre B21, B31, B33, se selecciona la relación de extracción B31 ya que tiene mayor rendimiento que la B21 y a su vez la muestra B31 se obtienen en un tiempo menor que el requerido para la relación B33.
La relación de extracción B31 se obtiene a través de una relación soluto, solvente de 1:2; por una determinada cantidad de soluto se emplea el doble de solvente, con 60 min de remojo más 90 min de remojo con agitación.

5. Estudio de la absorbancia del producto obtenido en el equipo UV–visible
La Figura 8 muestra las diferentes soluciones preparadas a partir del producto obtenido disuelto en KOH al (2,0000 ± 0,0006) % y que a su vez son conocidas como solución 1, solución 2, solución 3 y solución 4, cuyas concentraciones están detalladas bajo los cálculos típicos correspondientes.

La Figura 9 muestra el comportamiento de la absorbancia en función de longitud de onda de la solución 1, concentración de (0,0171 ± 0,0004) % p/v en empleo de KOH al (2,0000 ± 0,0006) % donde se reflejan pronunciados picos debido a la alta concentración de soluto por solvente utilizado, no se aprecia claramente la mayor absorbancia por longitud de onda (λ).

La Figura 10 refleja la absorbancia en función de longitud de onda de la solución 2, que tiene una concentración de (0,01129 ± 0,0004) % p/v en empleo de KOH al (2,0000 ± 0,0006) %, se puede apreciar menor cantidad de picos que en la Figura 9, debido a que se empleó una mayor dilución pero aun así resulta dificultoso apreciar la mayor absorbancia en función de la longitud de onda.

La Figura 11 establece la absorbancia en función de longitud de onda de la solución 3, cuya concentración es de (0,0099 ± 0,0004) % p/v en empleo de KOH al (2,0000 ± 0,0006) %, aunque se puede apreciar menos cantidad de picos debido al aumento de la dilución y curvas más suavizadas aun no refleja un valor claro de absorbancia por longitud de onda.

La Figura 12 muestra una relación de Absorbancia en función de longitud de onda correspondiente a la solución 4, cuya concentración es de (0,0086 ± 0,0004) % p/v en empleo de KOH al (2,0000 ± 0,0006) %.

A medida que se diluye el producto obtenido en mayor cantidad de KOH se puede observar una mejor representación gráfica, dejando en evidencia la alta pureza de lo obtenido.
En la Figura 12 se puede observar la mayor absorbancia en una longitud de onda de 454 λ, ubicándose entre 450 λ y 460 λ, correspondiendo al valor teórico de longitud de onda de la bixina, pudiendo constar que el producto obtenido corresponde con el producto deseado además de tener un alto grado de pureza al presentar una absorbancia de 0,6302 y con una concentración de producto en el solvente de (0,0086 ± 0,0004) % p/v.
6. Conclusiones
El tipo de suelo estudiado es franco arenoso y con un pH ligeramente ácido aproximado de 5,7 ambas condiciones de suelo óptimas para el cultivo de la planta Bixa Orellana L. La cantidad de materia en semillas contenidas por cápsula de Bixa Orellana L. es de (2,9922±0,0005) g. El KOH al 2 % es el solvente más adecuado para llevar a cabo la extracción de la Bixina a partir de la semilla de Bixa Orellana L. según criterios de afinidad química, rendimiento y toxicidad. Las mejores condiciones de operación para la extracción de la bixina son de 60 min de remojo y 90 min de agitación, además de una relación de 1:2, soluto–solvente, obtiene así mayor rendimiento de extracción de (10,8497±0,0008) %. El producto obtenido de la extracción a escala de laboratorio es bixina, debido a que a su mayor valor de absorbancia se presentó a una longitud de onda 454 λ, correspondiéndose este valor con los referentes teóricos bibliográficos. La bixina es químicamente neutra, es decir con un pH de 7; es soluble en aceite y poco soluble en agua. La bixina aplicada en alimentos no desprende color adquirido una vez puesto el alimento en contacto con agua caliente; logra generar pigmentación en el alimento aplicado, generando así una variación de las características físicas del mismo. La ingesta de alimentos en cuya elaboración se utiliza el producto como colorante no genera efectos secundarios no deseados para la salud del consumidor. Con todo lo anterior, puede diseñarse una planta operativa, con una meta de producción de 12000 kg de colorante al año.
Agradecimientos
Los autores agradecen a la empresa Cooperativa Arepas y Maíz 062, R.L y en particular al Gerente José Camacaro Rondon por su valiosa colaboración en el desarrollo de este importante proyecto de investigación que contribuye con el desarrollo de nuestro país.
7. Referencias
[1] S. Baudi. Química de los alimentos. Editorial Pearson, México, 4 edition, 2006.
[2] S. Pérez, M. Cuen y R. Becerra. El achiote. Revista Biodiversitas, 46:7–11, 2003.
[3] L. Narváez. Obtención del pigmento natural del fruto de evilán (Monnina spp) para su uso como colorante en yogurt. Trabajo especial de grado, Universidad Politécnica Estatal del Carchi, Ecuador, 2015.
[4] C. Beltrán. Diseño de un sistema de costos para una empresa agroindustrial de colorantes naturales – achiote. Trabajo de grado de maestría, Universidad Nacional Mayor de San Marcos, Perú, 2014.
[5] W. Rey. Extracción de tocotrienoles a partir de la semilla del achiote (bixa orellana), usando CO2 supercrítico como solvente. Trabajo especial de grado, Universidad del Valle, Colombia, 2012.
[6] Alokesh Das, Subrata Mandal, and Sudipa Nag. Seed germination of annatto (Bixa Orellana L.)- A review. International Journal of Recent Scientific Research, 9(4(j)):26257–26260, 2018.
[7] Priscila Ambrósio Moreira, Juliana Lins, Gabriel Dequigiovanni, Elizabeth Ann Vease, and Charles R. Clement. The domestication of annatto (bixa orellana) from bixa urucurana in amazonia. Economic Botany, 69(2):127–135, 2015.
[8] C. Gallardo-Cabrera and A. Rojas-Barahona. Stability study of an aqueous formulation of the annatto dye. International Food Research Journal, 22(5):2149–2154, 2015.
[9] K. Solymosi, N. Latruffe, A. Morant-Manceau, and B. Schoefs. Food colour additives of natural origin. In Colour Additives for Foods and Beverages, Food Science, Technology and Nutrition, chapter 1, pages 3–34. WoodHead Publishing, 2015.
[10] R. Erazo y M. Caso. Diseño de una planta de producción carmín y annato. Revista Periódica Química, Ingeniería Química, 3(1):48–56, 2001.
[11] Letícia F. Santos, Vanessa M. Dias, Viviane Pilla, Acácio A. Andrade, Leandro P. Alves, Egberto Munin, Viviane S. Monteiro, and Sérgio C. Zilio. Spectroscopic and photothermal characterization of annatto: Applications in functional foods. Dyes and Pigments, 110:72–79, 2014.
[12] P. Giridhar, Akshatha Venugopalan, and R. Parimalan. A review on annatto dye extraction, analysis and processing – a food technology perspective. Journal of Scientific Research & Reports, 3(2):327–348, 2014.
[13] J. Costa, C. March, C. García, M. Teixido y A. Mata. Introducción a los procesos, operaciones unitarias y los fenómenos de transporte. Editorial Reverte, S.A., España, 2004.
[14] W. McCabe, J. Smith y H. Peter. Operaciones unitarias en Ingeniería Química. Editorial McGraw Hill/Interamericana Editores S. A. de C.V., México, 7a edition, 2002.
[15] José L. Camacaro F. y José G. Gómez C. Desarrollo de un colorante liposuble a partir de la semilla de onoto (bixa orellana l.) como insumo para la industria de alimentos. Trabajo especial de grado, Escuela de Ingeniería Química, Facultad de Ingeniería, Universidad de Carabobo, Valencia, Venezuela, 2018. Tutor: Lisbeth Manganiello.
[16] Centro Nacional de Tecnología Agropecuaria y Forestal, El Salvador. El Cultivo del Achiote, Bixa Orellana L, 2016. Manual Técnico.
[17] J. Devia y L. Saldarriaga. Planta piloto para obtener colorante de la semilla del achiote (bixa orellana). Revista Universidad EAFI, 39(131):8–22, 2003.
Notas de autor
lmanganiello@uc.edu.ve