Artículos científicos
Tendencia mundial en la elaboración de productos derivados del cacao
World trend in the elaboration of cocoa derived products
Tendencia mundial en la elaboración de productos derivados del cacao
Revista INGENIERÍA UC, vol. 26, núm. 2, pp. 213-222, 2019
Universidad de Carabobo
Recepción: 21 Enero 2019
Aprobación: 26 Julio 2019
Resumen: - En Venezuela, el cacao se ha caracterizado por tener el sello de exquisitas tonalidades de aromas y sabores, propiedades válidas para categorizarlo a nivel mundial como uno de los mejores. Esta investigación propone una revisión sobre la elaboración de productos derivados del cacao, con impacto en el mercado alimentario, farmacéutico y cosmético; de fácil preparación y con bajo costo de inversión. Se realizó una exploración sistemática en base a patentes. Encontrándose una gama de productos tanto en la industria alimentaria (bebida instantánea, queso con cubierta de chocolate, bebida con grado alcohólico), como en la farmacéutica y cosmética (extracción de polifenoles, jabones). Según el análisis en los últimos veinte (20) años, la obtención de nuevos productos ha estado liderada por Japón, seguido de Estados Unidos, China y Rusia, reflejando el interés de los países no productores en el desarrollo e innovación de productos. El crecimiento ha sido progresivo, lo que sugiere enfoques estratégicos para patentar, dominado por empresas europeas y asiáticas. Este estudio ha permitido descubrir datos de gran interés necesarios para comprender las tendencias mundiales, lo que permitirá desarrollar capacidades científico-tecnológicas vinculadas con la generación de nuevos productos orientados a emprendedores, industrias y a servicios de alimentación.
Palabras clave: cacao, productos derivados, mercado alimentario, mercado farmacéutico, mercado cosmético.
Abstract: - In Venezuela, cocoa has been characterized by having the stamp of exquisite tones of aromas and flavors, valid properties to categorize it worldwide as one of the best. This research propose a review on cocoa products elaboration, with an impact on food, pharmaceutical and cosmetic market; easily prepared and with low investment cost. A systematic exploration based on patents was performed. Finding a range of products both in the food industry (instant drink, cheese with chocolate cover, alcoholic beverage), as well as in pharmaceutical and cosmetic products (extraction of polyphenols, soaps). According to the analysis in the last twenty (20) years, obtaining new products has been led by Japan, followed by the United States, China and Russia, reflecting the interest of non-producing countries in product development and innovation. The growth has been progressive, suggesting strategic approaches to patenting, dominated by European and Asian companies. This study has allowed discovering data of great interest necessary to understand global trends, which will allow the development of scientific-technological capabilities linked to the generation of new products aimed at entrepreneurs, industries and food services.
Keywords: cocoa, derived products, food market, pharmaceutical market, cosmetic market.
1. Introducción
El cacao venezolano, gracias a su privilegiada geografía y biodiversidad, es considerado uno de los mejores del mundo. Es un producto que a través de los años ha mostrado un gran dinamismo para las exportaciones en nuestro país, identificado como el primer bien agrícola exportable, debido al interés de mercados internacionales, específicamente el mercado europeo [1].
Los países productores de cacao liderizados por Costa de Marfil y Ghana son los que ocupan el 76 % del mercado de las exportaciones, y el 17 % por países pertenecientes a América Latina, por su parte los principales compradores de cacao en grano son los países desarrollados que no lo producen, quienes dirigen sus esfuerzos a la formulación de productos en base a cacao especialmente el chocolate que ha representado por mucho tiempo una fuerte tradición a nivel mundial [2]. Es por ello que se hace difícil entender que el cacao pueda limitarse a un solo uso, ya que se ha demostrado que contiene sustancias con alto potencial nutricional y farmacológico, al poseer polifenoles y ácidos grasos tales como ácido esteárico, palmítico y oleico. Este contenido graso brinda propiedades humectantes y/o emolientes [3].
El grano de cacao resulta eficaz para obtener productos semiprocesados que muestran capacidad para incrementar su participación tanto en la gastronomía mundial como en la economía. Parte de éste interés en la industria alimentaria está fundamentado en la diversidad de productos derivados del cacao; pasta, polvo, manteca y licor de cacao son subproductos claves para la elaboración de chocolates, bebidas y otras combinaciones que terminan deleitando al consumidor. De igual manera, el cacao tiene aplicaciones en la industria farmacéutica, en la fabricación de medicamentos, cosméticos y jabones.
El enfoque del presente trabajo está orientado a utilizar conocimientos y creatividad, que propongan nuevas aplicaciones y brinden una gran oportunidad al sector, ante la perspectiva de propiciar líneas de productos con valor agregado que representen una fuente de ingreso para emprendedores, industrias y servicios de alimentación, abriendo las puertas a nuevos nichos de mercado nacional e internacional. Por lo antes expuesto, y como parte de la diversificación del mercado de productos terminados, se propone la elaboración de productos derivados del cacao, con impacto en el mercado alimentario y farmacéutico, de fácil preparación y con bajo costo de inversión. A lo largo de esta investigación se han descubierto datos de gran interés que han sido necesarios para comprender las tendencias mundiales referentes al uso y cuáles son los países que dominan el análisis bibliométrico y patentométrico.
2. Metodología
El procedimiento consistió en una revisión sistemática de la información mediante el uso de ecuaciones de búsqueda empleando metabúscadores con la aplicación de operadores booleanos en textos, publicaciones y patentes. Mediante los operadores booleanos se orienta la obtención de resultados deseados, utilizando la plataforma PatentInspiration® (PI), los datos de patentes proporcionan indicadores de las actividades inventivas. Se incluyeron filtros para obtener la información deseada tales como aparición en el título y resumen con la finalidad de que aquellas patentes que incluyan los términos de la ecuación sean analizadas. De igual manera, se utilizó una sola patente por familia para eliminar las tecnologías repetidas, sin vacíos en el título y resumen con el propósito de excluir los estudios que no estuviesen relacionados directamente con el tema de interés. Posteriormente, se realizó la selección de códigos pertenecientes a la Clasificación Internacional de Patentes (CIP) o International Patent Classification (IPC) y por último se estableció un período de tiempo de veinte (20) años desde 01/01/1997 hasta 31/12/2017.
La información obtenida a partir de la ecuación de búsqueda alcanzando un total de diez mil setecientos seis (10.726) patentes, con la aplicación de los filtros se descartaron ocho mil doscientos treinta y cinco (8.235) dando como resultado final dos mil quinientos noventa y dos (2.592) patentes. La selección de los códigos permitió obtener estudios de interés, los cuales respondieron al objetivo general planteado. Los resultados obtenidos fueron analizados e interpretados así como el levantamiento de información estadística a través de indicadores que resultó pertinente para el desarrollo de la temática seleccionada.

3. Resultados y discusión
3.1. Cantidad de patentes por país aplicante y su representación porcentual
Las patentes por países aplicantes está dominada por Japón con un 20,85 %, seguida con un 13,13 % Estados Unidos, China con un 12,01 % y Rusia con un 9,48 %. Continuando el orden de liderazgo entraría en el 5to lugar Corea, seguido por Suiza, Alemania, Francia, Reino Unido, España, Países bajos, Bélgica, entre otros y el continente latinoamericano representado por Brasil, seguido de Colombia, México, Ecuador y Perú (Figura 1).
Esto se debe a que el mercado japonés es uno de los más grandes y desarrollados en el mundo, orientado al consumo, con una sociedad de alto poder adquisitivo y estándares de calidad que le permiten desarrollar nuevos productos, lo que ofrece oportunidades para diversificar los destinos de exportación y ser un país influyente en el desarrollo económico y tecnológico del continente Asiático. Es por ello que en los últimos tiempos se ha convertido en uno de los primeros países a nivel mundial en adquirir el grano de cacao, tomando en cuenta criterios de selección para la compra del mismo como el precio, sabor, inocuidad y confiabilidad. El Ministerio de Agricultura, Silvicultura e Industrias Pesqueras de Japón o The Ministry of Agriculture, Forestry and Fisheries (MAFF) y el Ministerio de Salud, Trabajo y Bienestar Social o The Ministry of Health Work and Social Welfare (MHLW), coordinan sus esfuerzos para mantener altos niveles de regulación sobre la seguridad alimentaria y la calidad de las importaciones [4].
En este sentido, el cacao con certificación de comercio justo (Fair Trade) es cada vez más demandado, así como los derivados que provengan de este tipo de cacao. Japón en aras de incentivar el desarrollo de productos innovadores, promover una nueva forma de ingreso y aportar al crecimiento comercial del país, fomenta un mercado incipiente para los exportadores a través de la Organización Japonesa de Comercio Exterior o Japanese External Trade Organization (JETRO).
La JETRO elabora perfiles comerciales mercado–producto; por lo que estableció la Ley del Arancel de Aduanas, que propone tasas aduaneras inferiores a las propuestas en la Organización Mundial del Comercio (OMC), en determinados productos. Así definen que, la tarifa arancelaria aplicada a la pasta de cacao con Tasa Preferencial para países desarrollados tiene un 5 % de tarifa aplicada, y ad valorem de 3,50 %, mientras que el cacao en grano, crudo o tostado tiene la Tarifa de la Nación más favorecida con 0,00 % de aranceles [5].
Lo cual incentiva a los emprendedores y empresas del país a la importación del rubro y posterior transformación en productos capitalizables [4].
Por otra parte los gustos y preferencias de los consumidores en el mercado japonés de los chocolates están en continua transformación. Según la Asociación del cacao y chocolate de Japón, el consumo per cápita aun es bastante bajo, para el año 2014, establecieron un consumo de dos (2 kg) per cápita de chocolate en el año mientras que los países europeos como Alemania y Suiza consumieron doce (12 kg) y diez (10 kg) respectivamente [4]. Recientemente, la preferencia es mayor por productos seguros y certificados; por lo que se abren oportunidades para productos que ofrecen trazabilidad y beneficios para la salud [6].
3.2. Cantidad de patentes y molienda de cacao por continente
La cantidad de patentes por continente fue analizada; la lideraliza el continente Asiático con un 44,39 % de estudios dirigidos a la obtención de nuevos productos en el ámbito alimentario y farmacéutico, seguido del continente Europeo con 38,84 %, posteriormente América del Norte tiene el tercer lugar con un 13,72 %, luego América del Sur con 2,09 % y por último Oceanía y África con 0,89 % y 0,06 % respectivamente (Figura 2).

A pesar de que la mayor producción mundial de cacao está encabezada por el continente africano, seguida de los países de América y por último Asia y Oceanía, la demanda mundial de cacao en grano como consumo primario está dominada por países de mayor desarrollo industrial que no son productores, reflejando el nuevo enfoque de las tendencias mundiales en la búsqueda de ampliar las aplicaciones del cacao en los sectores alimentarios y farmacéuticos, sin embargo Europa sigue siendo el principal importador de cacao en grano con 63 % destacando la participación de los países como Suiza, Alemania, Francia, Reino Unido, España y Holanda, los cuales son los mayores consumidores de chocolate y sus derivados, le siguen América con 19,3 % liderada por Estados Unidos, seguido a distancia por Brasil, Asia y Oceanía con 21,7 % y África con 0,6 % [2].
La Organización Internacional del Cacao o The International Cocoa Organization (ICCO) establece que el volumen de cacao que es procesado para elaborar subproductos, tales como pasta o licor, manteca y polvo de cacao es denominado molienda o “grinding” [1], en el cual se observa que Europa es quien predomina, destinando una parte de la molienda a la fabricación de chocolate, dirigiendo su consumo final a Europa oriental y Rusia. En segundo lugar, se encuentran los países de África como Costa de Marfil y Ghana que tienen como objetivo principal la exportación de subproductos del cacao, adicionando valor agregado a la materia prima, para su posterior consumo intermedio en otras regiones del mundo, así como instalaciones en dichos territorios de plantas procesadoras filiales de corporaciones transnacionales, permitiendo el desarrollo de cadenas globales de valor con casa matriz en los Estados Unidos y Europa, que realizan significativas inversiones en investigación de mercados y tecnología, así como publicidad y marketing de sus productos, dando lugar a un amplio posicionamiento de los mismos a escala mundial [7].
3.3. Empresas y principales innovadores a nivel mundial que se dedican a elaborar productos derivados del cacao dirigidos al mercado alimentario y farmacéutico
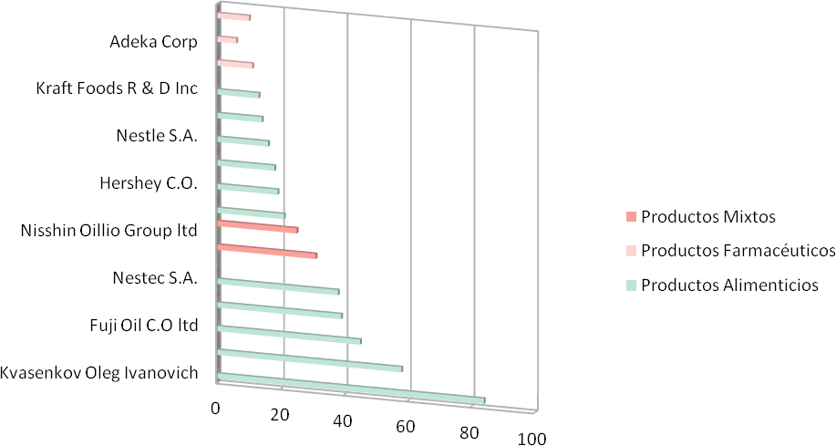
El cacao al poseer sabores y aromas únicos de cada región se ha convertido en una de las materias primas agrícolas que generan divisas a los países productores. Los verdaderos protagonistas del mercado son tanto las sociedades comerciales internacionales (traders) que compran el cacao en grano, como las industrias confiteras que lo transforman y hacen llegar al consumidor todo tipo de productos a base de cacao [8](Figura 3).

Al identificar y analizar las principales empresas que dirigen sus esfuerzos a la producción de derivados del cacao de interés en el mercado alimentario está encabezada por el ruso Kvasenkov Oleg Ivanovich, seguido de compañías japonesas como Morinaga & Co y Fuji Oil Co Ltd las cuales proporcionan dulces y otras confiterías, por su parte empresas multinacionales americanas dominan el mercado de la manufactura y venta de productos de chocolate, confitería, alimentos y bebidas tales como Mars Inc, Hershey Co., Kraft Foods R & D Inc, sin dejar a un lado corporaciones suizas que presta servicios de investigación científica y desarrollo tecnológico como lo son Nestec, Barry Callebaut quien ocupa un papel importante en la formulación de productos al ser el mayor proveedor de chocolate para la industria procesadora y Nestlé S.A controlando alrededor del 50 % del mercado [7].
Por su parte, se evidenció en menor proporción, las empresas aplicantes en el área alimentaria y farmacéutica como Meiji Seika Kaisha, Nisshin Oillio Group Ltd de origen japonés, las cuales ofrecen productos de alta calidad para satisfacer las necesidades de los consumidores, mientras que Natraceutical S.A conocida actualmente como Laboratorio Reig Jofre SA. es una corporación multinacional española, con referencia en la investigación y desarrollo de ingredientes funcionales naturales, elementos activos y suplementos nutricionales para la industria alimentaria, farmacéutica y cosmética y Amorepacific Corporation que es un empresa de origen coreano que opera treinta tres (33) marcas de productos de salud, belleza y cuidado personal [7].
Los mercados potenciales no pertenecen solo a aquellas compañías que venden tabletas, dulces y confitería sino a las compañías que están ubicadas a lo largo de producción. El aumento de las invenciones que sugiere enfoques estratégicos para patentar productos del sector alimentario y farmacéuticos pertenecen a empresas asiáticas principalmente las japonesas y empresas europeas. En el caso de los innovadores o investigadores, la distribución de las tecnologías es bastante variable, sin embargo mantiene el patrón de los países de orígenes tal como Rusia, Japón, China, Corea, Suiza y Estados Unidos como muestra la Tabla 1.

3.4. Clasificación Internacional de Patentes (CIP)
Se procedió a utilizar los códigos IPC (Figura 4), evidenciando que el 30 % de los estudios están dirigidos a elaboración de productos en base a cacao, postres, confitería y helados y un 20 % representado por el desarrollo de productos en el mercado farmacéutico, lo que puede dar lugar a que los granos de cacao no solo poseen sustancias con potencial nutricional sino también farmacológico importante.

El éxito de estos productos deben estar sincronizados con ser innovadores, utilizar materia prima de calidad y ajustados a las preferencias de los consumidores que conllevarán a la posibilidad de crecimiento sostenible para el cacao. Alianzas comerciales han permitido que el cacao orgánico y de comercio justo ya haya dado sus primeras incursiones en este mercado.
3.5. Crecimiento mundial en la elaboración de productos alternativos de cacao
El chocolate y bombones son las formas más comunes de consumir el cacao. A su vez, la manteca y el licor de cacao (pasta de cacao obtenida luego del prensado de los granos) son empleados principalmente como ingredientes en la elaboración de chocolate, para conferirle propiedades sensoriales y físicas. Por otro lado, a partir del cacao se puede obtener un licor (bebida con alcohol, que debe distinguirse del subproducto que lleva el mismo nombre), así como diversas preparaciones culinarias en las que participa el chocolate.
Sin embargo, la Figura 5 muestra un crecimiento progresivo en el número de patentes relacionadas con el desarrollo de tecnologías para la obtención de productos derivados del cacao dirigidos al mercado alimentario y farmacéutico, reflejando el interés de los países no productores en el desarrollo e innovación de productos distintos a una tradicional barra de chocolate, orientados a alimentos saludables en virtud de los cambios en los hábitos alimentarios de la población, con la intención de mantener y atraer a nuevos consumidores. Se observa la mayor alza para el año 2016 debido a que existió una sobreproducción en los mayores productores a nivel mundial como lo son Costa de Marfil y Ghana mencionados anteriormente, debido a las excelentes condiciones climatológicas [9].

La tasa de crecimiento se evaluó en un periodo de cada cinco (5) años desde 1997 hasta 2017 (Figura 6), evidenciando un aumento considerable en el año 2010 hasta la actualidad. Otro rasgo relevante en el incremento del número de patentes es el auge de las cadenas globales de valor, potenciando así la expansión de esta actividad económica.

3.6. Formulación de productos en base a cacao con sustitución de ingredientes importados por materia prima local
Una vez evaluados los parámetros estadísticos relacionados con la actividad patentométrica, se procedió a realizar una evaluación de las distintas propuestas de productos derivados del cacao dirigidos al mercado alimentario y farmacéutico. Se presentan a continuación los productos de fácil invención y con bajo costo de inversión.
Productos derivados del cacao dirigidos al mercado alimentario
En el 2017, Pengfei, D. y colaboradores [10] plantearon una bebida instantánea en polvo a base de cacao, enriquecida con Maca. Entre los ingredientes mencionan el uso de 30 a 35 % de cacao en polvo, 20–25 % de manteca de cacao, 20–25 % de maca en polvo, 10–15 % de leche desnatada en polvo, 5–8 % de un agente edulcorante sin azúcar, 1,5–2 % de un agente emulsionante y 0,3 % de vainilla. Su preparación consiste en calentar agua a una temperatura entre 80 a 90 °C (la cantidad dependerá del peso total del producto), una vez que el agua haya alcanzado la temperatura, agregar todos los ingredientes y agitar uniformemente. Luego deshidratar la mezcla anterior hasta obtener un polvo y finalmente resulta la bebida de maca con chocolate.
Maca es una raíz proveniente del Perú, rica en aminoácidos esenciales como la arginina y lisina, así como en ácidos grasos insaturados tales como el ácido linoleico y linolénico, los cuales promueven la disminución de padecer de enfermedades cardíacas. Aunado a esto, Maca contiene ingredientes activos como el zinc, potasio, hierro, calcio, oligoelementos, entre otros. La moringa o amaranto puede funcionar muy bien como sustituto de la Maca.
El producto terminado posee un alto contenido nutricional, de fácil absorción, al agregarle polvo de cacao su sabor es agradable. Durante el proceso se menciona el uso de un deshidratador por lo que se sugiere incursionarse en la elaboración artesanal del equipo como primera propuesta. En cuanto al envase se debe tomar en cuenta el costo y que sean biodegradables para el cuidado del medio ambiente, atributo que le proporciona valor agregado al producto.
Para el año 2015 el investigador ruso Pakocn [11] presenta un queso tipo yogur de consistencia espesa con microbiota viva y cubierto con chocolate negro, en forma de barra. Los ingredientes protagonistas son los microorganismos Streptococcus thermophilus sp. y Lactobacillus bulgaricus sp. (Lactobacillus delbrueckii bulgaricus sp.) utilizados tradicionalmente para la fermentación del yogur sin embargo en esta caso son usados para conferirle al queso el sabor ácido y producir la formación de cuajo. La invención propone de 8–15 % de azúcar u otros edulcorantes, 0–15 % de mantequilla y/o grasa sólida vegetal que no contenga grasas trans, 0–5 % de leche descremada o completa en polvo o líquida, 0–15 % de mermelada, jalea de frutas tropicales, 0–0,1 % de fragancia de limón o vainilla, fragancia de su preferencia, 1–2 % en peso de material aditivo del producto acabado que contribuya a un aumento de la viscosidad, con propiedades antimicrobianas y antioxidantes. El proceso de elaboración consiste en fermentar la leche a una temperatura de 42 °C, hasta que alcance un pH entre 4,4 a 4,6 durante un (1) día aproximadamente. Una vez que se haya formado el cuajo, cortar en cubos y calentarlo a una temperatura menor a 55 °C hasta obtener la densidad deseada, posteriormente dejar enfriar a una temperatura de 4 °C, obteniendo el queso fresco, el cual se procede a mezclar con la mantequilla, azúcar, fragancia y el aditivo. Envasar en moldes, recubiertos con chocolate negro mayor al 70 % cacao y dejar enfriar. Antes de servir, rellenar con la mermelada o jale de frutas utilizando una manga. Es un producto diseñado para una merienda o como pasaboca en eventos y reuniones. Resulta ser un producto con un sabor agradable y aromático, de fácil preparación ya que no requieren maquinaria sofisticada para su elaboración y es alimento con alto valor nutritivo al poseer probióticos encargados de inhibir bacterias patógenas, estimulan el sistema inmune, antioxidantes y disminuyen el colesterol y triglicéridos. Es importante determinar el costo de inversión y las condiciones de almacenamiento del producto.
Reyes [12] diseñó la invención de un licor destilado de un 100 % de mucílago de cacao con sabor a chocolate (sabor y olor afrutado). El mucílago es necesario para la fermentación del grano de cacao, provee el sustrato para varios microorganismos que son esenciales para el desarrollo de los precursores del sabor del chocolate [13], es por ello que la etapa de fermentación post–cosecha influye sobre la calidad del producto final. En la industria alimentaria, el mucílago hidrolizado es conocido como exudado, el cual tiene la característica de poder ser reutilizado, ya que al ser sometido a un adecuado manejo post–cosecha pueden convertirse en fuente de ingreso para los productores de esta planta. De 800 kg de semillas se obtiene aproximadamente 40 litros de pulpa o mucílago de cacao.
El mucílago de cacao y levaduras son los ingredientes propuestos [14]. La preparación consta en cortar la mazorca de cacao, cuando está madura, es decir, haya cambiado de color de verde a amarilla. Se parte la mazorca y se extrae el mucílago del cacao, de forma mecánica o manual manteniendo las Buenas Prácticas de Manufactura (BPM) y sin causar daño al grano, está recolección debe hacerse el mismo día que se corta la mazorca. El exudado de mucílago recolectado se coloca en un tanque madera o de acero inoxidable con grado alimenticio, se le adiciona levaduras y se deja reposar por seis (6) días aproximadamente, posteriormente utilizar un destilador para la obtención del alcohol, el cual se debe pasar por un filtro, se deja madurar por cuatro (4) meses y finalmente se envasa.
El exudado de mucílago de cacao es una sustancia de la cual se puede obtener una infinidad de subproductos dirigidos al mercado alimentario como jugos, mermeladas y licor; así como también en el mercado farmacéutico utilizado para la producción de cremas faciales, maquillaje, entre otros.
Los productores cacaoteros al momento de la fermentación desperdician el mucílago obtenido en las primeras horas. Con el mucílago pueden producir una bebida con grado alcohólico sabor a chocolate la cual podría convertirse en una nueva experiencia en el mundo de los licores y podría tener propiedades beneficiosas a la salud entre ellas su concentrado de pectinas y ácido cítrico. De igual manera representa una alternativa para evitar el deterioro del medio ambiente y las pérdidas económicas al sector ya que el exudado genera olores desagradables [14].
Productos derivados del cacao dirigidos al mercado farmacéutico
Lecoupeau y Vercauteren [15] desarrollaron en el año 2007 un proceso para obtener extractos de polifenoles de granos de cacao. El extracto de cacao comprende de 15 a 66 % de polifenol, de 0 a 11 % de lípido y de 5 a 20 % de xantina. Sus características lo hacen ideal para formar parte del mercado farmacéutico. Durante el proceso de extracción se emplean distintos disolventes como etanol, acetona, 2–butanol y 2–propanol que son capaces de solubilizar los polifenoles y los lípidos, sin alterar sus propiedades. El proceso consiste en obtener granos de cacao frescos despulpados y descascarillados dando como resultados granos limpios. Los granos de cacao luego son sometidos a una etapa de rehumidificación, utilizando entre 30 a 50 % de agua caliente antes de la etapa de molienda con el disolvente. Esto permitirá que las paredes de las células de los granos recuperen su elasticidad y por lo tanto no se rompa durante la molienda en presencia del disolvente. Luego se procese a moler en presencia de un disolvente mezclado con agua, preferiblemente el contenido del disolvente es mayor que 50 % en volumen teniendo en cuenta el agua aportada por los granos. Se extrae y se filtra y luego se procede a destilar a una temperatura entre 20 °C a 50 °C durante una (1) hora por varios días. Se debe evitar temperaturas demasiado altas, es decir superiores a 60 °C, para limitar la oxidación y degradación química de los compuestos que se van a extraer. Este proceso de destilación se lleva a cabo bajo una presión residual entre 12 a 20 kPa.
Los polifenoles pueden ser añadidos a lociones, geles, emulsiones (especialmente crema), máscara, ungüento, liposomas o parches transdérmicos, que contienen convencionalmente excipientes, vehículos compatibles y farmacéuticamente aceptables. Los agentes de protección contra los rayos ultravioleta también se pueden incorporar ventajosamente en las composiciones.
Por su parte Moreno [16] planteó un jabón de baño destinado aplicarse sobre la epidermis para el cuidado diario de la piel, utilizando manteca de cacao, aceite de oliva extra virgen, compuestos alcalinos y aromáticos. El jabón actúa como un bálsamo de hidratación y nutrición. Propone diluir el hidróxido de sodio en agua, mezclar la solución con aceite de oliva y manteca de cacao. Agregar el compuesto aromático. Incorporar la mezcla en un recipiente preferiblemente de madera y dejar secar la mezcla. Desmoldar y cortar en piezas de acuerdo al tamaño y peso deseado. Dejar secar nuevamente por cuatro (4) semanas y embalar.
Siguiendo las líneas de elaboración de cremas para el cuidado diario de la piel y un efecto de mejora sobre los nódulos linfáticos, el investigador chino Huaying [17] creó una crema hidratante de fácil preparación. Se elabora a partir de los siguientes componentes en porcentaje en masa: 10 % de agua, 3 % de glicerina, 2 % de propilenglicol, 3 % de miristato de isopropilo, 70 % de extracto de Rizoma de taraxacum officinale, planta comúnmente llamada diente de león, 2 % de extracto de Butyrospermum parkii (manteca de Karité) por sus propiedades puede ser sustituida en su totalidad por manteca de cacao aumentado, 5 % de manteca de cacao y 5 % de goma xantana. La glicerina es un componente químico que tienen como función hidratar la piel, el propilenglicol es ampliamente utilizado en la industria alimentaria, farmacéutica y cosmética como agente anticongelante, lubricante y solvente. El miristato de isopropilo un ingrediente activo, humecta la piel al penetrar en los folículos pilosos. Los extractos europeos de raíces de diente de león tienen poder desintoxicante. La manteca de cacao posee efectos antioxidantes de hidratación y por último la goma xantana es un espesante internacional.
El método de preparación comprende los siguientes pasos para extraer el rizoma de taraxacum officinale, obtener la manteca de cacao a partir de la molienda de sus granos; mezclar uniformemente 70 partes de polvo de extracto de rizoma de taraxacum officinale y 5 partes de manteca de cacao, agregando respectivamente 10 partes de agua, 3 partes de glicerina, 2 partes de propilenglicol, 3 partes de miristato de isopropilo y 2 partes de extracto de Butyrospermum parkii en la mezcla, adicionando finalmente 5 partes de goma xantana para espesar y emulsionar.
4. Conclusiones
En el análisis patentométrico en los últimos veinte (20) años, la invención de productos artesanales alternativos derivados del cacao dirigidos al mercado alimentario, farmacéutico y cosmético está dominada por Japón, seguida de Estados Unidos, China y Rusia y el continente latinoamericano representado por Brasil, seguido de Colombia, México, Ecuador y Perú. La demanda mundial de cacao en grano, como consumo primario, está dominada por países de mayor desarrollo industrial perteneciente al continente Asiático con un 44,39 % y Europeo con 38,84 %, los cuales no son productores; hecho que refleja el nuevo enfoque de las tendencias mundiales en la búsqueda de ampliar las aplicaciones del cacao.
El aumento de las invenciones que sugieren enfoques estratégicos para patentar productos del sector alimentario, farmacéutico y cosmético pertenece a empresas europeas como Kvasenkov Oleg Ivanovich y asiáticas, principalmente compañías japonesas como Morinaga & Co y Fuji Oil Co Ltd. El 30 % de los estudios están dirigidos a elaboración de productos en base a cacao, postres, confitería y helados y un 20 % representado por desarrollo de productos en el mercado farmacéutico.
Las nuevas tendencias en los consumidores por buscar estilos de vida saludables han producido cambios en los hábitos alimentarios, por lo que las industrias alimentarias están dejando a un lado los tradicionales snacks procesados para presentar productos más saludables disminuyendo el uso de azúcar, orientando sus esfuerzos a profundas transformaciones. La aplicación de esta propuesta causará un impacto socioeconómico, donde los beneficiarios directos serán los productores de cacao ya que pondrán en práctica una nueva forma de ingresos y aportarán al crecimiento comercial de la región. El aprovechamiento del cacao en la generación de productos alternativos con interés en el mercado alimentario y farmacéutico representa una opción viable para el desarrollo del sector agro industrial debido a que se le da un valor agregado a la fruta de dioses “El Cacao”.
Referencias
[1] L. Reyes y H. Reyes de Capriles. El Cacao en Venezuela “Moderna Tecnología para su Cultivo”. Chocolates El Rey C.A., Caracas, Venezuela, 2000.
[2] ICCO. Quarterly bulletin of cocoa statistics. Technical Report Vol. XLIV, No. 3, The International Cocoa Organization, 2018.
[3] O. López-Báez y M.N. Ballinas-Gómez. Materiales de cacao de interés farmacológico (Theobroma cacao L.). ESPACIO I+D, Innovación más Desarrollo, V(11):84–103, 2016.
[4] G. Poveda-Burgos, H.E. Cantuña-Orellana, P.Y. Paredes-Pineda, A.T. Recalde-Floriano, M. Teran-Coronel, y A.M. Zúñiga-Montero. Análisis e influencia del impacto económico de las exportaciones de cacao y elaborados de cacao ecuatoriano en el mercado japonés. Observatorio Iberoamericano de la Economía y la Sociedad del Japón, 9, 2016.
[5] M. González-Illescas y M. Vargas-Jiménez. La dirección del conocimiento en las procesadoras artesanales de cacao de la provincia de el oro. En II Congreso Internacional Ciencia y Tecnología UTMACH, volumen 1, Machala, Ecuador, 2017.
[6] R. Quintero, R. Anido, y A. Azuaje. El consumo de cacao en Venezuela y en desde una perspectiva sostenible. Agroalimentaria, 23(45):23–49, 2017.
[7] Observatorio de Corporaciones Transnacionales. Las transnacionales del sector del cacao. Boletín 9, Iniciativas de Economía Alternativa y Solidaria, España, 2011.
[8] D. Comet-Herrera. Comercio justo: Una alternativa comercial sostenible y respetuosa con los Derechos Humanos. Revista de Antropología Experimental, 6:71–78, 2005.
[9] O. Puentes, M. Dávila, Y. Minorta, M. Sulbarán, y J. Cárdenas. Alternativa socioeconómica del uso del cacao en la elaboración del muffin. Revista Científica Juvenil, VII:201–212, 2009.
[10] D. Pengfei, Y. Yuantao, and Y. Jinlong. CN107494866A: Maca–chocolate solid drink and preparation method thereof, 2017.
[11] A. Pakocn. WO2016113580A1: Fresh, thick–consistency yoghurt cheese with live bacterial flora, chocolate–coated yoghurt desserts made therefrom, and method for producing same, 2015.
[12] N. Reyes-Ramos. MX2016008930A: Distilled alcoholic beverage, 100mucilage, 2017.
[13] A.E. Arana-Analuisa y E.C. Rugel-Jiménez. Propuesta de aprovechamiento del desecho mucilago de cacao en la hacienda santa rita. Trabajo de grado de Ingeniería Comercial, Facultad de Ciencias Administrativas, Universidad de Guayaquil, Guayaquil, Ecuador, 2017.
[14] Y.M. Arteaga-Estrella, J.A. Villacís-Santos, y J.M. Peralta-Saltos. Estudio de viabilidad para la producción de la mermelada de mucílago de cacao. Trabajo de grado en Ingeniería Comercial, Facultad de Ciencias Administrativas y Comerciales, Universidad Estatal de Milagro, San Francisco de Milagro, Ecuador, 2012.
[15] J.P. Lecoupeau and J. Vercauteren. US2007258920A1: Process for obtaining polyphenol extracts from cocoa beans, the resulting extracts and uses thereof, 2007.
[16] A. Moreno-Perez. ES2284392A1: Cocoa butter soap for personal cleanliness and daily care of skin and hair, comprises extra virgin olive oil, water, cocoa butter, and alkali and aromatic compounds, 2008.
[17] L. Huaying. CN20171129260: Purification energy cream, 2018.
Notas de autor
publicacionesgpidi.cntq@gmail.com
Enlace alternativo
http://servicio.bc.uc.edu.ve/ingenieria/revista/v26n2/art09.pdf (pdf)