The effect of repeated sprint ability on physiological and physical profiles of young basketball players
El efecto de esprints repetidos en los perfiles fisiológicos y físicos de jóvenes jugadores de baloncesto
The effect of repeated sprint ability on physiological and physical profiles of young basketball players
RICYDE. Revista Internacional de Ciencias del Deporte, vol. XIV, no. 54, pp. 309-320, 2018
Editorial Ramón Cantó Alcaraz

Received: 20 October 2017
Accepted: 09 February 2018
Abstract: The purpose of this study was to describe the dynamics of a repeated sprint ability (RSA) cycling protocol in young elite basketball players. Twenty-two elite male basketball players (aged 18.3±0.6 years; training years 9.1±1.3 years) performed 3 bouts of a repeated sprint ability (RSA) protocols, consisting of 5 x 6-s cycling sprints with a 24-s rest interval between sprints. The work decrement during the first trial was high (14.1±4.8%) and after 5-minute rest did not change significantly. The total work decreased by 5.5% in the second work interval and by 2.9% in the third interval. During the 5-minute passive rest, young basketball players’ peak power recovered about 90% of the initial levels. It is suggested that rest intervals are sufficient to continue the game with adequate performance potential. A reduction in work decrement, while maintaining the capacity of all sprints, is needed to achieve a higher repeated sprint ability.
Keywords: Sprints, muscle power, work decrement, fatigue, RSA.
Resumen: El propósito de este estudio fue describir la dinámica de un protocolo de esprints repetidos en jóvenes jugadores de baloncesto. Veintidós jugadores de baloncesto masculino (con una media de 18,3 ± 0,6 años de edad y de 9,1 ± 1,3 años de entrenamiento) realizaron un protocolo con 3 series esprints repetidos, que consistió en 5 esprints de 6-s en cicloergometro con 24-s de descanso entre esprints. La disminución del trabajo durante la primera serie fue alta (14.1 ± 4.8%) y no cambió significativamente después de 5 minutos de descanso. El trabajo total disminuyó en un 5.5% en la segunda serie y en un 2.9% en la tercera. Durante el descanso pasivo de 5 minutos, los jóvenes jugadores de baloncesto recuperaron aproximadamente hasta un 90% de los niveles iniciales de la potencia máxima. Se sugiere que los intervalos de descanso son suficientes para continuar el juego con un potencial de rendimiento adecuado. Se necesita una reducción en el decremento del trabajo, mientras se mantiene la capacidad de todos los esprints, para optimizar esta capacidad de rendimiento tan importante en baloncesto.
Palabras clave: Esprints repetidos, potencia muscular, decrimento del trabajo, fatiga, RSA.
Introduction
The repeated sprint ability (RSA) is a key determinant of performance in team sports (Narazaki, Berg, Stergiou, & Chen, 2009; Gabbett, 2010; Ruscello, Tozzo, Briotti, Padua, Ponzetti, & D’Ottavio, 2013). During a basketball game, players execute several repeated short sprints, as a result of successive movement changes, approximately every 2 seconds (McInnes, Carlson, Jones, & McKenna, 1995; Ben Abdelkrim, El Fazaa, & El Ati, 2007). As an attempt to assess and improve players’ physical performance, basketball strength and conditioning coaches usually use RSA drills as part of routine fitness testing and as well as a training strategy (Stojanovic, Ostojic, Calleja-Gonzalez, Milosevic, & Mikic, 2012; Padulo et al., 2016). Nonetheless, due to all the effort associated with it, RSA can lead to skeletal-muscle injuries, especially on players that display deficits and muscles unbalances (Taylor, Macpherson, Spears, & Weston, 2015), as well as on young athletes which are not maturational ready for these tasks(Lloyd, Oliver, Hughes, & Williams, 2011; Armstrong, Barker, & McManus, 2015). Thus, alternative ways that are less muscular threatening, and can be performed by a wider range of players, may take an important role to optimize physical assessment and practice planning and, consequently, improve the players’ performances.
The variables related to players’ fitness are: the active physical performance intervals, duration of active and passive recovery, heart rate during exercise, and blood lactate concentration levels after exercise (Narazaki et al., 2009). However, currently, there is limited available data to clarify the conditioning process of young elite basketball players, in a way to develop and sustain adequate levels of muscle power, while delaying fatigue and optimizing recovery subsequently to very intense exercise.
In fact, muscle power in team sports manifests in certain series, through which muscle anaerobic reactions are activated (McInnes, Carlson, Jones, & McKenna, 1995; Castagna, Manzi, D'Ottavio, Annino, Padua, & Bishop, 2007; Narazaki et al., 2009). Basketball is a team sport characterized by short and high-intensity activities, mainly of anaerobic nature (Castagna et al., 2007; Read et al., 2014), requiring an high level of conditioning (Caprino, Clarke, & Delextrat, 2012). Indeed, insufficiency conditioning could cause a premature fatigue, leading to a decrement in game performance (Supej, 2009).
In repeated-sprint exercise, where typical recovery periods are too brief to fully re-synthesise PCr (i.e. 20-30 seconds); there is a decreasing absolute contribution from PCr to the total ATP production (Spencer, Bishop, Dawson, & Goodman, 2005). Therefore, based on time-motion analysis, and visible proactive intervals, it is clear that the ATP-PCr energy production is very significant, and the time required for the re-synthesis is an interesting topic for research (Ben Abdelkrim, El Fazaa, & El Ati, 2007; Conte, Favero, Lupo, Francioni, Capranica, Tessitore, & Gabbett, 2010).
It is known that the rate of PC re-synthesis may be affected by the type of recovery (active Vs. passive) (Signorile, Ingalls, & Tremblay, 1993; Spencer et al., 2005). Furthermore, RSA training protocols elicit high blood lactate concentrations in young basketball players, on other hand, exhibited a tenuous or absent relation with VO2 peak and VO2 max (Castagna et al., 2007; Stojanovic, Ostojic, Calleja-Gonzalez, Milosevic, & Mikic, 2012). Therefore, the topic of recovery is extremely important, whereby more accurate and advanced information will be helpful for technical staffs concerned with young basketball players’ performance after repeated-sprint exercise.
Although repeated-sprint exercise result in extremely high muscle lactate concentrations, it is dependent of the exercise duration, number of repetitions, recovery duration and intensity of exercise (Spencer, Bishop, Dawson, & Goodman, 2005; Castagna et al., 2007). This reinforce the need to adequate the rest periods during a basketball game, taking into account the similarities between both (Padulo et al., 2016). If needed, the periods may be increased or shortened, i.e., the players in the game can be substituted and rest for an unlimited number of times. Despite its importance, to date, few scientific studies have been conducted to assess the players’ muscle power, but also to choose the optimum rest periods for recovery, after very intensive exercise intervals. Indeed, cycling protocols can be precious procedures, allowing the measurement of further indicators related to players’ physical and physiological performance. Therefore, the aim of this study was to describe the dynamics of an RSA cycling protocol, on physiological and physical performance, of young basketball players.
Methods
Participants
Twenty-two young male basketball players (age: 18.3±0.6 years; weight: 85.6±5.6 kg; height: 200.8±8.5 cm; training experience: 9.1±1.3 years) voluntarily participated in this study. Criteria for inclusion were applied to ensure all players participated at least on 90% of the training sessions, had a playing experience no less than five years and regularly participated at the previous competitive seasons. Prior to testing, all participants declared be fit, free from injury, and provided written informed consent and/or parental consent to participate in the study. None of the players had any history of musculoskeletal, neurological, or orthopaedic disorder that might impair their ability to execute RSA tests. All subjects were familiarized with the research protocol and were asked to refrain from vigorous exercise 24 hours prior to testing. The study protocol was conformed to the recommendations of the Declaration of Helsinki and was approved and followed the guidelines stated by the local Institutional Research Ethics Committee and by the National Bioethics Committee.
Procedures
A within-subject repeated measures design was used to compare all responses including peak power output, fatigue, and work decrement following the RSA tests. All the assessment protocols were accomplished at the same time of the day (18:00-20:00h), under the same environmental conditions (22.2 ± 0.5°C temperature and 68.3 ± 3.5% relative humidity), at a laboratory of the local university. The tests sessions consisted of collecting anthropometric measure (body mass and stature) and the assessment of RSA on a mechanical braked cycle ergometer (Monark 894 E Ergomedic, Stockholm, Sweden). The RSA test was carried out in accordance with the Bishop, Spencer, Duffield, & Lawrence (2001) protocol in which all participants completed three trials of maximal cycling sprints. The trials consisted of 5 x 6-s maximum cycling efforts with 24-s rest interval between each sprint, with a period of 5-minute rest between trials. Before the testing protocol, the participants performed a 5-minute warmup at a self-selected intensity interspersed with four submaximal sprints lasting four to six seconds on a cycle ergometer (Bishop et al., 2001). During the RSA test, a standard resistance of 10% of the subject’s body mass was fixed on the cycle ergometer (Bar-Or, 1987) and each bout started at a 45º pedal angle. Three minutes after each trial, blood lactate samples were taken from the participants’ fingertip (Castagna et al., 2007) (Lactate Pro; Arkray, Tokyo, Japan).
Cadence data from an encoder placed on the cycle ergometer flywheel was recorded through the Monark Anaerobic Test Software (Anaerobic Test Software 894E). This generation of Monark Peak Bikes captures reliable and valid instantaneous power data obtained with millisecond sensitivity (Nalcakan, 2014; Ozkaya, 2014). RSA was assessed by calculating absolute and relative peak muscle power, total work performed, fatigue index, and work decrement. Peak power (W) was recorded as the mean relative (W.kg-1) and the mean absolute (W) power for each six second exercise period. The mean absolute (J) and relative work (J.kg-1) was also calculated.
Fatigue was estimated by calculating fatigue index (FI1-5) and instantaneous fatigue (FI1-2), using the following equations:
[1]
[2]The work decrement (WD%) was calculated to determine the change in the work capacity over the five sprints12:
[3]Statistical Analysis
Results were presented as means (M) ± standard deviations (SD). Pre to post-repeated sprint exercise differences in all variables were accessed using repeated measures ANOVA. The obtained data sets were tested for each statistical technique corresponding assumptions (outlier screening, normality and homocedasticity testing). All the previous calculations were performed in SPSS software for Windows, version 21.0 (SPSS Inc., Chicago, IL), and the level of statistical significance was set at p<.05. Furthermore, the magnitude of the mean changes, and respective 90% confidence intervals, were interpreted by using effect size (standardized Cohen’s units) thresholds of 0.2, trivial; 0.6, small; 1.2, moderate; 2.0, large; and 4.0, very large (Hopkins, Marshall, Batterham, & Hanin, 2009).
Results
Table 1 presents the performance and fatigue-related variables concerning the RSA test results. In general, there were more differences in power between the first and third trials. The dynamics of RSA in young elite basketball players are presented in Figure 1. The within trials analysis revealed a reduction in relative peak power by 27% in Trial I, 23% in Trial II and 18% in Trial III. This reduction in relative peak power is due at lower absolute peak power produced within each subsequent trial (Table 1). Both relative and absolute peak power decreased in Trial II (8.2% (effect size [ES]: - 0.70±0.39, moderate) and 8.9% (ES: - 0.72±0.42, moderate), respectively) and Trial III (10% (ES: - 0.88±0.38, moderate) and 10.8% (ES: - 0.89±0.35, moderate), respectively) when compared to Trial I (p≤ 0.05).

Legend: statistically significant differences at p<.05 between Trial I and Trial II (*), Trial II and Trial III (**) and Trial I and Trial III (***).

The results from FI1-5 show that fatigue in the first trial was 28.1±13.9%, in the second trial 22.8±11.8%, and in the third trial 19.1±10.6% (p<.05). The FI1-2 shows that the lowest fatigue was recorded in the first Trial (7.9±3.6%), in the second Trial increased to 11.8±12.8%, and in the third Trial to 12.5±6.8%. The Trial I indices were significantly higher than the indices of Trial II (p<.05) and Trial III (p<.05). The absolute muscle power values achieved in Trial I were higher and significantly different from those achieved in Trial III (ES: - 0.89±0.35, moderate) (p<.05). Conversely, the total work (J・kg-1) decreased from Trial I to Trial II (5.5%) and from Trial II to Trial III (2.9%).
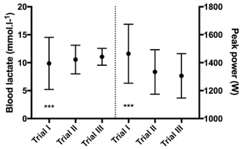
After each trial, the lactate concentration in the blood was estimated. Lactate levels in the blood increased with each RSA trial (Figure 2). The first trial showed that it was 9.9±4.6 mmol・l -1, and in the third trial it increased to 11.1±1.5 mmol・l-1 (p<.05).

Discussion
The purpose of this study was to examine the dynamics of an RSA cycling protocol in young elite basketball players. The absolute and the relative muscle power variables contribute to understand muscular functional capacities for basketball players of this age.
The results show a significant increase in the blood lactate level and decrease in sprint performance during the test (Figure 1 and Figure 2). High dispersion indices in the first trial indicate that the contribution of glycolytic reactions in young basketball players were very diverse. In the third trial of RSA test, blood lactate concentration increased and the reduced dispersion around the average shows that the glycolytic reactions begin to dominate for the majority of the investigated players. According to Castagna et al. (2008), muscle acidosis impairs RSA performance. Furthermore, Ben Abdelkrim, El Fazaa, and El Ati (2007) reported that blood lactate values increase in the first two quarters, but decrease between the two halves of the game. The results of the present study are in line with those. Thus, the current study protocol appear to be a reliable mechanism for the assessment of basketball players’ physical and physiological performance.
Indeed, this overall finding supports previous studies reporting that performance and fatigue during repeated sprints can be associated with the ATP - PC stores in muscles (Jones, McCartney, Graham, Spriet, Kowalchuk, Heigenhauser, & Sutton, 1985; Hirvonen, Nummela, Rusko, Rehunen, & Härkönen, 1992; Medbø, Gramvik, & Jebens, 1999). During repeated sprints, performance is dependent on the ability to recover from previous work bouts as well (Balsom, Seger, Sjodin, & Ekblom, 1992; Bishop, Spencer, Duffield, & Lawrence, 2001; Billaut & Basset, 2007; Attene et al., 2014). High lactate concentrations are associated with increased hydrogen ion concentrations (Bishop, Girard, & Mendez-Villanueva, 2011), which are reported to interfere with the activity of various enzymes involved in the adenosine triphosphate (ATP)-generating processes. However, the recovery of maximal power output is associated primarily with the re-synthesis of phosphocreatine (PCr) (Bogdanis, Nevill, Boobis, Lakomy, & Nevill, 1995). Although, the availability of PCr may be a limiting factor in performance, even before PCr stores are depleted (Sahlin, Tonkonogi, & Soderlund, 1998). It is likely that the 24-sec recovery periods of RSA enabled PCr to make a large contribution to ATP re-synthesis throughout each sprint cycle (Padulo, Tabben, Ardigò, Ionel, Gevat, Zagatto, & Dello Iacono, 2015). The changes in relative power, peak power and lactate concentration over sprints reflected the considerable influence of recovery duration on fatigue development. Despite our testing protocol was performed on a cycle ergometer, a mode of exercise less similar to basketball actions, the results obtained suggest that 5 minutes of passive rest, could be a reasonably time interval for the performance recovery, even though a still high level of lactate. However, it is important to note that during the game, the duration of passive rest interval can be prolonged or shortened for each player. Thus, coaches should use these information to handle their players' effort appropriately, by managing their playing time (Sampaio, Drinkwater, & Leite, 2010), assigning them different roles during a game (Castagna et al., 2008) or even call strategic time-outs (Gómez, Jiménez, Navarro, Lago-Penas, & Sampaio, 2011), in order to avoid performance decrements (Supej, 2009; Delextrat, Baliqi, & Clarke, 2013).
During RSA test, fatigue manifested as a decrease in peak power and total work over sprint repetitions. A significant increase of power sprint in performance during trial one lead to a greater calculated FI1-5. Previous studies suggest contextualizing the calculated fatigue indices when RSA is evaluated because less/greater fatigue does not always equate to better/worse performance (Mohr, Krustrup, Nielsen, Nybo, Rasmussen, Juel, & Bangsbo, 2007; Racinais, Perrey, Denis, & Bishop, 2010). Castagna et al. (2007) found a negative correlation (r=-.75, p=.01) between first-sprint time and FI. Other performance indices, such as total mechanical work should be used in conjunction with indices of relative decrement in performance (i.e. fatigue) to assess repeated-sprint performance (Pyne, Saunders, Montgomery, Hewitt, & Sheehan, 2008). Stapff (2000, 224-237) suggests that the target WD of basketball players is <7%, and the work carried out >330 J•kg-1. It can be assumed that performing RSA at low work decrement must be aimed at high total work.
Current results showed that after 5 minutes of rest, the work performed in the second RSA test was lower by 5.5% than in the first test. The total work index in the third RSA test was only 2.9% lower than in the second test. It should be noted that after the re-establishment of work decrement after 5 minutes of rest, the results did not differ significantly. Coaches should be aware of this kind of evidences, and under similar conditions, can assume that the physical capacity of their players is high enough to meet the game demands.
In this respect, it is interesting to note that PCr stores after a maximal 6-second sprint can be reduced to around 35-55% of resting levels (Gaitanos, Williams, Boobis, & Brooks 1993; Tomlin, & Wenger, 2001) and that the complete recovery of phosphocreatine stores can require more than 5 minutes (Bogdanis et al., 1995; Tomlin et al., 2001). In addition, human skeletal muscle fibres have been reported to have fibre-type-dependent differences in the usage of ‘high-energy’ phosphates with greater phosphocreatine reduction in fast-twitch fibres than in slow-twitch fibres (Soderlund, & Hultman, 1991; Karatzaferi, de Haan, van Mechelen, & Sargeant, 2001). Fast twitch fibres dominate over power production during supra-maximal exercise such as RSA. Thus, selective phosphocreatine deficit of those fibres might be related to the failure to replicate performance when sprints are repeated (Sahlin, & Ren, 1989). Coupled with the fact that the recovery of power output and the resynthesis of phosphocreatine follow similar time courses, several authors have proposed that performance during this type of work may become increasingly limited by phosphocreatine availability, i.e., a decrease in the absolute contribution of phosphocreatine to the total ATP production with each subsequent sprint (Sahlin et al., 1989; Bogdanis et al., 1995).
Summarily, RSA is a complex fitness component that depends on both metabolic and neural factors, among many others (Ross, Leveritt, & Riek, 2001). Among the various potential neurally-mediated mechanisms determining RSA (in particular, sprint decrement (Bishop et al., 2011), the ability to voluntarily fully activate the working musculature and to maintain muscle recruitment and rapid firing over sprint repetitions may critically affect fatigue resistance (Mendez-Villanueva, Hamer, & Bishop, 2007; Racinais et al., 2010). While different training strategies can be used in order to improve each of these potential limiting factors (Bishop, Girard, & Mendez-Villanueva, 2011), and in turn RSA, the implementation of the current methodology could be a reasonable strategy to improve RSA in young basketballers.
Conclusion
Current study showed that performing a Repeated Sprint Ability test three times with 5-minute rest, work decrement index does not change significantly. Total work decreased by 5.5% after the first recovery interval and by 2.9% after the second one. During 5-minute passive recovery, young basketball players’ peak power recovers about 90% of the initial level. Therefore, it might be suggested that such interval of rest is satisfactory for young basketball players, so that they can continue performing in the game. This information may be especially important for coaches, not only to prepare their athletes, but also to manager more appropriately their effort during the games. Furthermore, strength and condition staffs should aim to develop individual optimal exercise modes in order to optimize players’ performance according to RSA activities demands. Additionally, we also suggest that when young basketball players aim for even greater repeated sprint abilities, they need to reduce work decrement maintaining the capacity of all sprints. The findings of the present study also showed that our cycling protocol is reliable and has a good capacity to assess physical and physiological parameters of youth basketball players. The main limitation of the study lies in methodology. For players we used cycling instead running, which is their regular exercising activity. Further research can follow up these results by using data collected in game-specific simulated basketball activities (Sampaio, Leser, Baca, Calleja-Gonzalez, Coutinho, Gonçalves, & Leite, 2016) and in formal competitions, using novel player tracking technologies (Scanlan, Fox, Borges, Tucker, & Dalbo, 2016).
Acknowledgments
The authors thank the group of participants and the staff of the Institute of Sport Science for their help with data collection and analysis. Project Symbiotic technology for societal efficiency gains: Deus ex Machina (DEM), NORTE-01-0145-FEDER-000026, co-financed by Fundo Europeu de Desenvolvimento Regional (FEDER) by NORTE 2020.
References
Armstrong, N., Barker, A. R., & McManus, A. M. (2015). Muscle metabolism changes with age and maturation: How do they relate to youth sport performance? British Journal of Sports Medicine, 49(13), 860-4. https://doi.org/10.1136/bjsports-2014-094491
Attene, G.; Pizzolato, F.; Calcagno, G.; Ibba, G., Pinna, M.; Salernitano, G., & Padulo, J. (2014). Sprint vs. intermittent training in young female basketball players. The Journal of Sports Medicine and Physical Fitness, 54(2), 154-161.
Bar-Or, O. (1987). The Wingate anaerobic test, an update on methodology, reliability and validity. Sports Medicine, 4(6), 381-94.
Balsom, P. D.; Seger, J. Y.; Sjödin, B., & Ekblom, B. (1992). Maximal-intensity intermittent exercise: Effect of recovery duration. International Journal of Sports Medicine, 13(7), 528–533. https://doi.org/10.1055/s-2007-1021311
Ben Abdelkrim, N.; El Fazaa, S., & El Ati, J. (2007). Time-motion analysis and physiological data of elite under-19-year-old basketball players during competition. British Journal of Sports Medicine, 41(2), 69-75; discussion 75. https://doi.org/10.1136/bjsm.2006.032318
Billaut, F., & Basset, F. A. (2007). Effect of different recovery patterns on repeated-sprint ability and neuromuscular responses. Journal of Sports Sciences, 25(8), 905–913. https://doi.org/10.1080/02640410600898087
Bishop, D.; Spencer, M.; Duffield, R., & Lawrence, S. (2001). The validity of a repeated sprint ability test. Journal of Science and Medicine in Sport, 4(1), 19–29.
Bishop, D.; Girard, O., & Mendez-Villanueva, A. (2011). Repeated-sprint ability – part II: Recommendations for training. Sports Medicine, 41(9), 741–756.
Bogdanis, G. C.; Nevill, M. E.; Boobis, L. H.; Lakomy, H. K., & Nevill, A. M. (1995). Recovery of power output and muscle metabolites following 30-s of maximal sprint cycling in man. The Journal of Physiology, 482(2), 467-480.
Caprino, D.; Clarke, N. D., & Delextrat, A. (2012). The effect of an official match on repeated sprint ability in junior basketball players. Journal of sports sciences, 30(11), 1165-1173. https://doi.org/10.1080/02640414.2012.695081
Castagna. C.; Manzi, V.; D'Ottavio, S.; Annino, G.; Padua, E., & Bishop, D. (2007). Relation between maximal aerobic power and the ability to repeat sprints in young basketball players. Journal of Strength and Conditioning Research, 21(4), 1172-1176. https://doi.org/10.1519/r-20376.1
Castagna, C.; Abt, G.; Manzi, V.; Annino, G.; Padua, E., & D'ottavio, S. (2008). Effect of recovery mode on repeated sprint ability in young basketball players. Journal of Strength & Conditioning Research, 22(3), 923-929. https://doi.org/10.1519/JSC.0b013e31816a4281
Conte, D.; Favero, T.; Lupo, C.; Francioni, F.; Capranica, L., & Tessitore, A. (2015). Time-motion analysis of Italian elite women's basketball games: individual and team analyses. Journal of Strength and Conditioning Research, 29(12), 144-150. https://doi.org/10.1519/jsc.0000000000000633
Delextrat, A.; Baliqi, F., & Clarke, N. (2013). Repeated sprint ability and stride kinematics are altered following an official match in national-level basketball players. The Journal of Sports Medicine and Physical Fitness, 53(2), 112-118.
Gabbett, T. J. (2010). The development of a test of repeated-sprint ability for elite womenʼs soccer players. Journal of Strength and Conditioning Research, 24(5), 1191–1194. https://doi.org/10.1519/JSC.0b013e3181d1568c
Gaitanos, G. C.; Williams, C.; Boobis, L. H., & Brooks, S. (1993). Human muscle metabolism during intermittent maximal exercise. Journal of Applied Physiology, 75(2), 712–719.
Gómez, M. A.; Jiménez, S.; Navarro, R.; Lago-Penas, C., & Sampaio, J. (2011). Effects of coaches' timeouts on basketball teams' offensive and defensive performances according to momentary differences in score and game period. European Journal of Sport Science, 11(5), 303-308. https://doi.org/10.1080/17461391.2010.512366
Hirvonen, J.; Nummela, A.; Rusko, H.; Rehunen, & Härkönen, M. (1992). Fatigue and changes of ATP, creatine phosphate, and lactate during the 400m sprint. Canadian Journal of Sport Science, 17(2),141-144.
Hopkins, W.; Marshall, S.; Batterham, A., & Hanin, J. (2009). Progressive statistics for studies in sports medicine and exercise science. Medicine+ Science in Sports+ Exercise, 41(1), 3. https://doi.org/10.1249/MSS.0b013e31818cb278
Jones, N. L.; McCartney, N.; Graham, T.; Spriet, L. L.; Kowalchuk, J. M.; Heigenhauser, G. J., & Sutton, J. R. (1985). Muscle performance and metabolism in maximal isokinetic cycling at slow and fast speeds. Journal of Applied Physiology, 59(1), 132-136.
Karatzaferi, C.; de Haan, A.; van Mechelen, W., & Sargeant AJ. (2001). Metabolism changes in single human fibres during brief maximal exercise. Experimental physiology, 86(3), 411-415.
Lloyd, R. S.; Oliver, J. L.; Hughes, M. G., & Williams, C. A. (2011). The influence of chronological age on periods of accelerated adaptation of stretch-shortening cycle performance in pre and postpubescent boys. Journal of Strength & Conditioning Research, 25(7), 1889-1897. https://doi.org/10.1519/JSC.0b013e3181e7faa8
McInnes, S. E.; Carlson, J. S.; Jones, C. J., & McKenna, M. J. (1995). The physiological load imposed on basketball players during competition. Journal of Sports Sciences, 13(5), 387-397. https://doi.org/10.1080/02640419508732254
Mohr, M.; Krustrup, P.; Nielsen, J. J.; Nybo, L.; Rasmussen, M. K.; Juel, C., & Bangsbo, J. (2007). Effect of two different intense training regimens on skeletal muscle ion transport proteins and fatigue development. American Journal of Physiology-Regulatory, Integrative and Comparative Physiology, 292(4), R1594-R1602. https://doi.org/10.1152/ajpregu.00251.2006
Medbø, J. I.; Gramvik, P., & Jebens, E. (1999). Aerobic and anaerobic energy release during 10 and 30 s bicycle sprints. Acta Kinesiologiae Universitatis Tartuensis, 4, 122-146.
Mendez-Villanueva, A.; Hamer, P., & Bishop, D. (2007). Fatigue responses during repeated sprints matched for initial mechanical output. Medicine and Science in Sports and Exercise, 39(12), 2219-2225. https://doi.org/10.1249/mss.0b013e31815669dc
Nalcakan, G. R. (2014). The Effects of Sprint Interval vs. Continuous Endurance Training on Physiological and Metabolic Adaptations in Young Healthy Adults. Journal of Human Kinetics, 44(1), 97-109. https://doi.org/10.2478/hukin-2014-0115
Narazaki, K.; Berg, K.; Stergiou, N., & Chen, B. (2009). Physiological demands of competitive basketball. Scandavian Journal of Medicine and Science in Sports, 19(3), 425-432.
Ozkaya, O. (2014). Paradox in currently available Wingate all-out test indices in milliseconds versus traditionally calculated 5 seconds means. Hacettepe Journal of Sport Sciences, 25(2), 104-107.
Pyne, D. B.; Saunders, P. U.; Montgomery, P. G.; Hewitt, A. J., & Sheehan, K. (2008). Relationships between repeated sprint testing, speed, and endurance. Journal of Strength and Conditioning Research, 22(5), 1633-1637.
Padulo, J.; Tabben, M.; Ardigo, L. P.; Ionel, M.; Popa, C.; Gevat, C.; Zagatto, A. M., & Dello Iacono, A. (2015). Repeated sprint ability related to recovery time in young soccer players. Research in Sports Medicine, 23(4), 412-423. https://doi.org/10.1080/15438627.2015.1076419
Padulo, J.; Bragazzi, N. L.; Nikolaidis, P. T.; Iacono, A. D.; Attene, G.; Pizzolato, F.; Dal Pupo, J.; Zagatto, A. M.; Oggianu, M., & Migliaccio, G. M. (2016). Repeated sprint ability in young basketball players: multi-direction vs. one-change of direction (Part 1). Frontiers in Physiology, 7. https://doi.org/10.3389/fphys.2016.00133
Racinais, S.; Perrey, S.; Denis, R., & Bishop D. (2010). Maximal power, but not fatigability, is greater during repeated sprints performed in the afternoon. Chronobiology International, 27(4), 855-864. https://doi.org/10.3109/07420521003668412
Read, P. J.; Hughes, J.; Stewart, P.; Chavda, S.; Bishop, C.; Edwards, M., & Turner, A. N. (2014). A needs analysis and field-based testing battery for basketball. Strength & Conditioning Journal, 36(3), 13-20.
Ross, A.; Leveritt, M., & Riek S. (2001). Neural influences on sprint running: training adaptations and acute responses. Sports Medicine, 31(6), 409-425.
Ruscello, B.; Tozzo, N.; Briotti, G.; Padua, E.; Ponzetti, F., & D’Ottavio, S. (2013). Influence of the number of trials and the exercise to rest ratio in repeated sprint ability, with changes of direction and orientation. Journal of Strength and Conditioning Research, 27(7), 1904-1919. https://doi.org/10.1519/JSC.0b013e3182736adf
Sahlin, K., & Ren, J. M. (1989). Relationship of contraction capacity to metabolic changes during recovery from a fatiguing contraction. Journal of Applied Physiology, 67(1), 648-654.
Sahlin, K.; Tonkonogi, M., & Soderlund, K. (1998). Energy supply and muscle fatigue in humans. Acta Physiologica Scandinavica, 162(3), 261–266. https://doi.org/10.1046/j.1365-201X.1998.0298f.x
Sampaio, J.; Drinkwater, E. J., & Leite, N. M. (2010). Effects of season period, team quality, and playing time on basketball players' game-related statistics. European Journal of Sport Science, 10(2), 141-149. https://doi.org/10.1080/17461390903311935
Sampaio, J.; Leser, R.; Baca, A.; Calleja-Gonzalez, J.; Coutinho, D.; Gonçalves, B., & Leite, N. (2016). Defensive pressure affects basketball technical actions but not the time-motion variables. Journal of Sport and Health Science, 5(3), 375-380.
Scanlan, A.; Fox, J.; Borges, N.; Tucker, P., & Dalbo V. (2016). Temporal changes in physiological and performance responses across game-specific simulated basketball activity. Journal of Sport and Health Science. Advance online publication. https://doi.org/10.1016/j.jshs.2016.05.002.
Signorile, J. F.; Ingalls, C., & Tremblay, L. M. (1993). The effects of active and passive recovery on short-term, high intensity power output. Canadian Journal of Applied Physiology, 18(1), 31-42.
Soderlund, K., & Hultman E. (1991). ATP and phosphocreatine changes in single human muscle fibers after intense electrical stimulation. The American Journal of Physiology, 261(6 Pt 1), 737-741.
Spencer, M.; Bishop, D.; Dawson, B., & Goodman, C. (2005). Physiological and metabolic responses of repeated-sprint activities: Specific to field-based team sports. Sports Medicine, 35(12), 1025–1044.
Stapff, A. (2000). Protocols for the physiological assessment of basketball players. In C.J. Gore (Ed.) Physiological tests for elite athletes. (pp. 224-237) Champaign: Human Kinetics.
Stojanovic, M. D.; Ostojic, S. M.; Calleja-Gonzalez, J.; Milosevic, Z., & Mikic, M. (2012). Correlation between explosive strength, aerobic power and repeated sprint ability in elite basketball players. The Journal of Sports Medicine and Physical Fitness, 52(4), 375-381.
Supej, M. (2009). Impact of fatigue on the position of the release arm and shoulder girdle over a longer shooting distance for an elite basketball player. The Journal of Strength & Conditioning Research, 23(3), 1029-1036.
Taylor, J.; Macpherson, T.; Spears, I., & Weston, M. (2015). The effects of repeated-sprint training on field-based fitness measures: a meta-analysis of controlled and non-controlled trials. Sports Medicine, 45(6), 881-891. https://doi.org/10.1007/s40279-015-0324-9
Tomlin, D. L., & Wenger H. A. (2001). The relationship between aerobic fitness and recovery from high intensity intermittent exercise. Sports Medicine, 31(1), 1-11.
Author notes