Artículos
Trigo y revolución verde en el noroeste de México (1930-1970)
Wheat and the green revolution in the Northwest of Mexico (1930-1970)
Trigo y revolución verde en el noroeste de México (1930-1970)
Mundo Agrario, vol. 20, núm. 43, 2019
Universidad Nacional de La Plata

Recepción: 03 Agosto 2018
Aprobación: 01 Octubre 2018
Resumen: Nuestro análisis se concentrará en los cambios registrados en el noroeste mexicano desde que la gran irrigación quedó a cargo del Estado. Se pondrá atención en los objetivos que llevaron a montar dichos sistemas de irrigación en el norte (ocupa el 60 % del territorio); en su construcción en el Valle del Yaqui (Sonora), que expandió radicalmente la frontera agrícola del noroeste; en la irrupción de la revolución verde y de su más explosiva expresión: el trigo; y en la herencia institucional de Norman Borlaug.
Palabras clave: Valle del Yaqui, Gran irrigación, Trigo, Revolución verde, México, Siglo XX.
Abstract: This analysis will focus on changes in the Northwest of Mexico since the great irrigation was in charge of the State, with special emphasis in the objectives that led to set up these irrigation systems in the North (covering 60 % of the territory); in its construction in the Yaqui Valley (Sonora), which radically expanded the agricultural frontier; in the irruption of the green revolution and its most explosive expression: the wheat; and the institutional legacy of Norman Borlaug.
Keywords: Yaqui Valley, Great irrigation, Wheat, Green revolution, Mexico.
Introducción
Por medio de lo que podría denominarse una política de Estado, y con el acicate de mercados que se expandían con vigor más allá del río Bravo, un macroproyecto habría de destacar durante décadas en el México posrevolucionario: la edificación de grandes sistemas de irrigación. Con la construcción de múltiples y en ciertos casos enormes distritos de riego, la frontera agrícola logró expandirse en millones de hectáreas durante el siglo XX1. En este trabajo se pondrá especial atención en: a) las políticas y objetivos que pusieron en marcha dichos sistemas de irrigación en el norte del país, espacio multirregional cuya más visible característica es la aridez; b) la construcción de un vasto sistema de irrigación en el Valle del Yaqui (Sonora), que expandió en miles de hectáreas la frontera agrícola del noroeste; c) la irrupción en ese rincón norteño de la llamada revolución verde y de su más explosiva expresión, el trigo, y d) la herencia académica de Norman Borlaug.
La hipótesis operativa sugiere, en primer término, que el gran norte mexicano fue escenario principal de una muy dinámica frontera agrícola, particularmente impulsada a partir de 1925 por cuantiosas inversiones federales en irrigación. Luego se plantea que en ese devenir se fueron combinando factores estratégicos complementarios como la investigación aplicada que, en el caso aquí tratado, generó reconocimiento internacional al ser evaluada como un modelo exportable. Si bien la participación de los sectores productivos y académicos regionales resultó también de notoria importancia (tema tratado con amplitud en otros trabajos), se puede inferir que en ambas vertientes las políticas de Estado resultaron decisivas.
La nueva frontera agrícola
Las instituciones y organismos creados desde 1925 serían fundamentales para el desenvolvimiento socioeconómico del país. Las fundaciones del Banco de México, de la Comisión Nacional de Irrigación y del Banco Nacional de Crédito Agrícola, verbigracia, brindaron aliento y recursos tanto a las grandes obras de infraestructura hidráulica como a la idea paralela de repartir la tierra y el agua entre propietarios medios y pequeños, además de a la simultánea aparición de múltiples actividades empresariales, tanto rurales como urbanas2. Según diversas fuentes y autores, entre 1930 y 1970 se abrieron a la explotación al menos dos millones y medio de hectáreas. Si se suman las que entraron en operación durante la década siguiente, la superficie irrigada “con obras hidráulicas del gobierno federal”, según Esteva (1981, p. 233), se acercaba a las tres millones y medio. Warman, por su lado (2001, p. 127), detalló que alrededor de tres millones de las hectáreas irrigadas se ubicaban “en grandes obras construidas y controladas por el gobierno federal”.
Un protagonista clave de esta política fue el ingeniero Adolfo Orive Alba, quien acompañó al presidente Miguel Alemán Valdés (1946-1952) como titular de la Secretaría de Recursos Hidráulicos. Orive apuntó que a fines de 1958 “se contaba ya con 2.238.810 hectáreas de riego”, y que aun cuando cada presidente había impreso desde 1926 “su propia modalidad”, la obra de irrigación “tuvo una gran continuidad”. Luego mencionaba: “La obra realizada por los gobiernos de 1926 a 1958 ha permitido agregar al acervo agrícola de México (…) una superficie de riego total (ya en explotación) de 2.238.810 hectáreas, entre nuevas y mejoradas” (Orive Alba, 1962, pp.147 y 157). Consecuencia: México había sacado hacia 1955 una amplia ventaja a otros países latinoamericanos.
Según el experto Jacques Chonchol (1957, p. 6), quien recorrió México a mediados de los 50, eran “pocos los países del mundo que puedan señalar en los últimos años un esfuerzo (más considerable) para incrementar la superficie regada… que el que México está haciendo”. En su trabajo, Hewitt (1999, p. 28) indicó que “la proporción del presupuesto agrícola asignada a los grandes proyectos de irrigación en el México posrevolucionario fue cada vez mayor”. Acompañaba su comentario con cifras que confirmaban dos claras tendencias: a) cómo se expandieron las tierras bajo irrigación desde mediados de los 30; b) el alto porcentaje que en esa dinámica asumieron los denominados distritos de riego3.
Por el norte y sus desiertos
La mayoría de las grandes presas se construyó en el norte del país4. La figura 1 brinda la ubicación de los más voluminosos sistemas de riego que se montaron en áreas septentrionales entre 1930 y mediados de los 705. Los proyectos del Estado durante los años 20 y parte de los 30 dependieron, en fuerte medida, de los norteños Álvaro Obregón y Plutarco Elías Calles. Obregón era un muy emprendedor agricultor que operaba entre los ríos Mayo y Yaqui, en pleno desierto sonorense. Calles tenía raíces más urbanas, pero también simbolizaba el perfil de sectores medios regionales a los que las oligarquías porfirianas solían cerrar sus puertas. Hombres de frontera, acostumbrados a convivir con la épica ocupación territorial estadounidense, sus ideas y propuestas incluían combinar renovadas dinámicas productivas con una reforma agraria tipo farmer, para lo cual no sólo había que expropiar a los grandes terratenientes sino que se requería expandir la frontera agrícola, humedecerla, tecnificarla y acotarla con propiedades privadas medianas y pequeñas. Por ello, con oscilaciones y vaivenes, tendieron a la “agriculturización”del desierto, a acentuar la disputa por las aguas fluviales con el vecino país6, y al poblamiento de sus zonas irrigables con una finalidad estratégica: usufructuar la efervescencia capitalista de los Estados Unidos (ya en sus mercados de consumo y productivo, ya como intermediario con otros mercados gracias a su red ferroviaria, su sistema de puertos y su flota comercial).
Y si faltaba algo, el Estado tras la revolución de 1910 necesitaba con urgencia capacidad exportadora. Ante la evidente caída del sector minero apostó a la producción agrícola y a su mercado “natural”: Estados Unidos.
No puede sorprender por lo tanto que el remoto norte pasara a ser desde entonces uno de los espacios de mayor protagonismo sociopolítico, económico y empresarial. Las instituciones gestadas a partir de 1925 fueron decisivas para su desarrollo agropecuario7. La vertiente callista de la reforma agraria y del desarrollo rural, recuperada después de 19408, alentó medidas medulares para: a) la puesta en marcha de numerosas obras hidráulicas; b) abrir al cultivo áreas semiáridas mediante los distritos de riego, y c) propiciar mecanismos de distribución de la tierra entre centenares de propietarios medios y pequeños, urdimbre socioeconómica que gestaría o modificaría, según el caso, las trayectorias productivas regionales (Krauze, 1981, p. 162; Cerutti, 2011a).
Desde otra perspectiva, Samaniego (2006, p. 173) explicó que para mediados del siglo XX la gran hidráulica había “transformado el oeste de Estados Unidos y el norte de México”. ¿Qué había sucedido? Los más recientes avances de la vertiente hidráulica de la ingeniería, con el uso intensivo del acero y del cemento, sostenían tecnológicamente estos gigantescos proyectos que empezaron a generalizarse en ambos países desde los años 309. Un segundo aspecto en que se manifestaban coincidencias consistía en la certeza de que tan cuantiosas inversiones sólo podía enfrentarlas el gobierno federal. Si en el caso estadounidense esta tesitura quedó en evidencia con Franklin Roosevelt, en México fue asumida por casi todos los presidentes que gobernaron entre 1925 y 197010. Dichas inversiones fueron acompañadas por el uso múltiple de los embalses: la generación de hidroelectricidad y la necesidad de poblar áreas casi deshabitadas destacaban en tal sentido. El desierto tendió a agriculturizarse en el suroeste estadounidense y en el norte mexicano porque ofrecía, en esa coyuntura, uno de los cultivos más rentables: el algodón (Rivas Sada, 2011 y 2013). Por ello, no pocos autores han coincidido en que el lejano y rústico norte recibió el grueso de los recursos para la gran irrigación (figura 1, tabla 1).

Los primeros lugares en inversiones fueron ocupados por estados norteños. Si se suman las realizadas en los cinco más beneficiados (Sinaloa, Tamaulipas, Sonora, Baja California y Chihuahua), el total llegó casi al 53 %. Si agregamos Coahuila y Durango, el monto sería mayor al 60 %. La comparación entre cinco estados del norte y otros tanto del centro-sur verifica hacia donde se apuntó antes de 1970: Tabasco, Puebla, Oaxaca, Michoacán y Guanajuato sumaron sólo el 23.77 %.
Los más grandes distritos que se fueron poniendo en funcionamiento generaron llamativos resultados y múltiples demandas. Una de las más significativas, ya señalada, fue la construcción de caminos regionales y vecinales que, a su vez, debían quedar entrelazados con las carreteras troncales en el centro y norte del país, y rumbo a Estados Unidos. Crédito e intermediación financiera, agroindustria, transportes, investigación aplicada, servicios e industria pesada se contaron entre los sectores estimulados. La tabla 2 resume la superficie bajo riego de algunos de esos distritos septentrionales y detalla los cultivos que habrían de prevalecer en sus territorios11.

El Valle del Yaqui y la gran hidráulica
A principios del siglo XX, tal vez el dato más significativo de la historia contemporánea del río Yaqui, de la planicie que baja de la Sierra Madre Occidental y del mismo Valle del Yaqui era el combate entre miembros de las férreas culturas autóctonas y los “civilizadores” de origen mexicano o extranjero, ansiosos por poner suelo y agua bajo el dominio del capital (Lorenzana, 2006, pp.144 y ss.). La resistencia de los grupos vernáculos soportó diferentes ataques entre 1880 y los años 20. Finalmente se vieron obligados a ceder parte de las tierras y del agua al Estado y a los agentes económicos que comenzarían a transformar desde fines del XIX tan áspero paisaje. Se procurará entonces describir los vínculos que se manifestaron entre la construcción de un vasto sistema de irrigación y diversos fenómenos ocurridos entre 1930 y 1970: entre otros, a) la expansión de la frontera agrícola en el sur sonorense; b) la creciente hegemonía del cultivo del trigo, y c) la gestación de un escenario adecuado para la revolución verde12.
Otros autores han narrado la actividad inaugural de la Compañía Constructora Richardson S. A. (CCR), cuyos planes de ocupación del suelo y sus sistemas de irrigación marcaron el futuro del valle13. Sus acciones resultaron lo suficientemente significativas como para que su posterior retirada no frustrara la colonización, la ampliación de la frontera agrícola y la puesta en marcha de importantes proyectos. Aunque generó protestas y no cumplió muchos de sus compromisos14, la CCR alcanzó a fijar mecanismos de asentamiento que sobrevivieron a su salida del Yaqui, cuando en 1928 el Estado se hizo cargo de proseguir lo iniciado. Y ni la reforma agraria lanzada en los 30 por Lázaro Cárdenas, ni la creación de la Irrigadora del Yaqui15, ni la llamativa transformación rural-urbana que habría de transitarse en el valle desde 1940 modificarían aspectos sustanciales de este sistema de ocupación del suelo.
Su dato central era la manzana. Medía 2.000 metros de lado, lo que suponía una superficie de 400 hectáreas. Cada manzana (figura 2), por su lado, estaba dividida en cuarenta lotes de 200 por 500 metros: es decir diez hectáreas de superficie. La ocupación del suelo, la red de riego y la tierra cultivar se desenvolvieron y avanzaron siguiendo este trazado16. Hacia mediados de los 40, cuando estaban ya en funcionamiento la presa La Angostura y el antiguo Canal Principal, el sistema comprendía unas 300 manzanas17. Un cuarto de siglo después, la Secretaría de Recursos Hidráulicos resaltaba los resultados históricos de aquel procedimiento:
Cuando se describe la forma en que fueron distribuidas las tierras, calles, canales y drenes del Valle del Yaqui parece que se estuviese dando una conferencia técnica de Irrigación sobre cómo debe diseñarse un Distrito de Riego. Así de uniforme y regular es nuestro Distrito integrado en un área compacta circunscrita por un perímetro sin solución de continuidad, repartida en una cuadrícula con calles situadas cada dos kilómetros y orientadas astronómicamente de Norte a Sur y de Oriente a Poniente (…) [La] disposición de las vías de agua permite hacer un eficiente suministro (…) de riego y facilita el drenaje superficial y profundo para cada manzana de 400 hectáreas (Distrito, 1969, pp. 3-4).
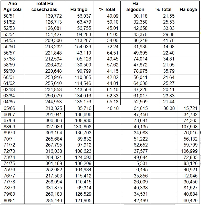
La penetración agrícola bajo el indetenible dominio del capital se expandió en la margen meridional del río a partir de la segunda mitad de los 20. Dentro de este ciclo, dos cultivos habrían de sobresalir: arroz y trigo, que comenzarían a definir no sólo un paisaje rural de larga duración, sino a la vez el carácter agroindustrial de la futura Ciudad Obregón. Entre 1911 y 1932, las hectáreas dedicadas a ambos cultivos los definieron como los principales del Yaqui. Durante los años 20 dichos cultivos llegarían a ocupar más del 80 % del área trabajada.

Si bien en el largo plazo el trigo terminaría definiéndose como el cultivo histórico del Yaqui, el arroz transitó auténticas etapas de auge. Ortega (s/f, pp. 52-55) indicaba a mediados de los 40 que se lo consideraba “el cultivo típico” de la zona. Coadyuvaban en tal sentido “la composición de los suelos, que en su inmensa mayoría son propios para ese cultivo” y “el régimen de escurrimiento del río, ya que la temporada de avenidas más frecuentes coincide con el ciclo de vida de la planta”.
Pero la regulación de las aguas que consumarían las presas La Angostura y El Oviáchic haría desaparecer el arroz. La Angostura se levantó en la parte septentrional de la cuenca. Impulsada inicialmente por el gobierno de Cárdenas, las primeras extracciones regulares se registraron en 1942. Gracias a esta presa la superficie irrigada en el bajo Yaqui alcanzó las 120 mil ha. Pero fue con El Oviáchic que se llegó a la máxima capacidad con riego superficial. Para 1952, un informe técnico18 detallaba que si La Angostura había constituido la segunda etapa en el desarrollo de un gran distrito de riego, la también llamada Álvaro Obregón haría factible “el aprovechamiento del escurrimiento total del río”; tornar realizable la construcción de otro gran canal, el Principal Alto, y llevar la superficie de riego “sin deficiencias” a 220 mil hectáreas. Por ello se la estaba edificando en la boquilla del Oviáchic, 40 kilómetros al norte de Ciudad Obregón, junto con la otra gran obra del proyecto, el Canal Principal Alto, al occidente. Con todo ello se agregarían más de cien mil hectáreas de riego, hasta alcanzar las 220 mil. El Yaqui sería, por lo tanto, “el núcleo de tierras agrícolas más importante de nuestro país”19.
Trigo, Bourlag y la revolución
Borlaug, bisnieto de noruegos, por el Yaqui
Más allá de ciertas coyunturas o altibajos sociopolíticos, derivados de la naturaleza, de las políticas públicas o de los impredecibles mercados, el trigo logró imponerse como el cultivo preponderante del siglo XX en estas cálidas tierras. Las superficies cultivadas y cosechadas entre 1940 y 1955 verifican que la “disputa” entre arroz y trigo quedó cancelada al comenzar los 5020. El impacto territorial y agroindustrial del trigo habría de delinear tanto el aprovechamiento del sistema de irrigación como el devenir económico y empresarial regional.
Su posición quedó fortalecida cuando los valles costeros de Sonora, con el Valle del Yaqui en primer término, fueron elegidos para poner en práctica un nuevo proyecto –la luego denominada revolución verde–, que elevó de manera drástica los rendimientos. Aunque existen serias discrepancias sobre las consecuencias sociales y ecológicas de estos cambios en el largo plazo, en general se coincide en tres aspectos: a) que la revolución verdeincluyó un “paquete tecnológico” que irrumpió en México durante los años 50, en especial en el noroeste; b) que combinaba de manera eficaz mecanización, semillas mejoradas, fertilizantes, insecticidas y otros insumos derivados de la segunda revolución tecnológico-científica21; c) que ello se tornó factible gracias a la construcción previa de monumentales distritos de riego, ya que, sin ese escalón, no hubiese sido posible su aplicación22.
El actor más reconocido de esta experiencia (aunque no el único) fue Norman Ernest Borlaug23, un bisnieto de noruegos nacido en Estados Unidos, hijo y nieto de agricultores y doctorado en fitopatología. Borlaug llegó a México en 1944 patrocinado gracias a un programa delineado por la Secretaría de Agricultura y la Fundación Rockefeller. Dicha fundación había emprendido labores desde 1942 para aumentar la productividad de la agricultura mexicana. Según Ortoll24, los objetivos que procuraban los científicos de Rockefeller Foundation (quienes habrían de trabajar con expertos mexicanos agrupados en la Escuela Nacional de Agricultura, en Chapingo) eran: a) abatir las “fronteras agriculturales”, nacionales e internacionales25; b) que las nuevas semillas “resistieran con más fuerza las plagas y enfermedades vegetales que las variedades locales” a reemplazar; c) que con aquellas semillas “se incrementara la producción agrícola en porcentajes elevados”; d) que al aceptarse y adaptarse nuevos cultivos (soya, sorgo), se los hiciera rotar y, con ello, se “enriquecieran los suelos y acrecentaran su capacidad para retener agua” (Ortoll, 2003, p. 82).
Los científicos que antecedieron a Borlaug habían reconocido que entre “los problemas más agudos (de) México se encontraba el mejoramiento del manejo de suelos y las prácticas de labranza”. Se requería “introducir, seleccionar o propagar variedades de cultivo mejor adaptadas, de rendimiento superior y de mejor calidad”, y existía la necesidad de “controlar plagas y enfermedades” (Ortoll, 2003, pp. 82-86). De acuerdo con Ortoll se trataba nada más –y nada menos– que del “primer experimento agrícola de la Fundación (Rockefeller) en el mundo”. En su entender, los profundos cambios que se generaron entre mediados de los 40 y fines de los años 60 detonaron “quizá la más importante revolución de transferencia de tecnología agrícola en la historia moderna”.
La propuesta del Estado federal y de la Fundación Rockefeller, y la decisión de aplicarla en el Yaqui resultó ampliamente apoyada por el gobierno de Sonora y numerosos productores locales. Y fue ese marco institucional (nacional y regional) el que recibió a Borlaug al aterrizar en el proscenio de sus más resonantes logros en investigación aplicada: el Valle del Yaqui. Una de sus ocupaciones perentorias fue el control de las plagas que solían destruir los trigales. Más aún, cuando comenzó su trabajo, “las autoridades tenían poca fe en el potencial de [los] suelos para la producción de trigo. Se suponía que México carecía del suelo y del clima adecuados para este cultivo”. Pese a ello, se planteó convertir la economía vernácula en autoabastecida y “en el menor tiempo posible”26.
México, su trigo y el Yaqui, según Bourlag
En su conferencia de Oslo, tras recibir el Premio Nobel de la Paz27, el propio Borlaug reseñó parte de sus experiencias. Un resumen de su exposición (parcialmente comentado por nosotros) puede ayudar a valorar lo que la revolución verde estaba desatando en suelos mexicanos, en especial en el semidesértico y costero valle del río Yaqui. Dijo Borlaug:
La revolución verde [no fue] un golpe de suerte ni un accidente de la naturaleza. Su éxito se basó en la investigación agrícola relevante y bien fundamentada.
En México se fincó [su] cimiento: dos décadas de investigación dinámica sobre [el] trigo que no solamente capacitó a este país para lograr su autosuficiencia, sino que también abrió la ruta para conseguir rápidos aumentos de producción en otras naciones.
Fue en México donde las variedades enanas se formaron y se mejoraron. Fue también allí donde se determinó y estructuró la nueva tecnología de producción que permite a estas variedades, cuando se les cultiva apropiadamente, expresar su alto potencial genético de rendimiento.
[Constituyeron] las variedades enanas mexicanas de trigo (…) el catalizador que impulsó la revolución verde. Y lo que hizo que los trigos enanos mexicanos fuesen un poderoso catalizador de esta revolución fue su extraordinaria habilidad de adaptación combinada con un alto potencial genético de rendimiento, una notable eficiencia en el uso de altas dosis de fertilizantes y un amplio espectro de resistencia a las enfermedades.
El rápido aumento de la producción de trigo no se basó sólo en las variedades enanas: también involucró la transferencia [desde] México a Paquistán y a la India de una nueva tecnología de producción que hizo posible que estas variedades exhibieran en el campo su alto potencial de rendimiento
La experimentación con trigos enanos mexicanos se inició en la India y en Paquistán en 1963 y continuó en 1964. Los resultados fueron tan promisorios que, en 1965, Paquistán e India importaron 350 y 250 toneladas de semilla, respectivamente. [Como] se obtuvieron notables resultados, la India decidió importar 18.000 toneladas de semilla en 1966. Un año después, Paquistán importo 42.00028.
Es importante remarcar, con cierto énfasis, estas apreciaciones y las cifras citadas. Para Borlaug y para muchos de quienes lo acompañaban en aquel momento, el desarrollo científico, los avances en biotecnología y la investigación que se aplicaba en regiones específicas del México de los años 40 y 50 arrojaron resultados muy significativos. Si eso se había logrado, el paso siguiente era (y fue) llevar a otras latitudes los instrumentos experimentados y utilizados en el árido México durante veinte años. Así, desde espacios como el Valle del Yaqui se había podido transferir la tecnología desarrollada hacia países como la India y Paquistán (con enormes poblaciones necesitadas de alimentos). La adaptación de las nuevas especies, sus rendimientos y su resistencia a las plagas estaban fundados, eso sí, “en el uso de una alta dosis de fertilizantes”, es decir, de los luego censurados agroquímicos. Sigue Bourlag:
Tan importante como la transferencia de la nueva semilla y de la nueva tecnología fue la introducción de una estrategia en las campañas de producción. [Ella] acompañó el alto potencial de rendimiento de las nuevas semillas y de la nueva tecnología [con] una política gubernamental que aseguró al agricultor un precio adecuado por su grano, la disponibilidad de los insumos necesarios –semillas, fertilizantes, insecticidas, herbicidas y maquinaria– y el crédito para adquirirlos. En conjunto, los insumos y la estrategia formaron la base a partir de la cual se desarrolló la revolución verde
El rápido incremento de la producción de trigo en India y Paquistán fue posible en parte gracias a dos décadas de investigación en México. En esa época (1943-44, MC), México importaba más del 50 % del trigo que consumía y una considerable proporción de su maíz. Los rendimientos de trigo eran bajos y estáticos, con un promedio nacional de 750 kg/ha.
La necesidad requería un remedio urgente, así que se inició un programa sencillo de investigación orientado a aumentar la producción. He tenido el privilegio y la buena fortuna de estar asociado con el programa casi desde el principio, y de haber permanecido con él durante los últimos 26 años. Desde que comenzó el programa se estudiaron todos los factores que limitaban la producción de trigo. Por consiguiente, hubo investigaciones interdisciplinarias sobre genética y fitomejoramiento, agronomía, fertilidad del suelo, fitopatología y entomología. Más tarde se añadieron química de cereales y bioquímica.
Borlaug resaltó en su alocución lo decisiva que había resultado, asimismo, “una estrategia en las campañas de producción”. O sea, una política de Estado que aseguraba al agricultor desde precios remuneradores hasta el crédito para adquirir los múltiples insumos (y servicios, agregamos) que requería este sector para alcanzar crecientes niveles de productividad. Con más de un cuarto de siglo de experiencia, el premio Nobel no dejaba de recordar que, en un inicio, lo que emprendían no era mucho más que “un programa sencillo de investigación orientado a aumentar la producción”. Y tras recordar la importancia que supuso la extensión en este proceso, no dejó de advertir que el programa de México se había convertido en un modelo:
A medida que la investigación hacia posible la [aparición] de nuevas variedades, de recomendación de fertilizantes y de prácticas culturales, se incorporaban a los programas de producción y se llevaban a los agricultores para que las aplicaran. Los investigadores fueron a la vez extensionistas prácticos. Ellos mismos organizaban demostraciones en los predios de los agricultores. De hecho, la revolución triguera en ese país tuvo lugar antes que se organizara un servicio de extensión agrícola.
Los rendimientos unitarios de trigo en México comenzaron a acrecentarse a partir de 1948. Durante los últimos 26 años el rendimiento medio nacional aumentó de 750 kg/ha a 3.000 kg/ha, según los datos de la cosecha del ciclo pasado (1969, MC). En el mismo periodo, la producción total aumentó siete veces. México se autoabasteció de trigo por primera vez en 1956.
La distribución de los trigos enanos se inició en México en 1961. Con ellos, los mejores agricultores pudieron cosechar 5, 6, 7 y aún 8 toneladas o más por ha. En un periodo de siete años se duplico el rendimiento medio nacional. Estos mismos trigos enanos mexicanos fueron precisamente la punta de lanza de la revolución verde en la India y Pakistán (…) El programa de México se convirtió en un modelo (Borlaug, 1972).
En síntesis, y según narró tan conspicuo protagonista29, el éxito de la ya llamada revolución verde se había basado en la “investigación agrícola relevante, bien fundamentada”. Desde México se había transferido no sólo la tecnología: con ella circularon también los procedimientos de una política gubernamental, que fueron otro pilar del proyecto. Esas, a la par de la gran irrigación, habrían sido las bases de tan verde revolución.
Auge triguero, predominio estatal y nacional
Mientras Sonora se consolidaba como la zona triguera “más importante de México” (Dabdoud, 1964, p. 379), la radical expansión de su sistema de riego30 y los impactos de la revolución verde llevaron en el año agrícola 1954/1955 a superar en el Yaqui las cien mil hectáreas. La tabla 3 indica que entre 1954 y 1981 sólo en cinco ocasiones se cosecharon menos de cien mil hectáreas de trigo. A pesar que la superficie irrigada aumentaba de manera visible, en nueve ocasiones se levantó trigo por encima del 50 % del área, y hubo algún caso en que se desbordó el 70 %.
Sembrar trigo en más de cien o ciento veinte mil hectáreas se tornaría, por lo tanto, algo habitual desde mediados de los 5031. Esta expansión fue acompañada por paulatinos pero firmes aumentos de productividad, fenómeno que se contaría entre los más espectaculares frutos de la revolución verde.

La tabla 4 y la figura 3 detallan los saltos en la productividad mostrados entre 1950 y principios de los 80: en el año 1955/56 se rebasó las dos toneladas; ocho años más tarde se pasaría de las tres; siete ciclos después se llegaría a las cuatro, y para mitad de los 70, a casi 5.2 toneladas por hectárea32. Sumadas hectáreas más productividad, la producción en el distrito de riego 041 pasaría de algo más de 70 mil toneladas en 1950/51, a más de medio millón al arribar los 80, con las oscilaciones de costumbre.


Hacia finales del período analizado (1974-1981), el distrito cosechó entre el 45 y el 51 % del total en Sonora, principal productor de México. En cuanto a hectáreas cosechadas, las mismas habían oscilado entre el 45 y el 46% de las contabilizadas en el Estado. Y respecto al total mexicano, lo más destacable es que en los cerca de treinta años apuntados en la tabla 5 el Yaqui aportó el 30 % o más en trece ocasiones, y sólo en una oportunidad cosechó menos del 20 % 33. El resto osciló entre el 2033 (1980-81) y el 29.58 % (1959-60).

La herencia de Borlaug
Importa resumir ahora la paulatina aparición en el Valle del Yaqui de un racimo de instituciones dedicado a la investigación agropecuaria, sobre el recurso agua y/o a problemas socioambientales. Las dos primeras nacieron a mediados de los 50 y, como otras que se agregaron años más tarde, continúan operando tanto en el ámbito de la investigación aplicada como en el de la formación de recursos humanos.
Centro de Investigaciones Agrícolas del Noroeste (CIANO, actual CIRNO)
Con seguridad, la más relevante en términos históricos es el Centro de Investigaciones Agrícolas del Noroeste (CIANO)34, que a partir de 1955 se constituyó en uno de los pioneros en el México norteño en cuanto a vinculación entre Estado, investigación científica y sectores productivos. El CIANO35, donde trabajó Borlaug, fue componente ilustre de una red de centros de investigación montada por una política acentuada desde los años 40. Fue sustento vertebral de la enorme transformación productiva que se desató en el sur de Sonora y su aportación más importante a la agricultura del noroeste –según lo han remarcado destacados actores socioeconómicos de la región– la constituyó “la tecnología de producción que ha generado para el cultivo del trigo”. Con el “objetivo principal de identificar y resolver, mediante la ciencia y la tecnología, los problemas de la producción agrícola regional”, fue instalado “en un terreno de cien ha (…) auspiciado y patrocinado por agricultores sonorenses, con la participación del gobierno federal” (Vargas Martínez, 2004, p. 219).
El predio fue adquirido gracias al aporte de organizaciones de productores, de empresas e instituciones –entre las que sobresalían la Unión de Crédito Agrícola de Cajeme, la Unión de Crédito Agrícola del Yaqui, el Banco Nacional de Crédito Ejidal, el Banco Nacional de Crédito Agrícola y Ganadero, la multinacional Anderson Clayton, la Unión de Crédito Agrícola e Industrial del Noroeste–, e involucró un listado de 35 firmas. Asentadas en Ciudad Obregón y alrededores, dichas sociedades aportaron más de medio millón de pesos de la época36. Según otro autor local (Anaya, 2004, pp. 83-84), el CIANO nació a mediados de los cincuenta “cuando un grupo de agricultores se reunió alrededor de Norman E. Borlaug para proyectar la creación de un centro de investigaciones”. Respaldo político decisivo fue el exgobernador y productor Rodolfo Elías Calles (hijo del expresidente entre 1924 y 1928), quien entonces era alcalde de Ciudad Obregón. “Con la creación del CIANO en 1955 –manifiesta Anaya– empieza a conformarse una vigorosa comunidad científica compuesta por ingenieros agrónomos y especialistas de las diferentes áreas relacionadas con la agricultura”37.
En 1969 se pusieron a su disposición otras 240 ha “para experimentos”. Sus estudios se expandieron hacia el resto del estado de Sonora y a Baja California. Llegó a operar durante el último cuarto del siglo XX una red de seis campos experimentales, e influyó sobre más de un millón y medio de hectáreas bajo cultivo. En el CIANO se indagaba inicialmente, también, sobre maíz, frijol, algodón, sorgo, ajonjolí y hortalizas. Durante las décadas de los 60 y 70 extendió sus programas a la soya, cártamo, garbanzo, cebada, forrajes, frutales y vid38.
El actual CIRNO sigue enfocado “a desarrollar proyectos para fomentar la productividad del sector agropecuario”, además de promover “la adopción de tecnología, la formación de recursos humanos y ofrecer servicios de calidad a los productores, académicos, estudiantes, técnicos, empresas y público interesado”39. Su área de influencia comprende Sonora, Sinaloa, Baja California y Baja California Sur, donde están ubicados los campos: Norman E. Borlaug (CENEB, Sonora, 56 años de fundado), Costa de Hermosillo (Sonora, 44 años), Valle de Culiacán (Sinaloa, 56 años de fundado), Valle del Fuerte (Sinaloa, 50 años), Valle de Mexicali (Baja California, 55 años), y Todos Santos (Baja California Sur, 40 años).
El campo Borlaug trabaja en el mejoramiento de cultivos que han ocupado las más extensas áreas de siembra: además del trigo incluye cártamo, soya, maíz, algodonero. Además, opera en el control de plagas y enfermedades; en el desarrollo de tecnología para reducir costos en la producción de cultivos básicos e industriales, y en la reconversión productiva con frutales (cítricos y nogal). En años recientes emprendió estudios sobre biocombustibles con sorgo dulce y remolacha azucarera, y otros sobre comportamiento de cultivos ante el cambio climático40. Pero el trigo seguía siendo en la segunda década del siglo XXI uno de sus temas principales. En el 2011 se difundió el trabajo Agronomía del trigo en el sur de Sonora. En su prólogo, el ingeniero Rodolfo Elías Rodríguez Flores41 asumía que aunque “numerosas especies se adaptan a las condiciones del suelo y clima del Valle del Yaqui”, la mayoría “no prevalece con una superficie estable”. El trigo, en cambio, “se ha mantenido por mucho tiempo como eje de la economía regional a pesar de los esfuerzos por impulsar la reconversión agrícola de la región”. El trigo ha sido y es “el cultivo más estudiado”, y de allí la necesidad de reconocer que el Campo Borlaug ha realizado “una excelente labor” con las recomendaciones “más actualizadas en el manejo agronómico del cultivo”.
Instituto Tecnológico de Sonora (ITSON)
Por detrás del antiguo CIANO emprendió su camino el Instituto Tecnológico de Sonora (ITSON), que inauguró estudios de grado en la década de los 60 y luego de denominarse Instituto Tecnológico del Noroeste. Su punto de arranque se remite a julio de 1955, época en que el crecimiento económico del municipio de Cajeme “demandaba con urgencia la formación de capital humano que apuntalara la formación de nuevas empresas y la llegada de (más) instituciones públicas y privadas” (Anaya Mexía et al., 2015, p. 5). Según se menciona en Trascendieron, a mediados de los 50 “el optimismo ondeaba como bandera” en la región:
La bonanza económica generada por la agricultura parecía una veta inagotable [y] apenas explorada, con promesas aún no descubiertas y realidades al alcance de la mano. Dos años atrás había sido inaugurada la presa “Álvaro Obregón”, el riego agrícola se expandió en la superficie del Valle del Yaqui. Grandes fortunas se amasaban con las cosechas, aunque también algunas se perdieron en una mala temporada de algodón (Anaya Mexía et al., 2015, p.10).
Y de inmediato, la mención inevitable: en 1955 había sido fundado el CIANO, “que puso al Valle del Yaqui en el mapa de la agricultura mundial”. Bajo el liderazgo de Borlaug, sigue el texto, “surgió una comunidad científica” a la que se integraron no pocos actores locales. Aunque todo parecía promisorio, empero, había “un enorme hueco incrustado en el centro de esa imagen de prosperidad”: el bajo nivel educativo de la ciudad. Como el contraste era evidente, el crecimiento económico y poblacional “demandaba un nivel educativo más alto” (Anaya Mexía et al., 2015, p.12).
Cuando promediaba la década de los 60, y con la apertura de la carrera de Ingeniería Industrial, el ITSON apuntó hacia la educación superior. Su última generación de preparatorianos terminó en 1976, cuando abrió la licenciatura en Administración e inició su transformación “como organismo de tipo universitario”. Su cartera de carreras se fue ampliando y en septiembre de 1976 le fue concedida la autonomía universitaria42. En un contexto de notoria dinámica, desde fines de los años 80, su dirección de investigación comenzó a impulsar diversos proyectos, entre los que ya se contaban “los principales efectos ambientales de la agricultura bajo riego en el valle del Yaqui, y en particular sobre la calidad del agua” (Cámara Durán, 1994, p. 60). Una muestra de las tesis de grado y posgrado defendidas entre 1990 y 2012, revisadas en diversas visitas al ITSON, permitió inferir los ejes principales de los programas de investigación que el instituto fue definiendo con el devenir de los años, en general muy relacionados con necesidades, problemas o proyectos regionales.
En septiembre del 2017 el ITSON agrupaba alrededor de 16 mil alumnos, con 24 carreras, trece programas de maestría y tres de doctorado, distribuidos en sus seis campus43, en los que forma cuadros para administración, análisis e investigación de asuntos hidráulicos, ambientales y productivos de la región y de su entorno. Entre las líneas actuales de investigación pueden citarse procesos biotecnológicos: ambiente, alimentos y salud; extracción y aplicación de metabolitos de interés agroindustrial; salud animal y epidemiología; calidad e inocuidad de alimentos de origen animal; desarrollo de tecnologías para biosistemas acuáticos; efectos sobre la nutrición y cultivo del camarón; biotecnología en la producción agrícola; fisiología genética en bovinos; fisiología genética en porcinos; gestión del agua y economía ambiental; microbiología agrícola; aprovechamientos de residuos acuícolas; desalinización; biotecnología agrícola; biotecnología ambiental; agricultura orgánica; y plantaciones forestales (Vales García, 2017, pp. 229 y ss.).
Centro Regional Universitario del Noroeste (CRUNO)
Instancia de la Universidad Autónoma Chapingo44 con más de tres décadas “de experiencia en trabajos de investigación vinculada al sector primario”, fue establecida en 1981. De manera inicial funcionó en la población de Cocorit, pero luego fue trasladada a Ciudad Obregón. Su proyecto fundacional incluía el vasto espacio ocupado por Sinaloa, Sonora, Baja California y Baja California Sur, pero sus actividades se han circunscrito con mayor énfasis al sur de Sonora y el norte de Sinaloa, al cual denomina “de influencia inmediata”. “La complejidad y diversidad de actividades agropecuarias y rurales, se señala, ha exigido que los proyectos de investigación, servicio y capacitación se articulen para procurar atender la problemática regional”. En tal sentido se han delimitado zonas de acuerdo con los siguientes criterios: a) condiciones del medio natural como elemento diferenciador; b) sistemas de producción dentro de cada zona; c) nivel de desarrollo de las tecnologías empleadas por los productores primarios, y d) complejidad y logros alcanzados por las organizaciones de productores. Sobre la base de esos criterios, CRUNO ha identificado las siguientes áreas geográfico-productivas: a) los valles del Yaqui y Mayo; b) las comunidades yaquis; d) la Sierra, donde predomina la ganadería extensiva y, en parte, la agricultura de temporal; e) el área de riego por bombeo de Guaymas-Empalme; f) el Sistema Hidráulico Integrado del Noroeste (SHINO).
Entre sus objetivos principales se cuenta, claro está, la investigación agropecuaria. Involucran a la vez la formación, capacitación y actualización de recursos humanos bajo “un enfoque racional y sostenible de los recursos naturales”. Participa por ello en actividades de docencia de la Universidad Autónoma Chapingo, entre las que figuran la carrera de Ingeniería en Agricultura Sostenible y la maestría en Gestión del Desarrollo Rural. Este centro regional ha impulsado asimismo la opción Agricultura Empresarial45.
Instituto Tecnológico Superior de Cajeme (ITESCA)
El Instituto Tecnológico Superior de Cajeme fue creado en 1996 para realizar “tareas de docencia, investigación y promoción de la cultura”. Menos de un año después iniciaba actividades con 217 alumnos y tres licenciaturas: Ingeniería en Sistemas Computacionales, Ingeniería Mecánica y Arquitectura. A comienzos del siglo XXI la investigación empezó a ser uno de los pilares del Instituto, una “actividad sustantiva”. En enero del 2003 definieron sus “ejes prioritarios” con la creación de los centros de Capacitación, Desarrollo y Transferencia Tecnológica; de Tecnología Avanzada; de Docencia Superior y Artes; en Marketing y Desarrollo Urbano, y en Desarrollo Empresarial, Calidad y Productividad. Dos años más tarde fue puesta en marcha una de sus carreras más vinculadas a problemas urgentes del medio: la de Ingeniería Ambiental46.
Desde el 2003 ITESCA publica Entorno Académico, dedicada a difundir resultados de investigación tanto de autores locales como externos a Sonora y México. Un rápido pero detallado repaso a los números editados entre abril del 2003 y junio de 2017 verificó títulos y contenidos específicamente vinculados a la temática de este trabajo. La cuestión ambiental, sumamente grave en el Yaqui, ha sido un objeto de estudio prioritario en el ITESCA. Un ejemplo de ello fue el Tercer Congreso Internacional de Ingeniería Ambiental, celebrado bajo su organización en Guaymas, Sonora, en marzo del 201647. Al presentar el número de Entorno Académico, difundido por ese motivo, el director del ITESCA, Gabriel Baldenebro Patrón, alertaba: el aumento constante de la población humana “ha provocado una excesiva demanda y presión sobre los recursos naturales, lo que ha estimulado modificaciones importantes en el medio ambiente”. De allí la necesidad de “buscar alternativas de solución que reduzcan y mitiguen los efectos negativos” que se han ocasionado.
Breve comentario final
Tres serían los procesos y/o fenómenos que merecen ser resaltados al cerrar este trabajo: a) la trascendencia en el largo plazo de las políticas de gran irrigación en México, que desde el gobierno federal se proyectaron con énfasis hacia los territorios norteños; b) la consecuente construcción en el Valle del Yaqui de un enorme distrito de riego, auténtico escenario de la agriculturización de suelos semiáridos; y c) la hegemonía histórica del trigo en el valle, y sus llamativos vínculos con la investigación aplicada y con la revoluciónverde.
El Estado posterior a la guerra civil puso en marcha y sustentó en el largo plazo un gigantesco programa de irrigación, el que habría de modificar radicalmente numerosas regiones del árido norte limítrofe con Estados Unidos: una política que se mantuvo durante más de medio siglo, y que no tuvo parangón en los territorios que descienden desde el río Bravo hasta la Tierra del Fuego. Ese programa se combinó paulatina y parcialmente con la reforma agraria, de la que surgirían mecanismos de redistribución de la tierra en el Yaqui,que, en verdad, no resultaron muy distintos a lo que diseñó en 1909 la californiana Richardson.
Pero también emergieron otros proyectos desde ese estado consolidado hacia los años 40. Aunque sin la espectacularidad socioeconómica (y arquitectónica) de los distritos de riego, el incentivo a la investigación en materia agrícola sobresalió entre ellos. El Valle del Yaqui, su trigo y quienes lograron adaptarse a las transformaciones derivadas de las nuevas instituciones (reforma agraria incluida) estuvieron en el corazón de la revolución verde: un proceso, como dijo Borlaug, sustentado en la investigación sistemática y acompañado del paquete tecnológico característico de la –ahora– muy discutida agricultura comercial (fertilizantes, plaguicidas, riego, mecanización, inversiones and so).
Bibliografía
Aboites Aguilar, L. (2013). El norte entre algodones. Población, trabajo agrícola y optimismo en México (1930-1970). México DF: El Colegio de México.
Anaya Mexía, S. (2004). Retrospectiva de Cajeme. Ciudad Obregón: Ayuntamiento de Cajeme/DESCOS.
Anaya Mexía, S., Osorio Altuzar, F., Gil Gálvez, T., Moncada Ochoa, C., y Estrella Acedo, E. (2015). Trascendieron. Edición especial por el 60 aniversario del ITSON. Ciudad Obregón: Instituto Tecnológico de Sonora.
Appendini, K. (1988). El papel de la agricultura en el desarrollo nacional: una reflexión sobre la agricultura de la frontera norte. Cuadernos de Trabajo. Tijuana: El Colegio de la Frontera Norte.
Arvizu R., Z., y Laird, R. J. (1958). Fertilización del trigo en el Valle del Yaqui. México DF: Secretaría de Agricultura y Ganadería (Folleto técnico 26, febrero).
Azpeitia Gómez, H. (1972). Compañía Exportadora e Importadora Mexicana, S.A. (1949-1958). Conflicto y abasto alimentario. México DF: CIESAS.
Beck, F. H. (1977). La agroindustria en el noroeste de México. Cómo controla la agroindustria la producción de verduras en el noroeste de México. Problemas del Desarrollo, VIII(31), 99-135.
Benassini, A. (1952). Distrito de Riego del Río Yaqui. Presa “Álvaro Obregón”. México DF: Secretaría de Recursos Hidráulicos.
Borlaug, N. E. (1972). La revolución verde, paz y humanidad. México DF: Centro Internacional de Mejoramiento de Maíz y Trigo, Serie Reimpresos y Traducciones.
Cámara Durán, O. A. (1994). Impacto de la agricultura bajo riego sobre localidad del agua: el caso del valle del Yaqui. Ingeniería Hidráulica, IX(3), 57-71.
Cerutti, M. (2008). Crisis y reconversión del tejido productivo en un espacio regional del norte de México: La Laguna (1875-1975). Investigaciones de historia económica, 10, 97-128.
Cerutti, M. (2011a). El noroeste agrícola hacia 1950. La nueva trayectoria del desarrollo regional. En J. A. Gómez Estrada y A. Almaraz (coords.), Inversiones, colonización y desarrollo económico en el noroeste de México, 1870-1940 (pp. 289-330). Tijuana: El Colegio de la Frontera Norte/Universidad Autónoma de Baja California.
Cerutti, M. (2011b). Agricultura, tejidos productivos y dinámica empresarial en el norte de México (1925-1965). Revista de la Historia de la Economía y de la Empresa, 5, 25-54.
Cerutti, M. (2011c). Tierras en Irrigación, tejido productivo y empresariado en el Yaqui (1925-1965). En C. Sheridan y M. Cerutti (coords.), Usos y desusos del agua en cuencas del norte de México (pp.181-218). México DF: CIESAS.
Cerutti, M. (2016). La Comarca Lagunera (1920-1955). Dinámica histórica de un tejido productivo en el norte de México. En A. Carrillo Rojas y E. Rivas Sada (coords.), Agricultura empresarial en el norte de México (siglo XX). Actores y trayectoria de la economía regional (pp. 53-108). México DF: Plaza y Valdés/Asociación de Historia Económica del Norte de México.
Cerutti, M. (2018). La agricultura empresarial en el norte de México. Contribuciones recientes al estudio de sus economías regionales. Ponencia presentada en el II Congreso Internacional “Transiciones en la agricultura y la sociedad rural”, Santiago de Compostela.
Cerutti, M., y Almaraz, A. (coords.) (2013). Algodón en el norte de México (1920-1970). Impactos regionales de un cultivo estratégico. Tijuana: El Colegio de la Frontera Norte.
Chonchol, J. (1957). Los distritos de riego del noroeste. Tenencia y aprovechamiento de la tierra. México DF: Instituto Mexicano de Investigaciones Económicas
Dabdoud, C. (1964). Historia de El Valle del Yaqui. Hermosillo: Gobierno del Estado de Sonora (edición facsimilar, 1995).
Distrito de Riego 41. Rio Yaqui (1969). El Valle del Yaqui. México DF: Secretaría de Recursos Hidráulicos/Gerencia General en el estado de Sonora.
Esteva, G. (1981). La batalla del México rural. México DF: Siglo XXI Editores.
Fujigaki Cruz, E. (2001). Modernización agrícola y revolución. Haciendas y compañías agrícolas de irrigación del norte de México, 1910-1929. México DF: Universidad Nacional Autónoma de México.
Gómez Morín, M. (1928). El crédito agrícola en México. México DF: Biblioteca Mexicana de Clásicos Financieros (edición facsimilar, 1991).
Hansen, R. D. (1979). La política del desarrollo mexicano. México DF: Siglo XXI Editores.
Hernández Hernández, L. (2006). La red de trigo del valle del Yaqui: estrategia de comercialización (Tesis de maestría), El Colegio de la Frontera Norte, Tijuana, México.
Hewitt de Alcántara, C. (1999). La modernización de la agricultura mexicana, 1940-1970. México DF: Siglo XXI Editores.
Historia General de Sonora (1985). Tomo V. Hermosillo: Gobierno del Estado de Sonora.
Krauze, E., Meyer, J., y Reyes, C. (1981). La reconstrucción económica.En Historia de la revolución mexicana, Vol. 10. México DF: El Colegio de México.
Lorenzana Durán, G. (2006). El avance de la frontera agrícola en el sur de Sonora, (1890-1941). En A. Carrillo Rojas y M. Cerutti (coords.), Agricultura comercial, empresa y desarrollo regional en el noroeste de México (pp. 143-163). Culiacán: Universidad Autónoma de Sinaloa/Universidad Autónoma de Nuevo León.
Lioanes, A. (1972). Discurso de presentación al Nobel de la Paz de 1970. En N. Borlaug, La revolución verde, paz y humanidad (pp. 3-8). México DF: Centro Internacional de Mejoramiento de Maíz y Trigo. Serie Reimpresos y Traducciones.
Madrid Escobedo, R. (1966). Estudios preliminares sobre el combate químico de maleza en el cultivo del maíz en el valle del Yaqui, Sonora. (Tesis de licenciatura), Escuela Nacional de Agricultura, Chapingo.
Martínez Huerta, R. (2002). La nueva actividad agrícola y la horticultura sinaloense. En López Leiva, S., Rosales Inzunza, S., Espinoza, J.A., y Martínez Huerta, R. Los sistemas regionales de innovación. Un acercamiento al caso de Sinaloa (pp. 283-359). Culiacán: varios editores.
México. 75 años de Revolución (1988) Tomo 2. México DF: Fondo de Cultura Económica.
Muñoz Rodríguez, M. Santoyo Cortés, H., y Altamirano Cárdenas, J.R. (2002). Mercados e instituciones financieras rurales. Una nueva arquitectura financiera rural en México. Chapingo: Universidad Autónoma de Chapingo.
Okada, I. (2000). El impacto de la revolución mexicana: la Compañía Constructora Richardson en el Valle del Yaqui (1905-1928). Historia Mexicana, L(1), 91-144.
Olmedo Vázquez, V. (2006). El impacto del seguro agrícola en la competitividad de cultivo del trigo en el valle del Yaqui (Tesis de maestría), El Colegio de la Frontera Norte, Tijuana, México.
Orive Alba, A. (1962). La política de irrigación en México. México DF: Fondo de Cultura Económica.
Ortega Leite, O. (s/f). Datos de la explotación agrícola del valle del Yaqui, Sonora. Ciudad Obregón: Irrigadora del Yaqui SA.
Ortoll, S. (2003). Orígenes de un proyecto agrícola: la Fundación Rockefeller y la revolución verde. Sociedades rurales, producción y medio ambiente. 4(1), 81-96.
Pellicer de Brody, O., y Mancilla, E. L. (1988). El entendimiento con los Estados Unidos y la gestación del desarrollo estabilizador (1952-1960). México DF: El Colegio de México.
Pichardo González, B. (2006). La revolución verde en México. Agraria, 4, 40-68.
Ramírez, R. R. (1992). Cambio tecnológico, régimen de cultivos y ocupación en la agricultura sonorenses, 1960-1990. En Memoria del XVII Simposio de Antropología e Historia (pp. 297-316). Hermosillo: Universidad de Sonora.
Ramírez, J. C. (1990). La nueva división económica. Revista de El Colegio de Sonora, II(2), 52-74.
Riemann, A. (1940). Memoria del distrito de riego de El Yaqui. México DF: Comisión Nacional de Irrigación.
Rivas Sada, E. (2011). Cambio tecnológico, dinámica regional y reconversión productiva en el norte de México. La Comarca Lagunera (1925-1975) (Tesis de doctorado), Universidad Complutense de Madrid, Madrid, España.
Rivas Sada, E. (2013). Competitividad de la Comarca Lagunera (1920-1960). Productividad, calidad y desempeño en los mercados. En M. Cerutti y A. Almaraz (coords.), Algodón en el norte de México. Impactos regionales de un cultivo estratégico (pp. 73-138). Tijuana: El Colegio de la Frontera Norte.
Robles, R. (1988). Estructura de la producción y cultivos, 1950-1960. En J. Moguel (coord.), La época de oro y el principio de la crisis de la agricultura mexicana, 1950-1970 (pp.13-83). Historia de la cuestión agraria mexicana, vol.7. México DF: Siglo XXI Editores/Centro de Estudios Históricos del Agrarismo Mexicano.
Samaniego López, M. A. (2006). Ríos internacionales entre México y Estados Unidos. Los tratados de 1906 y 1944. México DF: El Colegio de México/Universidad Autónoma de Baja California.
Serrano-Bosquett, F. J. (2015). La Fundación Rockefeller y la modernización de la agricultura científica mexicana. Working paper
Silos-Alvarado, J. S. (1966). The Yaqui Valley of Sonora, México. Its Agricultural Development, Resource Utilization and Economic Potential (Tesis de doctorado) Cornell University, Ithaca.
Solís, L. (1971). La realidad económica mexicana. Retrovisión y perspectivas. México DF: Siglo XXI Editores.
Tapia, M. (1995) Cuando el desierto florece. Ciudad Obregón: s/e.
Vales García, J. J. (2017). 2° Informe general de actividades (2016-2017). Ciudad Obregón: Instituto Tecnológico de Sonora.
Vargas Martínez, J. (2003). Los depredadores. Testimonio de la expropiación agraria en el Valle del Yaqui en 1975-76. Ciudad Obregón: s/e.
Vargas Martínez, A. (2004). El valle del río Yaqui y su sistema de riego. Guadalajara: s/e.
Villa Ibarra, M., Flores Suárez, E., Badii Zabech, M.,Brito Zurita, O., González Enríquez, R., y Herrera Andrade, H. (2006). Apuntes sobre los plaguicidas. Un análisis de las características, usos, impactos y situación en el Valle del Yaqui. Ciudad Obregón: Instituto Tecnológico Superior de Cajeme.
Yúnez Naude, A. (2010). Las transformaciones del campo y el papel de las políticas públicas, 1929-2008. En S. Kuntz Ficker (coord.), Historia económica general de México. De la colonia a nuestros días (pp.729-756). México DF: El Colegio de México/Secretaría de Economía.
Warman, A. (2001). El campo mexicano en el siglo XX. México DF: Fondo de Cultura Económica.
Archivos y centros de documentación
Archivo General del Estado de Sonora (AGES, Hermosillo)
Archivo de Notarias del Estado de Sonora (ANES, Hermosillo)
Registro Público de la Propiedad y el Comercio de Ciudad Obregón (RPPCCO)
Biblioteca Pública Municipal de Ciudad Obregón
Biblioteca del Instituto Tecnológico de Sonora (ITSON, Ciudad Obregón)
Archivo Histórico del Agua (AHA, Ciudad de México)
Biblioteca del Banco de México (BBMx, Ciudad de México)
Biblioteca y Centro de Documentación de la Secretaría de Agricultura, Ganadería, Desarrollo Rural, Pesca y Alimentación (SAGARPA, Ciudad de México)
Páginas web de:
Centro de Investigaciones Regionales del Noroeste “Norman E. Borlaug” (CIRNO).
Instituto Tecnológico de Sonora (ITSON)
Universidad Autónoma de Chapingo
Centro Regional Universitario del Noroeste (CRUNO)
Instituto Tecnológico Superior de Cajeme (ITESCA)
Notas