Resumen: Este trabajo presenta una simulación numérica haciendo uso de un esquema de submodelación MEF para el estudio de la respuesta global de una unión cilíndrica soldada en T soportada en sus extremos principales, y sometida a una carga en su extremo libre. Dicha unión posee una grieta semielíptica al pie de la soldadura. La respuesta de la unión soldada ha sido evaluada de acuerdo a la medición de desplazamiento de línea de aplicación de la carga en el extremo libre, campo de deformaciones en torno a la unión soldada y desplazamiento de apertura de la grieta, comparando los resultados obtenidos con datos experimentales disponibles en la literatura como método de validación.
Palabras Clave: Apertura de la boca de la grietaApertura de la boca de la grieta,Deformación de zona críticaDeformación de zona crítica,Método de Elementos FinitosMétodo de Elementos Finitos,SubmodelaciónSubmodelación,Unión en TUnión en T.
Abstract: This work presents a numerical simulation using MEF submodeling scheme to study overall response of a tubular welded T supported at its principal ends and subjected to a load at its free end. This welded joint has a semi-elliptical crack at the toe of the weld in the saddle region. The response of the welded joint has been evaluated according to the measurement displacement line of the applied load at the free end, the strain field around the weld and the crack opening displacement. To validate the obtained results, these were compared with experimental data available in the literature.
Keywords: Crack mouth opening displacement, critical zone strain, Finite Element Method, Submodeling, T joint.
Artículo de investigación
Simulación numérica de la presencia de una grieta cercana a la soldadura de una unión tubular en T
Numerical simulation of the presence of a crack close to the welding of a tubular T joint
Recepción: 24 Marzo 2016
Aprobación: 21 Marzo 2017
Las uniones soldadas en T son elementos muy utilizados en el diseño de estructuras y debido a su naturaleza de unión rígida, diversos factores fomentan el desarrollo de grietas cerca de las soldaduras, pudiendo comprometer en gran medida la integridad de las estructuras. Debido a su criticidad, el estudio de uniones soldadas es un tema abordado ampliamente, por lo que se ha llegado a desarrollar diferentes métodos para estimar la vida de estas uniones. Con los avances tecnológicos de las últimas décadas, el desarrollo de modelos computacionales tridimensionales basados en métodos numéricos se ha vuelto una herramienta de gran importancia, principalmente debido a sus bajos costos de implementation, versatilidad y confiabilidad en los resultados.
Uno de los métodos numéricos más empleados en la modelación computacional es el Método de Elementos Finitos (MEF) [1], el cual ha sido utilizado en el estudio de uniones soldadas en T bajo el espectro de la mecánica de fractura clásica asociado a la determinación de conceptos como el Factor de intensidad de esfuerzo [2], Desplazamiento de Apertura de Fisuras (COD) [3] e Integral J [4], entre otros. Desde el punto de vista de la mecánica de medios continuos, los estudios realizados en los distintos tipos de unión soldada permiten hallar formas de asegurar la convergencia de los resultados numéricos obtenidos según el tipo de malla que se desee emplear; mallas gruesas para la modelación de componentes completos o mallas finas para pequeñas porciones de estos. La selección del tipo de malla en el modelo depende de la geometría y de la respuesta de esfuerzos en el componente mecánico.
En las uniones soldadas se han definido las zonas que concentran en mayor medida los esfuerzos, producto de solicitaciones mecánicas, y que en consecuencia desarrollan fisuras o grietas. El Instituto Internacional de Soldadura o IIW (International Institute of Welding) ha clasificado las diferentes zonas críticas de acuerdo al tipo de unión, así: Tipo A o Soldadura ubicada en la superficie de la placa y Tipo B o Soldadura ubicada en un borde de la placa. Dado que la zona crítica se ubica al pie de la soldadura, esta se denomina esfuerzo de zona crítica al esfuerzo estructural en dicho punto [5].
En la Fig. 1 se muestra la distribución de esfuerzos totales a través del espesor del material base de la unión soldada. Se advierte que a medida que disminuye la distancia a la unión, los esfuerzos incrementan mostrando una tendencia no lineal, observándose picos debido a la presencia de la soldadura y los defectos presentes. La norma ISO6520-1 [6], que clasifica los defectos producidos durante el proceso de soldadura y sus principales causas, destaca que los principales factores que contribuyen a la formación de grietas son: 1) la intensidad de corriente inadecuada, 2) el ángulo o distancia incorrecta del electrodo y 3) la baja velocidad de avance. Aun cuando seguir un correcto procedimiento de soldadura permite disminuir la probabilidad de formación de grietas [7], esto no queda garantizado ya que no es posible eliminar los esfuerzos residuales en su totalidad, incluso aún después de la aplicación de tratamientos térmicos [8],[9]. En los modelos realizados mediante el MEF no se consideran los picos de esfuerzo resultantes por la presencia de soldadura y los defectos de los procesos de fabricación, por lo que se requiere incluirlos a través de técnicas especiales, tales como los métodos de extrapolación [5],[10]-[13].

Como se puede observar en la Fig. 1, los efectos no-lineales en el campo de esfuerzos desaparecen casi por completo al alcanzar una distancia al borde de la soldadura de un 40% del espesor de la placa base de la unión. Fuera de esta zona el campo de esfuerzos muestra un comportamiento linealmente decreciente respecto de la distancia al borde del cordón de soldadura. Teniendo esto en cuenta, los métodos de extrapolación consideran puntos de referencia, a partir de los cuales es posible extrapolar el tramo de comportamiento lineal, y de esta forma aproximar el esfuerzo (o deformación) de la zona crítica en el entorno más cercano al borde de la unión soldada [5].
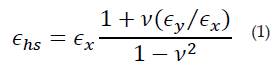
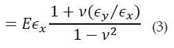
El International Institute of Welding (IIW) entrega recomendaciones para realizar dicha extrapolación [2], tanto para campos de esfuerzo (o deformación) obtenidos mediante mediciones experimentales usando galgas de deformación como para métodos numéricos como el MEF. Para el caso de extrapolación lineal se emplea la formulación de 2 puntos, mientras que para el caso de extrapolación cuadrática se aplica la formulación de 3 puntos. Asimismo, en el caso de condición de biaxialidad, en el entorno de la zona crítica, el IIW recomienda realizar correcciones a estos valores utilizando los esfuerzos principales en ambas direcciones, asumiendo que estos se encuentran tanto en dirección perpendicular (eje-x) como paralela (eje-y) a la dirección del borde del cordón de soldadura. Acorde con esta recomendación, para una condición de biaxialidad en la superficie se puede obtener la deformación de la zona crítica a través de la Ecuación 1, mientras que el esfuerzo se obtiene a partir de la Ecuación 2.



Donde E corresponde al Módulo de Young, ex y ey representan la deformación en dirección circunferencial y axial respectivamente y v representa el módulo de Poisson.
Asimismo, el IIW realiza distintas recomendaciones para determinar la combinación óptima del tamaño de malla y tipo de elementos que permita obtener resultados confiables para el cálculo de esfuerzos en la zona crítica mediante el FEM [10],[14]-[17], según la malla que se utilice (gruesa o fina). Lee et al. [2] han evaluado distintas recomendaciones para mallados MEF, comparando estos resultados computacionales con valores experimentales obtenidos en ensayos controlados.
Este trabajo presenta una submodelación MEF para el estudio de la respuesta global de una unión cilíndrica soldada en T, la cual presenta una grieta semielíptica en su pie. La respuesta de la unión soldada está en función del desplazamiento de línea de aplicación de la carga en el extremo libre, el campo de deformaciones en torno a la unión soldada y el desplazamiento de apertura de la grieta. Los resultados obtenidos se validarán con los datos experimentales disponibles en la literatura. De esta manera, se presenta una alternativa numérica para el estudio de la respuesta en uniones soldadas ante la presencia de una grieta, con potencialidad para ser extendido a diferentes geometrías y condiciones de carga.
El modelo de estudio considera una unión cilíndrica soldada en T, soportada en sus extremos principales y sometida a una carga P en su extremo libre. Dicha unión posee una grieta semielíptica al pie de la soldadura. Esta grieta ha sido dispuesta de manera que el semieje mayor de la elipse que define la punta de la grieta se encuentre en la superficie exterior del cuerpo principal de la unión, y el semieje menor se encuentre orientado hacia el centro de la tubería, asegurando que el plano de la grieta esté contenido al interior del espesor de la tubería principal (según se muestra en las Figs. 2 y 3). Las dimensiones físicas del modelo, como también de la grieta, corresponden a las utilizadas en estudios realizados sobre diferentes metodologías para la predicción del comportamiento en uniones soldadas [18]-[23], las cuales se resumen en la Tabla 1 y se ilustran en la Fig. 4.



El material utilizado en la modelación corresponde a un acero fabricado mediante un proceso termomecánico controlado (o TMCP por su sigla en inglés) con un límite de fluencia de 450 MPa, similar al utilizado por Zerbst et al. [18], el cual, luego de ser deformado, ha sido sometido a un proceso de soldadura y posteriormente a un tratamiento térmico para la liberación de tensiones residuales. A diferencia del material utilizado por Zerbst et al. [18], para esta modelación se asumirá un acero TMCP con 5% de deformación en frío, el cual es un material homogéneo, por lo que no es necesario considerar dentro del modelo constitutivo condiciones como anisotropía o la relación esfuerzo-deformación diferenciada a lo largo del espesor para el cuerpo principal, como se hizo en las probetas utilizadas para los ensayos de laboratorio.
En la simulación numérica se ha utilizado un modelo constitutivo de plasticidad con endurecimiento isotrópico multilineal. La curva de tensión-deformación de la Fig. 5 corresponde a un acero TMCP con un 5% de deformación en frío, cuyo módulo elástico es E = 210 GPa y su módulo de Poisson es v = 0,3 [18].

B. Parámetros de malla
Los parámetros de malla utilizados en el modelo completo y en los dos submodelos generados se resumen en la Tabla 2.

En las Figs. 6, 7 y 8 se muestran los mallados para el modelo de la unión soldada completa utilizados en el submodelo sin grieta y en el submodelo con grieta, respectivamente.



C. Condiciones de contorno y carga
Para las condiciones de contorno del modelo completo se ha prescrito un desplazamiento en la dirección del eje vertical, y se ha generado un apoyo en ambos extremos restringiendo el desplazamiento en dirección vertical, mientras que para el contorno de ambos submodelos (con y sin grieta) se han importado los desplazamientos del contorno del submodelo al modelo completo, para cada uno de los pasos de cálculo. La carga es una fuerza P de aplicación remota en dirección vertical, monotónica y ascendente sobre el extremo libre de la unión soldada, en forma análoga a la condición utilizada por Zerbst et al. [18] (ver Fig. 4).
Una vez resuelto el modelo numérico, los resultados son enviados a un postprocesamiento para realizar el contraste con los resultados experimentales de Zerbst et al. [18]. Estos resultados contrastados son detallados a continuación.
A. Desplazamiento de la línea de carga
Los resultados obtenidos para el desplazamiento de la línea de aplicación de la carga en el extremo libre de la unión soldada se muestran en la Fig. 9, donde se comparan con los resultados experimentales de Zerbst et al. [18].

En la Fig. 9 se puede observar cómo los valores obtenidos para la curva de carga-desplazamiento del extremo libre son menores a los disponibles en literatura para la zona de comportamiento lineal. En cuanto a la zona de comportamiento no-lineal del material, con valores de desplazamiento mayores a 15 mm, se tiene que los resultados obtenidos son capaces de ajustar y predecir con precisión el comportamiento de las probetas reales, observándose diferencias cercanas al 12% respecto de los valores experimentales de Zerbst et al. [18].
B. Deformación de zona crítica
Se han registrado los resultados para seis diferentes cargas en el extremo libre de la unión en T para obtener la deformación en la zona crítica. La medición de dicha deformación se realiza empleando la distancia al borde de la soldadura x de acuerdo a lo indicado en las Figs. 10 (a)-(b). En las Figs. 11 (a)-(e) se muestran los resultados obtenidos para cada carga en contraste con valores obtenidos experimentalmente por Zerbst et al. [18].

Como aspecto general en las Figs. 11 (a)-(e) se puede apreciar que en todos los casos, los resultados obtenidos muestran una curva decreciente monotónica para la distancia al borde del cordón de soldadura. En todos los casos considerados se han observado comportamientos similares en los que, para una primera zona más cercana al cordón de soldadura, los valores de referencia superan en magnitud a los entregados por el modelo MEF, y luego en una segunda zona, más alejada del cordón de soldadura los resultados del modelo MEF son superiores a los valores de referencia. Adicionalmente, todas las curvas de deformación en la zona crítica muestran un comportamiento lineal con coeficientes de correlación lineal en promedio de 0,99. Este comportamiento lineal decreciente es consistente con los presentados anteriormente en la Sección 2.

En los ensayos de laboratorio realizados por Zerbst et al. [18], las mediciones para deformación en las probetas fueron realizadas utilizando galgas de deformación para medir en dirección circunferencial sobre la superficie del cuerpo de la unión soldada. Por esta razón, en dichos ensayos se ha obviado la corrección de los valores de deformación debido a la condición de biaxialidad presente en la zona. En el modelo MEF, en cambio, estas correcciones han sido consideradas, y al observar la Ecuación 1 esto se ha de traducir en un incremento de los valores respecto de los resultados obtenidos al obviar esta condición. Teniendo esto en cuenta, es razonable esperar que los resultados obtenidos mediante la modelación MEF sean mayores a los exhibidos en ensayos de laboratorio. Lo anterior se acentúa si se considera que el material utilizado en el modelo MEF no tiene en cuenta la anisotropía y la relación tensión-deformación diferenciada para el cuerpo principal a lo largo del espesor , como en los experimentos de Zerbst et al. [18].
C. Apertura de la boca de la grieta (CMOD)
El desplazamiento de apertura de la boca de la grieta (CMOD) ha sido medido en el modelo MEF mediante el mismo método utilizado por Zerbst et al. [18], correspondiente al CMOD-Ô3, por lo que se ha medido la separación entre dos puntos ubicados a una distancia de 3 mm en forma equidistante a partir del borde del plano de separación en el punto central de la grieta. Los resultados obtenidos para el CMOD en función de la carga aplicada en el extremo libre de la unión soldada se muestran en la Fig. 12, donde también se incluyen los valores experimentales.

En este trabajo se ha abordado la utilización de la técnica de submodelación MEF para analizar el efecto en la respuesta global de una unión soldada en T, bajo la presencia de una grieta semielíptica superficial en la cercanía de la soldadura. Los resultados obtenidos mediante la técnica de submodelación MEF son ligeramente conservadores. Esto es válido tanto para apertura de la boca de la grieta y deformación de zona crítica, para distancias al borde de la soldadura, superiores al 40% del espesor de la placa, donde no se observan efectos no lineales remanentes del proceso de soldadura. En el caso del desplazamiento de la línea de aplicación de la carga, los valores calculados son inferiores a los medidos en laboratorio. La utilización de elementos de segundo orden en la generación de las mallas para los diferentes modelos utilizados en esta investigación, permite asegurar en un mayor grado la convergencia de los resultados a la solución del problema planteado. La técnica de submodelación constituye una ventaja comparativa respecto de otras técnicas, como lo es la modelación de componentes completos o el uso de planos de simetría para la optimización de recursos computacionales, ya que conjuga la respuesta global obtenida de modelos con malla de tipo gruesa con la precisión local de modelos de malla fina.
Correspondencia: Luis Pérez Pozo. Avenida España 1680, Departamento de Ingeniería Mecánica, Universidad Técnica Federico Santa María, Valparaíso-Chile. Teléfono: +56 32 2654162.












