Revisión
Mejoramiento genético del perfil de ácidos grasos del aceite de maíz
Mejoramiento genético del perfil de ácidos grasos del aceite de maíz
RIA. Revista de Investigaciones Agropecuarias, vol. 45, núm. 2, pp. 159-181, 2019
Instituto Nacional de Tecnología Agropecuaria
Recepción: 24 Agosto 2017
Aprobación: 15 Enero 2018
Publicación: 09 Octubre 2019
Resumen: El aceite de maíz es un subproducto de la industria de molienda seca y húmeda, apreciado por su calidad nutricional. Los ácidos grasos saturados incrementan los niveles de colesterol total, mientras que los ácidos insaturados, como el ácido oleico, disminuyen los niveles sanguíneos de colesterol LDL (colesterol “malo”) y aumentan los de colesterol HDL (colesterol “bueno”). El objetivo general consistió en desarrollar y mejorar poblaciones de maíz por mayor contenido relativo de ácido oleico en el aceite, mediante selección recurrente fenotípica. A fin de evaluar la respuesta a la selección, se compararon los promedios de composición relativa de ácidos grasos de los granos de espigas S1 en tres ciclos consecutivos de selección. El método de selección aplicado fue efectivo para elevar el porcentaje de ácido oleico. A su vez, a partir de un panel de líneas elite de maíz desarrolladas por INTA Pergamino, se realizó la caracterización fenotípica, con el fin de determinar la variabilidad genética y heredabilidad para la composición acídica del aceite. El análisis de los componentes de varianza estimados permitió concluir que el componente genotípico fue el que contribuyó con la mayor parte a la variabilidad fenotípica. Las altas heredabilidades encontradas nos permitieron indicar una elevada confiabilidad del fenotipado llevado a cabo para la búsqueda de asociaciones con marcadores moleculares.Teniendo en cuenta la clasificación de los ácidos grasos según grupos heteróticos pudo detectarse una alta diversidad entre grupos, y un mayor contenido de oleico en el germoplasma de origen argentino comparado con el americano. Se realizaron también tres estudios a nivel molecular. El primero consistió en la búsqueda de marcadores moleculares asociados a la composición relativa de ácidos grasos a partir de poblaciones biparentales producto del cruzamiento de dos líneas contrastantes. El segundo estudio consistió en determinar cambios en la frecuencia de marcadores entre ciclos de selección recurrente de una población de maíz para incremento del porcentaje relativo de ácido oleico. En el tercer estudio se evaluó la utilización de marcadores en la conversión de líneas elite de maíz a versiones alto oleico. Se detectaron QTLs para contenido diferencial de ácido oleico y linoleico en el cromosoma 6, resultado que coincidió con lo hallado a través de las variaciones en las frecuencias alélicas a lo largo de los ciclos de selección evaluados. Por último, se pudo observar una fuerte asociación entre el contenido relativo de ácido oleico y los marcadores moleculares analizados en plantas provenientes de las líneas LP29 y LP214, a las cuales se les está incorporando el carácter alto oleico mediante cruzamientos y retrocruzamientos. Se señala, de esta forma, la relevancia de utilización de estos marcadores en programas de selección asistida para maíz alto oleico.
Palabras clave: calidad de aceite, ácido oleico, marcadores moleculares.
Abstract: Maize oil is a co-product of the dry and wet milling industry, highly appreciated for its nutritional quality. Saturated fatty acids increase levels of total cholesterol, while unsaturated acids such as oleic acid, decrease blood levels of LDL-cholesterol (“bad” cholesterol) and increase HDL-cholesterol (“good” cholesterol). The general objective was to develop and improve maize populations for greater relative content of oleic acid in the embryo, through phenotypic recurrent selection. In order to evaluate the response to selection, the averages of relative fatty acid composition of S1 ear kernels were compared across three consecutive cycles of selection. The method of selection applied was effective to increase the percentage of oleic acid. In addition, a panel of elite maize inbred lines developed by INTA Pergamino, was evaluated in order to determine the genetic variability and heritability of the acidic composition of oil, for future mapping association studies. The analysis of the estimated components of variance allowed us to conclude that the genotypic component contributed most to the phenotypic variability. The high values of heritability obtained indicated a strong reliability of the phenotyping carried out for the search of associations with molecular markers. Given the classification of fatty acids according to heterotic groups, a high diversity between groups was detected, and a greater oleic acid content in the germplasm of Argentine origin compared with the American. Furthermore, three studies at the molecular level were performed. The first consisted in the search of molecular markers, SSR, associated with the relative composition of fatty acids from populations resulting of the crossing of two contrasting lines. In the second study, we determined changes in the frequency of SSR between cycles of recurrent selection of a maize population to increase the relative percentage of oleic acid. In the third study, we evaluated the use of molecular markers in the conversion of elite maize lines to high oleic versions. QTLs for differential oleic and linoleic acid content were detected on chromosome 6, a result consistent with those obtained through variations in allele frequencies over the cycles of selection evaluated. A strong association was also found between the relative content of oleic acid and the molecular markers analyzed in plants from lines LP29 and LP214, to which the high oleic character is being incorporated by means of crossings and backcrosses. The relevance of use of these markers in assisted selection programs for high oleic maize is thus indicated.
Keywords: oil quality, oleic acid, molecular markers.
INTRODUCCIÓN
El maíz (Zea mays L.) es uno de los principales cultivos a nivel mundial, de origen americano. Pertenece a la familia de las Poáceas (Gramíneas), tribu Maydeas, es la única especie cultivada de este género y una de las más productivas. Fue el primer cereal en ser sometido a rápidas e importantes transformaciones tecnológicas en su forma de cultivo. Se adaptó a ser cultivado en una amplia diversidad de ambientes, a diferencia de muchos otros (Paliwal, 2001).
El maíz es una planta diclina monoica, con las flores masculinas y femeninas dispuestas en inflorescencias separadas y de diferente forma. La inflorescencia femenina es una espiga que crece a partir de yemas axilares de las hojas y la inflorescencia masculina se desarrolla en el extremo terminal de la planta. Es una planta alógama, con bajo porcentaje de autofecundación y polinización anemófila.
La ubicación separada de la inflorescencia masculina y femenina facilita la producción de semilla híbrida, y consecuentemente la explotación de la heterosis o vigor híbrido. Presenta un genoma diploide y una dotación de 32.000 genes distribuidos en 10 pares de cromosomas (2n=2x=20), lo que supera los aproximadamente 20.000 genes humanos ordenados en 23 pares de cromosomas. La longitud del genoma de maíz completo (2.300 millones de pares de bases) es similar a la del humano (2.900 millones de pares de bases) (Schnable et al., 2009; Wei et al., 2009). A pesar de su gran tamaño, la estructura de su genoma presenta de un 60 a un 80% de ADN repetitivo (Arumuganathan y Earle, 1991).
El maíz es una especie única por la gran diversidad genética que le confiere un amplio rango de adaptación ambiental, resistencia a estreses bióticos y abióticos, y especialmente múltiples usos industriales y alimentarios.
Características del grano de maíz y su industrialización
El grano de maíz está constituido por cuatro estructuras principales: pericarpio o cáscara, germen o embrión, endosperma y pedicelo. El pericarpio posee un elevado contenido de fibra cruda, aproximadamente el 87%; constituida fundamentalmente por hemicelulosa y celulosa. El germen se caracteriza por un elevado contenido de grasas, proteínas y minerales. El endosperma posee un alto contenido de almidón, 87% y aproximadamente un 8% de proteínas. El pedicelo está compuesto principalmente de celulosa y hemicelulosa, entre otros carbohidratos complejos (Álvarez, 2006).
La industrialización del maíz es una de las actividades agroindustriales que genera mayor valor agregado, puesto que permite obtener gran número de productos que se consumen en forma directa o son insumos de otras industrias. Comprende dos procesos tecnológicamente diferentes: la molienda húmeda y la molienda seca. Las industrias de las moliendas utilizan como materia prima básica el grano de maíz entero y a lo largo de ambos procesos industriales se van separando los diversos componentes del grano. Cada una de ellas permite obtener distintos productos (Álvarez, 2006).
El proceso de molienda seca se basa en una completa separación de las distintas partes que componen al grano de maíz, produciendo la máxima cantidad de endosperma como trozos discretos, removiendo tanto como sea posible el germen y pericarpio para dar un producto de baja grasa y baja fibra; recuperando la mayor proporción posible de germen como trozos grandes y limpios. Esta molienda prefiere el maíz colorado duro por los mayores rendimientos en “grits” de tamaño adecuado a diferentes aplicaciones (cervecería, snack, extrusión, etc.) y por la coloración anaranjada, preferida para los “grits” destinados a la preparación de polenta (Robutti, 2004).
El proceso de la molienda húmeda permite separar en un medio acuoso los distintos componentes del grano: carbohidratos, proteínas y lípidos. Para esto, antes de ingresar al molino, se somete el grano de maíz a un proceso de maceración con agua sulfurada caliente para que el grano se ablande, los trozos blandos pasan luego a los molinos y separadores donde el germen es separado y se extrae de este el aceite de maíz. Los componentes restantes del grano (almidón, gluten y fibras) se muelen y pasan nuevamente por separadores donde se retira la fibra, se separa el almidón y el gluten. Luego se lava y se seca el almidón, que puede ser usado como tal o ser convertido en edulcorantes, bioproductos o etanol (Álvarez, 2006).
Según un estudio realizado por la Fundación Mediterránea, en Argentina seis plantas están destinadas a la molienda húmeda, las que producen dextrosa, glucosa, almidón, fructosa y derivados como el aceite de maíz. Estas alcanzan a procesar en conjunto más de 3.000 toneladas diarias de maíz. Las exportaciones del sector llegaron en 2009 a las 120 mil toneladas, con ingresos de alrededor de 60 millones de dólares. El aceite de maíz fue el producto más representativo, ya que aportó el 41% del monto total de las exportaciones. Le siguen, tanto en cantidades como en valor, el almidón, la glucosa y la fructosa (IERAL, 2011).
El aceite de maíz
El mercado alimentario mundial, desde hace algunos años, comenzó a demandar productos diferenciados de mayor calidad para diferentes fines. En el segmento de los aceites vegetales que se producen en la Argentina, son muy importantes los de girasol y de soja en los mercados oleaginosos nacional e internacional. Si bien el maíz participa en menor medida en el mercado de aceites (debido a que es un subproducto), este es muy aceptado y apreciado por su sabor suave, elevado punto de humo, alto porcentaje de triglicéridos (98% en el aceite refinado), alto contenido de ácidos grasos insaturados, además de tocoferoles (vitamina E) con propiedades antioxidantes (Eyhérabide et al., 2005). El perfil acídico del aceite de maíz hace que este sea adecuado para fritura cuando resulta lo suficientemente económico en países de alta producción como EE. UU. o Argentina.
La competitividad del aceite de maíz en los mercados justifica modificaciones en su composición que permitan abrir nuevas aplicaciones para la alimentación y el uso industrial (Dunlap et al., 1995). Dada su importancia en la nutrición humana, los ácidos grasos que reciben mayor atención son el palmítico (16:0), el esteárico (18:0), el oleico (18:1), el linoleico (18:2) y el linolénico (18:3). La composición típica de un aceite de maíz es: palmítico (11%), esteárico (2%), oleico (24,1%), linoleico (61,9%), linolénico (0,7%). En menor proporción (<1%) contiene otros ácidos grasos como láurico (12:0), mirístico (14:0), palmitoleico (16:1), araquidónico (20:0) y erúcico (22:1) (Lambert, 2001). Una característica importante de los aceites de maíz es su elevado nivel de ácidos grasos insaturados (18:1 y 18:2) y sus bajos niveles de ácidos grasos saturados (16:0 y 18:0) (Weber, 1987). A pesar de su alto contenido en ácidos grasos poliinsaturados, el aceite de maíz es estable dado que posee escaso porcentaje del ácido graso inestable 18:3 y niveles relativamente altos de antioxidantes naturales (Weber, 1983).
Características de los ácidos grasos
Estructura. Los ácidos grasos poseen en su estructura largas cadenas hidrocarbonadas (4 a 24 átomos de carbono) con un grupo metilo (CH3-) en un extremo y un grupo ácido carboxílico (COOH-) en el otro.
Ácidos grasos saturados . Los ácidos grasos saturados contienen únicamente enlaces sencillos entre los carbonos y tienen la fórmula general CH3 (CH2)n-COOH. Están unidos a las cadenas carbonadas el número máximo de átomos de hidrógeno que estas pueden llevar, haciéndolos muy estables. Los enlaces sencillos entre dos átomos de carbono (C-C) pueden girar libremente. Por consiguiente, la molécula del ácido graso es extremadamente móvil y las cadenas carbonadas de los ácidos grasos pueden disponerse en líneas rectas y ocupar menos espacio. Por esta razón, las grasas con un gran número de ácidos grasos saturados son sólidas a temperatura ambiente. Por lo que respecta a su uso, esto significa que pueden soportar altas temperaturas y se pueden conservar durante largo tiempo (Velásquez, 2006).
Ácidos grasos insaturados . Contienen al menos uno o más dobles enlaces entre los carbonos. Los ácidos grasos monoinsaturados contienen un solo doble enlace y el ejemplo más común es el ácido oleico. Los ácidos grasos poliinsaturados linoleico y linolénico contienen dos y tres dobles enlaces, respectivamente. Generalmente los ácidos grasos insaturados son líquidos a temperatura ambiente y tienen puntos de fusión bajos. Cuantos más dobles enlaces haya, más insaturados y reactivos son los ácidos grasos.
Isomería. Los ácidos grasos cis son ácidos grasos insaturados que poseen los grupos semejantes o idénticos (generalmente grupo –H) en el mismo lado de un doble enlace. Los ácidos grasos con dobles enlaces cis no son cadenas rectas, sino que poseen un “codo” en el punto donde está el doble enlace.
Los ácidos grasos trans son isómeros donde los grupos –H se disponen uno a cada lado del doble enlace, son de cadenas rectilíneas. Los dobles enlaces cis son mucho más comunes en los seres vivos que los trans. (Griguol et al., 2007). Los ácidos grasos trans son un tipo de ácido graso insaturado que se encuentra principalmente en alimentos industrializados que han sido sometidos a hidrogenación (Ortega, 2013).
Síntesis de ácidos grasos
La síntesis de los ácidos grasos se produce en el plastidio y requiere de compuestos carbonados básicos provenientes de la fotosíntesis y de poder reductor (NADPH +H y NADH). Para la síntesis de ácidos grasos se requiere que el Acetil-CoA, precursor de muchos compuestos en células autotróficas y heterotróficas, sea sometido a una carboxilación, a través de un complejo enzimático llamado Acetil-CoA Carboxilasa, dando como resultado Malonil-CoA (un compuesto de tres átomos de carbono) (Connor y Hall, 1997).
La síntesis propiamente dicha de ácidos grasos es una secuencia de reacciones que incluye un gran complejo multienzimático, llamado Ácido Graso Sintetasa, compuesto por seis enzimas y una proteína transportadora. La primera reacción que se produce es la unión de una molécula de Acetil-CoA con una molécula de Malonil-CoA que, después de una descarboxilación, forma un compuesto de 4 átomos de carbono. A partir de este compuesto se producen sucesivas elongaciones de la cadena carbonada, mediante la incorporación de Malonil-CoA y la liberación de dióxido de carbono. El complejo Ácido Grasa Sintetasa puede elongar la cadena hasta un máximo de 16 carbonos (ácido palmítico).
A partir del ácido palmítico se producen los restantes ácidos grasos presentes en las plantas mediante la acción de diferentes reacciones enzimáticas. El ácido palmítico se elonga una vez más para formar el ácido esteárico (18:0). En esta reacción interviene otra enzima elongasa, llamada KAS ii, que incorpora y descarboxila una molécula más de Malonil-CoA. El ácido esteárico puede desaturarse por acción de una enzima llamada estearato desaturasa (SAD ∆9), para producir una molécula de ácido oleico (18:1). El ácido oleico a su vez se puede desaturar para producir ácido linoleico (18:2) mediante la enzima oleato desaturasa (ODS ∆12). Esta reacción no se produce en el plastidio, sino en el citoplasma, por lo cual los ácidos grasos formados anteriormente deben salir del plastidio. Ello requiere proteínas transportadoras ubicadas en las membranas de dicha organela. El ácido linolénico (18:3) se produce por la desaturación del ácido linoleico debido a la acción de la enzima Linoleato desaturasa (FAD ∆15).
Los ácidos grasos formados no se encuentran (en su mayor parte) en estado libre en las células vegetales, sino que están unidos a una molécula de glicerol formando triacilglicéridos, a través de una serie de reacciones que se conocen como la Vía Kennedy (Mantese et al., 2006).
Factores que afectan la composición de ácidos grasos en maíz
Los dos factores principales que afectan el perfil de ácidos grasos del aceite de maíz son el genotipo y el medioambiente, pero probablemente como indicaron Corcuera (2013) y Lambert (2001), el empleo de diferentes líneas parentales (genotipos) ha sido la causa primordial de la mayor variabilidad encontrada en la composición del aceite de maíz en las últimas décadas.
Control genético de ácidos grasos
Por un lado, el contenido de aceite de maíz es un carácter que se ve afectado por una serie de loci de carácter cuantitativo (QTL) (Alrefai et al., 1995; Mangolin et al., 2004; Song, et al., 2004; Wassom et al., 2008). Estudios de mapeo genético y la utilización de marcadores relacionados con los caracteres de la composición de aceite en maíz informaron que múltiples (> 50) QTL se encuentran implicados en la síntesis y composición de ácidos grasos (Laurie et al., 2004). Recientemente, se detectaron 42 QTL que se asocian con la composición y concentración de aceite en 21 regiones genómicas de maíz en una población recombinante derivada de la cruza entre la línea normal B73 y la línea de alto aceite By804 (Yang et al., 2010). Por otro lado, Zheng et al. (2008) han encontrado un QTL (qHO6) en el cromosoma 6 que afecta el contenido de aceite y de ácido oleico en el grano de maíz. Este QTL codifica una acil-CoA:diacilglicerol aciltransferasa (DGAT1-2), que cataliza la etapa final de la síntesis de aceite. Una inserción de fenilalanina en DGAT1-2 en la posición 469 (F469) fue responsable del aumento del contenido de aceite y de ácido oleico. La expresión del alelo DGAT1-2 fue eficaz para aumentar en un 41% el contenido aceite y en un 107% el porcentaje de ácido oleico (Chai et al., 2011; Motto et al., 2010; Balconi et al., 2008).
La composición de ácidos grasos en maíz, a su vez, está controlada por una serie de genes mayores que codifican para enzimas desaturasas. Mediante estudios de mutagénesis se detectó una mutación en el gen olc1 que incrementaba la concentración de ácido oleico en el aceite de maíz de granos de la línea B73, desde 27% hasta 52%, mostrando efecto aditivo en su expresión. Esta mutación se localizó en el brazo largo del cromosoma 1. No se conoce el efecto metabólico del gen olc1, pero de acuerdo a Robbelen (1991), posiblemente se producirían modificaciones que conducirían a un aumento en los niveles de ácido oleico debido a que evitaría la desaturación de este. Una mutación que afecte la desaturación del ácido oleico podría ser una explicación para el efecto de olc1, dado que la mayor parte del incremento en la composición de oleico causado por olc1 se produjo a expensas del pool de ácido linoleico (Wright, 1995).
La vía de biosíntesis de ácidos grasos presentada por Browse y Somerville (1991) indica que un solo gen, que codifica para la enzima omega-6-desaturasa, convierte oleico (18:1) en linoleico (18:2) insertando un doble enlace en la posición omega-6. El locus ln1 correspondería al gen de la omega-6-desaturasa (Alrefai et al., 1995).
Existe gran variabilidad en la calidad del aceite de maíz, con respecto a las diferentes composiciones de ácidos grasos. Según la FAO (2003), el aceite de maíz tiene bajo nivel de ácidos grasos saturados (ácido palmítico y esteárico con niveles medios del 11% y 2%, respectivamente), pero posee alta proporción de ácido linoleico con un promedio del 24%. Por el contrario, Jellum (1970) tras analizar granos de maíz de numerosos materiales introducidos y nativos de EE. UU., así como de 140 líneas endocriadas australianas, encontró los siguientes rangos de perfiles de ácidos grasos: 6-22% ácido palmítico; 0,6-15% ácido esteárico; 14-64% ácido oleico y 19-71% ácido linoleico. Más tarde, Boyer y Hannah (2000) señalaron que este aceite contiene en promedio un 50% de ácido linoleico, 40% de ácido oleico y 1% de ácido linolénico mientras que Lambert (2001) halló una composición algo diferente: linoleico (62%), oleico (24%), linolénico (0,7%) y además cantidades muy reducidas de ácido láurico, mirístico, palmitoleico, araquídico, behénico, erúcico y lignocerico. Saleem et al. (2008), al estudiar el aceite de diez poblaciones de maíz pakistaní, encontraron un 12,0-37,3% de ácido oleico, 21,0-65,3% de ácido linoleico y 10,4-21,3% de ácido palmítico. En la Argentina, la Secretaría de Agricultura, Ganadería, Pesca y Alimentos (SAGPyA) comunicó en el año 2003 que la composición promedio de ácidos grasos para el maíz producido en el país es 45,6% ácido linoleico; 37,2% ácido oleico; 0,6% ácido linolénico; 13,6% ácido palmítico y 1,7% de ácido esteárico. Estos promedios fueron luego corroborados por la Asociación Argentina de Grasas y Aceites (ASAGA) durante la 1.ra Jornada de Lípidos y Nutrición en noviembre de 2003, que también indicó que los maíces argentinos tienen en promedio 16% de ácidos grasos saturados, 37% de ácidos monoinsaturados y 47% de ácidos poliinsaturados. También en nuestro país, Eyhérabide et al. (2005) reportaron la siguiente composición media de ácidos grasos luego de analizar poblaciones y líneas experimentales locales de maíz seleccionadas: ácido palmítico (9,6-12,3%), ácido esteárico (0,9-3,1%), ácido oleico (27,8-54,8%) y ácido linoleico (33,1-70,0%). Los datos más recientes publicados en Argentina corresponden a ILSI Argentina (2014), organismo que reportó el siguiente perfil acídico del aceite de maíz argentino: ácido palmítico (7,94-14,05%), ácido esteárico (1,33-2,66%), ácido oleico (19,4- 40,2%), ácido linoleico (43,1-64,4%) y ácido linolénico (0,71-1,42%).
Efectos ambientales sobre la composición relativa de ácidos grasos
La temperatura es el factor que más afecta al perfil de ácidos grasos del aceite de maíz. Según Zuil (2009) la temperatura media diaria fue el parámetro que mejor se relacionó con la composición acídica del aceite de maíz. En su estudio, incrementos de la temperatura media diaria produjeron aumentos de la relación oleico / linoleico. El incremento de temperatura media provocó un incremento de 0,62% de ácido oleico por grado centígrado. La temperatura media afecta la composición acídica del aceite al modificar la actividad de las diferentes enzimas que intervienen en el proceso de desaturación y en consecuencia afecta el grado de insaturación de los ácidos grasos del aceite. Cuando se incrementa la temperatura disminuye principalmente la actividad de la enzima oleato desaturasa (ODS ∆12), por lo tanto, se produce un incremento de la proporción de ácido oleico y una disminución en el porcentaje de ácido linoleico en el aceite (Izquierdo et al., 2008). El efecto de la temperatura sobre la cinética del proceso enzimático de desaturación de ácidos grasos del aceite ha sido ampliamente estudiado. Se han sugerido numerosos procesos para explicar la regulación de la temperatura en el proceso de desaturación. Para las enzimas desaturasas se propusieron efectos de regulación a nivel de los mecanismos transcripcionales como postranscripcionales (Goldman et al., 1994). Recientemente se propusieron otros mecanismos de regulación de la actividad de la enzima oleato desaturasa mediante la estabilidad térmica de la enzima y la disponibilidad de oxígeno como sustrato (Borisjuk y Rolletschek, 2009). Las semillas de maíz no fotosintetizan durante el llenado de granos, por lo que no producen oxígeno interno proveniente de la fotosíntesis. Por lo tanto, la concentración de oxígeno interno está muy relacionada con la temperatura, debido a que incrementos de esta aumentan la respiración y disminuye la solubilidad del oxígeno en el citoplasma (Borisjuk y Rolletschek, 2009).
Efectos de los ácidos grasos sobre la salud
Consumir aceites con una elevada proporción de ácido oleico es aconsejable ya que en promedio no debería consumirse más de 11% de ácidos grasos saturados, 6,5% de ácidos poliinsaturados cis y no exceder el 2% de ácidos poliinsaturados trans en la dieta (Lunn, 2007). Los ácidos grasos saturados, a excepción del esteárico (Velasco y Fernández-Martínez, 2002), incrementan los niveles de colesterol, mientras que los ácidos insaturados, como el ácido oleico, disminuyen las lipoproteínas de baja densidad (LDL) y aumentan las lipoproteínas de alta densidad (HDL) en varios grados. A su vez, los ácidos linoleico y linolénico son considerados esenciales, por lo que deben ser incorporados al organismo mediante el alimento (Lehninger et al., 1993). El inconveniente de los ácidos poliinsaturados (linoleico y linolénico) es que, durante los procesos de refinado, que requieren temperaturas de 190 °C (Wagner et al., 2000), y del hidrogenado del aceite (Ratnayake et al., 1998), los ácidos grasos con enlaces de configuración cis se trasforman en trans. Se presume que los ácidos grasos trans serían perjudiciales para la salud al provocar un perfil lipoproteico desfavorable (Khosla y Hayes, 1996) compatible con un mayor riesgo aterogénico (Hu et al., 1997).
El consumo de ácidos grasos monoinsaturados es importante para la prevención de enfermedades cardiovasculares como por ejemplo las enfermedades de la arteria coronaria. Incrementos en ácidos monoinsaturados provocan la reducción del colesterol total en sangre y el LDL comúnmente llamado “colesterol malo” (Erkkilä et al., 2008). Los ácidos grasos monoinsaturados se asocian con una mejora en el funcionamiento del endotelio en los vasos sanguíneos, reducción del riesgo de embolias y control de la presión arterial. Además de la prevención de enfermedades cardiovasculares, se han asociado a los ácidos monoinsaturados con la mejora de algunos parámetros de la diabetes tipo 2 y la prevención de algunos tipos de cánceres como el de colon y recto, de pecho y de próstata (Lunn, 2007).
La producción de maíz en Argentina
En la última década la exportación de maíz ha demandado aproximadamente el 60% de la producción argentina, y es por lo tanto el principal destino de esta. La producción destinada al mercado interno se distribuye entre las industrias de las moliendas y la alimentación animal. Según las estimaciones realizadas por el USDA (2014), las moliendas representan un destino minoritario, llevándose entre las dos solo el 8% de la producción del cereal. El uso del maíz grano para alimento de animales alcanza el 38% de la producción. La cadena aviar para la producción de carne es la mayor demandante, seguida por el sector bovino para la producción de carne. Si se incluyen además las demandas de maíz para la producción de huevos en el primer caso y de leche en el segundo, el sector bovino demandó el 18% y el avícola el 17% de la producción. Por último, teniendo en cuenta la demanda para alimento del stock porcino (3%), el consumo total en campos rondaría las 8,9 millones de toneladas de maíz (IERAL, 2011).
Caracterización fenotípica de un panel de líneas endocriadas de maíz desarrolladas por el programa de mejoramiento de maíz del INTA Pergamino
A partir de un panel de líneas elite de maíz desarrolladas por el INTA Pergamino se pretendió determinar la existencia y magnitud de la variabilidad genética y heredabilidad para la composición acídica del aceite para futuros trabajos de mapeo por asociación. Asimismo, se buscó determinar la posible asociación de características diferenciales de la composición de ácidos grasos del grano con el fondo genético de las líneas integrantes del panel. A tal efecto fue necesario contar con información y conocimientos generados por el grupo de trabajo, a saber:
Técnicas y determinaciones de laboratorio mediante cromatografía gaseosa desarrolladas y puestas a punto por el grupo de trabajo aplicables a pequeños tamaños de muestra (Laboratorio de Alimentos, Suelos y Agua de la EEA Pergamino. Bioquímica MSc. Mabel Percibaldi, Ing. Qco. Dr. Francisco Borrás).
Líneas desarrolladas que cubrieran un rango importante de composición de ácidos grasos. Para ello fueron incorporadas al panel líneas seleccionadas por el grupo de trabajo con perfil de ácidos grasos modificada, con características de bajos ácidos grasos saturados (ácido palmítico + ácido esteárico) y alto contenido de ácido graso monoinsaturado (ácido oleico) (Grupo Mejoramiento de Maíz . Guillermo Eyhérabide).
Conocimiento sobre la estructura genética poblacional del panel de líneas, a partir de información molecular (Laboratorio de Biotecnología de la EEA Pergamino. Dra. Sofía Olmos, Ing. Agr. MSc. Carla Delucchi).
El trabajo de fenotipificación a campo fue parte del Trabajo Final de Graduación de Ingeniero Agrónomo del Sr. Manuel Trejo, de la Universidad Nacional del Noroeste de Buenos Aires (UNNOBA) y fue llevado a cabo en la Unidad Integrada UNNOBA-INTA Pergamino. La dirección y la codirección del trabajo fue llevada a cabo por el Dr. Guillermo Eyhérabide y la Bioquímica MSc. Mabel Percibaldi.
Se analizó una colección de 120 líneas endocriadas (tabla 1), desarrolladas por el programa de mejoramiento de la EEA INTA Pergamino, estabilizadas sobre diversos fondos genéticos y previamente caracterizadas a nivel molecular.
El experimento fue sembrado en el vivero de cría de la EEA INTA Pergamino en dos fechas de siembra, siguiendo un diseño en bloques incompletos (α-látice) con tres repeticiones por ensayo durante la campaña 2012/13. La siembra fue mecánica con maquinaria experimental de la EEA Pergamino y se realizó sobre rastrojo de un cultivo de soja. La primera fecha de siembra correspondió al 13 de octubre y la segunda al 5 de noviembre. Durante el desarrollo del material se aplicó riego para asegurar el experimento. Para la obtención de muestras de grano de los genotipos (líneas) evaluados a campo, se polinizaron bajo sobres de papel kraft tres a cinco individuos por parcela, asegurando un buen tamaño de muestra. La cosecha de los experimentos fue realizada en madurez fisiológica y en forma completamente manual. Luego, las espigas se secaron a temperatura ambiente hasta humedad de equilibrio fisiológico.

Líneas experimentales del INTA Pergamino evaluadas.
Toma de muestras de grano:
La composición acídica de los granos varía según la posición del grano en la espiga de maíz (Jellum, 1970). Por ello, la composición acídica se determinó tomando de cada espiga, granos ubicados en la porción media de esta para conformar una muestra compuesta para cada genotipo, repetición y fecha de siembra, y fueron colocadas en sobres correctamente rotulados. La totalidad de las muestras fueron enviadas al Laboratorio de Calidad de Alimentos, Suelos y Agua de la EEA Pergamino para la determinación del perfil de ácidos grasos mediante cromatografía gaseosa.
Procedimiento técnico para la determinación de ácidos grasos por cromatografía gaseosa
De cada una de las muestras se utilizaron diez granos colectados de la parte central de la espiga y se le extrajo el germen, luego se empleó la metodología descripta por Percibaldi et al. (1997). Se utilizó un cromatógrafo gaseoso Clarus 500 Perkin Elmer, equipado con automuestreador, software Totalchrom Workstation v6.3.1 y sistema purificador de gases.
Método de extracción de aceite
Se extrajo el aceite en frío usando hexano y mortero como se describe a continuación:

Muestra control: diariamente se esterificó una muestra control, para ello se utilizó aceite de maíz marca Arcor y se procedió de la siguiente manera:

Método de esterificación
Se emplea “transmetilación directa in situ con catálisis alcalina” y se procedió como se describe:

Inyección de la muestra al cromatógrafo
Se procedió según manual de procedimiento para uso del cromatógrafo gaseoso Perkin Elmer Clarus 500. Los parámetros utilizados para la determinación cromatográfica se muestran en la tabla 2.

Parámetros utilizados para la corrida cromatográfica.
Cálculos
Mediante pruebas con patrones de ácidos grasos se identifica cada pico del cromatograma según los tiempos de retención característicos de cada ácido graso.
El área bajo la curva se correlaciona con la concentración total de ácidos grasos.
La concentración de cada ácido graso se calcula como porcentaje relativo al total de ácidos grasos.
Análisis estadísticos de los datos
En principio se procuró establecer la normalidad de las variables analizadas mediante la prueba de Shapiro-Wilks, considerando que las variables presentan distribución normal cuando el valor W* es mayor o igual a 0,85.
Posteriormente se procedió a realizar las estimaciones de los componentes de varianza, que se calcularon en un único proceso iterativo de estimación-predicción, utilizando el método de modelos lineales mixtos (PROC MIXED, del inglés: Mixed Linear Model) del software SAS (SAS Institute, 2007).

donde y es el vector de las observaciones fenotípicas; b es el vector de los efectos fijos debidos al bloque, sitio y el promedio general; g es el vector de los efectos genotípicos (aleatorios); w es el vector de los efectos de la interacción genotipo x ambiente (aleatorios) y; e es el vector de los residuales (aleatorios). Las letras mayúsculas representan las matrices de incidencia para los referidos efectos.
La metodología de Máxima Verosimilitud Restringida (REML, del inglés: Restricted Maximum Likelihood) fue la preferida para la estimación de componentes de varianza.
En el método REML, la función de verosimilitud es dividida en dos partes independientes: efectos fijos y aleatorios. Esta metodología implementada en el PROC MIXED de SAS utiliza un algoritmo de Newton-Raphson, iterando hasta dar convergencia a la función objetivo (logaritmo de la verosimilitud) de la parte que no contiene efectos fijos. El procedimiento MIXED utiliza varianzas previamente estimadas para valores iniciales de la convergencia, que son estimadas a través del método del estimador cuadrático no sesgado de varianza mínima (MIVQUE). Las ecuaciones REML para la estimación de componentes de varianza se pueden expresar de la siguiente manera (Mora y Arnhold, 2006) (4):

donde, tr denota la traza de la matriz. P es el proyector ortogonal para la parte aleatoria, G es la matriz de varianzas genotípicas; W es la matriz de varianza de la interacción genotipo x ambiente. σc2, σw2 y σε 2 son los componentes de varianza del efecto de las líneas, interacción y residual, respectivamente.
Empleando los modelos mixtos se obtuvieron los predictores BLUP (Best Linear Unbiased Predictor; Mejor predictor lineal insesgado) de cada línea en cada ambiente. Los promedios de BLUP de las líneas fueron utilizados en los análisis de correlación.
Adicionalmente, se estimaron los coeficientes de correlación de Pearson para estudiar el grado de relación existente entre los distintos ácidos grasos contenidos en el grano de maíz de las diferentes líneas evaluadas, para esto se utilizó el procedimiento CORR (SAS Institute, 2007).
La heredabilidad se calculó sobre la base de promedios de genotipos, partir de los componentes de varianza estimados, resultantes del análisis lineal mixto realizado previamente. Fue calculada mediante la siguiente fórmula:

donde:
h2: Heredabilidad
σ 2G: Componente de varianza genética
σ 2A: Componente de varianza ambiental
σ 2GxA: Componente de varianza de la interacción genotipo x ambiente
σ 2E: Componente de varianza del error
a: número de ambientes
r: número de repeticiones dentro de cada ambiente
En la tabla 3 se presentan las estimaciones de los componentes de varianza a través del procedimiento de la máxima verosimilitud restringida (REML) y de la heredabilidad para los diferentes ácidos grasos, considerando un modelo lineal mixto. Los resultados de la prueba de razón de verosimilitud indicaron que el efecto genotípico (líneas) fue estadísticamente significativo (p<0,0001), al igual que la interacción líneas -ambientes (p<0,0001) para los ácidos grasos palmítico, esteárico, oleico, linoleico y linolénico.

Estimaciones de los componentes de varianza para los ácidos grasos evaluados.
Si bien se encontró interacción con el ambiente, el componente genotípico fue el de mayor contribución a la variabilidad fenotípica. Podemos observar como para el ácido oleico aportó un 92% contra un 3% de la interacción líneas-ambiente. Las heredabilidades para el contenido relativo de ácidos grasos fueron en todos los casos muy elevadas (mayores a 0,95).
La estimación de los componentes de varianza permitió detectar diferencias altamente significativas entre líneas. Estos resultados concuerdan con lo expresado por Lambert (2001) en el sentido de que el genotipo es la principal causa de diferencias en el perfil de ácidos grasos del aceite de maíz.
En la tabla 4 se presentan los porcentajes promedio, los rangos y el desvío estándar encontrados para cada ácido graso.

Porcentaje promedio, rango de variación y desvío estándar para cada ácido graso.
La mayoría de los ácidos grasos estuvieron asociados significativamente de manera positiva o negativa (tabla 5). Los mayores coeficientes de correlación fueron negativos. Las asociaciones más importantes y altamente significativas fueron obtenidas para los ácidos linoleico-oleico (-), linoleico-esteárico (-) y oleico – esteárico (+), el resto de las asociaciones fueron débiles y no alcanzaron el nivel de significancia estadística.

Correlaciones entre ácidos grasos de las 120 lineas evaluadas, en las tres repeticiones y dos epocas de siembra.
ns = no significativo, * y ** = significativo estadísticamente al 5 y 1%, respectivamente.
Las correlaciones más importantes fueron encontradas entre los ácidos grasos de 18 carbonos, esto puede ser atribuido a que estos ácidos comparten una ruta biosintética común de insaturación de orden: ácido esteárico (18:0), ácido oleico (18:1), ácido linoleico (18:2) y linolénico (18:3) (Wassom et al., 2008). El alto nivel de asociación encontrado entre el ácido graso oleico y linoleico fue consistente a los señalados en maíces cultivados en regiones de clima templado (Wassom et al., 2008; Defacio et al., 2007; Pamin et al., 1986). Lo anterior se atribuye a la gran predominancia de ambos ácidos, sobre la composición de los ácidos grasos totales. Los niveles de ácido palmítico estuvieron asociados de manera significativa, pero débil con los ácidos esteárico, oleico y linoleico, lo que puede ser atribuido a la divergencia del ácido palmítico en la ruta metabólica para la síntesis de los ácidos grasos de 18 carbonos (Wassom et al., 2008; Warner y Knowlton, 2007).
En la figura 1 se comparan los contenidos de ácidos grasos obtenidos para las líneas evaluadas en dos fechas de siembra. Se puede observar una relación ácido oleico/linoleico más marcada durante la primera fecha, probablemente explicable por un incremento de la temperatura media diaria durante el periodo de acumulación de aceite en el grano (últimas dos terceras partes del llenado efectivo).

Evolución del contenido de ácidos grasos para las dos fechas de siembra.
A su vez se puede observar un mayor porcentaje de ácidos grasos saturados (palmítico + esteárico) durante la primera fecha condicionado probablemente por el mismo factor que afectó la relación oleico/linoleico. Con respecto al porcentaje de ácido linolénico no se observaron cambios en su contenido en ambas fechas de siembra.
El valor medio de ácido palmítico hallado en las líneas evaluadas es coincidente con los datos publicados por FAO (2003), Saleem et al. (2008) y corresponde a los rangos reportados por Eyhérabide et al. (2005) e ILSI Argentina (2014), aunque resultó inferior a los valores informados por la SAGPyA (2001) y ASAGA (2003). En cambio, el contenido medio de ácido esteárico hallado en estas líneas es algo superior al publicado por la SAGPyA (2001) y ASAGA (2003), pero se encuentra dentro de los rangos indicados por Eyhérabide et al. (2005) e ILSI Argentina (2014) y coincide con el valor señalado por FAO (2003).
En relación con el ácido oleico, linoleico y linolénico debe decirse que el nivel medio determinado concuerda con la información aportada por SAGPyA, ASAGA e ILSI Argentina. Debe destacarse que el valor medio de ácido oleico hallado en las líneas estuvo 10,1% por encima y el de linoleico 10,3% por debajo de lo referido por Lambert (2001) y reafirma expresiones de Eyhérabide et al. (2005) en el sentido de que los materiales argentinos tienen mayor nivel de ácido oleico que otros desarrollados en el medio oeste de EE. UU.
Según el rango de variabilidad, se detectó una alta variabilidad para los ácidos grasos oleico y linoleico. Los rangos observados amplían lo descripto en ILSI, 2014 (oleico 19,4 a 40,2 y linoleico 43,1 a 64,4).
Los niveles de ácidos grasos saturados (16:0 + 18:0) e insaturados (18:3) presentaron pocas diferencias entre las líneas y fechas de siembra probadas. Sin embargo, las líneas evaluadas mostraron un mayor nivel de insaturación que los señalados para los aceites en maíces de clima tropical. Las altas temperaturas para las condiciones tropicales, a diferencia de las de climas templados, probablemente afectan negativamente la actividad de las enzimas responsables de la insaturación durante la síntesis de ácidos grasos (Harwood, 1998).
Los niveles promedios de ácido oleico de las líneas superaron ampliamente los niveles típicos de un maíz normal cultivado en clima templado (Shen et al., 1999; Dunlap et al., 1995; Weber et al., 1983), pero fueron inferiores a los indicados para maíces de alto contenido en oleico por Warner y Knowlton, 2007.
Se sabe que la acumulación de aceite en el grano se produce durante las últimas dos terceras partes del llenado efectivo (Dunlap et al., 1995). Por una parte, en nuestro experimento, las temperaturas promedio y los rangos explorados en ese periodo (20-25 días después de floración) para cada fecha de siembra fueron, respectivamente de: 24,0 °C (19,8 a 26,6 °C) para la primera fecha (13 de octubre) y de 20,5 °C (15,5 a 21,2 °C) para la segunda (5 de noviembre ). Posiblemente las diferencias observadas entre fechas de siembra en la relación ácido oleico/linoleico podrían ser explicadas por el incremento de la temperatura media diaria que provocó una disminución de los ácidos poliinsaturados, principalmente por una disminución del ácido linoleico, coincidiendo con lo descripto por Zuil (2009) e Izquierdo et al. (2008). Por otra parte, y coincidiendo con los autores anteriores, las variaciones en temperatura media durante el llenado de granos no afectaron el porcentaje de ácido linolénico de ningún genotipo.
En la tabla 6 se muestra el porcentaje promedio y desvío estándar para cada ácido graso, clasificados según grupos heteróticos. Para la clasificación de las líneas en esos grupos heteróticos, se tomó como referencia el trabajo realizado por Olmos et al.(2010), en el cual mediante la utilización del programa Structure 2.3.3 (Pritchard et al., 2000) y basándose en el método Bayesiano de inferencia se fijó el número de grupos dentro de la población más probable (k) en 3.

Porcentaje promedio y desvío estándar para cada ácido graso, clasificados según grupos heteróticos.
Por una parte, teniendo en cuenta la clasificación de los ácidos grasos según los grupos heteróticos pudo detectarse una alta diversidad entre grupos, y una clara diferencia entre el germoplasma de origen argentino y el americano según el contenido de ácido oleico, reafirmando lo descripto por Lambert (2001) y Eyhérabide et al. (2005) con respecto al mayor contenido de oleico de materiales argentinos comparados con los americanos. Además, se puede identificar el grupo heterótico más prometedor con respecto al contenido de ácido oleico que es el Argentino Caribeano dentro del cual se destacan las líneas L3525, L3538 y L3590 desarrolladas por selección para contenido de ácido oleico superior al 60%. Por otra parte, el grupo SSS, que tuvo origen a partir de los compuestos BS13 y BSSS provenientes de Iowa, presentó el mayor grado de insaturación debido a la gran proporción de linoleico y linolénico comparados con los demás grupos.
El aceite de maíz tiene alta demanda debido a su efecto positivo sobre la salud por parte del ácido linoleico (polinsaturado), no obstante, una alta concentración de este ácido le confiere inestabilidad al aceite, produciendo una rápida oxidación cuando se emplea para freír alimentos (Orthoefer et al., 2003). Los aceites con un contenido superior de ácido oleico (ω-9 ), como los encontrados en nuestro estudio, son recomendados para preparar frituras alimenticias, debido a que resultan más termoestables que el resto de los aceites de maíz (Frankel, 2014; Gunstone, 2001).
Los ácidos grasos linoleico (ω-6 ) y linolénico (ω-3 ) no son sintetizados por el cuerpo humano y por lo tanto resulta esencial incorporarlos a través de la dieta. Para un correcto funcionamiento del organismo es necesario que exista una relación adecuada entre los ácidos linoleico y linolénico. A pesar de que se recomienda que la relación ω -6/ ω-3 se encuentre en el rango de 4:1, en maíz y otros aceites vegetales de importancia vegetal esta relación está muy desequilibrada (10:1, o más) por el alto contenido de ácido linoleico (Olivera Carrión, 2006). Esta relación de ácidos grasos poliinsaturados tan desequilibrada puede derivar en enfermedad coronaria, diabetes, o depresión en caso de consumir únicamente aceite de maíz, por lo que se recomienda alimentarse con una dieta variada.
La relación normal entre ácidos grasos insaturados y saturados del aceite de maíz tiene un valor medio de 6,7 (Depetris y Santini, 2006). El perfil de ácidos grasos de las líneas estudiadas indica una relación de equilibrio entre grasas saturadas e insaturadas (media= 6,6; rango= 4,4-10,1), por lo que la relación entre ácidos grasos saturados e insaturados de estos materiales prácticamente coincide con el valor normal publicado para la especie.
El estudio de caracterización fenotípica de la colección de líneas y el posterior análisis de los componentes de varianza estimados permitió concluir que el componente genotípico fue el que contribuyó con la mayor parte a la variabilidad fenotípica. Los análisis permitieron detectar la existencia de tres líneas estabilizadas que se caracterizan por tener una concentración de ácido oleico superior al 60% como la L3525 (65,57±8,9%), L3538 (62,55±8,9%) y L3590 (62,51±8,9%) y por ende podrían ser empleadas para desarrollar combinaciones híbridas caracterizadas por el nivel de este componente o bien incorporar el carácter alto oleico a otros materiales. Mediante estos estudios de cromatografía gaseosa se pudo establecer la composición de ácidos grasos de las líneas experimentales del INTA Pergamino y se demostró que los ácidos grasos más importantes para la nutrición humana se encuentran dentro del rango de valores reportados a nivel global y nacional.
Por una parte, las altas heredabilidades encontradas nos permiten indicar una elevada confiabilidad del fenotipado llevado a cabo en este estudio para la búsqueda de asociaciones con marcadores moleculares y posterior utilización de estos conocimientos en el desarrollo de aceites de calidad diferenciada. Por otra parte, puede ser conocimiento como objeto de futuros estudios, establecer la magnitud de los efectos de las temperaturas ambientales sobre las enzimas involucradas en la síntesis de ácidos grasos, ya que si se difiere la fecha de siembra podemos afectar la relación ácido oleico / linoleico. Tal información resultaría relevante para orientar pautas de manejo del cultivo de maíz de calidad diferenciada para alto oleico.
Desarrollo y mejoramiento de poblaciones de maíz con composición de ácidos grasos diferenciada
En trabajos previos, el INTA realizó una caracterización preliminar de líneas endocriadas de maíz propias y otras desarrolladas por universidades de los EE. UU. Se encontró que, en general, los materiales argentinos poseían contenidos relativos de ácido oleico por encima de los que exhibían materiales del medio oeste de EE. UU. Entre las líneas locales se identificaron algunas con contenidos de ácido oleico en el rango de 45 a 50%, aproximadamente. Posteriores trabajos permitieron demostrar que el nivel de ácido oleico en los híbridos resultantes de cruzamientos entre líneas que diferían en su contenido de ácido oleico resultaba intermedio al de sus líneas progenitoras, indicando un control aditivo del carácter (Hourquescos et al., 2001) y la posibilidad de su mejoramiento mediante selección recurrente. Posteriormente se generaron tres sintéticas, las cuales fueron sometidas a selección recurrente fenotípica para modificar el perfil de ácidos grasos en el germen (Eyhérabide et al., 2005). En el vivero de cría de la EEA INTA Pergamino, en la campaña 99/00 se generaron familias S1 a partir de las generaciones F2 de dos híbridos simples entre pares de líneas caracterizadas por poseer un contenido relativo de ácido oleico entre 45 y 50%, así como también de la F2 de su híbrido doble. De cada espiga S1 se tomó una muestra de diez semillas para determinar en el laboratorio la composición relativa de ácidos grasos. Del total de familias analizadas, se seleccionaron y posteriormente se recombinaron 26 (promedio de oleico 53,9%) para generar la población SPAO1 (C0). Esta población fue sometida a tres ciclos de selección recurrente fenotípica intrapoblacional, similar a la realizada por Sprague y Brimhall (1950), citado por Hallauer y Miranda (1988) para modificar la composición de ácidos grasos en el aceite. Cada ciclo de selección recurrente requirió sembrar una muestra de aproximadamente 1000 individuos, de los cuales 150 fueron autofecundados en cada ciclo. Finalmente se cosecharon espigas con grano S1 sobre los 100 individuos que mostraban mejores características agronómicas. En laboratorio se determinó la composición de ácidos grasos sobre muestras de diez semillas extraídas de la porción central de cada espiga S1. Posteriormente se realizó selección por truncamiento del 10% de las familias que mostraban la composición de ácidos grasos más conveniente para los objetivos de selección buscados. El contenido relativo de ácidos grasos para las muestras de grano S1 de individuos correspondientes al ciclo 0 de las poblaciones correspondió a genotipos cultivados en el vivero de invierno en la provincia de Formosa. En los otros casos, las evaluaciones se efectuaron sobre muestras cultivadas en el vivero de verano de Pergamino, junto con muestras de una línea de alto oleico que intervino en el origen de las poblaciones.
Para determinar la composición acídica de cada una de las muestras se utilizaron diez granos colectados de la parte central de la espiga, y se empleó la metodología descripta por Percibaldi et al. (1997). A fin de evaluar la respuesta a la selección se compararon los promedios de composición relativa de ácidos grasos de los granos de espigas S1 en tres ciclos consecutivos de selección (C1 vs. C0, C2 vs. C1 y C3 vs. C2). Para conocer el efecto del ambiente sobre la composición de ácidos grasos en muestras de grano provenientes de distintas estaciones de cultivo, se tuvo en consideración las diferencias entre los promedios de las semillas de espigas S0:1 de cada ciclo y los de las líneas de alto oleico utilizada como testigo, bajo las mismas condiciones de ambiente. A juzgar por el comportamiento relativamente estable de la línea testigo a través de ambientes puede pensarse que el efecto confundido del ambiente sobre la media de familias evaluadas en diferentes ambientes no sería importante. No obstante, la comparación entre las medias observadas de porcentaje de ácidos grasos para las familias representativas de los ciclos 0, 1 y 2 de cada población mediante prueba t’ (Steely Torrie, 1980), asumiendo varianzas desconocidas y distintas, debe considerarse aproximada.
Los resultados obtenidos por Orcellet et al. (2007) desde la síntesis de las poblaciones hasta el segundo ciclo de selección recurrente sugieren que el método de selección fue efectivo para mejorar (aumentar) especialmente el porcentaje de ácido oleico (o disminuir el de ácido linoleico) en el aceite de maíz, lográndose una respuesta hasta ahora consistente entre ciclos de selección en las poblaciones SPAO1 y SPAO2. Se informan aquí los resultados de la evaluación hasta el ciclo 3 de selección recurrente en SPAO1.
En la tabla 7 se presentan los porcentajes de ácidos grasos promedios (oleico y linoleico) de familias provenientes de los ciclos de selección de cada población. Se detectaron diferencias significativas entre ciclos consecutivos para contenido relativo de ácido oleico. El promedio de familias de SPAO1 (C3) llegó al 63,8% de ácido oleico (16,2% más que la población de partida SPAO1 (C0)) y 22,3% de linoleico (18% menos que SPAO1 (C0)). Los niveles de ácido oleico de la línea control LP199 fueron similares entre años.

Promedio de contenidos relativos (%) de oleico y linoleico de semillas S0:1 extraídas de individuos de los ciclos originales (C0), primer ciclo de selección (C1), segundo ciclo de selección (C2) y tercer ciclo de selección (C3) para una sintética de maíz seleccionada por alto contenido de oleico (SPAO1).
ξ Para SPAO1 las diferencias C1-C0, C2-C1 y C3-C2 resultaron significativas (p<0,01) para contenido de ácido oleico.
La figura 2 presenta la distribución de porcentajes de ácido oleico y linoleico de las familias tomadas en consideración para generar la población SPAO1, las de SPAO1(C0), SPAO1(C1), SPAO1(C2) y SPAO1(C3). Del análisis de esta se observa linealidad en la respuesta y cierta disminución en esta entre los ciclos 2 y 3. Se destaca la existencia de líneas segregantes que superan el 70% de ácido oleico. No obstante las líneas de mayor contenido de ácido oleico de C3 no logran exceder a las del C2.

Distribución de porcentajes de ácido oleico y linoleico de las familias tomadas en consideración para generar la población SPAO1, las de SPAO1(C0), SPAO1(C1), SPAO1(C2), SPAO1(C3) y de dos líneas testigo de alto oleico utilizadas en la generación de las sintéticas.
Por una parte, la figura 3 muestra la evolución de la media general para contenido de ácido oleico en los diferentes ciclos de SPAO1 y la de la variancia fenotípica entre individuos dentro de cada ciclo. La disminución de la variancia observada es consistente con lo encontrado a nivel molecular por Orcellet et al. (2007) quienes detectaron un aumento en la frecuencia de homocigotas. Por otra parte, el número de familias seleccionadas fue n=10, por lo que se espera que la tasa de endocría luego de cuatro oportunidades de recombinación haya aumentado.

Evolución de la media general para contenido de ácido oleico en los diferentes ciclos de SPAO1 y la de la variancia fenotípica entre individuos dentro de cada ciclo.
A partir de los resultados de respuesta total obtenida y diferencial de selección acumulado (tabla 8), la estimación de heredabilidad realizada es de 0,63 sobre la base de plantas individuales. Se concluyó que el método de selección adoptado resultó eficiente para elevar el contenido de ácido oleico. La posterior endocría de los individuos seleccionados de C3 está permitiendo la detección de líneas parcialmente endocriadas con porcentajes de oleico superiores al 70% (Percibaldi, comunicación personal, 2010). Varias líneas estabilizadas procedentes de esta población están en etapa final de descripción para su registro en el régimen de propiedad de obtenciones vegetales de Argentina.

Respuestas y diferenciales de selección parciales y acumulados desde C0 a C3, medidos en porcentaje de ácido oleico en la población SPAO1.
Estudios moleculares en relación con la composición relativa de ácidos grasos en maíz
El grupo de trabajo llevó a cabo tres estudios a nivel molecular. El primero consistió en la búsqueda de marcadores moleculares asociados a la modificación en el contenido de ácidos grasos a partir de poblaciones biparentales producto del cruzamiento de dos líneas contrastantes en el contenido de ácidos grasos. El progenitor de alto oleico fue una línea desarrollada por el grupo de trabajo (Dr. Guillermo Eyhérabide) Estos estudios fueron llevados a cabo por las Ings. Agrs. MSc. Carla Delucchi y Ana Rosa Schlatter. Un segundo estudio fue llevado a cabo por la Lic. en Biotecnología Laura Orcellet, como su tesis de grado de la Universidad Nacional de Rosario, bajo la dirección de la Ing. Agr. MSc. Ana Rosa Schlatter. El objetivo fue determinar cambios en la frecuencia de marcadores entre ciclos de selección recurrente de una población de maíz seleccionada en forma recurrente para incremento del porcentaje relativo de ácido oleico. El tercer estudio fue realizado por la Srta. Guillermina Ruiz bajo la dirección de la Ing. Agr. Carla Delucchi como su trabajo final de grado de Licenciatura en Genética de la Universidad Nacional del Noroeste de Buenos Aires. Asimismo se contó con los aportes de la Dra. Sofía Olmos.
Búsqueda y validación de QTLs detectados para composición relativa de ácidos grasos en maíz
El principal QTL que controla la relación entre ácido oleico (18:1) y ácido linoleico (18:2) se localizó en el cromosoma 6 ligado al marcador RFLP umc65. A su vez, el gen ln1, un gen recesivo al cual se le había adjudicado la función de controlar la relación entre los niveles de 18:1 y 18:2, está muy ligado al marcador umc65.
En el Laboratorio de Biotecnología de la EEA Pergamino se evaluaron las líneas parentales de una población de mapeo F2, derivada del cruzamiento LP199 (alto oleico, aproximadamente 50%) x B98 (bajo oleico). Se analizaron mediante 145 microsatélites públicos ubicados en los cromosomas relacionados con el contenido de ácidos grasos, según bibliografía , de los cuales 52 microsatélites resultaron polimórficos. Se caracterizaron 196 individuos de la población F2 proveniente de LP199 x B98, con los 52 marcadores microsatélites polimórficos. A su vez, en sus progenies F3 se determinó el contenido de ácidos grasos mediante cromatografía gaseosa, y utilizando el programa Mapmaker 3.0 se encontraron 3 QTLs en el cromosoma 6 (Schlatter, comunicación personal).
Con el objetivo de validar los QTLs detectados previamente en la EEA Pergamino para composición relativa de ácidos grasos en maíz, se efectuó un mapeo de alta densidad de poblaciones seleccionadas para el carácter.
Se llevó a cabo la saturación de marcadores microsatélites (SSRs) sobre las regiones detectadas a priori como eventuales QTLs en el cromosoma 6, en dos poblaciones de mapeo F2, derivadas de los cruzamientos LP199 (alto oleico) x B98 (bajo oleico), y L1445 (alto oleico) x B98 respectivamente. Para ello se evaluaron las líneas parentales mediante 43 microsatélites públicos ubicados en el cromosoma 6, de los cuales 19 resultaron polimórficos para la población F2 proveniente de LP199 x B98, y 20 para la población F2 derivada de L1445 x B98. Estos están localizados en distintas regiones del cromosoma 6: bnlg161, bnlg238, umc2208 (bin 6,00), bnlg1433, phi077 (bin 6,01), umc1083, umc1178 (bin 6,02), mmc0523, nc009, umc1014, umc1796, umc1857, umc1979 (bin 6,04), umc2055 (bin 6,04-6,05), umc2318, umc2319, nc013, phi445613 ─polimórfico solamente para la población F2 derivada de L1445 x B98─ (bin 6,05), bnlg1136 (bin 6,07), umc2059 (bin 6,09). “Bin” se refiere a un segmento correspondiente a un intervalo de mapeo de aproximadamente 20 centiMorgans. La nomenclatura consiste en un número entero (par cromosómico) seguido por dos decimales. Se utilizaron los microsatélites polimórficos para determinar el genotipo de cada una de las poblaciones F2 (196 y 186 individuos respectivamente, figura 4). En sus progenies F3 se determinó el contenido de ácidos grasos mediante cromatografía gaseosa, según las técnicas de muestreo y analíticas descriptas por Percibaldi et al. (1997).

Microsatélites polimórficos entre las líneas parentales, utilizados para caracterizar las poblaciones F2, derivadas de los cruzamientos LP199 (alto oleico) x B98 (bajo oleico), y L1445 (alto oleico) x B98 respectivamente.
A partir de la información molecular, se construyeron mapas de ligamiento utilizando el programa MapDisto version 1.7.5 (figura 5), y se realizó el análisis de asociación con los datos fenotípicos empleando el programa WinQTLCartographer V2.5, mediante mapeo por intervalo compuesto en las dos poblaciones. Se detectaron dos QTLs para contenido diferencial de ácido oleico y linoleico en los bins 6,04 y 6,05, uno ligado al marcador umc1979 y otro ligado a umc2055 (figura 6). El primero confirmó uno de los QTLs hallados anteriormente, y el segundo indicaría un nuevo QTL detectado relacionado con la composición relativa de ácidos grasos en maíz.

Mapas de ligamiento del cromosoma 6 a partir del genotipo de dos poblaciones de mapeo F2, derivadas de LP199 x B98 y L1445 x B98 respectivamente (LODmin=3, rmax=0,3).

QTLs detectados en las dos poblaciones de mapeo F2, derivadas de LP199 x B98 y de L1445 x B98, mediante mapeo por intervalo compuesto (LOD≥3).

QTLs detectados en las dos poblaciones de mapeo F2, derivadas de LP199 x B98 y de L1445 x B98, mediante mapeo por intervalo compuesto (LOD≥3).
La saturación con microsatélites permitió la validación de un QTL identificado anteriormente en la población F2 proveniente de LP199 x B98 con menos cantidad de microsatélites, y el hallazgo de un nuevo QTL para composición diferencial de ácidos grasos en el aceite de maíz.
Los resultados obtenidos en genotipos desarrollados por el INTA permiten disponer de marcadores ligados a QTLs para contenido relativo de ácido oleico, los cuales podrán ser empleados en futuros programas de selección asistida para el carácter.
Evaluación del cambio de la estructura genética en una población de maíz sometida a selección recurrente mediante microsatélites
Existen antecedentes en el país respecto del progreso obtenible por selección por perfil de composición de ácidos grasos (Eyhérabide et al., 2005), habiendo sido factible llegar a niveles de 18:1 que duplican los del aceite de maíz que se comercializa en Argentina. En la Estación Experimental Agropecuaria Pergamino del INTA a partir del cruzamiento entre cuatro líneas con contenidos relativos de ácido oleico entre 45 y 50% se generó, entre otras, la población SPAO1, que posteriormente se mejoró mediante selección recurrente fenotípica para el carácter alto contenido de ácido oleico. En el segundo ciclo de selección se llegó a un promedio de 64% de ácido oleico. La elevada magnitud de la respuesta a la selección y el aparente agotamiento de la respuesta en el término de tres a cuatro ciclos de selección sugieren un control eminentemente aditivo del carácter, al mismo tiempo que el control de este no dependería de un número importante de genes o factores efectivos. En este estudio se analizaron tres ciclos de la población SPAO1 (C0, C1 y C2).
Para realizar la caracterización molecular o genotípica, se analizaron 5 individuos de cada línea parental (LP125R, L58, LP199 y LP1512), 20 individuos en total, y 30 individuos de cada población mejorada C0, C1 y C2.
La extracción de ADN genómico se realizó a partir de material fresco de hojas de plántulas y se llevó a cabo según el protocolo de Kleinhofs et al. (1993). La cuantificación y el control de la integridad del ADN extraído, se determinó visualmente y en comparación a muestras de ADN de concentración conocida. Para ello, el ADN se sembró en geles de agarosa al 0,8% con bromuro de etidio (0,1mg ml-1) y se visualizaron en un transiluminador de luz UV.
Se realizó la caracterización molecular analizando 66 microsatélites públicos en las líneas parentales y seleccionando los que presentaban las mejores características para utilizarlos en el análisis de las poblaciones. Se eligieron y probaron en las poblaciones entre dos y cuatro microsatélites por cromosoma, en total se evaluaron 23 microsatélites. Las secuencias de los cebadores (primers) se encuentran publicadas en MaizeGDB (http://www.maizegdb.org) y se enviaron a sintetizar al laboratorio Alpha DNA (http://www.alphadna.com).
Las reacciones de amplificación (PCR) se llevaron a cabo en placas de 96 pocillos en un termociclador PTC-100 (MJ Research, Inc. Watertown, MA), programado con una temperatura inicial de desnaturalización de 94 °C durante 5 min. Las condiciones de los ciclos fueron las siguientes: desnaturalización a 94 °C durante 30 segundos y elongación a 72 °C durante 30 segundos. Las temperaturas de hibridación se programaron con un gradiente de temperatura comenzando a 65 °C y finalizando a 50 °C después de 15 ciclos. En los 35 ciclos remanentes la temperatura de hibridación fue de 55 °C, durante 30 segundos cada ciclo. La etapa final de elongación fue de 72 °C durante 10 minutos. Esta técnica, conocida como “Touchdown” o Amplificación con rampa decreciente de temperaturas, se basa en comenzar la reacción de PCR a temperaturas altas, evitando así amplificaciones inespecíficas, para ir disminuyéndola progresivamente una vez copiadas las primeras secuencias diana. Las muestras se amplificaron en un volumen de reacción de 13 µl. Cada reacción contenía 200 µM de dNTPs, 1,5 mM de Mg++, 250 nM de cada oligonucleótido (primer o cebador), 0,5 U de Taq-polimerasa, y 30 ng de ADN templado.
Los productos de amplificación fueron separados mediante electroforesis vertical en cubas de secuenciación en geles desnaturalizantes de poliacrilamida 6% (19:1 acrilamida:bisacrilamida) con separadores de 0,4 mm, a 55 Watts durante 1 hora, y se detectaron mediante tinción con nitrato de plata, de acuerdo al protocolo de tinción con plata para secuenciación de Promega Corp. Los resultados se evaluaron manualmente, colocando los vidrios sobre un transiluminador de luz blanca. Para determinar el tamaño de los fragmentos amplificados se utilizaron como estándares marcadores de tamaño molecular de 25 pb de ADN, Step Ladder DNA (Invitrogen®, Carlsbad, CA) y los productos de amplificación de diferentes tamaños fueron considerados como diferentes alelos. Para el cálculo de los tamaños se utilizó la forma local del algoritmo de los recíprocos (Elder y Southern, 1987). Este método utiliza una regresión hiperbólica para interpolar el tamaño empleando una ecuación unificada con los datos de los estándares.
Los cebadores para los 23 loci analizados generaron productos de amplificación en las tres poblaciones en estudio. Se identificaron en total 69 alelos (promedio de tres alelos por locus), que variaron en número por microsatélite desde dos hasta cinco alelos por locus (figura 7). Los tamaños de los alelos comprendieron un rango entre 111 pb y 337 pb.

Loci bnlg1823 (arriba) y bnlg1325 (abajo) utilizados para caracterizar las tres poblaciones mejoradas, C0, C1 y C2. LP: alelos presentes en las líneas parentales, LP125R, L58, LP199 y LP1512. Las flechas indican los alelos identificados.

Loci bnlg1823 (arriba) y bnlg1325 (abajo) utilizados para caracterizar las tres poblaciones mejoradas, C0, C1 y C2. LP: alelos presentes en las líneas parentales, LP125R, L58, LP199 y LP1512. Las flechas indican los alelos identificados.
A fin de realizar el análisis estadístico de los datos se construyó una matriz binaria a partir de las frecuencias absolutas obtenidas en el análisis de las poblaciones, donde cada fila representa un individuo y las columnas representan los loci analizados. Se calcularon las frecuencias alélicas utilizando el programa Tools for Population Genetic Analyses (TFPGA, Miller, 1997; figura 8). Se estimó el nivel de polimorfismo mediante el cálculo del contenido de información polimórfica (PIC) de los marcadores. El PIC se obtuvo empleando la fórmula mencionada por Anderson et al. (1993), y se calculó para cada locus por ciclo y valores promedio por locus y por ciclo. Los valores de PIC variaron desde 0 hasta 0,74 por microsatélite, con un promedio general de 0,5. Se observó una reducción en el valor de PIC promedio al pasar del primer ciclo de selección al siguiente de 0,56 a 0,46, que también se evidenció en el aumento de la proporción de individuos homocigotas, de 64,7% a 69,3%, al pasar del primer ciclo de selección al segundo.

Distribución de frecuencias para cada uno de los tres alelos encontrados en el locus umc1887. Se puede observar claramente el aumento de la frecuencia del alelo uno y la reducción en la frecuencia del alelo tres luego de cada ciclo de selección.
Se calculó la diferenciación interpoblacional existente a través de las diferencias observadas en las frecuencias alélicas y genotípicas. Para esto se utilizó la Prueba Exacta de Raymond y Rousset (Exact test for population differentiation; Raymond y Rousset, 1995) que incorpora el procedimiento de cadena de Markov. Este método es más adecuado para el análisis de loci multialélicos que un análisis x2 convencional (Rossini Pinto et al., 2003). La prueba exacta arrojó valores de x2 que permitieron concluir que se produjo un cambio altamente significativo (p<0,001) en la estructura genética, que podría atribuirse al proceso de selección.
Los valores de p obtenidos mediante la Prueba Exacta fueron analizados con el fin de detectar loci en los que se hayan producido variaciones significativas en las frecuencias alélicas a lo largo de los ciclos de selección y proponer una asociación entre las ubicaciones cromosómicas encontradas y el criterio utilizado en el método de selección. Se encontraron 8 loci con cambios altamente significativos (p<0,001) en las frecuencias alélicas entre los ciclos C0 y C2: phi402893 (2,00), phi96100 (2,01), bnlg2248 (2,03), phi029 (3,04), phi021 (4,03), phi113 (5,03-5,04), bnlg1823 (8,07) y umc1366 (9,06). Los siguientes loci presentaron cambios muy significativos (p<0,01): bnlg1325 (3,03) y phi389203 (6,03). Por último, los loci umc1887 (6,03-6,04), phi034 (7,02) y phi068 (9,01) sufrieron cambios significativos (p<0,05) en las frecuencias alélicas entre los ciclos C0 y C2.
Los resultados concuerdan con antecedentes donde se hallaron loci relacionados con el contenido de ácido oleico en los cromosomas 2 (Plewa y Weber, 1975), 4 (Widstrom y Jellum, 1984), 5 (Shadley y Weber, 1980) y 6 (Poneleit, 1976). Además, el marcador umc1887 (bin 6,03-6,04) se encuentra cercano al marcador umc65a y existen antecedentes que indican que este último está ligado al locus ln1 (Alrefai, 1995) que sería el locus para el gen de la desaturasa omega 6, que convierte oleico a linoleico y es el principal QTL que controla estos niveles. La asociación de este marcador (umc1887) con el gen ln1 aporta una nueva aproximación al QTL que controla la relación entre ambos ácidos grasos.
El presente trabajo formó parte del Proyecto Nacional de INTA, Resolución 789/04, título: Mejoramiento de la sanidad y calidad industrial de maíz y arroz mediante selección asistida por marcadores moleculares.
Conversión de líneas elite de maíz a versiones alto oleico asistida por marcadores moleculares
En INTA Pergamino se llevó a cabo la saturación de marcadores microsatélites (SSRs) sobre las regiones detectadas a priori como eventuales QTLs en el cromosoma 6, en dos poblaciones de mapeo F2, derivadas de los cruzamientos LP199 (alto oleico) x B98 (bajo oleico), y L1445 (alto oleico) x B98 respectivamente (Delucchi et al., 2012). Por un lado, se detectaron QTLs para contenido diferencial de ácido oleico y linoleico en los bins 6,04 y 6,05, lo que permitió la validación de un QTL identificado anteriormente en la población F2 LP199 x B98 con menos cantidad de microsatélites. Por otro lado, Zheng et al. (2008) demostraron que un QTL alto aceite (qHO6) que afecta los contenidos de aceite y ácido oleico en maíz, codifica una acil-CoA:diacilglicerol aciltransferasa (DGAT1-2) que cataliza la última etapa de la síntesis de aceite. Además, detectaron que la inserción de una fenilalanina en DGAT1-2 en la posición 469 (F469) es responsable del aumento en los contenidos de aceite y de ácido oleico. El alelo DGAT1-2 con F469 es ancestral, mientras que el alelo sin F469 es un mutante más reciente seleccionado por domesticación o mejoramiento. El objetivo del trabajo fue desarrollar marcadores moleculares que permitan seleccionar más eficientemente maíz con aceite alto oleico.
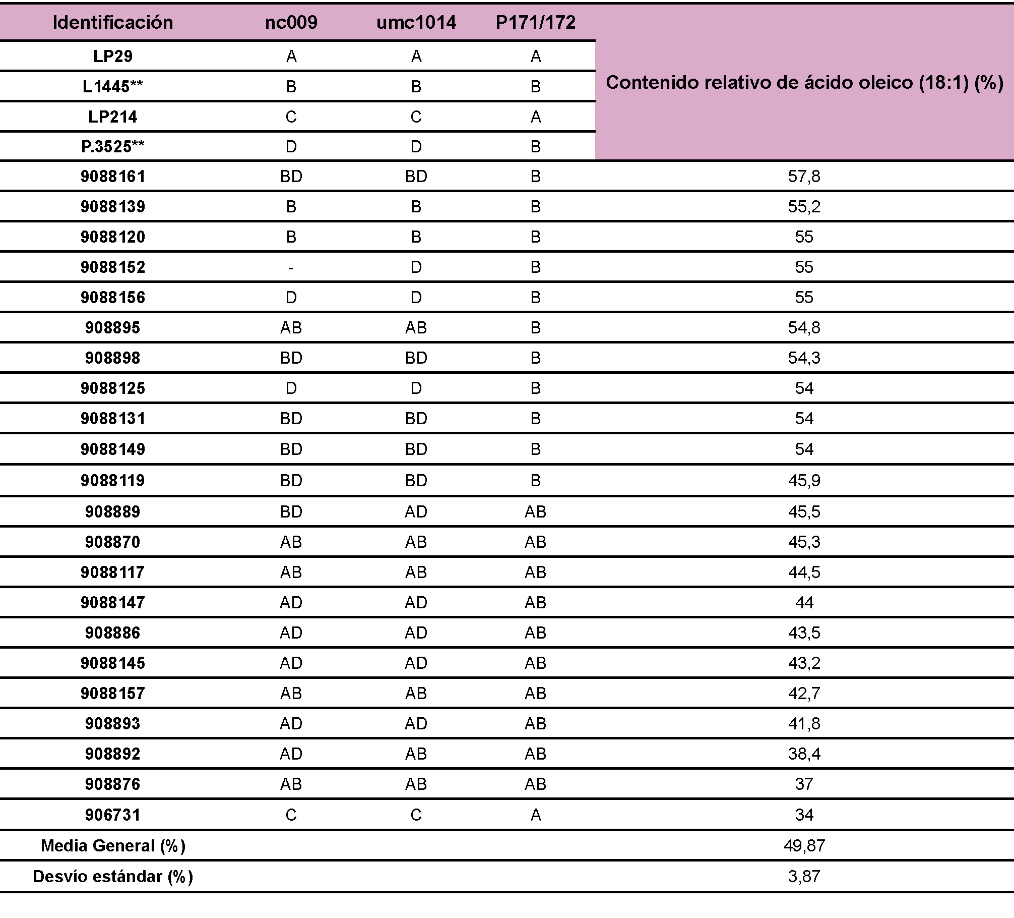
A las líneas élite LP29 y LP214 de INTA Pergamino se les está incorporando el carácter cuantitativo alto contenido de ácido oleico. Se realizaron los cruzamientos y retrocruzamientos a dos líneas inéditas donantes, L1445 y P.3525 respectivamente. Plantas RC1 fueron autofecundadas y su grano RC1F2 evaluado por contenido de ácido oleico, siguiendo las técnicas de muestreo y analíticas descriptas por Percibaldi et al. (1997). Las plantas con mayor contenido de ácido oleico fueron seleccionadas y recombinadas. Una muestra de los individuos resultantes fue cultivada en la campaña siguiente. De estos individuos se tomaron muestras de hojas para análisis de marcadores moleculares, y se determinó el contenido de ácidos grasos mediante cromatografía gaseosa en las espigas provenientes de autofecundación. En estudios previos del INTA se diseñó un par de primers (P171/172) para el polimorfismo del gen DGTA. Según estudios de mapeo que se realizaron en poblaciones biparentales, el marcador relacionado con el gen DGTA se localiza en el cromosoma 6, ligado al QTL anteriormente detectado (figura 9). Se analizaron en total 75 plantas con el marcador del gen DGTA, y también con dos marcadores microsatélites ligados al QTL de interés (nc009 y umc1014).

QTLs detectados en una población biparental para el carácter alto contenido de ácido oleico, mediante marcadores microsatélites y un marcador diseñado relacionado con el gen DGTA (P171/172).
El contenido de ácido oleico varió entre 75 plantas evaluadas desde 57,8 a 34%, con una media de 49,87 y un desvío estándar de 3,87 (tabla 9). Los 44 individuos que se ubicaron por encima de la media presentaron con una frecuencia relativa de 0,91 el alelo + del marcador relacionado con el gen DGTA en homocigosis. Se detectó también en la mitad superior el alelo alto oleico en homocigosis en un 84% y 80% de los casos para los dos marcadores microsatélites ligados al QTL de interés. Los 30 individuos ubicados por debajo de la media mostraron genotipos heterocigotas para el marcador DGTA con una frecuencia relativa de 0,57, y entre el 57% y 60% exhibieron genotipos heterocigotas para los dos microsatélites ligados (con el alelo alto oleico y el de la línea recurrente). Si se consideran los individuos con contenido de ácido oleico superior a la suma de la media más un desvío estándar, el 100% de estos reveló ser homocigota para el alelo + del marcador relacionado con DGTA, y el 90% lo demostró para el alelo alto oleico en los microsatélites ligados. Por el contrario, de los individuos ubicados por debajo del valor de la media menos un desvío estándar, el 91% resultó heterocigota para el marcador del gen DGTA, y también se detectaron 82 y 91% de heterocigotas para los dos microsatélites ligados respectivamente.

Contenido relativo de ácido oleico de los individuos evaluados y alelos detectados para los tres marcadores analizados*. El individuo 906731 proviene de la línea LP214, los demás de LP29.
* Datos de individuos con contenido de ácido oleico superior a la suma de la media más un desvío estándar e inferior a la media menos un desvío estándar.
** Los alelos B y D de las líneas donantes se consideraron equivalentes en los marcadores nc009 y umc1014, debido a que poseen un antecesor común, y por lo tanto podrían evidenciar cualquiera de los dos alelos.
Las frecuencias relativas encontradas sugieren que existe una fuerte asociación entre el contenido relativo de ácido oleico y los marcadores moleculares analizados. A su vez, se observó una alta frecuencia de coincidencia entre el alelo + del marcador del gen DGTA y los alelos alto oleico de los microsatélites ligados, lo que confirmaría los resultados de los estudios de mapeo realizados en poblaciones biparentales.
Los resultados obtenidos señalan la relevancia de utilización de los marcadores moleculares analizados, tanto el relacionado al gen DGTA como los microsatélites ligados al QTL de interés, en programas de selección asistida para maíz alto oleico.
Los dos últimos trabajos presentados forman parte de los Proyectos de INTA PNCYO 1127043 y PNBIO-1131042.
BIBLIOGRAFÍA
ALEZONES, J.; ÁVILA, M.; CHASSAIGNE, A.; BARRIENTOS, V. 2010. Caracterización del perfil de ácidos grasos en granos de híbridos de maíz blanco cultivados en Venezuela. Archivos Latinoamericanos de Nutrición. Vol. 60 N.º 4.
ALREFAI, R.; BERKE, T.G.; ROCHEFORD, T.R. 1995. Quantitative trait locus analysis of fatty acid concentrations in maize. Genome 38: 894-901.
ÁLVAREZ, A. 2006. Aplicaciones del maíz en la tecnología alimentaria y otras industrias. Maíz y Nutrición. Recopilación de ILSI Argentina, 9-14.
ANDERSON, J.A.; CHURCHILL, G.A.; SUTRIQUE, J.E.; TANKSLEY, S.D.; SORRELS, M.E. 1993. Optimizing parental selection for genetic linkage maps. Genome 36:181-186.
ARUMUGANATHAN, K.; EARLE, E. 1991. Nuclear DNA Content of some Important Plant Species. Plant Molecular Biology Reporter, 9, 208-218.
ASOCIACIÓN ARGENTINA DE GRASAS & ACEITES (ASAGA) 2003. Jornada de Lípidos, Nutrición y Salud. El girasol y maíz como fuente de alimentación saludable. (Disponible: http://www. asaga.org.ar/index.php/es/institucional/actividades verificado: 29 de abril de 2015).
BALCONI, C.; HARTINGS, H.; LAURIA, M.; PIRONA, R.; ROSSI, V.; MOTTO, M. 2007. Gene Discovery to Improve Maize Grain Quality Traits. Maydica 52: 357-373.
BORISJUK, L.; ROLLETSCHEK, H. 2009. The oxygen status of the developing seed. New Phytologist 182:17-30.
BOYER, C.D.; HANNAH, L.C. 2001. Kernel mutants of corn. En: HALLAUER, A.R. (Ed.). Specialty corns, 2.a. ed., CRC Press, Boca Raton, FL, EUA. 1-32 pp.
BROWSE, J.; SOMERVILLE, C. 1991. Glycerolipid synthesis: biochemistry and regulation. Annual Review of Plant Physiology and Plant Molecular Biology, 42, 467-506.
CALVANI, M.; BENATTI, P. 2003. Polyunsaturated fatty acids (PUFA). Sigma-Tau S.P.A. 43 p.
CARRERO, I.; HERRÁEZ, A. 2013. El mundo de los lípidos. Biomodel: model2, España.
CHAI, Y.; HAO, X.; YANG, X.; ALLEN, W.B.; LI, J.; YAN, J.; SHEN, B.; LI, J. 2012. Validation of DGAT1-2 polymorphisms associated with oil content and development of functional markers for molecular breeding of high-oil maize. Mol. Breed. 29: 939-949.
CONNOR, D.; HALL, A. 1997. Sunflower physiology. Sunflower Science and Technology. Schneiter. American Society of Agronomy, EUA 113-182 pp.
CORCUERA, V.R. 2013. Mejora Genética del Maíz. Desarrollo de Híbridos de Uso Especial. (Uso de Descriptores Agronómicos, Químicos y Métodos Estadísticos aplicados al Análisis de Ensayos Multiambientales), 521 páginas. Ed. PUBLICIA, AV Akademikerverlag GmbH & Co. KG, Saarbrücken, Alemania.
CORONADO HERRERA, M.; VEGA y LEÓN, S.; REY GUTIÉRREZ, T.; GARCÍA FERNÁNDEZ, B.; DÍAZ GONZÁLEZ, G. 2006. Los ácidos grasos omega-3 y omega-6: nutrición, bioquímica y salud. Revista de Educación Bioquímica, 25(3): 72-79.
CRUPKIN, M.; ZAMBELLI, A. 2008. Detrimental impact of trans fats on human health: Stearic acid-rich fats as possible substitutes. Comprehensive Reviews in Food Science and Food safety. 7:271-279.
DEFACIO, R.; PERCIBALDI, M.; BRAMARDI, S.; FERRER, M. 2007. Fatty acid composition of oil from 141 Argentinean maize (Zea mays) accessions from Buenos Aires province. Instituto Nacional de Tecnología Agropecuaria. (Disponible:http://www.inta. gov.ar/pergamino/info/documentos/t_maiz/artic36.htm verificado: 29 de abril de 2015).
DELUCCHI, C.; MOLINS, L.G.; DECKER, V.N.; PERCIBALDI, M.; EYHÉRABIDE, G.H. 2012. Determinación de las bases moleculares de la composición relativa de ácidos grasos en maíz. BAG. Journal of basic and applied Genetics. vol. 23 supl.1, Ciudad Autónoma de Buenos Aires.
DEPETRIS, G.J.; SANTINI, F.J. 2006. Particularidades nutricionales del grano de maíz en la alimentación de bovinos de carne. Maíz y Nutrición. Informe sobre los usos y las propiedades nutricionales del maíz para la alimentación humana y animal, Recopilación de ILSI Argentina. Serie de Informes Especiales, volmen ii, 28-31 pp.
DUNLAP, F.G.; WHITE, P.J.; POLLAK, L.M.; BRUMM, T.J. 1995. Fatty acid composition of oil from adapted, elite corn breeding materials. Journal of the American Oil Chemists Society, 72 (9), 981-987.
ELDER, J.K.; SOUTHERN, E.M. 1987. Computer–aided analysis of one-dimensional restriction fragment gels. EN: BISHOP, M.J.; RAWLINGS, C.J. (Eds.). Nucleic acid and protein sequence analysis: a practical approach. IRL Press, Oxford. 165-172 pp.
ERKKILÄ, A.; DE MELLO, V.D; RISÉRUS, U.; LAAKSONEN, D.E. 2008. Dietary fatty acids and cardiovascular disease: an epidemiological approach. Progress in Lipid Research 47: 172-187.
EYHÉRABIDE, G.H.; PERCIBALDI, N.M.; BORRÁS, F.S.; PRESELLO, D.A. 2005. Mejoramiento de la calidad nutricional del aceite de maíz mediante el desarrollo y selección recurrente intrapoblacional. viii Congreso Nacional de Maíz,, Rosario, Argentina. 336-339 pp.
FRANKEL, E.N. 2014. Lipid Oxidation. Second edition. Woodhead Publishing in Food Science, Technology and Nutrition; 8:187-208.
GOLDMAN, I.L.; ROCHEFORD, T.R.; DULDEY, J.W. 1994. Molecular markers associated with maize kernel oil concentration in an Illinois High Protein x Illinois Low Protein cross. Crop Sci, 34: 908-915.
GRIGUOL, V.; LEÓN-CAMACHO, M.; VICARIO, I.M. 2007. Revisión de los niveles de ácidos grasos trans encontrados en distintos tipos de alimentos. Grasas y Aceites. 58(1): 87-98.
GUNSTONE, F.D. 2001. Oilseed crops with modified fatty acid composition. J. Oleo Science, 50: 269-279.
HALLAUER, A.R.; MIRANDA FILHO, J.B. 1988. Quantitative genetics in maize breeding. 2nd. Ed. Iowa State University Press, Ames, Iowa, EUA.
HARWOOD, J. 1998. Environmental effects on plant lipid biochemistry. En: HARWOOD, J. (ed.). Plant lipid biosynthesis Series: Society for Experimental Biology, Seminar Series 67. Cambridge University Press.
HOURQUESCOS, M.J.; EYHÉRABIDE, G.H.; PERCIBALDI, N.M.; BORRÁS, F.S.; ROBUTTI, J.L. 2001. Actas vii Congreso Nacional de Maíz. AIANBA.
HU, F.B.; STAMPFER, M.J.; MANSON, J.E.; RIMM, E.; COLDITZ, G.A.; ROSNER, B.A.; HENNEKENS, C.H.; WILLET, W.C. 1997. Dietary fat intake and the risk of coronary heart disease in women. New England Journal of Medicine, 337, 1491-1499.
INSTITUTO INTERNACIONAL DE CIENCIAS DE LA VIDA (ILSI). 2014. Base de datos de la composición del grano de cultivo de maíz, versión 4.2.
INSTITUTO DE ESTUDIOS SOBRE LA REALIDAD ARGENTINA Y LATINOAMERICANA (IERAL) de Fundación Mediterránea. 2011. Una Argentina Competitiva, Productiva y Federal. La cadena del maíz y sus derivados industriales. Documento de trabajo, Año 17, Edición N.° 99.
IZQUIERDO, N.G.; DOSIO, G.A.A.; CANTARERO, M.; LUJAN, J.; AGUIRREZÁBAL, L.A.N. 2008. Weight per grain, oil concentration, and solar radiation intercepted during grain filling in black hull and striped hull sunflower hybrids. Crop Science 48: 688-699.
JELLUM, M.D. 1970. Plant introductions of maize as a source of oil with unusual fatty acid composition. Journal of Agriculture and Food Chemistry, 18, 365-370.
KHOSLA, P.; HAYES, K.C. 1996. Dietary trans-monounstaturated fatty acids negatively impact plasma lipids in humans: critical review of the evidence. Journal of the American College of Nutrition, 15(4), 325-339.
KLEINHOFS, A.; KILIAN, A.; SAGHAI MAROOF, M.A.; BIYASHEV, R.M.; HAYES, P.M.; CHEN, F.Q.; LAPITAN, N.; FENWICK, A.; BLAKE, T.K.; KANAZIN, V.; ANANIEV, E.; DAHLEEN, L.; KUDRNA, D.; BOLLINGER, J.; KNAPP, S.J.; LIU, B.; SORRELLS, M.; HEUN, M.; FRANCKOWIAK, J.D.; HOFFMAN, D.; SKADSEN, R.; STEFFENSON, B.J. 1993. A molecular, isozyme and morphological map of the barley (Hordeum vulgare) genome. Theor. Appl. Genet. 86: 705-712.
LAMBERT, R.J. 2001. High-oil corn hybrids. En: HALLAUER, A.R. (Ed.). Specialty corns. 2da ed. CRC Press Boca Raton, FL, EUA. 479 p.
LAURIE, C.C.; CHASALOW, S.D.; LEDEAUX, J.R.; MCCARROLL, R.; BUSH, D.; HAUGE, B.; LAI, C.; CLARK, D.; ROCHEFORD, T.R.; DUDLEY, J.W. 2004. The genetic architecture of response to long-term artificial selection for oil concentration in the maize kernel. Genetics 168: 2141-2155.
LEHNINGER, A.; NELSON, D.; COX, M. 1993. Principles of Biochemistry. Second edition. Worth Publisher, Nueva York. 1013 p.
LUNN, J. 2007. Monounsaturates in the diet. British Nutrition Foundation, Nutrition Bulletin. 32:378-391.
MANGOLIN, C.A.; DE SOUZA, JR. C.L.; GARCIA, A.A.F.; GARCIA, A.F.; SIBOV, S.T.; DE SOUZA, A.P. 2004. Mapping QTLs for kernel oil content in a tropical maize population. Euphytica 137: 251-259.
MANTESE, A.; MEDAN, D.; HALL, A. 2006. Achene Structure, Development and Lipid Accumulation in Sunflower Cultivars Differing in Oil Content at Maturity. Annals of Botany 97(6): 999-1010.
MILLER, M. P. 1997. Tools for population genetic analyses (TFPGA) 1.3: A Windows program for the analysis of allozyme and molecular population genetic data. Computer software distributed by author, 4, 157.
MOTTO, M.; BALCONI, C.; HARTINGS, H.; ROSSI, V. 2010. Gene discovery for improvement of kernel quality-related traits in maize. Genetika, Vol. 42, N.o 1, 23-56.
MORA, F.; ARNHOLD, A. 2006. Inferencia Bayesiana y metodología de modelos lineales mixtos aplicados al mejoramiento del maíz. Ciencia e Investigación Agraria 33: 217-223.
OLIVERA CARRIÓN, M. 2006. Aporte nutricional de las principales formas de consumo del maíz en la alimentación humana. Maíz y Nutrición. Informe sobre los usos y las propiedades nutricionales del maíz para la alimentación humana y animal. Recopilación de ILSI Argentina. Serie de Informes Especiales, volumen ii, 56-62 pp.
OLMOS, S.; SCHLATTER, A.R.; DELUCCHI, C.; RAVERA, M.; NEGRI, M.E.; MANDOLINO, C.; MROGINSKI, E.; EYHÉRABIDE, G. 2010. Estimación de la estructura genética en las líneas de maíz de INTA Pergamino mediante el programa STRUCTURE v.2.33. Actas resúmenes de trabajos presentados en el Congreso Nacional de Maíz, Rosario, Argentina.
ONYANGO, A.; MWASARU, M.; KOAZE, H.; BABA, N. 2000. Lipids characterization of some Kenyan Varieties. Scientific Reports of the Faculty of Agriculture, Okayama University: 89: 1-3.
ORCELLET, M. L. 2007. Evaluación del cambio de la estructura genética en una población de maíz sometida a selección recurrente, mediante microsatélites. Tesis Licenciado en Biotecnología, UNR – EEA INTA – Pergamino.
ORCELLET, M.L.; SCHLATTER, A.R.; EYHÉRABIDE G.H. 2007. Evaluación del cambio de la estructura genética en una población de maíz (Zea mays L.) sometida a selección recurrente, mediante microsatélites. REDBIO-Chile.
ORTEGA, R.M. 2013. Importancia de las grasas en la alimentación. Publicación Prejuicios y verdades sobre las grasas y otros alimentos, Madrid: Universidad Complutense, 2-17.
ORTHOEFER, F.; EASTMAN, J.; LIST, G. 2003. Corn oil: composition, processing and utilization. En: WHITE, P.J.; JOHNSON, L.A. (Eds.). Corn Chemistry and Technology. Minnesota: American Association of Cereal Chemists. 671-694 pp.
PALIWAL, R.L. 2001. Mejoramiento del maíz por selección recurrente. En: PALIWAL, R.L.; GRANADOS, G.; LAFITTE, H.R.; VIOLIC, A.D. (Eds.). El maíz en los trópicos: Mejoramiento y producción.. Food and Agriculture Organization of the United Nations. Roma.
PAMIN, K.; COMPTON, W.A.; WALKER, C.E.; ALEXANDER, D.E. 1986. Genetic variation and selection response for oil composition in corn. Crop Science, 26, 279-282.
PERCIBALDI, N.M.; BORRÁS, F.S.; ROBUTTI, J.L. 1997. Método rápido de extracción y metilación para determinar ácidos grasos en mejoramiento genético de aceite de maíz. Actas vi Congreso Nacional de Maíz, Capítulo iv, 5-8.
PLEWA, M.J.; WEBER, D.F. 1975. Monosomic analysis of fatty acid composition in embryo lipids of Zea mays L. Genetics, 81, 277-286.
PONELEIT, C.G. 1976. Chromosome location for control of oleic and linoleic acids in corn oil. Agron. Abs. 8: 59.
PRITCHARD, J.K.; STEPHENS, M.; ROSENBERG, N.A.; DONNELLY, P. 2000. Association mapping in structured populations. Am. J. Hum. Genet. 67: 170-181.
RATNAYAKE, W.M.N.; PELLETIER, G.; HOLLYWOOD, R.; BACLER, S.; LEYTE, D. 1998. Trans fatty acids in Canadian margarines: recent trends. Journal of the American Oil Chemists’ Society 75: 1587-1594.
RAYMOND, M.; ROUSSET, F. 1995. An exact test for population differentiation. Evolution 49, 1280-1283.
REYNOLDS, T.L.; NEMETH, M.A.; GLENN, K.C.; RIDLEY, W.P.; ASTWOOD, J.D. 2005. Natural variability of metabolites in maize grain: differences due to genetic background. Journal of Agricultural and Food Chemistry, 53: 10061-10067.
ROBBELEN, G. 1991. The genetic improvement of seed oil. Chem. Ind., 713-716.
ROBUTTI, J.L. 2004. Calidad y usos del maíz. IDIA xxi: Revista de información sobre investigación y desarrollo agropecuario 6(4): 100-104.
ROSSINI PINTO, L.; CARNEIRO VIEIRA, M.L.; LOPES DE SOUZA JR.C.; PEREIRA DE SOUZA, A. 2003. Reciprocal recurrent selection effects on the genetic structure of tropical maize populations assessed at microsatellite loci. Genetics & Mol. Biol., 26 (3), 355-364.
RUIZ, M.G.; OLMOS, S.O.; PERCIBALDI, N.M.; DELUCCHI, C.; EYHÉRABIDE, G.E. 2014. Conversión de líneas elite de maíz a versiones alto oleico asistida por marcadores moleculares. Actas resúmenes de trabajos presentados en x Congreso Nacional de Maíz “Maíz HD”.
SALEEM, M.; AHSAN, M.; ASLAM, M.; MAJEED, A. 2008. Comparative evaluation and correlation estimates for grain yield and quality attributes in maize. Pak. J. Bot. 40(6): 2361-2367.
SCAPIM, C.A.; OLIVEIRA, V.R.; BRACCINI, A.L.; CRUZ, C.D.; ANDRADE, C.A.B.; VIDIGAL, M.C.G. 2000. Yield stability in maize (Zea mays L.) and correlations among the parameters of the Eberhart and Russell, Lin and Binns and Huehn models. Genet. Mol. Biol. 23: 387-393.
SECRETARÍA DE AGRICULTURA, GANADERÍA, PESCA Y ALIMENTOS (SAGPyA(). 2003. Exportaciones de granos según destinos. Boletín de Agosto, Buenos Aires.
SHADLEY, J.D.; WEBER, D.F. 1980. Identification of a factor in maize that increases embryo fatty acid unsaturation by trisomic and B-A translocational analyses. Can. J. Genet. Cytol., 22, 11-19.
SHEN, N.; DUVICK, S.; WHITE, P.; POLLAK, L. 1999. Oxidative Stability and Aroma Scan Analyses of Corn Oils with Altered Fatty Acid Content. JAOCS. 76(12): 1425-1429.
SONG, X.F.; SONG, T.M.; DAI, J.R.; ROCHEFORD, T.; LI, J.S. 2004. QTL mapping of kernel oil concentration with high-oil maize by SSR markers. Maydica 49: 41-48.
SPRAGUE, G.F.; BRIMHALL, B. 1950. Relative effectiveness of two systems of selection for oil content of the corn kernel. Agron. J. 42: 83-88.
STATISTICAL DISCOVERÝ (SAS). 2007. Institute, JMP a business unit of SAS. Version 7.0.2. SAS Institute Inc.
STEEL, R.G.D.; TORRIE, J.H. 1980. Principles and procedures of statistics. A biometrical approach. McGraw-Hill.
SUN, D.; GREGORY, P.; GROGAN, C.O. 1978. Inheritance of saturated fatty acids in maize. J. Hered., 69, 341-342.
THE FOOD AND AGRICULTURE ORGANIZATION OF THE UNITED NATIONS (FAO) 2003. Selected indicators of food and agriculture development in Asia-Pacific region. RAP Publication 2003/10, Bangkok, Tailandia, 207 p.
UNITED STATES DEPARTMENT OF AGRICULTURE (USDA). 2014. Informe de Estimaciones de Oferta y Demanda Mundial de Granos N.º 506.
VELASCO, L.; FERNÁNDEZ-MARTÍNEZ, J.M. 2002. Breeding oilseed crops for improved oil quality. Journal of Crop Production. 5: 309-344.
VELÁSQUEZ, G. 2006. Fundamentos de alimentación saludable. Editorial Universidad de Antioquia, Medellín, 47 p.
WAGNER, K.H.; AUER, E.; ELMADFA, I. 2000. Content of trans fatty acids in margarines, plant oils, fried products and chocolate spreads in Austria. European Food Research and Technology 210, 237-241.
WARNER, K.; KNOWLTON, S. 1997. Frying Quality and Oxidative Stability of High-Oleic Corn Oils. JAOCS. 74(10): 1317-1321.
WASSOM, J.; MIKKELINENI, V.; BOHN, M.; ROCHEFORD, T. 2008. QTL for Fatty Acid Composition of Maize Kernel Oil in Illinois High Oil × B73 Backcross-Derived Lines. Crop Sci. 48: 69-78.
WEBER, E.J. 1982. Genetic diversity in cereal lipids. Proceedings of the 7th World Cereal and Bread Congress held at Prague. 195-200 pp.
WEBER, E.J. 1983. Variation in corn (Zea mays L.) for fatty acid compositions of triglycerides and phospholipids. Biochemical Genetics, 21, 1-13.
WEBER, E.J. 1987. Lipids of the kernel. En: WATSON, S.A.; RAMSTAD, P.E. (Eds.). Corn: Chemistry and Technology. American Association of Cereal Chemists, St. Paul, Minnesota, 311-349 pp.
WEI, F.; ZHANG, J.; ZHOU, S.; HE, R.; SCHAEFFER, M.; COLLURA, K.; KUDRNA, D.; FAGA, B.P.; WISSOTSKI, M.; GOLSER, W.; ROCK, S.M.; GRAVES, T.A.; FULTON, R.S.; COE, E.; SCHNABLE, P.S.; SCHWARTZ, D.C.; WARE, D.; CLIFTON, S.W.; WILSON, R.K.; WING, R.A. 2009. The physical and genetic framework of the maize B73 genome. PLoS Genet. 5: e1000715.
WHITE, P.J.; WEBER, E.J. 2003. Lipids of the kernel. En: WHITE, P.J.; JOHNSON, L.A. (Eds.). Corn: Chemistry and Technology. American Association of Cereal Chemists, St. Paul, Minnesota. 355-405 pp.
WIDSTROM, N.W.; JELLUM, M.D. 1984. Chromosomal location of genes controlling oleic and linoleic acid composition in the germ oil of two maize inbreds. Crop Science, 24, 1113-1115.
WRIGHT, A. 1995. A gene conditioning High oleic maize oil, olc1. Maydica, 40, 85-88.
YANG, X.; GUO, Y.; YAN, J.; ZHANG, J.; SONG, T.; ROCHEFORD, T.; LI, J.S. 2010. Major and minor QTL and epistasis contribute to fatty acid compositions and oil content in high-oil maize. Theor Appl Genet 120: 665-678.
ZHENG, P.; ALLEN, W.B.; ROESLER, K.; WILLIAMS, M.E.; ZHANG, S.; LI, J.; GLASSMAN, K.; RANCH, J.; NUBEL, D.; SOLAWETZ, W.; BHATTRAMAKKI, D.; LLACA, V.; DESCHAMPS, S.; ZHONG, G.; TARCZYNSKI, M.C.; SHEN, B. 2008. A phenylalanine in DGAT is a key determinant of oil content and composition in maize. Nature Genetics, 40, 367-372.
ZUIL, S. 2009. Híbridos de maíz y girasol con calidad de aceites mejorada. Efecto de radiación solar interceptada y temperatura sobre su composición acídica. Tesis de maestría.