Resumen: Los efluentes provenientes del sacrificio de cerdos son una fuente de contaminación debido a las altas concentraciones de materia orgánica, nitrógeno, fósforo, grasas, sólidos totales y coliformes fecales. En esta investigación se evaluó la efectividad del quitosano como coagulante en el postratamiento de efluentes porcícolas provenientes de un reactor discontinuo secuencial, con el fin de remover las fracciones no biodegradables remanentes del proceso biológico. El tratamiento terciario consistió en la coagulación, floculación y sedimentación. Se caracterizó el efluente tratado biológicamente mediante los siguientes parámetros: pH, DQO, turbidez, color, sólidos totales (ST), nitrógeno total Kjeldahl (NTK), nitrito, nitrato, fosforo total (PT) y alcalinidad total (AT). El tratamiento fisicoquímico se llevó a cabo mediante el uso de la prueba de Jarra a través de corridas exploratorias con dosis entre 50 y 800 mg/L de quitosano disuelto en ácido acético. Se comparó la efectividad del quitosano (700 mg/l) con sulfato de aluminio (430mg/l) y poliacrilamida (90 mg/l), los cuales son utilizados como coagulantes de uso convencional en el tratamiento de aguas residuales. El experimento se condujo mediante un diseño completamente al azar con un total de tres tratamientos (quitosano, sulfato de aluminio y poliacrilamida) y tres repeticiones cada uno. La dosis de quitosano (700 mg/l) permitió obtener porcentajes de reducción de turbidez de 83,1%, color de 64,7%, DQO de 84,6%, y 78,2% de NT para valores iniciales de 15,6 NTU, 26 UC Pt-Co, 865 mg DQO/L y 89 mg NT/L. Se encontraron diferencias significativas (P≤0,05) entre la dosis quitosano (700 mg/l) y los coagulantes convencionales (430 mg/l de sulfato de aluminio y 90 mg/l de poliacrilamida) en la reducción de NT, siendo el tratamiento con quitosano el coagulante con las mayores eficiencias de reducción. El tratamiento con quitosano con una dosis de 700 mg/l representó una opción viable para el tratamiento terciario de los efluentes proveniente del proceso de sacrificio de cerdos tratados biológicamente.
Palabras clave: coagulación-floculacióncoagulación-floculación,poliacrilamidapoliacrilamida,quitosanoquitosano,sulfato de aluminiosulfato de aluminio,tratamiento terciariotratamiento terciario.
Abstract: Effluents from pig slaughter are a source of contamination due to high concentrations of organic matter, nitrogen, phosphorus, fats, total solids and fecal coliforms. This research evaluated the effectiveness of chitosan as a coagulant in the post-treatment of wastewater from the slaughter of pigs, in order to remove the remaining recalcitrant fractions from the biological process in a sequential batch reactor. The tertiary treatment consisted of coagulation, flocculation and sedimentation. The effluent was characterized by the parameters: pH, COD, turbidity, color, total solids (ST), Kjeldahl total nitrogen (NTK), nitrite, nitrate, total phosphorus (PT) and total alkalinity (AT). The treatment was carried out by using the jar test through exploratory runs with doses between 50 and 800 mg/L of chitosan dissolved in acetic acid. The effectiveness of chitosan with conventional coagulants in the treatment of wastewater, such as aluminum sulphate and polyacrylamide, was compared. The experiment was conducted using a completely randomized design with a total of three treatments and three replicates each. The evaluated range of doses of chitosan allowed to obtain percentages of turbidity removal of 83,1%, color of 64,7%, COD of 84,6%, and 78,2% NT for initial values of 15,6 NTU, 26 UC, 865 mg COD/L and 89 mg NT/L, using as optimal dose 700 mg chitosan /L. Significant differences (P≤0,05) were found between chitosan and conventional coagulants in NT removal, with chitosan being the coagulant with the highest removal efficiencies. The treatment with chitosan represents a viable option for the tertiary treatment of the effluents coming from the slaughter of pigs.
Key words: Coagulation-flocculation, polyacrylamide, chitosan, aluminum sulphate, tertiary treatment.
Resumo: Efluentes de abate de suínos são uma fonte de contaminação devido às elevadas concentrações de matéria orgânica, azoto, fósforo, gordura, sólidos totais e coliformes fecais. Nesta pesquisa foi avaliada a eficácia de quitosana como um coagulante nos efluentes porcícolas de pós-tratamento, a fim de remover restantes fracções recalcitrantes de um processo biológico em um reactor de carregamento sequencial. O tratamento terciário consistiu em coagulação, floculação e sedimentação. O efluente tratado foi caracterizado biologicamente pelos parâmetros: pH, DQO, turbidez, cor, sólidos totais (ST), nitrogênio total Kjeldahl (NTK), nitrito, nitrato, fósforo total (PT) e alcalinidade total (AT). O tratamento foi realizado usando jarro teste é executado através exploratórios com doses entre 50 e 1250 mg / L de quitosano dissolvido em ácido acético. A eficácia do quitosano com sulfato de alumínio y poliacrilamida foi comparada. O experimento foi conduzido usando um desenho completamente aleatório com um total de três tratamentos e três repetições. A gama de dose de quitosana avaliada produziu percentagens de remoção de turvação de 83,1% cor 64,7% de CQO de 84,6%, e 78,2% de NT para os valores iniciais de 15,6 NTU, 26 UC Pt-Co, 865 mg CQO / L e 89 mg de NT / L, usando dose óptima de 700 mg de quitosana/L. Diferenças significativas (P≤0,05) entre quitosano e coagulantes convencionais na remoção de NT foram encontrados para ser um tratamento com o coagulante quitosano com as eficiências mais altas de remoção. O tratamento com quitosana representa uma opção viável para o tratamento terciário do efluente opção abate de porco.
Palavras clave: coagulação-floculação, poliacrilamida, quitosano, sulfato de alumínio, tratamento terciário.
Artículos
Eficiencia del quitosano como coagulante en el postratamiento de efluentes de una planta de sacrificio de cerdos
Efficiency of chitosan as a coagulant in the after-treatment of effluents from a pig slaughter plant
Eficiência da quitosana como coagulante no pós-tratamento de efluentes de uma instalação de abate de porcos
Recepción: 17 Noviembre 2017
Aprobación: 13 Noviembre 2019
Los efluentes provenientes de actividades industriales como las que derivan de procesos del sacrificio de reses, aves y cerdos son una fuente de contaminación debido a las altas concentraciones de materia orgánica, nitrógeno, fósforo, grasas, sólidos totales y coliformes fecales, procedentes de las heces, orina, sangre y residuos cárnicos de los animales (Escalante et al., 2012, Carrasquero et al., 2014a).
Los efluentes generados en la industria del sacrificio animal varían de acuerdo al grado de tecnificación de la misma y a su etapa productiva. Las concentraciones más altas de contaminantes se han reportado en la etapa de desangrado. La sangre aporta una DQO total de 375.000 mg/L y una elevada cantidad de nitrógeno, con una relación C/N del orden de 3:4. Se estima que en promedio entre un 15 y 20% de la sangre de los animales sacrificados forma parte de los vertidos finales representando una carga de 1 a 2 kg de DBO5,20 por cada 1000 kg de peso vivo del animal y este valor aumenta hasta 5,8 kg de DBO5,20/t peso vivo si el vertido de la sangre es total (Canales, 2005).
Debido a las restricciones legales, incremento en los costos de tratamiento y conciencia ambiental de los consumidores, el tratamiento de aguas residuales ha emergido con mayor preocupación, no solamente en el procesamiento de cerdos sino también en la industria de la carne en general (Bayramoglu et al., 2006). Sin embargo, tratar estos efluentes industriales por medios biológicos a veces no es suficiente sino que es necesario aplicar un postratamiento o un tratamiento terciario, ya que existe una fracción inerte que no puede ser eliminada por acción microbiana; lo cual, impide que el efluente tratado pueda ser descargado a la red cloacal o a los cuerpos de agua receptores.
Para remover las altas cargas orgánicas que poseen los efluentes del sacrificio de cerdos se han ensayado con éxito diferentes tipos de tratamientos fisicoquímicos y biológicos, tanto aeróbicos como anaeróbicos (Massé y Masse, 2000; Carrasquero et al., 2015). Entre los procesos fisicoquímicos más ampliamente usados se encuentra el método de coagulación-floculación, el cual permite remover sustancias que producen turbidez en el agua (Song et al., 2004). Este proceso se ha utilizado con éxito como postratamiento en efluentes industriales que han sido tratados biológicamente para remover el contenido de materia orgánica refractaria o no biodegradable.
Dentro de los coagulantes químicos que se utilizan generalmente en el tratamiento de efluentes se tienen las sales de aluminio y las de hierro, así como otros de origen orgánico, que normalmente son combinados con polímeros para facilitar el proceso de reducción de contaminantes. Sin embargo, el uso de estas sustancias químicas y polímeros orgánicos sintéticos pueden tener diversas consecuencias ambientales como el incremento de las concentraciones de metales, producción de grandes cantidades de lodos y dispersión de oligómeros de acrilamida que pueden ser extremadamente tóxicos (Renault et al., 2009).
En este sentido, el quitosano constituye una opción en la medida que posee propiedades coagulantes y una amplia gama de aplicaciones. El quitosano se ha descrito como un polímero catiónico lineal, biodegradable, no tóxico, de alto peso molecular, de fácil aplicación y bajo impacto ambiental (Niquette et al., 2004; Lárez et al., 2006). Se ha demostrado que la presencia de los grupos aminos en la estructura del quitosano confiere la capacidad para coagular sustancias coloidales. Su efectividad como coagulante se ha demostrado en una variedad de aguas residuales como las correspondientes a la producción petrolera, la industria de alimentos, efluentes avícolas y empresas lácteas (No y Meyers 2000; Caldera et al., 2009; Caldera et al., 2011; Carrasquero et al., 2014a).
El objetivo de esta investigación fue evaluar la eficiencia del quitosano como coagulante en el postratamiento de efluentes de una planta de sacrificio de cerdos tratados biológicamente.
El estudio se llevó a cabo utilizando un efluente que fue sometido a un proceso biológico usando un reactor por carga secuencial, donde se removió la mayor parte de los componentes biodegradables y cierta cantidad de los no biodegradables particulados. Sin embargo, el contenido de materia orgánica soluble inerte permaneció inalterable durante todo el tratamiento secundario. El agua residual tratada en el SBR fue producto de las actividades que se realizan en un matadero de cerdos (Sus domesticus) ubicado en el estado Zulia, Venezuela.
La recolección del efluente se realizó de acuerdo a los patrones establecidos en el Método Estándar, usando el apartado 1060 Recolección de muestras y preservación (APHA et al., 2005). Las muestras se tomaron a la salida de un reactor por carga secuencial (SBR) a través de un muestreo aleatorio simple. Se almacenaron en recipientes de polietileno de alta densidad con capacidad de 20 - 25 L, limpios y de color oscuro, donde fueron preservadas a una temperatura de 4 ºC, con el fin de garantizar sus características iniciales. La implementación del tratamiento fisicoquímico se realizó en un tiempo máximo de 2 horas después de la recolección del efluente.
La caracterización del efluente se realizó por medio de los siguientes parámetros: DBO5,20 (SM 5210), DQOT(SM 5220 C), color verdadero (SM 2120 B), turbidez (SM 2130 B), pH (SM 4500H+ B), alcalinidad total (SM 2320 B), NTK (SM 4500-Norg B), nitrógeno amoniacal (SM 4500-NH3 D), nitritos (SM 4500-NO2 B), nitratos (SM 4500-NO3- B), sólidos totales (SM 2540 B), fósforo total y ortofosfatos (SM 4500-P C), de acuerdo a lo establecido en el Método estándar (SM) de análisis de aguas y líquidos residuales (APHA et al., 2005). Entre paréntesis después de cada parámetro fisicoquímico evaluado se indica el código del método analítico usado para su determinación.
Para el tratamiento fisicoquímico del efluente industrial se utilizó la prueba de Jarras, mediante un equipo con un agitador múltiple de velocidad variable (Phipps y BirdInc, Modelo No. 300) que creó una turbulencia simultánea en 6 vasos de precipitado de 500 ml, con dosis variable de cada coagulante utilizado, reproduciendo las condiciones de operación que se producen en una planta de tratamiento. Se realizó un mezclado rápido a 100 rpm por 1 minuto, luego una mezcla lenta a 30 rpm por 20 minutos y se finalizó el proceso con la fase de sedimentación, en la cual se dejó el agua en reposo por un lapso de 30 minutos (Koohestanian et al., 2008; Carrasquero et al., 2014b).
Después del período de sedimentación, se procedió a captar una muestra del sobrenadante en un punto situado aproximadamente 2 cm por debajo de la parte superior del nivel de líquido de cada vaso de precipitado con la finalidad de determinar los parámetros color, turbidez, pH y DQO, de acuerdo a la metodología del método estándar (APHA et al., 2005).
Esta fase de la investigación se llevó a cabo evaluando la eficiencia de los coagulantes: sulfato de aluminio, quitosano y poliacrilamida. El rango de concentración evaluado para el sulfato de aluminio (Scharlau, Alemania) osciló entre 20 y 520 mg/l, de acuerdo a lo sugerido por Hamdani et al., (2005). La dosificación del sulfato de aluminio se realizó en húmedo a partir de una solución de 10% p/v.
El quitosano se dosificó a partir de una solución madre de 10.000 mg/l de quitosano (Biofloc®, Innovaquito, Venezuela) disuelto en ácido acético en un rango de 50 a 800 mg/l. Este polímero fue obtenido a partir de desechos de la industria procesadora de cangrejos ubicada en el estado Zulia, Venezuela, mediante los procesos de desproteinizacion, desmineralización, decoloración y desacetilación (Colina et al., 2014: Pardo et al., 2014).
La poliacrilamida (Nalco Holden Company, Estados Unidos) utilizada fue de carga catiónica y alto peso molecular, la cual es un homopolímero de acrilamida que es sintetizado en forma de cadena lineal o entrecruzado. Este polímero presentó una gravedad específica a 25°C de 1,08 a 1,18. Se utilizó en un rango de concentraciones que osciló entre 70 y 200 mg/l.
La dosis óptima definitiva se determinó como función de la máxima reducción de DQO, menor color verdadero y turbidez residual y el menor gasto de la solución coagulante. Luego en el efluente tratado con la dosis óptima, se procedió a medir los parámetros sólidos totales, fósforo total, NTK, nitratos, nitritos, NT y alcalinidad total, de acuerdo a la metodología del método estándar (APHA et al., 2005).
El experimento fue conducido mediante un diseño completamente al azar, con un total de tres tratamientos (quitosano, sulfato de aluminio y poliacrilamida) con tres repeticiones para cada dosis utilizada. Los resultados de la caracterización del efluente (DBO5,20, pH, alcalinidad total, sólidos totales, fósforo total y ortofosfatos) fueron expresados utilizando estadística descriptiva, señalando los valores de tendencia central (media) y su dispersión (desviación estándar).
Los resultados de las remociones de los parámetros color, turbidez, DQO, NTK, fósforo total, sólidos totales, alcalinidad total, nitratos y nitritos se compararon mediante un análisis de varianza y separación de medias a través de la prueba de Tukey, utilizando el programa estadístico SPSS, versión 20.0, con la finalidad de determinar las diferencias significativas entre los tratamientos evaluados. Antes de realizar el ANOVA se comprobaron, tanto la homogeneidad de las varianzas (Test de Bartlett) como la distribución normal de los residuos (Test de Kolmogorov-Smirnov), cumpliendo con dichos preceptos sin requerir transformación matemática.
En la Tabla 1 se presenta la caracterización fisicoquímica del efluente proveniente del matadero de cerdos tratado biológicamente, donde se reportan los valores medios y su dispersión expresada a través de la desviación estándar, así como se indican los límites establecidos por la norma venezolana para la descarga a los cuerpos de agua (Decreto 883, 1995).

Se observó que el efluente proveniente del tratamiento biológico presentó un contenido promedio de materia orgánica medida como DBO5,20 y DQOT de 116±24 y 865±152 mg/l, respectivamente. Este valor de DQO puede atribuirse al hecho de que los efluentes del sacrificio de cerdos presentan elevadas concentraciones de DQO, en la que la fracción biodegradable oscila entre 57 y 76 % de la DQO total, siendo el resto no biodegradable o correspondiente con la fracción recalcitrante (Boursier et al., 2005; Béline et al., 2007). Cabe mencionar, que este efluente proviene de un proceso biológico que sólo se encargó a través de la acción de los microorganismos, de remover la parte biodegradable de la materia orgánica presente en el agua residual, por lo que dentro del valor obtenido en la caracterización correspondiente a 865 mg DQO/l, el mayor porcentaje corresponde a material recalcitrante soluble que no pudo ser removido por vía biológica.
Se observa que el efluente del SBR presentó una concentración promedio de nitrógeno total de 89±15 mg/L. La concentración de nitrógeno orgánico representó el 62,9% del nitrógeno total en el efluente tratado, mientras que las formas inorgánicas de nitrógeno representaron el 37.1%.
Las concentraciones de fósforo total oscilaron entre 8,09 y 9,37 mg/l, cumpliendo con el límite establecido. Las concentraciones de ortofosfatos variaron entre 7,37 y 8,19 mg/l, representando el 89,1% de la concentración de fósforo total.
Con respecto al pH y a la alcalinidad total, el efluente industrial presentó un valor promedio de 7,75±0,22 unidades y 700±184 mg CaCO3/l. Este valor de alcalinidad de impide variaciones de pH, permitiendo aplicar con éxito el tratamiento del agua residual (Bhuptawat et al., 2007)
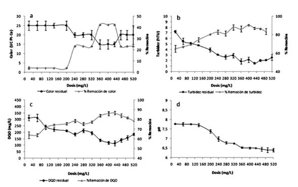
En la Figura 1 se presentan los valores residuales de color verdadero, turbidez, DQO y pH, así como los porcentajes de reducción para cada una de las dosis aplicadas (20 - 520 mg/L). Se observó una disminución progresiva desde 25 hasta 15 UC Pt-Co a medida que se aumentó la dosis de sulfato de aluminio de 20 a 360 mg/L. Los mayores porcentajes de reducción de color (42,3%) se obtuvieron utilizando dosis que se encontraron entre 360 y 430 mg/L.
La dosis del coagulante de 430 mg/L generó la mayor reducción de turbidez, alcanzándose un valor de 90,4% de reducción. Al igual que para el color, se observó una disminución progresiva de la turbidez desde 16,0 hasta 1,3 UNT a medida que se aumentó la dosis de sulfato de aluminio. Sin embargo, a partir de la dosis de 430 mg/L el valor de turbidez residual se incrementó hasta alcanzar 5 UNT, disminuyendo los porcentajes de reducción de 90,4 a 83,6%. Este fenómeno también fue reportado por Lanciné et al., (2008), y se debe a que el exceso de coagulante es absorbido en la superficie de la partícula, produciendo una carga invertida a la carga original y generando una perdida en la eficiencia de coagulación y una resuspensión del flóculo. (Andía, 2000; Carrasquero et al., 2017).

A medida que se incremento la dosis de sulfato de aluminio, se observó una disminución del pH residual. Baltazar y Caprari (2004) indicaron que los incrementos en las dosis de sulfato de aluminio provocan una disminución en los valores de pH, debido a que el ión aluminio (Al3+) es un ión ácidos de Lewis que reacciona con los iones (OH-) presentes en la solución acuosa formando Al(OH)3 y productos de hidrólisis con carga positiva como [Al(OH)]+2 y [Al8(OH)20]+4.
La dosis de 430 mg/L de sulfato de aluminio permitió obtener los menores valores de los parámetros de control (color, turbidez y DQO), manteniendo un pH dentro de lo establecido en la normativa venezolana (Decreto 883, 1995), por lo que se consideró la dosis óptima para este coagulante. Esta dosis pudiera ser considerada elevada si se compara con la reportada por otros autores. Domínguez et al., (2007) reportaron una dosis de 133 mg/L de sulfato de aluminio como dosis óptima en el tratamiento de efluentes porcícolas con una DQO inicial de 1060 mg/L y una turbidez de 115 UNT. Estas diferencias pueden ser explicadas por los mecanismos de coagulación que prevalecen en los procesos de reducción de turbidez y DQO. La dosis óptima de un coagulante depende del pH y sobre todo de la turbidez del agua inicial. A pH cercanos a 7,4 (el punto isoeléctrico del hidróxido de aluminio) el mecanismo que prevalece es el de adsorción y neutralización de cargas. Este mecanismo consiste en las interacciones entre coagulante-coloide, coagulante-solvente y coloide-solvente. Cuando se añade sulfato de aluminio al agua se forma una serie de especies solubles hidrolizadas como: Al3+, Al(OH)2+, Al8(OH)4+20 y Al(OH)4, las cuales se adhieren o forman complejos superficiales con el coloide, y lo desestabilizan, lo que permite la formación de flóculos.
Cabe destacar que cuando la cantidad de coloides presente en el agua es baja, es decir, aguas con una baja turbidez, como el efluente tratado en ek presente estudio, la distancia entre las moléculas es grande y por lo tanto, la fuerza de atracción es menor y la energía requerida para su desestabilización es mayor, así como también el tiempo de reacción y la cantidad de coagulantes. Razón por la cual la dosis óptima del sulfato de aluminio fue mayor que en otros estudios.
Para lograr buenas eficiencias de reducción en aguas de baja turbidez, deben agregarse dosis de coagulante suficientemente altas, para que se forme rápidamente un precipitado gelatinoso, el cual físicamente arrastra a las partículas coloidales de la suspensión, de modo que pueda llevarse a cabo una coagulación por barrido en combinación con una coagulación por adsorción y neutralización de cargas (Biggs et al., 2000; Jarvis et al., 2005).
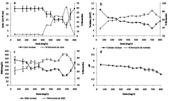
En la Figura 2 se presentan los valores residuales de color, turbidez, DQO y pH, así como los porcentajes de reducción para cada una de las dosis aplicadas de quitosano (50 - 800 mg/L). Se observó una disminución de los parámetros de control turbidez, color y DQO a medida que se incrementaba la dosis de quitosano, alcanzando los menores valores residuales cuando se utilizaron dosis comprendidas entre 650 y 750 mg/L.

Los valores de turbidez disminuyeron de 15.6 a 2.9 UNT cuando la dosis de quitosano se aumentó de 50 a 700 mg/L, observando un incremento de la turbidez a partir de la dosis de 700 mg/L, producto de una sobredosificación del coagulante que ocasionó la reinversión del flóculo, la regeneración del coloide y en consecuencia no se produce una buena coagulación (Arboleda, 2000).
Se obtuvo el mismo comportamiento para el color y la DQO, alcanzando los máximos porcentajes de reducción cuando se utilizó la dosis de 700 mg/L, los cuales disminuyeron luego al superar esta dosis. Por lo tanto, la dosis de 700 mg/L representó el punto de quiebre en las curvas de variación de los parámetros de control. El aumento de los valores residuales de color, turbidez y DQO ocurre por el fenómeno de re-estabilización de las cargas, típico de un sistema coagulación/floculación controlado por la neutralización de la carga (Zonoozi et al., 2011).
Cuando una gran cantidad de quitosano es añadido, la efectividad de la coagulación por puente químico se vuelve relativamente débil y los coloides son re-estabilizados. El exceso de quitosano tiene una tendencia a destruir los enlaces entres los polímeros o a invertir la carga de la partícula y vuelve a estabilizarlas, exhibiendo por eso un aumento en la turbidez residual (Zemmouri et al., 2013).
Se observó una ligera disminución del pH al aumentar la dosis del quitosano, obteniendo el menor valor de pH (6.9) cuando se utilizó la mayor dosis (800 mg/L). Este comportamiento se puede atribuir a que el quitosano presenta un pH ácido. El quitosano es un co-polímero lineal hidrofóbico y para que los grupos aminos sean protonados y se vuelva soluble se diluye en ácido acético, lo que le confiere un carácter ácido (Renault et al., 2009).
Los máximos porcentajes de reducción de turbidez, color y DQO alcanzados durante el tratamiento con quitosano fueron de 81,7; 61,5 y 84,5%, respectivamente. Se ha reportado que el quitosano es capaz de remover color y sólidos suspendidos mediante el proceso de coagulación-floculación debido a la reactividad de los grupos aminos (Renault et al., 2009). La eliminación de materia orgánica medida por acción del quitosano se lleva a cabo principalmente por dos mecanismos, adsorción en los grupos aminos protonados y adsorción en los grupos hidróxilos (Dionisia et al., 2014).
Resultados similares fueron reportados por otros investigadores quienes alcanzaron eficiencias de reducción de DQO entre 55 y 75% tratando aguas residuales de una industria de alimentos, así como de 60 y 55% usando quitosano como coagulante en efluentes lácteos y de una cervecería, respectivamente (No y Mayer, 2000; Cheng et al., 2005).
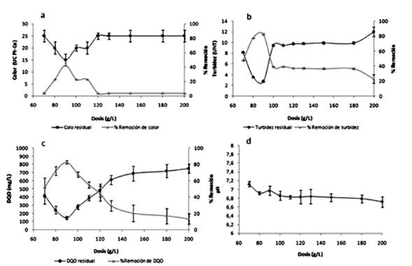
En la Figura 3 se presentan los valores residuales de color, turbidez, DQO y pH ,así como los porcentajes de reducción para cada una de las dosis aplicadas de la poliacrilamida catiónica (70 a 200 mg/L). Se observó que el incremento en la dosis de poliacrilamida causó una diminución en los valores de color, turbidez y DQO cuando la dosis se encontró entre 70 y 90 mg/L. Dosis superiores a 90 mg/L originaron un incremento en los valores residuales y una disminución de los parámetros medidos. Para dosis superiores a 120 mg/L, se obtuvieron ligeras variaciones del color, turbidez y pH con el aumento de la dosis del coagulante polimérico.

Los porcentajes de reducción de turbidez se encuentran cercanos a los reportados por Herrera et al., (2014), quienes alcanzaron porcentajes de redución de 89.4% en el tratamiento de aguas residuales domésticas con niveles de turbidez inicial de 154 UNT. Cogollo (2010) evaluó la clarificación de aguas usando coagulantes poliméricos concluyendo que estos clarificantes eran capaces de ofrecer mejores parámetros de calidad de agua al obtenerse elevados porcentajes de reducción de turbiedad a menores dosificaciones que los coagulantes químicos convencionales (sales de aluminio y sales de hierro).
Se observó poca variación de los valores de pH del efluente producto de las dosificaciones de poliacrilamida. Giordani et al., (2008) durante la evaluación de la efectividad de polímeros en la clarificación de aguas para consumo, obtuvieron que el valor del pH a la salida del tratamiento no presento variaciones significativas con respecto al pH de entrada.
Comparación de la efectividad de los coagulantes evaluados.
En la Tabla 2 se presentan los valores de los parámetros fisicoquímicos obtenidos después del tratamiento de coagulación-floculación y sedimentación para las dosis óptimas seleccionadas de cada uno de los coagulantes evaluados. Se observó que sólo el tratamiento con quitosano generó un efluente con parámetros fisicoquímicos acorde con los límites máximos permisibles de descarga a cuerpos de agua (Decreto 883, 1995).

En la Tabla 3 se presentan los porcentajes de reducción de color, turbidez, DQOT, NT y N-NOx- y los resultados del análisis de varianza y separación de medias. No se encontraron diferencias significativas (P=0,567) entre los tres coagulantes utilizados para la reducción de DQO. Sin embargo, se encontraron diferencias significativas (P=0,002) para el resto de las eficiencias determinadas, siendo el sulfato de aluminio el coagulante más efectivo para la reducción de turbidez, mientras que el quitosano lo fue para la reducción de color, NT y PT

Se observó que el tratamiento con quitosano permitió obtener los mayores porcentajes de reducción de nitrógeno y fósforo, obteniendo valores residuales de estos parámetros que cumplieron con lo establecido en la normativa venezolana (Decreto 883, 1995). Esto puede atribuirse a la naturaleza del material remanente y los mecanismos de coagulación del quitosano que actúan de manera simultánea, e incluyen: a) neutralización de cargas, a través de los grupos aminos protonados, b) adsorción e interacción con el material coloidal a través de los grupos funcionales y los sitios activos disponibles en la estructura polimérica c) formación de puente interparticular y d) barrido. Por su parte, los coagulantes químicos tradicionales como el sulfato de aluminio sólo actúan por adsorción y neutralización de carga, y cuando la dosis del químico excede su solubilidad en el agua actúa por barrido del material particulado y de los flóculos formados.
La naturaleza del material remanente en el efluente del reactor es fundamentalmente soluble, constituido por materia orgánica inerte, nitrógeno orgánico no biodegradable, y ortofosfatos. La concentración de nitrógeno obtenida luego del tratamiento fisicoquímico corresponde a compuestos orgánicos solubles e inertes. Louvet et al., (2013) identificaron proteínas y aminoácidos que contribuyen al nitrógeno del efluente de un matadero de reses tratado en un SBR, indicando que entre los compuestos identificados por fluorescencia están proteínas como la albúmina, la metaloporfirina y la globulina, y aminoácidos como la tirosina, y el triptófano.
Se observó que el tratamiento con quitosano permitió tanto la reducción de material disuelto como material suspendido, ya que logró disminuir los valores de materia orgánica, nitrógeno, fósforo y sólidos, así como también los valores de turbidez. Por el contrario, el sulfato de aluminio y la policrilamida fueron altamente efectivos (>80%) en la reducción de material suspendido que origina turbidez, pero poco efectivos en la reducción de material soluble que contribuye a la concentración de nitrógeno y fósforo.
La de dosis de quitosano de 700 mg/l permitió obtener porcentajes de reducción de 83.1% de turbidez, 64.7% de color, 84.6% de DQO y 78.2% de NT para valores iniciales de 15.6 UNT, 26 UC Pt-Co, 865 mg DQO/l, 89 mg/l de NT.
El tratamiento con una dosis de sulfato de aluminio de 436 mg/l en el efluente porcícola permitió alcanzar una reducción de DQO, NT y PT de 85.9; 44.1 y 5,5% respectivamente, mientras que el tratamiento con una dosis poliacrilamida de 90 mg/l permitió remover 81.1; 17.0 y 11.1% respectivamente-
Se encontraron diferencias significativas entre quitosano, sulfato de aluminio y la poliacrilamida en la reducción de NTK, PT ST; siendo el tratamiento con quitosano el coagulante con las mayores eficiencias de reducción.
El tratamiento con quitosano como coagulante con una dosis óptima de 700 mg/L representa una opción viable para el tratamiento terciario de los efluentes del proceso de sacrificio de cerdos tratados biológicamente, ya que genera un efluente que cumple con todos los parámetros analizados en esta investigación
*Email: scarrasquero@fing.luz.edu.ve





