Economía
Eficiencia en las instituciones de educación superior públicas colombianas: una aplicación del análisis envolvente de datos1
Efficiency in the institutions of Colombian public higher education: an application of data envelopment analysis
Eficiencia en las instituciones de educación superior públicas colombianas: una aplicación del análisis envolvente de datos1
Civilizar. Ciencias Sociales y Humanas, vol. 16, núm. 30, pp. 105-118, 2016
Universidad Sergio Arboleda

Recepción: 21 Agosto 2014
Aprobación: 01 Junio 2015
Resumen: En el presente artículo de investigación se realizó un estudio de eficiencia de las instituciones de educación superior (IES) públicas de Colombia durante el año 2011, mediante la metodología de análisis envolvente de datos utilizando el modelo de Charnes, Cooper y Rhodes (CCR), el modelo de Banker, Charnes y Cooper (BCC) y el modelo basado en holguras Slack Based Measure (SBM), orientados a salidas para determinar las eficiencias técnica, puramente técnica, de escala y de mezcla, respectivamente. La información con la que se llevó a cabo la investigación se tomó de las bases de datos del Ministerio de Educación Nacional de Colombia. En el análisis de resultados se determinó la magnitud en que deben ser mejorados los productos de las IES ineficientes y se identificó la posible causa de esta ineficiencia. Así mismo se realizó una clasificación (ranking) de las universidades mediante el modelo de súper-eficiencia no radial súper SBM.
Palabras clave: Educación superior, análisis envolvente de datos, eficiencia técnica, eficiencia administrativa, eficiencia de escala, eficiencia de mezcla.
Abstract: In this research paper a study about efficiency of public higher education institutions (IES - for its spanish acronym) of Colombia in 2011, was performed using the methodology of data envelopment analysis after Charnes, Cooper and Rhodess model (CCR), Banker, Charnes and Cooper model (BCC) and the Slack Based Measure (SBM) model, oriented to outputs to determine the echnical, purely technical, scale and mixing efficiencies, respectively. The information by which the research was conducted was taken from the databases of the Ministerio de Educación Nacional de Colombia. In the analysis of the results the extent was determined to which the inefficient IES products should be improved and the possible cause of this inefficiency was identified. Also a classification (ranking) of the universities was performed using the super non radial efficiency super SBM model.
Keywords: Higher education, data envolvenment análysis, tecvhnical efficiency, adminis- trative efficiency, scale effiiciency, mixig efficiency.
Introducción
Hoy en día es una exigencia establecer criterios de racionalidad y eficiencia económica en la gestión de las instituciones educativas públicas de los diferentes niveles educativos, con la finalidad de mejorar en sus procesos, mediante la identificación de algunas variables que puedan afectar esta gestión de forma significativa. Por este motivo los gobiernos y organismos involucrados en la educación superior están desarrollando estrategias para optimizar la eficiencia en las universidades y así asegurar su correcto funcionamiento (Palomares, García, & Castro-Martínez, 2008). La destinación final de los recursos públicos y su uso eficiente son dos aspectos que están íntimamente relacionados y en los cuales los investigadores del campo de la economía de la educación dedican mucho tiempo y empeño para evaluar la eficiencia interna de las instituciones educativas en todos sus niveles y, en el caso que nos ocupa, en el nivel universitario. El presente artículo se concibe con el propósito de fijar los valores de eficiencia comparativa de las universidades públicas colombianas, utilizando para ello el análisis envolvente de datos (DEA, por su sigla en inglés).
De manera particular, se pretende determinar la eficiencia haciendo énfasis en la descomposición de las ineficiencias totales, en ineficiencia técnica, ineficiencia administrativa, ineficiencia de escala e ineficiencia de mezcla, de cada institución de educación superior (IES) y así identificar las universidades que presentan las mejores prácticas en su desempeño. Se espera obtener una frontera de producción empírica con las mejores prácticas de las instituciones que son objeto de estudio y que puedan servir de referencia a las instituciones ineficientes.
El sistema educativo colombiano desde hace mucho tiempo está siendo cuestionado por los diferentes organismos de control educativos, debido a los bajos niveles de desempeño alcanzados, referentes a las competencias de los estudiantes en las “pruebas de calidad” que aplica el Estado. Estos resultados en las IES constituyen posiblemente un indicador de poca eficiencia, dejando ver las limitaciones en las funciones misionales de las universidades: formación, investigación y extensión.
Hay que resaltar que existen diferencias significativas entre las IES respecto a los recursos de que disponen para desarrollar sus objetivos, que de alguna forma afectan los resultados conquistados por las mismas y por ende su eficiencia. No obstante, podemos encontrar IES que con menos recursos aunque bien utilizados, muestran mejor desempeño que instituciones con más recursos. Es entonces coherente preguntarnos por las variables que inciden en la eficiencia de las instituciones, qué hace a unas más eficientes que otras y sobre qué variables se debe intervenir para mejorar su desempeño.
El análisis de eficiencia de las IES permitirá a los entes tomadores de decisión definir políticas y lineamientos que redunden en el mejoramiento de la calidad y de su eficiencia a partir de los resultados obtenidos de esta investigación, lo cual se traduce en acciones basadas no en creencias y percepciones de los funcionarios de las instituciones o de directrices normativas, sino en el ejercicio serio de investigación realizada.
El presente estudio debe conducir a un incremento en los niveles de calidad a partir del aumento de los índices de eficiencia mediante el establecimiento de políticas en pro de mejora en cada una de las variables objeto de análisis, en la medida en que el documento permite detectar las fuentes de ineficiencia existentes en cada IES estudiada. Al mismo tiempo, un trabajo de este tipo podría incentivar una sana competencia entre las IES, lo cual redundaría en la ampliación de la eficiencia y calidad del servicio. En este mismo sentido, y en la actual coyuntura de acreditación institucional y de los programas académicos que viven las IES, el conocimiento del grado de eficiencia o de la magnitud de las deficiencias en las variables propias del sistema universitario constituye una información primordial.
Revisión de la literatura
La metodología del DEA fue propuesta por Charnes, Cooper y Rhodes (1978) con base en los conceptos planteados por Farrel en 1957, es una técnica que usa programación lineal para comparar unidades de producción que manejan el mismo grupo de recursos y tienen el mismo grupo de productos, generando la frontera eficiente e indicadores relativos de eficiencia dentro de la población de unidades de producción en examen. Así las universidades estatales de Colombia pueden ser vistas como unidades productivas que transforman recursos en productos, cada IES –tratada como decision making unit (DMU)– puede tomarse como una firma multiproducto (Subhash, 1991).
El DEA tiene como objetivo encontrar las DMU que producen los niveles más altos de outputs mediante el uso de los niveles más bajos de inputs. Por lo cual, maximiza la relación de los outputs ponderados y los inputs ponderados para cada DMU en consideración, además la maximización de este objetivo está sujeta a la restricción de que la misma proporción para todas las DMU debe ser menor o igual a 1. Una DMU alcanza una eficiencia del 100 % solo si ninguna de sus entradas o salidas se pueden mejorar sin empeorar algunas de sus otras entradas o salidas.
El modelo de Charnes, Cooper y Rhodes (CCR).
Si
representan, respectivamente, las cantidades de salidas (productos) y entradas (recursos) de la DMU0 , la unidad productiva que está siendo evaluada, la medida escalar de la eficiencia de la DMU0 puede ser obtenida como la solución óptima del siguiente modelo de programación lineal.
Sujeto a:
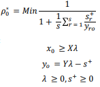
(1)El modelo SBM (Slacks Based Measure).
El modelo BCC difiere del modelo CCR solo por la adición de la restricción,
la cual junto con la restricción
para toda j, impone una condición de convexidad al conjunto de producción posible
Sujeto a:
(2)El modelo SBM (Slacks Based Measure).
Es un modelo de eficiencia no radial basado en holguras propuesto por Tone (2001), que contiene todo tipo de ineficiencia tanto radial como no radial con respecto a las unidades que se toman de medición para las entradas y salidas. El modelo SBM tiene las siguientes propiedades: a) la medida es invariante con respecto a las unidades de medida de las entradas y salidas; y b) la medida es decreciente monótona en los excesos de las entradas y en los faltantes en las salidas.
Sujeto a:
(3)Eficiencia de escala.
La eficiencia de escala mide el impacto de la escala de operación sobre la productividad de una DMU, y se define como:
(4)
(5)Ya que en cualquier orientación la eficiencia técnica de una DMU nunca puede exceder su eficiencia puramente técnica, entonces;
(6)De esta manera la eficiencia global o eficiencia técnica (CCR) se puede descomponer como:
(7)Esta descomposición es única y describe las fuentes de ineficiencias, es decir, si esta es causada por una operación (administración) ineficiente (BCC) o por condiciones desventajosas manifiestas por la eficiencia de escala (SE) o por ambas.
Por definición, la eficiencia de escala mide la divergencia entre los puntajes de eficiencia de una DMU bajo CRS (retornos constantes a escala) desarrollado por Charnes, Cooper y Rhodes (1978) partiendo del supuesto de que todas están operando en su escala óptima y VRS (retornos variables a escala) introducido por Banker, Charnes y Cooper (1984) el cual permite una división del análisis de la eficiencia en técnica y eficiencias de escala en DEA. Se dice que un modelo DEA tiene rendimientos crecientes a escala (BCC creciente) cuando el incremento porcentual de las salidas es mayor que el incremento porcentual de las entradas, en caso contrario es un modelo DEA con rendimientos decrecientes a escala (BCC decreciente).
Eficiencia de mezcla.
La relación entre las soluciones óptimas de los modelos CCR y SBM nos lleva a la siguiente definición de eficiencia de mezcla. Sea
los puntajes de eficiencia de los modelos CCR y SBM de DMU0, respectivamente. La eficiencia de mezcla se define por:
(8)De esta forma tenemos una descomposición de la eficiencia no radial (SBM – 0) en eficiencia radial (CCR) y eficiencia de mezcla (MIX):
(9)Utilizando la definición eficiencia de escala, tenemos:
(10)La descomposición anterior es única y contribuye a la interpretación de las fuentes de ineficiencias para las DMU ineficientes no radial (SMB).
Análisis envolvente de datos en evaluación del desempeño
El DEA es una de las principales técnicas usadas en el sector público y privado para evaluar el desempeño de unidades productivas. Su empleo es tan amplio que podemos citar entre algunas de sus aplicaciones: en la evaluación de eficiencias en bancos (Pasiouras, 2008; Pastor, Lovell, & Tulkens, 2006; Primorac & Troskot, 2005; Tortosa-Ausina, Grifell-Tatjé, Armero, & Conesa, 2008), en la evaluación de riesgos crediticios (Paradi, Asmild, & Simak, 2004; Psillaki, Tsolas, & Margaritis, 2010), en la evaluación de alternativas de diseño de instalaciones (Toloo & Nalchigar, 2009) y en la asignación de recursos (Hadi-Vencheh, Foroughi, & Soleimani-damaneh, 2008).
El DEA también ha sido usado en evaluación del desempeño en instituciones de educación básica (Charnes et al 1981; Dutta, 2012; Fukuyama & Weber, 2002; Grosskopf & Moutray, 2001; Subhash, 1991), en evaluación del desempeño en universidades (Agasisti & Dal Bianco, 2009; Caballero, Galache, Gómez, Molina, & Torrico, 2001; Chu & Li, 2000; Fandel & Gal, 2001; Johnes, 2006; Katharaki & Katharakis, 2010; Thanassoulis, Kortelainen, Johnes, & Johnes, 2011), en evaluación de programas académicos (Agha, Kuhail, Nabi, Salem, & Ghanmi, 2011; Kaoa & Hungb, 2008; Martínez & Giménez, 2001), en evaluación de grupos de investigación (Korhonen, Taino, & Wallenius, 2001; Restrepo & Villegas, 2007) y en evaluación del desempeño docente (De Witte & Rogge, 2011; Mejía, Sánchez, & Visbal, 2006).
El DEA es una herramienta no paramétrica que produce la frontera eficiente empírica, es decir, dada por los datos suministrados al modelo, permite alcanzar un índice único de eficiencia por unidad evaluada y genera un conjunto de referencia para las universidades que resulten ineficientes, el cual está compuesto por unidades eficientes con las cuales se realiza un benchmarking, obteniéndose, de esta manera, objetivos a alcanzar para conseguir la eficiencia (proyección sobre la frontera eficiente). Puede manejar múltiples entradas (recursos) y múltiples salidas (productos), razón por la que es aplicable al proceso educativo. El hecho de generar un único indicador de eficiencia facilita el proceso de análisis.
Metodología
Esta es una investigación en donde se emplea un análisis cualitativo, descriptivo, propositivo y cuantitativo soportado en el DEA, consistente en un análisis de las eficiencias técnica, puramente técnica, de escala y de mezcla de las 32 universidades públicas colombianas pertenecientes al Sistema de Universidades Estatales durante el año 2011, utilizando los modelos DEA: CCR, BCC y SBM con enfoque a salidas. El desarrollo de esta investigación se llevó a cabo en tres fases:
Definición y selección de cada una de las DMU que van a incluirse en el análisis.
Selección de las variables de entrada y salida.
Aplicación de los diferentes modelos DEA.
Instituciones de educación superior incluidas en el análisis.
Para la investigación se tienen en cuenta las 32 IES públicas de Colombia, en el caso de la Universidad Nacional de Colombia, se tomó el conjunto de sus cinco sedes ubicadas en Bogotá, Medellín, Manizales, Palmira y Leticia como una única DMU debido a que la información obtenida del Ministerio de Educación no está desagregada para cada una de sus sedes sino que está reportada como una sola institución. En la tabla 1 se muestra las instituciones que fueron consideradas en el estudio.

Variables consideradas en el estudio.
Gómez y Mancebón (2005) definen a las universidades como organizaciones que utilizan un conjunto de recursos para producir una serie de outputs que pueden ser productos de la docencia (conocimientos adquiridos por los estudiantes) o de la investigación (artículos, libros, patentes, etc.), los cuales pueden ser considerados como las variables para la aplicación del DEA. Para la identificación de estas variables se consultaron y tomaron como guía algunas investigaciones, a partir de allí se seleccionaron las variables a manejar empleando una metodología multicriterio para toma de decisiones con base en el juicio de expertos (Escobar-Pérez & Cuervo-Martínez, 2008), con el propósito de disminuir el número de variables de entradas y salidas del análisis de eficiencia y de esta forma mejorar el poder discriminatorio del DEA (Jenkins & Anderson, 2003).
Así mismo, para la selección de variables se consideró dos de las tres funciones sustantivas de una IES, como son educación e investigación y teniendo en cuenta que . (número de DMU) sea igual o mayor que el máximo entre . x . o 3 x (. + .) donde .es el número de variables de entrada y . el número de variables de salida (Cooper, Seiford, & Tone, 2006). La información referente a las variables y su respectiva descripción se obtuvieron del Ministerio de Educación Nacional de Colombia (2012).
Variables de entrada.
Docentes tiempo completo equivalente: número de docentes en tiempos completos equivalentes, incluyendo catedráticos y ocasionales.
Gastos en personal administrativo: gasto para el pago del personal no docente.
Recursos financieros: recursos financieros provenientes del Estado y generados por la universidad en desarrollo de su actividad (no incluye ingresos generados por extensión e investigación).
Recursos físicos: área en metros cuadrados de los espacios físicos construidos disponibles para las actividades universitarias misionales y de apoyo administrativo.
Variables de salida.
Matrícula de posgrado: número ponderado de matriculados por niveles de formación y metodologías de enseñanza en posgrado.
Saber Pro: número ponderado de estudiantes de la universidad que obtuvieron un puntaje mayor al quintil superior en las pruebas Saber Pro.
Revistas indexadas: número ponderado de revistas indexadas de la institución de acuerdo con la legislación vigente (Colciencias).
Artículos en revistas indexadas: número ponderado de artículos publicados en revistas indexadas.
En la tabla 2 aparecen los valores (magnitud) de las variables de entrada y salida para cada una de las IES consideradas en el estudio.

Resultados y análisis
Aplicación de análisis envolvente de datos a las universidades públicas en Colombia.
Los resultados de este trabajo de investigación hacen referencia a los puntajes de eficiencia de las IES públicas colombianas mediante los modelos CCR-O, BCC-O y SBM-O-C, así como a la medida en que debe ser mejorada la magnitud de las variables de salidas para que una DMU ineficiente logre ser eficiente. Estos resultados se calcularon con el software DEA-Solver V. 8.0 y se muestran en la tabla 3.


Los resultados del modelo SBM indican que 15 de 32 universidades alcanzan la eficiencia técnica, de escala, de mezcla y administrativa (ρo* = 1), es decir, no presentan ningún tipo de ineficiencias, esto corresponde al 46,87 % del total de IES evaluadas. Así mismo observamos que estas 15 IES también presentan eficiencia CCR (η* = 1), lo que demuestra que al evaluar el sistema universitario con este último modelo resulta que las IES con (η* = 1) no reportan ineficiencia en la mezcla de sus insumos o productos: son globalmente eficientes.
La descomposición de la eficiencia (ineficiencia) global según las ecuaciones (5) y (8) evidencia lo siguiente. Los resultados del modelo BCC muestran que 20 de 32 universidades son eficientes administrativamente (η.* = 1), esto quiere decir que hay 5 universidades cuya ineficiencia global se debe a problemas en la escala de operación, al tipo de retornos a escala que presentan o a problemas en la mezcla de sus recursos o productos, mas no a problemas administrativos (eficiencia puramente técnica igual a 1 y 0 holguras), en particular, las universidades Pedagógica y Tecnológica de Colombia, del Valle, Industrial de Santander y Francisco de Paula Santander (Ocaña) su ineficiencia global se debe principalmente a problemas en la mezcla de sus insumos o productos, mientras que para la Universidad de Nariño su ineficiencia se debe a la escala de operación. Sin embargo esta IES exhibe retornos crecientes a escala, lo cual indica que al escalar la magnitud de su operación mejorará su desempeño.
En el caso de las universidades Surcolombiana, del Cauca, de Córdoba, de la Amazonia, Tecnológica de Chocó, del Atlántico, de Cartagena y de Cundinamarca su ineficiencia global (SBM) se debe tanto a una operación deficiente (eficiencia puramente técnica, BCC) como a problemas en la mezcla de sus insumos o productos, es decir, a la forma como distribuyen los recursos en las distintas actividades (eficiencia de mezcla, SE). De estas, la Universidad de Cundinamarca reporta el más bajo desempeño tanto en su administración (BCC = 0,475), como en su escala (SE = 0,097).
En cuanto a la Universidad de los Llanos su ineficiencia global (SBM) se debe tanto a una operación deficiente –lo cual es observable en su eficiencia puramente técnica (BCC)–, a problemas en la mezcla de sus insumos o productos, eficiencia de mezcla (MIX), como a problemas en su escala de operación (SE). Por su parte la ineficiencia global de la Universidad de Sucre y la Universidad de La Guajira es debida tanto a ineficiencia de escala como a de mezcla, pues sus puntajes de eficiencia administrativa están por encima del promedio. La Universidad Tecnológica de Pereira presenta ineficiencia global debido en gran medida a su ineficiencia de mezcla (MIX = 0,352).
La universidad con peor desempeño administrativo y de mezcla es la Universidad de Cundinamarca (BCC = 0,475 y MIX = 0,097), sin embargo no presenta problemas en su escala de operación (SE = 0,999), lo que señala que esta IES debe hacer un gran esfuerzo en la parte administrativa y en una redistribución de sus recursos.
Un análisis del conjunto de referencia, muestra que la Universidad Nacional de Colombia participa como par evaluador de 15 IES ineficientes, lo cual corresponde al 88,23 % de las IES ineficientes, seguidamente encontramos que la Universidad Militar Nueva Granada participa en la evaluación de 13 IES ineficientes (76,47 %); por ello, podemos afirmar que estas dos IES se constituyen en unidades modelo a seguir por las IES ineficientes, y por ende exhiben las mejores prácticas, seguidas por las universidades Pedagógica Nacional y de Caldas con diez participaciones. Las universidades de Pamplona, del Pacífico, de Antioquia y el Colegio Mayor de Cundinamarca, no participan como par evaluador de ninguna universidad ineficiente.
Para que una IES ineficiente alcance eficiencia DEA sugiere, en el caso de las variables de salida, la magnitud en que estas deben ser aumentadas, este incremento proyecta la DMU ineficiente sobre la frontera eficiente. La magnitud del aumento en el valor de cada variable de salida para cada IES se presenta en la tabla 4. En este estudio consideramos solo las variables de salidas, pues el enfoque utilizado es precisamente a salidas.
También se empleó el modelo de súper- eficiencia SBM propuesto por Tone (2002). Los resultados de este modelo nos permiten hacer el ranking de las universidades, allí se observa que la Universidad Nacional de Colombia es la de mejor desempeño, seguida por las universidades Pedagógica Nacional, de Caldas y del Tolima, por otro lado la Universidad de Cundinamarca tiene el peor desempeño, seguida por las universidades de los Llanos, de Córdoba, Tecnológica del Chocó y de Sucre. El ranking completo se muestra en la tabla 5.


Conclusiones
En el presente trabajo se estimó la eficiencia de las universidades públicas de Colombia mediante la metodología del DEA teniendo en cuenta dos de las funciones básicas de las IES: docencia e investigación, a partir de la información del Ministerio de Educación Nacional.
Los resultados muestran que 15 de las 32 instituciones consideradas en el estudio no presentan ningún tipo de ineficiencia (46,875 %): son globalmente eficientes. De las 17 IES que reportan algún tipo de ineficiencia (ineficientes globalmente), 5 evidencian eficiencia administrativa, es decir, cuando se evalúa la eficiencia puramente técnica (modelo BCC) resultan eficientes 20 de las 32 IES evaluadas (62,5 %). En cuanto a la eficiencia de escala, los resultados revelan que 16 de 32 IES no tienen problemas en su escala de operación: a las 15 IES eficientes globalmente se suma la Universidad de Cartagena como la única IES ineficiente que es eficiente en su escala. Respecto a la eficiencia de mezcla se observa que 15 de 32 IES no presentan este tipo de problemas, lo cual indica que todas las IES ineficientes globalmente son ineficientes de mezcla.
A partir de los resultados de las proyecciones en la frontera eficiente del modelo SBM enfocado a salidas, se dan a continuación algunas sugerencias que de llegar a implementarse podrían mejorar el desempeño de las universidades públicas de Colombia:
Número de estudiantes matriculados en pregrado: dos universidades, la del Valle y la Industrial de Santander, deben aumentar la cobertura de ingreso de personal en este nivel de formación.
Número de estudiantes matriculados en posgrado: los resultados muestran que este es un aspecto crítico en el sistema de universidades públicas del país, incluso hay tres IES que no reportar estudiantes matriculados en este nivel, la cobertura se debe ampliar en promedio en 75 %, ofreciendo nuevos programas sobre todo en maestría y doctorado para favorecer la investigación.
Saber Pro quintil superior: se observa que siete de las IES deben mejorar este aspecto, aunque hay algunos factores como el estrato socioeconómico o el contexto de pobreza que pueden influir en un bajo desempeño en las pruebas Saber Pro, sector rural, la aplicación de políticas con miras a desarrollar programas académicos de alta calidad puede ser clave para el mejoramiento de los resultados.
Número de revistas indexadas y artículos en revistas indexadas: estos son los dos elementos que más deben mejorar las IES ineficientes, que van muy ligados a la ejecución de las actividades de investigación. Para mejorar estos indicadores es importante brindar apoyo a la formación del recurso docente en programas de doctorado, fortalecer el acceso a bases de datos, favorecer proyectos de investigación y creación de programas de posgrado y fomentar la participación de docentes y estudiantes en redes de investigación.
Al comparar los resultados del ranking de universidades con los resultados de las proyecciones en la frontera eficiente, se observa que las IES que más deben mejorar en las variables de entrada son las últimas del ranking.
Referencias
Agasisti, T., & Dal Bianco, A. (2009). Measuring efficiency of Higher Education institutions. International Journal of Management and Decision Making, 10(5- 6), 443-465.
Agha, S., Kuhail, I., Nabi, N., Salem, M., & Ghanim, A. (2011). Assessment of academic departments efficiency using data envelopment analysis. Journal of Industrial Engineering and Management, 4(2), 301-325.
Banker, R., Charnes, A., & Cooper, W. (1984). Some models for estimating technical and scale inefficiencies in data envelopment analysis. Management science, 30(9), 1078-1092.
Caballero, R., Galache, T., Gómez, T., Molina, J., & Torrico, A. (2001). Efficient assignment of financial resources within a university system. Study of the university of Malaga. European Journal of Operational Research, 133(2), 298-309.
Charnes, A., Cooper, W., & Rhodes E. (1978). Measuring the efficiency of decision making units. European Journal of Operational Research, 2(6), 429-444.
Charnes, A., Cooper, W., & Rhodes, E. (1981). Evaluating program and managerial efficiency: an application of data envelopment analysis to program follow through. Management science, 27(6), 668-697.
Chu Ng, Y., & Li, S. K. (2000). Measuring the research performance of Chinese higher education institutions: an application of data envelopment analysis. Education Economics, 8(2), 139-156.
Cooper, W., Seiford, L., & Tone, K. (2006). Introduction to data envelopment analysis and its uses: With DEA-solver software and references. Nueva York: Springer.
De Witte, K., & Rogge, N. (2011). Accounting for exogenous influences in performance evaluations of teachers. Economics of Education Review, 30(1), 641–653.
Dutta, S. (2012). Evaluating the Technical Effi- ciency of Elementary Education in India: An Application of DEA. The IUP Journal of Applied Economics, 11(2), 31-47.
Escobar-Pérez, J., & Cuervo-Martínez, A. (2008). Validez de contenido y juicio de expertos: una aproximación a su utilización. Avances en medición, 6, 27-36.
Fandel, G., & Gal, T. (2001). Redistribution of funds for teaching and research among universities: The case of North Rhine-Westphalia. European Journal of Operational Research, 130(1), 111-120.
Fukuyama, H., &Weber,W. L. (2002). Evaluating public school district performance via DEA gain functions. Journal of the Operational Research Society, 53(9), 992-1003.
Gómez, J., & Mancebón, M. (2005). Algunas reflexiones metodológicas sobre la evaluación de la eficiencia productiva de las instituciones de educación superior. Ekonomiaz, 60(1), 140-165.
Grosskopf, S., & Moutray, C. (2001). Evaluating performance in Chicago public high schools in the wake of decentralization. Economics of Education Review, 20(1),1-14.
Hadi-Vencheh, A., Foroughi, A., & Soleimanidamaneh, M. (2008). A DEA model for resource allocation. Economic Modelling, 25(5), 983-993.
Jenkins, L., & Anderson, M. (2003). A multivariate statistical approach to reducing the number of variables in data envelopment analysis. European Journal of Operational Research, 147(1), 51-61.
Johnes, J. (2006). Measuring teaching efficiency in higher education: An application of data envelopment analysis to economics graduates from UK Universities 1993. European Journal of Operational Research, 174(1), 443-456.
Katharaki, M., & Katharakis, G. (2010). A comparative assessment of Greek universities’ efficiency using quantitative analysis. International journal of educational research, 49(4), 115-128.
Kaoa, C., & Hungb, H. (2008). Efficiency analysis of university departments: An empirical study. Omega, 36(4), 653–664.
Korhonen, P., Taino, R., & Wallenius, J. (2001). Value efficiency analysis of academic research. European Journal of Operational Research, 130(1), 121-132.
Martínez, P. L., & Giménez, G. V. (septiembre, 2001). Eficiencia en los costes en la universidad: una aplicación a los departamentos de la UAB. X Jornadas de la Asociación de Economía de la Educación, Murcia, España.
Mejía, J., Sánchez, P., & Visbal, D. (2006). Evaluación docente mediante BSC y DEA. Revista Educación en Ingeniería, 1(2), 70-86.
Palomares, D., García, A., & Castro-Martínez, E. (2008). Evaluación de las instituciones de educación superior: revisión bibliográfica de sistema de indicadores. Revista Española de Documentación Científica, 31(2), 205-229.
Paradi, J., Asmild, M., & Simak, P. (2004). Using DEA and Worst Practice DEA in Credit Risk Evaluation. Journal of productivity analysis, 21(2), 153-165.
Pasiouras, F. (2008). Estimating the technical and scale efficiency of Greek commercial banks: The impact of credit risk, off balance sheet activities, and international operations. Research in International Business and Finance, 22(1), 301-308.
Pastor, J., Lovell, C., & Tulkens, H. (2006). Evaluating the financial performance of bank branches. Annals of Operations Research, 145(1), 321–337.
Primorac, M., & Troskot, Z. (2005). Measuring the efficiency and productivity of the Croatian banks with Malmquist’s index of change of total factor productivity. Financial Theory and Practice, 29(4), 309-325.
Psillaki, M., Tsolas, I. E., & Margaritis, D. (2010). Evaluation of credit risk based on firm performance. European Journal of Operational Research, 201(3), 873–881.
Restrepo, M., & Villegas J. (2007). Clasificación de grupos de investigación colombianos aplicando análisis envolvente de datos. Revista Facultad de Ingeniería Universidad de Antioquia, 42(1), 105-119.
Subhash, R. (1991). Resource-Use Efficiency in Public Schools: A Study of Connecticut Data. Management Science, 37(12), 1620–1628.
Thanassoulis, E., Kortelainen, M., Johnes, G., & Johnes, J. (2011). Costs and efficiency of higher education institutions in England: a DEA analysis. Journal of the operational research society, 62(7), 1282-1297.
Toloo, M., & Nalchigar, S. (2009). A new integrated DEA model for finding most BCC-efficient DMU. Applied Mathematical Modelling, 33(1), 597-604.
Tone, K. (2001). A slacks-based measure of efficiency in data envelopment analysis. European Journal of Operational Re- search, 130(3), 498-509.
Tone, K. (2002). A slacks-based measure of super-efficiency in data envelopment analysis. European Journal of Operational Re- search. 143, 32–41.
Tortosa-Ausina, E., Grifell-Tatjé, E., Armero, C., & Conesa, D. (2008). Sensitivity analysis of efficiency and Malmquist productivity indices: An application to Spanish savings banks. European Journal of Operational Research, 184(3), 1062–1084.
Información adicional
Para citar este artículo use:: Visbal- Cadavid, C., Mendoza, A., Causado, E. (2016). Eficiencia en las instituciones de educación superior públicas colombianas: una aplicación del análisis envolvente de datos. Revista Civilizar Ciencias Sociales y Humanas, 16(30), 105-118.