Artículos
Morfología y estructura urbana en las ciudades medias mexicanas
Morphology and urban structure in Mexican medium-sized cities
Morfología y estructura urbana en las ciudades medias mexicanas
Región y sociedad, vol. XXIX, núm. 68, 2017
El Colegio de Sonora
Recepción: Agosto 2014
Aprobación: Junio 2015
Resumen: En este trabajo se investigaron modelos espaciales y su evolución en 32 ciudades medias mexicanas, según su morfología de crecimiento; esto, a partir del análisis espacial del gradiente de densidad, la estructura de edad de la población y la tenencia de la vivienda, con información de los censos generales de población y vivienda de los años 1990 y 2000. Según los resultados estadísticos, se puede afirmar que existe un cambio intraurbano en el comportamiento espacial de las variables que, independientemente de su morfología, la estructura interna en las ciudades medias ya no es de tipo central, dado que la varianza en los indicadores estudiados no está determinada por la distancia al centro, además, se plantea la hipótesis de que la estructura espacial de las ciudades medias está más relacionada con la temporalidad del espacio urbano que con la distancia al centro. Es indispensable estudiar estas dinámicas intraurbanas para identificar la evolución de las ciudades, y también las estrategias de planeación más adecuadas para mejorar su funcionamiento y el bienestar de sus habitantes.
Palabras clave: estructura urbana, ciudades medias, morfología urbana, evolución urbana.
Abstract: This is a study of spatial models and their evolution in 32 Mexican medium-sized cities, according to their growth morphology, from the spatial analysis of the density gradient, population’s age structure and housing tenure, with information of the general population and housing censuses of 1990 y 2000. According to the statistical results, it can be said that there is an intra-urban change in the spatial performance of variables, which, independently of their morphology, the internal structure in medium-sized cities is no longer central, since variance in the indicators studied is not determined by the distance to the center. Furthermore, it is hypothesized that the spatial structure of medium-sized cities is more connected with urban space’s temporality than with the distance to the center. It is essential to study these intra-urban dynamics to identify cities’ evolution, as well as more appropriate planning strategies in order to improve their performance and their inhabitants’ well-being.
Key words: urban structure, medium-sized cities, urban morphology, urban evolution.
Introducción
En los últimos treinta años, el protagonismo de las ciudades medias mexicanas ha sido cada vez más significativo en el desarrollo urbano y económico del país, y su capacidad de autogestión es mejor que antes (Graizbord 1992; Soja 2001; Sobrino 2003; Garza 2010). Los ajustes, adaptaciones y ampliaciones realizados en estas ciudades, con el fin de participar en una economía neoliberal, han trasformado sustancialmente las relaciones entre sus elementos sociales y físicos internos y externos; a partir de esto empezaron a modificar su estructura urbana interna, de una concéntrica inicial a otra multicéntrica o sectorial, y a establecer nuevos patrones espaciales de funcionamiento. Sin embargo, no se han elaborado estudios urbano-espaciales suficientes que permitan identificar qué tanto se ha trasformado la estructura de las ciudades medias, qué elementos demuestran esos cambios y a partir de qué principios organizacionales o teóricos se explican. Con base en estas consideraciones, aquí se buscó identificar tendencias en los cambios de la estructura central de las ciudades medias, como un insumo para el análisis específico y multidisciplinario de ellos, lo cual favorecería la elaboración de políticas y planes de desarrollo urbano basados en referencias actualizadas y con sustento.
Los objetivos del artículo son: a) determinar qué tanto se asemeja la estructura interna de las ciudades medias mexicanas a una organización concéntrica; b) identificar la relación entre la morfología de las ciudades con la estructura concéntrica y c) cómo evolucionó dicha estructura en la última década del siglo XX. Se presentan algunos resultados de la investigación sobre formas espaciales en 32 ciudades medias mexicanas y su evolución, a partir del análisis espacial del gradiente de densidad, la edad de la población y la tenencia de la vivienda con información de áreas geoestadísticas básicas urbanas (AGEB) de los censos generales de población y vivienda del Instituto Nacional de Estadística y Geografía (INEGI 2000; 1990). Se examina el modelo de organización espacial concéntrico, según el supuesto de que la generalidad de las ciudades medias iniciaron su crecimiento a partir de dicho esquema (Bastié y Dézert 1980, 103; Bosselmann 2008, 107; Rojas et al. 2009, 48). Para analizar la centralidad de las variables se aplicaron las regresiones lineales simples, logarítmicas, cuadráticas y cúbicas, de las cuales se estudiaron los estadísticos de la última, debido a que su coeficiente de determinación fue mayor. Para visualizar los cambios en la estructura de las ciudades se realizaron cálculos de regresiones con datos del INEGI (2000; 1990); los resultados permiten afirmar que para 1990 el comportamiento espacial de las variables estudiadas no corresponde al de un modelo concéntrico, salvo en algunas ciudades medias, y para el año 2000 éstas, en general, tienden a ser menos concéntricas, lo cual manifiesta cambios significativos en los espacios urbanos, tanto en los de reciente creación como en los antiguos. A manera de conclusión y reflexión, la hipótesis de trabajo es que la estructura de las ciudades medias se pudiera explicar mejor si se toma el tiempo de existencia del espacio urbano, como factor determinante, de tal forma que según el periodo en que se desarrolló tendrá características que lo podrán diferenciar mejor del resto.
Teorías sobre estructura urbana
La conformación y el funcionamiento de las ciudades se han analizado y estudiado de formas tan diversas como las concepciones y los enfoques utilizados (Bourne 1982, 28); por supuesto, ninguna puede tener una validación universal ya que difieren por el contexto económico, político, social y natural en el que se han desarrollado, así como por la complejidad de los factores que las modifican (Carter 1995, 142). Aquí la premisa de partida es que las ciudades medias mexicanas, ya sea las que tienen antecedentes coloniales (Borsdorf 2003) o las posteriores empiezan a crecer a partir de un centro. A continuación se presentan las referencias teóricas y empíricas más apropiadas y significativas para explicar la organización monocéntrica de las ciudades en el siglo XX; sin el afán de hacer una recopilación exhaustiva de la literatura sobre dichos enfoques, cada uno es representante fiel de los acercamientos principales para construir un cuerpo teórico sobre la estructura espacial urbana (Korcelli 1982).
El trabajo de Ernest Burguess fue una de las primeras intenciones de examinar las ciudades estadounidenses; en 1925, él elaboró un esquema de anillos concéntricos para Chicago, en donde describió los usos de suelo y los grupos sociales, y explicó su distribución espacial a partir de un enfoque ecológico. El estudio de Burguess, junto con otros elaborados por el Departamento de Sociología de la Universidad de Chicago, hizo la observación de que la organización de las comunidades humanas debe surgir de procesos “naturales”, como el dominio, la segregación, la competencia impersonal y la sucesión (McKenzie, citado en Knox 1987). Uno de los conceptos principales surgidos de la analogía de estudios ecológicos de plantas y seres humanos fue la competencia impersonal entre individuos por la localización más favorable en la ciudad. Esta lucha se desarrollaba primordialmente por medio de los mecanismos de mercado, y el resultado era un patrón característico de precios del suelo y, en consecuencia, la segregación de personas de acuerdo con sus posibilidades para el pago de la renta. Las diferencias económicas se vieron como el mecanismo principal de segregación residencial, y el dominio de un grupo se atribuyó a su poder competitivo.
Los ecologistas urbanos explican la conformación de comunidades o barrios como resultado de las relaciones funcionales entre grupos de individuos; dado que el poder competitivo de éstos cambia con el tiempo, así como también las características de las partes de la ciudad, que tienden a transformarse. Para explicar este fenómeno se utilizaron los conceptos ecológicos de invasión y sucesión, derivados del estudio de comunidades de plantas, y considerados por Burgess en su modelo sobre diferencias residenciales y cambios de vecindarios en Chicago. La base para identificar una estructura urbana interna, que consiste en una serie de zonas concéntricas, fueron las observaciones sobre la localización y extensión de comunidades determinadas, que Burgess vio como el reflejo de las diferencias entre fuerzas competitivas económicas de grupos de la sociedad, donde las segregaciones en áreas pequeñas dentro de cada zona se ven como el producto de las relaciones simbióticas forjadas con base en el lenguaje, la cultura y la raza. Los espacios nuevos, conformados en los últimos anillos concéntricos, expresan la necesidad de movilidad de las familias jóvenes de los barrios viejos a los asentamientos nuevos (Short 1996, 63), y también son los receptores de las oleadas de inmigrantes.
Modelos de densidad de población urbana
En los modelos espaciales urbanos centrales los actores obtienen beneficios o ventajas en su ubicación con respecto al núcleo de la ciudad; la población no es ajena a estas lógicas (Cadwallader 1996). Desde los estudios empíricos elaborados por (Clark 1951), en ciudades anglosajonas se determinó que existe una relación inversamente proporcional entre la densidad poblacional y la distancia al centro; después, otros investigadores fueron ajustando el modelo y las ecuaciones de acuerdo con las trasformaciones de la distribución de la población con el paso del tiempo. En 1969, Newling propuso un modelo de ecuación cuadrática en donde estableció que la densidad en el núcleo de la ciudad no es el más alto, sin embargo, en el espacio inmediato al centro ésta se incrementa con rapidez para tomar los valores más elevados y, a partir de ese punto, conforme aumenta la distancia la densidad de población va disminuyendo. A partir de estas referencias empíricas y estadísticas se verá si en las ciudades medias mexicanas el comportamiento de la densidad de población depende de su localización en relación con el centro.
La economía neoclásica establece la influencia de la atracción y beneficios de los centros urbanos en la determinación de los usos de suelo. En 1994, William Alonso desarrolló un modelo económico espacial en el cual considera el aspecto del tipo y rentabilidad del suelo combinado con el costo del trasporte, con base en el trabajo de Von Thünen quien analizó, en el siglo XVIII, la formación de zonas concéntricas de determinados cultivos y producción agrícola alrededor de la localidad de consumo. Alonso estableció que la localización de un tipo de suelo dependerá de los beneficios económicos que pueda obtener si está cerca del centro de la ciudad considerando, por supuesto, los costos de la renta del suelo y las ganancias económicas. Según las condiciones de accesibilidad y el costo del trasporte, la renta del suelo cercano al centro sería mayor a la del ubicado más lejos; de esta forma, Alonso elaboró un esquema de curvas de costos de renta y distancia al centro, según el tipo de uso de suelo para un centro urbano.
En los marcos de las observaciones anteriores, los elementos y las referencias teóricas analizados de una ciudad pueden ser muy diversos; no obstante, algunos autores presentan procesos y lineamientos básicos para estudiarla espacialmente, como (Bourne 1982), quien propuso hacerlo a partir del concepto de sistemas, en donde las partes que conforman a la ciudad están constituidas en uno, y tienen niveles de interacción. Para ello, los conceptos iniciales para comenzar a estudiar su estructura son: forma urbana, interacción urbana y estructura espacial urbana; el primero se refiere al patrón espacial que establecen elementos como los edificios, los usos de suelo, los grupos sociales y la densidad de población. El segundo contempla las relaciones o los flujos entre las partes, y el tercero se refiere a la combinación de los dos primeros factores y los principios de organización o relación entre los elementos de la ciudad; este es el concepto más difícil de definir, debido a la complejidad de las relaciones que se pueden establecer en un sistema de elementos. Aquí se retoman estos lineamientos básicos, de tal manera que primero se caracteriza la forma urbana de las ciudades medias, para después analizar el comportamiento de varios factores con respecto al centro, para deducir el nivel de interacción urbana entre éste y los elementos examinados.
Forma urbana
La forma urbana es la expresión física del espacio construido de las ciudades, cuyo perfil se puede representar en planta u horizontal, de manera vertical o en contorno; es el resultado de factores complejos y únicos, lo que constituye la justificación para estudiar tanto la forma como las fuerzas que intervienen en ellos. Aquí se analizan dichos aspectos, por medio de los cambios de la mancha urbana a través del tiempo en las ciudades medias mexicanas. La morfología urbana forma parte de la geografía urbana, y estudia la forma y la evolución histórica del tejido urbano, sus edificios, los determinantes naturales y los procesos que lo trasforman (Bosselmann 2008, 193; Azevedo 2003, 2), y puede derivar de la combinación del uso del suelo, el plano de la ciudad, las edificaciones y la imagen (Andrade 2010; Vilagrasa 1991).
Antes, el desarrollo espacial de la mayoría de las ciudades comenzaba a partir del centro, en donde se localizaban las principales actividades económicas, políticas y religiosas; con el paso del tiempo dicha estructura central se fue modificando en otro tipo de organización, debido a las condiciones económicas, naturales, políticas y dinámicas de crecimiento demográfico. La estructura central de las ciudades se ha analizado a partir de diversas disciplinas (Alonso 1966; Newling 1978; Kahimbaara 1986; Polydorides 1982), con el objetivo de estudiar los principios organizacionales que la mantienen vigente o que la modifican. Aquí se parte de la premisa de que el origen de la organización estructural del espacio en las ciudades medias en México es el centro antiguo, ya que no se puede opinar a priori y categóricamente para todas (Hoyt 1939; Bastié y Dézert 1980, 103; Bosselmann 2008, 107).
La estructura interna de las ciudades puede estar en función de la forma urbana (Bourne 1972), por lo cual es importante interpretar los resultados empíricos del estudio de centralidad de las ciudades medias; aquí se examinó la forma de 32 de ellas, sólo a través de los cambios en la forma de la mancha urbana, para elaborar mapas de su crecimiento histórico y su evolución, del año 1990 a 2000, con información del (INEGI 2002; 2001; 1993), así como de algunos mapas y documentos.
Existen varios métodos para analizar la forma urbana; se puede calcular ya sea el índice de alargamiento, que resulta de dividir la distancia más larga entre los extremos de la mancha urbana, entre la más corta, o la superficie del círculo máximo circunscrito en la mancha, y dividirlo entre la superficie total de ella (Bastié y Dézert 1980, 115; Knox 1987, 330). Este tipo de cálculo permite valorar cuantitativamente qué tan compacta es la forma urbana; aquí se planteó una metodología alterna, para analizar la compactación de ésta a partir del centro geométrico antiguo (CGA) de la zona más vieja. El procedimiento fue el siguiente: primero se calculó el CGA de la zona más antigua de la ciudad, y de ahí se trazó un círculo que cubriera la totalidad de la mancha urbana o hasta el penúltimo 1 límite de ella (véase Figura 1), luego se calculó su superficie concéntrica a ocupar (SCAO), y la superficie concéntrica ocupada (SCO).

Para las zonas de crecimiento sucesivas, el segundo paso fue trazar un círculo que cubriera la mancha urbana de la zona de crecimiento en cuestión, con el CGA, para calcular la superficie total de dicho círculo, y restarle el área de crecimiento anterior, y así obtener la SCAO. Según este criterio, la superficie restante del círculo es la que ocupará la nueva área de la mancha urbana, si en realidad presenta características de crecimiento compacto o concéntrico. Después se calcula la superficie de la nueva mancha del periodo histórico en cuestión, que sería la SCO (véase Figura 2).

El tercer paso fue evaluar la tendencia concéntrica de la forma urbana, para lo cual se sumó el total de las SCAO de los periodos de crecimiento, y se dividió entre la suma de la superficie ocupada de cada uno, para obtener el porcentaje de superficie concéntrica ocupada (PSCO) (véase Figura 3), que se puede interpretar de la siguiente manera: en el caso de Morelia, un PSCO de 35 por ciento dice que durante el crecimiento de la mancha urbana la tendencia de la ciudad fue a ocupar 35 por ciento del anillo concéntrico. Una vez realizados los cálculos de los PSCO para las 32 ciudades, se optó por clasificarlas en tres grupos de forma urbana, a partir de los rangos siguientes: a) las concéntricas tuvieron un PSCO entre 35 y 25 por ciento; b) las semiconcéntricas, uno entre 24 y 18 y c) las no concéntricas, entre 17 y 10 (véase Figura 4). A partir de estos tres grupos se analizó el comportamiento central intraurbano de las variables, según la forma de la ciudad, y se estableció si existía una relación entre su morfología y su nivel de centralidad.


Regresiones en los años 1990 y 2000
El método estadístico de las regresiones es un análisis cuantitativo que permite inferir el nivel de centralidad de la estructura de las ciudades, y se realizó a través de la regresión lineal simple, logarítmica, cuadrática y cúbica. Se propone estudiar modelos complejos de regresión, debido a que se plantea el supuesto de que existe una relación entre los indicadores con la distancia al centro, pero en algunas variables, como la densidad de población, los antecedentes indican que puede darse un modelo no lineal (Newling 1978).
El criterio de selección de variables para el cálculo de las regresiones se basa en el marco teórico de referencia y en la disponibilidad de información para las 32 ciudades medias mexicanas. Aquí se trabajó a partir de aproximaciones o modelos que analizan la estructura monocéntrica, según las perspectivas demográficas, sociales y económicas mencionadas. Con el fin de describir el nivel de centralidad en la estructura urbana de las ciudades medias mexicanas, se seleccionó una variable adecuada por modelo o teoría que pudiera establecer si existe, en primera instancia, una organización centralizada del espacio. Con el modelo de densidad de población de Newling, primero se trabajó el número de habitantes por hectárea (hab/ha). Del modelo concéntrico de Burguess se utilizó la variable de la proporción de la población menor de 12 años y la mayor de 64, porque describe la movilidad residencial de las familias nuevas hacia otros espacios urbanos periféricos, mientras que las zonas antiguas, cercanas al núcleo de la ciudad, son habitadas por generaciones más viejas; lo que los ecologistas de Chicago denominaban invasión y sucesión.
Para analizar el mercado del suelo y su centralidad, planteado en el modelo de William Alonso, se tomó la variable de proporción de viviendas rentadas; éstas, como producto de consumo deben poseer atributos como el tamaño y la calidad de los materiales de construcción, para participar en este mercado, con un alquiler de alto valor; también su ubicación con respecto al centro, ya que les daría a sus residentes accesibilidad a servicios, comercios y lugares recreativos con trasporte a bajo costo.
Con base en las consideraciones anteriores, se calcula el valor de los indicadores densidad de población (hab/ha), el porcentaje de población menor de 12 años, el de la mayor de 64 y el de viviendas rentadas por AGEB, como variables dependientes, y la distancia del AGEB al centro como la independiente. Con ello se tiene una idea sobre la relación de los cambios de los indicadores, según su distancia al centro; entre más relacionados estén los cambios de ambas variables, mayor será la tendencia a una estructura de tipo central. Sin embargo, aquí además se estima el nivel de centralidad en la estructura de las ciudades, y también su evolución en los últimos diez años del siglo XX, por lo cual se comparan los cálculos realizados para los años 1990 y 2000. El estadístico inicial visualizado en las regresiones es el coeficiente de determinación, que representa la medida de la bondad de ajuste de los datos de la recta. El valor de este coeficiente muestra el porcentaje de la variación de la variable dependiente, explicado por la varianza de la independiente. Se puede decir que el coeficiente de determinación permite identificar el porcentaje de la varianza de la densidad explicado por la curva de regresión.
Densidad de población
En los primeros cálculos de las regresiones para las 32 ciudades medias se manejó el valor de la densidad de población (hab/ha) en las AGEB, como variable dependiente, y la distancia al CGA (en kilómetros) de las AGEB, como la independiente. Las referencias teóricas y los estudios realizados en algunas ciudades muestran una relación inversamente proporcional entre ambos indicadores. En las regresiones cúbicas de densidad de población para 1990, las ciudades de Tlaxcala, Colima, Chilpancingo, Guanajuato y Mérida presentaron coeficientes de determinación superiores a 0.50, y éstos fueron menores a 0.30 en otros 21 (véase Figura 5). Fueron pocas las ciudades con coeficientes altos, para inferir una tendencia en las medias, sin embargo la curva de regresión cúbica y el valor negativo del coeficiente de correlación en las cinco fueron similares al referente teórico; ya que para éstas, el modelo indica que en las AGEB más cercanas al centro hubo mayor densidad y, a medida que aumentaba la distancia, la densidad iba disminuyendo hasta llegar a incrementarse un poco en las AGEB periféricas en algunas de ellas. Al comparar los coeficientes de determinación de 1990 entre los tres grupos de ciudades, según su forma de crecimiento, no existió una diferencia significativa entre ellos, ya que las ciudades con mayor coeficiente se distribuyeron entre los tres tipos: concéntrica, semiconcéntrica o no concéntrica (véase Figura 6), y los valores del coeficiente de determinación fueron muy similares.


Hasta los años ochenta, el centro histórico en algunas ciudades medias mantuvo mayor accesibilidad y jerarquía con respecto a los demás espacios intraurbanos, independientemente de la forma de crecimiento, con lo que se diversificó más la población residente cerca del centro. Según los datos obtenidos de las regresiones, este gradiente negativo de densidad, si bien no está generalizado en las ciudades medias, puede ocurrir tanto en las compactas como en las no compactas.
Al realizar los cálculos de regresión de las 32 ciudades, con datos de densidad y distancia al centro de las AGEB del año 2000, la curva cúbica es la que más pudiera representar la varianza de ambos indicadores, al igual que en los de 1990; sin embargo, el coeficiente de determinación fue menor de 0.30 en todos los casos, salvo en Tlaxcala (0.625), Colima (0.383), Zacatecas (0.320) y Guanajuato (0.313). Además de ser bajo, dicho coeficiente fue menor en relación con el registrado con los datos de 1990 en todas las ciudades, salvo en Morelia, Hermosillo, Durango y Chetumal (véase Figura 7). Al comparar los coeficientes de determinación en los tres tipos de ciudad según su forma, no hubo una diferencia marcada a partir de su morfología. Es importante resaltar el caso de Tlaxcala la única en donde, según los indicios, la relación de la densidad de población fue inversamente proporcional a la distancia al centro, por lo menos de 1990 al año 2000; el resto marcó una tendencia muy firme en la última década del siglo XX: una relación cada vez menos significativa entre la localización de la población en la ciudad y su referencia al centro histórico.

En términos generales, esta disminución del estimador estadístico, entre los años 1990 y 2000, indica la reducción de la robustez de los modelos que pudieran explicar estadísticamente la relación entre la densidad y la distancia, sin importar la forma de crecimiento de las ciudades medias. Parece que el comportamiento de la densidad de población dependiera menos de su ubicación con respecto al centro y quizá, más bien, del precio y los usos del suelo, de las condiciones del medio ambiente natural, de las políticas públicas de vivienda, de las características de las vialidades y del trasporte público. Por otro lado, la clara y drástica disminución de la explicación de la varianza de la densidad, con respecto a la distancia en las curvas de regresión, también muestra que en la última década del siglo XX ocurrieron cambios intraurbanos significativos que modificaron la densidad de población en Chilpancingo, Colima, Pachuca y Toluca.
Estructura de edad de la población
El estudio de la estructura de edad de la población de las AGEB y su ubicación en la ciudad permite indagar sobre los espacios donde las familias jóvenes deciden establecerse y donde reside la población de edad avanzada. Esta aproximación geográfica parte de las premisas siguientes: a) en una estructura urbana, con funcionamiento central, se esperaría que en los espacios nuevos, distantes del centro, residieron las familias jóvenes, con presencia importante de infantes y b) los lugares centrales y los contiguos estarían ocupados por personas de edad avanzada, que no han cambiado de residencia desde que se establecieron en dicho lugar y, por lo tanto, no se esperaría que vivieran en los espacios distantes del centro. En este apartado se estudiará, por separado, el comportamiento del porcentaje de población menor de 12 años y de la mayor de 64, por AGEB, con respecto a su distancia al centro. Al utilizar curvas diferentes, los cálculos de las regresiones indican que, al igual que las variables analizadas antes, la curva cúbica es la que puede explicar mejor el comportamiento de ambas variables poblacionales.
El cálculo de las regresiones con el porcentaje de población menor de 12 años por AGEB muestra, como aspecto importante, primero que para 1990 existía cierta distribución centralizada de la población de infantes en las ciudades medias, principalmente en las de crecimiento concéntrico: 10 de las 13 de este tipo presentaron coeficientes de determinación superiores a 0.50, y 4 con valores mayores de 0.60 (véase Figura 8). Un coeficiente de la regresión positivo indica que la relación entre la presencia de población infantil y la distancia al centro es directamente proporcional: a mayor distancia entre el centro y el AGEB, el porcentaje de niños es mayor. El segundo punto es que diez años después la tendencia central de distribución de la población infantil cambió considerablemente en las ciudades medias.

Según los cálculos de las regresiones cúbicas de las AGEB del año 2000, los coeficientes de determinación disminuyeron en 23 ciudades (véase Figura 9) y sólo en 9 se incrementó ligeramente, como en Aguascalientes, Campeche, Hermosillo, Chetumal y Colima. En las concéntricas es donde se sigue manifestando mayormente la centralidad de la población infantil, aunque no tan marcada como en 1990, ya que en sólo cinco hubo coeficientes de determinación superiores a 0.50.

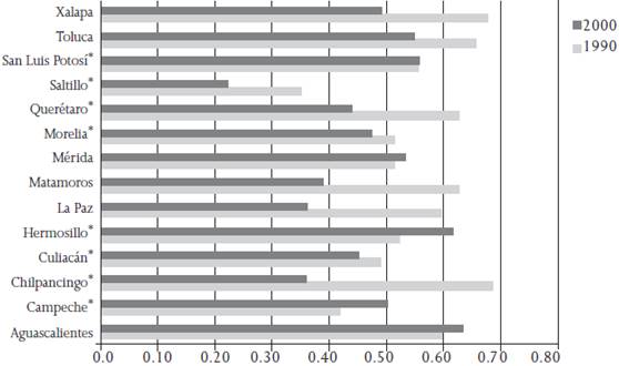
Ahora bien, los resultados estadísticos de las regresiones, con la variable población mayor de 64 años, presentaron algunos aspectos extraordinarios, con respecto a las otras tres ya analizadas. El coeficiente de determinación de las regresiones cúbicas con datos de 1990 fue mucho más alto que las variables anteriores: en 37 por ciento de las ciudades medias (12 de 32) fue superior a 0.70, y en 56 por ciento superó el de 0.60; sólo la variable porcentaje de vivienda rentada registró 56 por ciento de ciudades con coeficientes superiores a 0.60, pero sólo 18 con valores más elevados a 0.70. La forma de las ciudades no representó un factor que pudiera indicar una mayor o menor tendencia de estructura central de la variable en cuestión; en los tres grupos, según su morfología, por lo menos 36 por ciento de las ciudades tuvieron coeficientes con valores superiores a 0.60. Sin embrago, curiosamente, el grupo de ciudades no concéntricas registró 70 por ciento de los casos con valores en dicho rango. Esta situación contradice la hipótesis planteada, de que las ciudades con crecimiento no concéntrico presentan menos tendencias a una estructura central.
Al igual que en las variables analizadas, los coeficientes de determinación de las regresiones de la población mayor de 64 años, con datos del año 2000, disminuyeron en la mayoría de las 32 ciudades medias, con respecto a los coeficientes de 1990; pero en 59 por ciento de ellas mantuvieron coeficientes superiores a 0.60, porcentaje mucho mayor a las variables estudiadas (véase Figura 10). Esto indica que la distribución espacial de las personas de edad avanzada en las ciudades medias responde, de manera inversamente proporcional a la distancia del centro; entre mayor sea la distancia del AGEB al centro, menor será dicha población, independientemente de la forma de crecimiento de la mancha urbana. De las cuatro variables, la ubicación de este sector de la población en la ciudad es la menos sensible al paso del tiempo, ya que sus cambios de localización fueron mínimos, por lo menos en la última década del siglo XX. Tal es el caso de Chetumal que, después de una década mantuvo un coeficiente de determinación alto y además se incrementó un poco (de 0.768 a 0.812); en la Figura 11 se ilustra esta tendencia de centralidad de las AGEB con altos porcentajes de población de mayor edad.


Vivienda en renta
Como objeto de consumo, se espera que la vivienda en alquiler se ubique lo más cercana posible al centro de la ciudad, lo que le permitiría a quienes alquilan residir en zonas con gran infraestructura, accesibilidad a servicios, trasporte y centros de trabajo; estas ventajas hacen que el costo de alquiler sea alto. Por otro lado, la lejanía de esta zona restaría valor y atractivo para que las viviendas se alquilaran a un buen precio y de manera constante. Según esta lógica económica, se esperaría que las AGEB con mayor porcentaje de vivienda rentada se localizaran cerca del centro de la ciudad media.
Para constatar la hipótesis planteada se realizaron los cálculos de regresión, para los años de 1990 y 2000, donde la variable dependiente es la proporción de vivienda en renta por AGEB y la independiente, la distancia del AGEB al centro de la ciudad en kilómetros, en 32 ciudades medias mexicanas. En el análisis de 1990, la curva cúbica fue la que más representó la relación entre ambas variables, dado que arrojó el coeficiente de determinación más alto en 29 de las 32. Sin embargo, lo más interesante es el valor tan alto de dicho coeficiente, en comparación con el estudio de la densidad poblacional; en más de la mitad de las ciudades medias, el coeficiente de determinación fue superior a 0.60, y en una quinta parte superó el de 0.70. Más de 60 por ciento de la varianza del porcentaje de vivienda rentada se explica por los cambios de distancia al centro, en la mayoría de las ciudades medias.
La curva cúbica muestra que las AGEB con porcentaje alto de vivienda rentada están cerca del centro, y que éste disminuye al incrementarse la distancia, hasta llegar a una donde tuvo un incremento ligero y constante, en la periferia (véase Figura 12a). Esta relación estadística, que se da en la mayoría de las ciudades medias mexicanas, indica que la localización de las casas en alquiler pudo estar determinada, en 1990, por las ventajas de su cercanía al centro, como se planteó en la hipótesis de trabajo, independientemente de la forma en que se hubiera desarrollado la mancha urbana, es decir, a pesar de que existen ciudades que no han crecido de manera compacta, el esquema de localización de la vivienda en renta permanece centralizado, como en Tlaxcala y Zacatecas. La tendencia de ubicación centralizada de la vivienda en renta se modificó de manera significativa para el año 2000. Según los resultados estadísticos de las regresiones, entre las variables de proporción de vivienda rentada y distancia al centro, la curva cúbica es la que representó mejor la relación entre ambas variables, sin embargo, sólo en tres ciudades el coeficiente de determinación fue mayor de 0.60, mientras que en 1990 había sido en 18 ciudades, y en 22 fue menor de 0.40 en el año 2000, cuando los datos de 1990 fueron 7. La capacidad de explicación del modelo cúbico disminuyó de forma considerable en 30 de las 32 ciudades medias estudiadas.

Según las regresiones con los datos del año 2000, la distancia al centro no explica la varianza del porcentaje de vivienda en renta en las AGEB, independientemente de la forma de crecimiento de la ciudad (véase Figura 13); esto apunta a deducir que, entre los años 1990 y 2000, se modificó y debilitó el modelo central de localización de las viviendas en renta en la mayoría de las ciudades medias. Sólo en algunos casos persistió la estructura central, como en Tlaxcala, Mexicali y Ciudad Victoria, ya que sus coeficientes de determinación eran de los más altos en 1990 (0.789, 0.719 y 0.749) y disminuyeron muy poco para el año 2000 (0.761, 0.686 y 0.630).

Si el modelo central de la variable vivienda en renta se modificó en las ciudades medias en la última década del siglo XX, se debió a las causas siguientes, que es necesario abordar a profundidad en estudios futuros: a) el inicio o continuación de la degradación urbana y económica del centro antiguo de las ciudades; b) la construcción de nuevos subcentros comerciales y de servicios en otras zonas distantes del centro; c) el mejoramiento o la construcción de vialidades de comunicación hacia la periferia; d) la disminución de la demanda de casas en renta, por el incremento de la oferta de las nuevas de interés social en zonas diferentes.
Estructura urbana y tiempo
A pesar de que este trabajo se encuentra en la etapa de actualización, de la base de datos del censo de 2010, resulta oportuno plantear una nueva hipótesis general, derivada de las evidencias encontradas tanto en esta investigación como en otras (Fuentes 2001; Méndez 1996; Álvarez 2011): las ciudades medias mexicanas pueden presentar modelos espaciales de organización relacionados con los periodos de crecimiento de la mancha urbana, y no tanto con el factor distancia al centro de la ciudad. Los cohortes históricos del espacio urbano presentan características sociales y físicas que las pueden diferenciar significativamente entre sí; en otras palabras, un modelo derivado de la temporalidad del espacio y no de su ubicación con respecto al centro. Como primeras referencias empíricas, se pueden revisar algunos resultados de los cálculos agregados por zona de crecimiento urbano de las variables densidad de población, porcentaje de población menor de 12 años y porcentaje de vivienda en renta, de las 32 ciudades medias, con datos de los años 1990 y 2000.
A partir de los cálculos realizados en las 32 ciudades, con datos censales de 1990, se encontró que la mayor densidad de población estandarizada (1 es el valor promedio) estaba en los espacios urbanos desarrollados hasta los años cincuenta, donde era dos veces más que la promedio (véase Figura 14); después dicha densidad empezó a descender, de manera constante, hasta llegar a los espacios de los años ochenta. Al realizar los mismos cálculos con datos del año 2000, el comportamiento fue muy similar, la densidad más alta (1.5 veces el promedio) siguió en las zonas construidas hasta la década de 1950 y disminuyó hasta las edificadas en la de 1990; sin embargo, se redujo en el espacio urbano hasta los años sesenta, y aumentó el que representó la década de los años setenta hasta los noventa. Estas modificaciones pueden responder a factores que requieren ser analizados a detalle: cambios en el uso del suelo, el desarrollo de zonas habitacionales nuevas en áreas de crecimiento urbano reciente, la movilidad residencial intraurbana, la mortalidad de la población diferenciada entre zonas, debido a la estructura de edad, y el deterioro del espacio urbano construido en la primera mitad del siglo XX.

Con respecto a la proporción de población menor de 12 años, en 1990 las partes más viejas de las ciudades medias tenían los porcentajes más bajos, los cuales ascendieron un poco hasta los espacios que había en la década de 1940; después se incrementaron significativamente hasta la zona urbana de los años sesenta, para ascender de manera acelerada el porcentaje hasta el espacio construido en los ochenta. Esto indica que en 1990, las áreas más recientes, de 1960 a 1990, de las ciudades medias se caracterizaban por tener población infante y, por consecuencia, familias jóvenes en comparación con los espacios de la década de 1950 y antes (véase Figura 15).

Al graficar la curva de dicha variable, con datos del año 2000, las pendientes fueron casi idénticas, pero desplazadas hacia valores porcentuales más bajos, es decir, en las ciudades medias la distribución de la población de infantes y de las familias jóvenes fue la misma en los años 1990 y 2000, aunque con menor frecuencia. Estos resultados permiten deducir que: a) los espacios más nuevos continuaban siendo el destino para las familias jóvenes en las ciudades medias, mientras que los antiguos seguían habitados por familias y población vieja y b) la pirámide de edades de la población se ha ido achicando en la parte más baja, en la población infante, de tal forma que su proporción disminuyó en los años 1990 y 2000.
El caso más interesante es el relacionado con la proporción de viviendas rentadas por zona de crecimiento urbano, cuyas curvas son casi idénticas entre los datos de los años 1990 y 2000, tanto en valores como en pendiente (véase Figura 16). La pendiente negativa de ambas curvas indica que entre más viejas son las zonas urbanas mayor es la frecuencia de viviendas rentadas. Esta relación de temporalidad puede indicar que los espacio más viejos -quizás los más urbanizados- poseen ciertos atributos al contar con accesibilidad, servicios, comercios y espacios públicos, que hacen atractivo residir en una vivienda en alquiler. La similitud de valores entre los datos de los años 1990 y 2000 requiere atención especial ya que parece que el mercado de la vivienda en renta mantuvo la misma oferta en los mismos espacios de las ciudades medias en la última década del siglo XX; esto puede indicar que los factores que pueden alterar dicho mercado se mantuvieron estáticos, al menos por una década, como sería la producción de vivienda (tanto de interés social como para otros niveles de ingreso); la tasa de crecimiento social (inmigración menos emigración); la infraestructura vial y el sistema de trasporte público, entre otros.

El comportamiento de las tres variables mencionadas conduce a proponer la estructuración del espacio urbano en tres zonas de crecimiento de las ciudades medias con características propias, que permite diferenciarlas entre sí. La definición tentativa de las zonas sería la siguiente: el espacio urbano desarrollado desde el núcleo hasta 1950; el espacio urbano de 1950 a 1970; y el último, de 1970 hasta el año 2000. Cada zona refleja momentos y procesos de desarrollo social y económico diferentes; el proceso de globalización, que inició a finales del siglo XX en México, hizo que grandes trasnacionales instalaran plantas de manufactura y trasformación en las periferias de las ciudades (Vernon 1996), lo cual estableció una adaptación forzada de la estructura de la ciudad y formas nuevas de producción de espacio urbano, que se deben estudiar de acuerdo con perspectivas económicas y de planeación urbana institucional.
Conclusiones
En este ejercicio exploratorio se observó el comportamiento intraurbano de las variables de densidad de la población menor de 12 años, de la mayor de 64 y el porcentaje de vivienda en renta en 32 ciudades medias mexicanas. El comportamiento de las curvas cúbicas de las regresiones, con los datos de los años 1990 y 2000 permite afirmar, por el momento, que las ciudades modificaron su organización espacial en torno al centro antiguo y, de manera más significativa, en el tema de la vivienda en renta. En ambos periodos de análisis, la forma de crecimiento no se relacionó con el comportamiento concéntrico de las variables, salvo en algunos casos; según este resultado, la estructura urbana central de una ciudad media mexicana no necesariamente puede estar determinada por la forma en que ha crecido.
En la última década del siglo XX, las ciudades medias mexicanas se trasformaron de tal manera que alteraron la estructura espacial de la distribución de la población y del mercado de vivienda en renta. Quizá sea poco tiempo para modificar la organización espacial de una ciudad, sin embrago el espacio urbano nuevo, creado durante los años noventa en las ciudades medias, representa más de 25 por ciento del total de la mancha urbana de las incluidas en los tres tipos de forma urbana; si se considera las dos últimas décadas del siglo, se estaría refiriendo a 57 por ciento de la superficie de las ciudades. Esto da una idea de la importancia de dicha extensión y cómo modificó las características del espacio urbano existente.
Fue significativo el comportamiento de las variables de población mayor de 64 años y vivienda en renta; en la primera, si bien la robustez del modelo concéntrico disminuyó entre los años 1990 y 2000, los coeficientes de determinación fueron altos en más de la mitad de las ciudades estudiadas. Esto se puede interpretar de la siguiente forma: en 1990 los espacios cercanos al centro se caracterizaban por tener el porcentaje más alto de población mayor de 64 años, y conforme éstos se alejan del centro dicho porcentaje disminuye; es muy probable que las personas de edad avanzada se establecieran ahí siendo adultas o que fueran originarias de las AGEB centrales y cercanas, pero que ya no cambiaron de residencia. Diez años después persistía el modelo concéntrico, pero no con tanta representatividad. Para el año 2000, las zonas céntricas y sus alrededores mantuvieron un porcentaje alto de población mayor de 64 años, existían otras donde empezaban a establecerse muchas personas de edad avanzada; esto debido a que la población comienza a envejecer y muy probablemente se concentra en las áreas que se desarrollaron hasta los años sesenta, ubicadas cerca del núcleo original; además, con base en las referencias estadísticas de este estudio, dicha población se distingue por tener una movilidad residencial intraurbana muy baja.
Si se parte de las premisas planteadas en el análisis de la distribución espacial de la vivienda rentada, y según los resultados de las regresiones aplicadas en las 32 ciudades medias mexicanas, el mercado de las casas de alquiler se desplazó del centro a otros lugares igual de atractivos, con servicios e infraestructura. Esto también puede responder al hecho de que viviendas viejas de otras zonas se vendieron o alquilaron por sus antiguos propietarios, quienes se trasladaron a espacios urbanos nuevos; el cambio de tenencia de la vivienda se ha actualizado y ha entrado a formar parte del parque de casas en renta. Lo interesante de este fenómeno es que los cambios espaciales del mercado de vivienda, de movilidad residencial y de construcción ocurrieron, de manera muy significativa, en la última década del siglo XX.
Es muy probable que estos cambios en la estructura urbana continúen durante el siglo XXI, si se considera que persiste el esquema de articulación de las ciudades con la mundialización económica liberal, implantada en la década de 1980 (Garza 2010, 515). La ubicación de parques industriales en las periferias y en las afueras de las ciudades medias ha establecido nuevas redes y flujos de interacción, que trasforman constantemente su organización centralizada. Sucede lo mismo con la construcción de fraccionamientos para la clase trabajadora, cuyo patrón de ubicación es similar al industrial, pero con menores satisfacciones de bienestar debido a la distancia del equipamiento de salud, educación, comercio y esparcimiento, lo que produce un desarrollo geográfico desigual (Soja 2001) y una segregación social forzada (Rapoport 1978).
Para comprobar estas hipótesis, planteadas en el artículo, y conocer con más detalle la estructura y funcionamiento de las ciudades medias es necesario elaborar estudios de estructura urbana considerando indicadores sociodemográficos, de vivienda y económicos, del medio natural y construido, tanto de cohorte trasversal como longitudinal con bases de datos más actuales. Por ejemplo, la topografía regularmente condiciona la forma de crecimiento de las ciudades, así como la intensidad del uso del suelo urbano, sin embargo estos factores por lo general no se incorporan como insumos en la metodología de análisis de la estructura urbana. Los estudios longitudinales con cohortes diferentes ayudan a identificar los cambios en la estructura interna de las ciudades, sus dinámicas y tendencias, y las características del desarrollo urbano en los cohortes históricos de análisis, para comprender su estado actual (Borsdorf 2003). Como se vio aquí, en una década las ciudades medias mexicanas cambiaron considerablemente su estructura interna, al menos en los indicadores analizados; con el paso del tiempo tienden a ser menos concéntricas y desarrollan otro tipo de organización espacial. Por otro lado, un mayor protagonismo de éstas en la economía regional puede dar como resultado la conformación de relaciones económicas y funcionales con otras localidades urbanas y establecer zonas metropolitanas, las cuales requieren ser identificadas, delimitadas y estudiadas como un conjunto de espacios, y no de manera aislada.
Los cambios significativos en la estructura interna de las ciudades medias mexicanas pueden traer como consecuencia el degradamiento de espacios antiguos. El desplazamiento parcial o completo de actividades económicas, administrativas y de esparcimiento hacia otros enclaves, distantes del centro antiguo o en la periferia, disminuye de manera sustancial la demanda de uso del núcleo de origen de la ciudad y sus alrededores; como consecuencia, su economía se debilita, los edificios son abandonados y la población residente disminuye. Es indispensable estudiar estas dinámicas intraurbanas para identificar cómo están evolucionando las ciudades, y qué estrategias de planeación son las más adecuadas para mejorar su funcionamiento y el bienestar de sus habitantes.
Bibliografía
Achen H., Christopher. 1982. Interpreting and using regression. Series: Quantitative Applications in the Social Sciences, number 07-029. Beverly Hills: Sage Publications.
Aguilar Méndez, Fernando Antonio. 1992. La expansión territorial de las ciudades de México. México: Universidad Autónoma Metropolitana.
Alonso, William. 1964. Location and land use. Cambridge: Harvard University Press.
Álvarez de la Torre, Guillermo Benjamín. 2011. Ciudades medias y estructura urbana. México: UACB.
Andrade, Rita. 2010. Morfología urbana. Emplazamientos y situación, planos urbanos. http://es.slideshare.net/ritagandrade/morfologaurbana (1 de marzo de 2015).
Azevedo Salomao, Eugenia María. 2003. La vivienda en la morfología urbana del crecimiento histórico de Morelia. http://www.ub.edu/geocrit/sn/sn-146(071).htm (6 de diciembre de 2010).
Bastié, Jean y Bernad Dézert. 1980. L’espace urbain. París: Masson S.A.
Borsdorf, Axel. 2003. Cómo modelar el desarrollo y la dinámica de la ciudad latinoamericana. Revista EURE 29 (86): 37-49.
Bosselmann, Peter. 2008. Urban transformation. Understanding city design and form. Washington: Island Press.
Bourne, Larry S. 1982. Internal structure of the city. Nueva York: Oxford University Press.
Buting T., P. Filion y H. Priston. 2002. Density gradients in Canadian metropolitan regions, 1971-96: differential patterns of central area and suburban growth and change. Urban Studies 39 (13): 2531-2552.
Cadwallader, Martin. 1996. Urban geography. An analytical approach. Nueva Jersey: Prentice Hall.
Carter, Harold. 1995. The study of urban geography. Nueva York: Halsted Press.
Clark, Colin. 1951. Urban population densities. Journal of the Royal Statistical Society, serie A, 14: 490-496.
Crowley, William K. 1998. Modeling the Latin American city. Geographical Review 88: 127-130.
Ford, Larry. 1996. A new and improved model of Latin American city structure. Geographical Review 86: 437-440.
Fuentes Flores, César. 2001. Los cambios en la estructura intraurbana de Ciudad Juárez, Chihuahua, de monocéntrica a multicéntrica. Frontera Norte 13 (25): 95-123.
Garza, Gustavo. 2010. Competitividad de las metrópolis mexicanas en el ámbito nacional, latinoamericano y mundial. Estudios Demográficos y Urbanos 25 3 (75): 513-588.
Graizbord, Boris. 1992. Sistema urbano, demografía y planeación. Ciudades 12: 40-47.
Griffin, Ernest y Larry Ford. 1980. A model of Latin American city structure. Geographical Review lXX (3): 437-440.
Hair Jr., Joseph F., Rolph E. Anderson, Ronald L. Tatham y William C. Black. 1999. Análisis multivariante. México: Prentice-Hall.
Hoyt, H. H. 1939. The structure and growth of residential neighborhoods in American cities. Washington: Federal Housing Administration.
INEGI. 2002. Sistema de Consulta de Información Censal 2000 (disco compacto). México.
INEGI. 2001. Ciudades capitales (disco compacto). México.
INEGI. 1993. Sistema de Consulta de Información Censal 1990 (disco compacto). México.
Infante Gil, Said y Guillermo P. Zárate de Lara. 1990. Métodos estadísticos, un enfoque interdisciplinario. México: Editorial Trillas.
Kahimbaara, J. A. 1986. The population density gradient and spatial structure of a third world city: Nairobi, a case study. Urban Studies XXXIII (4): 307-322.
Knox, Paul. 1987. Urban social geography, an introduction. Essex: Longman Scientific and Technical.
Korcelli, Piotr. 1982. Theory of intra-urban structure: review and synthesis. A cross-cultural perspective. En Internal structure of the city : readings on urban form, growth, and policy, compilado por Larry S. Borne, 99-131. Nueva York: Oxford University Press.
Lewis-Beck, Michael S. 1980. Applied regression, an introduction. Series Quantitative Applications in the Social Sciences no. 22. Newbury Park: sage.
Méndez Mungaray, Elizabeth. 1996. Cambios de los principales elementos de la estructura urbana de una ciudad fronteriza: Mexicali, B. C. Revista de El Colegio de Sonora VII (12): 3-24.
Newling, B. E. 1978. The spatial variation of urban population densities. En Internal structure of the city: readings on space and environment, compilado por Larry S. Borne, 242-252. Nueva York: Oxford University Press .
Polydorides, Nicos. 1982. The concept of centrality in urban form and structure. Nueva York: European University Studies, Peter Lang.
Rapoport, Amos. 1978. Aspectos humanos de la forma urbana. Barcelona: Editorial Gustavo Gili.
Rojas Quezada, Carolina Alejandra, Iván Muñiz Olivera y Miguel Ángel García López. 2009. Estructura urbana y policentrismo en el área metropolitana de Concepción. Revista EURE XXXV (105): 47-70.
Sánchez López, Martha. 2000. La rehabilitación de los centros históricos en México. Revista Bibliográfica de Geografía y Ciencias Sociales, Universidad de Barcelona 215, marzo. http://www.ub.es/geocri.html
Schroeder, Larry D., David L. Sjoquist y Paula E. Stephan. 1986. Understanding regression analysis an introductory guide. Series: Quantitative Applications in the Social Sciences no. 57. Newbury Park: sage .
Short, John Rennie. 1996. The urban order. Oxford: Blackwell Publishers Ltd.
Sobrino, Jaime. 2003. Competitividad de las ciudades en México. México: El Colegio de México.
Soja, Edward W. 2001. Postmetropolis. Critical studies of cities and regions. Oxford: John Wiley and Sons.
Vernon, Henderson J. 1996. Ways to think about concentration: neoclasical urban system versus the new economic geography. International Region Science Review 19 (1-2): 31-36.
Vilagrasa, Joan. 1991. El estudio de la morfología urbana: una aproximación. http://www.ub.edu/geocrit/geo92.htm (6 de diciembre de 2010).
Notas