Artículos
Determinantes socioeconómicos de la calidad del agua superficial en México
Socio-economic determinants of surface water quality in Mexico
Determinantes socioeconómicos de la calidad del agua superficial en México
Región y sociedad, vol. XXIX, núm. 69, 2017
El Colegio de Sonora
Recepción: 18 Septiembre 2015
Aprobación: 19 Enero 2016
Resumen: La calidad y la disponibilidad de agua de los ríos en México son cruciales para el desarrollo regional y nacional, pero tienen problemas graves; en 2006, 74 por ciento de las aguas superficiales tenía grados diferentes de contaminación. El objetivo de esta investigación es identificar la influencia de algunas variables socioeconómicas en la calidad del agua superficial en las regiones hidrológicas administrativas, y proponer acciones para mejorarla. Según el análisis econométrico, la actividad económica y la densidad poblacional perjudican la calidad del agua superficial en dichas regiones. Es poco el efecto del aumento de las plantas de tratamiento de agua en cuanto a la contaminación; el incremento en el caudal tratado es contraproducente para la calidad del agua. Estos elementos presentan aspectos importantes para ser abordados por las políticas públicas.
Palabras clave: agua superficial, calidad del agua, contaminación de ríos, cuencas hidrológicas, plantas de tratamiento de agua, política pública, modelos econométricos.
Abstract: The quality and availability of water in Mexican rivers is critical for regional and national development, but they pose serious problems. In 2006, 74 percent of the surface water in Mexico had different levels of pollution.The objective of this research is to identify the influence of socioeconomic variables in surface water quality on each of the hydrological-administrative regions (HARS) and to propose actions in order to improve its quality. After an econometric analysis, results show that surface water quality in the different HARS is affected by economic activity and population density. On the other hand, the increase of water treatment plants has little impact on reducing water pollution and the increase of treated water shows a counterproductive effect on water quality. All of these aspects should be considered when designing public policy.
Key words: surface water, water quality, pollution of rivers, water basins, water treatment plants, public policy, econometric models.
Introducción
La calidad y la disponibilidad del agua de los ríos en México es un tema de gran relevancia para el desarrollo regional y nacional, sin embargo, los problemas en el sector son graves. Con respecto a las aguas superficiales, en 2006, 26 por ciento de los ríos, lagos y embalses que monitoreaba la Comisión Nacional del Agua (CONAGUA) eran de buena calidad, mientras que 74 tenía diferentes grados de contaminación (Fondo para la Comunicación y la Educación Ambiental et al. 2006, 21, 53).1 Parte de esto se explica porque, de acuerdo con cifras oficiales, en México sólo se trata 20 por ciento de las aguas residuales de las descargas urbanas e industriales; esto significa que la mayoría de éstas se vierten sin tratamiento ocasionando contaminación y reducen la disponibilidad de agua limpia (Secretaría de Medio Ambiente y Recursos Naturales, SEMARNAT 2005). Lo que es aún más alarmante es que de los 140 m3/s que se reutilizaban en 2003, sólo 20 m3/s se habían tratado (Jiménez 2007, 45). Todo esto pone en evidencia el problema de salud pública y los efectos en el desarrollo del país (Arreguín et al. 2010, 60), y de regiones particulares véase (Avelar et al. 2011, 317; Armienta et al. 2011, 329; Perry et al. 2011, 341).
Una parte del problema del agua en México es la forma en que las autoridades reportan la información a la ciudadanía, la otra es que no se han priorizado los problemas por resolver, las metas y las acciones con mecanismos de verificación intermedios, que permitan ver el avance para solucionar tanto los regionales como los nacionales (Hansen y Corzo 2011, 303; Jiménez 2007, 55).
A partir de la información provista por CONAGUA, los objetivos de esta investigación son: a) identificar la influencia de algunas variables socioeconómicas en la calidad del agua superficial en cada región y b) proponer acciones para mejorar la calidad del agua mediante propuestas concretas de política pública. Para ello, en la primera sección se explica el panorama general de la calidad de las cuencas superficiales en México usando la regionalización determinada por CONAGUA, la cual agrupa las unidades básicas (cuencas hidrológicas) en regiones hidrológico-administrativas (RHA). Así mismo, se analizan los datos obtenidos de las estadísticas del agua de 2003 a 2012, para conocer las tendencias de la contaminación a través de los indicadores de calidad de agua a escala nacional. En la segunda sección se busca identificar la relación entre los indicadores de calidad de agua para las 13 RHA y diversas variables socioeconómicas, para ver cómo contribuyen a la contaminación. Esto se hace a través de un análisis econométrico desarrollado a partir de la información disponible para las 13 RHA. La tercera sección incluye experiencias en la recuperación de ríos contaminados, tanto nacionales como internacionales. Al final se presentan las conclusiones, así como las recomendaciones concretas de política pública aplicables para revertir el deterioro en la calidad de aguas superficiales en México.
Calidad del agua superficial en México
Los ríos y los arroyos de México constituyen una red hidrográfica de 633 mil kilómetros. En los cauces de los 50 ríos principales fluye 87 por ciento del escurrimiento superficial del país, y sus cuencas cubren 65 por ciento del área continental (CONAGUA 2012a). A partir de la precipitación se produce el ciclo natural de recarga de estos cuerpos superficiales, que en México es, en promedio, de 1 489 km3 al año. De esto, 73.1 por ciento se evapora a la atmósfera, 22.1 escurre por ríos y arroyos y 4.8 se infiltra al subsuelo de forma natural y recarga los acuíferos (CONAGUA 2012b). La precipitación y los escurrimientos están distribuidos de forma irregular, tanto en territorio como en temporadas. Por un lado, el volumen más grande de la precipitación se concentra en el sureste y la mayor parte cae entre junio y septiembre (CONAGUA 2012b). Para un manejo integral del agua y tomar en cuenta la forma natural de los escurrimientos, la CONAGUA dividió al país en 13 RHA; cada una está formada por la unión de varias cuencas, consideradas unidades básicas de gestión de los recursos hídricos. Para definir su alcance se agruparon de acuerdo con rasgos comunes y se respetaron los límites municipales, para facilitar la administración e integración de la información socioeconómica (CONAGUA 2012c) (véase Figura 1).

Monitoreo de la calidad del agua
Las propiedades químicas, físicas y biológicas de los sistemas acuáticos determinan su calidad. A pesar de que no existe un índice nacional estandarizado oficial para el agua, hay parámetros que ayudan a determinar, de acuerdo con su concentración, los límites máximos que debe contener un cuerpo de agua para que no represente un riesgo ambiental y social. De 1990 a 2001, la calidad del agua en México se medía con el índice de calidad del agua (ICA), pero en 2002 se sustituyó por otro método que considera la materia orgánica como el contaminante principal (Jiménez 2007, 45); en éste los parámetros más importantes son: la materia orgánica biodegradable a cinco días o demanda bioquímica de oxígeno a cinco días (DBO5), la materia orgánica químicamente oxidable o demanda química de oxígeno (DQO) y los sólidos suspendidos totales (SST). El primero considera la parte de la materia orgánica que se degrada biológicamente (DBO5), mientras que el segundo incluye tanto la parte de DBO como la de la materia que no es biodegradable. Lo anterior implica que los valores medidos en DQO siempre son superiores a los medidos en DBO5 (Jiménez 2007, 45-46). Por otro lado, los SST comprenden los sólidos sedimentables, los flotantes y los no sedimentables (Ramos et al. 2003, 87). El origen de los SST puede ser la contaminación con aguas residuales (CONAGUA 2012d). En la Figura 2 se presenta la escala de clasificación de la calidad del agua de la CONAGUA para los tres indicadores, que no se agregan en un ICA, que se deben interpretar por separado.
En la actualidad, la calidad del agua para cada una de las 13 RHA y a escala nacional se muestra indicando el porcentaje de sitios de monitoreo que presentan calidad de agua excelente, buena, aceptable, contaminada y fuertemente contaminada para cada parámetro. Sin embargo, exponer la información de esta manera causa varios problemas; por un lado, no reporta niveles absolutos de concentración de los contaminantes (criterio DBO5, DQO y SST), sino que sólo indica el porcentaje de sitios de monitoreo que tienen cierta clasificación de calidad del agua y, como se muestra en la Figura 3, estos rangos, sobre todo los de agua contaminada y fuertemente contaminada, son muy amplios. Esto se agrava porque no se indica el número de sitios de monitoreo por región ni el caudal de agua monitoreado. Aunado a esto, la información de las dos metodologías (ICA y DBO5-DQO-SST) no es comparable.

Con las dos metodologías oficiales, Jiménez (2007) identificó que, entre 1990 y 2003,“la cantidad de agua fuertemente contaminada se ha mantenido constante y la cantidad de agua calificada como excelente se ha incrementado con las nuevas formas de evaluación. Sin embargo, no es claro si la calidad del agua ha mejorado o empeorado con el tiempo” (2007, 46). Por otra parte, en 2005, CONAGUA reportó que 8 por ciento del agua superficial era de calidad excelente o buena, medida de acuerdo con la DBO, y 19 por ciento, según la DQO; mientras que 72 estaba fuertemente contaminada de acuerdo con la DBO y 69 lo estaba en función de la DQO (CONAGUA 2005). Esto implica que casi dos terceras partes del agua superficial estaban contaminadas en 2005 (Jiménez 2007, 47).
Cuando se analizaron los datos de la CONAGUA de 2003 a 2013, se observó que el porcentaje nacional de sitios de monitoreo con agua contaminada o fuertemente contaminada no varió mucho, sobre todo en el caso del indicador DQO, pero en los demás bajó de manera marginal, esto se refleja en la Figura 2. En conjunto, no es claro que la calidad del agua en general haya mejorado.
Las tres RHA con mayor porcentaje de agua contaminada son Aguas del Valle de México, Península de Baja California y la del Lerma-Santiago-Pacífico. La primera y tercera siguen siendo de las más contaminadas desde 1988 (Jiménez 2007, 74). Esto muestra la poca efectividad de las políticas públicas en materia de agua para resolver de raíz el problema de contaminación. Para contar con información más detallada, se han realizado diversos estudios en algunos ríos para conocer su grado de contaminación (véase Figura 4).

Posibles condicionantes de la contaminación de aguas superficiales
En los ríos y los cuerpos de agua superficial analizados a través del tiempo, en los estudios citados en esta investigación, se registró un alto grado de deterioro, para lo que hay varias explicaciones, por ejemplo, los asentamientos humanos urbanos y la industria, cuyas descargas residuales no se están tratando. La agricultura también contribuye a la contaminación, que en ciertas regiones del país es generada por las descargas de aguas residuales y los escurrimientos a partir de la producción agropecuaria, que han provocado que el agua de los ríos se considere tóxica y peligrosa para la salud (véase Figura 4). Esto marca el límite inferior del problema, ya que, en México, al menos de manera oficial y según lo reportado públicamente, sólo se le da seguimiento al contenido de materia orgánica, sin considerar la amplia gama de contaminantes tóxicos y peligrosos que se generan.
Una de las causas puntuales de la contaminación de los ríos es el crecimiento demográfico, cuya consecuencia es el aumento en la densidad poblacional. Entre mayor sea el número de habitantes, más residuos y descargas se generarán, tanto en el ámbito municipal como en el industrial, porque se producirán más contaminantes, que terminarán en los cuerpos de agua. Entre 2003 y 2012 no cambió el porcentaje de sitios contaminados y fuertemente contaminados para la DQO, pero se incrementó para los SST (véase Figura 5).

Otra causa es el crecimiento en el ingreso o producción, ya que mientras mayor sea la actividad económica (la agrícola que utilice fertilizantes, plaguicidas y demás químicos) o la industrial (que use insumos que generan efluentes), más serán los residuos que se descarguen a los ríos y, si no se tratan, pueden reducir la calidad de su caudal. Por ello se estudiará la relación entre el producto interno bruto (PIB) y los contaminantes. Sin embargo, como se muestra en la Figura 6, hay pocos cambios en el PIB per cápita y en el porcentaje de sitios contaminados por DQO, así como en la proporción de sitios contaminados y fuertemente contaminados con los SST.

La recuperación de las aguas residuales depende de la operación de plantas de tratamiento cuyo número ha crecido, al igual que el caudal tratado (véase Figura 7). Sin embargo, esto no ha reducido el porcentaje de sitios de monitoreo con agua contaminada y fuertemente contaminada entre 2003 y 2012. Además, ha aumentado este indicador para el caso de los SST.

Como se observa en las figuras anteriores, en un periodo corto no es posible realizar un análisis de econometría de series de tiempo, para distinguir la variación de la calidad del agua y sus determinantes a nivel agregado. Lo mismo ocurre con la información del interior de las regiones de México. Es importante notar que el comportamiento de la relación entre las variables en el país puede ser distinto al de las regiones. Por ejemplo, la calidad del agua a escala nacional se puede asociar de manera negativa con una mayor densidad poblacional, pero al mismo tiempo podría presentarse una relación positiva entre estas variables dentro de las regiones. En la Figura 8 se ilustra la relación entre calidad del agua, medida por la DQO, y la densidad poblacional por regiones. Es claro que dentro de ésta hay asociaciones positivas y negativas entre las dos variables; en la 9 y la 12 se observan puntos atípicos que pueden ser resultado de la forma en que la CONAGUA reportó la superficie en 2005.2 En la sección siguiente se hará un análisis econométrico con datos panel para capturar estos efectos, y establecer la relación entre la calidad del agua y sus determinantes dentro de las regiones y en el tiempo.

El modelo, análisis de datos y resultados
En esta sección se busca demostrar una relación robusta desde el punto de vista estadístico entre la calidad del agua, como variable dependiente, y el PIB per cápita, la densidad poblacional, las plantas de tratamiento de agua, el caudal tratado y el agua renovable,3 como las independientes. Al analizar estas relaciones se pueden identificar los factores que contribuyen a mejorar la calidad del agua, y que permiten diseñar políticas públicas en este sentido.
El modelo
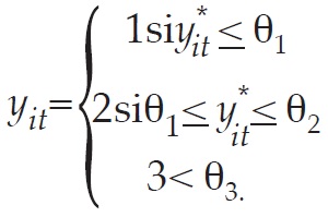
Para investigar los determinantes de la calidad del agua para las 13 RHA, de 2003 a 2012, se utilizó una versión del siguiente modelo de respuesta lineal latente:4
(1)donde
es la variable dependiente categórica que mide la calidad del agua;
es un vector de variables explicativas; β es un vector de parámetros de respuesta y
, con respuestas ordinales dadas por

Las funciones de verosimilitud
tienen la forma siguiente:
(2)cuya integral es aproximada por la cuadratura Gauss-Hermitiana de M puntos. En Naylor y Smith (1982) y Rabe-Hesketh y Skrondal (2012) se describen más detalles de esta aproximación, así como el método de cálculo de los parámetros. Por medio de la máxima verosimilitud se estiman los parámetros del modelo ordinal para datos panel con efectos aleatorios asumiendo una distribución logística y probabilística acumuladas respectivamente. 5 Se estimó el modelo siguiente:
donde
es el índice de calidad del agua medido por la DQO;
el PIB per cápita en cada región en miles de pesos a precios de 2010;
la densidad de la población (promedio) de la región;
es la diferencia absoluta del número de plantas hidroeléctricas;
es el caudal de agua tratado en hm3 y
es el torrente de agua renovable en hm3 anuales. En la especificación se agregó el PIB per cápita al cuadrado (
), para capturar efectos no lineales del crecimiento sobre la calidad del agua y el rezago de la variable dependiente, es decir
, con el fin inicial de capturar la inercia potencial de la calidad del agua en el tiempo. El rezago de la calidad del agua como variable explicativa permite aminorar problemas potenciales de autocorrelación serial y también de posible simultaneidad.6
Análisis breve de los datos
La Figura 9 contiene la estadística descriptiva para cada variable según la variación total (overall), la de tiempo (within) y la variación entre las regiones (between). Hay información sobre la calidad del agua y sus determinantes para las 13 RHA de México en el periodo 2003-2012, lo que arroja 130 observaciones para cada variable, excepto para el caudal de agua tratado (c) y el número de hidroeléctricas (HE), para las que se tiene información de nueve años. La versión de variable categórica ordenada
empleada se obtiene a partir de la categorización de la DQO mostrada en la Figura 2. Aunque las mediciones originales son continuas, la distribución de los datos muestra un marcado sesgo positivo de los valores de la DQO, lo que ocasiona que las mediciones se concentren en los primeros dos umbrales. Los datos no rebasan puntajes de la DQO=100, por lo que no hay observaciones para la última categoría sugerida por el Sistema Nacional de Información del Agua en la Figura 2 (200< DQO). Debido al marcado sesgo positivo de los datos y a que la distribución original de éstos en realidad no cubre todas las categorías propuestas por el Sistema Nacional de Información del Agua, en la sección siguiente se propone una recategorización de la variable DQO, distinta a la de la CONAGUA, que toma en cuenta de manera apropiada la distribución empírica de los datos.

Entre otras características mostradas en la Figura 9, las variables densidad de la población (P) y caudal de agua renovable (S) tuvieron la menor variación temporal (within), ya que alcanzaron CV= 0.06 y CV = 0.05 respectivamente. Sin embargo, presentaron la mayor variación entre regiones (between), con CV= 2.35 en el primer caso, y CV= 1.23 en el segundo. Las variables con la mayor variación temporal fueron el número de plantas hidroeléctricas (HE), con CV= 1.24 y el caudal tratado (C), con CV= 0.77. El PIB per cápita (Y) mostró la menor variación entre las regiones.
Resultados
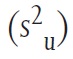
En la Figura 10 se presentan los resultados de las estimaciones de los modelos probit (segunda columna) y logit (tercera columna) ordenados con datos panel; se estimaron dos versiones del modelo. La primera propuesta de ordenamiento para la variable Qit (modelo 1) considera dos categorías de la SST: calidad excelente (0<SST≤25) y buena calidad (25<SST).7 La segunda versión (modelo 2) utiliza un ordenamiento categórico a partir de la variable DQO. La Qit considera tres categorías: excelente y buena calidad (0<DQO≤20), aceptable (20<DQO≤40) y contaminada y fuertemente contaminada (40<DQO≤200). Esta recategorización es distinta de la presentada por la CONAGUA, pero más apropiada para el análisis, replica de mejor forma la distribución empírica de los datos que muestran un marcado sesgo positivo y un valor máximo que no rebasa los 100 puntos. En la Figura 10 también se muestran los puntos de corte y la varianza estimada del panel
así como los criterios de decisión del pseudo L(t), el de información de Akaike (AIC) y el de información bayesiano (BIC).

Las estimaciones muestran que entre más elevada sea la actividad productiva de las regiones (medida por el PIB per cápita), la densidad poblacional y el caudal tratado, mayor será la probabilidad de que la calidad del agua sea más baja (véase el modelo 2 en la Figura 10).8 De hecho, el caudal tratado es el que más daña la calidad del agua. En la última columna de la Figura 10 se ilustra que la probabilidad de que el agua se clasifique como agua contaminada o fuertemente contaminada respecto a otras categorías es 1.06 veces más alta con cada peso de incremento del PIB per cápita; 1.01 más con cada aumento unitario de la densidad poblacional, 2.32 más por cada incremento del caudal tratado y 0.99 más con aumentos unitarios del torrente de agua.
En la Figura 11 se muestran los efectos marginales de cada resultado posible, es decir, tener una calidad del agua excelente/buena, aceptable o contaminada. Si el PIB per cápita se incrementa en una unidad, la probabilidad de tener agua excelente o buena es 0.80 por ciento menor, pero 0.34 mayor de que sea aceptable y 0.46 mayor de que el agua esté contaminada o fuertemente contaminada. De manera similar, los aumentos unitarios en la densidad poblacional disminuyen 0.20 por ciento la probabilidad de tener una calidad de agua excelente o buena, pero se eleva en 0.08 la de que sea aceptable y 0.11 de que esté contaminada. Por su parte, los aumentos unitarios del caudal de aguas tratadas reducen en 12.20 por ciento la probabilidad de tener agua de excelente/buena calidad, pero elevan en 5.18 la de contar con un caudal aceptable y 6.97 de que esté contaminado o fuertemente contaminado. Esto se puede deber a que el caudal no es tratado de manera adecuada y, por tanto, no mejora su calidad.

Pronóstico de calidad de agua
En la Figura 12 se ilustran los pronósticos de probabilidad para las tres categorías de calidad de agua para los rangos con intervalos de confianza a 95 por ciento. En la gráfica (a) de la Figura 12 se muestra que la probabilidad de tener una calidad de agua excelente o buena es más alta para niveles bajos de PIB per cápita y disminuye cuando éstos aumentan. De manera simétrica, en las gráficas (b) y (c) es muy poca la probabilidad de observar una calidad de agua contaminada en los niveles de PIB bajos, pero va subiendo gradualmente cuando éstos son mayores.

De manera similar, se encontró que la probabilidad de observar una calidad de agua excelente o buena es alta para niveles de densidad poblacional bajos (véanse las gráficas (d), (e), y (f) de la Figura 12), pero disminuye con rapidez cuando éstos crecen. Al principio se incrementa la posibilidad de que los registros de calidad de agua sean aceptables cuando la densidad de población es baja, pero sólo de manera marginal; pero los registros de agua contaminada aumentan rápidamente con incrementos de la densidad poblacional hasta alcanzar 100 por ciento, para densidades superiores a los 400 hab/km2. De este comportamiento se infiere que el efecto de la densidad poblacional es más fuerte que el del PIB per cápita o el de cualquier otra variable en el modelo.9
Al considerar los resultados, sorprende que los cambios negativos en el caudal de agua tratada aumenten la probabilidad de observar registros excelentes o buenos de calidad de agua, y que ésta disminuya con cambios positivos del caudal tratado y, a su vez, que se eleve la probabilidad de observar niveles de agua aceptable y contaminada respectivamente. Al mismo tiempo, el crecimiento en el número de plantas potabilizadoras es positivo para la calidad de agua excelente o buena, la cual aumenta con el incremento de plantas, al tiempo que se registra un efecto casi neutral sobre la calidad de agua aceptable o la contaminada.
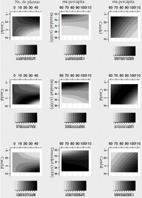
Interacciones
En la Figura 13 aparecen las gráficas de contorno de la función de probabilidad conjunta de calidad de agua para cada categoría: excelente/ buena (primera columna de gráficas); aceptable (segunda columna de gráficas) y contaminada (tercera columna de gráficas); en el eje vertical de éstas se muestran varios niveles de PIB per cápita, y en el horizontal los cambios de caudal. De igual forma, se indica que la probabilidad de una calidad de agua excelente o buena aumenta con niveles de PIB per cápita bajos y cambios negativos simultáneos del caudal de agua tratada y que, de manera simétrica en el extremo derecho, los niveles de PIB per cápita altos e incrementos simultáneos de caudal tratado aumentan la probabilidad de una calidad de agua contaminada. Una calidad aceptable se logra con aumentos bajos de caudal tratado y niveles de desarrollo medios, los cuales están medidos por el PIB per cápita.

En las gráficas del segundo renglón de la Figura 13 se muestra que una baja simultánea de la densidad poblacional, junto con niveles de PIB per cápita bajos, maximizan (minimizan) la probabilidad de observar calidad de agua excelente o buena (contaminada).Y, en las gráficas del tercer renglón se muestra que los cambios bajos (incluso negativos) del caudal tratado, combinados con más plantas de tratamiento, maximizan la probabilidad de producir agua excelente o buena y minimizan la de obtener agua contaminada. La calidad aceptable se maximiza con cambios positivos moderados de caudal tratado, pero combinados con mayor número de plantas.
En resumen, el ingreso, derivado de la actividad económica, y la concentración de la población o su densidad afectan la calidad del agua superficial en las regiones hidrológicas de México. Por su parte, el aumento de las plantas de tratamiento de agua tiene poco efecto sobre la contaminación. Por último, el incremento en el caudal tratado es contraproducente para la calidad del agua; esto se puede deber a las razones siguientes o a una combinación de ambas: a) si el proceso de tratamiento no es el adecuado, al aumentar el caudal tratado no mejorará su calidad y b) el agua se trata donde hay mayor actividad económica y densidad poblacional. Esto genera que la calidad del agua en esos sitios sea baja porque, debido al uso, ya está más contaminada, por lo que al tratarse mejora poco su calidad. Estos elementos pueden dar luz sobre aspectos importantes por abordar para las políticas públicas.
Experiencias en recuperación de ríos contaminados
Acciones internacionales
El deterioro de los ríos es producto de las actividades llevadas a cabo a lo largo del tiempo, y se agrava con el depósito de contaminantes en los cuerpos de agua. Ante esta degradación de la calidad de los ríos en algunos países, en los últimos años los gobiernos y la sociedad civil implementaron estrategias para la recuperación de ríos altamente contaminados por las descargas municipales, industriales y del sector agropecuario. En todos los casos aquí descritos, primero se identificaron los problemas por atender, se establecieron metas concretas de mejora, se diseñaron acciones ligadas a los problemas y a las metas, y se fijaron mecanismos de verificación de su cumplimiento. En la mayoría de ellos se optó por construir obras para el tratamiento de aguas residuales; las inversiones son muy costosas y sus efectos se ven a largo plazo. En la Figura 14 se revisan los casos del río Ganges, en India; el Sena, en Francia; el Rimac, en Perú y el Rin, en Europa oriental (Tare et al. 2003, 609).

El punto común de todos los esfuerzos para la recuperación de estos ríos es la puesta en marcha de un programa para la restauración de aguas. En el Ganges, primero se identificaron las fuentes principales de aguas residuales, y después se construyeron obras de intercepción, desvío y tratamiento. En el Rin se desarrollaron estrategias para su protección y uso, así como para la adaptación al cambio climático; se invirtieron 50 millones de euros en los últimos 25 años (CONAGUA 2008b, 20-22). En la cuenca del Sena-Normandía se inyectó oxígeno disuelto y hubo reformas de ley. Además, se estableció un pago por contaminar, que contribuyó a construir infraestructura para el tratamiento de agua. Se fijaron impuestos al uso de fertilizantes, se incrementó el empleo de artículos de limpieza libres de fosfato y se ejerció presión sobre las empresas para tratar sus aguas residuales. Se celebraron contratos plurianuales para mejorar los puntos que aún estaban muy contaminados. El tiempo estimado para que las acciones den resultado es de 50 a 60 años (Organización de las Naciones Unidas para la Educación, la Ciencia y la Cultura, UNESCO, por sus siglas en inglés, 2007, 431). Las fuentes principales de contaminación del río Rimac son la urbana y las industrias minera y metalúrgica, así como la agricultura. En este caso se hizo una declaración de la reserva ecológica, con el fin de recuperar terrenos ocupados ilegalmente (Muñoz 2006). Para esto se llevó a cabo lo siguiente: a) eliminación de criaderos de ganado porcino; b) fomento de la reforestación; c) creación de parques y lagunas; d) retiro de fuentes contaminantes; e) construcción de vallas para la protección ambiental y f ) elaboración de una campaña intensiva de educación ambiental (véase Figura 14).
Normatividad y acciones en México
En México se han promulgado leyes para la protección del agua e implementado planes y proyectos para regular la contaminación, y en ellos se establecen medidas específicas a partir de la identificación de los problemas que en la actualidad contaminan más el agua (véase Figura 15). El objetivo principal es mejorar el funcionamiento de las instituciones, ampliar la cobertura de servicios como alcantarillado y el acceso al agua potable, así como imponer una penalización a las personas físicas o morales que infrinjan las leyes y ocasionen contaminación.

En 2015 se propuso una reforma a la Ley de Aguas, pero hasta octubre de 2016 no se había aprobado debido a que contiene varios puntos controversiales. Lo evidente es que la calidad del agua superficial no ha mejorado. Además, los datos de la CONAGUA muestran que existe evidencia del deterioro del agua subterránea, el cual se observa en el análisis de disponibilidad del agua en los acuíferos de México (CONAGUA 2012e).
Conclusiones e implicaciones de política pública
Los problemas de calidad del agua de los ríos en México son similares a los enfrentados por otros países. Sin embargo, la experiencia internacional muestra que con tiempo, inversión y programas adecuados esto se puede revertir. El primer paso es identificar los problemas específicos de cada cuenca, pero los indicadores actuales de calidad son poco claros en este sentido.
Los países que han logrado mejorar significativamente la calidad de sus ríos, después de identificar los problemas de contaminación, plantearon metas medibles y verificables en cuanto a calidad. La información de la CONAGUA no plantea metas y la forma en que reporta la calidad del agua no permite medir los avances.
Por otro lado, como se observa a partir de los resultados, la construcción de plantas de tratamiento de agua no es suficiente para mejorar la calidad del agua. De acuerdo con los hallazgos, aumentar el caudal tratado tiene un efecto contraproducente; esto debido a dos razones indicadas por (Jiménez, 2007): a) la construcción de las plantas no garantiza su operación y b) cuando éstas operan, no hay seguridad de que el agua tratada cumpla con las normas estipuladas, de ahí que el agua se puede tratar de manera insuficiente y, por lo tanto, no mejorar su calidad.
La política pública en materia de agua sólo surtirá efectos si se enfoca en mejorar la calidad de las descargas municipales e industriales, las cuales provienen de zonas con gran actividad económica y densidad poblacional alta. Se debe detener la construcción de plantas de tratamiento y, en cambio, evaluar el lugar para ubicarlas y las que vale la pena operar. Por otro lado, también es recomendable que auditores independientes verifiquen la calidad del agua tratada, porque es más conveniente mejorar la que ya se trata que seguir tratando cada vez más agua sin que haya un efecto perceptible en su calidad. Por tanto, es fundamental que la CONAGUA mejore la forma de reportar la información sobre la calidad del agua, porque con el formato actual es difícil obtener información desagregada para hacer análisis y medir el efecto de las políticas.
Bibliografía
Arreguín, Felipe I., Víctor Alcocer, Humberto Marengo, Claudia Cervantes, Pedro Albornoz y María Guadalupe Salinas. 2010. El reto del agua. En El agua en México: cauces y encauces, compilado por Blanca Jiménez, María Luisa Torregrosa y Luis Aboites, 51-77. México: Academia Mexicana de Ciencias.
Avelar, Francisco Javier, Elsa Marcela Ramírez, María Consolación Martínez, Alma Lilián Guerrero, Fernando Jaramillo y José Luis Reyes. 2011. Calidad del agua en el estado de Aguascalientes y sus efectos en la salud de la población. En Retos de la investigación del agua en México, compilado por Úrsula Oswald, 317-328. México: Universidad Nacional Autónoma de México (UNAM).
Armienta, María Aurora, Ramiro Rodríguez, Guadalupe Villaseñor, Norma Ceniceros, Olivia Cruz y Alejandra Aguayo. 2011. Contaminación de agua subterránea por arsénico en Zimapán, Hidalgo. Necesidad de una solución integral. En Retos de la investigación del agua en México , compilado por Úrsula Oswald, 329-334. México: UNAM.
CONAGUA. 2015. Sistema Nacional de Información del Agua (SINA). Calidad del agua. Reporte. Escalas de clasificación de la calidad del agua y redes de monitoreo. http://201.116.60.25/sina/index_jquery-mobile2.html?tema=calidadAgua
CONAGUA. 2014. Agua Potable, Alcantarillado y Saneamiento en Zonas Urbanas (apazu 2008-2015). http://www.conagua.gob.mx/Contenido.aspx?n1=4&n2=24&n3=24 (10 de agosto de 2014).
CONAGUA. 2013. Estadísticas del agua en México, edición 2013. México. http://www.conagua.gob.mx/CONAGUA07/Noticias/sgp-214Web.pdf (10 de agosto de 2014).
CONAGUA. 2012a. Atlas digital del agua México 2012. Sistema Nacional de Información del Agua. Ríos principales. http://www.conagua.gob.mx/atlas/ciclo20.html (5 de julio de 2014).
CONAGUA. 2012b. Sistema Nacional de Información del Agua. Situación de los recursos hídricos. http://www.coangua.gob.mx/Contenido.aspx?n1=3&n2=60&n3=86&n4=394 (5 de julio de 2014).
CONAGUA. 2012c. Atlas digital del agua México 2012. Sistema Nacional de Información del Agua. Regiones hidrológico-administrativas. http://www.conagua.gob.mx/atlas/contexto07.html (5 de julio de 2014).
CONAGUA. 2012d. Atlas digital del agua México 2012. Sistema Nacional de Información del Agua. Red de monitoreo de la calidad del agua. http://www.conagua.gob.mx/atlas/ciclo24.html (5 de julio de 2014).
CONAGUA. 2012e. Disponibilidad del agua subterránea, DOF 20 de abril de 2015. Disponibilidad del agua subterránea, DOF 20 de abril de 2015. http://www.conagua.gob.mx/disponibilidad.aspx?n1=3&n2=62&n3=112 (10 de agosto de 2014).
CONAGUA. 2012f. Estadísticas del agua en México, edición 2012. México. http://www.conagua.gob.mx/CONAGUA07/Noticias/eam2013.pdf
CONAGUA. 2011a. Agenda del agua 2030. México: SEMARNAT. http://www.conagua.gob.mx/CONAGUA07/Temas/AgendadelAgua2030.pdf
CONAGUA. 2011b. Estadísticas del agua en México, edición 2011. México. http://201.116.60.96:8080/wb/ceeaa/estadisticas_del_agua_historico
CONAGUA. 2010. Estadísticas del agua en México, edición 2010. México. http://201.116.60.96:8080/wb/ceeaa/estadisticas_del_agua_historico
CONAGUA. 2008a. Estadísticas del agua en México, edición 2008. México. http://201.116.60.96:8080/wb/ceeaa/estadisticas_del_agua_historico
CONAGUA. 2008b. Primer Coloquio jurídico internacional sobre regulación y manejo integral de los recursos hídricos. Caso río Rin. http://www.conagua.gob.mx/redinternacionaljuridicadelagua07/temas/sintesis_integrada_ponencias.pdf (16 de julio de 2014).
CONAGUA. 2007. Estadísticas del agua en México, edición 2007. México. http://201.116.60.96:8080/wb/ceeaa/estadisticas_del_agua_historico
CONAGUA. 2006. Estadísticas del agua en México, edición 2006. México. http://www.conagua.gob.mx/CONAGUA07/Publicaciones/Publicaciones/eam_2006.pdf
CONAGUA. 2005. Estadísticas del agua en México, edición 2005. México. http://www.conagua.gob.mx/CONAGUA07/Publicaciones/Publicaciones/eam_junio2005.pdf
CONAGUA. 2004. Estadísticas del agua en México, edición 2004. México. http://www.conagua.gob.mx/CONAGUA07/Publicaciones/Publicaciones/eam_marzo2004.pdf
CONAGUA. 2003. Estadísticas del agua en México, edición 2003. México. http://www.conagua.gob.mx/CONAGUA07/Publicaciones/Publicaciones/eam_2003.pdf
DOF. 2014. Programa Nacional Hídrico 2014-2018. http://dof.gob.mx/nota_detalle.php?codigo=5339732&fecha=08/04/2014 (10 de agosto de 2014).
DOF. 2013. Ley de Aguas Nacionales. http://www.diputados.gob.mx/LeyesBiblio/pdf/16.pdf (10 de agosto de 2014).
DOF. 1989. Acuerdo por el que se establecen los criterios ecológicos de calidad del agua CE-CCA-001/89. http://dof.gob.mx/nota_detalle.php?codigo=4837548&fecha=13/12/1989 (10 de agosto de 2014).
Fondo para la Comunicación y la Educación Ambiental, A. C. Centro Mexicano de Derecho Ambiental, A. C. y Presencia Ciudadana Mexicana, A. C. (editores). 2006. El agua en México: lo que todas y todos debemos saber, 21-53. http://www.cemda.org.mx/wp-content/uploads/2011/12/agua-mexico_001.pdf (27 de junio de 2014).
Guevara, Sinaí, Omar Arellano y Jean Fricke. 2014. Ríos tóxicos: Lerma y Atoyac. La historia de negligencia continúa. Greenpeace México A. C. México. http://www.greenpeace.org/mexico/Global/mexico/Docs/2014/toxicos/Riosporciento20tporcientoC3porcientoB3xicosporciento20Lermaporciento20yporciento20Atoyac-web.pdf (6 de julio de 2014).
Guzmán-Colis, Guilda, Frédéric Thalasso, Elsa Ramírez-López, Silvia Rodríguez-Narciso, Alma Guerrero-Barrera y Francisco Avelar-González. 2011. Evaluación espacio-temporal de la calidad del agua del río San Pedro en el estado de Aguascalientes, México. Revista Internacional de Contaminación Ambiental XXVII (2): 89-102. http://www.revistas.unam.mx/index.php/rica/article/download/25007/23588.
Hansen, Anne M. y Carlos Corzo. 2011. Evaluación de la contaminación en cuencas hidrológicas: prioridades y necesidades. En Retos de la investigación del agua en México , compilado por Úrsula Oswald, 303-316. México: UNAM .
Jiménez Cisneros, Blanca. 2007. Información y calidad de agua en México. Trayectorias IX (24): 45-56.
Muñoz Galán, Javier. 2006. Plan de Recuperación Ecológica y Ambiental de la Cuenca del Río Rimac (Lima, Perú). http://habitat.aq.upm.es/bpal/onu06/bp1222.html (15 de julio de 2014).
Naylor, J. C. y A. F. M. Smith. 1982 Applications of a method for the efficient computation of posterior distributions. Journal of the Royal Statistical Society, series C 31: 214-225. https://stat.duke.edu/courses/Spring06/sta376/Support/NumericalMethods/Naylor.Smith.GHquadrature.1982.pdf
Olguín, Eugenia, Ricardo González-Portela, Gloria Sánchez-Galván, Jorge Zamora-Castro y Tomás Owen. 2010. Contaminación de ríos urbanos: el caso de la subcuenca del río Sordo en Xalapa, Veracruz, México. Revista Latinoamericana de Biotecnología Ambiental y Algal I (2): 178-190. http://www3.inecol.edu.mx/relbaa/index.php?option=com_content&view=article&id=17:olguin-etal&catid=1:2010&Itemid=6
Perry, Eugène, Guadalupe Velázquez y Niklas Wagner. 2011. Cloro, sulfato y estroncio en la geoquímica del agua subterránea y superficial en Campeche y en el sur de Quintana Roo. En Retos de la investigación del agua en México , compilado por Úrsula Oswald, 341-350. México: UNAM .
Rabe-Hesket, S. y A. Skrondal. 2012. Multilevel and longitudinal modeling using Stata. College Station: Stata Press.
Ramos-Herrera, S., L. F. Broca-Martínez, J. R. Laines-Canepa y J. M. Carrera-Velueta. 2012. Tendencia de la calidad del agua en ríos de Tabasco, México. Ingeniería XVI (3): 207-217. http://www.revista.ingenieria.uady.mx/volumen16/tendencia.pdf
Ramos Olmos, Raudel, Rubén Sepúlveda Marqués y Francisco Villalobos Moreno. 2003. El agua en el medio ambiente: muestreo y análisis. Mexicali: Plaza y Valdés.
SEMARNAT. 2005. Informe de la situación del medio ambiente en México. Compendio de estadísticas ambientales, capítulo 7. Agua. Calidad del agua. http://app1.semarnat.gob.mx/dgeia/informe_04/07_agua/cap7_2.html (3 de julio de 2014).
SEMARNAT. 2003. Norma oficial mexicana nom-001SEMARNAT-1996. http://biblioteca.semarnat.gob.mx/janium/Documentos/Ciga/agenda/dofsr/do2470.pdf (10 de agosto de 2014).
Tare, V., P. Bose y S. Gupta. 2003. Suggestions for a modified approach towards implementation and assessment of Ganga Action Plan and other similar river actions plans in India. Water Quality Research Journal of Canada XXXVIII (4): 607-626.
Tejeda Vega, Samuel, Pedro Ávila Pérez y Graciela Zarazúa Ortega. 2008. La contaminación en el curso alto del río Lerma. Contacto Nuclear (52): 18-21. http://www.inecc.gob.mx/descargas/cuencas/cong_nal_06/tema_05/22_zaire_gonzalez.pdf
UNESCO. 2007. Agencia del Agua del Sena-Normandía (AESN). La cuenca del Sena-Normandía, Francia. http://webworld.unesco.org/water/wwap/wwdr/wwdr1/pdf/chap19_es.pdf (16 de julio de 2014).
Villa Becerra, Francisco. 2005. Calidad del agua en ríos y lagos de México. Tesis de licenciatura en ingeniería hidrológica, Universidad Autónoma Metropolitana.
Notas