Artículos
Determinantes principales de la informalidad: un análisis regional para México
Principal determinants of the informality: A regional analysis for Mexico
Determinantes principales de la informalidad: un análisis regional para México
Región y sociedad, vol. XXX, núm. 71, 2018
El Colegio de Sonora
Recepción: 03 Mayo 2016
Aprobación: 25 Octubre 2016
Resumen: El objetivo de esta investigación es examinar los factores más citados para explicar la informalidad en México, y conocer si tienen el mismo efecto en todo el país. Primero, mediante el análisis de microdatos, de corte trasversal, obtenidos de los módulos de condiciones socioeconómicas, se exponen las características y estado actual del fenómeno. Después, con modelos econométricos tipo logit, se estiman las probabilidades de ser informal para todas las regiones del país. Los resultados muestran que, en cada una, las causales más comunes para explicar la informalidad influyen de forma distinta. Estudiar el fenómeno por regiones, y no de manera agregada, permitirá comprender mejor sus causas, lo cual ayudará a diseñar políticas públicas estatales y federales para abatir dicha problemática en el futuro.
Palabras clave: informalidad, exclusión, escape, seguridad social, entropía de Shannon, regresión logit.
Abstract: The aim of this study is to examine the most frequently-cited factors in order to explain informality in Mexico and to know if they have the same effect across the country. First, through cross-section analysis of microdata obtained from the Socio-economic Conditions Modules, features and current state of the phenomenon are described. Then, by using logit type econometric models, probabilities of being informal in all regions of the country are estimated. The results show that, in each one, the most common causes accounting for informality influence differently. Studying this phenomenon regionally, and not in an aggregated manner, will lead to a better understanding of its causes, which will help designing state and federal public policies in order to eradicate these problems in the future.
Key words: informality, exclusion, exit, social security, Shannon entropy, logit regression.
Introducción
Cerca de 60 por ciento de la población económicamente activa (PEA) en México no cuenta con seguridad social, es decir, es informal, lo cual es alarmante; incluso el Banco Mundial mostró su preocupación por los alcances del fenómeno. La informalidad es síntoma de baja productividad y de poco desarrollo para un país, y es común que esté asociada con el desempleo, el ambulantaje, la falta de tecnología y la carencia de seguridad social, así como con los efectos negativos en la recaudación fiscal. Por tanto, quienes pertenecían al mercado laboral formal, y decidieron “salir” de él para incorporarse al informal, lo han hecho debido a lo restrictivo que éste se ha tornado o por un mero costo-beneficio, lo que muestra una problemática compleja y multifacética a la cual se enfrenta el país. Diversos estudios sobre el tema coinciden en citar que las causas de la informalidad son la educación, la edad, el género, el estado civil y el ingreso. Castells (1989) y Harris y Todaro (1970) señalan, como los motivos prioritarios, las rigideces que se generan en el mercado laboral; aspectos como la carencia de tecnología y el bajo nivel educativo motivan su fragmentación y crean uno dual.
El propósito principal de este artículo es analizar si las causas, comúnmente expuestas como factores que motivan la informalidad, tienen la misma incidencia en cada región del país. Para lograrlo se emplea un modelo econométrico tipo logit, con datos de corte trasversal, obtenidos del módulo de condiciones socioeconómicas (MCS) (Instituto Nacional de Estadística y Geografía, INEGI 2014b, 2012, 2010 y 2008). La regresión logística se considera adecuada para el estudio, a pesar de su sencillez, pues más allá de detectar los motivos que incentivan la informalidad, el objetivo es conocer si los que se exponen como causales del fenómeno influyen de la misma manera en cada zona pues, como lo suponen Perry et al. (2007), la historia, la cultura y la normatividad legal difieren de una a otra, por lo que los factores de escape son más relevantes en ciertos lugares que los de exclusión y viceversa. No obstante, aquí la limitante principal radica en el desconocimiento del efecto de los programas estatales y federales en el combate a la informalidad debido a la naturaleza de los datos utilizados ya que, al ser de corte trasversal, sólo permiten evaluar un punto en el tiempo y no su evolución. Además, la acción más ambiciosa del gobierno federal, el Programa de Formalización del Empleo, aún es muy joven para ser evaluado, pues no se cuenta con la información para hacerlo a fondo.
La composición de las regiones se estableció conforme a la propuesta por el Banco de México: norte, centro-norte, centro y sur. Según los resultados, los factores como la educación, la edad, el estado civil, el ingreso y la relación individuo-Estado, entre la población no muestran un efecto homogéneo en las regiones del país, sino que influyen más en una que en otra; en la sur se estima que la probabilidad de ser informal es mayor, hasta de 95 por ciento, debido a las variables mencionadas. Esta es una de las aportaciones principales de la investigación, además de ofrecer un panorama actualizado de la informalidad en México, porque se emplea la última base ampliada de la Encuesta nacional de ingresos y gastos de los hogares (ENIGH) (INEGI 2014b), que es representativa a escala nacional y estatal, conocida como MCS 2014, y porque la informalidad se estima conforme a la última reforma a la Ley Federal del Trabajo, donde se indica que ahora la edad mínima para laborar es de 15 años, cuando antes era de 14. Otra aportación es ver a la informalidad a través de la entropía de Shannon, la cual muestra una disminución, según las cifras de 2008 a 2014, aunque la problemática está lejos de desaparecer, pues se observa mayor dispersión entre las regiones, lo que refleja lo cambiante y compleja que es en el territorio nacional.
Este artículo consta de cuatro secciones; en la primera se exponen los tabulados de la informalidad, sigue la aplicación de la entropía de Shannon, en la segunda. En la tercera se presenta la construcción de las variables por utilizar en las estimaciones econométricas, junto con la fuente de datos. Después se explican los resultados alcanzados por la regresión logística, y luego se incluye la conclusión.
La informalidad en México
De las cuatro regiones1 en las que el Banco de México dividió al país, la centro tiene el índice más alto de informalidad; alberga a 38.77 por ciento de la población informal; le sigue la sur, con 27.41; la centro-norte, con 21.05 y la norte, con 12.77 (véase Figura 1).

Las regiones más pobladas de México presentan una relación positiva entre la informalidad y el desempleo; la centro es la que tiene más habitantes; 38 por ciento del total nacional, y también el mayor índice de informalidad y de desempleo. La tasa de informalidad en el Estado de México es de 22 por ciento y la de desempleo de 7, lo cual muestra la gravedad del problema, le sigue la Ciudad de México, con 9 y 7 respectivamente. Asimismo, en la región sur se estima que el estado de Veracruz tiene una informalidad de 21 por ciento, con una tasa de desocupación de 3, lo cual muestra dos situaciones: a) la informalidad se acentúa más en unas regiones que en a otras y b) la relación que existe entre desempleo e informalidad; pues los individuos, al no colocarse en el mercado formal o que de estar ocupados pasan a ser desempleados, encuentran en la informalidad el mejor sustituto para allegarse ingresos en el corto plazo (Sojo y Villareal 2006), situación que se observa en las zonas más pobladas.
La PEA ocupada, localizada en la informalidad, se compone de 10 481 875 mujeres y de 17 731 810 hombres, lo cual representa 37 y 63 por ciento. Aunque se esperaría mayor participación de las mujeres en la informalidad, no es así en términos de los ocupados, pero sí en población no económicamente activa (PNEA), al representar 74 por ciento de la informal, en comparación con 26 de los hombres. La zona centro cuenta con el mayor número de mujeres en la informalidad: 12 032 651, casi el doble a lo estimado para la centro-norte; le sigue la sur, con 8 507 382 personas.
Lo anterior coincide con diversos estudios sobre la participación de la mujer en el sector informal. Cunningham (2001) indica, al menos para el caso mexicano, que las casadas prefieren laborar en el sector informal por la flexibilidad del horario, que les permite atender cuestiones familiares, como cuidar de los hijos y realizar las labores domésticas, entre otras. De igual manera, Gong et al. (2004) afirman que es baja la posibilidad de que las mujeres con hijos menores laboren en la formalidad, por lo que optan por el mercado informal; se estima que 48 por ciento de las casadas está en tal situación, contra 52 que afirma no estar casada y tener un empleo informal.
Otro aspecto determinante de la informalidad es la relación negativa de ésta con la educación, pues el nivel de estudios funge como una barrera para el mercado laboral formal, como lo comenta Brandt (2011), quien indica que la población más preparada buscará mejores condiciones de vida, que implica empleos más estables, con mejores prestaciones y percepciones económicas más altas (véase Figura 2).2

En México, alrededor de 28 por ciento de la población informal cuenta con secundaria terminada, este nivel educativo prevalece en todas las regiones, siguen los individuos con primaria terminada (14 por ciento), que se concentran en el sur del país. La zona centro es donde hay más habitantes informales con secundaria terminada, alcanza 40 por ciento, y se encuentra principalmente en el municipio de Ecatepec de Morelos; siguen las zonas sur y centro-norte, ambas con 21 por ciento de población informal, mientras que en la norte es de 18. Es importante señalar que, entre los sujetos en estudio, en la sur predominan los que tienen la primaria terminada.
Por otro lado, en las regiones norte y centro los individuos informales reportan contar con más escolaridad. Si se analiza a los profesionistas asentados en la informalidad, son alrededor de 6 millones, de los cuales 2 millones se localizan en la zona centro, es decir, 39 por ciento de la población informal total. Lo anterior subraya un hecho importante en México, las cifras indican que la educación por sí sola no es determinante para la informalidad, pues inclusive hay personas en dicho sector que cuentan con licenciatura o posgrado (0.3 por ciento del total), aunque son las menos, es importante tomarlas en cuenta. Esto supone que no todos los individuos que se enfrentan a la barrera del nivel educativo, que impone el mercado laboral formal, son excluidos por dicha causa. Aunque sigue siendo una variable que permite entender, hasta cierto punto, el fenómeno de la informalidad.
En cuanto a la edad de los trabajadores en el sector informal, hay heterogeneidad entre las regiones; la mayoría de ellos, de 32 años, se aglutina en la centro, es decir, 93 por ciento de esa población y de dicha edad; le sigue la sur, con 45 y la norte, con 36. En la región centro se concentra la mayor población informal de todas las edades. En la norte destaca la de 16 años (3.3 por ciento), cifra similar a la estimada para la sur, que es de 15 (3.4). Esto muestra que no hay una edad que sea homogénea en todas las regiones del país, además de exhibir lo cambiante y particular de la problemática estudiada en ellas, incluso a lo largo del tiempo. En su trabajo sobre el tamaño del sector informal,3 Flores y Gil (2003) encontraron que a finales de 1999 en la informalidad proliferaban las personas de 12 a 19 años, así como las mayores de 49. De igual manera, subrayan como causa los pocos requisitos de entrada al sector informal, a diferencia del mercado laboral formal, el cual limita el acceso a la población con poca experiencia o con edad avanzada. Sin duda, es una problemática cambiante y con características únicas que se manifiesta en cada zona del país.

Por otro lado, diversos estudios han pretendido explicar la informalidad de acuerdo con un marco regulatorio. Hirschman supone que si los individuos están insatisfechos con la organización a la que pertenecen optarán por seguir en ella con la esperanza de que mejore, o se irán a otra parte (Hirschman 1970, 246). De Soto (1989), pionero en argumentar que la informalidad no es generada por las barreras de entrada en el mercado formal, dice que la causa de ella es la respuesta de los menos favorecidos a la incapacidad del Estado para solucionar sus necesidades. Este argumento es similar al de Cunningham (2001) y Maloney (1999), quienes suponen que se llega a ser informal por gusto, por las ventajas que conlleva desempeñarse en dicho mercado, por la expectativa de obtener mayores ingresos en el corto plazo y la autonomía de colocarse en dicho sector.
Para Levy (2008), ser informal es una cuestión de voluntad y gusto, según el argumento de que los individuos valoran la seguridad social a menos de su costo, pues al recibir un servicio de salud como el Seguro Popular, y de manera gratuita, en el cual no realizan aportaciones, como los afiliados al IMSS, indican que no le tienen confianza y que es de baja calidad, por lo cual no encuentran una diferencia sustancial entre uno y otro. Para apoyar el argumento de Levy (2008), al estimar la percepción sobre la calidad y confianza hacia las instituciones que proporcionan atención médica, con la Encuesta nacional de calidad e impacto gubernamental 2013 (INEGI 2014a),4 se aprecia en las dos poblaciones, los que reciben atención por parte del IMSS (formales) o del Seguro Popular (informales), que ambos tipos de trabajadores calificaron con ocho a la institución en la cual se atienden en cuanto a servicio, calidad y atención a los usuarios. En otras palabras, los individuos consideran que la calidad de ambos es aceptable. En 2014, el IMSS recibió el mayor número de quejas a escala nacional ante la Comisión Nacional de Derechos Humanos (CNDH),5 mientras el ISSSTE se colocó en la quinta posición en quejas, ambos por prestar indebidamente el servicio público, faltar a la legalidad, honradez, lealtad, imparcialidad y eficacia en el desempeño de las funciones, empleos, cargos o comisiones, así como no prestar atención médica, entre otros.6
Es factible que los hechos anteriores se traduzcan en falta de confianza hacia las instituciones de seguridad social en México. De acuerdo con el Centro de Estudios Sociales y de Opinión Pública,7 para 2013 y 2014, la caída en la credibilidad de los hospitales superó 5 por ciento, junto con el Ejército, la Marina y los partidos políticos. Es posible que la confianza de los individuos hacia las instituciones, en este caso las que otorgan seguridad social, minen la decisión de ser formal o no, ya que la población relaciona a la calidad con la confianza. Por ejemplo, un servicio de buena calidad es el que atiende al individuo con prontitud, le otorga el medicamento que requiere, o cuenta con una unidad médica a menos de una hora de su domicilio, en caso de emergencia. En la región sur, un individuo puede tardar hasta más de tres horas en llegar a un hospital que le proporcione atención médica, además es donde la confianza hacia las instituciones de seguridad social se encuentra más deteriorada (véase Figura 4).

De los 97 374 individuos estimados,8 44 por ciento de la población ubicada en la región sur argumentó no tener confianza en las instituciones que ofrecen servicios de salud; siguió la centro (27 por ciento), la centro-norte (21.5) y la norte (8). Ahora bien, hay otros aspectos que pueden mermar la confianza del trabajador, por ejemplo, si llega a la unidad médica y no recibe el trato esperado ni la atención a tiempo, si el medicamento no está disponible y si se incurre en negligencia. Lo anterior llega a ser cierto bajo el supuesto de que la confianza es un componente de la calidad (Griffith et al. 2009).
Informalidad y entropía de Shannon
En esta sección se muestra el grado de dispersión de la informalidad en el territorio nacional. Las cifras oficiales arrojan una disminución de los individuos que componen el sector (véase Figura 5). Las estimaciones de esta investigación coinciden con las oficiales en cuanto a la disminución de la informalidad a escala nacional, pues de 2008 a 2014 retrocedió en alrededor de 3 por ciento.

En la zona centro el retroceso del fenómeno fue mayor, ya que 2.5 millones de personas dejaron las filas de la informalidad de 2008 a 2014; siguió la sur, con 1.5 millones. Sin embargo, la norte mostró menos mejoría, con 467 mil trabajadores que dejaron de ser informales. Según las cifras, la reducción de la informalidad se ha visto más en las entidades donde la problemática es considerable, como en las de la zona centro, que en aquéllas donde el fenómeno no es significativo. En 2008, nueve estados presentaban grados mínimos de informalidad, con respecto a lo estimado para 2010, 2012 y 2014, mientras que en 12 eran altos, sobre todo de la región sur. En 2014, 26 estados tuvieron una informalidad mínima, se concentraron en los de la región centro, donde disminuyó más el fenómeno, además no se observó una entidad con un índice alto de informalidad.
La prioridad de esta investigación no es estudiar los efectos de los programas implementados por el gobierno federal, los estatales y los municipales para combatir la informalidad, aunque sí han motivado a obtener tales resultados,9 pero éstos han sido pocos, no obstante las acciones emprendidas para abatirla.10 Lo que sí es seguro es que se trata de una problemática cambiante y multicausal, por lo cual está lejos de resolverse en México. Al estimar la entropía de Shannon,11 la cual mide el grado de incertidumbre o aleatoriedad de un fenómeno (Shannon 2001) para cada región y con los MCS 2008, 2010, 2012 y 2014, se aprecia mayor dispersión de la informalidad en el territorio nacional, principalmente en la zona centro-norte (véase Figura 6).

La entropía de Shannon sostiene lo comentado; la informalidad se propaga cada vez más en el territorio nacional, a pesar de los avances en la materia. La región centro es la que ha avanzado más en el tema, presenta una entropía baja, similar a la del norte; los resultados de esta última han sido los peores. Aunque se observa una disminución en los habitantes informales, el fenómeno se expande a lugares donde antes tal vez ni existía, o donde la cifra no era considerable. Esto se debe a que, por ejemplo, en la región centro, donde se localiza la Ciudad de México y su zona metropolitana (la más grande del país), las estimaciones indican que concentra 20 por ciento de la informalidad de la nación.12 En dicha zona, parte de la población informal pertenece a municipios cercanos a la ciudad central.13 Según el INEGI (2010b), 70 por ciento de la población de los municipios que componen la zona metropolitana de la Ciudad de México labora en los centrales; en dicha zona la informalidad se encuentra muy dispersa, sea en municipios cercanos o en la ciudad central, en este caso la Ciudad de México, donde es imperceptible la delimitación geográfica entre los municipios y la ciudad central. Sassen (1991) supone que la problemática de la informalidad aumenta en las ciudades, ya que en ellas se concentra un sector de altos ingresos con pautas de consumo y necesidades sofisticadas, lo cual incrementa la oferta de empleos con salarios bajos. En otros términos, las ciudades y el proceso de urbanización que se observa en municipios cercanos a ellas refuerzan la informalidad, debido a las dificultades de la población para incorporarse al mercado laboral formal desde sus municipios de origen, los cuales tienden a buscar empleo en la ciudad central; situación similar es la de Monterrey y su zona metropolitana, cuyos grados de entropía son similares.
Fuente de datos y construcción de variables
El módulo de condiciones socioeconómicas 2014 fue desarrollado por el INEGI y el Consejo Nacional de Evaluación de la Política de Desarrollo Social (CONEVAL) para medir la pobreza en México. El módulo de condiciones socioeconómicas toma la estructura de la ENIGH, pero la diferencia entre ambos instrumentos radica en que el MCS no sólo es representativo a escala nacional, sino que también ofrece información de corte urbano y rural para cada entidad federativa. Se realiza cada dos años, con el fin de proporcionar datos útiles sobre salud, ingreso, educación y seguridad social, así como actividad económica de los miembros del hogar, entre otras características. La muestra total del MCS se compone de 21 786 viviendas provenientes de la ENIGH 2014, y de 43 842 del MCS 2014. Cabe señalar que de este último levantamiento -que abarcó del 11 de agosto al 18 de noviembre- no se obtuvo información referente al gasto de los hogares, pues tal característica se tomó de la ENIGH 2014.
En este estudio se intentó realizar un análisis que mostrara la situación de la informalidad en cada región del país, para lo que se utilizó el MCS 2014, porque permitió contar con información de corte trasversal a escala estatal y sobre todo actualizada, ya que se trata de la última encuesta levantada por organismos oficiales en la materia. También por la disponibilidad de la información acerca de las características del servicio otorgado por el sistema de seguridad social al cual se encuentren afiliados. Por último, la Organización Internacional del Trabajo (OIT 2013) indica que la diferencia de los métodos para medir la informalidad radica en identificar el que cumple, de mejor manera, con los requerimientos del investigador.
Es importante definir las circunstancias por las que un individuo es informal; existen dos formas principales para medir la informalidad: a) a partir de la empresa, esta modalidad contempla a las compañías que tienen menos de 15 empleados y no cuentan con registros contables y b) a partir del individuo; si el trabajador no tiene seguridad social es informal, aunque labore para empresas formales.14 Aquí se utiliza la segunda definición, por ser la última propuesta por la OIT para medir la informalidad. Además, en la estimación se considera que la edad para laborar es de 15 años, conforme a la última reforma a la Ley Federal del Trabajo,15 puesto que las estimaciones se realizan sobre el empleo informal como parte de la PEA. En otras palabras, aquí se considera informal a cualquier individuo que no cuente con servicio de seguridad social, por ejemplo, IMSS o ISSSTE, aunque se encuentre afiliado al Seguro Popular y que sea menor de 15 años en el momento en que se levantó la encuesta; esto permite tener un panorama actualizado de la problemática en estudio. Es importante mencionar que la base de datos se homologó con lo reportado por las autoridades oficiales en el tema, con el fin de contar con una base confiable, y así evitar distorsiones en las estimaciones y en los resultados.16
En la Figura 7 se muestra la construcción de las variables binarias. Como se comentó, una de las explicaciones de la informalidad es la relación individuo-Estado, también conocida como factor de escape: la informalidad nace cuando los costos de pertenecer al marco legal y regulatorio del país superan las ganancias (Loayza y Sugawara 2009), y los individuos pueden transitar del mercado laboral formal al informal y viceversa, si no reciben u obtienen lo esperado en el que se ubican.

Evaluar la relación individuo-Estado es complicado debido al grado de subjetividad que implica. Por ello, y para este análisis se genera la variable proxy llamada confianza, que engloba a los trabajadores que reportaron haber necesitado atención médica pero que no acudieron a recibirla, porque argumentaron no tenerle confianza a las instituciones de seguridad social. Cuando se cumple el supuesto adquiere el valor de 1, en caso contrario el de 0. Aquí las estimaciones señalan que 97 374 individuos no confiaron en las instituciones que proporcionan servicios de salud, y aunque la muestra es pequeña se considera importante tomarla en consideración por dos razones: a) es la variable que mayor se ajusta al factor escape, es decir, la relación individuo-Estado como causa de la informalidad, la cual es una cuestión muy subjetiva, de ahí que sea una variable proxy, y b) es útil para apoyar el supuesto de la informalidad como una problemática multicausal y no explicada por un enfoque en particular. La variable edo_civil hace referencia a los trabajadores casados y solteros, mientras que la de sexo alude al género. Si la persona es casada toma el valor de 1, lo mismo sucede si es mujer y de 0 si es al contrario en ambos casos.
En lo referente a la construcción de las variables continuas, para la edad se partió de la PEA, es decir, de 15 años en adelante. En cuanto a la escolaridad, se diseñó de acuerdo con los parámetros que establece el CONEVAL para la medición de la pobreza.17 Si el valor del individuo es de 1, significa que no tiene estudios; si es de 2, que cuenta con preescolar; 3, con primaria no concluida; 4, con primaria terminada y así sucesivamente hasta el 11, que corresponde a un posgrado.
Por último, para construir el ingreso de los informales se consideraron los de todo tipo, como por trabajo, rentas, trasferencias, estimación del alquiler, otros provenientes del trabajo, además se calcularon mensualmente y a precios de 2014. La Figura 8 contiene información estadística de las variables continuas utilizadas en la estimación econométrica. El promedio de edad de los individuos ubicados en la informalidad es de 38 años, con una mínima de 15 y una máxima de 97 para todas las regiones. Mientras en el mercado laboral formal el promedio es de 40 años. En cuanto a la educación, la población que se ubica en la informalidad cuenta con secundaria concluida, seguida por la primaria terminada. Las regiones centro y sur muestran similitudes en cuanto a la edad y nivel educativo de su población informal, excepto en el ingreso.

En promedio, las zonas norte y centro-norte perciben un ingreso superior a 9 820 pesos y 10 554 respectivamente, mientras que en la sur la población informal gana alrededor de 6 913 pesos. El valor mínimo del ingreso para todas las regiones se estableció conforme al salario mínimo vigente,18 de 2 104 pesos mensuales y al máximo de 50 066. Se omitieron las observaciones que reportaban un ingreso superior al mencionado porque fueron las menos y no representaban a la población en estudio, lo mismo sucedió para los valores inferiores al salario mínimo estimado, debido a lo escaso de la muestra y porque si se considera que parte de la población informal se ubica en dicho sector, por razones de beneficios económicos en el corto plazo, las observaciones que reporten ingresos menores no serían representativas, al menos para el modelo usado aquí.
Modelo logit
Las causas por las cuales un individuo decide optar por la informalidad son diversas, sin embargo, aquí interesa analizar si los factores más citados para explicarlas repercuten de la misma manera en cada región. Para lograrlo se usa un modelo probabilístico tipo logit, que se ha expuesto ampliamente y aplicado a varias problemáticas. Primero se utilizó en la demografía, para explicar el crecimiento de poblaciones en países europeos y en la actualidad se emplea en la biología, la medicina y la economía. El economista estadounidense McFadden popularizó el modelo logit al relacionarlo con la teoría de elección discreta en la década de 1970, cuando trabajaba como consultor en un proyecto público en materia de trasporte; fue pionero en usarlo para representar las preferencias de los individuos (Rodríguez 2008), mientras que Berkson introdujo su uso en la estadística (1944).
El modelo logit es muy similar al probit, llamado así por Bliss (1934); el primero asume una función de probabilidad logística en lugar de una normal. La diferencia entre ambos radica en que el modelo argumenta ser flexible en su interpretación, ya que ésta depende de la definición de las variables, además de ser simple en su cálculo y aplicación (Rodríguez 2008), mientras que el modelo probit tiene asociada la distribución normal, lo cual se le ha criticado al logit, pues no pertenece a distribución alguna. No obstante, la función de densidad del modelo logit es muy similar a la distribución normal, sólo que en éste las colas son más anchas, es decir, la inferencia es más amplia. En esta investigación se utiliza el modelo logit por la flexibilidad en la interpretación, así como por la simplicidad en su aplicación y cálculo; el modelo parte de una decisión binomial o dicotómica, la cual asume valores 1 y 0:
(1)donde y i puede tomar los valores 0 y 1 con probabilidades 1− p i y pi respectivamente. La distribución de yi proviene de la de Bernoulli. Por lo que si yi = 1 la probabilidad es de pi, y si yi = 0 será de 1− 𝑝 𝑖 . De forma generalizada se tendría:
(2)donde X es un vector y β los coeficientes estimados.
Sin embargo, la ecuación (2) conllevaría a una estimación lineal, la cual otorgaría valores de pi fuera de 0 y 1. Por lo que se debe trasformar el modelo a la siguiente forma:
(3)o lo que es igual:
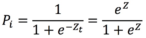
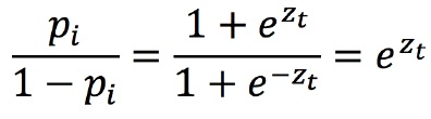
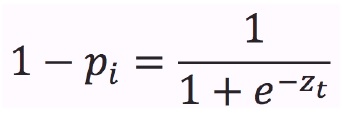
(4)La ecuación (4) se conoce como la función de distribución logística acumulada. A medida que Zi se ubique entre −∞ ɑ +∞, la probabilidad de que ocurra el evento, es decir, pi está entre 0 y 1. Sin embargo, pi no es lineal en coeficientes ni en X, por lo que debe linealizarse. Si pi es la probabilidad de ser informal, 1− 𝑝 𝑖 es la de no serlo, por lo que se tendría:
(5)para tener lo siguiente:
(6)donde 1/ (1 − pi) es la razón de las probabilidades (odd ratios) a favor de ser informal. Aquí se estima un modelo logit con datos no agrupados por máxima verosimilitud.19 El modelo por evaluar es:
(7)Antes de pasar a los resultados de la estimación econométrica, es importante señalar el grado de ajuste que tiene el modelo usado aquí en cada región. En los modelos donde se utilice una variable binaria, como regresada, la medida de la bondad de ajuste 𝑅 2 no es significativa. Sin embargo, una medida similar para este tipo de modelos, que permite observar su grado de ajuste es la R de McFadden (1973) y la llamada cuenta de 𝑅 2 . La R de McFadden varía entre 0 y 1; aunque es común que no alcance valores altos para este tipo de modelos; en el empleado aquí, la R de McFadden arroja un valor de 20 por ciento para cada región, lo cual es bajo. Sin embargo, al obtener la bondad de ajuste conocida como la cuenta de 𝑅 2 , el grado de ajuste llega a ser de 70 por ciento en cada zona del país.20
En lo referente al supuesto de posible endogeneidad21 entre la dependiente y la variable ingreso (ing_men), las pruebas, así como los métodos para detectar y solucionar el problema de endogeneidad, por lo común se utilizan para modelos lineales y para los de tipo probit, donde se asume una función de distribución normal. No obstante, en el caso de un modelo logit y, en especial, cuando los datos no muestran una distribución normal, como lo es el ingreso dentro de la informalidad (véase Figura 9), no es posible aplicarlos, pues en la literatura no hay pruebas para determinar la existencia de endogeneidad y cómo corregirla para modelos tipo logit. Sin embargo, se obtuvo el coeficiente de correlación entre el error y la variable potencialmente endógena, como lo señala la prueba de Hausman y Wise (1978), para modelos probit. El coeficiente de correlación es muy bajo, cercano a 0, por lo cual no existen argumentos fuertes que indiquen la presencia de endogeneidad. Incluso a simple inspección, el valor del coeficiente arrojado por la regresión de la variable ing_men es cercano a 0, lo cual indica la no existencia de endogeneidad.

Los resultados de la estimación econométrica tipo logit se muestran en la Figura 10. Todas las variables son significativas y con los signos esperados para algunas de ellas. En todas las regiones, la educación y la edad de los individuos conservan una relación negativa con la informalidad, es decir, a mayor educación y a mayor edad, es menos probable ser informal. Sin embargo, para el caso del ingreso no se observa una similitud de signos en todas, al discernir la región norte de las demás; en otras palabras, en las entidades que la integran, es más probable que un individuo que perciba un ingreso mayor sea informal, a diferencia de las otras, en las que coincide el supuesto de que a ingresos bajos, es probable ser informal.

Ahora bien, si la variable educación aumenta en una unidad, mientras las demás permanecen constantes, es decir, si reporta mayor escolaridad, el logit estimado decrece en -0.1690 en la región norte, -0.2471 en la centro-norte, -0.2523 y -0.3137 en las centro y sur. El efecto de las variables es distinto en cada región de México, lo cual apoya el supuesto inicial de este trabajo, en el sentido de que los efectos de las variables que explican la informalidad son diferentes en cada una. Sucede lo mismo con la edad; si todo permanece constante, el incremento de un año más en los individuos reduce la probabilidad de ser informal; -0.0230 en la región norte, -0.0298 en la centro-norte, -0.0289 en la centro y -0.0381 en la sur. Las variables confianza, sexo y edo_civil no mantienen los mismos signos en todas; por ejemplo, la confianza individuo-institución guarda una relación positiva con la informalidad, excepto en la región norte.
A través de los odds ratio se puede obtener una interpretación más significativa de las posibilidades de ser informal, lo que se consigue con el antilogaritmo de los coeficientes. La variable confianza cuenta con coeficientes altos: 0.6009 para la región centro-norte y 0.9902 para la sur. Los odds ratio para la centro-norte son de 𝑒 0.6009 =1.8237, y de 𝑒 0.9902 = 2.6918 para la sur. Esto indica que los trabajadores que reporten no tenerle confianza a la institución que proporciona la seguridad social son 1.8 y 2.6 veces más propensos a ser informales. Los valores anteriores suponen una probabilidad muy baja de ser informal, lo cual podría inferir que la variable (confianza) explica de una forma débil el fenómeno en cada zona. Sin embargo, si se considera la probabilidad de ser informal tomando en cuenta todas las variables mencionadas, se alcanza un panorama más completo e intuitivo sobre la influencia de éstas en la problemática estudiada y su heterogeneidad en cada región de México.
Según las variables expuestas, para estimar la probabilidad real de que una persona sea o no informal, se utilizó la ecuación (7), junto con los coeficientes obtenidos por la estimación econométrica, así como los valores de las variables independientes o explicativas de la informalidad. Dicha probabilidad difiere entre las regiones, con los valores promedio del ingreso (10 340), de la edad (18 años) y de la educación (secundaria concluida), así como de las variables binarias: confianza, sexo, edo_civil (si cumple el evento toma el valor de 1). Si el trabajador cuenta con secundaria terminada, tiene 18 años y un ingreso de 10 340 (valores promedio de la población informal en el país), además de ser mujer y estar casada y no tenerle confianza a las instituciones de seguridad social, la probabilidad de ser informal en la región sur llega a ser de 95 por ciento, a diferencia de un individuo con las mismas características pero de la norte, pues ahí es de 47, mientras que en la centro-norte y la centro es de 86 y 85. En la Figura 11 aparecen algunas probabilidades generadas para cada región, que se interpretan según el supuesto de que todas las variables permanecen constantes y sólo hay cambio en alguna. Por ejemplo, si todas las variables permanecen constantes, excepto que ahora se trata de un hombre, la probabilidad de ser informal será de 47 por ciento para la región norte; 86 para la centro-norte; 85 para la centro y 95 para la sur, que es la misma probabilidad que se obtiene con las variables promedio, a pesar de ser las mujeres la mayoría en el sector informal, como parte de la PNEA. Por lo que el género por sí solo no es un factor determinante de la informalidad. Sin embargo, con el supuesto de ser mujer y soltera, si se mantienen constantes las demás variables, no se observa un cambio sustancial en ellas, sólo se aprecia uno en la norte, ya que ahí la probabilidad pasa de 47 a 50 por ciento; es más probable que ahí una mujer soltera se integre a la informalidad que una casada, situación que no se observa en las demás regiones.

En el caso de la variable confianza, si se mantienen los valores constantes y se supone que el trabajador indica tener confianza en las instituciones, la probabilidad de ser informal decrece en todas las regiones, de 8 y 10 por ciento para algunas. A pesar del poco efecto que la confianza tiene en la probabilidad de ser informal, es importante tomarla en cuenta, pues a medida que las personas cuenten con una imagen positiva de las instituciones de seguridad social estarán motivadas para buscar un empleo que les permita allegarse de dicha prestación.
Por su parte, el ingreso es una de las variables que explican mejor la informalidad en el país. Para quienes perciban el salario mínimo y mantengan las demás variables constantes, la probabilidad en la región norte de ser informal es de 56 por ciento, mientras en la centro y centro-norte es de 90 y 91, y en la sur, de 97. Estas cifras refuerzan el supuesto de la relación negativa entre informalidad e ingresos. Esto no quiere decir que en las demás regiones no se cumpla dicha relación, sino que es más probable que un individuo que perciba el mínimo en esa zona seguramente sea informal (véase Figura 12).

A medida que aumenta el ingreso de los individuos, disminuye la probabilidad de ser informal (véase Figura 12), aunque la repercusión de esto es distinta entre las regiones; en la norte, la posibilidad de ser informal con un salario mínimo vigente es de 57 por ciento, en cambio en la sur llega a ser de 97. Asimismo, cuando los ingresos son más altos, la probabilidad de ser informal disminuye en todas las regiones. Sin embargo, sólo en la sur ocurre que con percepciones superiores a los 40 mil mensuales, la probabilidad de ser informal es de 41 por ciento, más alta con respecto a las demás. Lo anterior es cierto, pues aquí las estimaciones indican que alrededor de 80 por ciento de la población total nacional informal gana entre 2 104 y 14 500, por lo que son pocos los trabajadores informales con ingresos muy altos.
Conclusiones
La informalidad requiere focalizar la atención en las distintas regiones de México, inclusive en las de cada entidad federativa. La entropía de Shannon mostró que aunque están disminuyendo los individuos que se ubican en este mercado, el fenómeno presenta mayor dispersión en cada zona. En 2008 había nueve estados donde la informalidad era mínima, para 2014 prevalecían 26 en esta condición, por lo que dista de estar controlada y, mucho menos, eliminada. También se expuso que las causales que comúnmente determinan la informalidad no se presentan de manera homogénea en cada región, lo cual lleva a suponer que para determinar esta problemática multifactorial son relevantes los factores culturales y sociales, propios del lugar, lo cual implica una solución heterogénea. Las variables explicativas en las que convergen los estudios para explicar el fenómeno, como la edad, el nivel educativo, el ingreso, el estado civil y la relación individuo-Estado, que se representó como confianza hacia el sistema de seguridad social, son causantes, y no menos importantes para el desarrollo de la informalidad en el país. Se encontró que en la región sur existe mayor alcance de los factores analizados, que explican la informalidad, a pesar de que se esperaría que su incidencia fuera homogénea o con variaciones pequeñas en cada una o, en mayor medida, en la centro, donde se concentra 40 por ciento de la informalidad nacional. El objetivo se cumple al mostrar que este fenómeno es multicausal y que su desempeño es distinto en cada zona. La propuesta de esta investigación va dirigida a diseñar la política pública que, sin duda, debe ser focalizada y orientada a atender las rigideces del mercado laboral formal, y también a considerar cuestiones de índole subjetiva, como la percepción, la calidad y el tiempo de traslado, entre otras, que se comportan de manera distinta en cada lugar. La informalidad es un reto para el diseño de la política pública en México, pues sus altos índices son muestra clara de que no se sabe con exactitud lo que se enfrenta.
Bibliografía
Berkson, J. 1944. Application of the logistic function to bio-assay. Journal of the American Statistical Association 39 (227): 357-365.
Bliss, C. I. 1934. The method of probit. Science 79 (2037): 38-39.
Brandt, N. 2011. Informality in Mexico. OECD. Economics Department Working Papers, # 896, OECD Publishing.
Castells, M. 1989. The informational city. Information technology, economic restructuring and the urban-regional process. Oxford: Basil Blackwell.
CNDH. 2015. Informe de actividades. 1 de enero a 31 de diciembre de 2014.
Cunningham, W. 2001. Breadwinner versus caregiver: labor force participation and sectoral choice over the Mexican business cycle. En The economics of gender in Mexico: work, family, state, and market, editado por Elizabeth G. Katz y Maria Cecilia Correia, 85-132. The International Bank for Reconstruction and Development/The World Bank.
De Soto, H. 1989. The other path: the informal revolution. Nueva York: Harper & Row Publishers.
Flores, D. y J. Valero Gil. 2003. Tamaño del sector informal y su potencial de recaudación en México. Documento elaborado en el Centro de Investigaciones Económicas de la Facultad de Economía de la Universidad Autónoma de Nuevo León.
Gong, X., A. Van Soest y E. Villagómez. 2004. Mobility in the urban labor market: a panel data analysis for Mexico. Economic Development and Cultural Change 53 (1): 1-36.
Griffith, D., R. Contreras y E. Kissam. 2009. Calidad y confianza (quality & trust): latino entrepreneurship in North Carolina and beyond. Discurso de David Griffith pronunciado en Second Latino Leadership Summit, Greenville, Carolina del Norte.
Hausman, J. y D. Wise. 1978. A conditional probit model for qualitative choice: discrete decisions recognizing interdependence and heterogeneous preferences. Econométrica 48: 403-429.
Harris, J. y M. Todaro. 1970. Migration, unemployment and development: a two-sector analysis. American Economic Review 60 (1): 126-142.
Hirschman, A. 1970. Exit, voice, and loyalty: responses to decline in firms, organizations, and states. Cambridge: Harvard University Press.
INEGI. 2014a. Encuesta nacional de calidad e impacto gubernamental (ENCIG). México: INEGI.
INEGI. 2014b. Módulo de condiciones socioeconómicas. Encuesta nacional de ingresos y gastos de los hogares 2014. Descripción de la base de datos. México: INEGI .
INEGI. 2012. Módulo de condiciones socioeconómicas. Encuesta nacional de ingresos y gastos de los hogares 2012. Descripción de la base de datos. México: INEGI .
INEGI. 2010a. Módulo de condiciones socioeconómicas. Encuesta nacional de ingresos y gastos de los hogares 2010. Descripción de la base de datos. México: INEGI .
INEGI. 2010b. Delimitación de las zonas metropolitanas de México 2010. México: INEGI .
INEGI. 2008. Módulo de condiciones socioeconómicas. Encuesta nacional de ingresos y gastos de los hogares 2008. Descripción de la base de datos. México: INEGI .
Levy, S. 2008. Social policy, informality, and economic growth in Mexico. Washington: The Brookings Press.
Loayza, N. y N. Sugawara. 2009. El sector informal en México: hechos y explicaciones fundamentales. El Trimestre Económico LXXVI 4 (304): 887-920.
Maloney, W. 1999. Does informality imply segmentation in urban labor markets? Evidence from sectoral transitions in Mexico. World Bank Economic Review 13 (2): 275-302.
McFadden, D. 1973. Conditional logit analysis of qualitative choice behavior. La medición de la informalidad: Manual estadístico sobre el sector informal y el empleo informal. Oficina Internacional del Trabajo. Ginebra.
OIT. 2013. La medición de la informalidad. Manual estadístico sobre el sector informal y el empleo informal. Ginebra: OIT.
Perry, G., W. Maloney, O. Arias, P. Fajnzylber. A. Mason y J. Saavedra-Chanduvi. 2007. Informalidad: escape y exclusión. Washington: World Bank.
Rodríguez, E. M. 2008. Logit model como modelo de elección discreta: origen y evolución. Anuario Jurídico y Económico Escurialense XLI (41): 469-484.
Sassen, S. 1991. The global city. Nueva York, Londres, Tokyo: Princeton University Press.
Shannon, C. E. 2001. A mathematical theory of communication. ACM SIGMOBILE Mobile Computing and Communications Review 5(1) 3-55.
Sojo, E. y R. Villareal. 2006. Public policies to promote productive occupation and increase formality among the moderate poor: the Mexican agenda. En Informal labour markets and development, editado por Basudeb Guha-Khasnobis y Ravi Kanbur, 5-11. Hampshire: Palgrave Macmillan.
STPS. 2014. http://www.stps.gob.mx/gobmx/estadisticas/ (10 de octubre de 2016).
Wooldridge, J. 2012. Introductory econometrics: a modern approach. Estados Unidos: Michigan State University.
Notas
Si un valor de xi tuviese una probabilidad de p i =1, los eventos posibles tendrían probabilidad cero, pues la suma de todas las probabilidades es la unidad. En otras palabras, cuando la entropía es baja, brinda más información, y ésta será nula en caso contrario.