Artículos
Crecimiento de la capacidad de almacenes agrícolas en México, 1996-2019
Growth of the Agricultural Warehouses Capacity in Mexico, 1996-2019
Crecimiento de la capacidad de almacenes agrícolas en México, 1996-2019
Región y sociedad, vol. 32, 2020
El Colegio de Sonora
Recepción: 18 Octubre 2019
Aprobación: 26 Mayo 2020
Publicación: 24 Junio 2020
Resumen: El objetivo es analizar el crecimiento de la capacidad instalada de los almacenes agrícolas, entre 1996 y 2019, por entidad federativa y determinar si tal capacidad es suficiente para un programa óptimo de inventarios que requiere el maíz en México. La metodología usada fue la formulación de un modelo de equilibrio espacial e intertemporal del mercado de maíz. Los resultados indican que en la mayoría de los estados del país la capacidad es suficiente para almacenar los inventarios existentes. En cambio, Chiapas, Guerrero y Oaxaca mostraron un déficit de almacenes. Una limitante del estudio es la cobertura regional del modelo a escala estatal. Un análisis por municipio hubiera sido más completo; sin embargo, el valor principal del estudio radica en que ofrece resultados para dirigir inversiones en almacenes. La principal conclusión establece que el gobierno debe tomar las medidas necesarias para aumentar la capacidad de los almacenes en el sur de México.
Palabras clave: maíz, demanda de almacenaje, capacidad instalada de almacenes, modelo de equilibrio espacial e intertemporal.
Abstract: The objective is to analyze agricultural warehouses storage-installed capacity growth between 1966 and 2019 in all Mexican states in order to determine if it is sufficient for the optimum inventories program corn requires. The corn storage demand was calculated and compared with the storage-installed capacity through spatial and intertemporal equilibrium model formulation for the corn market. The results indicate that warehouse capacity is sufficient to store existing inventories in most Mexican states. In contrast, Chiapas, Guerrero and Oaxaca showed a deficit. One limitation of the study is the model’s regional coverage at the state level, since a municipality analysis would have been more complete. The main value of the study is that its results may conduct investment projects on warehouses. The main conclusion establishes that the Government must take the necessary measures to increase the storage capacity of warehouses in Southern México.
Keywords: corn, storage demand, warehouses-installed capacity, spatial and intertemporal equilibrium model.
Introducción
Antecedentes
El almacenamiento es una de las actividades post-cosecha más importantes en la producción y comercialización de granos básicos. La post-cosecha puede definirse como el conjunto de procesos técnicos y operativos que engloban desde el acopio de los granos hasta su comercialización, cuyo funcionamiento permite garantizar la conservación de los granos para satisfacer la demanda del consumidor (Vázquez y Moreno, 2016, p. 3).
Un buen almacenamiento requiere el empleo de bodegas limpias que mantengan el producto lejos de insectos, pájaros, roedores, hongos y otras plagas que pudieran causar daño físico, y que permitan que los granos se conserven frescos, secos, enteros, sanos y sin impurezas (Hernández y Carballo, 2003, p. 3).
El almacenamiento, junto con el trasporte, son actividades de comercialización que agregan valor a las mercancías almacenadas, porque éstas se pueden vender en el momento y lugar más oportuno, donde el precio de venta sea más alto.
La demanda de servicio de almacenamiento depende de la logística de distribución y abasto del producto que se quiere comercializar. Si la producción de granos básicos fuera más uniforme en el tiempo, ésta se consumiría en su totalidad y el almacenamiento no sería necesario. Si las importaciones de granos básicos se realizaran en los meses cuando la producción nacional es alta (o baja), la demanda de almacenamiento disminuiría (o aumentaría). La existencia de trasporte suficiente haría posible la movilización rápida de la producción y reduciría la necesidad del almacenamiento de granos básicos.
Datos de la Agencia de Servicios a la Comercialización y Desarrollo de Mercados Agropecuarios (ASERCA, 2019) indican que la capacidad instalada de los almacenes agrícolas en México fue de 39.56 millones de toneladas en 2019, de las cuales 83.7% se almacena bajo techo y 16.3%, al aire libre. La modalidad bajo techo incluye techos construidos de materiales sólidos, tales como el concreto y el metal, y silos, que son estructuras cilíndricas hechas de metal liso o corrugado. Si sólo se considera el tipo bajo techo, cabrían 33.13 millones de toneladas métricas. Ese servicio se concentra en algunas regiones del norte del país.
Además, ASERCA (2019) informa que existen 2 860 centros de almacenamiento con espacio para casi 40 millones de toneladas de granos y oleaginosas. Se puede concluir que la capacidad nacional instalada de los almacenes es suficiente para la producción de granos, que en 2016 alcanzó un máximo de 33.5 millones de toneladas. En el caso del maíz, osciló entre 17.6 y 28.3 millones de toneladas de 2007 a 2018 (Presidencia de la República, 2018, p. 598).
Sin embargo, los depósitos agrícolas que existen en el país no son homogéneos. Un estudio de Ortiz, Ramírez, González y Velázquez (2015, p. 182) muestra que en México existen almacenes de maíz bien equipados y con buena infraestructura que ejemplifican una red de acopio adecuada para atender las necesidades de manejo y disponibilidad del grano. Por otro lado, alrededor de la mitad de los almacenes del país son bodegas muy pequeñas, con equipamiento mínimo o nulo, lo que propicia la reducción de la calidad y el volumen del grano. Ayala-Garay y Carrera-Chávez (2008, p. 93) señalan que aunque México cuenta con el espacio necesario para la creación de una reserva estratégica de alimentos, las instalaciones no tienen las condiciones necesarias para que éstos no sufran daños por la acción de plagas, enfermedades o del medio ambiente; de ahí la necesidad de destinar recursos para mejorar las condiciones de los almacenes que existen en México.
No todos los depósitos agrícolas están en operación; un estudio realizado en 2009 señala que en ese año el país contaba con una red de 1 966 locales para guardar granos y oleaginosas, con una capacidad instalada de 16.23 millones de toneladas. De los almacenes estudiados, se encontraron en operación 1 672, con cabida para 15 millones de toneladas. Los que no estaban en operación fueron 294, con un volumen para 1.23 millones de toneladas (Secretaría de Agricultura, Ganadería, Desarrollo Rural, Pesca y Alimentación, Fideicomiso de Riesgo Compartido, Comité Nacional Sistema Producto Oleaginosas-Colegio de Postgraduados [SAGARPA-FIRCO-CNSPO-CP], 2009, p. 190).
La capacidad de almacenes agrícolas bajo techo en México ha experimentado un crecimiento medio anual de 6.3% entre 1996 y 2019 (Secretaría de Agricultura, Ganadería y Desarrollo Rural [SAGAR], 1996, p. 35; ASERCA, 2019). En 1996 el volumen era de 9.65 millones de toneladas, y en 2019 aumentó a 39.59 millones de toneladas, cinco veces más que al inicio del periodo (véase Tabla 1).

En la Tabla 1 se observa que el crecimiento en la capacidad de los almacenes agrícolas no ha sido igual en las ocho regiones que integran el país. En el noroeste, norte, occidente y noreste del país la capacidad experimentó un crecimiento medio anual, superior o cercano a la media nacional, de 9.3, 7.1, 7.8 y 6.0 %, respectivamente. En el centro, golfo y península la cantidad y la capacidad experimentaron un crecimiento moderado, de apenas 1.1, 1.7 y 5.0%, respectivamente. En el caso del sur, la infraestructura disminuyó de 1.020 millones a 996 miles de toneladas, lo que representó un crecimiento medio anual de -0.1% (véase Figura 1).

Los datos de ASERCA (2019) indican que más de 85% del volumen nacional para acopio se encuentra en los estados del norte y del occidente del país. Estos estados son los mayores productores del principal grano básico de México, el maíz, pero de 2017 a 2018 sólo concentraron 63% de la producción nacional. Estos datos indican que la capacidad instalada de almacenamiento cubierto en estas entidades podría estar subutilizada.
Justificación
La situación es diferente en la región sur de México. Chiapas, Guerrero y Oaxaca produjeron 3.4 millones de toneladas de maíz en 2018 (12.3% de la producción nacional de maíz). Sin embargo, sólo 2.5% de la capacidad de almacenamiento (996 mil toneladas) se encuentra en estos estados. Chiapas participó con 1.9%; Guerrero, con 0.5%; y Oaxaca, con 0.2%. Estos datos indican que la infraestructura no es suficiente para los volúmenes de granos que un programa de inventarios óptimo requiere. Además, en el sur se guardan otros productos, como café y cacao, junto con el maíz.
A pesar del crecimiento en la capacidad instalada, sería interesante determinar si ésta puede almacenar el maíz que un programa de inventarios óptimo requiere. Se selecciona el maíz porque es el cultivo más importante en el sector agrícola de México. Dicho grano se utiliza como materia prima en la producción de harina y en la de jarabe de maíz de alta fructosa. También se usa en las industrias de nixtamalización y de la tortilla, en las de almidones y cereales y en las de elaboración de alimentos balanceados. Son 2.5 millones de unidades de producción de maíz las que se ubican en más de 8 millones de hectáreas (Servicio de Información Agroalimentaria y Pesquera [SIAP], 2019a). En 2018, el consumo nacional aparente de maíz fue de 42.80 millones de toneladas, lo cual indica que 62.4% del consumo se abasteció con la producción doméstica y el restante 37.6% se abasteció con importaciones provenientes, casi en su totalidad, de Estados Unidos (SIAP, 2019b).
La naturaleza biológica de la cosecha de maíz, igual que en los demás granos, determina la estacionalidad de la producción. Datos del SIAP (2018) indican que 60.8% de la producción nacional de maíz se obtiene en noviembre, diciembre y enero, y corresponde al ciclo de siembra primavera-verano. En mayo y junio se obtiene 22.3% de la producción nacional y proviene del ciclo de siembra otoño-invierno. La producción restante, 17.9%, se obtuvo en siete meses; y la escasez es más crítica en septiembre, pues sólo se obtiene 0.4% de la producción nacional (SIAP, 2019a).
Debido a que el maíz es materia prima en una gran cantidad de industrias, el consumo es uniforme en el tiempo. En 2018 el consumo nacional aparente fue de 42.8 millones de toneladas y el mensual fue de 3.58 millones de toneladas. La estacionalidad de la producción y la uniformidad del consumo determinan los excesos de oferta que a menudo están presentes en varios meses del año. Al igual que otros cultivos en México, el maíz experimenta variaciones anuales en su precio que dependen de los cambios en la oferta y en la demanda. Los precios bajos que se observan en algunos meses son el resultado de excesos de oferta.
La reducción temporal de los precios requiere la coordinación entre productores de maíz y las industrias para evitar excedentes estacionales. Los precios bajos se observan sólo cuando toda la producción se envía al mercado. La forma de sincronizar la producción y el consumo en el tiempo es a través del almacenamiento, pues permite dosificar el flujo del producto que se envía al mercado para evitar que el exceso de oferta temporal disminuya los precios que recibe el productor. Las importaciones podrían ayudar a sincronizar la producción y el consumo de maíz. Esto significa que las importaciones se podrían realizar en los meses de menor producción; sin embargo, las compras externas del grano se realizan durante los doce meses del año. En 2018 las importaciones alcanzaron 16.1 millones de toneladas y las importaciones mensuales se cuantifican entre 0.926 y 1.704 millones de toneladas. La menor cantidad de importaciones se presentó en febrero; y la mayor, en abril. El hecho de que las importaciones se realicen durante los doce meses del año, sin considerar la temporalidad de la producción doméstica, determina las ineficiencias temporales en la forma de realizar las compras externas de maíz (García y Santiago, 2004, p. 152).
La existencia de infraestructura que permita diseñar programas de inventarios óptimos en la región sur es importante por las siguientes razones: a) evitaría los excesos de oferta; b) se estabilizarían los precios del maíz; c) impediría la disminución en el ingreso de los productores; y d) mejoraría la competitividad de la producción agrícola. El conocimiento de la demanda óptima de almacenamiento proporcionaría elementos para llevar a cabo un programa de inventarios y evitar la escasez de maíz y los aumentos inesperados en el precio de los alimentos (SAGARPA-FIRCO-CNSPO-CP, 2009, p. 187).
Además, el buen almacenamiento de granos disminuiría las pérdidas post-cosecha que a escala internacional promedian 5% y que en los países subdesarrollados suelen ser de hasta 30%. Entre otros factores, las pérdidas post-cosecha se deben a la presencia de agentes bióticos, como insectos, hongos, roedores e incluso aves (Vázquez y Moreno, 2016, p. 3).
Considerando la importancia del tema, el objetivo de esta investigación es analizar el crecimiento de la capacidad instalada de los almacenes agrícolas entre 1996 y 2019 por entidad federativa y determinar si tal capacidad es suficiente para almacenar el maíz que un programa óptimo de inventarios requiere. Se determinó entonces la demanda de almacenamiento y se comparó con la capacidad de los almacenes agrícolas. La investigación es importante porque las actuales políticas agrícolas y agroalimentarias para el desarrollo rural ponen énfasis en los aspectos de post-cosecha y comercialización de granos y en el desarrollo del sur de México.
Metodología
Para alcanzar el objetivo, se obtuvo información sobre la capacidad instalada de los almacenes por estado en 1996 y en 2019. Una vez obtenidos los datos, se calculó con la siguiente fórmula la tasa de crecimiento media anual de dicha capacidad:
Donde TCMA es la tasa de crecimiento media anual en porciento (%); CAt es la capacidad de almacenes en 2019; CAt-1 es la capacidad de almacenes en 1996; y n es el número de años.
El modelo
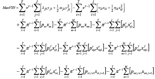
Para determinar la demanda por almacenamiento de maíz se utilizó un modelo de equilibrio espacial e intertemporal del mercado de maíz. La formulación del modelo se basó en Takayama y Judge (1971, p. 374) y en otros autores que han formulado modelos para mercados agrícolas en México (Bivings, 1997, p. 392; García y Williams, 2004, p. 178; García-Salazar, Skaggs y Crawford, 2011, p. 386; Martínez-Jiménez, García-Salazar y Mora-Flores, 2015, p. 694). La tasa de crecimiento de la capacidad instalada de almacenes se obtuvo para el periodo 1996-2019 y el modelo usó datos de 2017-2018.
Considerando i(i=1,2...I=32) regiones productoras de maíz, j(j=1,2...J=32) regiones consumidoras de maíz, m(m=1,2...M=8) puertos de entrada de las importaciones de maíz, e(e=1...E=1) puertos de salida de las exportaciones de maíz y t(t=1,...T=12) periodos de tiempo, el modelo fue formulado de la siguiente manera:
[2)]Sujeto a
Donde para el mes t: πt-1= (1/1+it)t-1 es el factor de descuento con it igual a la tasa de inflación; λjt es el intercepto de la función de demanda en j; yjt es la cantidad de maíz consumida en j; ωjt es la pendiente de la función de demanda en j; νit es el intercepto de la función de oferta en i; xit es la cantidad de maíz producida en i; ηit es la pendiente de la función de oferta en i ; pmt es el precio de importación en m; xmt es la cantidad importada a través del puerto o frontera m; pet son los precios de exportación en los puertos e; xet es la cantidad exportada a través del puerto e; pcijt y xcijt son los costos de trasporte y la cantidad enviada de maíz por camión de la región productora i a la región de consumo j; pfijt y xfijt son los costos de trasporte y la cantidad enviada por ferrocarril de la región i a la región j; pcmjt y xcmjt son los costos de trasporte y la cantidad enviada por camión del puerto o frontera m a la región consumidora j; pfmjt y xfmjt son los costos de trasporte y la cantidad enviada por ferrocarril del puerto o frontera m a la región consumidora j; pciet y xciet son los costos de trasporte y la cantidad enviada por camión de la región i al puerto e; pit,t+1 es el costo de almacenamiento por unidad en la región i del mes t al mes t+1; xit,t+1 es la cantidad almacenada en la región i del mes t al mes t+1; pmt,t+1 es el costo de almacenamiento por unidad en el puerto m del mes t al mes t+1; xmt,t+1 es la cantidad almacenada en el puerto m del mes t al mes t+1; δ es el porcentaje de importaciones anuales de maíz internadas a través de las fronteras de Ciudad Juárez, Piedras Negras y Nuevo Laredo.
El modelo de programación está integrado por 9 ecuaciones (de 2 a 10). Una descripción de cada una de las ecuaciones se presenta en el Tabla 2.

Variables y regiones del modelo
Para determinar la demanda de almacenamiento de maíz se obtuvo una solución del modelo con datos de septiembre de 2017 a octubre de 2018. Este periodo se denominó año 2017-2018. Las variables consideradas en el modelo se presentan en la Tabla 3 y se clasifican en endógenas y exógenas. El valor de las variables endógenas se determina a través de la solución del modelo y el valor de las variables exógenas se introduce en el modelo como un parámetro; corresponde al valor observado en el año de análisis. La ubicación geográfica de las regiones, de los puertos y de las fronteras de internación se presenta en la Figura 2.


Datos
Se recopiló una gran cantidad de información para obtener la solución del modelo. La capacidad instalada de almacenamiento en 1996 provino de la Secretaría de Agricultura, Ganadería y Desarrollo Rural (SAGAR, 1996), y la información del año 2019, de la Agencia de Servicios a la Comercialización y Desarrollo de Mercados Agropecuarios (ASERCA, 2019).
Las funciones de la oferta y la demanda del maíz se estimaron utilizando el precio al productor, el precio al consumidor, la cantidad producida, la cantidad consumida, la elasticidad precio de la oferta y la elasticidad precio de la demanda. La elasticidad precio de la oferta y la demanda de maíz provinieron del Instituto de Investigaciones en Políticas Agrícolas y Alimentarias (Food and Agricultural Policy Research Institute [FAPRI], 2018) y la producción de maíz se obtuvo del SIAP (2019a).
Para estimar el consumo de maíz en México por región y por mes, primero se calculó el consumo nacional aparente anual (producción, más importaciones, menos exportaciones nacionales anuales); después este indicador se desagregó en los siguientes consumos: humano, animal, industrial (harina, cereales, almidón y alimentos balanceados), mermas y semilla. El consumo nacional anual de maíz del sector pecuario se ponderó por la participación de cada estado en el consumo nacional de granos para obtener el consumo estatal anual de maíz por el sector pecuario. Para obtener el consumo humano por estado, el consumo humano nacional anual de maíz se ponderó por la participación de cada estado en la población rural del país. Del mismo modo, el consumo nacional anual de maíz de las industrias de harina, almidón, cereales y alimentos balanceados se ponderó por la participación que cada estado tiene en el valor de la producción nacional por cada industria. Se supuso que el consumo fue igual en los doce meses del año. Los datos se obtuvieron de instituciones públicas y privadas (Consejo Nacional de Fabricantes de Alimentos Balanceados y de la Nutrición Animal [CONAFAB], 2018, p. 49; Instituto Nacional de Estadística y Geografía [INEGI], 2010, 2014, 2018a, 2018b; SAGARPA, 2007, p. 96; SIAP, 2018, 2019a, 2019b, 2019c).
Los precios internacionales del maíz se calcularon usando el precio unitario de importación en el puerto o frontera mexicana. El precio unitario se calculó dividiendo el valor de las importaciones de maíz entre la cantidad importada de maíz. La información de los precios del maíz en los puertos y en las fronteras de entrada entre México y Estados Unidos se obtuvo del SIAP (2019b). El precio internacional del maíz consideró el tipo de cambio, el costo financiero internacional y las tarifas de entrada en los puertos y fronteras. Los datos se obtuvieron del INEGI (2018a) y del Banco de México (BANXICO, 2018). El precio regional pagado por los consumidores y recibido por los productores se calculó usando el precio internacional del maíz en los puertos de entrada mexicanos.
Los costos de trasporte desde cada puerto de entrada a los puntos internos de consumo fueron agregados al precio internacional para obtener los precios al consumidor. Los precios al productor en cada región se asumieron igual a los precios al consumidor menos un margen de comercialización de trasporte de maíz de la zona productora al punto de consumo. Los márgenes de comercialización para cada región se calcularon mediante la diferencia entre el precio del maíz en los mercados mayoristas y el precio promedio recibido por los productores. Para estimar el margen de comercialización se usaron los precios al productor promedio reportados por el SIAP y los precios al mayoreo que reporta el Sistema Nacional de Información Integral de Mercados.
Los costos de trasporte por ferrocarril de las zonas productoras y puntos de entrada de las importaciones se estimaron usando una matriz de distancias de origen/destino y un costo promedio de rutas representativas que incluyó un factor fijo y un factor variable. Los datos de las tarifas de ferrocarril se obtuvieron de la Secretaría de Comunicaciones y Transportes (SCT, 2018). Las ciudades seleccionadas como centros de consumo para el cálculo de los costos de trasporte ferroviario fueron: Aguascalientes, Mexicali, La Paz, Campeche, Tapachula, Chihuahua, Torreón, Colima, Ciudad de México, Durango, Guanajuato, Iguala, Pachuca, Guadalajara, Toluca, Morelia, Cuernavaca, Tepic, Monterrey, Oaxaca, Puebla, Querétaro, San Luis Potosí, Culiacán, Hermosillo, Teapa, Ciudad Victoria, Apizaco, Jalapa, Mérida y Zacatecas.
Los costos de trasporte de maíz por camión de las regiones productoras y puertos de entrada de las importaciones a los centros de consumo también se estimaron utilizando una matriz de distancia. Los costos de trasporte por camión se calcularon usando una función de costo donde el costo de trasporte (ct) es la variable dependiente y la distancia (km) es la variable independiente. Las empresas de trasporte de camiones en México proporcionan la información necesaria para estimar la función de costos. Las ciudades que se utilizan como centros de consumo para calcular los costos de trasporte por camión fueron las mismas que se utilizaron para el cálculo de los costos de trasporte ferroviario, excepto para los estados de Chiapas, Guerrero, Tabasco y Tlaxcala, en donde se consideraron las ciudades de Tuxtla Gutiérrez, Chilpancingo, Villahermosa y Tlaxcala, respectivamente. La solución del modelo se obtuvo mediante el procedimiento MINOS, escrito en el lenguaje de programación General Algebraic Modeling Systems (Brooke, Kendrick, Meeraus y Raman, 1998, p. 5).
Resultados y discusión
En la Tabla 4 se presenta el crecimiento de la capacidad de almacenes agrícolas por entidad federativa. Se observa una disminución de la capacidad instalada a la intemperie en 13 estados, lo cual es consecuencia del crecimiento observado en la capacidad bajo techo. Se observa que algunos estados del noreste y del occidente del país experimentaron el mayor crecimiento. Éste es el caso de Sinaloa, donde el crecimiento medio anual fue de 13.9%, y de Guanajuato, donde fue de 10.8%. Los estados de Baja California, Chihuahua, Durango, Jalisco, Morelos, Nayarit, Puebla, Sonora, Tamaulipas y Yucatán presentaron un alto crecimiento que osciló entre 5 y 10%. Otras entidades donde el crecimiento medio anual fue menor a 5% son Campeche, Guerrero, Hidalgo, Querétaro, Tabasco, Tlaxcala y Veracruz (véase Tabla 4).

Los estados del sur tuvieron una situación diferente. Chiapas y Oaxaca experimentaron una caída media anual de -0.4 y -2.2%, respectivamente, en la capacidad instalada. Sólo Guerrero observó un crecimiento de 2.6%.
El crecimiento de la infraestructura de almacenes en el periodo en que ha tenido vigencia el Tratado de Libre Comercio de América del Norte (TLCAN) parece estar relacionado con el aumento de la producción agrícola. Los resultados de una regresión simple donde la variable dependiente es la tasa de crecimiento de la infraestructura de almacenes y la variable independiente en la producción de maíz arrojó un intercepto de 106.73, un coeficiente de 1.076, un R2 de 0.63 y un valor de t de 7.09. Aunque el valor ideal del R2 sería cercano a 1, el que se obtiene es aceptable. Conviene destacar que se hubiera obtenido un mejor ajuste si se hubiera considerado la producción de los cultivos que efectivamente se almacenan en cada uno de los estados analizados. Habrá que recordar que, además del maíz, otros cultivos se almacenan en cada una de las entidades federativas; por ejemplo, trigo en Sonora, sorgo en Guanajuato y Tamaulipas, frijol en Zacatecas, Durango y Chihuahua, arroz en Veracruz, café en Chiapas, y azúcar en Veracruz.
Puesto que la regresión anterior considera tasas de crecimiento, entonces el coeficiente se puede interpretar como una elasticidad que mide la relación de las dos variables en términos porcentuales; es decir, si la producción de maíz aumenta en 1%, entonces la infraestructura de almacenes aumentará en 1.076%. Los resultados de la regresión indican que el dinamismo observado en la producción de maíz explica en un buen porcentaje el crecimiento de los almacenes agrícolas.
En la Tabla 4 se observa que en 1996 existía una fuerte concentración de almacenes agrícolas a escala espacial. Tamaulipas concentraba 11.5% de la capacidad total; le seguían Jalisco con 9.9%, Sonora con 8.4%, Chiapas con 8.4% y el Estado de México con 6.1%. La fuerte concentración de almacenes en las entidades federativas es más evidente en 2019, sólo Sinaloa concentraba 19.0% de la capacidad nacional total. A esta entidad le siguen, en orden de importancia, Jalisco (13.1%), Tamaulipas (12.1%), Sonora (11.3%), Guanajuato (9.4%) y Chihuahua (8.7%).
La capacidad instalada promedio por estado fue de 302 000 toneladas en 1996 y de 1 millón 237 mil toneladas en 2019. En el primer año, 12 entidades tuvieron una capacidad instalada mayor de la media nacional y en 2019 sólo ocho estados superaron la media nacional. Estos datos indican que el problema de concentración es más evidente en la actualidad.
La distribución desigual de la capacidad instalada de almacenes por entidad federativa lleva a la siguiente interrogante: ¿qué factores explican la concentración de la capacidad instalada de almacenes en algunos estados? Para darle respuesta, se calculó el coeficiente de correlación entre la capacidad instalada de almacenes y otras variables, como la producción de maíz; dicho coeficiente es una medida de regresión que pretende cuantificar el grado de variación conjunta entre dos variables. Es una medida estadística que cuantifica la dependencia lineal entre ellas. Toma el valor de cero cuando no existe correlación, de -1 cuando la correlación es perfecta negativa y de +1 cuando existe correlación perfecta positiva. Se calcularon cinco coeficientes de correlación considerando como variable dependiente la capacidad instalada de almacenes y como variables independientes el consumo de maíz, la superficie cosechada nacional, el valor de la producción del sector agrícola, el producto interno bruto agropecuario y la producción de maíz. El coeficiente de correlación de la capacidad instalada fue de 0.24 cuando se relaciona con el consumo; de 0.41 cuando la relación es con la superficie cosechada; de 0.49 cuando se considera el valor de la producción agrícola; de 0.57 cuando se considera el producto interno bruto del sector agropecuario; y de 0.62 cuando se considera la producción de maíz. Los resultados anteriores indican que existe cierta relación entre la capacidad instalada de almacenes agrícolas y las variables que se consideran en el análisis, y que dicha relación es más fuerte con la producción de maíz. No existe una relación positiva perfecta entre ambas variables debido a que en las entidades del sur del país (como Oaxaca y Guerrero) la producción de dicho grano es considerable y la capacidad de los almacenes es muy baja.
La distribución desigual de la capacidad instalada de almacenes podría llevar a una situación en la que existan entidades con exceso de infraestructura de almacenes, como podría ser el caso de Sinaloa y de Tamaulipas; o bien entidades como Oaxaca y Guerrero, donde podría existir un déficit. En el primer grupo de estados no sería necesaria la inversión en infraestructura, pero sí sería urgente en el segundo grupo, ya que el exceso de demanda de almacenamiento podría llevar a un problema de aceptación de precios bajos.
En la Tabla 4 también se observa un cambio en la posición que cada estado tenía en la capacidad instalada de almacenes agrícolas en 1996. Al iniciar el TLCAN, Tamaulipas, Jalisco y Sonora registraban la participación más alta y Sinaloa se posicionaba en el decimoprimer lugar. El aumento de la superficie de cultivo de maíz en Sinaloa determinó que en 2019 esta entidad concentrara una quinta parte de la capacidad instalada nacional de almacenes, mientras que Jalisco seguía ocupando el segundo lugar. Tamaulipas pasó del primero al tercero y Sonora del tercer al cuarto lugar.
La demanda óptima de almacenamiento se obtuvo en los 32 estados de México y conviene mencionar que ésta corresponde a una situación óptima; es decir, aquella que se observaría en caso de que los flujos comerciales de maíz se realizaran considerando sólo los costos de trasporte que se introducen en el modelo. En la Tabla 5 se muestra que Chihuahua, Coahuila, Guanajuato, Jalisco, Nayarit, Sinaloa, Sonora y Tamaulipas cuentan con capacidad instalada de almacenes muy superior a la demanda de almacenamiento de maíz. Si se compara la capacidad instalada de almacenes con la demanda de almacenamiento de maíz, se puede constatar que la primera variable es muy superior a la segunda en los ocho estados seleccionados (véase Figura 3). En estas entidades no se requiere más infraestructura de almacenes para el maíz, debido a la alta capacidad instalada de éstos. Conviene mencionar que dicho exceso se debe a que sólo se considera la demanda de maíz; en realidad, los almacenes agrícolas pueden resguardar otros productos agrícolas e incluso productos industriales.


Una situación diferente se observó en la región sur. La Tabla 6 muestra la demanda óptima de almacenamiento en el año 2017-2018 y la capacidad instalada de los almacenes registrada por ASERCA (2019) para los tres estados del sur y otras entidades seleccionadas. En esta región se observa una concentración de la demanda de almacenamiento alta en diciembre, enero, febrero y marzo cuando tuvo más de 1.45 millones de toneladas para ser almacenadas. La demanda de almacenamiento en abril y mayo es menor que la de los meses anteriores, por más de un millón de toneladas. La Tabla 6 muestra que la demanda anual de almacenamiento es diferente en cada estado. La mayor demanda fue en Guerrero, Michoacán y Puebla, con un promedio mensual de 531, 447 y 444 mil toneladas, respectivamente.

En Chiapas, Veracruz, Hidalgo y Oaxaca, la demanda promedio mensual fue de 411 000, 260 000, 277 000 y 272 000 toneladas, respectivamente. La estacionalidad de la producción de maíz determinó que la demanda de almacenamiento sea diferente en cada mes. En Chiapas la mayor demanda fue en enero y febrero con 742 000 y 707 000 toneladas, respectivamente; en Guerrero, Michoacán y Oaxaca, la mayor demanda fue en enero con 888 000, 772 000 y 413 000 toneladas; y en Puebla fue en diciembre con 805 000 toneladas. La demanda de almacenamiento más baja fue en septiembre, cuando la producción presentó el nivel más bajo.
La capacidad de almacenamiento instalada en la actualidad en la región sur es de 996 000 toneladas, y 66.1% fue almacenamiento techado y el resto a la intemperie. Estos porcentajes difieren entre los estados. En Chiapas y Guerrero más de 65% de la capacidad instalada fue bajo techo; en Oaxaca apenas 44.4%. Hidalgo, Puebla, Tlaxcala y Veracruz tenían más de 70% en almacenamiento bajo techo.
En la región sur el almacenamiento techado se concentró en un estado. La Tabla 6 muestra que 74.5% de los depósitos y de los silos se encuentra en Chiapas. Guerrero y Oaxaca tienen una importante participación en la producción de maíz, pero tienen sólo 21.1 y 4.3% de la capacidad de almacenamiento instalada en la región sur.
Si se resta la demanda óptima de almacenamiento de la infraestructura de almacenamiento bajo techo, entonces se obtiene el exceso de capacidad instalada y la demanda por exceso de almacenamiento (véase Tabla 7). En cinco de los siete estados, la capacidad instalada bajo techo de los depósitos es menor que la demanda máxima de almacenamiento que existe durante algunos meses. En cinco de los siete estados seleccionados, la capacidad instalada bajo techo no es suficiente para almacenar 100% del maíz que requiere un manejo óptimo de inventarios (véanse Tabla 7 y Figura 4).


En la región sur, Chiapas tuvo una de las más altas demandas de almacenamiento con más de 700 000 toneladas en enero y febrero. Una demanda de almacenamiento alta indica que los productores deben almacenar excedentes de la producción porque la región consume en los meses siguientes. A pesar de tener el primer lugar en infraestructura techada en los almacenes, es decir 74.5% (490 mil toneladas), Chiapas mostró una gran demanda de almacenamiento entre diciembre y mayo. Los excesos más grandes fueron en enero, febrero y marzo, con 251 000, 217 000 y 125 000 toneladas, respectivamente (véase Tabla 7).
Guerrero tuvo infraestructura insuficiente. La distribución óptima requiere que los productores de la región almacenen más de 500 000 toneladas de diciembre a abril, pero la capacidad de la infraestructura techada está ligeramente por encima de 136 000 toneladas. Guerrero tuvo excesos de demanda de almacenamiento máximos en enero, febrero y marzo por 749 000, 716 000 y 650 000 toneladas, respectivamente (véase Tabla 7).
En Oaxaca el exceso de demanda máximo es en enero con 385 000 toneladas, y en Hidalgo es en diciembre con 616 000 toneladas. En Michoacán y Veracruz la infraestructura de almacenes agrícolas es suficiente. Si se considera el total de almacenamiento (cubierto y al aire libre), el problema de la capacidad insuficiente no existe en Chiapas, Michoacán y Veracruz. En cambio, Guerrero, Oaxaca e Hidalgo tendrían una demanda muy alta. En la región sur, Guerrero y Oaxaca tendrían excesos de demanda la mayor parte del año con un máximo de 702 000 y 352 000 toneladas en enero y febrero; Hidalgo, de octubre a febrero con un máximo de 586 000 toneladas en enero.
El problema será más crítico en el futuro debido a que Chiapas, Guerrero y Oaxaca tienen un gran potencial para aumentar la producción a través de programas gubernamentales, como los de precios de garantía y de fertilizantes, destinados a lograr un aumento en el rendimiento de maíz en las áreas de temporal. Estudios empíricos indican que los tres estados tienen potencial para aumentar la producción del grano en el futuro (García-Salazar y Ramírez-Jaspeado, 2012, p.78). Un incremento en la producción aumentará la demanda de almacenamiento y esto hará la situación más crítica. Guerrero y Oaxaca continuarán teniendo excesos de demanda de almacenaje durante algunos meses del año.
Las consecuencias de no contar con los almacenes agrícolas para los granos que se consumirán en el trascurso del año son negativas para el productor agrícola. Quienes destinan su maíz al mercado no tendrán posibilidad de mejorar su ingreso, pues deberán vender en el momento de la cosecha, que es cuando se presenta el problema de bajos precios debido al exceso de oferta. La última Encuesta Nacional Agropecuaria (INEGI, 2020) indica que 87.8% del grano se obtiene de pequeños productores y el restante 12.2% de los grandes. Si bien los pequeños dedican parte de su cosecha al autoconsumo, otra parte se destina a la venta en el mercado. El último Censo Agrícola, Ganadero y Forestal (INEGI, 2009) reporta la existencia de 306 000, 208 000 y 265 000 unidades de producción de maíz en el ciclo primavera-verano en los estados de Chiapas, Guerrero y Oaxaca, con un tamaño de predio de 2.3, 2.3 y 1.93 hectáreas, y con una cantidad de maíz de 4.2, 3.7 y 2.6 toneladas por unidad, respectivamente. El hecho de que la cantidad generada de maíz por unidad sea muy superior al consumo per cápita anual de maíz (0.127 toneladas) (FAO, 2020), indica que un porcentaje considerable se destina al mercado.
En caso de no contar con los almacenes necesarios, el productor que vende su maíz en el mercado no tendrá poder al negociar el precio de venta y quedará a merced de los intermediarios. Para aquellos productores de autoconsumo, que son a la vez consumidores de maíz, la falta de instalaciones adecuadas de almacenamiento originará el aumento de mermas por las plagas y enfermedades a las que es susceptible el maíz.
Por lo tanto, se recomienda implementar programas de inversión para infraestructura de almacenamiento en aquellas regiones con excesos de demanda alta. Esto ayudaría a evitar intermediarios y la temporada de caída de precios, y contribuiría a mejorar el abastecimiento de maíz y la comercialización entre regiones productoras y los consumidores. Además, beneficiaría la competitividad de los productores de maíz.
Conclusiones
De 1996 a 2019 la capacidad instalada de almacenes experimentó un crecimiento notorio al pasar de 9.66 a 39.59 millones de toneladas, aunque no fue homogéneo en las diferentes regiones de México, ya que el mayor crecimiento se observó en las regiones norte y occidente del país, lo que contrasta de manera evidente con la sur, donde se puede notar una disminución en los almacenes agrícolas.
La infraestructura de almacenamiento de techo superó la demanda óptima de almacenamiento en varios estados de México, lo que indica que los productores pueden implementar programas de inventario sin dificultad y evitar intermediarios y precios de temporada baja. En contraste, en Chiapas, Guerrero y Oaxaca (región sur de México) la capacidad de almacenamiento no es suficiente para los excedentes de producción en los meses de mayor cosecha. En Chiapas, Oaxaca y Guerrero no se pueden almacenar 251 000, 387 000 y 749 000 toneladas, respectivamente, con la infraestructura techada que existe en la actualidad. La falta de almacenes no puede resolverse en Guerrero y Oaxaca, aunque se considerara la infraestructura al aire libre, la capacidad instalada total no sería suficiente para almacenar los excedentes de producción que se generan.
El déficit de almacenes agrícolas en los estados del sur del país, como Chiapas, Guerrero y Oaxaca, hace necesaria la instrumentación de políticas públicas enfocadas en el mejoramiento y ampliación de los almacenes agrícolas existentes en la región. Se recomienda que los gobiernos federal y estatal brinden apoyo a los productores de maíz para que puedan ampliarlos. La demanda de almacenes agrícolas también puede ser una oportunidad de negocio para los inversionistas privados.
Referencias
Agencia de Servicios a la Comercialización y Desarrollo de Mercados Agropecuarios (ASERCA). (2019). Consulta de infraestructura de acopio. Centro de Información de Mercados Agroalimentarios. Recuperado de https://www.cima.aserca.gob.mx/es_mx/cima/sistema_consulta_infraestructura_acopio
Ayala-Garay, A. V., y Carrera-Chávez, B. (2008). Una reserva estratégica de alimentos: almacenes y bodegas en México. Revista Textual, Análisis del Medio Rural, 52, 75-95.
Banco de México (BANXICO). (2018). Tasas de interés en los mercados internacionales. Sistema de Información Económica. Recuperado de http://www.banxico.org.mx/SieInternet/consultarDirectorioInternetAction.do?sector=18&accion=consultarCuadro&idCuadro=CI34&locale=es
Bivings, E. L. (1997). The seasonal and spatial dimensions of sorghum market liberalization in Mexico. American Journal of Agricultural Economics, 79(2), 383-393. doi: 10.2307/1244137
Brooke, A., Kendrick, D., Meeraus, A., y Raman, R. (1998). GAMS, a Users Guide. Washington, D. C.: GAMS Development Corporation.
Consejo Nacional de Fabricantes de Alimentos Balanceados y de la Nutrición Animal, A. C. (CONAFAB). (2018). La industria alimentaria animal en México 2018. Recuperado de http://www.conafab.org/informativos/anuario-estadistico
Food and Agriculture Organization of the United Nations (FAO). (2020). New food balances. Recuperado de http://www.fao.org/faostat/en/#data/FBS
Food and Agricultural Research Policy Institute (FAPRI). (2018). Elasticities database. Recuperado de http://www.fapri.iastate.edu/tools/elasticity.aspx
García-Salazar, J. A., y Ramírez-Jaspeado, R. (2012). Demanda de semilla mejorada de maíz en México: identificación de usos y zonas de producción con mayor potencial de crecimiento. Texcoco: Centro Internacional de Mejoramiento de Maíz y Trigo.
García Salazar, J. A., y Santiago Cruz, M. de J. (2004). Importaciones de maíz en México: un análisis espacial y temporal. Investigación Económica, 53(250), 131-160. Recuperado de http://www.scielo.org.mx/scielo.php?script=sci_arttext&pid=S0185-16672004000400131
García-Salazar, J. A., Skaggs, R. L., y Crawford, T. L. (2011). PROCAMPO, the Mexican maize market and Mexican food security. Food Security, 3(3), 383-394. doi: 10.1007/s12571-011-0138-z
García Salazar, J. A. , y Williams, G. W. (2004). Evaluación de la política comercial respecto al mercado de maíz. Trimestre Económico, 71(281), 169-213. Recuperado de https://www.jstor.org/stable/20856811
Hernández Guzmán, J. A., y Carballo Carballo, A. (2003). Almacenamiento y conservación de granos y semillas. Recuperado de http://www.sagarpa.gob.mx/desarrolloRural/Documents/fichasaapt/Almacena-miento%20de%20semillas.pdf
Instituto Nacional de Estadística y Geografía (INEGI). (2009). Censo Agrícola, Ganadero y Forestal 2007. Recuperado de https://www.inegi.org.mx/programas/cagf/2007/default.html#Tabulados
Instituto Nacional de Estadística y Geografía (INEGI). (2010). XIII Censo de Población y Vivienda 2010. Recuperado de https://www.inegi.org.mx/programas/ccpv/2010/
Instituto Nacional de Estadística y Geografía (INEGI). (2014). Censos Económicos 2014. Recuperado de https://www.inegi.org.mx/programas/ce/2014/
Instituto Nacional de Estadística y Geografía (INEGI). (2018a). Financiero y bursátil. Banco de Información Económica. Recuperado de https://www.inegi.org.mx/sistemas/bie/
Instituto Nacional de Estadística y Geografía (INEGI). (2018b). Precios, índice nacional de precios al consumidor. Recuperado de https://www.inegi.org.mx/temas/inpc/
Instituto Nacional de Geografía y Estadística (INEGI). (2020). Encuesta Nacional Agropecuaria 2017. Superficie cultivada a cielo abierto y producción de cultivos anuales y perennes de grandes y resto de productores por cultivo con representatividad en la muestra. Recuperado de https://www.inegi.org.mx/programas/ena/2017/default.html#Tabulados
Martínez-Jiménez, A., García-Salazar, J. A., y Mora-Flores, J. S. (2015). Capacidad de almacenes y demanda de almacenamiento de maíz (Zea mays L.) en el estado de Chiapas, México. Agrociencia 49(6), 689-702. Recuperado de http://www.scielo.org.mx/pdf/agro/v49n6/v49n6a8.pdf
Ortiz Rosales, M. A., Ramírez Abarca, O., González Elías, J. M., y Velázquez Monter, A. (2015). Almacenes de maíz en México: tipología y caracterización. Estudios Sociales, 23(45), 165-184. Recuperado de http://www.scielo.org.mx/pdf/estsoc/v23n45/v23n45a7.pdf
Presidencia de la República. (2018). Sexto informe de gobierno, 2017-2018, anexo estadístico. Recuperado de http://cdn.presidencia.gob.mx/sextoinforme/informe/6_IG_Anexo_Estadistico.pdf
Secretaría de Agricultura, Ganadería y Desarrollo Rural (SAGAR). (1996). Anuario Estadístico de Producción y Comercialización de Maíz.
Secretaría de Agricultura, Ganadería, Desarrollo Rural, Pesca y Alimentación (SAGARPA). (2007). Situación actual y perspectivas del maíz en México 1996-2012. Recuperado de http://www.campomexicano.gob.mx/portal_siap/Integracion/EstadisticaDerivada/ComercioExterior/Estudios/Perspectivas/maiz96-12.pdf
Secretaría de Agricultura, Ganadería, Desarrollo Rural, Pesca y Alimentación-Fideicomiso de Riesgo Compartido-Comité Nacional Sistema Producto Oleaginosas-Colegio de Postgraduados (SAGARPA-FIRCO-CNSPO-CP). (2009). Estudio de gran visión y factibilidad económica y financiara para el desarrollo de infraestructura de almacenamiento y distribución de granos y oleaginosas para el mediano y largo plazo a nivel nacional. Texcoco: Colegio de Postgraduados.
Secretaría de Comunicaciones y Transportes (SCT). (2018). Tarifa máxima de flete de los factores de cobro para el servicio de carga regular. Recuperado de https://www.gob.mx/cms/uploads/attachment/file/299699/Tarifa_de_Carga_Regular_KCSM_2018.pdf
Servicio de Información Agroalimentaria y Pesquera (SIAP). (2018). Cierre de la producción agrícola. Anuario Estadístico de Producción Agrícola. Recuperado de https://nube.siap.gob.mx/cierreagricola/
Servicio de Información Agroalimentaria y Pesquera (SIAP). (2019a). Avances de siembras y cosecha por estado, resumen por cultivo. Recuperado de http://infosiap.siap.gob.mx:8080/agricola_siap_gobmx/ResumenDelegacion.do
Servicio de Información Agroalimentaria y Pesquera (SIAP). (2019b). Consulta por fracción arancelaria. Indicadores Económicos. Recuperado de https://w6.siap.gob.mx/comercio/AjaxFraccs/conajaxFracc.gobmx.php
Servicio de Información Agroalimentaria y Pesquera (SIAP). (2019c). Balanza, disponibilidad-consumo de maíz amarillo y maíz blanco. Cosechando Números del Campo. Recuperado de http://www.numerosdelcampo.sagarpa.gob.mx/publicnew/productosAgricolas
Takayama, T., y Judge, G. G. (1971). Spatial and Temporal Price and Allocation Models. Amsterdam: North-Holland Publishing Co.
Vázquez Badillo, M. E., y Moreno Martínez, E. (2016). Post-cosecha de granos. Claridades Agropecuarias, 271, 3-6. Recuperado de https://info.aserca.gob.mx/claridades/revistas/271/ca271-3.pdf
Notas