Artículos
Las plantas potabilizadoras en el río Sonora: una revisión de la recuperación del desastre
Water Treatment Plants in the Sonora River: A Disaster Recovery Review
Las plantas potabilizadoras en el río Sonora: una revisión de la recuperación del desastre
Región y sociedad, vol. 33, e1416, 2021
El Colegio de Sonora
Recepción: 11 Noviembre 2020
Aprobación: 16 Marzo 2021
Resumen: Objetivo: examinar qué elementos de la estrategia de instalación de plantas potabilizadoras propuestas en el Fideicomiso Río Sonora fueron implementados. Metodología: mediante trabajo de campo y recopilación documental se revisó la calidad de operación de las potabilizadoras y se contrastó su ubicación con los resultados del monitoreo de calidad del agua del fideicomiso. Resultados: varios de los sitios más contaminados no cuentan con planta potabilizadora. Algunas de las plantas instaladas no son las más adecuadas en términos técnicos y tienen deficiencias en la operación. Limitaciones: aunque se solicitó varias veces a las dependencias correspondientes información sobre las plantas, sólo enviaron algunas características técnicas. Valor: alto mérito empírico para el estudio de los componentes de la recuperación de desastres mineros. Conclusiones: Además de que algunos de los sitios más contaminados no cuentan con planta, hay una incorrecta implementación de las plantas potabilizadoras y un insuficiente seguimiento a la etapa de recuperación del desastre.
Palabras clave: río Sonora, minería, derrame, agua, recuperación del desastre.
Abstract: Objective: to examine which of the elements of the water treatment plants installation strategy proposed in the Sonora River Trust were effectively executed. Methodology: though fieldwork and documentary compilation, plants’ operation quality was assessed and their location was contrasted with the results of the Trust’s water quality monitoring. Results: Some of the most contaminated sites do not have a water treatment plant. Some of the installed plants are not the most technically suitable and have operation’s shortcomings. Limitations: although information on the plants was requested several times to the corresponding agencies, they only sent some technical characteristics. Value: high empirical value for the mining disasters recovery components study. Conclusions: in addition to the fact that in the most polluted places there are not plants, there is an incorrect treatment plants implementation and insufficient disaster recovery stage follow-up.
Keywords: Sonora River, mining, spill, water, disaster recovery.
Introducción
El 6 de agosto de 2014 ocurrió un derrame de lixiviado ácido de la mina Buenavista del Cobre, propiedad de Grupo México. En total fueron 40 000 metros cúbicos (m3) (40 millones de litros) de solución de sulfato de cobre acidulado que contaminaron el agua de los ríos Bacanuchi y Sonora y afectaron a más de 22 000 habitantes de los pueblos y comunidades ubicados en los márgenes de estos ríos (Díaz, Duarte, Pallanez, Moreno, Mejía y Durazo, 2018). En un reporte publicado en agosto de 2015 se informó que, un año después del derrame, había 360 casos de enfermedades relacionadas con el evento (Gobierno de la República, 2015a, p. 15).
Cinco semanas después del derrame, el 15 de septiembre, la compañía minera Buenavista del Cobre y la Operadora de Minas e Instalaciones Mineras, en calidad de fideicomitentes, crearon un fondo denominado Fideicomiso Río Sonora (FRS), con Nacional Financiera, como institución de banca de desarrollo y fiduciaria. Con el FRS se realizaron pagos por los daños ocasionados a la demanda de agua. Se incluyeron las labores de abastecimiento para uso doméstico, ya que, debido a la contingencia, se suspendió la operación de 34 pozos en distintas comunidades del río Sonora. Además, se anunció un monitoreo permanente de la calidad del agua de éstos durante cinco años (Gobierno de la República, 2015b, p. 8).
De central importancia para este trabajo es el anuncio hecho a inicios de 2015, en el cual se indicó que se instalarían 37 plantas potabilizadoras para eliminar metales en las poblaciones afectadas (Gobierno de la República, 2015b, p. 8). De este anuncio, surge la pregunta de investigación: en cuanto a la estrategia del FRS para su instalación, ¿qué medidas se llevaron a cabo para la recuperación del desastre?
Para responder a esta pregunta se analizaron varios puntos. En primer lugar, se contrastó la ubicación de las plantas con respecto a los resultados del monitoreo de calidad del agua de los pozos de acuerdo con la base de datos de 2014-2018 que aparece en la página oficial del FRS. Después, se revisaron los modelos de las plantas potabilizadoras fijas, instaladas en seis localidades del río Sonora, con base en la información que proporcionó la Comisión Nacional del Agua (CONAGUA, 2020). Por último, mediante visitas de campo para revisarlas y entrevistar a los encargados del agua, se examinó cómo se desarrolló tanto la instalación como la operación con el objeto de identificar las dificultades que han tenido en su funcionamiento.
Antecedentes
La minería es una de las actividades económicas que ocasionan más daños socioambientales. A lo largo de los años y a escala global se han producido distintos desastres ambientales y conflictos sociales asociados con este sector económico (Jacka, 2018). Entre los principales impactos se encuentran la destrucción de la corteza terrestre, la contaminación de las aguas y la afectación a la flora y a la fauna del entorno próximo a la explotación minera (Dávila, Díaz, Navarro y Méndez, 2018). Así mismo, se presentan efectos negativos en la salud humana, tanto de las poblaciones cercanas a la mina como de las comunidades lejanas, pero conectadas a ésta de alguna forma, ya sea por medio de un río o camino (Díaz-Caravantes, Duarte-Tagles y Durazo-Gálvez, 2016).
En las últimas tres décadas se reportaron 144 accidentes mineros en el mundo relacionados con fallas en las presas de jales. Casi la mitad de ellos (47%) ocurrió en el periodo 1985-1996, de los cuales 37% se presentó en Estados Unidos. El accidente de Buenavista del Cobre en Cananea se consideró “otro tipo de falla” en presas (ya que fue en una presa de lixiviación) y de ingeniería en las instalaciones, y se clasificó de muy grave o grave, sin pérdida de vidas (Roche, Thygesen y Baker, 2017, pp. 26-27).
Entre los casos alrededor del mundo relacionados con los daños ocasionados por la minería, destacan el de Aznalcóllar, España, donde, en 1998, debido a la ruptura en la presa de la mina Apirsa de Boliden, se produjo una inundación de relaves y agua. Éstos fluyeron por el curso natural del río, afectando 4 634 hectáreas de terreno a lo largo de 40 kilómetros de ribera y tierras agrícolas, de las cuales 2 600 hectáreas quedaron cubiertas de desechos tóxicos (Emery, 2005).
Otro caso es el de la minera Yanacocha en Perú, en su explotación de oro en el cerro Quilish, ubicado en las subcuencas de los ríos Grande y Porcón. Estos ríos son las principales fuentes de abastecimiento de agua para la población de Cajamarca. Entre los recursos afectados por la contaminación están las fuentes de agua. La Dirección Regional de Agricultura recibió numerosas demandas legales en contra de la minera por la contaminación de al menos cuatro canales de riego que abastecen a cerca de mil familias (Arana, 2012).
Según el Observatorio de Conflictos Mineros en América Latina (OCMAL), de los 284 conflictos registrados, México es el país que muestra el mayor número (58), uno de los cuales corresponde a la localidad de Cananea, tanto por razones laborales (desde la huelga de 2007) como ambientales (desde el derrame de 2014) (OCMAL, 2021).
De acuerdo con Albert y Jacott (2015, pp. 111-112), entre 1972 y 2015 se registraron 119 accidentes y emergencias ambientales en México que impactaron 1 212 localidades. Un caso fue el derrame de sustancias tóxicas sobre el río Sonora en 2014, que afectó a más de 22 mil habitantes de siete municipios. Las autoras consideran que, con independencia de su causa, las emergencias ambientales en el país siguen un patrón común: falta de previsión, falta de capacidad para enfrentarlas, comunidades afectadas y desamparadas, omisiones de todo tipo y colusión oficial con las empresas (p. 224).
Muchos de los accidentes y emergencias ambientales relacionados con la industria extractiva de minerales se consideran desastres (Toscana y Hernández, 2017). Según la Estrategia Internacional para la Reducción de Desastres de las Naciones Unidas (UNISDR por su sigla inglesa), un desastre se define como “una interrupción grave del funcionamiento de una comunidad o sociedad que implica pérdidas e impactos humanos, materiales, económicos o ambientales generalizados, que excede la capacidad de la comunidad o sociedad afectada para hacer frente con sus propios recursos” (UNISDR, 2009, p. 9). En sintonía con la definición anterior, en México, la Ley General de Protección Civil (LGPC) denomina desastre el “resultado de la ocurrencia de uno o más agentes perturbadores severos y/o extremos […] que por su magnitud exceden la capacidad de respuesta de la comunidad afectada” (LGPC, 2020, p. 2). Para los estudiosos del caso del río Sonora, el derrame de 2014 puede también considerarse un desastre, debido a las pérdidas económicas, culturales y, por supuesto, de salud (Luque y Murphy, 2020; Toscana y Hernández, 2017). También el entonces titular de la Secretaría de Medio Ambiente y Recursos Naturales (SEMARNAT) lo declaró “el peor desastre ambiental de la industria minera del país” (Enciso, 2014).
La reducción de riesgo de desastres (RDD) implica esfuerzos sistemáticos dirigidos al análisis y a la gestión de los factores causales de los desastres (UNISDR, 2009, p. 10), que incluyen la disminución de los componentes de riesgos: amenaza, exposición y vulnerabilidad (Díaz, 2018; Orozco y Rodríguez, 2020). Por supuesto, la prevención de riesgos es una parte fundamental para evitar futuras contingencias. Sin embargo, el caso del derrame tóxico en el río Sonora, más que un riesgo, es un daño de hecho. En este sentido, el aspecto que más se aplica de la RRD es el de la etapa de recuperación, la cual implica “la restauración y el mejoramiento, cuando sea necesario, de los planteles, instalaciones, medios de sustento y condiciones de vida de las comunidades afectadas por los desastres, lo que incluye esfuerzos para reducir los factores del riesgo de desastres” (UNISDR, 2009, p. 23).
En la ley de Protección Civil de México también se incluye el término recuperación, entendido como un “proceso que inicia durante la emergencia, consistente en acciones encaminadas al retorno a la normalidad de la comunidad afectada” (LGPC, 2020, p. 6). No obstante, ni en esta ley ni en el Programa Nacional de Protección Civil vigente en 2014, a pesar de su potencial catastrófico, los riesgos asociados con la minería forman parte de las estrategias (Toscana y Hernández, 2017, p. 8); es decir, no existe una normatividad o manual de cuáles son los componentes de la etapa de recuperación en caso de daños por derrames de origen minero.
A escala global, una de las referencias para la RRD asociada con los desastres mineros es la Guía para la industria minera con el fin de promover la concientización y preparación para emergencias a nivel local (APELL por su sigla inglesa) que elaboró el Programa de las Naciones Unidas para el Medio Ambiente (PNUMA) (2004). Éste es un instrumento diseñado para promover un proceso de comunicación efectiva -en especial entre el personal de la compañía, los representantes de las comunidades y las autoridades locales- sobre los riesgos existentes y la planificación de la respuesta que sería brindada en caso de producirse una emergencia.
En el documento APELL se mencionan los elementos clave de un plan de respuesta de emergencia, entre los cuales rescatamos, en relación con el suministro del agua, los siguientes: a) un suministro de agua potable alterno en caso de que se contamine el suministro local; b) un entrenamiento y monitoreo especializado ante peligros, como tratar con humos químicos o la polución del agua; c) un acceso a la información sobre cómo tratar los peligros químicos que esté disponible para la población (PNUMA, 2004).
Así mismo, El manual esfera (Sphere, 2018), elaborado a partir de la experiencia internacional de diferentes asociaciones públicas y privadas especialistas en desastres, contiene recomendaciones para el abastecimiento de agua, saneamiento y promoción de la higiene (WASH, por su sigla en inglés), las cuales establecen la necesidad de gestionar toda la cadena relacionada con el agua (abastecimiento, tratamiento, distribución, almacenamiento y consumo) para reducir los riesgos a la salud pública (Sphere, 2018).
La finalidad general del Fideicomiso Río Sonora (FRS) era servir, en primer lugar, como fuente y medio de pago para llevar a cabo las medidas de remediación, reparación y compensación de los daños al ambiente y a la salud humana que causó el derrame y, en segundo lugar, como mecanismo de pago con respecto a las reclamaciones por afectaciones materiales causadas a las personas, como desabasto de agua para uso doméstico, agrícola y pecuario, como consecuencia directa de la eventualidad.
El monto de los recursos financieros destinados al fideicomiso fue de 2 000 millones de pesos. De acuerdo con el convenio, este monto podría incrementarse en la medida y los alcances que fueran determinados en los resultados, estudios y dictámenes técnicos desarrollados en el Programa de Remediación que la empresa presentaría a la SEMARNAT (FRS, 2017, pp. 34-35). En materia de agua, el FRS realizó pagos por los daños ocasionados a la demanda de ésta en relación con las labores de acarreo, distribución y almacenamiento en pozos, cisternas o cualquier otro medio derivado de la escasez que causó el derrame. Este pago se realizó en una sola exhibición por un monto de 15 350 pesos por cada toma de agua potable en el hogar. Otros pagos fueron por la instalación de tinacos, la rehabilitación de pozos y el suministro de agua en pipas. Del total de 1 231 millones de pesos que ejerció el FRS, 44% se destinó a los cuatros rubros anteriores (Lamberti, 2018, p. 16).
En lo que se refiere a la instalación de plantas potabilizadoras, en enero de 2015 se informó que serían 37 las destinadas a eliminar metales para la protección de la población (Gobierno de la República, 2015b, p. 8). Después, en agosto del mismo año, el gobierno federal informó que las plantas potabilizadoras se instalarían “en todas las ciudades del río Sonora” (Gobierno de la República, 2015a, p. 10).
En abril de 2015, se inició el proceso de instalación de la planta potabilizadora de Bacanuchi, para la cual el Instituto Mexicano de Tecnología del Agua (IMTA) propuso la tecnología de filtración directa. En noviembre del mismo año, el FRS aprobó la realización de los trabajos por un monto de 4.7 millones de pesos, los cuales concluyeron en enero de 2016. El Colegio de Ingenieros Ambientales de México, Asociación Civil supervisó la construcción de la instalación.
A principios de 2016, el titular de la SEMARNAT informó que uno de los resultados inmediatos del FRS fue el comienzo de la construcción de 28 plantas potabilizadoras equipadas con la más alta tecnología para suministrar agua potable, libre de metales pesados y apegada a la Norma Oficial Mexicana (NOM)-127 de la Secretaría de Salud (SEMARNAT, 2016).
No obstante que los compromisos planteados de manera pública aún no habían sido cumplidos, en febrero de 2017 se declaró la extinción del Fideicomiso, el cual sólo ejerció 60% del dinero comprometido para remediar los daños.
Según se cita en un informe, el 10 de abril de 2017, en un acto público, la gobernadora del estado de Sonora anunció que Grupo México había decidido reducir a sólo nueve el número de plantas potabilizadoras para instalarse en los pueblos afectados y que ya no se completaría el proyecto de la denominada Unidad de Vigilancia Epidemiológica y Ambiental de Sonora (UVEAS). La justificación fue que los niveles de contaminación en el río Sonora ya se encontraban estabilizados: “Tanto el monitoreo de CONAGUA como el de COFEPRIS [Comisión Federal para la Protección contra Riesgos Sanitarios] vía UVEAS, el indicativo que nos da de ese fenómeno es que está estabilizado y por esa razón las propuestas que está haciendo Grupo México son en ese orden” (Comités de Cuenca Río Sonora [CCRS] y Proyecto sobre Organización, Desarrollo, Educación e Investigación [PODER], 2018, p. 23). De acuerdo con este informe, la empresa indicó que la razón para no completar estas obras es que sería irresponsable hacerlas, “puesto que las autoridades municipales no tenían capacidad para explotarlas” (CCRS y PODER, 2018, p. 23).
En mayo de 2018, del total de las plantas prometidas, sólo se habían construido cinco en las localidades de Banámichi, San Felipe de Jesús, La Capilla, Mazocahui y San Rafael de Ures, las cuales fueron inauguradas en marzo de 2018, pero ninguna funcionaba; tampoco las cuatro plantas potabilizadoras móviles (CCRS y PODER, 2018, p. 22). A su vez, la planta de Bacanuchi no operaba por falta de recursos para pagar la energía eléctrica necesaria para su funcionamiento (Lamberti, 2018, p. 16).
Área de estudio
El río Sonora nace en la Sierra de Magallanes, al oriente de Cananea. En la cuenca alta, su trayectoria general es hacia el sur. La cuenca Río Sonora tiene una superficie de 30 913 kilómetros cuadrados (km2). Pertenece a la región hidrológica nueve (RH9) de la CONAGUA. Su topografía es de forma irregular y accidentada, con elevaciones que van de los 0 a 2 620 metros (m) sobre el nivel del mar (CONAGUA, 2013).
El río Sonora ocupa el tercer lugar en el estado en cuanto a extensión de cuenca y magnitud de aportaciones, las cuales se almacenan en las presas Rodolfo Félix Valdés (El Molinito) y Abelardo L. Rodríguez, con una capacidad de 130 hectómetros cúbicos (hm3) y 219.5 hm3, respectivamente. Las precipitaciones en la cuenca del río Sonora, según los datos de la CONAGUA de 1961 a 2018, tienen una media histórica de 387 milímetros (mm) al año, que va desde 460 mm en la parte alta de la cuenca a 324 mm en la parte más baja. Del total de los 57 años registrados, 38 han estado por debajo de la media histórica (CONAGUA, 2019).
Los usos del agua en la cuenca del río Sonora lo son sobre todo de aguas subterráneas. Como se observa en la Tabla 1, del poco más de 1 000 hm3 de las concesiones inscritas en el Registro Público de Derechos de Agua (REPDA) en 2014, casi 80% correspondía a agua subterránea.

A partir de la información de la Tabla 1, se observa que en la región del río Sonora, en cuanto a los derechos del agua subterránea, 84% del volumen se destina al uso agrícola y 11% al uso público urbano. En relación con los derechos del agua superficial, 73% del volumen se destina al uso público urbano y 27% al uso agrícola.
En la cuenca del río Sonora se encuentran diez acuíferos, de los cuales seis están sobreexplotados (Costa de Hermosillo, Mesa del Seri-La Victoria, Río Bacanuchi, Río Bacoachi, Sahuaral y Río Zanjón) y cuatro tienen disponibilidad de extracción (La Poza, Santa Rosalía, Río Sonora y Río San Miguel). El acuífero Costa de Hermosillo tiene en la actualidad problemas de intrusión salina (Vega-Granillo, Ciret-Galán, Parra-Velasco y Zavala-Juárez, 2011).
La cuenca del río Sonora está conformada por ocho municipios: Arizpe, San Felipe de Jesús, Aconchi, Banámichi, Bacoachi, Huépac, Baviácora y Ures, con una población, en 2015, de 21 949 habitantes (Instituto Nacional de Estadística y Geografía [INEGI], 2015).
Datos y métodos
Determinación de los sitios con mayor cantidad de metales
Después del derrame se realizó un monitoreo de calidad del agua a lo largo de los ríos afectados, financiado por el FRS. Éste aparece en la página web del fideicomiso: www.fideicomisoriosonora.gob.mx (SEMARNAT, 2015).
En la base de datos de calidad del agua del FRS, aparecen 33 sitios de muestreo de agua subterránea y 38 de muestreo de agua superficial. Los primeros corresponden a los pozos que abastecen del líquido a las comunidades para uso doméstico, antes de cualquier tipo de potabilización. En la Figura 1, se observa la ubicación de los sitios de muestreo subterráneo. Además, al lado derecho del nombre del sitio, entre paréntesis, se indican los lugares que cuentan con planta potabilizadora, fija o móvil.

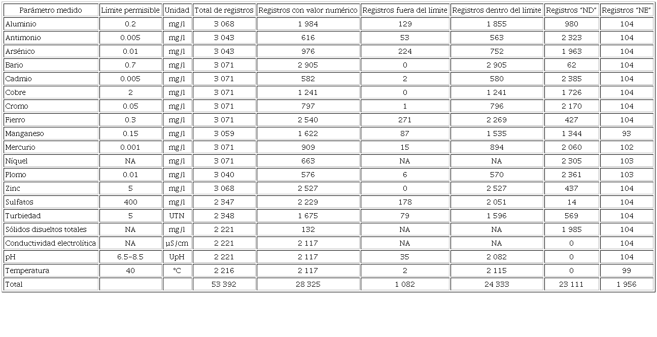
El monitoreo de agua subterránea se llevó a cabo entre agosto de 2014 y noviembre de 2018, y comprendió 53 392 registros, correspondientes a 19 parámetros analizados. Del total de registros, 53% (28 325) corresponde a datos con algún valor numérico especificado; 43% (23 111) contenía la leyenda “ND” y 4% (1 956), la leyenda “NE”. Los parámetros sulfatos, turbiedad, sólidos disueltos totales, conductividad eléctrica, potencias de hidrógeno (pH) y temperatura tienen registro a partir de diciembre de 2014; el resto comenzó en agosto de ese mismo año. La etiqueta “ND” significa que el resultado de la muestra es un valor menor que el expresado en la celda, es decir, que el valor es menor que el que el instrumento de medición puede detectar; por lo tanto, se encuentra por debajo del parámetro permisible. Por otro lado, la etiqueta “NE” significa que no se efectuó el análisis (INFOMEX, 2016).
En la Tabla 2 se observan los resultados de las muestras de agua subterránea que aparecen en el sistema de monitoreo de calidad del FRS. De los 19 parámetros observados, la mayor parte se contrastó según la norma oficial mexicana NOM-127-SSA1 (Diario Oficial de la Federación[DOF], 2000), excepto el arsénico y el antimonio, para los cuales se consideraron las guías de la Organización Mundial de la Salud (OMS) (World Health Organisation [WHO], 2011). En el caso del arsénico, se optó por seguir la guía de la OMS, porque establece una mayor calidad de agua que la NOM: para ésta última existen doce casos fuera del límite (0.025 miligramos por litro [mg/l]) y para la guía de la OMS, existen 224 casos que exceden la guía sugerida (0.01mg/l). Para el antimonio no hay un parámetro aplicable en la NOM, por lo que se tomó el de la guía de la OMS.

Tres de los parámetros no están considerados en la NOM y tampoco se especifica un criterio en la guía de la OMS. Éstos son níquel, sólidos disueltos totales y conductividad electrolítica, por lo que no fue posible tomarlos en cuenta para el análisis. Se registran como NA (no aplica) en la Tabla 2.
Con base en los resultados de la Tabla 2, se seleccionaron los nueve parámetros que presentaron mayor número de casos fuera del límite permisible para los parámetros de la NOM-127-SSA1 o de la guía de la OMS: fierro (271), arsénico (224), sulfatos (178), aluminio (129), manganeso (87), turbiedad (79), antimonio (53), pH (35) y mercurio (15). Otros siete parámetros (plomo, cadmio, temperatura, cromo, bario, cobre y zinc) tuvieron seis o menos casos distribuidos en diferentes sitios de muestreo, por lo que se descartaron para el análisis de resultados.
Operación de las plantas potabilizadoras fijas
Como se mencionó en los antecedentes, en 2018 se habían instalado seis plantas potabilizadoras fijas ubicadas en Bacanuchi, Banámichi, San Felipe de Jesús, La Capilla, Mazocahui y San Rafael de Ures. Además, se contaba con cuatro de ellas, pero móviles, ubicadas en Arizpe, Huépac, Aconchi y Baviácora (CONAGUA, 2020). Tomando en cuenta el carácter permanente que supone una planta potabilizadora fija en comparación con una móvil, que puede ser reubicada por un vehículo de forma casi expedita, este estudio se enfoca en examinar la operación del primer tipo. En el recorrido realizado en las plantas potabilizadoras fijas para verificar el funcionamiento y la instalación, se entrevistó, entre febrero y junio de 2019, a las personas encargadas de su operación o quienes estuvieran relacionadas con el tema. En las visitas se tomaron evidencias fotográficas, como se puede ver en la Figura 2.

En las comunidades se entrevistó a las personas relacionadas con el manejo del agua. En los casos de San Felipe de Jesús y Banámichi, por tratarse de cabeceras municipales, se entrevistó a los directores del agua del gobierno municipal. En las demás localidades, al no tratarse de cabeceras, se entrevistó a los encargados del agua en la comunidad (véase Tabla 3).

Resultados y discusión
Determinación de sitios con mayor cantidad de metales
En la Tabla 4 aparecen, según el sitio de muestreo, los nueve parámetros que presentaron mayor número de casos, ordenados de mayor a menor frecuencia de registros fuera de la NOM o de la guía de la OMS (para el caso del arsénico y antimonio). Con base en esta información, está claro que el agua contenía concentraciones de químicos nocivos para la salud, lo que significa que no era apta para el uso doméstico. Por ello, era necesario depurarla de metales pesados y para ello se decidió la construcción de las plantas potabilizadoras.

Como se observa en la Tabla 4, los sitios de muestreo de agua subterránea, correspondientes a los pozos que abastecen de agua doméstica a las comunidades y que presentan mayor frecuencia de muestras fuera del límite, son Puerta del Sol, La Labor, San Rafael de Ures y El Molinito. De los 33 sitios, sólo 6 cuentan con una planta potabilizadora fija, instalada bajo los acuerdos del FRS. Es importante resaltar que sitios con un elevado número de muestreos fuera de la norma y guía, como Puerta del Sol, La Labor, El Molinito, Ures, San José de Gracia, Guadalupe de Ures, Topahue, San Pedro de Ures, entre otros, no cuentan con potabilizadora, ni fija ni móvil, en su comunidad.
Son conocidos los efectos tóxicos de algunos metales pesados (manganeso, mercurio y plomo) y metaloides (arsénico y antimonio) reportados en la base de datos del FRS. Los mecanismos principales causantes del daño ocurren por la interferencia de estos elementos en el nivel enzimático y replicación celular, lo cual puede afectar diversos órganos del cuerpo, como el hígado, los riñones, el sistema nervioso o producir cáncer (Maldonado, González y Jaramillo, 2009).
El arsénico inorgánico es considerado un carcinógeno que puede producir cáncer de piel, de pulmón, de vejiga, de hígado y de próstata. También se ha reportado que se asocia con la diabetes mellitus, efectos neurológicos, trastornos cardíacos y de los órganos reproductivos (Hong, Song y Chung, 2014). Por otro lado, el manganeso se ha relacionado con efectos neuro-cognitivos y neuro-motores, sobre todo en niños (Henn et al., 2010).
Cabe señalar que, en el caso del agua subterránea, no se cumplió la promesa inicial del FRS de monitorear su calidad durante cinco años, ya que dicho monitoreo sólo se realizó durante los primeros cuatro años, según se aprecia en la página oficial del FRS. Así mismo, ningún documento consultado señala el compromiso de tiempo garantizado en la operación de las plantas potabilizadoras ni se sabe el criterio de selección de las comunidades. Al respecto, la investigación que realizó una asociación civil sobre la operación del FRS señaló:
la información pública disponible en este portal se encuentra desactualizada desde julio de 2015 y no contiene información que permita a los beneficiarios, a los habitantes de Sonora y al público en general, conocer la justificación de la toma de decisiones en torno a este fideicomiso y del ejercicio de los recursos, por ejemplo, no cuenta con ningún documento que señale de manera formal el balance de daños del derrame, informes de cumplimento con los fines del fideicomiso, cómo han sido recibidas las medidas de satisfacción y las actas o minutas de sesiones del Comité Técnico, entre otras. (Fundar, 2018, p. 71)
Operación de las plantas potabilizadoras fijas
De acuerdo con la información que proporcionó la CONAGUA (2020),1 el equipamiento de las plantas potabilizadoras utilizó tecnología española de la empresa Azud.

A continuación, se resumen las características de los tipos de plantas, según la información publicada en la página de la empresa Azud (2020):
La diversidad de modelos de plantas potabilizadoras que se instalaron no necesariamente responde a la calidad del agua que se supone van a tratar; es decir, algunos modelos están diseñados para garantizar la calidad microbiológica (por ejemplo, Banámichi), pero no son los más adecuados para remover metales pesados y arsénico. La información que proporcionó la CONAGUA sugiere que algunos modelos fueron modificados al instalarse (por ejemplo, presencia o no de pirolusita), pero no se advierte una justificación de tipo técnico para tal ajuste, ya que la acción conjunta de zeolita y pirolusita, como materiales filtrantes, es una de las características que hacen competitivas a esas plantas, de acuerdo con lo que ha manifestado la compañía Azud.
El que se hayan instalado las potabilizadoras no garantiza que estén operando de manera correcta. Por tal razón, además de recopilar la información sobre las plantas fijas, se realizó un recorrido de campo para ver las condiciones y funcionamiento. Éste consistió en cinco visitas realizadas entre febrero y junio de 2019. En el recorrido se observó que, en la mayoría de los lugares, las plantas no estaban operando por diferentes motivos: el costo de la energía eléctrica, su inadecuada ubicación y la falta de los insumos necesarios para el proceso de purificación, entre otros. Esta información se detalla en la Tabla 6.

En los recorridos de campo se preguntó a los encargados del agua sobre la experiencia que habían tenido con la operación de las plantas potabilizadoras y la mayoría concluyó que presentaba problemas de funcionamiento. Uno de los casos más problemáticos fue el de Mazocahui, donde, debido a la ubicación de la planta, con poca altitud y una red inadecuada, no había suficiente presión para abastecer más allá de un pequeño sector aledaño a las instalaciones. Por esta razón, preferían no utilizarla.
Un problema recurrente estaba asociado con los costos de operación y mantenimiento de la planta. Cuando se cuenta con paneles solares, éstos están sujetos a que haya una importante cantidad de irradiación solar, lo cual es un problema en los meses del monzón de América del Norte (julio, agosto y septiembre) y durante las lluvias de invierno (enero, febrero y marzo). Por otra parte, las que tienen generador eléctrico a base de combustible, se encuentran con el problema de los altos costos para su funcionamiento.
El suministro de energía eléctrica por medio de la red parecería ser la solución permanente a los problemas que conllevan los paneles solares y los generadores de energía. Sin embargo, aun contando con este servicio, se pueden producir nuevos problemas, ya que las comunidades, como en el caso de San Rafael de Ures, no cuentan con los recursos suficientes para absorber los costos del servicio de energía eléctrica.
Del documento APELL del PNUMA se pueden rescatar algunas ideas que es necesario implementar para el caso del río Sonora. La primera es sobre la necesidad de un monitoreo especializado para tratar problemas de polución del agua (PNUMA, 2004). El caso de las plantas potabilizadoras del río Sonora ha carecido de un seguimiento adecuado, y prueba de ello son las deficiencias en su implementación, pues su ubicación no responde a los resultados de calidad de agua que ha registrado el FRS a lo largo de los cuatro años monitoreados. Otro aspecto fundamental del documento APELL es la comunicación y la planificación efectiva entre el personal de la compañía, los representantes de las comunidades y las autoridades gubernamentales (PNUMA, 2004). El hecho de que cuatro de las seis plantas potabilizadoras fijas no estuvieran funcionando y dos de éstas sólo lo hicieran de forma intermitente, deja ver la falta de una planificación efectiva y suficiente para su implementación y operación.
Esta falta de planificación se debe en parte a los vacíos institucionales en el manejo de agua potable para uso urbano y doméstico. Desde la década de 1980, el gobierno federal fue descentralizando de forma gradual la administración del servicio de agua potable, alcantarillado y saneamiento para adjudicársela a los municipios con la concurrencia estatal. Esto se concretó en la Ley de Aguas Nacionales de 1992, y en 1996 ya se había logrado la municipalización en dos tercios de los estados del país (Pineda, 2002).
Si bien a escala municipal los organismos operadores de agua, las juntas de agua, las regidurías municipales y los propios gobiernos municipales (Haro, 2008) manejan el agua, en la supervisión de su calidad para consumo humano concurren instituciones federales: COFEPRIS, la Secretaría de Salud y la CONAGUA. En las entidades federativas están los sistemas estatales de salud (SESA), las áreas de regulación sanitaria (ARS) y las comisiones estatales de agua y saneamiento. De acuerdo con esto, aunque los municipios y otras formas de organización colectiva son los responsables de ofrecer los servicios de agua potable, en el marco normativo mexicano no está detallada la distribución de responsabilidades regulatorias que involucran a los tres órdenes de gobierno (Organización para la Cooperación y el Desarrollo Económicos [OCDE], 2013, p. 212).
Otro gran problema que señala la misma CONAGUA es que los organismos de agua potable carecen de la eficiencia técnica necesaria para asegurar la provisión de los servicios de agua y saneamiento (Pineda, 2002). Esto lo ha confirmado un estudio de la OCDE (2013), en el que se indica que la descentralización de los servicios hacia los municipios no estuvo acompañada de recursos financieros, humanos ni técnicos apropiados para asegurar su buen funcionamiento. El panorama es aún más crítico en el caso de las zonas rurales, como las comunidades del río Sonora, porque la política del subsector de agua potable se ha enfocado en la consolidación de los organismos operadores urbanos (IMTA, 2016).
Conclusión
La respuesta a la pregunta de investigación de este trabajo acerca del cumplimiento de los objetivos para la recuperación del desastre instalando plantas potabilizadoras, puede dividirse en cinco partes.
En primer lugar, no se cumplió con el número de plantas potabilizadoras proyectado, ya que, de una propuesta inicial de 37 plantas, se pasó a 28 y se instalaron sólo 10 (seis fijas y cuatro móviles). La intención primera era instalar plantas en todas las comunidades, pero no se efectuó. Si tomamos en cuenta el total de plantas instaladas con respecto a las 37 anunciadas, resulta que menos de la tercera parte del objetivo se cumplió.
Otro elemento que hay que considerar es la ubicación de las plantas potabilizadoras. Como se demostró en este trabajo mediante el análisis de la muestra de agua subterránea (2014-2018), muchas comunidades aguas abajo, a partir de La Labor, no cuentan con ningún sistema de tratamiento para metales pesados, como el arsénico o el manganeso, a pesar de que éstos se encontraron en sus fuentes de abastecimiento.
Un elemento más son los tipos de plantas instaladas. Sobre esto, lo primero que hay que anotar es la diversidad de modelos que se instalaron. En algunos casos éstos no son los adecuados para remover metales pesados y arsénico, teniendo en cuenta el tipo de contaminación que se pretende eliminar. Además, de acuerdo con la información que proporcionó la CONAGUA, se redujo la capacidad de algunos modelos al ser modificados para su instalación.
El cuarto elemento revisado es la operación de las plantas potabilizadoras. De las seis plantas fijas instaladas, sólo una tercera parte funcionaba y esto de forma intermitente. Las causas de esta limitada o nula actividad varían. Van desde una instalación incorrecta (como en Mazocahui) o incompleta (en San Felipe de Jesús, Banámichi y Bacanuchi), hasta la falta de condiciones de operación (La Capilla y San Rafael de Ures).
Se puede agregar un quinto elemento, que es el tiempo de respuesta a la demanda de potabilización del agua. Es de esperar que los impactos más dañinos por la contaminación del agua sean los más próximos al evento del derrame minero en 2014. Si consideramos que a seis años del derrame todavía existían fallas en los cuatro elementos anteriores, también podemos concluir que hubo una respuesta ineficiente en términos de temporalidad, lo cual agrava la etapa de recuperación. Esta tardía e ineficiente respuesta hace incuantificable los daños provocados.
Por otra parte, en el caso estudiado está claro que las instancias municipales o locales no tienen la capacidad técnica ni financiera para operar una tecnología que requiere un alto grado de conocimiento y de recursos, lo cual se vuelve aún más complejo si la instalación de dicha tecnología es incorrecta o incompleta. Esta situación también pone en evidencia la ambigüedad institucional sobre cuáles instancias, federales o estatales, son las responsables de supervisar la adecuada instalación de las plantas y propiciar el desarrollo de capacidades de las comunidades para su operación. Los escasos resultados de la estrategia de implementación de las plantas potabilizadoras hablan por sí mismos de la ausencia de este arreglo institucional.
Al incumplimiento de este objetivo del FRS, debería agregarse que la presencia de las plantas potabilizadoras no remediaría la falta de calidad de agua para otros usos fundamentales que dependen de las aguas superficiales, como el recreativo, el cultural o el de la vida acuática en el río. Sobre este último uso, se observó que de aproximadamente 17 000 muestreos de agua superficial de los parámetros registrados durante 2014 y 2015 por el FRS, cerca de 43% estaba fuera de los lineamientos de calidad de agua para la protección de la vida acuática, en específico por la presencia de bario, aluminio, zinc, fierro, cobre y plomo (Díaz et al., 2018).
Es necesario añadir, como se discutió, que en este caso tampoco se cumplen las recomendaciones de la Organización de las Naciones Unidas ante casos de emergencia de origen minero, debido a la inadecuada implementación, a la incorrecta instalación de las plantas potabilizadoras y al insuficiente monitoreo y seguimiento para tratar los problemas de contaminación del agua.
En última instancia, lo que el presente estudio demuestra es que un desastre minero, como el ocurrido en el río Sonora, es imposible de gestionar con total reparación de daños para los damnificados, aún más difícil sin la voluntad y capacidad política de las autoridades estatales y federales. Como se argumenta, los centros económicos y mundiales de poder han impuesto la tesis de que esta actividad puede ejecutarse de “forma responsable, segura y con procedimientos en máxima armonía o de convivencia con el ambiente y las comunidades” (Malavé, 2020, p. 2). Pues bien, los datos aquí analizados en torno a la instalación de las plantas potabilizadoras ponen en entredicho esa tesis, pues se demuestra que sólo se ha recuperado una pequeña parte del desastre provocado. Es decir, es una falacia afirmar que la actividad minera puede convivir en armonía con su entorno social y ecológico. Así mismo, en el caso de daño minero, el retorno a la normalidad, como se establece en la Ley Mexicana de Protección Civil, y la recuperación de las condiciones de vida de las comunidades, resultan inalcanzables bajo las condiciones actuales.
Referencias
Albert, L. A., y Jacott, M. (2015). México tóxico: emergencias químicas. Ciudad de México: Siglo XXI Editores.
Arana Zegarra, M. (2012). El derecho de agua en comunidades afectadas por actividades mineras. Observatorio de conflictos mineros de América Latina. Recuperado de https://www.ocmal.org/el-derecho-al-agua-en-comunidades-afectadas-por-actividades-mineras/
Azud. (2020). Tratamiento de aguas. Recuperado de https://azud.com/
Comités de Cuenca Río Sonora (CCRS) y Proyecto sobre Organización, Desarrollo, Educación e Investigación (PODER). (2016). La planta potabilizadora de Bacánuchi, la única instalada en todo el Río Sonora, lleva tres semanas sin funcionar por falta de energía eléctrica. Comités de Cuenca Río Sonora y Proyecto sobre Organización, Desarrollo, Educación e Investigación.
Comités de Cuenca Río Sonora (CCRS) y Proyecto sobre Organización, Desarrollo, Educación e Investigación (PODER). (2018). Derrame de 40 millones de litros de solución de cobre acidulado a los ríos Bacanuchi y Sonora provenientes de las instalaciones de la mina Buenavista del Cobre, S. A. de C. V., subsidiaria de Grupo México. Comités de Cuenca Río Sonora y Proyecto sobre Organización, Desarrollo, Educación e Investigación.
Comisión Nacional del Agua (CONAGUA). (2013). Programa Detallado de Acciones de Gestión Integral para la Restauración Ecológica del Río Sonora. Comisión Nacional del Agua.
Comisión Nacional del Agua (CONAGUA). (2014). Registro Público de Derechos de Agua. Comisión Nacional del Agua.
Comisión Nacional del Agua (CONAGUA). (2019). Información estadística climatológica. Comisión Nacional del Agua. Recuperado de https://smn.conagua.gob.mx/es/climatologia/informacion-climatologica/informacion-estadistica-climatologica
Comisión Nacional del Agua (CONAGUA). (2020). Características plantas potabilizadoras río Sonora. Comisión Nacional del Agua. Documento interno.
Dávila Luna, J., Díaz Caravantes, R. E., Navarro Navarro, L. A., y Méndez Estrella, R. (2018). Las presas de jales en el noreste del estado de Sonora: una aproximación geográfica mediante percepción remota. Investigaciones Geográficas, 97, 1-18. doi: https://doi.org/10.14350/rig.59624
Díaz Caravantes, R. E. (2018). Vulnerabilidad y riesgo como conceptos indisociables para el estudio del impacto del cambio climático en la salud. región y sociedad, 30(73), 1-33. doi: https://doi.org/10.22198/rys.2018.73.a968
Díaz-Caravantes, R. E., Duarte Tagles, H., y Durazo Gálvez, F. M. (2016). Amenazas para la salud en el río Sonora: análisis exploratorio de la calidad del agua reportada en la base de datos oficial de México. Revista de la Universidad Industrial de Santander. Salud, 48(1), 91-96. doi: http://dx.doi.org/10.18273/revsal.v48n1-2016010
Díaz Caravantes, R. E., Duarte Tagles, H., Pallanez Murrieta, M., Moreno Vázquez, J. L., Mejía Santellanes, J. A., y Durazo Gálvez, F. M. (2018). Análisis de los criterios para proteger la vida acuática: el río Sonora después del derrame minero de 2014. Aqua-LAC, 10(1), 75-87. Recuperado de http://www.unesco.org/new/fileadmin/MULTIMEDIA/FIELD/Montevideo/pdf/07Diaz.pdf
Diario Oficial de la Federación (DOF). (22 de noviembre de 2000). Modificación a la Norma Oficial Mexicana NOM-127-SSA1-1994, Salud ambiental. Agua para uso y consumo humano. Límites permisibles de calidad y tratamientos a que debe someterse el agua para su potabilización.
Emery, A. C. (2005). Buenas prácticas de preparación y respuesta ante emergencias. Programa de Naciones Unidas para el Medio Ambiente (PNUMA) y Consejo Internacional de Minería y Metales (ICMM). Recuperado de https://wedocs.unep.org/rest/bitstreams/11826/retrieve
Enciso, A. (26 de agosto de 2014). SEMARNAT: desastre ambiental en Sonora, el peor de la minería en el país. La Jornada. Recuperado de http://www.jornada.unam.mx/ultimas/2014/08/26/derrame-en-sonora-seria-el-peor-desastre-ambiental-del-pais-semarnat-6579.html
Fideicomiso Río Sonora (FRS). (2017). Resumen de libro blanco de las acciones y medidas de remediación, reparación y/o compensación de los daños al ambiente y a la salud generados por el derrame en los ríos Bacanuchi y Sonora. Fideicomiso Río Sonora.
Fundar. (2018). Fideicomisos en México. El arte de desaparecer dinero público. Fundar, Centro de Análisis e Investigación, A. C. Recuperado de https://fundar.org.mx/mexico/pdf/FideicomisosEnMexico.pdf
Gobierno de la República. (2015a). Balance de las acciones del Gobierno de la República en el río Sonora. Recuperado de www.gob.mx/semarnat/documentos/60595
Gobierno de la República. (2015b). Remediación Ambiental Río Sonora. Recuperado de www.gob.mx/cms/uploads/attachment/file/338777/06rio_sonora_28_enero.pdf
Haro Encinas, J. A. (2008). La prevención de daños evitables a la salud en México: una evaluación de la gestión del desempeño de la Comisión Federal para la Protección contra Riesgos Sanitarios (COFEPRIS). Recuperado de https://www.transparenciapresupuestaria.gob.mx/work/models/PTP/SED/Evaluaciones/CHPF2013/12g004compl13.pdf
Henn, B. C., Ettinger, A. S., Schwartz, J., Téllez-Rojo, M. M., Lamadrid-Figueroa, H., Hernández-Ávila, M., Schnaas, L., Amarasiriwardena, C., Bellinger, D. C., Hu, H., y Wright, R. O. (2010). Early Postnatal Blood Manganese Levels and Children’s Neurodevelopment. Epidemiology (Cambridge, Mass.), 21(4), 433-439. doi:10.1097/ede.0b013e3181df8e52
Hong, Y.-S., Song, K.-H., y Chung, J.-Y. (2014). Health effects of chronic arsenic exposure. Journal of Preventive Medicine and Public Health, 47(5), 245-252. doi: https://doi.org/10.3961/jpmph.14.035
INFOMEX. (2016). Solicitud de información a CONAGUA por medio de la plataforma INFOMEX con número de folio 1610100193816. Plataforma Nacional de Transparencia. Gobierno Federal.
Instituto Mexicano de Tecnología del Agua (IMTA). (2016). Bases para la gestión comunitaria del agua en México. Jiutepec: Instituto Mexicano de Tecnología del Agua.
Instituto Nacional de Estadística y Geografía (INEGI). (2015). Encuesta Intercensal. Instituto Nacional de Estadística y Geografía.
Jacka, J. K. (2018). The anthropology of mining: the social and environmental impacts of resource extraction in the mineral age. Annual Review of Anthropology, 47, 61-77. doi: https://doi.org/10.1146/annurev-anthro-102317-050156
Lamberti, M. J. (2018). Análisis del Fideicomiso Río Sonora. Comités de Cuenca Río Sonora-Proyecto sobre Organización, Desarrollo, Educación e Investigación. Proyecto sobre Organización, Desarrollo, Educación e Investigación (PODER). Recuperado de https://poderlatam.org/2018/07/analisis-del-frs/
LGPC. (2020). Ley General de Protección Civil. Diario Oficial de la Federación. Recuperado de http://www.diputados.gob.mx/LeyesBiblio/pdf/LGPC_061120.pdf
Luque, D., y Murphy, A. D. (2020). La gramática del río Sonora que exhibió el derrame de la mina de Cananea. Argumentos, Estudios Críticos de la Sociedad, 33(93), 217-238. doi: https://doi.org/10.24275/uamxoc-dcsh/argumentos/202093-10
Malavé Figueroa, A. N. (2020). Esquema global dominante del discurso sobre gestión de riesgo de desastres mineros en América Latina y el Caribe. Analéctica, 6(41), 1-19. doi: https://doi.org/10.5281/zenodo.4432602
Maldonado Vega, M., González Ramírez, J. D., y Jaramillo Juárez, F. (2009). Toxicología de los metales. En F. Jaramillo Juárez, A. R. Rincón Sánchez y R. Rico Martínez (coords.), Toxicología ambiental (pp. 261-281). Universidad Autónoma de Aguascalientes y Universidad de Guadalajara.
Observatorio de Conflictos Mineros de América Latina (OCMAL). (2021). Mapa de conflictos mineros en América Latina. Observatorio de Conflictos Mineros de América Latina. Recuperado de https://mapa.conflictosmineros.net/ocmal_db-v2/
Organización para la Cooperación y el Desarrollo Económicos (OCDE). (2013). Hacer posible la reforma de la gestión del agua en México. Organización para la Cooperación y el Desarrollo Económicos.
Orozco Martínez, Y., y Rodríguez Gámez, L. I. (2020). Controversias sobre vulnerabilidad ante el riesgo minero en el río Sonora, México. región y sociedad , 32, 1-25. doi: https://doi.org/10.22198/rys2020/32/1319
Pineda Pablos, N. (2002). La política urbana de agua potable en México: del centralismo y los subsidios a la municipalización, la autosuficiencia y la privatización. región y sociedad , 14(24), 41-69. doi: https://doi.org/10.22198/rys.2002.24.a698
Programa de las Naciones Unidas para el Medio Ambiente (PNUMA). (2004). Guía para la industria minera a fin de promover la concientización y preparación para emergencias a nivel local. Programa de Naciones Unidas para el Medio Ambiente. Recuperado de http://www.unep.fr/shared/publications/pdf/WEBx0057xPA-APELLminingES.pdf
Renu, M. A., y Singh, K. (2017). Heavy metal removal from wastewater using various adsorbents: a review. Journal of Water Reuse and Desalination, 7(4), 387-419. doi: https://doi.org/10.2166/wrd.2016.104
Roche, C., Thygesen, K., y Baker, E. (eds.). (2017). Mine Tailings Storage: Safety Is No Accident. A UNEP Rapid Response Assessment. United Nations Environment Programme y GRID-Arendal. Recuperado de https://www.grida.no/publications/383
Secretaría del Medio Ambiente y Recursos Naturales (SEMARNAT). (2015). Fideicomiso Río Sonora. Secretaría del Medio Ambiente y Recursos Naturales. Recuperado de https://www.gob.mx/semarnat/acciones-y-programas/fideicomiso-rio-sonora
Secretaría del Medio Ambiente y Recursos Naturales (SEMARNAT). (2016). Anuncia Rafael Pacchiano operación de 28 plantas potabilizadoras en el Río Sonora. Secretaría de Medio Ambiente y Recursos Naturales. Recuperado de https://www.gob.mx/semarnat/prensa/anuncia-rafael-pacchiano-operacion-de-28-plantas-potabilizadoras-en-el-rio-sonora
Sphere. (2018). El manual esfera: Carta humanitaria y normas mínimas para la respuesta humanitaria. Recuperado de www.spherestandards.org/handbook
Toscana Aparicio, A., y Hernández Canales, P. de J. (2017). Gestión de riesgos y desastres socioambientales. El caso de la mina Buenavista del cobre de Cananea. Investigaciones Geográficas , 93, 1-14. doi: https://doi.org/10.14350/rig.54770
United Nations International Strategy for Disaster Reduction (UNISDR). (2009). Terminology on Disaster Risk Reduction. United Nations International Strategy for Disaster Reduction.
Vega-Granillo, E., Ciret-Galán, S., Parra-Velasco, M. L., y Zavala-Juárez, R. (2011). Hidrogeología de Sonora. En T. Calmus (ed.), Panorama de la geología de Sonora, México, Boletín 118 (pp. 267-298). Universidad Nacional Autónoma de México, Instituto de Geología. Recuperado de https://www.geologia.unam.mx:8080/igl/publs/boletin/bol118/(8)Vega.pdf
Wirth, M. (2013). The magic of manganese dioxide: what it is and why you should care. Water Conditioning & Purification Magazine. Recuperado de http://wcponline.com/2013/03/03/magic-manganese-dioxide-care/
World Health Organisation (WHO). (2011). Guidelines for Drinking-water Quality. World Health Organisation.
Notas