Ciencias sociales
El sistema de cohesión social y sus efectos en la tasa de delincuencia
The System of Social Cohesion and Their Impact On the Crime Rate
El sistema de cohesión social y sus efectos en la tasa de delincuencia
Ciencia Ergo Sum, vol. 23, núm. 1, pp. 5-16, 2015
Universidad Autónoma del Estado de México
Recepción: 04 Junio 2014
Aprobación: 12 Diciembre 2015
Resumen: Se describe el comportamiento de la tasa de delincuencia a partir de la cohesión social. Se toma como referencia la teoría general de sistemas y tiene como elemento base el cálculo con geometría analítica, pues a través de esta herramienta matemática pudo predecirse teóricamente que el nivel de cohesión es un factor detonante del dinamismo de la tasa de delincuencia, es decir, "a mayor cohesión social, menor tasa de delincuencia".
Palabras clave: tasa de delincuencia, gobernabilidad, cohesión social, teoría general de sistemas, cálculo.
Abstract: This article gives a description of the behavior of the crime rate from the social cohesion, by reference to the General Systems Theory and having as a base element calculations with analytical geometry. While using this mathematical tool it was predicted theoretically that the level of cohesion is a trigger factor of the dynamism of the crime rate, so it means that "the greater the social cohesion, the lower the crime rate".
Key words: crime rate, governability, social cohesion, General Systems Theory, calculation.
Introducción
La vida en sociedad está constituida alrededor de sistemas complejos, tales como la familia (pequeñas y manejables), la política o la industria (son de envergadura nacional y con grado de complejidad muy alto), algunos son de propiedad privada y otros pertenecen al dominio público.
El análisis de esos sistemas revela el grado de complejidad del entorno social, resultado de la multiplicidad y de las relaciones referentes a la interacción del ser humano en los sistemas, la cual en sí misma es problemática. A medida que los sistemas van siendo más complejos, la explicación de los fenómenos que presentan las conductas de esos sistemas tienden a tomar en cuenta su medio, su entorno, es decir, su totalidad. Un sistema es un orden dinámico de partes y procesos en interacción, los cuales están interrelacionados por partes constitutivas de un todo coherente, y es la simple suma de sus partes (Von, 1968).
Muchos de los problemas sociales que surgen en los sistemas se derivan de la incapacidad de los administradores, planificadores y analistas. Para abordar estos problemas, la teoría general de sistemas se utiliza para dar explicación en el entramado de relaciones que limitan el desarrollo de un grupo social, en la medida que el pensamiento sistémico se convierte en una forma de ver la realidad. Por el contrario el paradigma científico cartesiano plantea la certidumbre del conocimiento, que a su vez maneja la idea del conocimiento aproximado, pues todos los conceptos y teorías científicas son limitados y aproximados. No es posible obtener una compresión completa y definida de los fenómenos, ya que no se podrán incluir en su estudio todos los aspectos relacionados con los mismos (Ramírez, 2002).
Considerando lo anterior, la delincuencia es un sistema global que depende de un sistema total llamado cohesión social que tiene como característica la igualdad de oportunidades en la población para que ejerzan sus derechos y aseguren su bienestar económico y social. Para que se dé lo anterior, es fundamental que el individuo se sienta parte de su comunidad mediante la participación en diversos ámbitos de decisión. El fortalecer la cohesión social va a implicar la reducción de la tasa de delincuencia y el mejoramiento de la gobernabilidad; sin embargo, es fundamental que se generen o desarrollen políticas públicas en beneficio de la población.
Esas políticas públicas deben tener los elementos necesarios en el corto, mediano y largo plazo para que los integrantes de una sociedad mejoren sus condiciones de vida. Para llevar a cabo esta acción es fundamental que los individuos tengan bienestar físico (acceso a servicios de salud), material (contar con una fuente de empleo que le permita cubrir sus necesidades básicas) y social (generar relaciones humanas relativamente equitativas).
Por tanto, el objetivo del trabajo es predecir el comportamiento del fenómeno delictivo a partir del dinamismo de la cohesión social mediante el cálculo con geométrica, y se toma como referencia la teoría general de sistemas. La hipótesis plantea que en la medida que se mejore el sistema de cohesión social decrecerán los indicadores de inseguridad y con ello mejorará la gobernabilidad. A través de este objetivo e hipótesis, se podrá establecer la importancia que tiene el sistema de cohesión social sobre la tasa de delincuencia y la gobernabilidad con base en los componentes establecidos por la teoría general de sistemas.
1. Metodología
A partir del objetivo e hipótesis que se plantearon, la metodología utilizada corresponde a la investigación de operaciones, pues su finalidad es determinar la solución óptima del fenómeno en estudio, la cual debe cumplir con las fases descritas en la figura 1.
La contribución de la metodología de investigación de operaciones en este trabajo se sustenta en la construcción de un modelo matemático, el cual dará elementos teóricos (mediante la abstracción de sus elementos esenciales) del comportamiento del fenómeno delictivo a partir del nivel de cohesión social.
2. Marco teórico
Los orígenes de la teoría general de sistemas están en la filosofía y la ciencia. Concretamente, George Wilhem y Friedrich Hegel consideran a la vida en sociedad como un todo que está determinado por la naturaleza de las partes que lo integran y que éstas no pueden entenderse o explicarse en forma aislada, ya que están interrelacionadas (Von, 1968).
La teoría general de sistemas es resultado de estudios interdisciplinarios donde la finalidad es encontrar las características comunes existentes entre sistemas que se presentan en todos los niveles de la realidad social. Esta teoría consiste en optimizar el proceso de los sistemas que funcionan dentro de un entorno económico, social, político e industrial. Entre sus principales características se encuentran las siguientes (Van Gigch, 2006):
a) Define el fenómeno de estudio e identifica el sistema y subsistema que lo conforman.
b) Analiza la dinámica del fenómeno de estudio a través del estado, la condición o conducta de los sistemas que lo sustituyen mediante el análisis matemático.
c) Compara las condiciones reales y esperadas de los sistemas con la finalidad de determinar el grado de desviación.
d) Conjetura las razones de esta desviación de acuerdo con los límites de los componentes de los sub-sistemas.
e) Saca conclusiones de los hechos conocidos por medio de un proceso de deducción y se desintegra el gran problema en sub-problemas mediante un proceso de reducción.
El objetivo de la teoría de general de sistemas es optimizar el funcionamiento global de un sistema mediante la modelación de sus sub-sistemas. En el análisis se puede utilizar el concepto de niveles para indicar que unos están situados en otros. Establecer los límites del sistema involucra la identificación de sistemas, subsistemas y supra-sistemas que tienen injerencia en el problema (Van Gigch, 2006).
Bajo este contexto, el fenómeno delictivo2 se puede ver en términos de la figura 2.

La delincuencia es un sistema global que depende de un sistema total llamado cohesión social, en el cual intervienen dos sub-sistemas: capital social y tejido social.
a) El sub-sistema de capital social está constituido por supra-sistemas, tales como el económico, la integración social y la influencia social, entre otros.
b) El sub-sistema de tejido social se conforma de los suprasistemas social (la familia y otras asociaciones) y personal (acciones, logros y desempeño).
La cohesión social3 es un sistema total que se conforma de dos supra-sistemas: capital social y tejido social. El primero se constituye por los elementos que suministran las instituciones (familia y organismos de gobierno) y que apuntalan a una sociedad, las cuales deben suministrar las herramientas necesarias a un individuo para que pueda hacerle frente a las necesidades que le implanta su entorno social. El segundo representa el conjunto de redes sociales que construye el individuo a través de las herramientas que le proporcionan las instituciones.
La cohesión social, analizada desde un punto de vista teórico-metodológico considerado como un elemento relacional, es señalada como una agrupación de individuos que no se relaciona entre sí, que no se contempla como un grupo cohesionado. Emerge cuando los individuos comienzan a conectarse e interrelacionarse entre sí alcanzando un primer nivel de cohesión estructural. A medida que se formen nuevas relaciones entre los integrantes del grupo como parte de sus estrategias de reproducción social, las que generarán diferentes formas para cada uno de los miembros y establecerán conexiones múltiples, permitirán que se incremente su nivel de cohesión estructural.
Con base en lo anterior, se puede deducir lo siguiente:
a) Si un país, pueblo o comunidad tiene una baja cohesión social, se limita su capacidad de crecimiento, lo que puede generar injusticia, violencia y conflictos, así como problemas de gobernabilidad, fomentar inestabilidad, falta de rumbo y ausencia de desarrollo.
b) Si un país tiene alto grado de cohesión social, entonces impulsa su crecimiento económico y con ello fortalece su competitividad, incrementa su capacidad de resistencia a los choques económicos, acrecienta su potencial de innovación tecnológica, mejora la gobernabilidad, aumenta el ingreso y disminuye la pobreza y la desigualdad.
A partir de la teoría general de sistemas, el sistema total de cohesión social se conforma de dos sub-sistemas: el capital social y el tejido social. Se podría tener una correlación positiva: "a mayor capital social, mayor tejido social".
El capital social es el conjunto de supra-sistemas (educación, empleo, ingreso, vivienda, salud, entre otros) con el que cuentan los miembros de una sociedad. En la medida que estos se fortalezcan, permitirán a los individuos ampliar su campo de oportunidad para tener beneficios (económicos y sociales) con la finalidad de mejorar su nivel de vida. De este modo, el tejido social es el conjunto de redes personales, categoriales, estructurales y funcionales que son resultado del fortalecimiento del capital social, las cuales van a constituir un activo para los individuos y la sociedad, pues les permitirán ampliar sus redes sociales con el propósito de hacerle frente a las turbulencias económicas y sociales que se presentan en su entorno.
Para efectos de este trabajo, y con base en la teoría general de sistemas, el sub-sistema de capital social4 es el conjunto de supra-sistemas que tiene un individuo inserto en un conglomerado de redes sociales a fin de obtener beneficios que mejoren su situación económica y social. Es una inversión por parte de las personas y las familias que se traduce en recursos que provee la estructura social para alcanzar sus intereses. Entre las particularidades del subsistema de capital social se pueden destacar las siguientes:
a) Se conforma de supra-sistemas que mejoran las oportunidades de los miembros de una sociedad.
b) Trae beneficios económicos, sociales y culturales que mejoran ¿las condiciones de vida de la población.
c) Es un bien público, pues no puede ser manipulado y no tiene propiedad.
d) Tiene aspectos subjetivos, valorativos y culturales y se asocia con los conceptos de confianza, reciprocidad y cooperación.
e) Se encuentra enmarcado por un conjunto de reglas formales o informales que, de ser internalizadas y repetidas, se institucionalizan.
En el contexto delictivo, el sub-sistema de capital social se convierte en la herramienta fundamental para equilibrar este fenómeno social para lo cual se requiere de tres suprasistemas (Case y Fair, 1992):
a) Económicos y materiales: son los que dan acceso a mejores niveles de bienestar. Se conforma de los elementos (poder adquisitivo, empleo, ahorro y financiamiento, entre otros) que requiere una sociedad para tener acceso a una serie de bienes y servicios; consolida la capacidad de incorporarlos en sus actividades de subsistencia.
Estos elementos se convierten en la base fundamental para la adquisición de bienes materiales (vivienda, alimentación, calzado y vestimenta, etc.). Sus beneficios se pueden traducir desde dos aspectos. El primero, en bienes económicos y sociales de una sociedad individual a través de proyectos productivos comunitarios, con los cuales la comunidad atrae más recursos económicos y materiales. El segundo, en bienestar nacional, es decir, se incrementa la comercialización económica, el Producto Interno Bruto y el desarrollo económico.
Aunado a esto, se disminuye la pobreza, la migración y la delincuencia.
b) Sociales y culturales: son los que generan beneficios en el ámbito de la integración social. Este supra-sistema se traduce en libertad, justicia, equidad e igualdad social. Genera beneficios sociales y culturales, pues se adquieren a través de la justicia social y se remiten directo en los derechos de los sectores más desfavorecidos de la sociedad. Esa justicia social debe estar orientada a la creación de las condiciones necesarias para que un individuo se desarrolle en una sociedad relativamente igualitaria en términos sociales.
Si se habla de justicia social, los individuos que integran una sociedad deben contar con educación, espacios culturales, servicios de salud y equidad de género, entre otros. Al contar con estos elementos se generan beneficios individuales, comunitarios y colectivos. En el primero se traduce en un desarrollo personal mediante la adquisición de destrezas y aptitudes. El segundo debe fortalecer la vida social y comunitaria, ya que permite acceder a servicios colectivos y fortalece la cohesión grupal. El tercero mejora la calidad de los vínculos sociales mediante la instalación de sentimientos de respeto y solidaridad.
En síntesis, el supra-sistema de investigación social genera confianza, cooperación y reciprocidad. Esto se obtiene a través de la justicia social, pues mediante la educación, los espacios culturales, la salud y la equidad los integrantes de una sociedad mejoran sus vínculos, y hace que los individuos se transformen en agentes de cambio a través del conocimiento de sus derechos, los cuales les permitirán desarrollar un progreso social y económico.
c) Políticos y cívicos: son aquellos que colaboran en alcanzar mayores cuotas de poder e influencia social. Este supra-sistema se obtiene a través de los beneficios políticos y cívicos, ya que son una categoría especial al considerarse de primera generación, pues corresponden a las ideas del liberalismo y de la lucha contra el absolutismo y el despotismo.
Si los derechos políticos y cívicos se implementan correctamente, se generarían beneficios que se traducen en el fomento de opinión, la especialización de la capacidad de diálogo y de acuerdos y se potencializaría el control ciudadano de la acción del Estado.
Como se puede observar, el sub-sistema de capital social se conforma de un conjunto de supra-sistemas: bienestar económico, integración social e influencia social. Los dos primeros enfatizan en los derechos de igualdad y pretenden establecer las condiciones económicas, materiales y culturales en las que cada persona puede desarrollar su potencial, mientras que en el tercero se plantean los derechos de libertad y que están destinados a proteger la esfera de autonomía individual de las personas y las colectividades.
Por otro lado, el deterioro del sub-sistema de tejido social es el resultado del quebranto del sub-sistema de capital social, ya que el Estado deja de asumir su responsabilidad de máximo mandatario para restablecer el orden económico y social, y condena así a la sociedad a una orfandad en la que no se basta a sí misma para sobrevivir.
La descomposición del sub-sistema de tejido social tiene como secuelas los hechos sociales (impunidad, migración, desigualdad económica-social, pobreza, delincuencia e ingobernabilidad) que ocurren en el seno de una sociedad. Para Durkheim (1976) son modos de actuar, pensar y sentir externos al individuo, pues posee un poder de coerción en virtud de lo que se le impone.
Los hechos sociales muestran a la sociedad y al Estado una realidad externa al individuo que se encuentra regida por distintos modos de cohesión social, los que a su vez condicionan los diferentes modos de conciencia colectiva por medio de la que se moldean los caracteres individuales.
Bajo este contexto, el sistema global del fenómeno delictivo es un hecho social, ya que la descomposición del sub-sistema de tejido social es el efecto de este fenómeno como consecuencia del aislamiento del individuo en la sociedad debido al deterioro de sus principales supra-sistemas que conforman al sub-sistema de capital social. Sus efectos se traducen en la pérdida de normas y valores imperantes que imposibilitan el alcance de un bienestar material que la sociedad se encarga de instalar en la mente del individuo, quien a su vez puede reaccionar adoptando cinco posturas diferentes: conformidad, incomunicación, innovación, ritualismo y rebelión.
La primera se compone de un estatus social donde el individuo renuncia a alcanzar un estatus superior; en todas las demás son conductas desviadas si el individuo individualista y antisocial se puede convertir en un delincuente debido a que pretende ganar dinero en muy poco tiempo.
Tomando en cuenta lo anterior, si el Estado no ofrece los elementos necesarios para que un individuo acceda a determinados niveles de bienestar, él posiblemente se verá obligado a realizar actos delictivos. Esto es resultado de la frustración de querer tener un determinado estatus económico y social. Al no acceder a éste, la manera más fácil de obtener esos niveles es a través de conductas delictivas.
Sin duda, el comportamiento desviado es resultado del mal funcionamiento de las estructuras sociales, las cuales tienen mayor repercusión en las clases bajas y desfavorecidas, pues son las que parten de una situación más de desigualdad para intentar ganar niveles en sus estatus respectivos.
Como se puede ver, tanto el Estado como la sociedad son los encargados de establecer los supra-sistemas que requiere el sub-sistema de tejido social, ya que estos elementos establecen una competitividad entre sus miembros con el objetivo de que estos alcancen un estatus económico y social. Dichos niveles se obtienen a través de medios lícitos; sin embargo, los individuos pueden frustrase de tal manera que renuncien a ellos al considerarlos inalcanzables.
3. Modelamiento matemático teórico
Considerando lo anterior, el sistema global del fenómeno delictivo está en función del sistema total de cohesión social, para lo cual se plantean las siguientes conjeturas:
a) La tasa de delincuencia es inversamente proporcional al grado de cohesión social.
b) La cohesión social interviene en la capacidad de crecimiento de una sociedad y depende de dos factores: tejido social y capital social.
Bajo este criterio, en este apartado se hace un análisis teórico matemático de la relación existente entre estos sistemas.
3. 1. Planteamiento del modelo
Los miembros de una sociedad cuentan con un nivel de cohesión social que influye en el accionar de sus actividades (incluyendo las delictivas) de sus integrantes. Matemáticamente esto es:
Cohesión social = capital social + tejido social

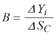
Bajo este contexto, la tasa de delincuencia Yi dependerá del accionar de la cohesión social:

donde:
B0 = tasa de delincuencia cuando la cohesión social es nula o constante.
B1 = es la tasa de delincuencia marginal. Por cada unidad adicional en la cohesión social, la tasa de delincuencia decrecerá en B1.
Sustituyendo (1) en Yi,

Por tanto, "a mayor capital social, menor tasa de delincuencia" y "a mayor tejido social, menor tasa de delincuencia".
Para este estudio se analizan dos casos: a) primero se considera el tejido social constante, y b) cuando éste deja de ser constante.
3. 2. Construcción del modelo
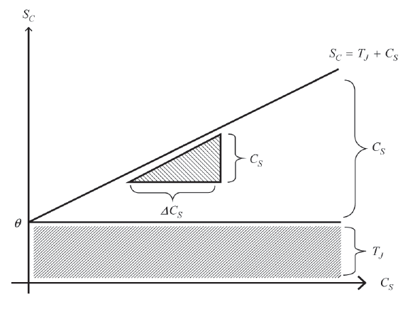
Cuando un individuo comienza a delinquir existen determinados elementos de su tejido social (la religión, los lazos familiares y los principios cívicos, entre otros) que podrían influir en el accionar de su actividad. Si es constante el tejido social, la expresión algebraica de la cohesión social (gráfica 1) sería de la siguiente forma:


donde:
θ (ordenada al origen). Representa el grado de cohesión social del delincuente cuando su capital social es nulo.

(Pendiente o derivada). Simboliza la variación de la cohesión social ante una pequeña diferenciación del capital social.
Planteando la ecuación:

Sustituyendo la ecuación SC (CS) en Yi:

Bajo la conjetura de que
:

Por lo tanto, la ecuación de la tasa de delincuencia es:

Tal que:
Si el capital social del delincuente es nulo su cohesión social será θ, por tanto la tasa de delincuencia se encontrará en su máximo nivel α, ya que el delincuente no cuenta con los elementos básicos que requiere su capital social.
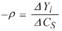
-ρ es la tasa marginal de delincuencia y representa la razón de cambio instantáneo
que experimenta la tasa de delincuencia ante una pequeña variación en el capital social.
En la medida en que se mejore el capital social, la tasa de delincuencia disminuirá.
En la gráfica 2 se puede observar lo siguiente: en la medida en que el delincuente mejore su capital social de CS0 a CS1, tendrá mejor cohesión social (Sc0 a Sc1). Este efecto se traduciría en la reducción de sus actos delictivos (Yi0 a Yi1).

Sin embargo, ¿en qué momento el individuo dejaría de cometer delitos? Tomado la ecuación Yi e igualándola a cero:

Despejando con respecto a CS:

Sustituyendo CS en Yt:

El individuo dejará de cometer delitos en la medida en que su capital social es igual a
. No obstante, en el momento en que él comete más actos delictivos su tejido social dejará de ser constante.
3. 3. Solución del modelo
En la medida en que se corrompe la cohesión social, la tasa de delincuencia se incrementará más allá de cierto punto donde este fenómeno será incontrolable. Es decir, si un individuo deteriora su conjunto de redes sociales y no cuenta con los elementos necesarios que requiere para hacerle frente a las exigencias de la sociedad, mayor será la probabilidad de cometer un delito; por tanto, el tejido social y el capital social se hacen inconsistentes. Algebraicamente esto es:

Donde la ecuación de la tasa de delincuencia es:

Sustituyendo la ecuación Sc en Yt:

Considerando la gráfica 3:
• Cuando Tj = 0 y CS = 0 → Sc = 0, el delincuente maximiza su beneficio en Yt = θ; sin embargo, toda sociedad desea minimizar sus indicadores delictivos.
• Si la cohesión social es mayor a cero, el delincuente comete menos delitos y provocará un decremento en la tasa de delincuencia:

• Si el tejido social es nulo y el capital social es igual a θ, la cohesión social será θ. El individuo dejara de cometer delitos; por tanto, la tasa de delincuencia concurrirá en cero:

• Si el tejido social es igual a θ y el capital social es nulo, la cohesión social estará en θ; por tanto, la tasa de delincuencia será cero:

Bajo este contexto, se desea minimizar Yt = θ - Tj - CS con la condición de que Sc = θ. Sustituyendo θ en la ecuación Sc (13):

Igualando a cero Yt:

Despejando θ:

Como se puede ver, las ecuaciones tienen alguna similitud; por tanto, el individuo dejará de cometer delitos en la media que se fortalezca su tejido social y se mejore su capital social,

esto es,

Con base en las expresiones algebraicas planteadas y a la gráfica 3 se puede realizar el siguiente análisis:
• La recta que pasa por el origen (A y F) representa la tasa de delincuencia en su máximo nivel cuando:


Cualquier punto sobre tal recta Yt (A, E y F) se traduce en maximización del beneficio delictivo.
• Si Sc < 0 (área Z), la tasa de delincuencia se incrementaría (↑Yt) aceleradamente. Esto generaría un estado de ingobernabilidad, donde el fenómeno delictivo pasa a una fase incontrolable y se convertiría en el órgano regulador de la actividad económica y social de un país, comunidad o municipio.
• La recta que pasa por las coordenadas (θ, θ) y en los puntos B, C y D y representa la máxima cohesión social que se requiere para minimizar la tasa de delincuencia:

• El área Y se considera como el punto de inflexión donde el Estado y la sociedad tienen la mayor probabilidad de reducir sus indicadores delictivos:

La delincuencia decrecerá en la medida en que se mejoren las condiciones de vida de la población
• Si Sc ≥ θ (área W), Estado y sociedad gozan de los grandes beneficios que produce el capital social y el tejido social. Tiene como efecto el mejoramiento del nivel de vida de población; por tanto, la tasa de delincuencia se reduce en su mínima expresión.
Como se puede ver, este modelamiento teórico entre la tasa de delincuencia y el sistema de cohesión social hace una representación simplificada del dinamismo que puede desarrollar el fenómeno delictivo y, que a su vez, dependerá de la fortaleza en que se encuentren el capital social y el tejido social. No obstante, se plantea la siguiente interrogante: ¿de qué forma impacta el dinamismo de la tasa de delincuencia sobre la gobernabilidad?
Para realizar el cálculo de nivel de gobernabilidad es fundamental que se tome en cuenta el siguiente supuesto.
• El nivel gobernabilidad es proporcional a la cohesión social.
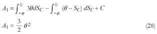
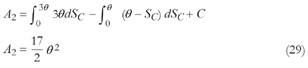
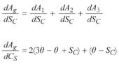
Al observar la gráfica 4, la gobernabilidad se obtiene a través de la suma de las distintas áreas (A1, A2 y A3),


Para encontrar el área de gobernabilidad e ingobernabilidad se recurre a la utilización de la integral definida, la cual se estructura de la siguiente forma (Swokowski, 1989):

Área A1:

Área A2:

Área A3:

Por tanto, la gobernabilidad sería:

Bajo el contexto del presente modelo hipotético (3θ se convierte en el máximo punto que puede alcanzar ambos ejes sin olvidar que θ pertenece a los números reales), la gobernabilidad siempre está cuando la cohesión social va de θ a 3θ y donde θ se encuentra en los números reales, como es evidente por su definición geométrica. Cuando el coeficiente es θ la gobernabilidad comienza a incrementarse; entre más se extienda a la derecha del eje Sc, mayor será la cohesión social y con ello se tendrá un mejor control en la tasa de delincuencia.
Coppedge considera a la gobernabilidad como el evento donde el gobierno se ocupa y desarrolla sus funciones correspondientes con la finalidad de mejorar las condiciones de vida de la población. Para ello deben cumplirse determinados elementos (Alcántara, 1995):
Calidad de la burocracia, suministra el asesoramiento y liderazgo en la ejecución de políticas públicas.
Debe existir compromiso con los objetivos del gobierno, por parte de la burocracia.
Alta gestión política en el entorno institucional por parte del gobierno, pues esto influiría de manera positiva en la gobernabilidad.
Eficacia del sistema de partidos políticos, ya que intervendría positivamente en el mandato de acción.
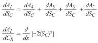
Por otro lado, la ingobernabilidad se calcula mediante la suma de las áreas A4, A5, A6 y A7:

Esto se puede apreciar en la gráfica 5:

Si partimos del supuesto de que todas las áreas de la ingobernabilidad tienen la misma simetría:

Calculando del área de ingobernabilidad se tiene que:

Por tanto, la ingobernabilidad sería de:

La ingobernabilidad siempre estará presente cuando la cohesión social va de 0 a -3θ (θ se encuentra en los números reales). Cuando el coeficiente es 0 la ingobernabilidad comienza a extenderse hacia la izquierda del eje Sc; con ello decaerá la cohesión social y se incrementará la tasa de delincuencia.
La ingobernabilidad se identifica como la baja capacidad del gobierno para poder afrontar problemas de carácter social y se identifica por los siguientes matices (Alcántara, 1995):
La indisciplina a través de métodos violentos e ilegales realizados por ciudadanos que pueden influir en las decisiones públicas.
El fracaso de la élite política para mantener sus posiciones de dominación, que producen las coaliciones preexistentes.
La escasa capacidad de los políticos para lograr los objetivos establecidos en un plan de trabajo gubernamental.
Evadir determinadas prohibiciones legales y constituciones por parte de los políticos en la búsqueda de ventajas de su propia supervivencia.
Por otro lado, el punto de inflexión (el área donde el gobierno tiene la posibilidad de controlar la tasa de delincuencia a través del incremento de la cohesión social) se obtendrá a través de la diferencia existente entre la gobernabilidad y la ingobernabilidad (gráfica 6).

Por tanto, el punto de inflexión se calcula:

Al sacar las diferencias:

El Estado podrá reducir la tasa de delincuencia si la cohesión social va de -θ a 0. Cuando el punto de inflexión es de -10θ2, el Estado tiene los elementos adecuados de capital social y tejido social para mejorar la cohesión social, y con ello se reduciría la tasa de delincuencia.
3. 4. Validación del modelo
Para la aprobación del modelo, se calculan las derivadas6 de las áreas de gobernabilidad e ingobernabilidad con la finalidad de encontrar la ecuación de cada concepto.
• Caso de gobernabilidad:

Por tanto:

Si la cohesión social es constante, la gobernabilidad sería de 5θ. No obstante, por cada unidad adicional en la cohesión social la gobernabilidad se va a incrementar en una unidad.
• Caso de ingobernabilidad:

Por tanto:

Por cada punto porcentual que se incremente la cohesión social en términos negativos la ingobernabilidad crecerá en cuatro unidades. Por otro lado, si la cohesión social es mayor a cero, la ingobernabilidad decrecería.
A través de las diferenciales obtenidas en esta sección se pude observar que las integrales definidas en la gobernabilidad e ingobernabilidad corresponden a las funciones g(Sc) y Ig(Sc), y que estas ecuaciones describen adecuadamente el dinamismo del fenómeno delictivo.
3. 5. Implementación de resultados
Bajo el contexto del presente modelo, el sistema de cohesión social es elemento fundamental para describir el comportamiento de la tasa de delincuencia y la gobernabilidad.
• Si la gobernabilidad va de 0 a 3θ, esta equivaldría a 8θ2. Mediante la ecuación g(Sc) = 5θ + Sc , una sociedad, comunidad, localidad o país alcanzarán su máximo beneficio a partir de este concepto cuando g(Sc) > 5θ. Si esa sociedad tiene una gobernabilidad por arriba 5θ, su grado de cohesión social tendría los elementos necesarios para su crecimiento, y con ello se fortalecería su competitividad, incrementaría su capacidad de resistencia a los choques económicos, desarrollaría su potencial de innovación tecnológica, mejoraría la gobernabilidad, aumentaría el ingreso de las familias, disminuiría la pobreza, la desigualdad y los problemas delictivos.
• Si la ingobernabilidad va de 0 a -3θ, esta representaría 18θ2. A través de la ecuación Ig(Sc)= -4Sc , una sociedad con decadente cohesión social va a fomentar inestabilidad y ausencia de desarrollo económico y social. Al existir injusticia, violencia y conflictos sociales la tasa de delincuencia se incrementaría; esto hace vulnerables a los integrantes de una sociedad frente a este fenómeno social, pues al no contar con los elementos esenciales (educación, empleo, vivienda y seguridad, entre otros) se pueden convertir en detonantes de la delincuencia.
En el punto de inflexión (que va de -θ a 0), el Estado puede generar el escenario adecuado para reducir los problemas delictivos mediante el fortalecimiento de los elementos esenciales que requiere un individuo para hacerle frente a las necesidades que le implanta su entorno social.
Conclusiones
Visualizar al fenómeno delictivo como un sistema global que depende del dinamismo del sistema total de cohesión social, utilizando un modelo teórico-matemático como herramienta que permita explicar la causa y el efecto, expone la cohesión social acerca de la tasa de delincuencia de una sociedad como la mexicana.
El presente modelo es un objeto que representa la relación existente entre la tasa de delincuencia y el sistema global de la cohesión social. Si el fenómeno delictivo se identifica con los procesos internos y las relaciones existentes entre los subsistemas de la cohesión social (tejido social y capital social), entonces es posible conocer las ecuaciones que describen a la tasa de delincuencia.
El modelamiento de la tasa de delincuencia y el sistema de cohesión social corresponde a la realidad actual, pues estos indicadores están relacionados a través de dos procesos (abstracción e interpretación).
a ) Mediante la teoría general de sistemas se identificaron los sub-sistemas (tejido social y capital social) de la cohesión social con la finalidad de conocer sus posibles efectos que estos producen tanto en la tasa de delincuencia como en la gobernabilidad.
b ) A través la construcción de ecuaciones se entendieron las relaciones existentes entre la tasa de delincuencia y la cohesión social. El comportamiento de los supra-sistemas de la cohesión social describe la relación entre los componentes y las características del sistema global del fenómeno delictivo.
Tomando en cuenta lo anterior, se puede suponer que el sistema global del fenómeno delictivo es un hecho social que depende de la dinámica desarrollada por los sub-sistemas de tejido social y capital social. Si estos sub-sistemas no tienen una cohesión social, producirán efectos negativos sobre una comunidad o país. Estos efectos se traducen en la pérdida de normas y valores dominantes que impiden el alcance de un bienestar material que la sociedad se encarga de poner en la mente del individuo, lo cual haría que se adopten determinadas posturas negativas.
En este contexto, si el sistema global del fenómeno delictivo es mayor al sistema total de la cohesión social, se traduce en ingobernabilidad donde las instituciones tienen un alto grado de deterioro debido a la corrupción política-administrativa. Podría interpretarse como aquellos individuos que hacen política en beneficio personal. Dejarían de esa forma el compromiso que tienen ante la sociedad, que es mejorar las condiciones de vida de la población.
Si el sistema global del fenómeno delictivo es menor al sistema total de la cohesión social, se puede afirmar la presencia de gobernabilidad. En este sentido, las instituciones están proporcionado los elementos necesarios (educación, empleo, e ingreso) que requieren los integrantes de una sociedad para hacerle frente a las necesidades que le implanta su entorno social.
Este acercamiento desde una estrategia cuantitativa permite realizar generalizaciones a partir del vínculo de las variables señaladas (cohesión social, delincuencia y gobernabilidad). Asimismo, para conocer las particularidades de cómo vive un país, región, estado, ciudad, municipio o pueblo debe trabajarse a partir de una estrategia mixta, la cual permita involucrarse y conocer cada detalle de estos espacios. Lo anterior apuntaría a que este trabajo sirva como punto de partida para profundizar sobre esta relación.
Análisis prospectivo
Uno de los elementos más importantes de este artículo es poder desarrollar un modelo matemático que permita describir el comportamiento del fenómeno delictivo en México a través de la cohesión social. Para llevarlo a cabo es fundamental contar con bases de datos de distintas fuentes (INEGI, Banco de México, Secretaría Seguridad Pública y Coneval), pues con ello se tendría una referencia sobre este fenómeno social. Para realizar esta última acción, se tienen dos prospectivas:
a) Crear un índice de cohesión social mediante un análisis factorial tomando como referencia la definición que plantea el Coneval (Consejo Nacional de Evaluación de la Política de Desarrollo) sobre el concepto de cohesión social.
b) Una vez construido el índice de cohesión social, se contrastaría con la tasa de delincuencia para la construcción de un modelo matemático, el cual permitiría predecir el comportamiento de este fenómeno social.
Con base en lo anterior, la siguiente propuesta es desarrollar este modelo matemático de forma tal que explique y prediga mediante datos reales el comportamiento del fenómeno delictivo en México. Esto va a implicar la creación de escenarios virtuales que permitan poner a prueba determinadas hipótesis sobre el comportamiento de este fenómeno social.
Referencias
Alcántara, M. (1995). Gobernabilidad, crisis y cambio. Elementos para el estudio de la gobernabilidad de los sistemas políticos en épocas de crisis y cambio. México: Fondo de Cultura Económica.
Case, K. E. & Fair, R. C. (1992). Fundamentos de economía. Estados Unidos: Prentice Hall Hispanoamericana.
Durkheim, E. (1976). Educación como socialización. Salamanca: Ediciones Sígueme.
Lozano, C. (2005). La delincuencia en la era de la globalización. México: Universidad del Desarrollo del Estado de Puebla.
Mudrack, P. E. (1989). Defining group cohesiveness: A legacy of confusion? Small Group Behavior, 20: 37-49.
Ramírez, L. (2002). Teoría de sistemas. Consultado el 25 de Octubre. Disponible en: https://webbrain.com/
Sánchez, C. A. (2004). Investigación de operaciones I. Costa Rica: Universidad Hispanoamericana. Consultado el 17 octubre de 2014. Disponible en: http://ing.sanchez.tripod.com/documentos/folleto.pdf.
Sorj, B. & Martucelli, D. (2008). El desafío latinoamericano. Cohesión social y democracia. Brasil: Corporación de Estudios para Latinoamérica. Consultado el 10 de octubre 2014. Disponible en: http://www.plataformademocratica.org/Publicacoes/55.pdf
Swokowski, E. W. (1989). Cálculo con geometría analítica. Estados Unidos: Iberoamericana.
Van Gigch, J. P. (2006). Teoría general de sistemas. México: Trillas.
Von, L. B. (1968).. Teoría general de sistemas México: Fondo de Cultura Económica.
Notas