Espacio del Divulgador
Un modelo didáctico para comprender el bosón de Higgs como parte del modelo estándar de partículas elementales
A Didactic Model to Explain Higgs Boson as Part of the Standard Model of the Elementary Particles
Un modelo didáctico para comprender el bosón de Higgs como parte del modelo estándar de partículas elementales
Ciencia Ergo Sum, vol. 23, núm. 2, pp. 163-170, 2016
Universidad Autónoma del Estado de México

Recepción: 05 Junio 2015
Aprobación: 14 Octubre 2015
Resumen: Se explica de forma didáctica, accesible para profesores que imparten los cursos de física moderna básica, el mecanismo del rompimiento espontáneo de la simetría con la presencia de un campo de Higgs. Para conseguir este objetivo, se desarrolla un modelo matemático basado en el comportamiento de resortes que obedecen a las leyes del oscilador armónico simple y con la presencia de cargas que oscilan junto con éstos. Como resultado, se obtiene que la luz emitida por las cargas oscilantes, los fotones, duplican su masa cuando los resortes se deforman más allá de su límite elástico debido a la presencia de una fuerza externa que rompe la simetría inicial del sistema.
Palabras clave: Rompimiento espontáneo de simetría, oscilador armónico simple, bosón de Higgs.
Abstract: The purpose of the present work is to offer a simple explanation for the Spontaneous Breaking of Symmetries in a didactical manner, designed for professors who teach the spontaneous breaking of symmetry with the Higgs Boson, as part of their basic modern physics course. To accomplish this purpose we have developed a mathematical model based on the behavior of a spring which obeys to the simple Harmonic oscillator movement, and the presence of this with an electric charge oscillating. As a result, we obtain that the light released from oscillations of the electric charge, the photons, contain the double amount of mass when the spring is elongated beyond of its elastic limit as consequence of the action from an external force breaking the original symmetry of the system.
Keywords: broken symmetry, photon, harmonic oscillator, Higgs Boson.
Introducción
Se tiene como propósito aportar una explicación sencilla del fenómeno de la ruptura espontánea de simetría y del papel que juega el bosón de Higgs en la generación de la masa. Está dirigido a quienes tienen un conocimiento básico de la física y desean difundir estas ideas entre los estudiantes del nivel medio superior o que se encuentran en los primeros semestres de alguna carrera científica.
El anuncio del descubrimiento del bosón de Higgs en julio de 2012 marcó un hito en la ciencia y en la comprensión que el hombre tiene sobre la naturaleza. La razón de la importancia de este hallazgo es que el bosón de Higgs es la última pieza del rompecabezas del llamado modelo estándar de la constitución de la materia del universo.
El descubrimiento confirmó la predicción realizada por Peter Higgs, junto con otros científicos, de la existencia de esa partícula en 1964 (Lederman, 1993). En su trabajo original, Peter Higgs estableció mecanismo de Higgs, el que da cuenta de cómo las partículas elementales adquieren masa. Este mecanismo descansa en la existencia de un tipo especial: la partícula de Higgs.
El artículo está dividido de la siguiente manera: primero se expone brevemente en qué consiste el modelo estándar. Una presentación del mecanismo de Brout, Englert y Higss se da en la segunda sección. En la sección tres se propone el modelo de una carga eléctrica oscilante como un sistema análogo al fenómeno de Higgs. Finalmente, se plantean las conclusiones y algunos comentarios.
1. El modelo estándar de las partículas elementales
Cuando uno mira en los objetos que nos rodean, es curioso darse cuenta de que todo eso no es otra cosa sino la construcción hecha de partículas sujetas a fuerzas, y que todas las propiedades de la materia se derivan de las propiedades de estas partículas constituyentes. Desde este punto de vista, algunas propiedades, aparentemente insignificantes, resultan ser de gran importancia. Una de estas propiedades es la diferencia en la masa de los diversos tipos de partículas que existen en la naturaleza. El modelo estándar es la explicación moderna de cómo está constituida la materia, ya que las partículas y las fuerzas que actúan entre ellas, tal y como las comprendemos hoy, forman parte de este modelo. El modelo estándar tiene reglas de cálculo bien definidas que concuerdan muy bien con los experimentos. Todavía tiene muchos secretos que develar, pero aún con eso, representa la culminación de 400 años de estudio en nuestra comprensión de la naturaleza (Veltman, 2003).
Es posible que el lector esté familiarizado con la idea de que la materia es una colección de átomos, los cuales tienen un núcleo con electrones que circulan a su alrededor. Los núcleos están compuestos de protones y neutrones, y éstos a su vez están constituidos por quarks. Hay otras entidades físicas que participan en la forma en que está constituido el núcleo, pero de alguna manera esta imagen nos da mucha información sobre éste. Sin importar la complejidad de la materia, la idea básica es la misma: átomos, electrones, núcleo, protones, neutrones y quarks.
Se ha mencionado que los protones y neutrones están formados por quarks; sin embargo, no ocurre así con los electrones, ya que en ningún experimento se ha comprobado que tengan una estructura interna. Únicamente los electrones y los quarks son considerados como indivisibles según el modelo estándar (Bergström y Botner, 2013). Debido a esto, a los electrones y a los quarks se les conoce como partículas elementales. Existen seis tipos de quarks: up, down, charm, strange, top y bottom. Los protones y neutrones están constituidos por quarks de los primeros dos tipos (figura 1). A todas aquellas partículas constituidas por quarks se les conoce como hadrones.

En el modelo estándar el protón tiene carga eléctrica +e (en unidades donde la carga eléctrica del electrón es -e) y este contiene tres quarks: dos quark up y un quark down. Los quarks down poseen carga eléctrica de -1/3e y los quark up de +2/3e. El neutrón contiene dos quarks down y un quark up, lo que resulta en que este es eléctricamente neutro (Georgia State University, 2014).
Hay fuerzas que actúan entre estas partículas, de las cuales las interacciones electromagnéticas son las más familiares. Las fuerzas que mantienen a los protones y neutrones juntos en el núcleo son de un alcance pequeño, alrededor de 10-13 cm (Bergström y Botner, 2013), las cuales son básicamente las mismas que unen a los quarks en un protón o un neutrón, y son conocidas como fuerzas fuertes, y que lo son más que las fuerzas eléctricas. Pero uno podría preguntarse: ¿de qué manera se da esta unión? En el modelo estándar se sabe que existen partículas llamadas gluones, cuyo nombre se deriva de glue (pegamento), las cuales causan esta unión y tienen una presencia dominante en el núcleo de un átomo. Quizá sorprenda al lector saber que las fuerzas fuertes (que no siempre son atractivas) son más intensas que las eléctricas; no obstante, estas tienen corto alcance y rápidamente se hacen débiles fuera del núcleo, y por ello los electrones no son afectados por las fuerzas fuertes. Los electrones se encuentran ligados al núcleo debido a fuerzas electromagnéticas, en donde partículas llamadas fotones virtuales hacen el trabajo de unir los electrones al núcleo del átomo (Georgia State University, 2014).
Las fuerzas gravitacionales no forman parte del modelo estándar, ya que son extremadamente débiles al nivel de las partículas elementales (Bergström y Botner, 2013). Existe también una cuarta fuerza llamada la fuerza débil, que es responsable del decaimiento radioactivo beta, el cual es necesario, por ejemplo, para los procesos nucleares dentro del sol. Si esto no fuera así, el sol no brillaría como lo hace. Las interacciones débiles siempre involucran el intercambio de un llamado bosón vectorial. Hay tres de tales bosones: dos tienen carga eléctrica y uno es eléctricamente neutro. Estas partículas masivas son denotadas por W+, W- y Z0 (Georgia State University, 2014) que, junto con el fotón, partícula involucrada en la interacción electromagnética, son parte del modelo de unificación de las interacciones débiles y electromagnéticas. Las partículas W+, W- y Z0 son diferentes al fotón, su masa en reposo es cero. La diferencia en sus masas se atribuye a la ruptura espontánea de simetría de un campo llamado electrodébil (Bergström y Botner, 2013).
Las cuatro fuerzas fundamentales que conocemos de la naturaleza alguna vez estuvieron juntas en el universo en una sola, la Fuerza Primordial. Al momento del Big Bang, todas las partículas no tenían masa y estaba la fuerza primordial presente. Este orden ya no existe. Algo sucedió 10-11segundos después del Big Bang, y la temperatura del universo comenzó a descender. Su temperatura en el inicio era extremadamente alta. Conforme se expandió el universo, su temperatura descendió. Muy por encima de cierta temperatura crítica (Tc ~ 1016 K) (Kirzhnits et al., 1972), la fuerza primordial se dividió en la fuerza gravitacional y la fuerza unificada (donde la interacción fuerte estaba unida con la interacción electrodébil). Cuando descendió más la temperatura del universo, la fuerza unificada se descompuso en la fuerza fuerte y la fuerza electrodébil. Para entonces, con temperatura todavía por encima de esta temperatura crítica, los bosones W+, W- y Z0 eran no masivos como el fotón, y las fuerzas débil y electromagnéticas debieron haber sido esencialmente iguales. Esta simetría se rompió espontáneamente cuando la temperatura cayó por debajo de los 1015 K; la fuerza electrodébil se dividió en la fuerza débil y la fuerza electromagnética, ambas un aspecto muy diferente (Hooft, 2008). El mecanismo de ruptura de simetría es llamado el mecanismo Brout, Englert y Higgs, que supone la existencia de un tipo especial de partícula conocida como el bosón de Higgs.
2. Mecanismo de Brout, Englert y Higgs
El modelo estándar unifica a tres de las cuatro fuerzas fundamentales de la naturaleza. Durante mucho tiempo no se comprendió cómo las fuerzas fundamentales funcionaban; por ejemplo, no se comprendía cómo la luna puede sentir la atracción gravitacional de la tierra.
La tierra atrae a la luna. Se considera a esto una acción a distancia, dado que los cuerpos interactúan aun cuando no están en contacto. El problema que entraña la acción a distancia, interacción instantánea entre cuerpos, se puede resolver concibiendo a la gravedad en términos de un campo de fuerza. Es posible considerar que las propiedades del espacio que rodea a cualquier masa están modificadas, de tal forma que otra masa que se introduzca en esta región experimentará una fuerza. Esta alteración del espacio es el campo gravitacional, donde tiene una magnitud que es igual a la fuerza por unidad de masa y que está definido en cada punto del espacio. Así, se puede considerar que la Luna interactúa con el campo gravitacional de la Tierra. El campo tiene el cometido de intermediario en nuestra concepción de las fuerzas entre cuerpos.
Los campos tienen tanto magnitud como dirección y pueden representarse gráficamente como flechas. Todas estas flechas apuntan en la dirección de la fuerza que experimentaría un cuerpo en esa región del espacio (Hewitt, 2009). Michael Faraday (1791-1867) fue sin duda el primero en introducir esta idea al adjudicar a toda partícula cargada eléctricamente líneas de fuerzas del campo eléctrico ejercidas a su alrededor. Al respecto, habría una distinción entre una partícula y un campo. Sin embargo, esto deja de tener sentido al adentrarnos en el mundo de la física cuántica, ya que según ésta existen partículas que son intermediarias de la interacción de los campos con la materia. En este sentido, los fotones son las partículas, o cuantos, del campo electromagnético. Se dice entonces que el campo está cuantizado. En la física cuántica todo es visto como una colección de vibraciones de campos cuánticos. Estas vibraciones son llevadas a través del campo en pequeños paquetes, o cuantos, los cuales aparecen como partículas. El modelo estándar es una teoría cuántica de campos, donde los campos y las partículas son los bloques esenciales del universo (Bergström y Botner, 2013).
Se ha hecho mención que el modelo estándar trata con simetrías entre las diferentes fuerzas fundamentales de la naturaleza a distintas temperaturas que tuvo el universo. Una de las simetrías del modelo estándar prohíbe que las partículas tengan masa; recuérdese que cuando las fuerzas débiles y electromagnéticas eran esencialmente iguales, los bosones W+, W- y Z0 eran no masivos como el fotón. Esta simetría se rompió espontáneamente cuando la fuerza electrodébil se descompuso en la fuerza electromagnética y la fuerza débil. El resultado de esta ruptura de simetría consistió en que los bosones vectoriales intermediarios obtuvieron masa, mientras que el fotón no. ¿De dónde obtuvieron su masa estos bosones? Aquí es donde Brout, Englert y Higgs introdujeron en la teoría su ingenioso mecanismo, el cual da cuenta de cómo estas partículas obtuvieron masa.
Según Higgs, Englert y Brout, el estado simétrico del campo unificado, estado base, corresponde al caso de campos sin masa; sin embargo, la existencia de un nuevo campo elevaría la energía de este estado por encima de otro estado base en el que los bosones adquieren masa. A este nuevo campo se le denominó campo de Higgs. En este sentido, el campo de Higgs rompe espontáneamente la simetría del campo unificado (Georgia State University, 2014). Para esclarecer esto, a menudo se emplea un ejemplo en términos de la interacción gravitatoria para una bola en lo alto de un sombrero mexicano. Un sombrero mexicano puesto horizontalmente es perfectamente simétrico (figura 2). Al poner una bola en el pico del sombrero, el sistema permanecerá simétrico mientras ésta no se mueva. Si esto sucede, la simetría bola-sombrero se romperá y la bola se depositará en el fondo del sombreo en un estado antisimétrico de energía mínima; el estado simétrico es de mayor energía potencial que el estado antisimétrico. Ahora, si se deja a la bola en el borde del sombrero, habrá simetría por un momento, pues la bola tendrá libertad para caer en cualquier dirección en el sombrero. Sin embargo, cuando cae, hay una ruptura espontánea de simetría y la simetría queda escondida (Tanedo, 2011).

Es posible entender la ruptura espontánea de simetría al considerar lo que ocurre en el caso de un resorte que en un estado inicial oscila respecto a un punto de equilibrio; en tal situación el resorte estará sujeto a una fuerza restauradora conocida como fuerza de Hooke. El potencial asociado tiene una representación gráfica que corresponde a un perfil parabólico perfectamente simétrico. Se dice que éste es un potencial simétrico ante una reflexión respecto al eje y la cual también se conoce como simetría axial. Sin embargo, si a este mismo resorte se le aplica una fuerza que lo estire hasta exceder su límite de elasticidad, el potencial del resorte pierde su simetría axial original y el resorte adquiere una nueva posición de equilibrio respecto de la cual ejecuta oscilaciones.
El campo de Higgs en el modelo estándar actúa en forma similar a la fuerza que elonga al resorte hasta exceder su límite de elasticidad rompiendo su simetría inicial. El campo de Higgs actúa sobre el campo electrodébil llevándolo de un estado simétrico de una determinada energía a un estado antisimétrico de una energía menor (energía mínima). El bosón de Higgs tal y como es visto en el modelo estándar es una vibración del campo de Higgs.
El campo de Higgs es el responsable de la ruptura espontánea de la simetría, y por consiguiente de la aparición de la masa. Introduce cuatro nuevas partículas, de las cuales tres de ellas se mezclan con los bosones W+, W- y Z0 de forma que adquieren masa. La cuarta partícula que es el fotón permanece sin masa; los bosones resultan ser los portadores de la interacción débil y el fotón el portador de la interacción electromagnética. De este nuevo arreglo, sobra una partícula de Higgs que no se mezcla, y por tanto se convirtió en una predicción de la teoría; es justamente el bosón de Higgs, cuya existencia fue exitosamente comprobada, hasta donde se sabe, en 2012.
3. Modelo de la carga oscilante
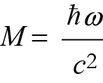
Imagine un resorte, el cual tiene en un extremo una partícula de cierta masa. Al jalar el resorte, ésta oscilará con una frecuencia determinada por su masa y la constante de rigidez del resorte. Si la partícula se carga eléctricamente, y se hace que oscile, entonces se emitirá radiación con la misma frecuencia que la oscilación. Esta radiación electromagnética está constituida de fotones, de acuerdo con la mecánica cuántica, cada uno con una energía dada por E = ħω, la cual es la ecuación de cuantización de Einstein-Planck de la energía. Donde ħ es la constante de Planck dividida entre 2π y ω es la frecuencia de oscilación de la carga eléctrica. Igualando esta energía del fotón con la dada por la ecuación de Einstein E= mc2, expresión que establece la equivalencia entre la energía y la masa de una partícula, se obtiene:

Por otra parte, si en un segundo experimento, el resorte se estirara con una fuerza tal que se excediera su límite elástico, entonces la simetría axial del potencial del resorte se alteraría (figura 3). El sistema entonces alcanzaría un nuevo punto de equilibrio respecto del cual ejecutaría sus oscilaciones. En este nuevo movimiento oscilatorio, la carga eléctrica emitiría radiación electromagnética, la cual a su vez estaría constituida por fotones, cada uno con la nueva energía de los fotones emitidos, la cual sería E' = ħω', donde la frecuencia ω' es la nueva frecuencia con la que oscilaría el sistema una vez rota la simetría.

El resultado es que calculando esta frecuencia ω', se encuentra que al compararse con la frecuencia ω inicial, la masa que porta el fotón emitido una vez rota la simetría tiene el valor m' = 2m , siendo m' la masa de ese nuevo fotón. Este resultado nos indica que el fotón ha adquirido el doble de la masa que inicialmente tenía (para una revisión detallada de cómo se han obtenido estos resultados, se invita al lector a estudiar los cálculos de la siguiente sección, en donde encontrará la justificación a tales aserciones). La fuerza que estira al resorte, al cual está sujeta la carga eléctrica, actúa en forma análoga al campo de Higgs respecto al campo unificado, ya que rompe la simetría espontáneamente, y como consecuencia se da un cambio en la masa del fotón emitido al incrementar su masa.
4. Desarrollo del ejemplo de la carga que vibra al oscilar un resorte
A continuación se presentan las bases cuantitativas que sostienen los resultados introducidos en la sección 3 del modelo de la carga eléctrica oscilante.
La ley de Hooke nos dice que una fuerza F que actúa en un resorte produce una deformación x que es directamente proporcional a la magnitud de la fuerza aplicada. La ley de Hooke puede ser escrita matemáticamente como sigue:

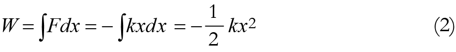
Donde: F es la fuerza aplicada al resorte, k es una constante de proporcionalidad que es una medida de la rigidez del resorte y x es el desplazamiento desde la posición inicial. Si se jala al resorte hasta cierto punto, éste adquiere una energía potencial, la cual es proporcional al trabajo necesario que se realiza para estirarlo hasta esa posición. El trabajo mecánico al aplicar una fuerza F al resorte y realizar un desplazamiento x, se calcula como sigue:

Donde W es el trabajo mecánico. Este es equivalente al cambio, con signo negativo, de la energía potencial V(x) adquirida por el sistema, esto es:

La constante k se relaciona con la masa sujeta al resorte, así como con su frecuencia de oscilación, mediante la ecuación:

La energía potencial es también llamada función potencial o simplemente el potencial. Su representación gráfica es la de una parábola con vértice en el origen. Es un potencial simétrico (gráfica 1).

Si ahora se considera una masa que tiene una carga eléctrica, entonces emite radiación electromagnética, la cual a su vez está constituida por fotones, cada uno con energía igual a E = ħw. Donde E es la energía que el fotón emitido posee y ω es la frecuencia con la que la carga eléctrica oscila.
Suponga que se jala al resorte hasta exceder su límite de elasticidad, éste experimenta una deformación que altera la simetría de su potencial asociado y entonces el sistema oscila respecto a un nuevo punto de equilibrio. En este movimiento oscilatorio, el resorte exhibe una frecuencia ω', que es diferente a la frecuencia original. En este régimen se propone un modelo de cambio de la frecuencia para el resorte deformado.
El modelo propuesto ad hoc para ilustrar un proceso de ruptura de simetría es que la frecuencia cambia de acuerdo con la ecuación:

donde γ es una constante. Esto introduce una nueva constante de resorte k'(x)en función de la variable x, la cual tiene la forma

Si se grafica esta expresión, el resultado es una curva semejante al potencial de sombrero de charro mexicano, que ya se ha discutido en las secciones anteriores como causante de la ruptura de simetría (gráfica 2). Este cambio en la frecuencia debe ser introducido en la expresión para el potencial V(x) a fin de conocer la forma del nuevo potencial:


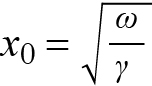
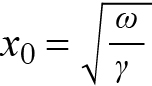
En particular, se desea estudiar los mínimos de este nuevo potencial, y cómo la partícula oscila en el nuevo punto de equilibrio, que se obtiene al hacer la primera derivada del potencial igual a cero. Esto es equivalente a encontrar la posición donde la fuerza neta ejercida por el resorte sobre lapartícula es igual a cero.

Físicamente esto significa que x0 es un punto de equilibrio. De esta ecuación se obtienen dos soluciones, o puntos críticos, de la función:

Para investigar si estos puntos críticos corresponden a máximos o mínimos del potencial, se requiere obtener la segunda derivada de este. Si el punto es un máximo, entonces la segunda derivada evaluada en el punto será negativa, si es un mínimo entonces esta última será positiva. Calculando la segunda derivada del potencial y evaluándola en los puntos críticos obtenidos se obtiene:


De esto, se concluye que el punto x0 corresponde a un mínimo y x'0 a un máximo del potencial. El primer punto corresponde a un punto de equilibrio estable, en cuya vecindad la partícula cargada se moverá con un movimiento de oscilador armónico simple. La forma del potencial en las proximidades de este nuevo punto de equilibrio se puede obtener al hacer un desarrollo en serie de Taylor en torno de
. El primer término, que es el que interesa, es:

El resultado es un nuevo potencial de tipo oscilador armónico simple centrado en el punto
. Esto significa que la nueva constante de resorte es:

La nueva frecuencia de oscilación, en torno a
, es igual a:

De esta forma, la partícula cargada tiene una nueva frecuencia de oscilación, y por lo tanto emite radiación con esa frecuencia. Los fotones emitidos tienen una energía igual a:

Los fotones que se emiten tienen una masa, de acuerdo a la ecuación de masa-energía de Einstein, igual a:

La masa de los fotones emitidos son iguales al doble de la masa de los fotones emitidos cuando el resorte no estaba deformado. Esta deformación se puede considerar como una ruptura de simetría del potencial original del oscilador. En resumen: el alargamiento del resorte mas allá del límite elástico provoca no sólo un cambio en el punto de equilibrio de oscilación del resorte, sino que la masa de los fotones emitidos por la masa cargada oscilante se duplique.
Comentarios y conclusiones
En las dos últimas secciones se ha mostrado un modelo de carga vibrante ideado ex professo para ilustrar la ruptura de simetría y la emisión de fotones cuyas masas se duplican debido a que sus frecuencias se duplican. De esta forma, los fotones con frecuencia correspondiente al color azul son más masivos a aquellos cuya frecuencia está asociada a la luz roja. Por otra parte, es importante subrayar que los fotones no tienen masa en reposo. Según los últimos datos experimentales, la posible masa del fotón mfotón (Veltman, 2003) tendrá como orden de magnitud mfotón< 6×10−16 electrón volts.
La analogía entre el campo de Higgs y la fuerza que estira al resorte proviene del hecho de que en ambos casos son los responsables del rompimiento de simetría del potencial original, y como consecuencia se presenta un cambio en la masa de las partículas: los bosones W+, W- y Z0 en el modelo estándar y del fotón en el modelo de la carga eléctrica oscilante.
Las partículas adquieren masa únicamente en contacto con el campo de Higgs. Si este campo no existiera, nada de lo que hay en el mundo existiría, incluso nosotros. Las partículas que interactúan fuertemente con este campo llegan a ser partículas masivas; las que interactúan débilmente con el campo de Higgs se convierten en ligeras y las partículas que no interactúan con el campo de Higgs no adquieren masa. La confirmación de la existencia del bosón de Higgs constituiría el hallazgo de la última pieza que falta en el modelo estándar. Sin embargo, este progreso representa apenas la comprensión de un 4% de toda la materia del universo. El resto es materia y energía oscuras. La confirmación del bosón de Higgs es sin duda un gran paso hacia más investigación en este tema para el futuro (Bergström y Botner 2013).
Análisis prospectivo
La enseñanza de la ciencia, y en particular de la física, es un campo en continua evolución. Las formas tradicionales de enseñanza han mostrado sus limitaciones (Fuller et al., 1977), puesto que dichos enfoques implican la memorización de información y la resolución de ejercicios rutinarios. Por otra parte, se han desarrollado métodos más adecuados para el aprendizaje efectivo de los contenidos y de los métodos utilizados en la ciencia con el objetivo es fomentar el desarrollo cognitivo de los individuos. La estrategia empleada en estos nuevos modelos es la construcción del conocimiento, la cual implica un proceso de asimilación y apropiación de la información. El proceso se completa cuando el alumno acomoda los conocimientos, y los métodos, a su estructura cognitiva previa (Piaget, 1958).
La creación de los métodos y las estrategias para la construcción del conocimiento científico accesible para los estudiantes de los niveles básicos es un reto para los profesionales del campo de la enseñanza. Este trabajo plantea una nueva estrategia futura de enseñanza de las ciencias físicas. Se busca exponer temas de la física contemporánea a un nivel que rebase soló la divulgación. Los contenidos son ligados a los conocimientos previos que poseen los alumnos acerca de sistemas accesibles a su experiencia inmediata. De esta forma, apropiarse la información resulta reforzada por la discusión conceptual, el uso de las matemáticas elementales y la motivación que se deriva de conocer un tema en la frontera del conocimiento.
Una de las metas de la enseñanza de las ciencias es la búsqueda de métodos para conducir a los alumnos a la comprensión de la ciencia y la tecnología contemporánea. Conseguir una continua fuente de motivación en el estudio de la ciencia es una de la metas a alcanzar en las aulas (Donovan y Bransford, 2005).
Los estudiantes se motivan al comprender, aunque de forma sumaria, los temas que se consideran más excitantes en la ciencia: el origen del universo, la estructura de la materia, el estudio de los hoyos negros, la relatividad, la mecánica cuántica.
En este trabajo se ha buscado desarrollar un tema de gran interés para los estudiantes y para el público en general: la explicación de lo que es la partícula de Higgs. Para alcanzar esta meta, no sólo se discutieron las ideas generales del tema, también se diseñó un modelo basado en ideas elementales acerca de los osciladores armónicos simples para darle contenido matemático a los conceptos usados. El ejemplo mostrado es más que una simple analogía, muchos de los cálculos involucrados están ligados estrechamente con la situación real expresada en el mecanismo explicado por Brout, Higgs y Englert.
El futuro de la enseñanza de las ciencias, y en particular de la física, requiere del diseño de nuevos modelos conceptuales y matemáticos que permitan un aprendizaje más cercano para los estudiantes de los temas de la ciencia contemporánea.
Referencias
Bergström, L. y Botner, O. (2013). The Nobel comittee for physics/Popular sicence background Nobel prize”. Estocolmo: The Royal Swedish Academy of Sciences.
Donovan, S. y Bransford, J. D. (2005). How students learn: Science in the classroom. National Academic Press.
Fuller, R. G., Karplus, R. y Lawson, A. E. (1977). Can physics develop reasoning? Physics Today.
Georgia State University (Department of Physics and Astronomy) (2014). Quarks and Standard Model. Disponible en http://hyperphysics.phy-astr.gsu.edu/hbase/Particles/quark.html
Hewitt, P. G. (2009). Conceptual Physics. Pearson New International Edition.
Hooft, G. T. (2008). Partículas elementales. En busca de las estructuras más pequeñas del universo. Barcelona: Crítica
Kirzhnits et al. (1972). Quantum Field Theory, en Lewis H. Ryder (ed.) (2nd ed., 2001). United Kingdom: Cambridge University Press.
Lederman, L. (1993). The god particle. If the universe is the answer, what is the question? New York: Hougthon Mifflin Company.
Piaget, J. (1958). The growth of logical thinking from childhood to adolescence. amc, 10, 12.
Tanedo, P. (2011). Why do we expect a Higgs boson? Part I. Electroweak Symmetry Breaking. Consultado en http://www.quantumdiaries.org/2011/11/21/
Veltman, M. J. G. (2003). Facts and mysteries in elementary particle physics. WorldScientific Publishing.
Notas de autor
mathematicsp@hotmail.com
Enlace alternativo
http://cienciaergosum.uaemex.mx/index.php/ergosum/article/view/3040 (html)