Ciencias Exactas y Aplicadas
Método quasi-estacionario en el estudio de perturbaciones a las soluciones solitónicas de la ecuación no lineal de Schrödinger
Quasi-stationary method in the study of perturbations to the solitonic solutions of the nonlinear Schrödinger equation
Método quasi-estacionario en el estudio de perturbaciones a las soluciones solitónicas de la ecuación no lineal de Schrödinger
CIENCIA ergo-sum, Revista Científica Multidisciplinaria de Prospectiva, vol. 28, núm. 2, 1, 2021
Universidad Autónoma del Estado de México

Recepción: 12 Julio 2019
Aprobación: 17 Diciembre 2019
Resumen: Se exponen las ideas fundamentales del análisis de perturbaciones a multiescalas, también llamado método quasi-estacionario para soluciones tipo solitón. En esta aproximación las ecuaciones diferenciales no lineales perturbadas son linealizadas expandiendo las soluciones alrededor de las soluciones sin perturbar. En consecuencia, se calculan las autofunciones del operador linealizado para poder obtener las perturbaciones de la solución solitónica. Además, se estudia la evolución de estructuras no lineales contenidas en la ecuación no lineal de Schrödinger y en la ecuación cúbica-quinta no lineal de Schrödinger con amortiguamiento. Las soluciones muestran la variación de los parámetros del solitón debido a este efecto.
Palabras clave: aproximación directa, solitones, amortiguamiento, ecuación no lineal de Schrödinger, ecuación cúbica-quinta de Schrödinger.
Abstract: The fundamental ideas of the multi-scale analysis of perturbations, also called quasi-stationary method, for soliton-like solutions are exposed. In this approach the perturbed nonlinear differential equations are linearized by expanding the solutions around the undisturbed solutions. Consequently, the auto-functions of the linearized operator are calculated to obtain the disturbances of the solitonic solution. Moreover, the evolution of non-linear structures contained in the non-linear Schrödinger equation and cubic-fifth nonlinear Schrödinger equation with damping is studied. The solutions show the variation of the soliton parameters due to this effect.
Keywords: Direct approach, solitons, damping, nonlinear Schrödinger equation, cubic-fifth nonlinear Schrödinger equation.
Introducción
El estudio de las perturbaciones de solitones ha sido uno de los principales problemas en las décadas pasadas debido a la importancia que adquieren en la descripción de múltiples problemas físicos. Dichas perturbaciones se han estudiado a partir de diferentes enfoques; los de mayor aceptación han sido los que toman como base el método de dispersión inversa (Hermann, 1990; Karpman y Maslow, 1977) y los métodos que consideran aproximaciones directas (Yang et al., 1998; Flesh y Trullinger, 1987). En estos estudios los términos perturbativos se deben al hecho de que las ecuaciones no lineales de evolución que surgen para explicar estos fenómenos, como la ecuación KdV (Korteweg de Vries), la ecuación de Hirota-Satsuma, la ecuación de sine-Gordon, entre otras, son el resultado de aproximaciones o expansiones asintóticas de una ecuación más general. Si bien con ellas se logra un buen entendimiento del problema en la mayoría de las ocasiones, para abordar con mayor exactitud el fenómeno se deben considerar términos de orden superior. Aunado a esto, es sabido que los sistemas físicos gobernados por ecuaciones diferenciales no lineales son sensibles a la interacción con el medio. Aunque en la mayoría de los casos esta contribución se desprecia sin una pérdida importante de generalidad, sigue siendo una manera muy ideal de concebir el problema. Por ejemplo, la contribución de las perturbaciones juega un papel fundamental en el estudio de la dinámica interna del ADN, donde no sólo la interacción con el medio juega un papel preponderante, también la inhomogeneidad en las hebras dobles del ADN actúa como una perturbación sobre todo el sistema (Daniel y Vanitha, 2011). Estas inhomogeneidades son cruciales para entender los sitios promotores en el ADN. Generalmente, estas interacciones se introducen como términos perturbativos que afectan a la ecuación original que describe a todo el sistema físico. Por consecuencia, estos términos adicionales se consideran perturbaciones producidas por dicha interacción en las excitaciones no lineales que describen al sistema en un inicio. De entre las ecuaciones más significativas de la física no lineal podemos mencionar a la ecuación no lineal de Schrödinger con no linealidades de orden superior, ya que es fundamental en la descripción de fenómenos físicos no lineales y su aplicación ha sido ampliamente demostrada. Suele aparecer cuando se tratan de explicar fenómenos como la dinámica de olas de agua poco profundas o pulsos de luz en fibras ópticas (Triki y Taha, 2012; Zayed y Amer, 2017; Craik, 1985; Kurkina et al., 2011, Gedalin et al., 1997; Goullet y Choi, 2011).
Como un caso particular de interés tenemos a la ecuación no lineal de Schrödinger con no linealidad cúbica-quinta comúnmente conocida como ecuación cúbica-quinta no lineal de Schrödinger, la cual aparece en muchas ramas de la física, por ejemplo, la hidrodinámica nuclear con fuerzas de Skyrme (Kartavenko, 1984), en el condensado de Bose-Einstein (Abdullaev et al., 2001; Burger et al., 1999), en la física de plasmas (Zhou y He, 1994), para un sólido elástico generalizado (Hacinliyan y Erbay, 2004), en la dinámica no lineal del ADN interactuando con una proteína (Agüero et al., 2011) y las aplicaciones principales son en óptica no lineal para describir la propagación de pulsos ópticos en medios dieléctricos de tipo Kerr (Kumar et al., 1986). Debido a su importancia, recientemente se han realizado diferentes esfuerzos para encontrar nuevas soluciones exactas que emplean diversas herramientas matemáticas disponibles. Como ejemplo de esta afirmación, se consideran las nuevas soluciones en términos de funciones elípticas de Jacobi (Peng y Krishnan, 2007) y nuevas soluciones tipo solitón con coeficientes modulados (Belmonte-Beitia y Cuevas, 2009).
En esta contribución se pretende estudiar la evolución de excitaciones no lineales en sistemas gobernados por la ecuación no lineal de Schrödinger y la ecuación cúbica-quinta no lineal de Schrödinger con un término de amortiguamiento. Para ello emplearemos el método de análisis de multiescalas propuesto por Y. Kodoma y M. J. Ablowitz (Kodoma y Ablowitz, 1981), usualmente conocido como método quasi-estacionario. Esta aproximación directa al estudio de perturbaciones de soluciones tipo solitón usa la identidad de Green. En esta aproximación las ecuaciones no lineales perturbadas son linealizadas expandiendo sus soluciones alrededor de las soluciones originales no perturbadas, lo cual conlleva a encontrar las auto-funciones del operador linealizado asociado a la ecuación linealizada. Estas auto-funciones son usadas ya sea para construir la función de Green o para invertir las ecuaciones linealizadas o de alguna forma alternativa con el objetivo de calcular las correcciones a primer orden. El procedimiento es recursivo; por lo tanto, una vez conocida la solución para la ecuación no perturbada, se puede obtener la ecuación perturbada a primer orden y, una vez obtenida la solución para la ecuación perturbada a primer orden, se usa para obtener la solución de la ecuación a segundo orden y seguir así sucesivamente. Este método resulta ser una herramienta particularmente útil debido a que no requiere de conocimientos avanzados del método de dispersión inversa.
Este artículo está organizado de la siguiente manera: en la primera sección se expone de manera concreta el método quasi-estacionario. En la segunda sección se ilustrará este método detalladamente para la ecuación no lineal de Schrödinger perturbada para estudiar cómo las estructuras no lineales del sistema evolucionan a medida que el tiempo transcurre debido al término perturbativo. Finalmente, se obtendrán las perturbaciones a primer orden de la solución de la ecuación cúbica-quinta no lineal de Schrödinger y se mencionarán algunas aplicaciones. Por último, se presenta un análisis prospectivo y las conclusiones.
1. Aproximación directa a la perturbación de solitones usando el método de multiescalas
Partimos de la ecuación de onda dispersiva no lineal perturbada de la forma
(1)siendo K y F funciones no lineales de q, qx, ... Para γ = 0 obtenemos la ecuación no perturbada
(2)donde q0 es una onda solitaria o una solución tipo solitón. Ahora escribimos la solución en términos de las variables lentas y rápidas:
(3)Las variables rápidas de tiempo son denotadas por θi (i = 1, …, m), mientras que las variables lentas por T = γt y Pi (i = 1, ..., N), parámetros que dependen de las variables lentas. Aquí las variables θ satisfacen ∂θ/∂x = 1 y ∂θ/∂t = Pi y Pi = Pi (T) con la finalidad de remover términos seculares. Por lo tanto, estas soluciones son llamadas solucionesquasi-estacionarias
. De este modo, se asume una expresión de la siguiente forma:
(4)Sustituyendo q en la ecuación (1) llegamos a las ecuaciones de primer orden:
(5)donde
es una ecuación linealizada de K (q, qt, qx, …) = 0. Podemos denotar como vi (i = 1, …, M) a las M soluciones del problema homogéneo adjunto que satisfacen
(6)donde LA es un operador adjunto de L, tenemos que
(7)La última ecuación puede ser integrada para dar las condiciones de secularidad, por lo cual estamos en posición de calcular la solución para q1 al considerar las apropiadas condiciones de frontera. Para ejemplificar de manera detallada cómo se emplea el método se considerarán dos ecuaciones fundamentales de la física no lineal, que como se mencionó aparecen en una amplia cantidad de problemas físicos.
2. Análisis perturbativo para la ecuación no lineal de Schrödinger con amortiguamiento
Comencemos con la ecuación no lineal de Schrödinger con amortiguamiento expresada de la siguiente manera:
(8)donde la parte ubicada al lado derecho de la igualdad se considera como una perturbación débil y la constante de acoplamiento débil γ es un parámetro de la perturbación. De la ecuación anterior podemos ver claramente que cuando γ = 0 obtenemos la ecuación no lineal de Schrödinger, cuya solución tipo solitón está dada por
(9)donde
(10)Siguiendo el método, se expresa la solución anterior en términos de variables rápidas y lentas. Por tanto, introducimos T = γt y consideramos que ρ, ξ, ϴ0, σ0 son funciones de esa escala de tiempo.
Podemos expresar el envolvente de nuestra solución como
(11)por lo cual se obtiene
(12)
(13)Reemplazando la ecuación (12) y (13) en la expresión (8), se obtiene
(14)con
(15)donde se asume la condición quasi-estacionaria, se obtiene
(16)Con el fin de linealizar la ecuación (16), se considera que
. Para obtener las soluciones de la ecuación no lineal de Schrödinger perturbada a primer orden sólo conservarán los términos que contengan γ0 y γ1 de la serie. Además, con el objetivo de obtener un par de ecuaciones diferenciales reales en lugar de una ecuación diferencial compleja, hacemos
. Lo anterior se resume en la siguiente expresión:
(17)Sustituyendo
dada por la expresión (17) en la ecuación (8), se obtiene:
(18a)
(18b)donde
(19a)
(19b)Para determinar si dichas ecuaciones tienen solución y las condiciones que deben cumplir, es necesario resolver las condiciones de secularidad dadas por
(20a)
(20b)Resolviendo ambas integrales, se obtiene:
(21)por lo cual obtenemos que la velocidad con la que se propaga el solitón se mantiene constante y la amplitud del solitón está dada por ρ = ρ0 exp(-2γT), es decir, la amplitud del solitón está decreciendo si γ > 0.
Se puede ver que
y
son las soluciones correspondientes a las partes homogéneas de las ecuaciones (18a) y (18b) respectivamente; asimismo, una solución para cada una de las ecuaciones. Por lo tanto, se puede encontrar una segunda solución para la parte homogénea de cada expresión. Ahora se analizará a detalle lo anterior para (18b). Sabemos que
es solución de

lo cual indica que nosotros tenemos una ecuación de la forma:
(22)De este modo, se puede llamar a la solución conocida
, entonces, según procedimientos bien conocidos, se define una segunda solución en términos de la otra como
(23)Reemplazando la expresión (23) en (24), se obtiene:

si 
Por lo tanto:

la cual puede ser fácilmente integrada para obtener el valor de U'(θ) y posteriormente el de U(θ) de donde se obtiene
(24)De forma análoga se realiza el mismo procedimiento para obtener la segunda solución de la parte homogénea de (18a) conociendo la primera, i. e., 
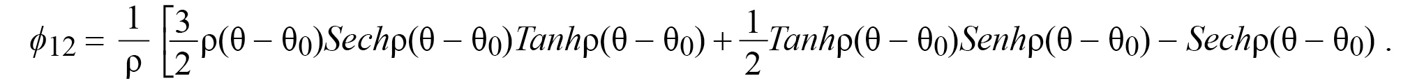
(25)Una vez logradas dos soluciones para las partes homogéneas de (18a) y (18b), se obtiene una solución general para las ecuaciones inhomogéneas; lo anterior con el uso de la variación de parámetros. Con ello la solución total ϕ1 para (18a) se obtendrá si se usa

donde
(26)

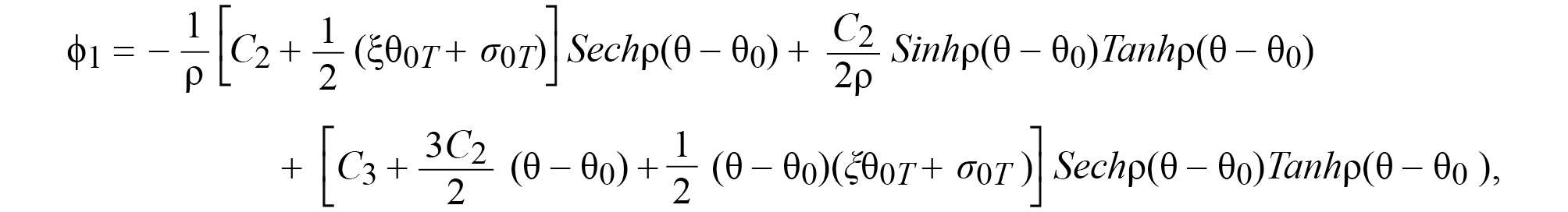
Cabe recordar que la solución general está dada por una solución particular (dada por ϕ11 y ϕ12) y una solución complementaria o, expresado en otras palabras, ϕ1 = ϕ1c + ϕ1p, donde ϕ1c es la solución para la parte homogénea de la ecuación. Por lo tanto, la solución general será:
(27)donde W, W1 y W2 están dados por las relaciones (26). Por lo tanto, tendremos que la solución general para ϕ1 está expresada de la siguiente manera:
(28)Con la intención de obtener soluciones acotadas, se hace C2 = 0. Además, para conseguir el valor de las constantes se usan las siguientes condiciones de frontera: ϕ1|θ = θ0 = c y ϕ1θ|θ = θ0 = 0. Se obtiene:
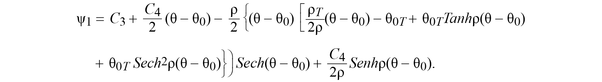
(29)El procedimiento anterior se repite con el propósito de alcanzar la solución ψ1. Una vez que se tienen dos soluciones se construye la solución total usando el siguiente Wronskiano
(30)donde
y ψ12 en (30) está dada por (25), entonces
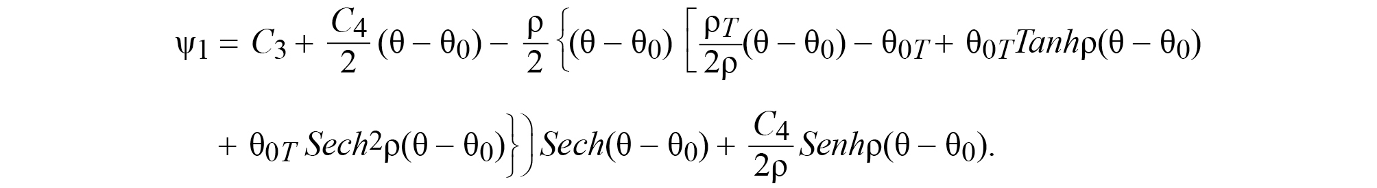
(31)Donde se hace C4 = 0 con el fin de remover términos seculares e introducir las condiciones de frontera ψ1|θ = θ0 = 0 y ψ1θ|θ = θ0 = 0. Por último, se expresa la solución ψ1 como:
(32)Recordando que la solución para
está dada por la ecuación (17), se obtiene la siguiente expresión:
(33)que se reemplaza en la ecuación (11) para obtener la solución de la ecuación no lineal de Schrödinger amortiguada. Para una aplicación a macromoléculas se recomienda al lector el trabajo de Vasumathi y Daniel (Vasumathi y Daniel, 2009).
3. Análisis perturbativo para la ecuación cúbica-quinta no lineal de Schrödinger con amortiguamiento
Uno de los problemas más grandes inherentes a la ecuación cúbica-quinta no lineal de Schrödinger o CQNSE (por sus siglas en inglés) radica en su no integrabilidad como consecuencia de la ausencia de pares de Lax, la cual es la razón principal por la que no se usan métodos perturbativos que tengan como base el método de dispersión inversa. Sin embargo, sí pueden utilizarse métodos directos para lidiar con la ecuación perturbada. Una discusión más amplia se encuentra en Pavon-Torres et al., (2019). Para estudiar la evolución de estructuras no lineales contenidas en dicha ecuación se parte de la más simple de todas las formas de la ecuación:
(34)El lado derecho de la ecuación (34) describe un efecto de amortiguamiento. El parámetro 0 < γ << 1 es el parámetro de la perturbación. Con la finalidad de estudiar la evolución de estructuras no lineales bajo el efecto de amortiguamiento, se emplea el mismo método de la sección anterior. De nuevo, cuando γ = 0 se obtiene la solución sin perturbación:
(35)que admite la siguiente solución tipo solitón brillante (Serkin et al., 2001):
(36)con
(37)Siguiendo el método quasi-estacionario, se escribe la solución tipo solitón (36) en términos de variables lentas y rápidas. Por lo tanto, se introduce la variable lenta del tiempo T = γt y A, V, θ0, σ0 son funciones de esta escala. Se escribe el envolvente para la solución de un solitón como
(38)Reemplazando (38) en (34) y asumiendo la propiedad quasi-estacionaria:
(39)donde
(40)Se asume entonces una expresión para
:

Se descartan términos de orden superior de γ, i.e., y sólo consideramos la perturbación del solitón a primer orden de manera que:

donde

y
, siendo ϕ1 y ψ1 funciones reales en las ecuaciones (39) y (40), se obtiene el siguiente sistema.
(41a)
(41b)donde
(42a)
(42b)Los operadores L1 y L2 son autoconjugados y
. Por consiguiente, las ecuaciones (41a) y (41b) tienen soluciones localizadas alrededor del solitón. Las condiciones de solubilidad del sistema son dadas por las siguientes condiciones de secularidad:
(43)donde
. Si asumimos α = 0 en las relaciones (43) tenemos que A es una constante. Para el caso donde α ≠ 0 obtenemos que
(44)que corresponde a la velocidad y amplitud del solitón respectivamente. Con la intención de obtener el valor de c, consideramos 2.9999/4 = 3Tanh(c)/α(1 + Tanh2 (c)) a un tiempo T = 0. Lo anterior con el fin de estudiar la evolución de la solución a un valor de la anchura máxima.
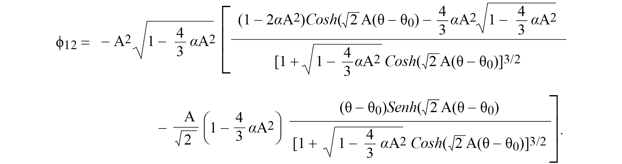
Con el objetivo de encontrar las soluciones del solitón perturbada es necesario resolver la parte homogénea de las ecuaciones (41a) y (41b), como se ha realizado en el ejemplo de la ecuación no lineal de Schrödinger amortiguada, donde se obtiene:
(45)
(46)Usando la ecuación (45) y (46), además de las condiciones de secularidad (43), se tiene la siguiente solución:
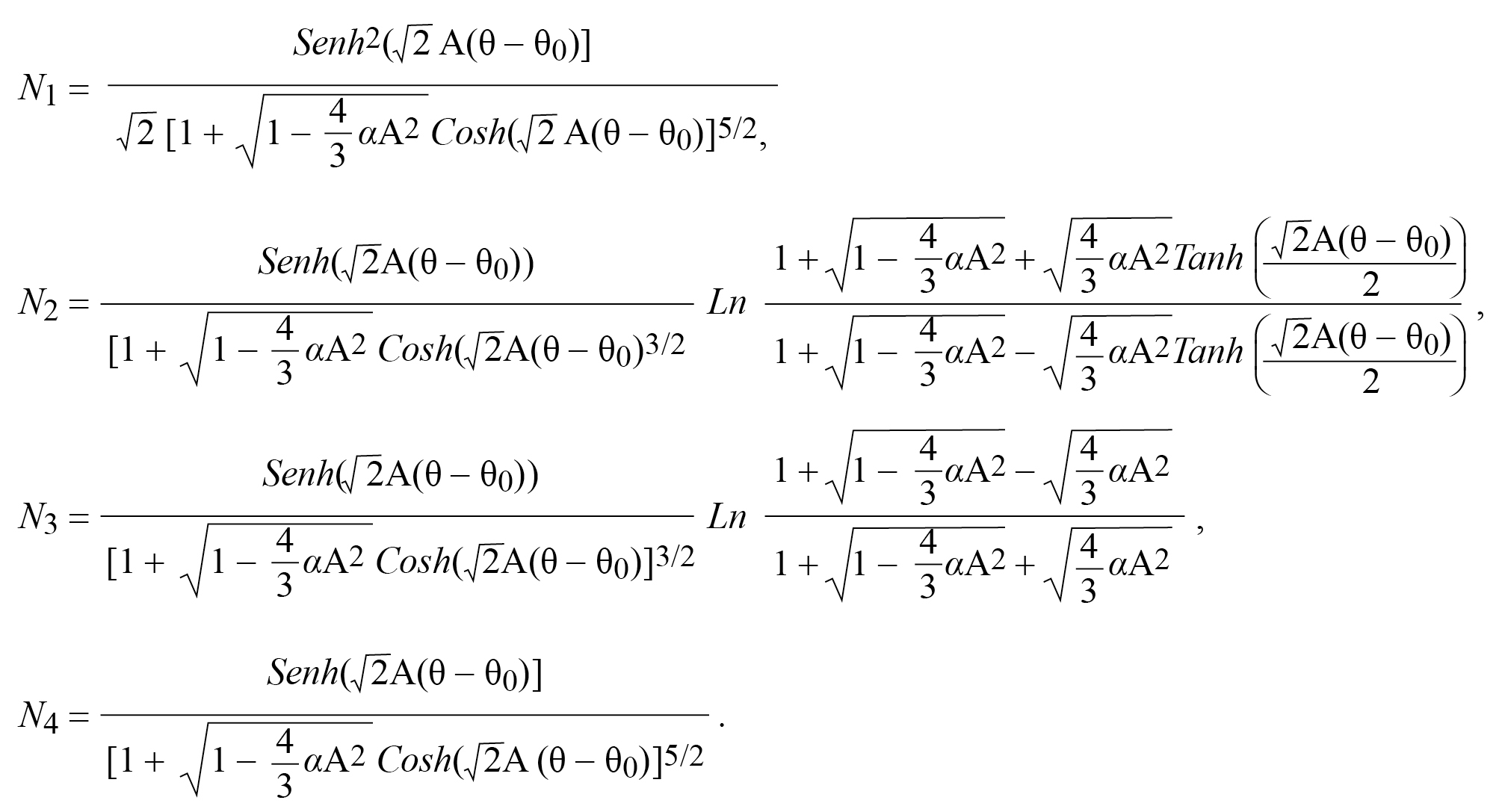
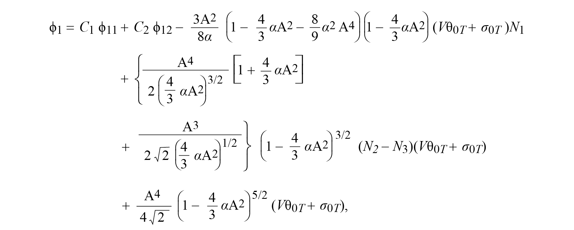
(47)con 4/3 αA2 > 0 y donde C1 y C2 son constantes arbitrarias. Además, N1, N2, N3 y N4 son funciones que dependen de θ y tienen las siguientes formas:

Ahora, consideremos θ0 = σ0 = 0 en la ecuación (36), variables que representan el centro del solitón y de la fase del solitón, respectivamente, y VT = 0 de las condiciones de secularidad (43). De esta manera, se obtiene:
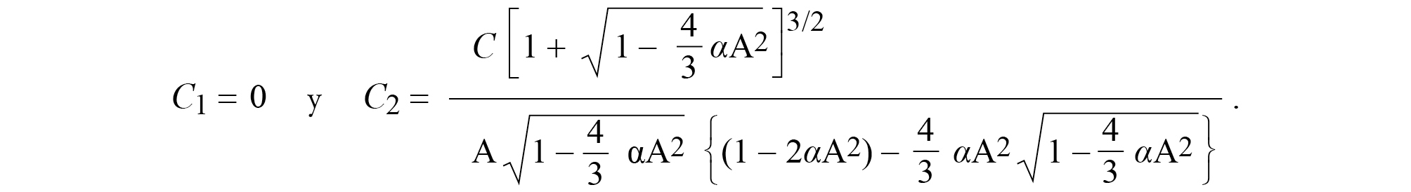
(48)Imponiendo las condiciones de frontera ϕ1|θ = 0 = C y ϕ1θ|θ = 0 = 0, se encuentran los valores de las constantes arbitrarias:

Análogamente, se halla la solución de ψ1. Primero deben encontrar las soluciones de la parte homogénea de la ecuación (41b) repitiendo el procedimiento de la sección anterior. Después de realizar los cálculos correspondientes, se obtienen las soluciones:
(49)
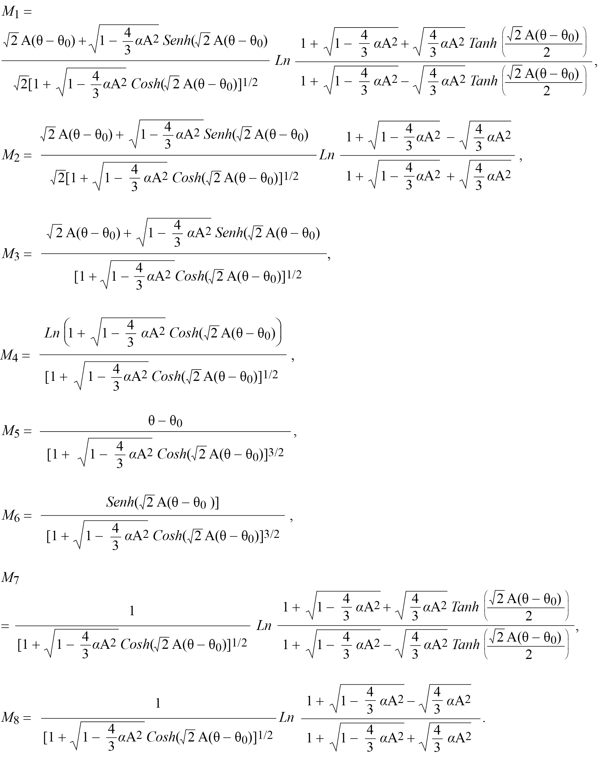
(50)De igual manera, construimos la solución general de ψ1 y se obtiene:
(51)donde Mn son funciones de θ y están dadas por:

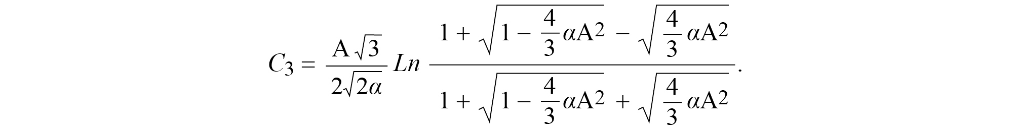
Imponemos las condiciones de frontera ψ1|θ = 0 = 0 y ψ1θ |θ = 0 = 0 con la meta de obtener las constantes C3 y C4:

Por lo tanto, se escribe la solución a la ecuación cúbica-quinta no lineal de Schrödinger con amortiguamiento de este modo:
(52)Se representa esquemáticamente |ϕ1|2 de la siguiente manera:

Se logra observar en la gráfica 1 la amplitud del solitón brillante de la ecuación perturbada bajo ciertos efectos perturbativos y decae a medida que el tiempo avanza; esto es una consecuencia de las condiciones de secularidad. Además, la velocidad permanece constante. También se nota que a medida que el valor del coeficiente de amortiguamiento se incrementa, la amplitud del solitón disminuirá con mayor rapidez.
Análisis prospectivo
Una de las principales ventajas del método quasi-estacionario en el estudio de perturbaciones en un sistema físico determinado es el hecho de que las soluciones a la ecuación perturbada son soluciones localizadas alrededor de una solución solitónica conocida. Como se sabe, la ecuación cúbica-quinta no lineal de Schrödinger admite varias soluciones en el espacio paramétrico como son las de tipo kink, burbuja, gota, soluciones viajeras triangulares y soluciones singulares (Torres y Granados, 2016). Estas soluciones ayudan a entender e interpretar una larga serie de fenómenos físicos. Asimismo, se puede encontrar una posible aplicación directa del método quasi-estacionario en el estudio de sitios promotores en el sistema molecular del ADN basados en la propagación de energía e información mediante excitaciones no lineales a lo largo de ciertas regiones de la cadena molecular. Esto representaría una oportunidad de ampliar nuestro conocimiento en los mecanismos de diversos procesos biológicos. Un antecedente se encuentra en el trabajo de S. Cuenda et al. (2006), inspirado a su vez en el de Salerno (1991), donde se analizó de manera cuantitativa la posibilidad de que las excitaciones no lineales de un modelo aproximado del ADN (modelo de péndulos) predijera sitios relevantes dentro de la misma molécula sin encontrar resultados alentadores. Estos primeros intentos fueron infructuosos debido en parte al hecho de que la solución solitónica considerada (kink-antikink) abarca una cantidad muy grande de pares de bases que participan en el rompimiento de los puentes de hidrógeno. Sin embargo, para este caso, es más conveniente tener un rompimiento de los enlaces de hidrógeno donde participen pocos pares de base. Para explicar a detalle este problema se consideraría la ecuación cúbica-quinta no lineal de Schrödinger que posee soluciones tipo burbuja, ideal para estos estudios. De igual modo, se necesita considerar para el estudio de las inhomogeneidades de las hebras y las posibles aplicaciones funcionales en el ADN, además de términos perturbativos de amortiguamiento, aquellos en forma de pulsos y periódicos. Por ello se considera que las ecuaciones y los análisis presentados en este artículo son un punto de partida ideal para lograr dicho propósito. Por otro lado, una creciente área de investigación dentro de la física no lineal es el estudio de la dinámica de ondas oceánicas, las cuales pueden ser descritas en términos de soluciones solitónicas, a pesar del vasto número de esfuerzos por explicar diversos fenómenos relacionados su comprensión total, sigue siendo esquiva. Mediante el método implementado se estudia de manera más precisa la evolución de estás ondas al usar la ecuación no lineal de Schrödinger (8), incluso una perturbación logarítmica y diferentes tipos de soluciones dependiendo del problema abordado.
Conclusiones
En este artículo se resumieron los aspectos principales del método quasi-estacionario. Posteriormente, este esquema se empleó para estudiar la evolución de excitaciones no lineales en dos de las ecuaciones más importantes de la física no lineal: la ecuación no lineal de Schrödinger y la ecuación cúbica-quinta no lineal de Schrödinger con amortiguamiento. Para la primera ecuación se realizó el análisis perturbativo alrededor de la solución tipo solitón brillante y para la segunda ecuación se utilizó la solución tipo gota como solución tipo solitón de la ecuación sin perturbar. Una vez que se obtienen las soluciones generales para ambas ecuaciones, se puede apreciar claramente cómo el solitón se va disipando a medida que el tiempo avanza dependiendo del valor numérico que se le asigne al parámetro de la perturbación. A medida que se aumenta el valor del parámetro de la perturbación, la amplitud del solitón decrece más rápido hasta desvanecerse por completo. En general, el término perturbativo, en ambas ecuaciones, puede adquirir cualquier forma (dependiendo del problema); por ejemplo, para el caso de la ecuación (34) puede adquirir la forma de cualquier función R(φ). Para el caso particular de la dinámica interna del ADN, la función R(φ) toma la forma φ para emular los efectos del medio viscoso. Otro ejemplo de la última afirmación es el trabajo realizado por A. Biswas, donde se considera una forma completamente diferente de R(φ) para fibras ópticas (Biswas, 2003).
Este método perturbativo se puede llevar a cabo partiendo de cualquier tipo de solución tipo solitón, es decir, para el caso de la ecuación no lineal de Schrödinger se realizaría el análisis alrededor de la solución tipo solitón oscuro y otros tipos de soluciones particulares. Este tipo de análisis se presentarán en futuras publicaciones.
Referencias
Abdullaev, F., Gammal, A., Tomio, L., & Frederic, T. (2001). Stability of trapped Bose-Einstein condensates. Physical Review A, 63, 043604.
Agüero, M., Belyaeva, T., & Serkin, V. (2011). Compacton anti-compacton pair for hydrogen bonds and rotatiownal waves in DNA dynamics. Communications in Nonlinear Science and Numerical Simulation, 16, 3071-3080.
Belmonte-Beitia, J., & Cuevas, J. (2009). The Journal of Physics A: Mathematical and Theoretical, 42, 165201.
Biswas, A. (2003). Quasi-stationary optical solitons with parabolic law nonlinearity. Optics Communications, 216, 427-437.
Burger, S., Bongs, K., Dettmer, S., Ertmer, W., & Sengstock, K. (1999). Dark solitons in Bose-Einstein condensates. Physical Review Letters, 83, 5198-5201.
Craik, A. (1985). Wave interactions and fluid flows. London: Cambridge University Press.
Cuenda, S., Sánchez, A., T., & Quintero, Niurka R. (2006). Does the dynamics of sine-Gordon solitons predict active regions of DNA. Physica D: Nonlinear Phenomena, 223, 214-221.
Daniel, M., & Vanitha, M. (2011). Solitons in an inhomogeneous, helical DNA molecular chain with flexible strands. Physical Review E, 84, 031928.
Flesh, R., & Trullinger, S. (1987). Green’s functions for nonlinear Klein-Gordon kink perturbation theory. Journal of Mathematical Physics, 28, 1619-1631.
Gedalin, M., Scott, T., & Band, Y. (1997). Optical solitary waves in the higher order nonlinear Schrödinger equation. Physical Review Letters, 78, 448-451.
Goullet, A., & Choi, W. (2011). A numerical and experimental study on the nonlinear evolution of long-crested irregular waves. Physics of Fluids, 23, 016601.
Hacinliyan, I., & Erbay, S. (2004). Coupled quintic nonlinear Schrödinger equations in a generalized elastic solid. Journal of Physics A: Mathematical and Theoretical, 37, 9387.
Hermann, R. L. (1990). A direct approach to studying soliton perturbations. Journal of Physics A Mathematical and General, 23, 2327-2362.
Karpman, V. I., & Maslow, E. M. (1977). Perturbation theory for solitons. Journal of Experimental and Theoretical Physics, 73, 281-291.
Kartavenko, V. (1984). Soliton-like solutikons in nuclear hydrodynamics. Soviet Journal of Nuclear Physics, 40, 240-246.
Kodoma, Y., & Ablowitz, M. J. (1981). Perturbations of solitons and solitary waves. Studies in Applied Mathematicse, 64, 225-245.
Kumar, A., Sarkar, S., & Ghatak, A. (1986). Effects of fifth order non-linearity in refractive index on Gaussian pulse propagations in lossy optical fibers. Optics Letters, 11, 321-323.
Kurkina, O., Kurkin, A., Soomere, T., & Pelinovsky, E. (2011). Higher-order (2+4) Korteweg-de Vries-like equation for interfacial waves in a symmetric three-layer fluid. Physics of Fluids, 23, 116602.
Pavon-Torres, O., Agüero, M., Belyaeva, T., Ramirez, A., & Serkin, V. (2019). Unusual self-spreading or self-compression of the cubic-quintic NLSE solitons owing to amplification or absorption. Optik, 184, 446-456.
Peng, Y., & Krishnan, E. (2007). New exact solutions for the cubic-quintic nonlinear Schrödinger equation. Communications in Mathematical Sciences, 5, 243-252.
Salerno, M. (1991). Discrete model for DNA-promoter dynamics. Physical Review A, 44, 5292-5297.
Serkin, V., Belyaeva, T., Alexandrov, I., & Melo Melchor, G. (2001). Novel topological quasi-soliton solutions for the nonlinear cubic-quintic Schrödinger equation. Proc. SPIE 4271, Optical Pulse and Beam Propagation III, 292-302.
Torres, O. P., & Granados, M. A. (2016). Exact traveling wave solutions in the coupled plane-base rotator model of DNA. International Journal of Non-Linear Mechanics, 86, 8-14.
Triki, H., & Taha, T. (2012). Solitary wave solutions for a higher order nonlinear Schrödinger equation. Mathematics and Computers in Simulation 2012, 1333-1340.
Vasumathi, V., & Daniel, M. (2009). Base-pair opening and bubble transport in a DNA double helix induced by a protein molecule in a viscous medium. Physical Review E, 80, 061904.
Yan, J., Tang, Y., Zhou, G., & Chen, Z. (1998). Direct approach to the study of soliton perturbations of nonlinear Schrödinger equation and the sine-Gordon. Physical Review E, 58, 1064-1073.
Zayed, E., & Amer, Y. (2017). Many exact solutions for a higher order nonlinear Schrödinger equation with non-kerr terms describing the propagation of femtosecond optical pulses in nonlinear optical fibers. Computational Mathematics and Modeling, 28, 118-139.
Zhou, C., & He, X. (1994). Stochastic diffusion of electrons in evolutive Langmuir fields. Physica Scripta, 50, 415-418.