Ciencias Naturales y Agropecuarias

Recepción: 06 Septiembre 2021
Aprobación: 15 Octubre 2021
DOI: https://doi.org/10.30878/ces.v30n1a8
Resumen: Se estiman las demandas de mano de obra, crédito de la banca de desarrollo, fertilizantes nitrogenados, tractores y fertilizantes fosfatados-potásicos de las actividades primarias de México durante 1970-2019 mediante la función de costo translog. Los cinco insumos resultaron inelásticos. La mano de obra, fertilizantes y tractores incrementan la producción primaria en México. A saber, la mano de obra es complementaria con los fertilizantes nitrogenados y el crédito de la banca de desarrollo se sustituye con todos los insumos. Para 2022, se requieren aumentos mayores a 1.10%, 0.14% y 0.08% de la mano de obra, tractores y fertilizantes nitrogenados respectivamente para garantizar crecimiento de las actividades primarias.
Palabras clave: actividades primarias, función de costo translog, mecanización, fertilizantes, demanda de insumos.
Abstract: The objective of this research was to estimate the demands for labor, development bank credit, nitrogen fertilizers, tractors and phosphate-potassium fertilizers of primary activities of Mexico during 1970-2019, using the function cost translog. All five inputs were inelastic. Labor, fertilizers and tractors increase the primary production in Mexico. Labor was complementary with nitrogen fertilizers, and development bank credit showed a relation of substitution with all inputs. By 2022, increases greater than 1.10%, 0.14% and 0.08% of labor, tractors and nitrogen fertilizers respectively are required to guarantee growth of primary activities.
Keywords: primary activities, translog cost function, mechanization, fertilizers, demand of inputs.
Introducción
Las actividades primarias formadas por la agricultura, cría y explotación de animales, aprovechamiento forestal, pesca y caza han presentado una evolución decreciente en cuanto a su contribución al PIB (Producto Interno Bruto) de México: 12.18, 8.35, 7.99, 4.10, 3.40 y 3.36% para 1970, 1980, 1990, 2000, 2010 y 2019 respectivamente, con un crecimiento promedio anual de 0.42% durante el periodo 1982-2019 y de solo 0.28% en 2019 (INEGI, 2021a).
La crisis del sector primario se ha agudizado debido al escaso financiamiento al campo, a las actividades llevadas a cabo de forma tradicional y con tecnología obsoleta que no han permitido incrementar la productividad de la mano de obra y al abandono de la producción agropecuaria; en consecuencia, estas condiciones contribuyen a la pobreza, marginación y emigración de los habitantes del campo (Sánchez et al., 2015; Terrones et al., 2020). Wang et al. (2018) concluyeron que es necesario facilitar el crédito bancario inclusivo a productores agrícolas de bajos recursos para la adquisición de insumos y pago de mano de obra con el fin de fomentar la rentabilidad de las actividades primarias y garantizar el desarrollo sostenible de la agricultura y del medio rural de las regiones pobres. Moahid y Maharjan (2020) y Moahid et al. (2021) determinaron que las medianas y grandes empresas agrícolas de Afganistán tienen acceso al crédito formal y lo utilizan para adquirir tecnología moderna e insumos para la producción, lo cual produce mayores rendimientos en las actividades primarias; en cambio, las pequeñas empresas agrícolas no disponen del crédito formal, por lo que se ven en la necesidad de adquirir uno informal, pero con mayores tasas de interés y, por lo tanto, menor beneficio. Ante esto, recomiendan el diseño e implementación de un sistema crediticio preferente para que los pequeños productores agrícolas tengan posibilidades de solicitar este tipo de crédito y contribuir al desarrollo sostenible de la producción primaria. Ullah et al. (2020) encontraron que el crédito agrícola formal, en la región de Khyber Pakhtunkhwa, Pakistán, se otorga a productores con fincas grandes y con amplios conocimientos sobre agricultura de mercado y sistema financiero; además, plantearon una asociación positiva entre el acceso al crédito agrícola formal y la adopción de tecnología agrícola actualizada, lo que permite incrementar los rendimientos de los cultivos y acrecentar las ganancias de los productores.
Paudel et al. (2020) y Takeshima et al. (2020) detectaron que el uso de la mecanización en la producción de granos en fincas pequeñas de Nepal ayuda a incrementar el rendimiento y oferta de alimentos, lo que contribuye a disminuir la emigración de la población en zonas rurales y a mejorar las condiciones de vida de los agricultores.
Para salir del estancamiento que padece el sector agrícola de México, Cruz y Polanco (2014) proponen que es necesario aplicar una política agrícola integral que permita aumentar la productividad y la generación de excedentes productivos de las actividades primarias mediante políticas públicas que favorezcan la investigación para producir insumos mejorados, asesoría técnica, apoyo financiero preferente, desarrollo de infraestructura hidráulica y de transporte, apoyo a la comercialización e industrialización y fijación de precios de garantía. Sánchez et al. (2015) establecieron que la rentabilidad de la producción agropecuaria requiere de instituciones gubernamentales, educativas y de investigación capaces de impulsar estrategias competitivas en la producción de alimentos y materias primas mediante apoyos públicos, formación de capital humano con alto conocimiento en las actividades primarias y desarrollo de tecnología agrícola.
La política agrícola de la administración federal de México 2018-2024 establece acciones prioritarias para el fomento del sector primario, tales como el otorgamiento de financiamiento, asesoría técnica y mejoramiento genético con el propósito de crear empleos en el campo, disminuir la emigración y lograr la autosuficiencia alimentaria (SEGOB, 2019). Torres y Rojas (2015) atribuyeron el estancamiento del sector primario a la aplicación de una inadecuada política pública de fomento al campo, por lo que recomiendan una política pública integral de apoyo a los pequeños y medianos productores agropecuarios. Sosa et al. (2017) enfatizaron la importancia del sector primario en la economía mexicana, ya que produce alimentos para la población y contribuye al desarrollo de los sectores secundario y terciario de México mediante la provisión de materias primas y mano de obra.
La estimación de la demanda de factores de un proceso productivo permite caracterizar el comportamiento de la producción y la interacción entre los insumos (Weaver, 1983; Önel, 2018). López y Tung (1982) analizaron las demandas de pesticidas, fertilizantes, mecanización, tierra y capital del sector primario de Canadá mediante el uso de una función de costo Leontief generalizada; identificaron que la mecanización presentó sustitución con el trabajo y complementariedad con fertilizantes. Terrones et al. (2020) caracterizaron el comportamiento del sector primario en México durante 1980-2020 y estimaron las demandas del crédito de la banca de desarrollo, fertilizantes nitrogenados, maquinaria y mano de obra por medio de una función de costo translog. Con base en los resultados, encontraron que todos los factores fueron inelásticos y que el crédito otorgado por la banca de desarrollo presentó sustitución con mano de obra, fertilizantes y maquinaria. Lo anterior indica que ante aumentos en los precios el productor se ve en la necesidad de demandar mayor crédito bancario para la compra de insumos. Así pues, sugieren una disminución de las tasas de interés de la institución bancaria para adquirir mayores recursos y con ello disponer de los insumos para la producción agropecuaria.
Assa et al. (2013), usando una función de costo translog en la producción de papa en el distrito de Dedza, Malawi, determinaron que la mano de obra y los fertilizantes presentan una relación de sustitución (1.14), por lo que su planteamiento está dirigido a la expansión de una política de crédito para adquirir insumos agrícolas con la finalidad de que incremente la rentabilidad de la papa. Wijetunga (2016), utilizando una función de ganancia translog, estimó la oferta de producto y demanda de insumos en la producción de arroz en los distritos de Anuradhapura, Hambantota, Kurunegala y Polonnaruwa in Sri Lanka. En este sentido, señala que el fertilizante presentó una demanda inelástica respecto a su precio (-0.05) y la mano de obra se complementó con los fertilizantes. Mukherjee y Pradhan (2016) con una función de ganancia translog analizaron el comportamiento de los insumos mano de obra, fertilizantes y pesticidas en la producción agrícola en cuatro regiones rurales de la India. Las elasticidades precio de las demandas de insumos resultaron negativas e inelásticas y los insumos mostraron una relación de complementariedad.
Zhu et al. (2016), aplicando una función de costo translog en la producción de granos en China, obtuvieron una relación de sustitución entre la mecanización agrícola y la mano de obra atribuible al incremento del costo del trabajo inducido por la urbanización y el crecimiento del sector manufacturero.
A partir de la interrogante “¿Qué insumos determinan el comportamiento de las actividades primarias en México durante el periodo 1970-2019?”, el objetivo de este artículo es estimar la demanda de cinco insumos: mano de obra, crédito de la banca de desarrollo, fertilizantes nitrogenados, tractores y fertilizantes fosfatados-potásicos de las actividades primarias de la economía mexicana durante el periodo 1970-2019, y una simulación para 2020-2022, con el uso de la función de costo translog mediante el método de estimación Regresión Aparentemente no Relacionada del Statistical Analysis System (SAS) versión 9.0 (SAS, 2013). Bajo el supuesto de que los tractores, fertilizantes y mano de obra contribuyen de manera directa al crecimiento del sector primario de México, donde los productores utilizan el crédito institucional para la compra de los insumos, los estimadores permitieron calcular las elasticidades propias y cruzadas y de esta manera se determinó el comportamiento de la demanda ante cambios en el precio y las relaciones de sustitución y complementariedad entre pares de insumos.
1. Materiales y métodos
1. 1. Fuentes de información
Este artículo consideró cifras anuales de precios y cantidades de los insumos mano de obra, crédito de la banca de desarrollo, fertilizantes nitrogenados, tractores y fertilizantes fosfatados-potásicos, y del PIB de las actividades primarias de México durante 50 años (1970-2019). Los valores están a precios de 2013, de acuerdo con el deflactor del PIB año base 2013 (IMF, 2021). En relación con la mano de obra, se tomaron en cuenta los jornales empleados (INEGI, 2021b) y la remuneración por jornal promedio anual (INEGI, 2021c). Para el crédito habilitado por la banca de desarrollo se recurrió al Banco de México (2021a), la tasa de interés fijada por la institución crediticia se consideró como precio del crédito (Banco de México, 2021b). De la FAO (2021a) se captaron las unidades y precio de los tractores. Las cantidades de los fertilizantes nitrogenado y fosfatados-potásicos se obtuvieron de la FAO (2021b) y para conseguir el total de fertilizantes fosfatados-potásicos se sumaron las cantidades de los fosfatados y potásicos, donde los precios se tomaron de la FAO (2021c); para el caso de los fertilizantes fosfatados-potásicos se sacó un precio promedio a partir de la suma de los precios de los fosfatados y potásicos dividido entre dos, y del INEGI (2021a) se obtuvo el PIB de las actividades primarias. La multiplicación de la cantidad y precio de cada insumo representa el costo de cada factor. En el caso de los tractores el costo anual fue el 10% del valor de los tractores debido a que se consideró una depreciación del 10% (suponiendo diez años de vida útil).
1. 2. Costo translog
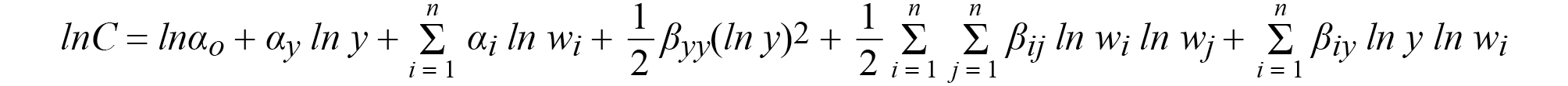
Las funciones de producción y sus sistemas duales (costo o beneficio translog) permiten estimar la estructura productiva de empresas, industrias o sectores de una economía. Christensen et al. (1973) estructuraron y desarrollaron las funciones translog y así caracterizar el comportamiento de los factores en las actividades productivas. Concluyeron que la asignación óptima de factores con costos medios mínimos genera producción eficiente y maximización de beneficios. La ecuación de costo translog se expresa como (Christensen et al., 1973; Salgado y Bernal, 2010; Wijetunga, 2016):
(1)Para i ≠ j e i, j = 1, 2, …, n
Donde: C = costo total, y = producto total, wi = es el precio del insumo i, ln = logaritmo natural, α = estimadores.
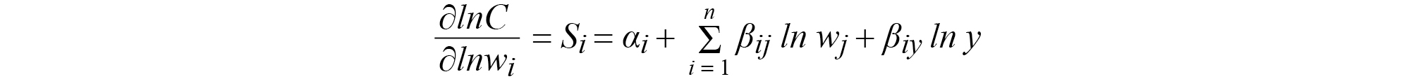
El lema de Shephard indica que si se deriva (1) en relación con precios de los insumos resulta la participación de dichos insumos en el costo global. Baanante y Sidhu (1980) establecieron que la contribución de insumos se determina como:
(2)Para i, j = 1, 2,…, n
La función de demanda del insumo i representa la participación del costo del insumo i (Si) en relación con el costo total, donde la sumatoria de todas las contribuciones de los insumos resulta la unidad. Esto se expresa como:
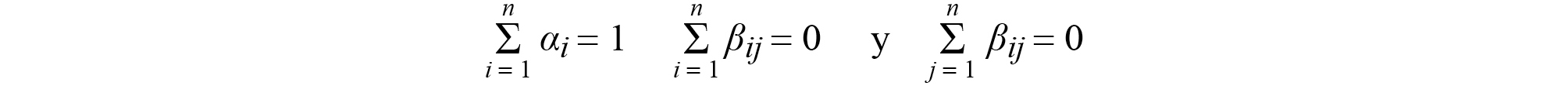
(3)La expresión (3) indica la presencia de n-1 contribuciones linealmente independientes, y así se evitan situaciones de singularidad. Los supuestos de la función de costo translog son los siguientes:
a) Homogeneidad de grado uno en precios: implica que para una producción fija el costo total aumente proporcionalmente ante el incremento de todos los precios de los insumos.
(4)b) Competencia perfecta, donde los agentes productivos consideran los precios como dados por el mercado.
(5)d) Las contribuciones (Si) tienen esperanza cero, varianza finita y los errores son aditivos.
Pindyck y Rubinfeld (1998) concluyeron que los supuestos de simetría y homogeneidad permiten aumentar la eficiencia de la estimación y a su vez disminuir el número de estimadores sin presentar pérdida de información.
1. 3. Modelo utilizado
Para estimar la demanda de los cinco insumos de las actividades primarias en México durante 1970-2019, se utilizó la función de costo translog, la cual abarcó tanto precios como cantidades de los insumos: mano de obra, crédito de la banca de desarrollo, fertilizantes nitrogenados, tractores y fertilizantes fosfatados-potásicos y el PIB primario. Los valores están expresados en términos constantes de 2013 con el uso del deflactor del PIB base 2013. En la estimación se excluyó los fertilizantes fosfatados-potásicos, y para obtenerla de manera residual se utilizó el supuesto de homogeneidad. Con la ecuación (2), se determinó la demanda de insumos como:
(6)Donde: Si= demanda del insumo i (variables dependientes), wj= precio del insumo j (variables independientes), ln = logaritmo natural, y = PIB de las actividades primarias (variable independiente), αi, βij= estimadores, ei = término de error, i, j = m (mano de obra), d (crédito de la banca de desarrollo), n (fertilizantes nitrogenados), t (tractores) y fp (fertilizantes fosfatados-potásicos), donde i ≠ j.
El sistema de ecuaciones aparentemente no relacionadas se utilizó para establecer las ecuaciones de participación de los insumos (Zellner, 1971; Greenberg, 2012). Este sistema se emplea cuando existen varias ecuaciones donde el lado derecho contiene variables exógenas y los residuos entre las ecuaciones están correlacionados; ante esto, el método de mínimos cuadrados ordinarios (MCO) es ineficiente e inconsistente. Para ello, Zellner (1971) desarrolló y aplicó SUR (Seemingly Unrelated Regression), siendo un método de mínimos cuadrados generalizados en tres etapas.
1. 4. Elasticidades Allen-Uzawa
La elasticidad de sustitución parcial Allen-Uzawa (σij) determina el efecto del cambio en el precio del j-ésimo insumo en la cantidad demandada del i-ésimo insumo manteniendo el producto y precios de los insumos constantes. Se obtuvo como (Atkinson y Halvorsen, 1976; Weaver, 1983):
(7)Cuando σij > 0, los insumos i y j son sustitutos; y cuando σij< 0, los insumos i y j se comportan como complementarios.
1. 5. Elasticidades de la demanda
La elasticidad propia de la demanda de insumos (nii) es determinada como la cantidad demandada del i-ésimo insumo debido a cambios en su precio; la elasticidad cruzada de la demanda de insumos (nij) expresa el efecto que ocasiona el cambio en el precio del j-ésimo insumo en la cantidad demandad en el i-ésimo insumo, con el producto y precios de los demás insumos constantes (Chung, 1994; Pope y Just, 1998). Se obtuvo como:
(8)Cuando│nii│> 1, el insumo i es elástico; y si│nii│< 1, el insumo i es inelástico.
Cuando nij < 0, los insumos i y j se comportan como complementarios; y si nij> 0, los insumos i y j son sustitutos.
1. 6. Simulación del modelo
Para establecer la evolución de la demanda de insumos de la actividad primaria en México, durante 2020-2022, se tuvo en cuenta una proyección de cambio de precios de todos los insumos (wi) y del PIB de las actividades primarias hasta 2022. Al respecto, se delimitó la extensión de logaritmos naturales de precios de los cinco insumos y del PIB de las actividades primarias para tres años más (2020-2022), con el lapso 1970-2019 como referencia. La simulación de precios de los insumos y del PIB de las actividades primarias permitió estimar las demandas de cinco insumos con el uso de la ecuación:
(9)Dónde: αi, βij, βiy= estimadores de las demandas para 1970-2019, ln wj = logaritmo natural de la simulación del precio del insumo j, lny = logaritmo natural del PIB de las actividades primarias que considera la proyección del modelo, Si= demanda o participación del costo del insumo i en el costo global. La simulación de las demandas de insumos de las actividades primarias es con el objetivo de determinar el comportamiento de las demandas para el periodo 2020-2022 con base en los estimadores del periodo 1970-2019, lo cual permitió conocer los requerimientos adicionales de dichos insumos para el mejoramiento de las actividades primarias en México.
2. Resultados y discusión
2. 1. Pertinencia estadística
Las pruebas parciales t indican el grado de significancia estadística de cada estimador del modelo. En el caso de este artículo se tomó en cuenta el 5% de significancia con 43 grados de libertad, con un valor crítico de t0.025 = 2.017 (Lind et al., 2015). En el cuadro 1 se presentan las razones t (valores entre paréntesis) del modelo de regresión. De los diez coeficientes (βij) estimados, nueve fueron confiables estadísticamente al 95%. Los R2 (coeficientes de determinación) de las cuatro ecuaciones de demanda de factores oscilaron entre 0.66 y 0.87. Los valores tanto de t como de R2 indican que los estimadores de los parámetros son estadísticamente significativos, por lo que las inferencias sobre éstos son válidas en la caracterización de las actividades primarias en México en el periodo 1970-2019.

2. 2. Participación de los insumos en las actividades primarias
El efecto de los insumos sobre la producción de las actividades primarias se analizó por medio del coeficiente producto estimado. El valor en relación con la mano de obra resultó de 0.22, lo que implica que un aumento del 10% del PIB primario requiere de un incremento del 22% de la mano de obra. Este resultado indica baja productividad de la fuerza de trabajo en las actividades primarias de México durante el periodo 1970-2019. Sánchez et al. (2015) y Terrones et al. (2020) también encontraron esta característica. La mecanización en las actividades agrícolas potencia la producción (Palacios y Ocampo, 2012; Larqué et al., 2012; Negrete et al., 2013; Paudel et al., 2020; Takeshima et al., 2020). En México, un incremento del 0.03% ocasionó un aumento del 1% del PIB primario durante 1970-2019; este dato refleja la poca tecnificación de las actividades primarias, por lo que se requiere mayor número de tractores en las labores agropecuarias para impulsar la productividad, aumento sugerido también por Gutiérrez et al. (2018). Cabe señalar que el número de tractores en uso en México ha mostrado una disminución durante 2007-2019: pasó de 238 830 tractores en 2007 a 228 000 en 2019 (FAO, 2021a), lo cual equivale a un decremento del 4.5%. Los fertilizantes aplicados a los cultivos contribuyen a fortalecer su rendimiento y producción agrícola. En el periodo de estudio un aumento del 0.05% de los fertilizantes nitrogenados desencadena un incremento del 1% en la producción agropecuaria; este resultado es similar al de Terrones et al. (2020), que fue de 0.058 en el periodo 1980-2016.
2. 3. Elasticidades de las demandas de insumos
El cuadro 2 registra las cinco elasticidades de insumos de las actividades primarias en México. Al respecto, se observa que todos los factores se comportan como inelásticos y con signo negativo tal como lo establece la ley de la demanda. Las demandas de insumos agropecuarios resultaron también inelásticas para la agricultura de Australia, de -0.053 a -0.647 (Griffiths et al., 2000), para la agricultura de la India (Mukherjee y Pradhan, 2016), y para el sector primario de México, de -0.113 a -0.229 (Terrones et al., 2020). La inelasticidad de la mano obra en las actividades primarias (-0.165) refleja la crisis que enfrenta el campo mexicano debido al abandono de las actividades agropecuarias, salarios precarios y baja productividad (crecimiento promedio anual de 1.23% en el periodo 1970-2019 y solo 0.28% en 2019); en cambio, la mano de obra en la actividad agrícola de Canadá es más sensible (-0.517) a la de México debido a que presenta mayores niveles de salarios y mayor productividad (López y Tung, 1982).
El uso de los tractores en México no ha crecido desde 2014 (228 000 tractores), por lo que es necesario la incorporación de mayores unidades en el proceso productivo con el fin de aumentar la rentabilidad y producción de las actividades agropecuarias. Los tractores presentaron mayor sensibilidad en comparación con los demás insumos referidos, lo cual indican que cambios en los precios inciden sobre la demanda, por lo que el crédito de la banca de desarrollo a productores de bajos ingresos juega un papel decisivo en la compra de este insumo; las tasas de interés adecuadas para este tipo de productores son indispensables.
El crédito formal en actividades productivas es indispensable para el productor debido que permite la compra de insumos para la producción y fomenta el desarrollo sustentable (Moahid y Maharjan, 2020; Moahid et al., 2021). El crédito de la banca de desarrollo en México se ha otorgado preferentemente a productores agropecuarios de bajos ingresos. La banca de desarrollo presentó una elasticidad de -0.4108. En este caso, el resultado indica que los sujetos de crédito aumentarían la demanda de recursos crediticios ante una disminución de la tasa de interés. Terrones y Sánchez (2010) encuentran una situación similar con -0.3057.

2. 4. Relaciones entre pares de insumos
El cuadro 3 presenta las elasticidades de sustitución parcial Allen-Uzawa que establecen las relaciones de complementariedad o sustitución entre pares de insumos. La mano de obra resultó sustituta con crédito de la banca de desarrollo, tractores y fertilizantes fosfatados-potásico y complementaria con los fertilizantes nitrogenados; la relación de sustitución con el crédito indica que los productores, al no disponer de recursos crediticios, utilizan sus propios ahorros o préstamos informales para pagar la fuerza de trabajo o practican el autoempleo, característico de pequeños agricultores que no son sujetos de crédito de instituciones financieras formales; esta relación también la obtiene Terrones y Martínez (2012). La sustitución entre mano de obra y tractores establece que en las unidades de producción de las actividades primarias que utilizan maquinaria en sus prácticas tienden a remplazar la fuerza de trabajo por tractores, situación que se presenta en estructuras productivas regionales modernas cuyo destino es el mercado interno y externo. López (1980) encontró una relación de sustitución (1.779) entre maquinaria y mano de obra en la agricultura de Canadá, la cual atribuye al desarrollo tecnológico de las actividades agrícolas y uso intensivo del capital; esta misma relación detecta Zhu et al. (2016) en la producción de granos en China debido al aumento del costo del trabajo atribuible a la urbanización y a la mejoría de la manufactura.
La complementariedad de la mano de obra y fertilizantes nitrogenados se debe a que en México existen regiones marginadas con pequeñas unidades de producción tradicionales y poco tecnificadas donde los fertilizantes se aplican de manera manual; Wijetunga (2016) muestra este mismo escenario en la producción de arroz en Sri Lanka, así como Mukherjee y Pradhan (2016) en la producción agrícola en cuatro regiones de la India.
Debido a la pulverización de la tierra y al elevado costo de los tractores, los productores optan por adquirir y usar fertilizantes en lugar de tecnificar por medio del uso de maquinaria agrícola –relación de sustitución (1.8763) que estima también Terrones y Sánchez (2010)– atribuible a que el pequeño agricultor realiza las labores agrícolas con tracción animal al no disponer de recursos para la adquisición y uso de maquinaria agrícola. El crédito de la banca de desarrollo presentó sustitución con los tractores y fertilizantes, donde los productores tienden a incrementar la demanda de crédito u otro tipo de financiamiento para hacer frente al aumento del costo de los insumos debido al alza de sus precios; Adjognon et al. (2017) identifican esta relación en agricultores de cuatro países de África subsahariana.

2. 5. Participación factorial en las actividades primarias
El cuadro 4 contiene la contribución de los cinco insumos seleccionados para este artículo, en las actividades primarias de México. Se observa que la mano de obra es el factor más representativo con 64%, valor similar al de Terrones et al. (2020) con el 53%, seguido por el crédito de la banca de desarrollo, fertilizantes nitrogenados, tractores y fertilizantes fosfatados-potásicos.

Prospectiva
En 2019 la fuerza de trabajo fue el factor más importante de las actividades primarias en México al contribuir con 89.57% del costo total, seguido de los tractores, crédito de la banca de desarrollo, fertilizantes fosfatados-potásicos y fertilizantes nitrogenados. En lo concerniente a la simulación del modelo, en el periodo 2020-2022, los fertilizantes nitrogenados, tractores y la mano de obra muestran una tendencia creciente en cuanto a su participación en las actividades primarias que para 2020 crecieron 107.47%, 24.62% y 0.31% respecto a 2019; estos valores son contrarios al decremento observado en el crédito de la banca de desarrollo y fertilizantes fosfatados-potásicos, que en 2020 decrecieron 95.94% y 18.41% en relación con 2019 (cuadro 4). Para garantizar crecimiento en las actividades primarias, de acuerdo con la simulación del modelo, en 2022 la mano de obra, tractores y fertilizantes nitrogenados requieren aumentos mayores a 1.10%, 0.14% y 0.08% respectivamente. Estos aumentos de los insumos demandan créditos de la banca de desarrollo con tasas de interés preferenciales para que los productores del campo tengan acceso al financiamiento institucional formal y adquieran los insumos para la producción; de esta forma, se pretende lograr la competitividad de las actividades primarias y con ello la autosuficiencia alimentaria, que es el objetivo principal de la administración federal actual en cuanto a la política pública de fomento al campo mexicano. La determinación de la tasa de interés óptima que debe aplicar la banca de desarrollo requiere de estudios detallados en cuanto a tipología de productores, tecnificación, tipos de productos, destino de la producción, sujetos de crédito y sistemas de producción con el fin de proveer de recursos crediticios formales al productor agropecuario para incrementar la productividad del campo y disminuir la pobreza de la población del medio rural.
Conclusiones
El uso de la función de costo translog permitió estimar las cinco demandas de insumos consideradas en este artículo: mano de obra, crédito de la banca de desarrollo, fertilizantes nitrogenados, tractores y fertilizantes fosfatados-potásicos de las actividades primarias en México. Los estimadores obtenidos por medio de la función dual también se utilizaron para calcular las elasticidades propias y cruzadas que definieron tanto la elasticidad como las relaciones de sustitución y complementariedad de los insumos, además de predecir al comportamiento de las demandas. Los factores se comportaron como inelásticos y contribuyeron positivamente al crecimiento de la producción de las actividades primarias en México durante el periodo 1970-2019. La sustitución entre mano de obra y tractores indica que existen regiones donde se practica la agricultura en unidades de producción grandes, tecnificadas con acceso al crédito formal y donde la producción se destina al mercado.
La disminución en el otorgamiento de crédito de la banca de desarrollo, aunado a las altas tasas de interés descontadas en las actividades primarias de México, ha ocasionado que el productor no disponga de recursos crediticios para la compra de fertilizantes y tractores, por lo que se requiere una restructuración de la banca de desarrollo que permita otorgar recursos sostenibles al campo con tasas de interés preferenciales para así capitalizar los sistemas productivos y enfrentar la crisis que actualmente padecen las actividades primarias de México.
Referencias
Adjognon, S., Liverpool, T., Lenis, S., & Reardon, T. (2017). Agricultural input credit in Sub-Saharan Africa: Telling myth from facts. Food Policy, 67(1), 93-105. Retrieved from https://ideas.repec.org/a/eee/jfpoli/v67y2017icp93-105.html
Assa, M., Edriss, A., & Matchaya, G. (2013). Cost efficiency, Morishima, Allen-Uzawa and Cross-Price elasticities among Irish potato farmers in Dedza district, Malawi. International Journal of Business and Economic Sciences Applied Research (IJBESAR), 6(1), 59-73. Retrieved from https://www.econstor.eu/bitstream/10419/114583/1/756646383.pdf
Atkinson, S., & Halvorsen, R. (1976). Interfuel substitution in steam electric power generation. Journal of Political Economy, 84(5), 959-978. Retrieved from http://www.jstor.org/stable/1830438
Baanante, C., & Sidhu, S. (1980). Impact substitution and agricultural research. Indian Journal of Agricultural Economics, 35(1), 20-33.
Banco de México (2021a). Sistema de Información Económica, cartera vigente. Disponible en https://www.banxico.org.mx/SieInternet/consultarDirectorioInternetAction.do?sector=19&accion=consultarCuadro&idCuadro=CF830&locale=es
Banco de México (2021b). Sistema de Información económica, tasas de interés en el mercado de dinero. Disponible en https://www.banxico.org.mx/SieInternet/consultarDirectorioInternetAction.do?sector=18&accion=consultarCuadro&idCuadro=CF101&locale=es}
Christensen, L., Jorgenson, D., & Lau, L. (1973). Transcendental logarithmic production frontiers. The Review Economics and Statistics, 55(1), 28-45.
Chung, J. (1994). Utility and Production Functions, Theory and Applications. Backwell Publisher.
Cruz, M., & Polanco, M. (2014). El sector primario y el estancamiento económico en México. Problemas del desarrollo, 45(178), 09-33. Disponible en http://www.scielo.org.mx/scielo.php?script=sci_arttext&pid=S0301-70362014000300002&lng=es&tlng=es
FAO (Organización de las Naciones Unidas para la Alimentación y la Agricultura) (2021a). FAOSTAT, Maquinaria. Disponible en http://www.fao.org/faostat/es/#data/RM
FAO (Organización de las Naciones Unidas para la Alimentación y la Agricultura) (2021b). FAOSTAT, consumo de fertilizantes en nutrientes. Disponible en http://www.fao.org/faostat/en/#data/RFN
FAO (Organización de las Naciones Unidas para la Alimentación y la Agricultura) (2021c). FAOSTAT, fertilizante por producto. Disponible en http://www.fao.org/faostat/es/#data/RFB
Greenberg, E. (2012). Introduction to Bayesian econometric. Cambridge University Press.
Griffiths, W., O’Donnell, C., & Tan, C. (2000). Imposing Regularity Conditions on System of Cost and Factor Share Equations. Australian Journal Agricultural Resource Economics, 44(1), 107-127.
Gutiérrez, R., Hernández, Á, González, H., Pérez, L., Serrano, C. y Laguna, C. (2018). Diagnóstico de tractores e implementos agrícolas en el municipio de Atlacomulco, Estado de México. Revista Mexicana de Ciencias Agrícolas, 9(8), 1739-1750. Disponible en https://cienciasagricolas.inifap.gob.mx/index.php/numero-actual
IMF (International Monetary Fund) (2021). Economy watch, Mexico GDP Deflactor Statistics. Retrieved from http://www.economywatch.com/economic-statistics/Mexico/GDP_Deflator/
INEGI (Instituto Nacional de Estadística y Geografía) (2021a). Sistema de Cuentas Nacionales de México. Disponible en http://www.inegi.org.mx/sistemas/bie/default.aspx?idserPadre=102000430020002001180020/
INEGI (Instituto Nacional de Estadística y Geografía) (2021b). Sistema de Cuentas Nacionales de México, ocupación, empleo y remuneraciones. Disponible en http://www.inegi.org.mx/sistemas/bie/?idserPadre=1010019000500088007001000100
INEGI (Instituto Nacional de Estadística y Geografía) (2021c). Anuario Estadístico y Geográfico de los Estados Unidos Mexicanos, 2020. Disponible en https://www.inegi.org.mx/contenidos/productos/prod_serv/contenidos/espanol/bvinegi/productos/nueva_estruc/702825197506.pdf
Larqué, S., Cortés, E., Sánchez, H., Ayala, G. y Sangerman-Jarquín, D. (2012). Análisis de la mecanización agrícola de la región Atlacomulco, Estado de México. Revista Mexicana de Ciencias Agrícolas, 41, 825-837.
Lind, D., W. Manchal, W. y Wathen, S. (2015). Estadística aplicada a los negocios y la economía. McGraw-Hill/Interamericana Editores, S. A. de C. V.
López, R. (1980). The structure of production and the derived demand for inputs in Canadian agriculture. American Journal of Agricultural Economics, 62, 38-45.
López, R., & Tung, F. (1982). Energy and non-energy input substitution possibilities and output scale effects in Canadian agriculture. Canadian Journal of Agricultural Economics, 30(2), 115-132.
Moahid, M., Khan, G. D., Yoshida, Y., Joshi, N. P., & Maharjan, K. L. (2021). Agricultural credit and extension services: Does their synergy augment farmers’ economic outcomes? Sustainability, 13(7), 3758. https://doi.org/10.3390/su13073758
Moahid, M., & Maharjan, K. L. (2020). Factors affecting farmers’ access to formal and informal credit: Evidence from rural afghanistan. Sustainability, 12(3), 1-16. Retrieved from https://ideas.repec.org/a/gam/jsusta/v12y2020i3p1268-d318659.html
Mukherjee, S., & Pradhan, K. C. (2016). Anatomy of input demand functions for indian farmers across regions. Working Papers, 150. Disponible en https://ideas.repec.org/p/mad/wpaper/2016-150.html
Negrete, J., Tabares, A. y Tabares, R. (2013). Parque de tractores agrícolas en México: estimación y proyección de la demanda. Revista Ciencias Técnicas Agropecuarias, 22(3), 61-69. Disponible en http://scielo.sld.cu/scielo.php?script=sci_arttext&pid=S2071-00542013000300011&lng=es&tlng=es
Önel, G. (2018). An implicit model of adjustment costs in differential input demand systems. Theoretical and Applied Economics, 25(2), 119-132. Retrieved from https://ideas.repec.org/a/agr/journl/v2(615)y2018i2(615)p119-132.html
Palacios, R. y Ocampo, L. (2012). Los tractores agrícolas de México. Revista Mexicana de Ciencias Agrícolas, 3, 812-824. Disponible en http://www.scielo.org.mx/scielo.php?script=sci_arttext&pid=S2007-09342012000900026&lng=es&nrm=iso
Paudel, G. P., Gartaula, H., Rahut, D. B., & Craufurd, P. (2020). Gender differentiated small-scale farm mechanization in Nepal hills: An application of exogenous switching treatment regression. Technology in Society, 61, 1-8. https://doi.org/10.1016/j.techsoc.2020.101250
Pindyck, R., & Rubinfeld, D. (1998). Econometric Model and Economic Forecasts. Irwin/McGraw-Hill Publishing Co.
Pope, R., & Just, R. (1998). Cost function estimation under risk aversion. American Journal of Agricultural Economics, 80(2), 296-302.
Salgado, H., & Bernal, L.E. (2010). Funciones de costos translogarítmicas: una aplicación para el sector manufacturero mexicano. El Trimestre Económico, 77(307(3)), 683-717. Disponible en www.jstor.org/stable/23347222
Sánchez, Y., Terrones, A., Núñez, E. y Guzmán, E. (2015). Efecto de la reforma al artículo 27 en la producción agropecuaria en México. Revista Mexicana de Agronegocios, 19(37), 133-146. Disponible en https://ageconsearch.umn.edu/record/226155
SAS (Statistical Analysis System) (2003). SAS Ver. 9, Institute Inc, Cary.
SEGOB (Secretaría de Gobernación) (2019). Plan Nacional de Desarrollo 2019-2024, Diario Oficial de la Federación: 12/07/2019. Disponible en https://www.dof.gob.mx/nota_detalle.php?codigo=5565599&fecha=12/07/2019#gsc.tab=0
Sosa, M. E., Martínez, F., Espinosa, J. A. y Buendía, G. (2017). Contribución del sector pecuario a la economía mexicana. Un análisis desde la Matriz Insumo Producto. Revista Mexicana de Ciencias Pecuarias, 8(1), 31-41. https://doi.org/10.22319/rmcp.v8i1.4308
Takeshima, H., Hatzenbuehler, P. L., & Edeh, H. O. (2020). Effects of agricultural mechanization on economies of scope in crop production in Nigeria. Agricultural Systems, 177, 1-12. https://doi.org/10.1016/j.agsy.2019.102691
Terrones, A. y Martínez, M. Á. (2012). Demanda de insumos agrícolas en México: un enfoque dual. Revista Mexicana de Ciencias Agrícolas, 3(1), 51-65. Disponible en http://www.scielo.org.mx/scielo.php?script=sci_arttext&pid=S2007-09342012000100004&lng=es&tlng=es
Terrones, A., Martínez, M. Á. y Sánchez, Y. (2020). Análisis dual del comportamiento del sector primario en México 1980-2020. Revista Mexicana de Ciencias Agrícolas, 11(5), 1179-1187. Disponible en https://doi.org/10.29312/remexca.v11i5.1819
Terrones, A. y Sánchez, Y. (2010). Demanda de insumos de la producción agrícola en México, 1975-2011. Universidad y Ciencia, 26(1), 81-91. Disponible en http://www.scielo.org.mx/scielo.php?script=sci_arttext&pid=S0186-29792010000100006&lng=es
Torres, F. y Rojas, A. (2015). Política económica y política social en México: desequilibrio y saldos. Problemas del Desarrollo, 46(182), 41-66. Disponible en https://www.sciencedirect.com/science/article/pii/S030170361500022X
Ullah, A., Mahmood, N., Zeb, A., & Kächele, H. (2020). Factors Determining Farmers’ Access to and Sources of Credit: Evidence from the Rain-Fed Zone of Pakistan. Agriculture, 10(12), 1-13. https://doi.org/10.3390/agriculture10120586
Wang, X., Chen, M., He, X., & Zhang, F. (2018). Credit constraint, credit adjustment, and sustainable growth of Farmers’ income. Sustainability, 10(12), 1-15. https://doi.org/10.3390/su10124407
Weaver, R. D. (1983). Multiple input, multiple output production choices and technology in the U.S. wheat region. American Journal of Agricultural Economics, 65(1), 45-56.
Wijetunga, C. S. (2016). Rice production structures in Sri Lanka: The normalized translog profit function approach. Asian Journal of Agriculture and rural Development, 6(2), 21-35. Disponible en http://www.aessweb.com/pdf-files/1-622-6(2)2016-AJARD-21-35.pdf
Zellner, A. (1971). An Introduction to Bayesian Inference in Econometrics. Jonh Wiley.
Zhu, S., Xu, X., Ren, X., Sun, T., Oxley, L., Rae, A., & Ma, H. (2016). Modeling technological bias and factor input behavior in China›s wheat production sector. Economic Modelling, 53, 245-253. Disponible en https://www.sciencedirect.com/science/article/abs/pii/S0264999315004058
Notas de autor
anibal_terrones@uaeh.edu.mx
Enlace alternativo