Artículos
Estimación del efecto de la alternancia sobre la provisión de servicios públicos locales en México
Estimated impact of alternation on the provision of local public services in Mexico
Estimación del efecto de la alternancia sobre la provisión de servicios públicos locales en México
Economía, sociedad y territorio, vol. XVIII, núm. 56, pp. 195-231, 2018
El Colegio Mexiquense A.C.
Recepción: 11 Agosto 2016
Recibido del documento revisado: 11 Agosto 2017
Aprobación: 04 Septiembre 2017
DOI: 10.22136/est2018957
Resumen: En este análisis se evalúan aspectos del sistema electoral mexicano tales como alternancia, competencia y gobiernos yuxtapuestos, mismos que impactan en la provisión de servicios públicos locales en México. Con datos de corte transversal correspondientes a 2019, municipios e información de elecciones locales, a través de la estimación econométrica, revelamos que la competencia política tiene una relación positiva con la cobertura de servicios públicos; sin embargo, el efecto difiere en los gobiernos locales de acuerdo a las probabilidades de la alternancia. Proponemos un modelo de Heckman para eliminar el sesgo de selección generado por la variable alternancia política.
Palabras clave: provisión de bienes públicos, alternancia política, competencia política, desempeño gubernamental, gobiernos locales.
Abstract: In this analysis are evaluated aspects of the Mexican electoral system such as alternation, political competition, and juxtaposed governments, which impact on the provision of local public services in Mexico. Using cross-section data corresponding to 2019 municipalities and information about local elections, through an econometric estimation, it is revealed that political competition has a positive relationship with the coverage of public services. However, the effect on local governments differs according to the odds of alternation. A Heckman model to eliminate selection bias generated by the political alternation is proposed.
Keywords: provision of public goods, political alternation, political competition, government performance, local governments.
Introducción
El desempeño de los gobiernos locales es un tema que empieza a cobrar interés en los académicos, quienes han enfocado sus estudios en las causas, posibilidades y límites de la construcción democrática; la importancia estriba en el efecto que tiene este desempeño en el mejoramiento de las condiciones de vida ciudadana.
Sáez y Sinha (2010) apuntan que en las democracias los políticos tienen fuertes incentivos partidistas y electorales para manipular la cantidad, naturaleza y oportunidad de la provisión de bienes públicos. Un gran número de estudios de economía política ha permitido avanzar en el conocimiento sobre las motivaciones de los políticos, las expectativas de los votantes y su efecto en la provisión de bienes públicos en diversos contextos.
Teóricamente, podría esperarse que en sociedades democráticas la eficiencia en la provisión de servicios públicos fuera mayor, por ejemplo, Careaga y Weingast (2003) afirman que una mayor competencia política conduce a políticas con niveles más bajos de corrupción y una mayor provisión de bienes públicos. Asimismo, dice Wittman (1989), la competencia política genera incentivos para implementar prácticas de buen gobierno y eficiencia en la provisión de bienes públicos, dado que los ciudadanos utilizan su voto como una forma de ejercer control sobre sus representantes.
Una vasta literatura señala que en sistemas electorales competidos los votantes tienen la posibilidad de expulsar al gobernante si no proporciona los servicios públicos de manera eficiente. Es decir, al final del periodo gubernamental los ciudadanos evalúan el rendimiento de las políticas públicas y deciden si retener o no al gobierno en turno. En consecuencia, para evitar ser removidos, los políticos trabajarán por el interés público, pues es la mejor manera de demostrar a los votantes que los deben regresar a ese puesto en el futuro,1 esto contrasta si se trata de un escenario en el que un partido político tiene una posición cercana al monopolio y espera ser electo, independientemente de su desempeño.
En el contexto mexicano, Rodríguez (1998) señala que el aumento de la competencia política, desde la década de 1980, alentó a los gobiernos locales a poner un mayor énfasis en la eficiencia, a adoptar enfoques más tecnocráticos, así como principios de transparencia en la elaboración de políticas públicas. La mayoría de las evaluaciones se han orientado a explicar la relación de la competencia política con la provisión de bienes públicos, obteniendo resultados mixtos: algunos muestran un efecto positivo; otros, negativo e incluso nulo.
Los trabajos de Rodríguez (1998), Hiskey (1999), Beer (2003) y Hecock (2006) evidencian el efecto positivo de la competencia política sobre el desempeño de los gobiernos locales durante los noventa. Hiskey (1999) analiza, a través de un modelo de regresión por Mínimos Cuadrados Ordinarios (MCO), si la competitividad en las elecciones locales de Jalisco y Michoacán fue un factor importante para que el Programa Nacional de Solidaridad (Pronasol) tuviera éxito en la provisión de servicios públicos durante la primera mitad de la década de los noventa. Los trabajos de Beer (2003) y Hecock (2006) muestran que una mayor competencia electoral en los estados conduce a legislaturas más activas y un aumento del gasto en educación; ambos apuntan que aumenta la sensibilidad de los gobernantes a las demandas sociales.
En contraste, Cleary (2007) y Moreno-Jaimes (2007), empleando MCO en modelos de corte transversal con información de los municipios de México, durante la década de 1990, encuentran que los efectos de la competencia política en México son bastante limitados, coinciden en señalar que el aumento de la competencia política en elecciones municipales no influye en la mejoría del desempeño de los ayuntamientos. Aún más, afirman que la democracia electoral ha sido una condición insuficiente para motivar mejores resultados en el desempeño de los gobiernos municipales en el país.
En términos generales, a pesar de los esfuerzos de los autores antes mencionados, la producción de trabajos empíricos sobre el desempeño gubernamental en México se ha realizado con modelos econométricos convencionales como son los MCO, la información empleada suele ser de la década de 1990. Aún más, algunos de los trabajos podrían presentar sesgos derivados de la inclusión del rezago de la variable dependiente como explicativa. Como Achen (2000) lo demuestra, la introducción de rezagos puede inducir una subestimación de la significancia en los coeficientes del resto de las explicativas por la introducción de endogeneidad.
Al respecto, la producción de trabajos empíricos adolece de una metodología rigurosa. Lago y Martínez i Coma (2012) refieren que, en los estudios comparativos, el sesgo de autoselección es un riesgo recurrente; demuestran que la mayoría de los trabajos dedicados a la institucionalización del sistema de partidos sufre de sesgo de autoselección. Soto-Zazueta (2016) precisa la persistencia de sesgos en los estimadores causados por diversos problemas econométricos que no son atendidos oportunamente, tales como endogeneidad, multicolinealidad y variables omitidas.
Por otro lado, una explicación sobre la mejora en la provisión de bienes públicos, generalmente descuidada por la literatura, podría ser la alternancia política. Aun en sistemas democráticos, si la probabilidad de permanecer en el poder es alta, la amenaza que brinda el contexto político-institucional no es creíble. Por otra parte, la posibilidad real de alternancia fortalece la relación de responsabilidad entre los electores y sus representantes al enfrentar un mayor riesgo de ser sustituido por otro partido.
En esta investigación se evalúan qué aspectos específicos del sistema electoral mexicano, tales como alternancia, competencia y gobiernos yuxtapuestos, tienen impacto en la provisión de servicios públicos locales en México. Partimos de la pregunta: ¿cuál es el efecto de la alternancia política sobre la provisión de bienes públicos locales en México?
Por lo tanto, resulta esencial descubrir el proceso por el cual se pueden presentar adaptaciones al modelo econométrico, con el fin de evitar sesgos en nuestras inferencias causales. La relevancia de este trabajo consiste en la elaboración de un modelo de provisión de bienes públicos en el que se reduce el sesgo de selección generado por la variable de alternancia política, así como de variables omitidas a través de un modelo de Heckman aplicado a los resultados electorales.
Elaboramos un estudio econométrico con datos de corte transversal para 2019 de los municipios, con información de elecciones locales realizadas entre los años 2007 y 2009. Encontramos efectos positivos del sistema electoral tanto en el grado de competencia entre partidos políticos como en la alternancia sobre la provisión de servicios públicos básicos en México, pero cuyo su impacto se restringe por las condiciones económicas de los municipios.
El resto de la investigación contiene la siguiente estructura: en la primera sección se analiza la provisión de servicios públicos básicos en México; en la segunda se discute la relación entre competencia política, alternancia y los bienes públicos, así como los factores que podrían influir sobre la provisión de éstos; en la tercera se exponen los determinantes de la alternancia partidista: en la cuarta se especifica el modelo econométrico, así como la técnica de estimación; en la quinta se realiza en análisis empírico y discusión de los resultados; finalmente, se presentan las conclusiones.
1. Provisión de servicios públicos básicos en México
La provisión de bienes públicos locales es una responsabilidad de los ayuntamientos estipulada en el artículo 115 de la Constitución. Asimismo, estos bienes públicos son la estrategia clave para mantener el poder político y asegurar el triunfo de la reelección del gobernante. Para los fines de esta investigación, siguiendo a Moreno-Jaimes (2007, 2008, 2012) y Cleary (2007), medimos el desempeño del gobierno local en términos de cobertura de servicios públicos sobre los que tienen una responsabilidad formal, o, por lo menos, un grado razonable de control.2 En la Tabla 1 se muestra la cobertura de los bienes públicos agrupados en diferentes combinaciones para las viviendas particulares habitadas, los tres vectores binarios capturan si una vivienda cuenta o no con el servicio, se obtienen ocho posibles combinaciones. El número de viviendas es de 2.85 millones, correspondientes a una muestra de 10% del censo de 2010.

En primera instancia, se observa que la probabilidad más alta, 47.8% pertenece al grupo de viviendas que cuentan con una cobertura completa: incluye los tres servicios públicos, lo cual es consistente con el amplio proceso de modernización que ha experimentado el país en los últimos 50 años (Ruiz-Euler, 2014). Sin embargo, todavía el 52.2% de las viviendas carecen de al menos un servicio de infraestructura básica, y alrededor de 2.8% no tienen ninguno. La categoría con menos observaciones pertenece a viviendas con sólo drenaje. Hay un nivel sustancial de variación en las diferentes combinaciones de bienes para los hogares mexicanos.
La cobertura del servicio público en México ha mejorado en las últimas décadas, sin embargo, todavía persisten problemas de desigualdad en el acceso a los servicios básicos de los municipios. Aún más, el desempeño de los gobiernos locales no es un proceso uniforme, pues en tanto algunos municipios tienen cobertura de servicios públicos cercana al 100% y han adoptado métodos novedosos en la implementación de sus políticas públicas, otros, difícilmente cubren al 50% de la población y no cumplen con las normas legales y técnicas en el funcionamiento de sus administraciones.
La Tabla 2 presenta las estadísticas descriptivas de las tasas de cobertura de agua, drenaje y electricidad en 2010 en los municipios mexicanos. Se observan variaciones considerables cuando tomamos el promedio simple de la cobertura de servicios en los municipios, por ejemplo, la tasa media de disponibilidad de energía eléctrica en las viviendas de los municipios es del 95.44%, mientras que la tasa mínima es del 29.78%. En contraste, existen municipios con una cobertura del 100 por ciento.

En el caso del agua, la tasa media de disponibilidad en las viviendas particulares para el año 2010 de los municipios mexicanos es de 85.43% y una desviación estándar de 17.54%, provocando que el coeficiente de variación sea de 20.53%, mayor que el porcentaje presentado en el servicio de energía eléctrica. Asimismo, la tasa de cobertura del drenaje para el mismo año fue de 74.97%, es decir, la menor de los tres servicios, además de presentar una mayor dispersión con un coeficiente de variación del 32.8 por ciento.
Así, podemos percatarnos que la eficiencia en la provisión de servicios públicos no ha sido homogénea entre los municipios mexicanos. Tras una revisión de la literatura internacional, hemos identificado variables comúnmente aceptadas que son importantes predictores, permitiéndonos agruparlas en factores económicos, demográficos y políticos.
En la Gráfica 1 se presentan los valores medios de cobertura de electricidad, agua y drenaje para el año 2010, según el nivel de competencia en las elecciones locales para presidente municipal realizadas entre 2007 y 2009. (Basado en la definición del índice de Herfindahl, el índice de Competencia Política en el municipio j se define como, . Donde αij es la proporción de votos obtenidos en la elección local para presidente municipal partido político ith en el municipio jth, 1 indica una alta competencia mientras que 0 indica poca o nula competencia.)

Gran parte del esfuerzo de la investigación presente se encauza a comprender la conexión existente entre competencia política y alternancia con la provisión de servicios públicos. Trabajos empíricos realizados para México sugieren que podría haber una relación positiva. De acuerdo a Ruiz-Euler (2014), ahí donde existen altos niveles de democracia se tienen altos niveles de provisión de bienes públicos.
Podemos establecer que los municipios con mayor grado de competencia política en elecciones locales presentan mayores tasas promedio de servicios públicos; el drenaje es el servicio que presenta la curva con mayor inclinación. Aunque el porcentaje de viviendas con energía eléctrica se relaciona con la competitividad en las elecciones, la pendiente es ligeramente positiva.
En este sentido, si prevalece la hipótesis de la rendición de cuentas, debiéramos esperar que aquellos municipios que han experimentado la alternancia exhiban mayores tasas de cobertura de servicios públicos. En la Gráfica 2 se presentan los valores medios de cobertura de electricidad, agua y drenaje para el año 2010, según el número de alternancias acumuladas en los municipios.

Podemos observar la existencia de una pendiente positiva en cada uno de los servicios públicos, es decir, los municipios que tienen un mayor número de alternancias acumuladas presentan tasas promedio de servicios públicos más altas, el drenaje es el servicio que presenta la curva con más inclinación; la excepción son los municipios con ocho alternancias, mientras que la energía eléctrica muestra la pendiente más plana. La evidencia encontrada da un pequeño soporte a la hipótesis de la rendición de cuentas planteada en este estudio.
Este análisis exploratorio sugiere que un mayor nivel de competencia y alternancia en el ámbito municipal están asociados de manera positiva con la cobertura de servicios públicos locales básicos en México. Como es bien conocido, para evaluar rigurosamente la relación entre las variables es necesaria la estimación de un modelo econométrico, a lo cual nos enfocamos en las siguientes páginas.
2.Relación entre competencia política, alternancia y provisión de bienes públicos
La provisión de bienes y servicios públicos juega un papel importante dentro de las funciones del gobierno. El interés por determinar el grado de eficiencia con que lo hace surge en la literatura de los años sesenta y setenta con los trabajos de Tiebout (1956), Musgrave (1959) y Buchanan (1965). Las teorías de las finanzas públicas y del federalismo fiscal establecen que la descentralización y transferencia de responsabilidades hacia estados y municipios es necesaria para garantizar la adecuada provisión de bienes y servicios públicos (Musgrave, 1959 y Oates, 1968). Dado el supuesto de que los gobiernos subnacionales y locales son capaces de suministrarlos eficientemente, son ellos los que suelen hacerse a cargo de esta tarea (Ruíz-Porras y García-Vázquez, 2013).
Tiebout (1956), por su parte, explica que los bienes públicos locales están relacionados con la movilidad de las personas, vistos como un beneficio en función de los impuestos pagados por los habitantes de cada jurisdicción; un ejemplo es la calidad de la educación: las personas que buscan buenas escuelas para sus hijos tendrán que buscar jurisdicciones donde los impuestos atiendan bien ese ramo de los servicios públicos. Es decir, para Tiebout, los agentes económicos expresan sus preferencias por los bienes públicos al escoger la jurisdicción cuya estructura fiscal de impuestos y gastos se acomode mejor a sus preferencias. Las elecciones son consideradas como canastas que combinan impuestos a pagar y los bienes públicos que se proveerán (Tiebout, 1956).
Igualmente, una gran cantidad de estudios intentan explicar la provisión de bienes públicos desde diferentes ángulos, contribuyendo a definir la eficacia con la cual se desempeñan los gobiernos. La literatura internacional ha tratado de entender el impacto de las características electorales, incluyendo la competencia política y filiación partidista de los gobernantes, la capacidad burocrática y financiera, pobreza, desigualdad en la distribución del ingreso, educación, diversidad étnica y distintas condiciones demográficas que inducen a los gobiernos a responder de diferentes formas a la demanda de los servicios públicos.
De estas variables, la explicación acerca del efecto de la competencia política sobre la provisión de bienes públicos es probablemente la más documentada. Desde la perspectiva de la economía política, la democracia genera incentivos para implementar prácticas de buen gobierno y eficiencia en la provisión de bienes públicos. Modelos espaciales de competencia política sobre un sitio ideológico unidimensional, como los elaborados por Downs (1957) y Black (1958), han demostrado que la competencia entre dos partidos que anuncian sus plataformas electorales de forma simultánea y no cooperativa -donde los ciudadanos únicamente difieren en sus preferencias ideológicas- produce políticas públicas óptimas, que se traducen en una mayor provisión de bienes públicos.
Autores como Stigler (1972) y Wittman (1989) se centran en los incentivos que genera la democracia, en particular la competencia política. En una analogía con los mercados económicos, Stigler (1972) argumenta que, así como la competencia económica reduce las rentas del monopolista, la competencia política limita los incentivos de los gobernantes para extraer rentas y aumenta la eficiencia en la provisión de bienes públicos. Esto es, dice Wittman (1989), porque el comportamiento oportunista en un contexto competitivo puede ser muy costoso al afectar negativamente sus aspiraciones de reelección.
Los modelos formales de Svensson (1998) y Besley et al., (2010) muestran cómo la escasa competencia política incentiva al Estado a ejercer el poder monopólico, extrayendo rentas y suministrando ineficientemente los servicios públicos, sin preocuparse por intenciones de reelección. Así ocurre con la nula competencia en los mercados económicos, se generan ineficiencias en la producción de bienes y rentas extraordinarias para el monopolista.
Según Wittman (1989), el comportamiento oportunista en un contexto competitivo puede ser muy costoso al afectar negativamente las aspiraciones de reelección de quienes gobiernan. Aún más, genera incentivos para implementar prácticas de buen gobierno y eficiencia en la provisión de bienes públicos, dado que los ciudadanos utilizan su voto como una forma de ejercer control sobre sus representantes (Manin et al., 1999).3 Para estos estudiosos, la competencia política proporciona mecanismos de rendición de cuentas. Los ciudadanos utilizan el voto para ejercer control sobre sus representantes, seleccionando a aquéllos que mejor representan sus intereses y castigando a quienes no tengan un buen desempeño. El no tener segura la victoria obliga a los candidatos a buscar ofertas políticas que se ajusten a las preferencias de los electores y a imple-mentar prácticas de buen gobierno y eficiencia en la provisión de bienes públicos (Manin et al., 1999).
En el ámbito internacional se han realizado evaluaciones empíricas orientadas a explicar cómo la competencia política ha influido sobre la provisión de bienes públicos en países con diversos entornos institucionales. La literatura presenta indicios de que la competencia política ha incrementado el alcance y la fuerza de las políticas públicas, así como sus efectos positivos sobre el desempeño gubernamental en países como India (Chibber y Nooruddin, 2004), Bélgica (Ashworth et al., 2006), México (Rodríguez, 1998; Hiskey, 1999; Beer, 2003; Hecock 2006) y Brasil (Arvate, 2013), entre otros.
En una investigación para la India, Chibber y Nooruddin (2004) encontraron que estados con sistemas de competencia bipartidistas proveen una mayor cobertura de servicios públicos (electricidad y acceso al agua potable) que aquéllos con sistema multipartidista. En el primer sistema, los partidos requieren el apoyo de diversos grupos sociales, por tanto, la mejor estrategia para ganar elecciones es incrementar la cobertura de servicios y bienes públicos, mientras que en el segundo, la estrategia es la conformación de clubs, ya que sólo es necesario movilizar segmentos de población relativamente pequeños para ganar4.
Por su parte, Ashworth et al. (2010) evalúan la eficiencia para 308 gobiernos locales de la región norte de Bélgica para el año 2000. Encuentran que la competencia política disminuye la extracción de la renta y la ineficiencia en los gobiernos municipales. La eficiencia indica que el gobierno genera niveles elevados de los bienes públicos con un presupuesto limitado. La legislación brinda a los gobiernos una gran autonomía para impulsar sus propias políticas, pueden iniciar cualquier política que promueva los intereses de sus electores y determinar cómo financiarlas, siempre y cuando estas no estén prohibidas explícitamente por la legislación federal.
Para el contexto mexicano, Rodríguez (1998) argumenta que la competencia alentó a los gobiernos locales a poner un mayor énfasis en la eficiencia, adoptar enfoques más tecnocráticos y principios de transparencia en la elaboración de políticas públicas. Asimismo, Hecock (2006) apunta que la competencia política aumenta la sensibilidad de los gobernantes a las demandas sociales. Muestra que una mayor competencia electoral condujo a un aumento del gasto en educación de los gobiernos estatales entre 1999 y 2004.
Sin embargo, otros sostienen que la democracia y las elecciones no siempre tienen éxito en la reducción de la corrupción, particularmente durante una transición política y en la ausencia de instituciones democráticas eficaces (O’Donnell, 2004). En este sentido, Cleary (2007) y Moreno-Jaimes (2007) afirman que los efectos de la competencia política en México son bastante limitados. Si bien reconocen que ha incrementado el alcance y la fuerza de las políticas públicas locales en México, advierten que las elecciones competidas traen nuevos incentivos que favorecen la actuación oportunista de los partidos y políticos. Los políticos, precisan estos autores, pueden recurrir al clientelismo y al patronazgo para consolidar una base de apoyo sin mejorar las políticas públicas, así como comprar votos o realizar proyectos de alto perfil que no contribuyen al desarrollo o a la mejora de los servicios, tal como el embellecimiento de plazuelas.
Kitschelt y Wilkinson (2007) exponen que la competencia política fortalece el clientelismo, especialmente en áreas con altos grado de debilidad institucional, mientras que en países desarrollados estimula una mayor provisión de bienes públicos. Una explicación podría encontrase en la alternancia política, generalmente descuidada por la literatura. Pellagata (2010) señala que aún en sistemas democráticos, cuando los políticos saben que tienen una alta probabilidad de ocupar el cargo después de las próximas elecciones o que volverán al gobierno después de poco tiempo, la amenaza que brinda el contexto político-institucional diseñado para mejorar la competencia no es creíble. Así, este autor propone un concepto multidimensional de alternancia basado en dos dimensiones analíticas principales: la posibilidad de alternancia y su ocurrencia empírica.
Entonces, según Milanovic et al. (2008) y Pellagata (2010), el hecho real de alternancia incrementa la competencia política debido a que fortalece la relación de responsabilidad entre los electores y sus representantes, e incrementa el riesgo de ser sustituido por otro partido. Esto reduce, a su vez, los incentivos de los funcionarios públicos de mantener relaciones de corrupción e incrementa la mejora en la eficiencia en la provisión de bienes públicos.
El sistema democrático brinda un ambiente institucional que vuelve posible la alternancia política, una mayor competencia incrementa la probabilidad de experimentar la alternancia.5 A su vez, un patrón consolidado de alternancia hace que el riesgo de los gobernantes de ser removidos de su cargo en la siguiente elección sea alto, provocando a su vez una mayor competencia política; puesto que la toma del poder por parte de la oposición es posible, ésta encontrará un incentivo adicional para intensificar la competencia, al tiempo que muchos que no competían porque encontraban que era imposible ganar, ahora lo harán.6
Al respecto, Nye y Vasilyeva (2015) miden el efecto de la competencia política y la alternancia sobre la provisión de bienes públicos, a través de un modelo teórico. Aseguran que la intensidad de la competencia establece mecanismos de rendición de cuentas (formal e informal) se generan mayores beneficios en favor de los residentes, pero su impacto no es monótono. Nye y Vasilyeva distinguen dos tipos de gobernadores: los nuevos burócratas y los viejos burócratas. Señalan que los gobernadores nuevos (alternancia) tienen más incentivos a proveer una mayor cantidad de bienes públicos, debido, en primer lugar, a un menor compromiso con las élites políticas y una menor extracción de rentas.
Sin embargo, también explican que, para porcentajes de votos relativamente bajos y muy altos del partido en el poder, los viejos gobernadores proveen mayores cantidades de bienes públicos. En segundo plano, la mayor provisión de bienes públicos incrementa las oportunidades de ser reelegido por los ciudadanos. Asimismo, usando un modelo econométrico para las regiones de Rusia, demuestran que la alternancia tiene efectos positivos. Estos autores señalan que los funcionarios electos localmente proporcionan más bienes públicos que los designados de forma centralizada, cuando la partidocracia es fuerte, y el efecto es contrario, cuando la proporción de votos del partido ganador es relativamente baja.
Aún más, en las regiones donde el poder político de un partido es muy importante, el fortalecimiento de los mecanismos formales de rendición de cuentas se asocia con un menor número de bienes públicos, tales como los gastos en atención de la salud pública y la educación. En contraste, los mecanismos informales de rendición de cuentas (como la creación de redes o la presión política local) trabajan a menudo peor en entornos altamente competitivos.
3. Otros determinantes de la provisión de bienes públicos
El propósito de esta sección es presentar el marco teórico que sustenta el análisis empírico que se realiza más adelante. Hemos identificado un conjunto de variables que son importantes predictores, permitiéndonos agruparlas en factores económicos, demográficos y políticos. Un factor vinculado al desempeño del gobierno en México es la relación partidaria entre los gobiernos municipal y estatal, es decir la yuxtaposición.7Hernández-Trillo y Jaramillo-Rabling (2007) y Pérez-Yarahuán (2007) han demostrado que la distribución de los recursos intergubernamentales de los estados hacia los municipios en México está influenciada por consideraciones políticas. De acuerdo al modelo de Cox y McCubbins (1986) la estrategia óptima para un político adverso al riesgo será distribuir los recursos públicos en primer término a su grupo político con el fin de mantener las relaciones de poder.
Dada la fuerte dependencia de la hacienda local por las transferencias federales y estatales, una reducción de estos fondos podría erosionar el desempeño de los gobiernos municipales. Por lo tanto, consideramos que la provisión de bienes públicos depende de la relación partidaria entre los gobiernos municipal y estatal, donde esperamos que un municipio yuxtapuesto tenga un nivel menor de desempeño del gobierno que los municipios no yuxtapuestos.
Por otra parte, desde el trabajo de Lipset (1959), se argumenta que el desarrollo económico esta correlacionado con los procesos políticos. Lipset sostiene que el bienestar económico de la sociedad en su conjunto -donde relativamente pocos ciudadanos son pobres- es indispensable para el desarrollo democrático, debido a que aumenta la capacidad para tomar decisiones electorales racionales. En este sentido, Moreno-Jaimes (2007) encuentra una relación negativa entre la tasa de pobreza y la cobertura de servicios públicos municipales, asevera que la modernidad socioeconómica ha sido una de los factores que más ha influido sobre el desempeño de los gobiernos locales; apunta que el bienestar económico facilita el desempeño gubernamental al crear una ciudadanía más activa y atenta.
Asimismo, la educación es considerada como uno de los factores más importante en los procesos democráticos. Soto-Zazueta y Cortez (2012) destacan el papel de ésta en la formación de una cultura política que, a su vez, se relaciona con el desempeño del gobierno. Mientras que en su estudio para las regiones de Italia, Putnam (1993) señala la existencia de una fuerte relación entre la cultura cívica y el desempeño del gobierno. En teoría, la educación ayuda a los ciudadanos a permanecer informados acerca de los sucesos políticos y crea una población más activa en estos asuntos.
Otra explicación proviene del efecto de la heterogeneidad social sobre la provisión de bienes públicos. Las formas de heterogeneidad social más recurrentes en la literatura son etnia, religión y desigualdad económica (Ruiz-Euler, 2014). Las investigaciones en este sentido han encontrado que existe una relación negativa entre la desigualdad en la distribución del ingreso y la provisión de bienes públicos (Dayton-Johnson, 2000; Bardhan y Dayton-Johnson, 2007; Khwaja, 2009; Ruiz-Euler, 2014). Estos hallazgos sugieren que la heterogeneidad aumenta los costos de la acción colectiva que enfrentan los grupos disminuyendo su capacidad para articular una demanda efectiva por bienes públicos.
Khwaja (2009), por ejemplo, encuentra efectos negativos de la desigualdad en la distribución del ingreso sobre la capacidad de las comunidades para realizar una acción colectiva eficaz. En efecto, Dayton-Johnson (2000) argumenta que la desigualdad en la distribución del ingreso disminuye la cooperación entre los comuneros de ejidos rurales en México para la asignación de agua. En una investigación similar, Bardhan y Dayton- Johnson (2007) encuentran que la desigualdad del ingreso aumenta la heterogeneidad de las preferencias sobre el mantenimiento de los canales en comunidades de México y la India; por lo tanto, dificulta la acción colectiva.
Además, Boix (2003) argumenta que una mayor igualdad de ingresos produce una clase media más amplia, lo que aumenta la capacidad de aportar recursos a los gobiernos municipales y por ende aumentar la cobertura de bienes públicos. Por consiguiente, planteamos al desempeño gubernamental en función de la desigualdad en la distribución del ingreso, donde esperamos una relación negativa.
Desde hace décadas se ha estudiado la relación del tamaño de las ciudades y la concentración de la población con la eficiencia en la provisión de bienes públicos. Para algunos autores, debido a la prevalencia en los problemas de congestión y la acentuación de los problemas sociales, los costos per cápita en la provisión de servicios públicos pueden ser mayores en las ciudades o municipios más grandes. Es decir, reduce la eficiencia en la provisión de bienes públicos, haciendo necesario un mayor gasto relativo para mantener la cobertura de la población. Mientras, investigadores como Buettner y Holm-Hadulla (2013) han encontrado que las ciudades grandes son más eficientes en la provisión de bienes públicos al presentar economías de escala y reducir los costos per cápita. Así, consideramos que la provisión de servicios públicos puede expresarse en función del tamaño de la población.
Por otra parte, Carruthers y Ulfarsson (2003), Nakamura y Tahira (2008) y Hortas-Rico y Solé-Ollé (2010) han encontrado que las ciudades compactas y concentradas son más eficientes en la provisión de servicios públicos, pues reducen los costos per cápita del suministro de los mismos. En consecuencia, se plantea la provisión de bienes públicos en el ámbito municipal en función de la densidad poblacional, donde esperamos tenga un efecto positivo en el desempeño. Adicionalmente, medimos la concentración con la proporción de la población que vive en zonas rurales, donde creemos existe una relaciona negativa.
Al considerar todos los argumentos presentados hasta ahora, asumimos que la provisión de bienes públicos en el municipio j depende del comportamiento de las siguientes variables: competencia política, relación partidaria entre los gobiernos municipal y estatal, pobreza, desigualdad en la distribución del ingreso, educación, flujo de migrantes, densidad poblacional, población rural, tamaño de la población y desempeño gubernamental en el periodo anterior.
4. Metodología
En esta sección se plantea el modelo a estimar, así como la técnica econométrica que se emplea para establecer la relación de la competencia política con el desempeño de los gobiernos locales en México. Se identifica un conjunto de características políticas, económicas y sociodemográficas del municipio que podrían influir en la provisión de servicios públicos, proponemos un estudio de corte transversal con información de 2019 municipios que celebraron elecciones locales en México entre 2007 y 2009.8
De acuerdo a la literatura internacional y trabajos realizados para México, suponemos que la provisión de bienes públicos en el municipio j puede expresarse en función de la alternancia (alter) y la yuxtaposición política del presidente municipal con respecto al municipal gobierno (yuxta). Controlamos la situación socioeconómica del municipio incorporando al modelo el nivel de pobreza municipal (pobreza), la desigualdad en la distribución del ingreso (gini), educación (e), la densidad de población (den), y el tamaño de la población (pob).
2.1. Especificación del modelo econométrico
En la medida que no se conoce a priori la relación funcional entre las variables explicativas y la variable endógena se propone un modelo:
Donde la variable dependiente y es una transformación tipo log-odd del índice de bienes públicos, la cual es expresada como una proporción y se encuentra acotada a valores entre 0 y 1. Para el estudio econométrico definimos el índice de bienes públicos de la siguiente forma: es la tasa de cobertura del servicio público kth provisto en el municipio jth. Así, proponemos un indicador de provisión de bienes públicos compuesto por el porcentaje de viviendas habitadas con agua entubada, porcentaje de viviendas habitadas con drenaje y porcentaje de viviendas habitadas con energía eléctrica. Para convertir los valores estimados log-odds de nuevo en términos porcentuales, invierto la transformación log-odd mediante la siguiente fórmula:
Como lo documenta Moreno-Jaimes (2007, 2008 y 2011), cuando esto sucede los coeficientes estimados por mínimos cuadrados ordinarios (MCO) no cumplen con el criterio de eficiencia, lo que podría dar lugar a predicciones fuera del rango 0-1, y obliga a suponer que el efecto de las variables independientes no es lineal. Lo razonable sería suponer que el efecto marginal de las variables independientes decae a medida que la tasa de cobertura de servicios públicos se aproxima al 100 por ciento.
Se incluyen variables dummy para controlar las diferencias regionales del país y el año en que se realizó la elección municipal, denotados como ci y vt , respectivamente (i=1, 2,…, 5; t= 2007, 2008, 2009). Además, uj constituye el término de error del municipio j.
4.2. Estrategia de estimación
El mayor reto de estimar el efecto de la alternancia sobre la provisión de bienes públicos es corregir el problema de selección. Lago y Martínez i Coma (2012) refieren que, en los estudios comparativos, el sesgo de autoselección es un riesgo recurrente. Demuestran que la mayoría de los trabajos dedicados a la institucionalización del sistema de partidos sufre de sesgo de autoselección.
En el caso del estudio de la provisión de bienes públicos en función de la alternancia se debe considerar el sesgo de selección, resultado de la decisión endógena de experimentarla. En caso de ser ignorado, este sesgo puede llevar a conclusiones erróneas con respecto al tamaño del efecto de la alternancia. En general, el sesgo de selección se podría deber a dos motivos. La discriminación estadística se refiere al hecho de que los municipios con alternancia mejoran su desempeño gubernamental debido a características observables y no observables. Las primeras se deben a las características de cada municipio que son capturadas en el modelo, tales como competencia política, educación, marginación, estructura de la población, etc., mientras que en las no observables, los gobiernos que no experimentan alternancia tienen pocos incentivos para mejorar su desempeño y mantener el poder, en cambio, pueden recurrir a conductas oportunistas.
Por otro lado, existe sesgo debido a las diferencias en las “preferencias electorales” de los municipios, lo cual crea ineficiencias en la provisión de bienes públicos. Existen municipios que muestran claramente preferencia por algún partido político; experimentar o no la alternancia política es el reflejo de una decisión colectiva, pues elegir la alternancia tiene un efecto sobre la función de utilidad social del municipio. Así, el municipio que realmente discrimine es aquel que no prefiera alternar, a pesar de que esta decisión signifique no maximizar la función de utilidad social por los beneficios discutidos en secciones anteriores.
Finalmente, una muestra seleccionada por cualquier regla que no sea equivalente al muestreo aleatorio produce una descripción de características de la población que no describe adecuadamente a las verdaderas. En este sentido, se viola el supuesto de observaciones seleccionadas independientemente. El método propuesto por Heckman (1979) permite aislar este sesgo, el cual es producto de la autoselección de las unidades de observación. En este caso, cuando se utilizan Mínimos Cuadrados Ordinarios los coeficientes obtenidos por este procedimiento están sesgados (Maddala, 1983).
El procedimiento sugerido por Heckman (1979) para tratar con este tipo de problemas, consiste en evaluar el parámetro de interés en dos etapas. Además de la ecuación objetivo que se pretende estimar, se debe recurrir a una segunda ecuación que se le suele denominar ecuación de selección, que corresponde a un modelo de variable dependiente discreta.
Así, en la primera etapa se estima la ecuación de selección utilizando un modelo tipo probit para medir la probabilidad de estar en la muestra, de esta estimación se obtiene la razón inversa de Mills λ, que captura la magnitud de dicho sesgo. En la segunda etapa, la razón de Mills estimada se incorpora al modelo de regresión original (ecuación 1) para ser añadido como un regresor, de esta manera la significancia de este coeficiente indica la magnitud de sesgo en que se incurriría si no se hubiese incorporado a la regresión.
Los coeficientes estimados por MCO al añadir la variable, λ, que capta la magnitud del sesgo, son consistentes. Para los propósitos de esta investigación, en la primera se utiliza un modelo probit para estimar la probabilidad de alternancia en función de la participación política, las características económicas:
Donde la alternancia es entendida como el cambio del partido en el poder en elecciones para presidente municipal, toma valor de 1 si el municipio i experimentó alternancia partidista en las elecciones para presidente municipal en los comicios realizados entre 2006 y 2008, y 0 de cualquier otra forma. MV es el margen de victoria, y controlamos la situación socioeconómica del municipio, incorporando al modelo el porcentaje de la población que vive en zonas rurales en el año 2005 (rural2005), el porcentaje de la población que es alfabeta en el año 2005 (alfabeta2005), el índice de marginación municipal (IM2005), la desigualdad en la distribución del ingreso (gini2005), el tamaño de la población (pob2005) y la densidad de población (densidad2005).
Para minimizar los potenciales problemas de endogeneidad, conviene señalar que las variables explicativas en la primera etapa corresponden a valores rezagados, por ejemplo del año 2005 (con excepción de las variables políticas).9 En la segunda etapa, se estima el log-odds ratio de la cobertura de bienes públicos en función del inverso de Mill’s ratio así como las características económicas, demográficas y políticas en los municipios mexicanos especificados en la ecuación (1) por medio de máxima verosimilitud.
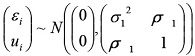
Para que los parámetros estimados sean consistentes con el método de corrección de Heckman, los errores en las dos etapas deben tener una distribución normal bivariada, dada por:
(4)La magnitud del sesgo dependerá de la correlación entre los errores (ρ) la varianza relativa del error (σ) y la severidad del truncamiento (la razón inversa de Mills es mayor cuando zδ es menor). Si ρ = 0 entonces no habrás sesgo de selección.
5. Análisis de los resultados
En la presente sección se discuten los resultados del análisis empírico con el cual se evalúa si las elecciones competitivas crean gobiernos locales con un mejor desempeño público. Con tal propósito, se estimó la ecuación 4 y especificamos distintos modelos para verificar la robustez de los resultados. En términos prácticos, el modelo explica las tasas de cobertura de servicios en 2010, con base en la probabilidad de un municipio de experimentar la alternancia, otros medios de influencia política y algunas variables de control, atendiendo el uso de la corrección del sesgo de selección.
Dicho modelo consta de dos procesos que son abordados por dos ecuaciones diferentes: una ecuación de selección y una ecuación condicional. La primera ecuación probit es un proceso de selección de los votantes acerca de experimentar alternancia o no. En la segunda ecuación se examinan los efectos de las variables independientes sobre la provisión de bienes públicos. En la Tabla 3 se reportan los valores de los coeficientes de la primera etapa, la cual consiste en estimar el efecto de las variables independientes sobre la probabilidad de que un municipio experimente la alternancia. Así, en el Cuadro 1 se reporta el valor de los parámetros de la ecuación 3 en las dos primeras columnas.

Observamos que las variables muestran el signo esperado, aunque no todas son significativas. Sobresale que el efecto negativo del margen de victoria sobre la probabilidad de alternancia es consistente para diversas especificaciones del modelo; aún más, el nivel de significancia siempre es alto. El efecto marginal de esta variable nos dice que mientras mayor sea la distancia entre el ganador de la contienda y el partido con el segundo lugar (menor competencia política) en el municipio i, la probabilidad de experimentar alternancia en ese municipio se reduce en 5.95 por ciento.
Con lo que respecta a la participación electoral, posee un afecto positivo sobre la probabilidad de alternancia; de acuerdo al Instituto Nacional Electoral (INE), el incremento en la participación electoral provocará un incremento en la probabilidad de alternancia política. En lo que toca al efecto de la marginación sobre la probabilidad de alternancia, es positivo y estadísticamente significativo. Significa que los municipios con mayores niveles de marginación tienen mayor probabilidad de experimentar alternancia, por ejemplo, al reducirse los niveles de marginación, los ayuntamientos son menos proclives a presentar alternancia.
En lo concerniente al efecto de la educación sobre la probabilidad de alternancia, los resultados indican que mientras mayor sea la tasa de alfabetización de la población, mayor será la probabilidad de alternancia. Aunque este efecto no tiene significancia estadística para todas las especificaciones del modelo, el sentido de la relación no cambia. Recordemos que, en cierta medida, la educación se relaciona con la cultura cívica de las personas; por lo tanto, a través de esta variable de educación, el modelo puede estar captando el efecto que la cultura cívica podría tener sobre la alternancia política.
Igualmente, la variable correspondiente al tamaño del municipio resulta en un efecto acorde al esperado, ya que el signo del coeficiente de esta variable nos indica que los municipios más pequeños muestran una mayor probabilidad de experimentar la alternancia, este resultado es significativo para las regresiones de la segunda y tercera columna. Fonseca-Hernández, et al. (2012) sugiere que las estructuras partidistas en los ayuntamientos más pequeños son más endebles que en sus contrapartes mayormente poblados, de ahí que éstos resultaran más proclives a alternar.
Por otra parte, aquellos municipios con mayor densidad de la población presentan una mayor probabilidad de experimentar alternancia.
Por otra parte, en la primera columna de la Tabla 4 se muestran los resultados de la segunda etapa del modelo de Heckman con máxima verosimilitud. En las columnas 2 y 3, se estimaron los modelos sin corrección de sesgo mediante los modelos de Mínimos Cuadrados Ordinarios y de regresión robusta con el propósito de realizar una comparación de los estimadores con estos modelos. En primer lugar, observamos en la columna 1 que ρ es positiva y estadísticamente significativa, esto indica que las variables no observadas en ambas etapas están positivamente correlacionadas entre sí. Es decir, en este modelo de provisión de bienes públicos, una variable no observada que se relaciona positivamente con la alternancia (etapa 1), también lo hace positivamente con la provisión de bienes públicos (etapa 2).

Así, la variable λ es positiva y estadísticamente significativa por lo que se rechaza la hipótesis nula, H0 : βλ =0 lo que sugiere la existencia de un sesgo de selección, de ahí la importancia del modelo de Heckman para este análisis. Esto da como resultado el desplazamiento (hacia arriba) de la cobertura condicional de bienes públicos debido al efecto de selección.10 La interpretación sugiere que un municipio con las características medias de la muestra, el cual experimenta alternancia política, tendrá una cobertura de servicios públicos 5% mayor que un municipio seleccionado al azar con el conjunto promedio de las características.
Resulta interesante comparar el modelo de provisión de bienes públicos estimado por el método de Heckman con la estimación por MCO y de regresión robusta que se muestran en las columnas 2 y 3, respectivamente. Los coeficientes estimados son bastante similares, a pesar de que MCO es inconsistente debido a que las pruebas formales nos han permitido corroborar la existencia de un problema de sesgo de selección. Debido a la estructura no lineal del modelo de variable dependiente translog, los coeficientes no pueden interpretarse directamente. Para convertir los valores estimados log-odds de nuevo en términos porcentuales, se debe invertir la transformación log-odd mediante la fórmula .
En este sentido, una de las variables relevantes en la predicción de la provisión de servicios públicos en las investigaciones de Cleary (2007) y Moreno-Jaimes (2007) es el valor rezagado de esta variable. La fuerte relación positiva encontrada por estos autores es consistente con la naturaleza de dependencia histórica de la cobertura del servicio. Sin embargo, la inclusión de esta variable podría generar sesgos derivados.
Como Achen (2000) lo demuestra, en este tipo de modelos la introducción de rezagos puede inducir una subestimación de la significancia en los coeficientes del resto de las explicativas. Aún más, después de hacer un análisis de correlación, encontramos que la tasa cobertura de servicios públicos en 2005 se correlaciona altamente con la pobreza, la educación promedio y el porcentaje de personas que viven en zonas rurales en 2010, motivo por el cual se pueden generar estimadores segados por multicolinealidad y endogeneidad.
De hecho, sospechamos que Cleary (2007) y Moreno-Jaimes (2007) podrían tener algunos problemas de sesgo ocasionados por la inclusión de esta variable en sus modelos econométricos. En nuestro caso, la forma de solucionarlo es mediante su exclusión, en virtud de que su efecto será capturado por el intercepto, corrigiendo así los problemas potenciales antes señalados.
Después de corregir el sesgo, la principal variable de interés -la competencia política- muestra un efecto en la dirección esperada en todas las regresiones y su coeficiente pasa las pruebas individuales de significancia. En la Tabla 4 podemos observar una relación positiva de la competencia política con la provisión de bienes públicos. Sin embargo, autores como Soto-Zazueta (2016) señalan que la magnitud de su impacto depende de las configuraciones de las condiciones socioeconómicas de los municipios y las diferencias regionales.
Desde el trabajo de Lipset (1959) se argumenta que el desarrollo económico está correlacionado con los procesos políticos. El autor sostiene que el bienestar económico de la sociedad -donde relativamente pocos ciudadanos son pobres- es indispensable para el desarrollo democrático, porque aumenta la capacidad para la toma de decisiones racionales en el terreno electoral. En este sentido, encontramos que la pobreza y la desigualdad en la distribución del ingreso tienen un efecto negativo y significativo sobre el indicador de bienes públicos utilizado en este trabajo. Es decir, los municipios con mayores índices de pobreza y desigualdad muestran menores tasas de cobertura de servicios públicos que aquellos relativamente equitativos y menos pobres, suponiendo que todo lo demás permanece constante. Los resultados arrojan argumentos a favor del papel que desempeña la modernidad socioeconómica, ya que en la medida en que los municipios reducen sus niveles de pobreza son más proclives a tener un mejor desempeño gubernamental. Para el contexto mexicano, este hallazgo es consistente con la relación negativa encontrada por Moreno-Jaimes (2007), al expresar que la modernidad socioeconómica ha sido uno de los factores más influyentes en el desempeño de los gobiernos locales.
Asimismo, la educación se considera uno de los factores más importantes en los procesos democráticos. En teoría, la educación ayuda a las y los ciudadanos a permanecer informados acerca de los sucesos políticos, crea una población más activa y mejora la capacidad para articular demandas a las autoridades. Específicamente, encontramos que los municipios con niveles altos de educación tendrán un mejor desempeño del gobierno. El modelo predice que, si todo lo demás permanece constante, un municipio con un mayor número de años promedios de educación de la población de 15 años y más, tendría una mayor cobertura de servicios públicos que uno con poca educación.
El desempeño del gobierno en México también se vincula con la relación partidaria entre los gobiernos municipal y estatal, es decir la yuxtaposición. Encontramos que la yuxtaposición se asocia negativamente con la provisión de bienes públicos, sugiriendo que los municipios controlados por un partido distinto al gobernador presentan tasas de cobertura ligeramente menores. Sin embargo, esta situación sólo representa una diferencia de 1% en las tasas de cobertura. De acuerdo al modelo de Cox y McCubbins (1986), la estrategia óptima para un político adverso al riesgo será distribuir los recursos públicos en primer término a su grupo político en virtud de mantener las relaciones de poder. Es decir, la implicación de este modelo sugiere que el gobierno estatal tenderá a prestar más atención en aquellos municipios donde el alcalde y el gobernador sean compañeros de partido, o se cuente con un apoyo político más amplio. Mientras que en los municipios controlados por la oposición, el gobernador decidirá invertir menos recursos.
Otros factores claves que tienen influencia en la capacidad de los gobiernos para proporcionar servicios básicos a los residentes son los de carácter demográfico. Desde hace décadas, se ha estudiado la relación del tamaño de las ciudades y la concentración de la población con la eficiencia en la provisión de bienes públicos. En nuestro estudio, la dispersión de la población en los municipios es consistente con nuestras expectativas y con otras publicaciones, tiene un efecto negativo sobre las tasas de cobertura de servicios públicos debido al aumento en el costo por la prestación de servicios cuando las personas tienden a residir en las zonas más aisladas. De acuerdo a nuestros resultados, manteniendo constantes todos los demás factores, los municipios más densamente poblados (menor dispersión) tienen una mejor cobertura. Asimismo, los municipios con una mayor proporción de personas viviendo en comunidades rurales tienen una cobertura menor, se corrobora así la hipótesis de la urbanización. Con lo que respecta al tamaño de los municipios, presentan un efecto en forma de U con la tasa de cobertura de servicios públicos.
Conclusiones
La discusión sobre las causas y consecuencias de la provisión de bienes públicos en México, a través de modelos econométricos, carece de una metodología rigurosa. En los modelos econométricos generalmente las variables políticas incluidas, sobre todo las relacionadas con resultados electorales, presentan problemas de selección. Por ello, al calcular coeficientes a partir de técnicas convencionales como MCO es probable obtener estimadores inconsistentes.
Se evaluó el efecto de la alternancia y la competencia política sobre la gestión gubernamental a través de un conjunto de servicios públicos sobre los cuales los ayuntamientos tienen cierto grado de injerencia. Con base en la literatura internacional se identificaron variables para especificar un modelo econométrico.
La aplicación de un modelo de dos etapas nos permite corregir el sesgo de selección. Los resultados exponen una situación compleja, a pesar de que Soto-Zazueta y Cortez (2015) señalan que el alto nivel de corrupción es reflejo de que en el sistema democrático mexicano aún no se han establecido mecanismos eficientes de transparencia y rendición de cuentas ante el notable estancamiento en la materia; la alternancia entre partidos en los gobiernos locales se relaciona positivamente con el indicador de bienes públicos que utilizamos, luego de controlar otras variables como educación, desigualdad en la distribución del ingreso, competencia política, etc.
Cuanto mayor es el número de alternancias, mayor es la tasa de cobertura de servicios públicos debido a que enfrentan una amenaza creíble de ser sustituidos si muestran un mal desempeño al frente del gobierno. Por ejemplo, los congresos con mayorías opuestas al partido del gobernador están asociados a menores niveles de corrupción, pues vigilan más de cerca las acciones de funcionarios públicos y se inclinan más a revelar dichos actos y a castigarlos, elevando de esta forma los costos para los servidores públicos. Asimismo, la evidencia en esta investigación sugiere que, en un contexto democrático, donde los municipios presentan distintas condiciones políticas, los niveles de competencia política se relacionan positivamente con el desempeño de los gobiernos locales.
Si bien es cierto la alternancia política y la competencia electoral por sí solas no son suficientes para aumentar la cobertura de servicios públicos, los resultados sugieren una cierta complementariedad con la educación, el grado de pobreza, la marginación, la distribución del ingreso, la yuxtaposición, el tamaño y la dispersión de la población. Se corrobora lo encontrado por los investigadores Hiskey (1999), Beer (2003), Hecock (2006) y Ruiz-Euler (2014), entre otros. Sin embargo, dista también de lo hallado por Cleary (2007) y Moreno- Jaimes (2007) en los años noventa.
Las pruebas soportan la teoría de la modernización política porque la provisión de bienes públicos se relaciona con factores como la pobreza, la desigualdad en la distribución del ingreso y la educación, así como la asociación negativa del tamaño de las ciudades con el desempeño de los gobiernos locales. Los hallazgos son consistentes con el argumento de Tiebout (1956), para quien las jurisdicciones pequeñas son más eficientes para proveer bienes públicos. Asimismo, la densidad de la población establece una relación positiva, se indica que la provisión de servicios públicos es mayor en las zonas con mayor concentración poblacional que en aquellas con situación de aislamiento, debido probablemente a diferencias costo-eficiencia. En cuanto a zonas urbanas, la cobertura es mayor que en las rurales.
Para concluir, anhelamos que los resultados de este trabajo alienten el estudio de esta relación y otros asuntos no abordados. Las limitaciones derivan de la falta de información y la carencia de indicadores más amplios de bienes públicos. Además, se analizó únicamente la cobertura de algunos servicios públicos sin tomar en cuenta la calidad de los mismos.
Finalmente, en algunos modelos se supone la reelección de funcionarios públicos, la cual está prohibida en México; pero el modelo puede aplicarse a la reelección de un mismo partido, como sucede en este país, donde los partidos políticos pueden durar un tiempo indefinido en el poder, manejados por una cúpula que toma las decisiones de gobierno y selecciona a los aspirantes a los cargos públicos más importantes.
Fuentes consultadas
Achen, Christopher (2000), “Why lagged dependent variables can suppress the explanatory power of other independent variables”, American Political Science Association, Los Ángeles, Estados Unidos de América.
Arvate, Paulo Roberto (2013), “Electoral competition and local government responsiveness in Brazil”, World Development, 43 (3), Elsevier, Ámsterdam, Holanda, pp. 67-83.
Ashworth, John, Benny Geys, Bruno Heyndels y Fanny Wille (2006), “Political competition and local government performance: evidence from flemish municipalities”, trabajo presentado en la Annual Meeting of the European Public Choice Society, 20-22 de abril, Turku, Finlandia.
Bardhan, Pranab y Jeff Dayton-Johnson (2007), “Inequality and the governance of water resources in Mexico and South India”, en Jean Marie Baland, Pranb Bardhan y Samuel Bowles (eds.), Inequality, cooperation, and environmental sustainability, Princeton University Press, New Jersey, Estados Unidos de América, pp. 98-127.
Beer, Caroline (2003), Electoral competition and institutional change in Mexico, University of Notre Dame Press, Indiana, Estados Unidos de América.
Besley, Timothy, Torsten Persson y Daniel Sturm (2010), “Political competition, policy and growth: theory and evidence from the United States”, Review of Economic Studies, 77 (4), Oxford University Press, Estocolmo, Suiza, pp. 1329-1352.
Black, Duncan (1958), The Theory of Committees and Elections, Cambridge University Press, Nueva York, Estados Unidos de América.
Boix, Carles (2003), Democracy and redistribution, Cambridge University Press, Nueva York, Estados Unidos de América.
Buchanan, James (1965), “An economic theory of clubs”, Economica, New Series, 32 (125), Wiley, New Jersey, Estados Unidos de América, pp. 1-14.
Buettner, Thiess y Fédéric Holm-Hadulla (2013), “City size and the demand for local public goods”, Regional Science and Urban Economics, 43 (1), Elsevier, Ámsterdam, Holanda, pp. 16-21.
Careaga, Maite y Barry Weingast (2003), “Fiscal federalism, good governance, and economic growth in Mexico”, en Dani Rodrik (ed.), Search of prosperity: analytic narratives on economic growth, Princeton University Press, Princeton, Estados Unidos de América, pp. 399-435.
Carruthers, John y Gudmundur Ulfarsson (2003), “Urban sprawl and the cost of public services”, Environment and Planning B: Planning and Design, 30 (4), Sage, Los Ángeles California, Estados Unidos de América, pp. 503-522.
CIDAC (Centro de Investigación para el Desarrollo AC) (2015), Base de datos electorales CIDAC, CIDAC, Ciudad de Mexico, México.
Chibber, Pradeep e Irfan Nooruddin (2004), “Do party systems count? the number of parties and government performance in the Indian States”, Comparative Political Studies, 37 (2), Sage, Los Ángeles California, Estados Unidos de América, pp. 152-187.
Cleary, Matthew (2007), “Electoral competition, participation, and government responsiveness in Mexico”, American Journal of Political Science, 51 (2), Wiley-Blackwell, East Lansing, Estados Unidos de América, pp. 283-299.
Coneval (Consejo Nacional de Evaluación de la Política y Desarrollo Social) (2010), Medicion de la pobreza municipal, Coneval, Ciudad de Mexico, México.
Cox, Gary y Mathew McCubbins (1986), “Electoral politics as a redistributive game”, The Journal of Politics, 48 (2), University of Chicago Press, Chicago, Estados Unidos de América, pp. 370-389.
Dalenius Tore y Joseph Hodges (1959), “Minimum variance stratification”, Journal of the American Statistical Association, 54 (285), Taylor and Francis, Ábingdon, Inglaterra, pp. 88-101.
Dayton-Johnson, Jeff (2000), “Determinants of collective action on the local commons: a model with evidence from Mexico”, Journal of Development Economics, 62 (1), Elsevier, Ámsterdam, Holanda, pp. 181-208.
Fonseca-Hernández, Felipe de Jesús, Leonardo Gatica-Arreola y Juan Carlos Chávez-Martín del Campo (2012), “Transferencias locales y alternancia partidista. Un estudio microeconométrico”, El trimestre económico, LXXIX, 1 (313), Fondo de Cultura Económica, Ciudad de México, México, pp. 157-194.
Downs, Anthony (1957), An economic theory of democracy, Harper and Row publishers, Nueva York, Estados Unidos de América.
Heckman, James (1979), “Sample selection bias as a specification error”, Econometrica, 47 (1), Blackwell Publishing, New Jersey, Estados Unidos de América, pp. 153-161.
Hecock, Douglas (2006), “Electoral competition, globalization, and subnational education spending in Mexico, 1999-2004”, American Journal of Political Science, 50 (4), Wiley-Blackwell, East Lansing, Estados Unidos de América, pp. 950-961.
Hernández-Trillo, Fausto y Brenda Jaramillo-Rabling (2007), “Transferencias condicionadas federales en países en desarrollo: el caso del FISM en México”, Estudios Económicos, 22 (2), El Colegio de México, Ciudad de México, México, pp. 143-184.
Hiskey, Jonathan (1999), “Does democracy matter? electoral competition and local development in Mexico”, tesis doctoral, University of Pittsburgh, Pittsburgh, Estados Unidos de América.
Hortas-Rico Miriam y Albert Solé-Ollé (2010), “Does urban sprawl increase the costs of providing local public services? Evidence from Spanish Municipalities”, Urban Studies, 47 (7), Sage, Los Ángeles California, Estados Unidos de América, pp. 1513-1540.
Inegi (Instituto Nacional de Estadística y Geografía) (2010), “Censo de Población y Vivienda 2010”, Inegi, Aguascalientes, México.
Inegi (Instituto Nacional de Estadística y Geografía) (2005), “II Conteo de Población y Vivienda 2005”, Inegi, Aguascalientes, México.
Khwaja, Asim (2009), “Can good projects succeed in bad communities?”, Journal of Public Economics, 93 (7-8), Elsevier, Ámsterdam, Holanda, pp. 899-916.
Kitschelt, Herbert y Steven Wilkinson (2007), Patrons, clients, and policies, Cambridge University Press, Nueva York, Estados Unidos de América.
Lago, Ignacio y Ferran Martínez i Coma (2012), “Forgetting to make votes count: The role of previous democratic experience”, Electoral Studies, 31 (2), Elsevier, Ámsterdam, Holanda, pp. 413-421.
Lipset, Martin Seymour (1959), “Some social requisites of democracy: economic development and political legitimacy”, American Political Science Review, 53 (1), Cambridge University Press, Nueva York, Estados Unidos de América, pp. 69-105.
Maddala, Gangadharrao Soundalyarao (1983), Limited-dependent and qualitative variables in economics, Cambridge University Press, Nueva York, Estados Unidos de América.
Manin, Bernard, Adam Przeworski y Susan Stokes (1999), “Introduction”, en, Adam Przeworski , Bernard Manin y Susan Stokes (eds.), Democracy, accountability, and representation, Cambridge University Press, Nueva York, Estados Unidos de América, pp. 1-25.
Milanovic, Branko, Karla Hofff y Shale Horowitz (2008), “Political alternation as a restraint on investing in influence: evidence from the post-communist transition”, working paper series núm. 4747, World Bank Policy Research, The World Bank, Washington, Estados Unidos de América, <https://ssrn.com/abstract=1277786> 11 de septiembre de 2017.
Moreno-Jaimes, Carlos (2012), “El nexo entre calidad gubernativa y elecciones: discusión conceptual y aplicación al gobierno local mexicano”, Perfiles Latinoamericanos, 20 (39), Facultad Latinoamericana de Ciencias Sociales-México, Ciudad de México, México, pp. 59-90.
Moreno-Jaimes, Carlos (2011), “Is local spending responsive to the poor? An appraisal of resource allocation and electoral rewards in Mexico”, Politics and Policy, 39 (6), Wiley-Blackwell, New Jersey, Estados Unidos de América, pp. 1021-1052.
Moreno-Jaimes, Carlos (2008), Democracia electoral y calidad gubernativa: el desempeño de los gobiernos municipales en México, Instituto Tecnológico y de Estudios Superiores de Occidente, Tlaquepaque, México.
Moreno-Jaimes, Carlos (2007), “Do competitive elections produce better-quality governments? evidence from Mexican Municipalities, 1990-2000”, Latin American Research Review, 42 (2), University of Pittsburgh Press, Pittsburgh, Estados Unidos de América, pp. 136-153.
Musgrave, Richard Abel (1959), The theory of public finance: A study in public economy. McGraw-Hill, Nueva York, Estados Unidos de América.
Nakamura, Kazuyuki y Masanori Tahira (2008), “Distribution of population density and the cost of local public services: the case of Japanese Municipalities”, working paper núm. 231, Faculty of Economics, University of Toyama, Toyama, Japón
Nye, John Vincent y Olga Vasilyeva (2015), “When does local political competition lead to more public goods?: Evidence from Russian regions”, Journal of Comparative Economics, 43 (3), Elsevier, Ámsterdam, Holanda, pp. 650-676.
Oates, Wallace Eugene (1968), “The theory of public finance in a federal system”, The Canadian Journal of Economics 1 (1), Wiley-Blackwell, New Jersey, Estados Unidos de América, pp. 37-54.
O’Donnell, Guillermo (2004), “Democracy, human rights, human development. The quality of democracy: theory and applications”, en Guillermo O´Donnell, Jorge Vargas Cullell y Osvaldo Iazzetta (eds.) The quality of democracy: theory and applications, University of Notre Dame Press, Indiana, Estados Unidos de América, pp. 7-120.
Pellagata, Alessandro (2010), “The effects of government alternation on the capacity of political systems to constrain corruption”, document presentado en The 3rd ECPR Graduate Conference, Dublin City University, Dublín, Irlanda.
Pérez-Yarahuán, Gabriela (2007), “Social development policy, expenditures, and electoral incentives in Mexico”, Ibero Forum, 3 (2), Universidad Iberoamericana A. C., Ciudad de México, México, pp. 1-26.
Putnam, Robert (1993), Making democracy work: civic traditions in modern Italy, Princeton University Press, Princeton, Estados Unidos de América.
Remes, Alain de (1998), “The causes of juxtaposition: a theoretical framework for the study of municipal and state elections in Mexico”, working paper of the Department of Political Studies No. 96, CIDE, Ciudad de México, Mexico.
Rodríguez, Victoria Elizabeth (1998), “Opening the electoral space in mexico: the rise of the opposition at the state and local levels”, en Henry Dietz y Gil Shidlo (eds.), Urban Elections in Democratic Latin America, SR Books, Wilmington, Estados Unidos de América, pp. 163-197.
Ruíz-Porras, Antonio y Nancy García- Vázquez (2013), “La reforma hacendaria y las transferencias en los municipios de Jalisco 2005-2011”, Economía Informa, 381 (4), Universidad Nacional Autónoma de México, Ciudad de México, México, pp. 29-40.
Ruiz-Euler, Rogelio Alexander (2014), “Electoral competition, income inequality and public goods: a subnational assessment”, tesis doctoral, University of California, Berkeley, Los Angeles California, Estados Unidos de América.
Sáez, Lawrence y Aseema Sinha (2010), “Political cycles, political institutions, and public service expenditure in India, 1980-2000”, British Journal of Political Science, 40 (1), Cambridge University Press, Cambridge, Inglaterra, pp. 91-113.
Sørensen, Rune (2014), “Political competition, party polarization, and government performance”, Public Choice, 161 (3), Springer Science, Berlín, Alemania, pp. 427-450.
Soto-Zazueta, Irvin Mikhail (2016), “El efecto de la competencia política sobre la provisión de bienes públicos locales en México”, Revista de Ciencia Política, 36 (3), Pontificia Universidad Católica de Chile, Santiago, Chile, pp. 749-772.
Soto-Zazueta, Irvin y Willy Walter Cortez (2015), “La corrupción en la burocracia estatal mexicana”, Economía Institucional, 33 (2), Universidad Externado de Colombia, Bogotá, Colombia, pp. 161-182.
Soto-Zazueta, Irvin y Willy Walter Cortez (2012), “El papel de la educación sobre la competencia política en México: un análisis a nivel estatal, 1980-2009”, Politica y gobierno, XIX (2), CIDE, Ciudad de México, México, pp. 243-281.
Stigler, George Joseph (1972), “Economic competition and political competition”, Public Choice , 13 (1), Springer Science, Berlín, Alemania, pp. 91-106.
Svensson, Jakob (1998), “Controlling spending: electoral competition, polarization and endogenous platforms”, mimeo, Stockholm University, Estocolmo, Suecia.
Tiebout, Charles (1956), “A pure theory of local expenditures”, Journal of Political Economy, 64 (5), University of Chicago Press, Chicago, Estados Unidos de América, pp. 416-424.
Wittman, Donald (1989), “Why democracies produce efficient Results”, Journal of Political Economy, 97 (6), University of Chicago Press, Chicago, Estados Unidos de América, pp. 1395-1424.
Apéndice


Notas
Notas de autor