Artículos
Identificación de perfiles de usuarios para el direccionamiento de programas de mejoramiento energético (La Plata-Bs.As.-Argentina)
Identification of user profiles for the address of energy improvement programs (La Plata-Bs.As.-Argentina)
Identificación de perfiles de usuarios para el direccionamiento de programas de mejoramiento energético (La Plata-Bs.As.-Argentina)
Economía, sociedad y territorio, vol. XX, no. 63, pp. 303-333, 2020
El Colegio Mexiquense A.C.
Received: 02 February 2019
Revised document received: 05 November 2019
Accepted: 13 November 2019
Abstract: A methodology for the classification and characterization of residential energy user profiles is developed, in order to address specific measures of energy efficiency and renewable energies that allow optimizing the use of resources. A database of 395 surveys collected in La Plata (Buenos Aires-Argentina) is used as a case study, on which the primary energy consumption is calculated for each user and, then, they are classified into consumption profiles. Finally, socio-demographic and energy variables/indicators are analyzed for each profile in order to identify critical aspects and propose specific guidelines for energy improvement.
Keywords: consumption profile, energy, residential sector, energy efficiency, renewable energy.
Resumen: Se desarrolla una metodología para la clasificación y caracterización de perfiles de usuarios energéticos residenciales orientados a dirigir medidas específicas de eficiencia energética y energías renovables que permitan optimizar la utilización de recursos. Se utiliza como caso de estudio una base de datos de 395 encuestas relevadas en La Plata (Buenos Aires, Argentina), a partir de la cual se calcula la demanda de energía primaria de cada usuario, a quien se le clasifica en perfiles de consumo. Finalmente, se analizan variables/indicadores socio-demográficos y energéticos que permiten identificar aspectos críticos y plantear lineamientos específicos para el mejoramiento energético.
Palabras clave: perfiles de consumo, energía, sector residencial, eficiencia energética, energías renovables.
Introducción
El sector energético argentino manifiesta diversas problemáticas asociadas al abastecimiento y al consumo de distintas fuentes, lo cual impone límites al desarrollo socio-económico del país; en este sentido es posible afirmar que la energía es un bien estratégico que abastece necesidades sociales, un insumo esencial para el sector productivo que tiene un impacto directo sobre la economía en general.
Las dificultades energéticas más visibles de la Argentina se observan en el sector de la oferta, más precisamente, en los principales vectores como los hidrocarburos y la electricidad. Asimismo, el sector de la demanda también presenta dificultades asociadas al fuerte incremento en el consumo neto de la energía ocurrido entre 2003-2015, así como a la baja eficiencia en los usos finales de energía.
En el caso de la oferta energética, con la crisis de 2001 comenzó un proceso ininterrumpido de disminución en la producción de hidrocarburos (Barrera et al., 2012). Esta situación obligó al gobierno a importar grandes volúmenes de combustibles líquidos y gaseosos, lo cual generó una importante salida de dólares. Recientemente, esta tendencia comenzó a revertirse de forma incipiente por el aumento de la producción de gas shale (Minem, 2018a) y por el estancamiento de la demanda energética neta (Minem, 2018b).
En cuanto al sistema eléctrico, los principales problemas se manifiestan tanto en el sector de la distribución como en el de la generación; en el primer caso se ha hecho notoria la falta de inversión en infraestructura, lo que se ha traducido en cortes masivos de suministro en picos de consumo de verano (BORA, 2015).
Por su parte, el sector de generación no puede satisfacer los picos de la demanda de energía en momentos específicos del año; Argentina, asimismo, presenta una matriz de generación de electricidad poco diversificada que depende en gran medida de los combustibles fósiles (Ruggeri y Garrido, 2017). Esta situación agravó la problemática general, debido al mencionado declive en la producción local de hidrocarburos.
Respecto al sector de la demanda, la reactivación productiva ocurrida luego de la crisis económico-social, ocurrida en Argentina en 2001, provocó una elevada tasa anual de crecimiento del consumo neto de energía de 3.29% entre 2003 y 2012. Posteriormente, la demanda neta creció a una tasa de 1.46% anual entre 2013 y 20161. Finalmente, estos valores comenzaron a declinar con un valor de -0.69% anual entre 2017-2018 por los efectos de la actual crisis económica que atraviesa el país.
En el caso del sector residencial, la demanda promedio de electricidad por usuario pasó de 2123 kWh/año en 2003 a 3130 kWh/año en 2016, lo que representa un incremento promedio de 2.9% anual.
La evolución del consumo promedio por usuario de gas natural ha oscilado en menor medida, ya que pasó de 1155 m3/año en 2003 a 1317 m3/año en 2016, generando una tasa anual de incremento de 1.16%. Asimismo, entre 2003 y 2016 las conexiones a la red de electricidad y de gas natural se incrementaron 18.98% y un 38.61%, respectivamente. Esto resultó en un gran crecimiento de la demanda neta residencial.
En consecuencia, se presentó en Argentina un escenario de incremento en el consumo energético general y de restricción en la oferta de energía. A mediados de la década del 2000 el Estado nacional comenzó a delinear e implementar políticas y programas dirigidos a generar respuestas en ambos sectores. Esto permitiría afrontar la mencionada situación divergente entre la oferta y la demanda.
En lo que refiere a la demanda del sector residencial, objeto de estudio del presente trabajo, se implementaron programas orientados a reducir sus consumos, tales como sistemas de penalizaciones y bonificaciones con base en consumos previos; recambio de lámparas incandescentes por fluorescentes compactas; incorporación de etiquetados energéticos en gran parte de los artefactos domésticos; la imposición de estándares mínimos de eficiencia energética para la comercialización de equipos; el lanzamiento de un plan de recambio de electrodomésticos con bonificaciones -“Plan Renovate”- (Defensoría del Pueblo, 2015), la sanción de la ley de generación renovable distribuida, entre otros ejemplos.
Los mencionados programas tuvieron distintos resultados, algunos con mayor nivel de impacto que otros. Sin embargo, es preciso resaltar que dichas medidas fueron implementadas de forma genérica para el universo de usuarios, sin diferenciar entre distintos perfiles de consumidores. Este método de abordaje, si bien resulta masivo, disminuye la precisión del diagnóstico y del análisis de las medidas a implementar. Por consiguiente, los resultados obtenidos distan de ser óptimos.
En contraposición a dicho enfoque generalizado, en 2011, fue necesario realizar una quita de subsidios energéticos a usuarios residenciales de forma selectiva. Allí fue ineludible tomar en consideración la existencia de usuarios con diversas características socio-económicas y no afectar a sectores vulnerables. El criterio adoptado para ello fue el de retirar subsidios a hogares ubicados en barrios de alto poder adquisitivo del Gran Buenos Aires (Disposición Conjunta 229/2011 y 810/2011) (BORA, 2011).
Posteriormente, en 2016, la quita de subsidios y el incremento tarifario se hicieron extensivos a toda la sociedad; al mismo tiempo se lanzó la “tarifa social”, que se orientó a sectores sociales económicamente vulnerables.
Más allá de medidas puntuales como la eliminación de subsidios en sectores de alto poder adquisitivo o la creación de la “tarifa social”, en general las políticas energéticas del Estado argentino no consideraron los distintos perfiles de usuarios y sus problemáticas asociadas.
Usualmente se ha aplicado un abordaje genérico que no partió de información de base detallada para prever con exactitud el impacto de determinados programas energéticos; la necesidad de profundizar en el desarrollo de programas de eficiencia energética e inserción de energías renovables de forma rápida y masiva es cada vez mayor, considerando las dificultades que se presentan en los sectores de la oferta y de la demanda. Por tales motivos, es de vital importancia el desarrollo de metodologías de diagnóstico que permitan dirigir medidas diferenciadas acordes a las características específicas del universo de usuarios energéticos. Una forma de hacerlo es justamente mediante la identificación y el análisis de perfiles de usuarios.
En relación con esta temática, a nivel internacional, es posible identificar trabajos científicos que plantean metodologías para la desagregación de perfiles de usuarios. Por ejemplo, en el trabajo de Sepehr et al. (2018) se configuran los consumos minuto a minuto de cinco perfiles típicos de familias por medio de un modelo probabilístico. La investigación de Munkhammar et al. (2014) utiliza el mismo enfoque para una muestra de viviendas en Suecia.
En Yang et al. (2018) se utilizan 300 curvas mensuales de energía eléctrica, con información diaria, las cuales se agrupan por medio de la técnica de clustering jerárquico y se obtienen cuatro perfiles típicos de consumidores. En Rhodes et al. (2014) se obtienen dos perfiles característicos utilizando la técnica de k-medias e información de consumo eléctrico horario de 103 usuarios; al igual que en Räsänen et al. (2010), quienes obtienen dieciocho perfiles para analizar un conjunto de 3989 usuarios.
Otros trabajos como el de Kim et al. (2011), Chicco (2012) o Liao (2005) utilizan datos con resolución inferior a una hora para obtener y describir perfiles de usuarios a partir de información del consumo eléctrico. En Guo et al. (2018) se utiliza minería de datos para identificar perfiles de usuarios en diferentes estaciones y días no laborables.
Asimismo, existen trabajos como el de Capozzoli et al. (2017), quienes avanzan en el estudio de metodologías para el reconocimiento de patrones en el uso de la climatización; en el trabajo de Tumbaz y Moğulkoç (2018) se utiliza un clustering de dos etapas para construir grupos de hogares cuya orientación hacia la inserción de medidas de eficiencia energética es similar.
A modo de síntesis, es posible afirmar que en los trabajos relevados a nivel internacional se identifican diferentes técnicas para la obtención de perfiles; estas investigaciones tienen como objetivo común el agrupamiento de usuarios para dirigir medidas de manejo de la demanda energética.
En cuanto a la literatura del ámbito nacional, en primer lugar es preciso señalar que la disponibilidad de información de consumidores individuales de alta resolución es prácticamente nula: son muy pocos los ejemplos de distribuidoras que utilizan medidores inteligentes para el procesamiento de la información. Por su parte, las investigaciones sobre consumo desagregado de energía en nuestro país suelen tener una aproximación genérica al usuario, obteniendo valores medios para un área de estudio.
Algunos ejemplos de escala urbana o regional son los trabajos desarrollados en la década de los ochenta para la región metropolitana de Buenos Aires (Rosenfeld, 1987), su continuación en la década del noventa (Rosenfeld, 1999), los trabajos de González et al. (2006) y González (2008) para la ciudad de Bariloche, los estudios de Jacob et al. (2012; 2013) para la ciudad de Mar del Plata o los resultados preliminares de la encuesta energética desarrollada en la ciudad de La Plata de Chévez et al. (2014).
Asimismo, se pueden identificar trabajos que analizan los usos finales de la energía del sector residencial a escala nacional, por ejemplo el estudio de Fundación Bariloche (2007) o el informe de IDEHAB (2005). En efecto, no se identifican trabajos nacionales que aborden la clasificación de usuarios dentro de perfiles característicos.
En consecuencia, la clasificación y el estudio de perfiles de consumidores es una práctica habitual a nivel internacional, usualmente se realiza con información de alta resolución y tiene como fin contribuir al diseño de políticas de gestión de la demanda; en contraste, en Argentina y en diversos países en vías de desarrollo aún no se identifican trabajos que aborden esta temática en profundidad, por ello el presente trabajo busca contribuir a llenar este vacío en las investigaciones y generar una metodología que permita utilizar de forma eficiente los recursos disponibles en nuestro medio.
Este artículo desarrolla una metodología para la clasificación y caracterización de perfiles de usuarios energéticos residenciales, permite la dirección de políticas de eficiencia energética y fuentes no convencionales que se adecuen específicamente a cada uno de éstos. Para ello, se utiliza como caso de estudio una muestra de 395 usuarios encuestados en la ciudad de La Plata (Buenos Aires), la cual se estratifica en cinco perfiles. Sobre éstos se elabora una descripción detallada y se plantean las medidas específicas a implementar en cada caso.
1. Descripción del caso de estudio
El presente trabajo desarrolla y aplica una metodología de detección de perfiles en un caso de estudio concreto que es la ciudad de La Plata. No obstante, la misma podría ser replicada en otras ciudades de características similares.
La Plata es la capital de la provincia de Buenos Aires, Argentina, que en el 2014 contaba con una población estimada de 631,831 habitantes; una ciudad que si bien cuenta con vínculos estrechos con la Región Metropolitana de Buenos Aires posee una dinámica de funcionamiento propia, definiéndose como una “ciudad intermedia” (Figura 1).
Este tipo de ciudades responden a cierta autonomía, pero a su vez son dependientes de las grandes metrópolis. Además, realizan funciones de intermediación entre núcleos más pequeños y grandes áreas metropolitanas, se caracterizan por presentar cierta complejidad funcional, tienen un importante grado de centralidad, significativos elementos de simbología histórica, infraestructura y servicios (Rodríguez, 2016; Soijet et al., 2016). En este sentido, su análisis presenta una gran potencialidad de replicabilidad en universos de similares características, ya que este tipo de ciudades son las de mayor predominancia en Argentina (Discoli, 2009).
2. Metodología
La metodología propuesta consta de tres instancias: a) Diseño, determinación de la muestra y procesamiento de una encuesta energética residencial; b) Clasificación y análisis de perfiles de consumo de usuarios residenciales; y c) Dirección de medidas específicas de energías renovables y eficiencia energética para cada perfil.
2.1 Encuesta energética residencial: diseño, determinación de la muestra y procesamiento de la información.
Para caracterizar el consumo energético de las viviendas del caso de estudio (Ciudad de La Plata) se utilizó una base de datos de encuestas energéticas desarrolladas entre los años 2014 y 2015. Allí se consultaron aspectos sociodemográficos de las viviendas, como también el equipamiento energético y sus hábitos de uso.
Para su obtención fue preciso diseñar una encuesta específica para el caso de estudio, dado que la utilización de las fuentes energéticas difiere en las distintas ciudades. A su vez, se determinó que el tipo de encuesta a emplear sería inicialmente en línea (plataforma e-encuesta.com) para garantizar un alcance masivo de respuestas. Posteriormente, se utilizó un formulario presencial para realizar relevamientos in situ en sectores de vacancia de respuestas. Ambos formularios pueden ser consultados en el repositorio institucional de la Universidad Nacional de La Plata (SEDICI) (véase Chévez, 2019).
Para determinar la cantidad de encuestas se utilizó el método de muestreo aleatorio simple sin reposición, el cual permite obtener el valor promedio del consumo eléctrico por vivienda (kWh/año) con un margen de error absoluto de 100 kWh/año, 4%, (ecuación 1) (Pérez López, 2005: 118); este cálculo indicó la necesidad de relevar al menos 376 casos.
El uso del consumo eléctrico como estimador para determinar la muestra se debe a que es el único servicio energético que alcanza a la totalidad de las viviendas de la ciudad, involucra a la mayor cantidad de equipos domiciliarios, manifiesta la presencia del gas por red y refleja condiciones socio-demográficas particulares. En efecto, reproduce las heterogeneidades del universo de análisis.
Donde:
n= tamaño de la muestra a encuestar
N= tamaño del universo de análisis (N=231,197)
S2= varianza del universo de análisis (S2=3,770,547.9)
e= error absoluto (e=100 kWh/año)
Asimismo, se determinaron las expresiones de cálculo para obtener los consumos energéticos de los diferentes usos relevados en la encuesta (Chévez, 2018). Se construyó una planilla tipo Excel que integra dichas expresiones y procesa la información, a partir de la cual se obtienen los consumos desagregados en nueve grupos de usos finales: i. Climatización; ii. Agua caliente sanitaria; iii. Cocción; iv. Refrigeración de alimentos; v. Iluminación; vi. Lavado de ropa; vii. Informática; viii. Audio y video; ix. Otros. Asimismo, se agrupan los consumos con base en los tres vectores energéticos principales: i. Electricidad; ii. Gas natural; iii. Gas licuado de petróleo (GLP).
En esta instancia se obtuvo una caracterización general de la muestra, la cual alcanzó los 395 casos relevados. Para ello se realizó un análisis de indicadores energéticos, los cuales se estudiaron a partir de estadística descriptiva (media y desviación estándar) y se calcularon en el software SPSS 13 (IBM, 2005). Esta primera aproximación permitió contrastar y complementar con otras investigaciones, las cuales analizan el consumo energético en otras ciudades o a nivel nacional.
2.2 Clasificación y análisis de perfiles de consumo de usuarios residenciales
Para la identificación de perfiles de consumo y el agrupamiento de los casos encuestados se optó por utilizar como variable clasificatoria al consumo total anual de energía primaria de cada vivienda (GJ/año). Se sumaron los consumos de los tres vectores energéticos de cada usuario (ecuación 2), teniendo en cuenta que para el caso de la energía eléctrica consideró la eficiencia de conversión para su generación (50.2%) (Minem, 2018b). De esta manera es posible visualizar la cadena de producción completa, visión que debería considerar el Estado a la hora de delinear políticas energéticas.
Donde:
Ct = Consumo de energía primaria total anual
Ce = Consumo de electricidad anual
Cgn = Consumo de gas natural anual
Cglp = Consumo de gas licuado de petróleo anual
0.502= factor de conversión de la energía primaria en energía eléctrica proveniente del Balance Energético Nacional 2014.
Una vez totalizados los consumos de energía primaria de cada caso encuestado se construyó un histograma de frecuencias. A partir de la lectura e interpretación del gráfico se optó por dividir el rango total de consumos en segmentos regulares, los cuales permiten representar a los perfiles a estudiar (Pn). La utilización de rangos fijos de consumo para la clasificación de perfiles se sustenta en que una de las principales políticas energéticas, como es el caso de la determinación de tarifas y subsidios, se basa en dicho indicador.
Una vez realizada la clasificación y obtenidos los perfiles, se analizaron diferentes variables sociodemográficas y energéticas a partir de estadística descriptiva. Las variables analizadas fueron: el consumo promedio de energía; la conformación familiar, las tipologías de vivienda características, la superficie construida promedio, los consumos energéticos por persona y por metro cuadrado construido, como así también el consumo energético por fuentes en las unidades de medida usuales (kWh/año para electricidad, m3/año para gas natural, y kg/año para gas licuado de petróleo).
Se analizó la localización geográfica de los distintos perfiles en el territorio. Para ello, se georeferenciaron los 395 casos encuestados y se estudió la frecuencia de aparición de cada perfil sobre cinco áreas homogéneas de la ciudad, las cuales fueron delimitadas en Chévez (2018). En el citado trabajo, la metodología relaciona variables socio-demográficas y energéticas para identificar sectores con características internas similares, las cuales se relacionan con diferentes niveles de consolidación y consumos de energía.
En consecuencia, se construyó un mapa utilizando el software QGIS 2.14.3 (QGIS, 2015) que yuxtapone la localización de los casos encuestados y las áreas homogéneas residenciales; este programa permite identificar cuáles son los perfiles más usuales en los diferentes sectores de la ciudad y, a su vez, incorporarles información asociada al territorio.
Las variables estudiadas en las áreas homogéneas son la proporción de inquilinos/propietarios, niveles de asoleamiento, superficies expuestas, características constructivas y morfológicas, condiciones microclimáticas, entre otras. Estas variables también pueden resultar de utilidad para definir las estrategias de mejoramiento energético más adecuadas para cada caso.
Una vez identificados los agrupamientos de usuarios y analizada la vinculación territorial de los perfiles, se calcularon los consumos de energía desagregados según los nueve grupos de usos finales descritos en la Sección 2.1. La desagregación del consumo en función de los mencionados usos permitió identificar los puntos críticos de cada perfil y, de esta manera, instrumentar políticas específicas para generar reducciones en la demanda.
En este sentido, las medidas de mejoramiento de cada uno de los perfiles contemplan el lanzamiento de bonificaciones, reducciones impositivas, incentivos directos, líneas de crédito, entre otras opciones, dirigidas específicamente a reducir los usos finales con mayor incidencia en el consumo total. Por consiguiente, las categorías de los cuadros tarifarios pueden ser de utilidad para su instrumentación, ya que éstas permiten establecer líneas de corte para asignar programas específicos de eficiencia energética y energías renovables, discriminados para cada perfil.
Asimismo, se analizó la demanda eléctrica y de gas natural promedio en cada perfil y se identificó la categoría correspondiente del cuadro tarifario vigente de la empresa distribuidora Edelap S.A. (Resolución GDEBA- MIYSPGP núm. 60/2018) (Oceba, 2018) y de gas natural Camuzzi S.A. (Resolución ENARGAS núm. 289/2018) (Enargas, 2018). Como resultado, cada perfil está asociado a una categoría tarifaria que le permitiría acceder a un programa de medidas particulares, destinado a reducir los consumos con mayor incidencia dentro de cada uno de éstos.
Como aspecto adicional, la utilización de perfiles le permitiría a los entes reguladores, organismos de consumidores, empresas distribuidoras, entre otros, brindar información a sus usuarios sobre los valores medios de consumo a modo de referencia. También, podrían proveer información acerca de buenas prácticas en el uso de equipamiento clave dentro de cada perfil.
2.3 Dirección de estrategias de mejoramiento energético específicas para cada perfil de consumo
Una vez relevadas las variables enunciadas dentro de cada perfil, se obtuvo una caracterización general de los mismos y se identificaron los usos energéticos con mayor preponderancia. A partir de este diagnóstico, este trabajo plantea lineamientos de políticas energéticas a implementar en cada caso. Para ello se focalizan los aspectos técnico-energéticos de las mismas, los cuales se orientan a la sustitución de equipos, el mejoramiento de la envolvente edilicia o la incorporación de energías renovables. Por su parte, el Estado podría definir estrategias de mejoramiento relacionadas con bonificaciones, montos de subsidios, tasas de créditos o incentivos varios que se ajusten a las necesidades propias de cada perfil.
3. Resultados
En función de la metodología propuesta, en esta sección se presentan los resultados obtenidos para el caso de estudio empleado, para ello se utilizaron tres secciones: i. Resultados globales de la encuesta energética; ii. Determinación de los perfiles de consumo y análisis de sus características principales; y iii. Lineamientos de medidas de eficiencia energética y energías renovables específicos para perfiles de consumidores.
3.1 Resultados globales de la encuesta energética
A modo de identificación preliminar de la muestra encuestada fue posible analizar algunos indicadores por medio de un análisis de estadística descriptiva. En primera instancia, a partir del cálculo de la energía primaria de cada uno de los 395 usuarios (ecuación 2), se obtuvo el consumo promedio de la muestra encuestada que resultó de 69.27 GJ/año por vivienda (σ=41.60).
El análisis del consumo de los tres vectores energéticos principales indicó que el gas natural representa 65.32% de la demanda, con una media de 45.25 GJ/año por vivienda (σ =35.57); la electricidad 34.06%, con un promedio de 23.60 GJ/año por vivienda (σ=15.28); y el GLP 0.62%, con una media 0.40 GJ/año por vivienda (σ=2.98).
A partir del análisis de los consumos promedio de los usos finales fue posible identificar la gran incidencia que tiene la climatización (43%), seguido del calentamiento de agua sanitaria (ACS: 20%) y luego los usos de cocción (13%). Es decir que los usos térmicos abarcan unas tres cuartas partes del consumo energético residencial. La participación del resto de los usos finales se observa en la Gráfica 1.

3.2 Determinación de los perfiles de consumo y análisis de sus características principales
A partir de los resultados individuales de consumo de energía primaria se elaboró un histograma de frecuencias para analizar los 395 casos encuestados (Gráfica 2). Es posible identificar que existen agrupamientos de usuarios que responden a rangos de consumo similares, los cuales se pueden ordenar por particiones desagregadas de a 25 GJ/año, a excepción de los consumos mayores a los 100 GJ/año, que presentan una mayor dispersión.

En consecuencia, se generaron cinco perfiles con base en el consumo anual, cuyos rangos se describen a continuación: P1= menos de 25.0 GJ/ año; P2= entre 25.1 y 50.0 GJ/año; P3= entre 50.1 y 75.0 GJ/año; P4= entre 75.1 GJ/año y 100 GJ/año; y P5= más de 100GJ/año. Todos ellos se observan en la Gráfica 2. En efecto, 4.5% se corresponde al P1; 35.9% es P2; 26.1% es P3; 17.7% es P4 y 15.8% es P5.
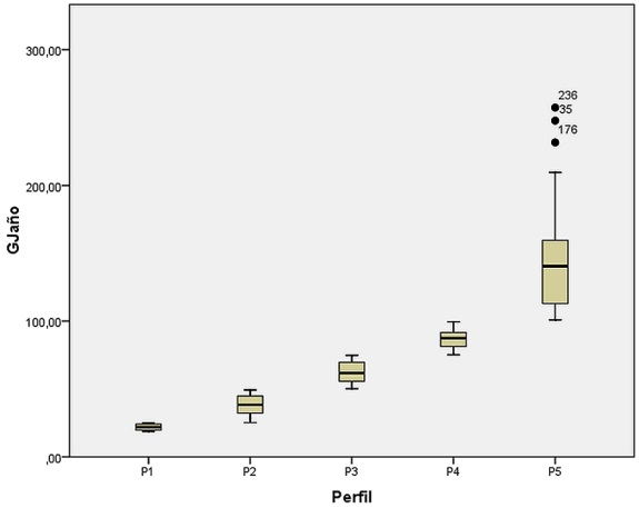
En cuanto al ordenamiento de los perfiles, la Gráfica 3 muestra el diagrama de caja y bigote resultante, donde es posible identificar la media y la amplitud de cada perfil.

En cuanto a la conformación familiar de cada uno de los perfiles, la Tabla 1 expresa las frecuencias de aparición de los diferentes tipos de familias, como así también el promedio de personas por hogar. Los resultados indican que existe una correlación directa entre dicha variable y el consumo energético, donde los perfiles de menor demanda denotan bajos valores de personas por hogar y, los de mayor consumo, tamaños de familia promedio mayores.

Con base en dicha información, y con el fin de contar con indicadores que permitan la comparativa entre perfiles, se realizó el cruce de la información de consumo promedio por usuario, cantidad de personas por hogar y metros cuadrados construidos.
En consecuencia se obtuvo que el perfil P1 presenta una media de 16.29 GJ/año*persona; P2 unos 20.76 GJ/año*persona; P3 unos 21.03 GJ/año*persona; P4 unos 24.91 GJ/año*persona y P5 unos 41.79 GJ/ año*persona. A partir de estos valores se observa que los usuarios del perfil P1 presentan un consumo 20% más bajo en relación a los usuarios de los perfiles P2 y P3, que son los que concentran la mayoría de los casos encuestados, mientras que el perfil P4 consume 20% más que los anteriores. Por su parte, el perfil P5 prácticamente duplica el consumo por persona con respecto a los cuatro anteriores.
A partir del indicador de consumo de energía por persona y por metro cuadrado (GJ/persona*m2), se observa que los usuarios del perfil P1 consumen 0.37 GJ/persona*m2; mientras que los pertenecientes a los perfiles P2, P3 y P4 consumen alrededor de un 20% menos, con valores de 0.30; 0.27 y 0.31 GJ/persona*m2. Este comportamiento se fundamenta en la cantidad de habitantes y el consecuente uso compartido de espacios y equipamiento. Finalmente, los usuarios del perfil P5 consumen alrededor de 50% más que los perfiles mencionados previamente, alcanzando un valor de 0.46 GJ/persona*m2. Esto se debe fundamentalmente a la presencia de sistemas de climatización central, los cuales presentan dificultades para la sectorización de los ambientes en uso.
Asimismo, en la Tabla 1 se calculan los consumos anuales promedio de los diferentes vectores energéticos (electricidad, gas natural y GLP). Esto permite a cualquier usuario verificar su situación de consumo y reconocer en qué perfil está incluido. Posteriormente, si sus características de conformación familiar y superficie construida se corresponden con dicho perfil, los mismos pueden analizar los consumos energéticos desagregados para identificar aquellos que más incidencia presentan en su demanda.
En la Tabla 1 también se analizan las tipologías de vivienda más usuales dentro de cada perfil. Allí se observa que los perfiles P1 y P2 se corresponden mayoritariamente a departamentos. Luego, los usuarios del perfil P3 habitan tanto en casas como en departamentos, con una mayor tendencia hacia estos últimos. En tanto, los usuarios de los perfiles P4 y P5 mayoritariamente residen en casas. Estas consideraciones son de utilidad para reconocer la factibilidad que presentan los usuarios para incorporar equipamiento solar o mejoras en la envolvente edilicia.
Con el fin de incorporar al estudio una serie de variables asociadas al territorio, se analiza la localización de los hogares encuestados en las diferentes áreas que conforman la ciudad. Para ello se utiliza el concepto de áreas homogéneas urbano-energéticas (AH), las cuales son áreas urbanas con características internas similares respecto a una serie de variables socio-demográficas y energéticas. En consecuencia, en este trabajo se adopta la delimitación para la ciudad de La Plata utilizada en Chévez (2018), en la cual se obtuvieron cinco áreas homogéneas con características bien diferenciadas entre sí.
La localización de los usuarios permitió verificar la pertenencia territorial de los cinco perfiles obtenidos; en la Figura 2 se observa la georeferenciación de las 395 encuestas y la yuxtaposición con el mapa de áreas homogéneas.

Los resultados del cruce de la información territorial se sintetizan en la Tabla 2, donde es posible verificar que los perfiles P1 y P2 se ubican principalmente en las AHs 1 y 2; los P3 y P4, mayormente en las áreas homogéneas AH2 y AH3, mientras que los del P5, se distribuyen entre las AHs 2, 3 y 4. Si bien cada AH presenta características propias que permitirán establecer consideraciones para los usuarios que se ubican en su interior, como identificación inicial es posible afirmar que el nivel de consolidación urbana es creciente conforme al número de AH.

Cabe señalar que en Chévez (2018) se construyeron escenarios urbano- energéticos de largo plazo (2014-2040), estableciendo dos tipos de medidas, por un lado de carácter general para toda la ciudad, orientadas al recambio de equipamiento sin un anclaje territorial (cualquier usuario podría acceder al mismo); por otro lado se plantearon medidas específicas de mejoramiento energético (envolventes y energías renovables) para cada una de las AH, teniendo en cuenta sus principales criticidades. En este sentido, este artículo avanza en el desarrollo de esta temática y propone un método para profundizar sobre la especificidad de las medidas a adoptar, ajustando y perfeccionando las medidas genéricas orientadas a la ciudad en su conjunto, como es el caso del recambio de equipamiento. Con la metodología que aquí se presenta es posible dirigir una política de sustitución de manera precisa, la cual reemplace el equipamiento más crítico en cada uno de los cinco perfiles obtenidos.
En consecuencia, la elección de los mismos se sustenta en criterios concretos que dependen de las necesidades específicas de cada demanda. Por su parte, también es posible orientar medidas de incorporación de energías renovables que permitan disminuir la demanda de ciertos usos finales, como así también incentivar medidas de mejoramiento para la envolvente edilicia que reduzcan la demanda de climatización.
Una vez identificados los agrupamientos de usuarios y analizada la vinculación territorial de los perfiles, se calculan los consumos desagregados de energía según los nueve grupos establecidos en la metodología (Tabla 3 y Gráfica 4): i. Climatización; ii. Agua caliente sanitaria (ACS); iii. Cocción; iv. Refrigeración de alimentos; v. Iluminación; vi. Lavado de ropa; vii. Informática; viii. Audio y video; ix. Otros.


A partir de la identificación de los consumos críticos y de los usos preponderantes, es viable reconocer los grupos de artefactos que podrían ser susceptibles de contar con bonificaciones para su recambio, tanto por equipos más eficientes como por sistemas que utilicen fuentes no convencionales. Asimismo, la criticidad podría indicar la necesidad de optimizar la eficiencia de la envolvente edilicia.
Una manera de instrumentar las mencionadas estrategias se podría dar por medio de la implementación de bonificaciones o descuentos en función de la tarifa energética que abonan los usuarios. Otra opción serían los instrumentos económicos blandos, con incentivos en su implementación (reducción de cargas en tasas, impuestos, etc.). Para ello, en la Tabla 4 se analiza la tarifa que le corresponde a cada perfil obtenido, tanto en electricidad (E-Edelap S.A.) como en gas natural (G-Camuzzi S.A.).

En este sentido, según la media de consumo, el perfil P1 abona la tarifa T1R1 (E) y R1 (G); el perfil P2 abona tarifa T1R2-1 (E) y R21 (G); el perfil P3 es T1R2-1 y R23; el perfil P4 es T1R2-2 (E) y R32 (G); el perfil P5 es T1R2-3 (E) y R34 (G).
En la Tabla 4 se observa que los distintos perfiles abonan un precio diferente por la unidad de energía [kWh o m3]. En el caso de la electricidad, los perfiles P1 y P2, es decir los de menor consumo, abonan los valores más altos por kWh. Por su parte, en el caso del gas natural, los perfiles P1 y el P5, es decir los extremos inferior y superior de consumo, abonan el valor más alto por m3.
A partir de la construcción de perfiles de usuarios, del estudio de indicadores/variables socio-demográficas, del análisis de consumo energético y del cuadro tarifario, el siguiente punto plantea el direccionamiento de diferentes medidas de eficiencia, sustitución de equipos y de fuentes energéticas convencionales por renovables.
3.3 Lineamientos de medidas de eficiencia energética y energías renovables específicos para perfiles de consumidores.
A partir del análisis de los perfiles por medio del abordaje de diversas variables tales como la conformación familiar, consumos energéticos por persona y por metro cuadrado, tipologías de vivienda, ubicación territorial, consumos desagregados por uso final y tarifas es posible dirigir programas específicos para cada uno de ellos.
A continuación se plantea una serie de medidas específicas destinadas a la sustitución de equipos, inserción de energía solar o mejoramiento de la envolvente para cada uno de los perfiles detectados.
3.3.1 Perfil P1
Se trata de viviendas que cuentan con bajos consumos (21.67 GJ/hogar al año), sin embargo el indicador de GJ/persona*m2 resulta en 0.37 (el segundo más alto). Su principal demanda está destinada al ACS (7.69 GJ/hogar al año), es por ello que es preciso proponer acciones tendientes a disminuir dicho uso final.
El análisis de la ubicación territorial (Tabla 2) indica que los usuarios de este perfil se ubican mayormente en las áreas AH1 y AH2. Con base en la caracterización de áreas realizada en Chévez (2018) es posible identificar que, en dichos sectores, la calidad constructiva es mayormente satisfactoria, tiene una cobertura de gas natural prácticamente total, la densidad edilicia es de las más altas de la ciudad y la proporción de viviendas con necesidades básicas insatisfechas (NBI) es baja.
Los P1 mayormente se localizan en departamentos (83.3%), es por ello que la posibilidad de proponer planes de promoción para la energía solar se ve restringida. Por su parte, los P1 se ubican en general en tarifas T1R1 de electricidad y R1 de gas natural, por lo cual sería viable generar una bonificación destinada al recambio de equipos de calentamiento de agua por artefactos con mayor eficiencia. En relación a ello, es posible identificar que 66% de las viviendas P1 cuenta con calentadores instantáneos, 5.56% con calderas centrales y el resto cuenta con equipos eléctricos.
La sustitución de calentadores, suponiendo un parque promedio de sistemas con clasificación energética Clase E por equipos Clase A podría generar ahorros individuales del orden del 25%-30% en ACS. En cuanto a termotanques a gas, si bien no se registraron en las encuestas, la sustitución de equipos Clase E por Clase A generaría un ahorro individual de 20% en ACS.
En cuanto al uso para la refrigeración de alimentos, la sustitución de equipos, considerando un parque promedio clase D, su recambio por equipos A+ generaría ahorros del orden de 60% por artefacto.
3.3.2 Perfil P2
El perfil P2 presenta un consumo promedio de energía de 38 GJ/hogar al año, mientras que el indicador GJ/persona*m2 resulta en 0.30 (el segundo más bajo de los cinco perfiles).
La localización territorial indica que los usuarios de este perfil se ubican mayormente en el AH1 y AH2, por lo que se presentan características similares al perfil P1. Principalmente se trata de departamentos (68%), por lo que la promoción de sistemas solares también es restringida. Por su parte, los usuarios del perfil P2 cuentan por lo general con tarifas T1R2-1 y R21. Analizando el consumo desagregado, se observa que los usos de agua caliente sanitaria son los preponderantes (10.88 GJ/hogar al año) y los sistemas más usuales se reparten entre calefón a gas (54.92%), termotanque a gas (35.9%), termotanque eléctrico (4.93%), y otros. En este caso, la sustitución de termotanques Clase E por Clase A puede generar ahorros de 20 por ciento.
La refrigeración de alimentos también posee una participación importante, por lo tanto, se plantea el recambio de equipos más eficientes, tal como se planteó para el perfil P1.
En cuanto a la climatización, ésta también manifiesta una alta participación en el consumo; en este sentido, para cubrir dicho uso, 87.32% de las viviendas cuentan con equipos individuales de gas natural, por lo cual difícilmente es posible mejorar la eficiencia de los mismos. Una forma de reducir la demanda de climatización sería por medio de la mejora de los cerramientos opacos, sin embargo, al tratarse en su mayoría de departamentos, las posibilidades de emprender mejoras conjuntas con el resto de los propietarios/inquilinos se ve reducida. Por su parte, un 36.6% cuenta con equipos de aire acondicionado, por lo tanto, se podrían implementar bonificaciones en la compra de equipos de alta eficiencia. Sin embargo, resultaría óptimo sustituir equipos y no incorporar nuevos, por lo tanto se requeriría garantizar la extracción de los artefactos existentes.
3.3.3 Perfil P3
El perfil P3 presenta una media de consumo de 62.46 GJ/hogar al año; sin embargo, presenta el valor más bajo de GJ/persona*m2 (0.27). Sus usuarios se ubican mayormente en las áreas AH2 y AH3, es decir que el nivel de consolidación urbana desciende y la cobertura de gas por red no logra abarcar a toda la población.
Los usuarios del perfil P3 cuentan con tarifas T1R2-1 y R23 y tienen un consumo preponderante destinado a la climatización (19.97 GJ/hogar al año), no obstante la energía destinada a ACS también es representativa (14.57 GJ/hogar al año). En este caso se considera prioritario proponer incentivos orientados a minimizar la demanda de climatización que cubra parcialmente los costos originados por reciclados edilicios, éstos podrían ser instrumentados por medio de subsidios dentro de la factura del usuario durante un tiempo predefinido. Asimismo, se propone la sustitución de equipos de ACS, que mayormente son termotanques. También sería viable un incentivo para la inserción de sistemas de energía solar para el calentamiento de agua, lo cual lograría cubrir alrededor de 65% de la demanda de este uso.
3.3.4 Perfil P4
En este perfil, el consumo promedio de energía alcanza los 86.72 GJ/hogar al año, mientras que el indicador GJ/persona*m2 resulta en 0.31 (muy cercano al valor de P2). Los usuarios del perfil P4 se ubican mayormente en las áreas AH2 y AH3, por lo cual las características socio-demográficas se mantienen similares a las identificadas en P3.
En cuanto a los consumos desagregados, se observa que la demanda de climatización se torna más importante en términos de participación porcentual (43%) y alcanza un valor de 37.44 GJ/hogar al año. Es por ello que se necesita prioritariamente ahondar en la dirección de incentivos para el mejoramiento de la envolvente, incrementando la eficiencia térmica de la misma o en la sustitución de sistemas de climatización centralizados.
En consecuencia, sería viable proponer subsidios para el mejoramiento de la envolvente edilicia (generando ahorros de 50% en la climatización); el recambio de calderas convencionales por calderas de condensación (un 30% más eficientes) y la sustitución de acondicionadores de aire, dado que 38% de las viviendas de este perfil cuentan con más de un equipo (1.59). Por otro lado, en P4 el agua caliente sanitaria sigue presentando valores de participación elevados (19%), representando un consumo de 16.61 GJ/ hogar al año, es por ello que también se podían plantear incentivos para el recambio de equipos o la incorporación de energía solar.
3.3.5 Perfil P5
El consumo promedio de energía del P5 alcanza los 146.27 GJ/hogar al año, mientras que el indicador GJ/persona*m2 resulta en 0.46 (el más elevado de los cinco perfiles). Con respecto a la ubicación territorial, los usuarios del perfil P5 presentan una alta dispersión territorial, con mayor presencia en las áreas AH2, AH3 y AH4, por ende su conformación socio-demográfica y las condiciones urbanas son muy variadas.
En este perfil los usos destinados a climatización tienen una participación que supera 60% del consumo (90.58 GJ/hogar al año), por lo que los instrumentos de financiación deberían centralizarse en mejorar este uso. Es por ello que se proponen estrategias financieras blandas y bonificaciones que cubran una proporción de los costos para aquellas intervenciones que incrementen el nivel de eficiencia de los sistemas y la envolvente. Asimismo, se disminuye notablemente la participación de los usos destinados a agua caliente sanitaria y refrigeración de alimentos respecto de los restantes perfiles. De todos modos, sería necesario incentivar su recambio, pero con incentivos más bajos a los efectos de priorizar a aquellos estímulos orientados a la mejora de la climatización.
Conclusiones
El desarrollo del presente trabajo ha permitido verificar la utilidad del método propuesto, dado que fue posible alcanzar el objetivo de proponer lineamientos específicos para diferentes perfiles de usuarios.
En consecuencia, ante un escenario energético en el cual se requiere avanzar en la implementación de medidas tendientes a reducir la demanda y sustituir fuentes convencionales, entendemos que el desarrollo de metodologías para facilitar su aplicación en el medio real es de vital importancia.
En este sentido, es necesario resaltar que la dirección de medidas de mejoramiento energético necesariamente debe considerar tanto las diferencias que presentan los distintos sectores urbanos como las características particulares de los distintos consumidores. Es por ello que la presente metodología contempla el estudio de variables territoriales, a partir de la utilización de áreas homogéneas urbano-energéticas y, también, de variables asociadas a los usuarios obtenidas a partir de encuestas energéticas.
La metodología aquí propuesta permitió la clasificación de usuarios en perfiles característicos a partir de la implementación de métodos a bajo costo, sin necesidad de acudir a tecnologías de alta resolución, tales como los medidores inteligentes. Si bien los datos de alta resolución pueden proveer información de interés asociada a la gestión horaria de la demanda, la necesidad de contar con una cantidad de medidores similar a la muestra aquí utilizada restringe sus posibilidades de uso.
Asimismo, con la instrumentación de la metodología propuesta fue posible identificar los aspectos críticos de cada perfil de usuarios y, a partir de éstos, proponer medidas de sustitución de equipos, incorporación de sistemas solares y mejoramiento térmico de la envolvente edilicia; fueron dirigidas específicamente a cada perfil, lo cual permitiría utilizar los recursos económicos disponibles de forma más eficiente.
Por otra parte, esta metodología podría ser empleada por entes reguladores, empresas privadas u organismos de gobierno como una herramienta de información para el usuario, tal como es el ejemplo del portal web de la distribuidora eléctrica española Endesa2. A partir de una plataforma similar, el usuario se vería beneficiado por acceder a información referida a sus consumos y además por la posibilidad de acceder a programas de incentivos que les permitan reducir dichos consumos, los cuales quedarían definidos por el tipo de tarifa que abona.
Las empresas distribuidoras se verían beneficiadas por el reconocimiento territorial de los diferentes perfiles de usuarios, por la identificación de la incidencia de los artefactos en el consumo energético de distintos sectores de la ciudad, como así también por la posibilidad de anticiparse a los futuros comportamientos de sus clientes. Esto permitiría trabajar sobre escenarios de demanda programada.
En lo que refiere a los resultados obtenidos, es posible observar que la mayoría de los usuarios de la muestra encuestada (62%) se ubica en los perfiles P2 y P3, los cuales denotan los consumos más bajos en términos de GJ/persona*m2 (0.30 y 0.27). Entre ambos perfiles, totalizan 43% de la energía residencial. Por su parte, si bien los perfiles P4 y P5 representan 33% de los usuarios, entre ambos requieren más de 55% de la energía. Sus consumos en GJ/persona*m2 son de 0.30 y 0.46 respectivamente, por lo tanto se observa un comportamiento diferenciado en ambos casos, que debería corresponder con diferentes niveles de incentivos.
A partir del análisis desagregado de los consumos promedio de energía para los diferentes usos finales, se pudo verificar que la participación de cada uno de éstos en la demanda total es variable en los distintos perfiles, esto significa que se requiere de la implementación de estrategias diferenciadas. En términos generales podemos afirmar que en los perfiles de bajo consumo neto (GJ/hogar al año) resultarían más efectivas las medidas destinadas a la demanda de agua caliente. Esto sucede porque mayoritariamente se trata de viviendas compactas o agrupadas, lo que minimiza la demanda de climatización. Por su parte, en los perfiles de alto consumo neto, si bien existe cierta variabilidad, mayoritariamente deberían mejorar la envolvente para reducir la demanda de climatización.
Por último, es preciso destacar que las medidas aquí propuestas requieren de la intervención explícita del Estado para su promoción e implementación, dado que las estrategias de mejoramiento pueden representar altos costos de inversión inicial para el usuario. A partir de ello, los ahorros obtenidos representarán beneficios tanto para el Estado como para el usuario final: en el caso del primero, porque requerirá una menor demanda de divisas extranjeras para la importación de combustibles; mientras que el segundo se vería beneficiado por las reducciones significativas en las facturas energéticas y mejoras en el confort habitacional.
Bibliografía
Barrera, Mariano; Sabbatella, Ignacio y Serrani, Esteban (2012), Historia de una privatización. Cómo y por qué se perdió YPF, Buenos Aires, Capital Intelectual.
BORA (Boletín Oficial de la República Argentina) (2015), “Emergencia energética. Decreto 134/2015”, 16 de diciembre 2015, Buenos Aires, Secretaría Legal y Técnica de la Presidencia de la Nación Argentina, <https://www.boletinoficial.gob.ar/pdf/linkQR/Nnh0S05RRXhTRFUrdTVReEh2ZkU0dz09 >, 5 de marzo de 2019.
BORA (Boletín Oficial de la República Argentina) (2011), “Subsidios. Renuncia voluntaria. Disposición Conjunta 810/2011 y 229/2011”, Buenos Aires, Subsecretaria de Presupuesto, Subsecretaria de Coordinación y Control de Gestión, Secretaría Legal y Técnica de la Presidencia de la Nación Argentina, <https://www.argentina.gob.ar/normativa/nacional/disposici%C3%B3n-810-2011-191281>, 12 de diciembre de 2018.
Capozzoli, Alfonso; Piscitelli, Marco y Brandi, Silvio (2017), “Mining typical load profiles in buildings to support energy management in the smart city context”, Energy Procedia, vol. 134, Ámsterdam, Elsevier, pp. 865-874.
Chévez, Pedro (2019), “Encuesta energética (formulario online y presencial): Anexo de tesis doctoral”, La Plata, Repositorio Institucional de la Universidad Nacional de La Plata, <http://sedici.unlp.edu.ar/handle/10915/85117>, 8 de noviembre de 2019.
Chévez, Pedro (2018), “Construcción de escenarios urbano-energéticos a partir de la implementación de estrategias de eficiencia energética y energías renovables en el sector residencial”, tesis doctoral, Universidad Nacional de Salta, Salta.
Chévez, Pedro; Martini, Irene y Discoli, Carlos (2014), “Construcción del año base para la elaboración de escenarios urbanos-energéticos del sector residencial de la ciudad de La Plata”, ponencia presentada en la XXXVII reunión de trabajo de la Asociación Argentina de Energías Renovables y Medio Ambiente, 7-11 de octubre, Misiones, Argentina.
Chicco, Gianfranco (2012), “Overview and performance assessment of the clustering methods for electrical load pattern grouping”, Energy, 42 (1), Ámsterdam, Elsevier , pp. 68-80.
Defensoría del Pueblo (2015), “Información sobre el programa ‘Renovate’”, Ciudad Autónoma de Buenos Aires, Defensoría del Pueblo, <http://www.defensoria.org.ar/noticias/informacion-sobre-el-programa-renovate/>, 30 de junio de 2019.
Discoli, Carlos (2009), Metodología para el diagnóstico urbano-energético- ambiental en aglomeraciones intermedias. El caso del Gran La Plata, La Plata, Editorial Universitaria de La Plata.
Enargas (Ente Nacional Regulador del Gas) (2018), “Resolución Enargas núm. 289/2018, Camuzzi Gas Pampeana S.A.”, Ciudad Autónoma de Buenos Aires, Ente Nacional Regulador del Gas, <https://www.argentina.gob.ar/normativa/nacional/resoluci%C3%B3n-289-2018-315043 >, 10 de febrero de 2019.
Endesa (Empresa Nacional de Electricidad Sociedad Anónima) (2017), “Dime cómo gastas luz y te diré quién eres”, Madrid, Endesa, <https://www.endesaclientes.com/blog/perfil-consumo-electrico>, 2 de junio de 2019.
Fundación Bariloche (2007), “Asistencia técnica para la elaboración del ‘Plan Estratégico de Energía de la República Argentina’”, documento de trabajo-informe final, Buenos Aires, Instituto de Economía Energética Fundación Bariloche.
González, Alejandro (2008). “Aumento de eficiencia térmica en la ciudad de Bariloche: propuesta de plan de mejoras con dirección de subsidios a la inversión, y no al consumo”. Avances en Energías Renovables y Medio Ambiente, vol. 12, San Miguel, Asociación Argentina de Energías Renovables y Ambiente, pp. 07.57-07.64, <https://www.mendoza-conicet.gob.ar/asades/modulos/averma/trabajos/2008/2008-t007-a008.pdf >, 16 de mayo de 2019.
González, Alejandro; Crivelli, Ernesto y Gortari, Sebastián (2006), “Eficiencia en el uso del gas en viviendas unifamiliares de Bariloche”, Avances en Energías Renovables y Medio Ambiente, vol. 10, San Miguel, Asociación Argentina de Energías Renovables y Ambiente, pp. 07.01-07.08 <https://www.mendoza-conicet.gob.ar/asades/modulos/averma/trabajos/2006/2006-t007-a001.pdf >, 16 de mayo de 2019.
Guo, Zhifeng; Zhou, Kaile; Zhang, Xiaoling; Yang, Shanlin y Shao, Zhen (2018), “Data mining based framework for exploring household electricity consumption patterns: A case study in China context”, Journal of Cleaner Production, núm. 195, Ámsterdam, Elsevier, pp. 773-785.
IBM (International Business Machines) (2005), “IBM SPSS Statistics for Windows, Version 13.0”, New York, IBM Corp.
IDEHAB (Instituto De Estudios Del Hábitat) (2005), “Actividades habilitantes para la Segunda Comunicación Nacional de la República Argentina a la Convención Marco de las Naciones Unidas sobre Cambio Climático”, La Plata, Instituto de Estudios del Hábitat <https://drive.google.com/file/d/0Bz3sfV4ZQ06NdEUzN0h0bTFjQjA/view >, 18 de mayo de 2019.
Jacob, Susana; Strack, Jorge; Branda, Julio y Suárez, Juan (2012), “Evaluación del consumo eléctrico en el sector residencial de Mar del Plata. Propuestas de ahorro y eficiencia energética”. Avances en Energías Renovables y Medio Ambiente, vol. 16, San Miguel, Asociación Argentina de Energías Renovables y Ambiente, pp. 06.65- 06.72, <http://www.asades.org.ar/biblioteca/revista-averma />, 18 de mayo de 2019
Jacob, Susana; Strack, Jorge; Branda, Julio; Murcia, Guillermo y Suárez, Juan (2013), “Evaluación del consumo eléctrico en el sector residencial de Mar del Plata. Aspectos económicos y ambientales”, Avances en Energías Renovables y Medio Ambiente, vol. 17, San Miguel, Asociación Argentina de Energías Renovables y Ambiente, pp. 01.35-01.42, <http://www.asades.org.ar/biblioteca/revista-averma/ >, 19 de mayo de 2019.
Kim, Young; Ko, Jong and Choi, Seung (2011), “Methods for generating TLPs (typical load profiles) for smart grid-based energy programs”, ponencia presentada en el IEEE Symposium on Computational Intelligence Applications in Smart Grid (CIASG), 11-15 de abril, París.
Liao, Warren (2005), “Clustering of time series data-a survey”, Pattern Recognition, núm. 38, Ámsterdam, Elsevier, pp. 1857-1874.
Minem (Ministerio de Energía y Minería) (2018a), “Producción de Petróleo y Gas - desde 2009 (Sesco Web)”, Buenos Aires, Ministerio de Energía y Minería, <https://www.argentina.gob.ar/energia/hidrocarburos/produccion-de-petroleo-y-gas>, 25 de mayo de 2019.
Minem (Ministerio de Energía y Minería) (2018b), “Balances energéticos nacionales - Base de datos: Serie 1990-1999; Serie 2000-2009; Serie 2010-2016; Balance Energético Nacional 2017; Balance Energético Nacional 2018”, Buenos Aires, Ministerio de Energía y Minería, <http://datos.minem.gob.ar/dataset/balances-energeticos>, 25 de mayo de 2019.
Munkhammar, Joakim; Rydén, Jesper y Widén, Joakim (2014), “Characterizing probability density distributions for household electricity load profiles from high-resolution electricity use data”, Applied Energy , núm. 135 (C), Ámsterdam, Elsevier , pp. 382-390.
Oceba (Órgano de Control de Energía Eléctrica de la Provincia de Buenos Aires) (2018), Resolución GDEBA-MIYSPGP N°60/2018, Órgano de Control de Energía Eléctrica de la Provincia de Buenos Aires, 16 de enero de 2018, La Plata, Gobierno de la Provincia de Buenos Aires, <https://oceba.gba.gov.ar/Paginas/tarifas/RS-2018-00524451-GDEBA-MIYSPGP.pdf>, 10 de febrero de 2019.
Pérez López, César (2005), Muestreo estadístico. Conceptos y problemas resueltos, Madrid, Pearson-Prentice Hall.
QGIS (Quantum Geographical Information System) (2015), QGIS, 2.14.3, San Francisco, QGIS Development Team.
Räsänen, Teemu; Voukantsis, Dimitrios; Niska, Harri; Karatzas, Kostas and Kolehmainen, Mikko (2010), “Data-based method for creating electricity use load profiles using large amount of customer- specific hourly measured electricity use data”, Applied Energy, 87 (11), Ámsterdam, Elsevier , pp. 3538-3545.
Rhodes, Joshua; Cole, Wesley; Upshaw, Charles; Edgar, Thomas and Webber, Michael (2014), “Clustering analysis of residential electricity demand profiles”, Applied Energy, núm, 135 (C), Ámsterdam, Elsevier , pp. 461-471.
Rodríguez, Lucas (2016), “Instrumentación metodológica para el reciclado masivo de la edilicia residencial orientada a la eficiencia energética”, tesis doctoral, Universidad Nacional de Salta, Salta.
Rosenfeld, Elías (1987), “AUDIBAIRES, Plan Piloto de Evaluaciones Energéticas de la zona de Capital Federal y Gran Buenos Aires”, documento de trabajo, informe final, La Plata, Instituto de Arquitectura Solar.
Rosenfeld, Elías (1999), “Políticas de uso racional de la energía en el área metropolitana y sus efectos en la dimensión ambiental”, documento de trabajo: URE-AM (2000/2002) PIP-Conicet, 4717, La Plata, Instituto de Estudios del Hábitat .
Ruggeri, Emilia y Garrido, Santiago (2017), “Análisis del proceso de privatización de las grandes empresas argentinas de energía eléctrica”, ponencia presentada en las XVI Jornadas Interescuelas/Departamentos de Historia, 9-11 de agosto, Mar del Plata, Buenos Aires.
Sepehr, Mohammad; Eghtedaei, Reza; Toolabimoghadam, Ali; Noorollahi, Younes y Mohammadi, Mohammad (2018), “Modeling the electrical energy consumption profile for residential buildings in Iran”, Sustainable Cities and Society, núm. 41, Ámsterdam, Elsevier, pp. 481-489.
Soijet, Mirta; Rodríguez, Miguel; Mantovani, Graciela; Tonini, Raúl y Peralta, María (2016), “Ciudades intermedias. Alcances de la denominación. Santa Fe-Paraná ¿En el inicio de la consolidación metropolitana?”, Arquisur, núm. 10, Santa Fe, Asociación de Escuelas y Facultades de Arquitectura Públicas de América del Sur, pp. 26-39.
Tumbaz, Merym y Moğulkoç, Hatice (2018), “Profiling energy efficiency tendency: a case for Turkish households”, Energy Policy, núm. 119 (C), Ámsterdam, Elsevier, pp. 441-448.
Yang, Ting; Ren, Minglun and Zhou, Kaile (2018), “Identifying house- hold electricity consumption patterns: A case study of Kunshan, China”, Renewable and Sustainable Energy Reviews, núm. 91 (C), Ámsterdam, Elsevier, pp. 861-868.
Notes
Author notes