Artículos
La globesidad: un análisis espacio-temporal, 1980-2015
Globesity: a space-time analysis, 1980-2015
La globesidad: un análisis espacio-temporal, 1980-2015
Economía, sociedad y territorio, vol. XXIII, núm. 72, pp. 661-689, 2023
El Colegio Mexiquense A.C.
Recepción: 18 Febrero 2021
Recibido del documento revisado: 28 Febrero 2022
Aprobación: 09 Septiembre 2022
Resumen: Durante las últimas décadas, la creciente obesidad se ha asociado a los cambios económicos, políticos y sociales, algunos de ellos derivados de la globalización. El objetivo de este trabajo es analizar su comportamiento en el espacio y el tiempo. Las variables clave son la obesidad y el índice de globalización KOF a nivel país durante el periodo 1980-2015. La estrategia empírica es detectar la presencia de dependencia espacial y, con modelos espaciales, estimar la relación obesidad-globalización. Los resultados muestran un vínculo positivo entre ambas variables, mientras la globalización social explica en mayor medida el fenómeno de la obesidad.
Palabras clave: Globesidad, obesidad, globalización, econometría espacial.
Abstract: During the last decades, growing obesity has been associated with economic, political, and social changes; some of them, derived from globalization. The objective of this work is to analyze its behavior over space and time. The key variables are the obesity in the countries and the KOF globalization index for the years 1980-2015. The empirical strategy consisted of detecting the spatial dependence and estimating the obesity-globalization relationship with spatial models. There was a positive relationship between both variables, while social globalization is the one that explains the phenomenon of obesity to a greater extent.
Keywords: Globesity, obesity, globalization, spatial econometrics.
Introducción
En los últimos 45 años, la población con obesidad se ha triplicado en el mundo (OMS, 2020a), los niños en edad escolar y los adultos han sido los más afectados (FAO, 2019), de hecho, en 2016, 650 millones de personas mayores a 18 años y 41 millones de infantes padecían obesidad (OMS, 2020a), esta situación derivó en complicaciones y afecciones crónicas que han mermado la calidad de vida de las personas (Castelnuovo et al., 2015), por lo que se alertó a las autoridades de todo el mundo para contrarrestar los efectos nocivos de una población obesa (Lifshitz y Lifshitz, 2014).1 Ante este panorama, la Organización Mundial de la Salud (OMS) declaró a la obesidad una pandemia.
Este fenómeno coincide con un cambio en el modelo económico, político y social conocido como globalización, entre cuyos efectos está la transformación de los patrones de consumo y comportamiento de las personas con consecuencias poco favorables en la nutrición de la población, pues dicho proceso ha incentivado la adopción de una dieta altamente energética y un estilo de vida sedentario, dando lugar a una creciente población con obesidad (Hojjat y Hojjat, 2017).
Desde inicios de los años ochenta, una de las expresiones de la gobernanza neoliberal fue la desregulación del mercado de alimentos. Las políticas gubernamentales laxas hacia la industria alimentaria posibilitaron la expansión y el predominio de comida poco saludable y con escaso aporte nutricional (Otero, 2018); también se observó una creciente mercadotecnia y publicidad de alimentos procesados (Lifshitz y Lifshitz, 2014).2 Esta política se ha vinculado con problemas nutricionales de la población, como es el caso de la obesidad (Guthman, 2011).
El vínculo entre globalización y obesidad se puede observar en las transiciones dietéticas en el mundo. La obesidad se considera, en parte, una consecuencia de los intercambios económicos y culturales derivados de la globalización (Hawkes, 2006). La exportación y difusión del nuevo modelo de alimentación ha alterado los patrones de consumo y de producción de alimentos, influyendo en los niveles de obesidad mundial. La OMS llamó globesidad al vínculo que se ha observado entre obesidad y globalización.
El fenómeno que se aborda en el artículo tiene una naturaleza agregada: la participación en la globalización se ha dado a nivel país. Cuando un país participa en los acuerdos internacionales, todos sus habitantes se ven afectados en mayor o menor medida por los acuerdos. En el caso de México, la apertura comercial y la puesta en marcha del Tratado de Libre Comercio impulsaron cambios en los marcos regulatorios propicios para alentar la globalización y como consecuencia se incrementó la inversión extranjera directa en los distintos eslabones de la cadena agroalimentaria. La globalización ha afectado los patrones de consumo de los individuos y ha generado una transición nutricional que se refleja en un aumento en la obesidad de la población, convirtiéndose en un problema social que requiere la atención e intervención del gobierno.
El objetivo de este trabajo es analizar la relación obesidad y globalización considerando las interacciones espaciales, para lo cual se utilizan modelos de econometría espacial que buscan probar la hipótesis de globesidad que, como ya se ha mencionado, asegura que existe un vínculo entre obesidad y globalización. El comportamiento en el espacio de la globalización y de la obesidad se estudia a través de un análisis de dependencia espacial. Además, se presenta una perspectiva temporal al incluir información para los años 1980, 1990, 2000, 2010 y 2015.
La prevalencia de obesidad en adultos, porcentaje de población con un índice de masa corporal mayor o igual a 30, lo estima la OMS (2020a). El índice globalización y sus componentes (globalización económica, social y política) se obtiene del Instituto de Investigación Económica Konjunkturforschungsstelle de la Escuela Politécnica Federal de Zúrich (Gygli et al., 2019).
La literatura empírica confirma que la globalización económica y la liberalización comercial han sido identificadas como factores potencialmente importantes que conducen y explican las tendencias observadas de la obesidad (Cuevas García-Dorado et al., 2019). La dimensión de la globalización que afecta en mayor medida los niveles de obesidad es la globalización social (Costa-Font y Mas, 2016). En la revisión de literatura se observa que existe una relación espacial de la globesidad y se plantean algunas estrategias de control debido a la heterogeneidad que el espacio genera. En este trabajo se propone utilizar econometría espacial para controlar las interacciones espaciales que se pueden dar en la obesidad y en la globalización.
Los resultados de este trabajo confirman que existe dependencia espacial en la prevalencia de obesidad y en la globalización entre los países. A partir del análisis econométrico se sostiene la hipótesis de globesidad y, en concordancia con otras investigaciones, se concluye que la globalización social es la que presenta mayor correlación con el nivel de obesidad de los países.
Este artículo presenta, junto con la introducción, una sección con un breve recuento de la relación obesidad y globalización; en la sección dos se muestran algunos resultados del estudio de la globesidad; en la sección tres se desarrollan las herramientas de análisis espacial; en la sección cuatro se expone el análisis de dependencia espacial y en la siguiente los resultados de las regresiones con econometría espacial; en la última sección se encuentran las conclusiones.
1. Relación entre obesidad y globalización: globesidad
En 2003, la OMS acuñó el concepto globesidad para describir la epidemia de obesidad asociada a las relaciones económicas, políticas y culturales de un mundo globalizado (Otero, 2018). Este fenómeno se enmarca en la hipótesis de la globesidad que vincula los niveles de obesidad e ingesta calórica de una población con el incremento de la globalización en el lugar de residencia (Costa-Font y Mas, 2016).
La globesidad tiene lugar en un ambiente obesogénico, conformado por elementos que condicionan las elecciones de alimentación de los individuos: publicidad, presiones sociales o estilo de vida (Guthman, 2011). En los últimos 30 años, se han observado cambios en dicho entorno, así como un aumento en los alimentos industrializados y en su publicidad (Hojjat y Hojjat, 2017).
Por su parte, la globalización, además de cambiar la estructura y las formas de gobierno, transformó los estilos de vida de la sociedad y, al impactar directamente en la cotidianidad de las personas, modificó los hábitos para adaptarse a un nuevo entorno, hecho que condujo hacia una transición nutricional que cambió las dietas en el mundo (Drewnowski y Popkin, 1997) y que se manifiesta a través de variaciones en la oferta y demanda de alimentos.
Los subsidios otorgados por los gobiernos a las industrias alimentarias han propiciado caídas de los precios de los alimentos industrializados que benefician la producción y el costo de los comestibles industrializados (Lifshitz y Lifshitz, 2014). Ello ha contribuido al aumento de la generación de alimentos con grandes cantidades de azúcar, sal, oleaginosas, soya, entre otros (Lifshitz y Lifshitz, 2014).
Así, las alteraciones alimenticias están asociadas a la dieta neoliberal (Otero, 2018), consecuencia del régimen dietético predominante a raíz de la creciente integración mundial, entendida como el modelo americano de alimentación. Este régimen alimenticio se caracteriza por el uso de ingredientes promovidos por su política agrícola, entre otros, y destacan productos oleaginosos como la soya y el jarabe de alta fructosa de maíz; también lo distinguen la distribución y consumo de elevadas cantidades de alimentos procesados, de baja calidad, baratos, de acceso rápido (Otero, 2018; Drewnowski y Popkin, 1997) y promovidos por una gran cantidad de publicidad que, por lo general, no está reglamentada (Lifshitz y Lifshitz, 2014).
La transición nutricional promovió el avance de la obesidad a través de la homologación de patrones alimenticios entre países. Este proceso se considera una de las principales causas de que la obesidad se convirtiera en pandemia (Kline, 2011).
Aunque el Estado dispone de herramientas para atender la crisis de salud provocada por la obesidad y el sobrepeso, mediante políticas públicas en materia de salud alimentaria que contrarresten la tendencia de este padecimiento, y cuyo objetivo central debería ser la promoción de dietas saludables a largo plazo (Hawkes, 2006), se ha observado que las medidas puestas en marcha han resultado ineficaces o insuficientes para combatir el incremento de la obesidad (Guthman, 2011). Esto ha propiciado que, durante las últimas cuatro décadas, las grandes corporaciones se hayan beneficiado de las políticas públicas laxas en detrimento de la salud pública. Las personas más afectadas son las de ingresos bajos debido a las limitaciones económicas para acceder a una alimentación saludable (Lifshitz y Lifshitz, 2014).
De hecho, la OMS (2020a) reconoce que la obesidad está creciendo en los países de ingresos bajos y medios: en África, el sobrepeso en niños de menos de cinco años ha aumentado en cerca de 24% desde el 2000; en 2019, casi la mitad de los niños menores de cinco años con sobrepeso viven en Asia. Esta situación es similar en países pobres cuyas economías están prosperando, en ellos, las personas de los grupos de ingresos bajos comienzan a tener acceso a comida procesada causante de obesidad (Ghosh, 2017). Este fenómeno se presenta ante el desconocimiento del cuidado de la salud y de las consecuencias de una dieta desbalanceada. Mientras, los países ricos presentan una tendencia a establecer hábitos alimenticios y de actividad física cada vez más saludables.
Las acciones de los gobiernos deben ser restrictivas, limitar el poder de mercado de las grandes empresas productoras de alimentos que contienen grasas dañinas, sal y azúcar (FAO, 2019). Para que las políticas tengan un efecto en el nivel de bienestar del individuo se recomienda una intervención temprana, ya que se ha observado que desde la infancia empiezan a gestarse las condiciones que dan paso a la obesidad en la edad adulta.
2. Evidencia empírica sobre la globesidad
En el mundo se ha observado que existe una relación entre índice de masa corporal (IMC) y la globalización económica (índice KOF) y la desigualdad entre países durante el periodo 1980-2013 (De Vogli et al., 2014).3 Entre los países desarrollados hay una asociación positiva de la globalización (índice KOF) y la obesidad en el periodo 1989-2005 (Costa-Font y Mas, 2016). Hay que mencionar que la globalización social influye en la prevalencia de obesidad, de forma más específica, el contacto personal y el flujo de información son los factores que incrementan el nivel de obesidad de los países, esto confirma la occidentalización del estilo de vida. La tasa de participación de las mujeres y la desigualdad tienen una relación positiva con la obesidad, mientras que el ingreso per cápita tiene un efecto inverso.
Al analizar el impacto de la globalización económica, política y social en países de ingreso medio y bajo se ha observado que se relaciona con el sobrepeso (Goryakin et al., 2015). Estos resultados se obtuvieron al estudiar a 887,000 mujeres de 15 a 49 años, en 56 países en desarrollo, durante el periodo 1991-2009. La globalización (índice KOF) provoca un incremento en la propensión al sobrepeso de las mujeres, mientras la económica presenta un efecto inverso; el efecto de la globalización económica depende de las variables que se incluyan en el modelo de estimación, por ejemplo, las características específicas de los países, el desarrollo económico, infraestructura, educación, inversión y el tamaño del mercado son los factores que explican la relación entre la globalización económica y el sobrepeso.
La hipótesis de globesidad también se ha estudiado en los países asiáticos en el periodo 1985-2015 (Ghosh, 2017). La prevalencia de obesidad es mayor en los países de mayor ingreso, pero la tasa de crecimiento de la obesidad es alarmante en los países de ingreso bajo y medio bajo. En los países de ingreso bajo y medio bajo, la globalización social y económica (índice KOF) favorecen la obesidad; en contraste, en los países de mayor ingreso, el impacto de la dimensión social de la globalización sobre la obesidad es negativa, es decir, no la favorece por ejemplo en los países ricos de Asia, los beneficios de la globalización se han reflejado en mejores niveles de salud.
En el caso de América Latina, durante el periodo 1995-2013, se observa que existe una relación entre la obesidad y la globalización (índice KOF) (García, 2019).4 Al analizar las dimensiones del índice de globalización, es el componente social el que presenta una asociación. En el caso de la globalización económica la relación existe, pero su efecto es menor. Finalmente, también hay un efecto de la globalización política, pero no muestra un patrón consistente.
Una revisión exhaustiva de trabajos empíricos sobre la relación de la globalización y las condiciones de nutrición la realizan Cuevas García-Dorado et al. (2019), que encuentran que la literatura empírica proporciona una perspectiva matizada del impacto de la globalización en la nutrición: diferentes procesos y subcomponentes tienen distintos efectos. Los resultados indican que, en general, el proceso de la globalización, comercio y las políticas públicas, hasta el momento, han jugado un rol importante en la dirección de los cambios en el estado nutricional de las personas de altos, medianos y bajos ingresos de los países. La relación más clara ocurre entre inversión extranjera directa y sobrepeso-obesidad.
Algunos estudios de la relación obesidad-globalización han utilizado análisis de panel de datos (De Vogli et al., 2014; Costa-Font y Mas, 2016; García, 2019; Goryakin et al., 2015; Ghosh, 2017) y, en su mayoría, utilizan estrategias para eliminar problemas de sesgos. Entre ellos se observa la aplicación de efectos fijos espaciales y el uso de variables instrumentales (líneas costeras y fronteras) para considerar el efecto de la localización de los países. También se utilizan errores agrupados para controlar la heterogeneidad entre países. En este trabajo, proponemos un análisis con econometría espacial como alternativa para incorporar los efectos espaciales de los países.
3. Estrategia de análisis y los datos
La globesidad es un fenómeno que implica la interacción entre países en términos sociales, económicos y políticos que, en cierta medida, dependen de la cercanía. Esto se vincula con la primera ley de la geografía formulada por Waldo Tobler: todas las cosas están relacionadas entre sí, pero las cosas más próximas en el espacio tienen una relación mayor que las distantes (Anselin, 1995). A partir de esto, se plantea analizar la globesidad con herramientas que estudian la dependencia y heterogeneidad espacial, y, dado que se trata de un análisis agregado, queda fuera del interés del trabajo el estudio de las causas individuales de la obesidad. Los resultados del análisis son relaciones globales.
La dependencia espacial refleja una situación en la que los valores observados en una región dependen de los valores de otras regiones. Estas relaciones pueden ser positivas o negativas. La heterogeneidad espacial se presenta cuando el comportamiento de una variable no es estable en el espacio (Anselin, 2003).
Para iniciar el análisis espacial es necesario establecer los siguientes conceptos: definición de contigüidad, matrices de ponderadores espaciales y rezago espacial. El primer paso es establecer el criterio para considerar que dos o más países son vecinos.5 Existen diferentes maneras de establecer la vecindad y éstas pueden depender de la distancia, las fronteras, la posesión de algún recurso natural, entre otras (Siabato y Guzmán-Manrique, 2018). Las relaciones de vecindad se integran en una matriz binaria, en donde un elemento de la matriz toma valor de uno si existe vecindad entre las regiones y cero de otra forma.
La matriz de pesos espaciales (W) representa los vínculos existentes entre dos o más regiones (Anselin, 2003). En general, W se normaliza haciendo que sus filas sumen uno. El rezago espacial es un promedio ponderado de variables aleatorias en ubicaciones que se consideran vecinas, de acuerdo con el criterio de vecindad elegido (Anselin, 2003). Para obtenerlo se multiplica la variable de interés por la matriz de ponderadores espaciales (Wy).
La autocorrelación espacial (AE) representa la relación que existe entre una variable de interés de una unidad geográfica con la misma variable de otras unidades vecinas (Goodchild, 1987). Los resultados que proporciona la AE son la comprobación de la primera ley de la geografía (Ley Tobler) y la evidencia de dependencia espacial (LeSage y Pace, 2009).
El estadístico I-Moran detecta la presencia y el grado de AE. En este caso, el estadístico I-Moran (ecuación 1) mide el grado de asociación entre un vector y de valores observados de una variable georeferenciada y su rezago espacial (Wy) (Getis, 2010).
Donde wij es el elemento ij de la matriz de ponderadores espaciales (W), yi es el elemento i del vector y (variable de interés), ȳ es la media de y. El rango de valores que toma I-Moran es de menos uno (dispersión perfecta) a uno (correlación perfecta), cero indica que el patrón espacial es aleatorio.
El diagrama de dispersión del I-Moran (Figura 1) muestra que existe AE cuando las observaciones se encuentran en torno a la línea de ajuste, la dirección de ésta indica si hay una asociación positiva de la variable y su rezago (concentración en los cuadrantes I y III) o negativa (concentración en los cuadrantes II y IV) (Rodríguez-Licea et al. 2016). A través del I-Moran y su diagrama se comprueba la presencia o no de AE. Cuando existe AE se recomienda utilizar herramientas de econometría espacial para la estimación de relaciones entre variables.6
3.1. Modelos de regresión espaciales
La diferencia entre la econometría tradicional y la econometría espacial radica en la existencia de dependencia espacial. Cuando existen relaciones entre las observaciones (regiones) no se cumple el supuesto de independencia que requiere mínimos cuadrados ordinarios (MCO). Otro factor que afecta las estimaciones de MCO es la omisión de variables cuando se trata de efectos no observados que comparten regiones vecinas (Arbia, 2014).
Existen diferentes especificaciones que incluyen efectos espaciales. En la ecuación 2, se presenta el modelo espacial anidado, un modelo teórico que incorpora todos los efectos espaciales. Al imponer restricciones en sus parámetros se presentan modelos de menor orden (Elhorst, 2014).
El modelo autorregresivo (SAR) considera la dependencia espacial en la variable dependiente (θ =0, λ =0) y el modelo espacial de los errores (SEM) en las perturbaciones (θ =0, ρ =0). El modelo autorregresivo combinado (SAC) incluye simultáneamente los efectos antes mencionados (θ =0). El modelo de rezago espacial en X (SLX) incluye sólo rezagos en las variables explicativas (θ =0, λ =0). El modelo espacial de Durbin (SDM) contiene rezagos espaciales en la variable dependiente y en las variables explicativas (λ =0), y el modelo Durbin espacial de errores (SDEM) incluye efectos espaciales en las variables independientes y el error (ρ =0).
Los coeficientes de MCO se interpretan como una derivada parcial. El signo del coeficiente indica si la relación entre las variables es positiva o negativa. El valor señala cuánto cambia la variable dependiente dado un cambio en la variable independiente. Los modelos espaciales expanden la información de sus estimadores incluyendo información de sus vecinos. Los coeficientes de los modelos con efectos endógenos no se interpretan de manera directa debido a que las derivadas parciales cruzadas son diferentes de cero (LeSage y Pace, 2009). En la matriz de derivadas parciales se encuentran efectos directos e indirectos. Para su interpretación se utilizan medidas resumen.
Para la elección del modelo existen diferentes estrategias, entre éstas, utilizar multiplicadores de Lagrange, propuesta por Anselin (2005). También se pueden aplicar pruebas LR (likelihood ratio) entre modelos y considerar los criterios de información de Akaike (AIC) y Bayesiano (BIC).
3.2. Los datos
La obesidad es la acumulación excesiva de grasa corporal que tiene efectos nocivos en la salud de las personas que la padecen (OMS, 2020a). Existen diferentes formas de catalogar si una persona tiene obesidad, la más utilizada es el índice de masa corporal (IMC), que se calcula dividiendo el peso en kilogramos entre el cuadrado de la altura en metros. En el caso de los adultos, si el IMC es mayor a 30, se considera que la persona tiene obesidad (OMS, 2020a). En este trabajo, la obesidad de cada país se entiende como la prevalencia de obesidad en adultos (IMC ≥ 30) y la fuente es la OMS (2020b). La prevalencia de obesidad en adultos es el porcentaje de personas entre 15 y 49 años (sin incluir a las mujeres embarazadas) que tiene un IMC ≥ 30.
Una aproximación para la medición del nivel de integración económica, política y social de la globalización es el índice de globalización calculado por el Instituto Económico Suizo KOF (Gygli et al., 2019), que jerarquiza a los países según su nivel de globalización. Las dimensiones del índice son la globalización económica (KOFEcGI), política (KOFPoGI) y social (KOFSoGI). La globalización económica se desagrega en globalización: comercial (KOFTrGI) y financiera (KOFFiGI), y la globalización social se compone de globalización: interpersonal (KOFIpGI), informacional (KOFInGI) y cultural (KOFCuGI).7 Este índice brinda orientación sobre la evolución de la globalización entre los países.
En la Figura 2, se presenta la evolución de la obesidad y la globalización. En 1980, 7.1% de la población padecía obesidad, cifra que aumentó a 19.3% en 2015. La globalización (índice KOF) también presenta una tendencia creciente (Figura 2). En 1980, el índice de globalización tenía un nivel de 41.8; para el 2015 alcanzó la cifra de 61.7. Al final de los años ochenta hay un cambio en la tendencia y se observa un crecimiento más acelerado de la globalización, mientras que durante los años noventa, se dieron cambios en la política del mundo que permitieron la intensificación de las relaciones económicas, políticas y sociales en la mayoría de las regiones del planeta.

En algunos estudios sobre globesidad que utilizan panel de datos, la muestra de países se reduce para obtener periodo más amplio de análisis (De Vogli et al., 2014; Costa-Font y Mas, 2016; Goryakin et al., 2015). Debido a que el objetivo en este artículo es el análisis de la influencia espacial en la relación obesidad-globalización, resulta indispensable contar con la mayor información disponible en todos los años, por eso se optó por presentar un análisis de corte transversal para varios años que incluye a la mayoría de los países del mundo.
4. Análisis de dependencia espacial: obesidad y globalización
Esta sección inicia con la mención de algunos detalles sobre la distribución espacial de la obesidad y la globalización. En 1980, el norte de América, Chile, Argentina, algunos países del norte de África y Europa occidental destacan por presentar una alta prevalencia de obesidad, para 2015, las zonas con mayor obesidad se ubicaban en el norte de América, el Cono Sur, parte del este y sur de Europa, además, el norte y sur de África, Medio Oriente, la península arábiga y Oceanía. Al menos un tercio de los países del mundo manifiestan un elevado nivel de obesidad. Mientras el norte y el Cono Sur de América, así como el norte de África destacan por un alto nivel de globalización en todo el periodo. Cabe resaltar que en 2015, las zonas con las regiones más globalizadas eran Norteamérica, Europa, y Oceanía; en contraste, los lugares con menor globalización se ubicaban en el centro y norte de África, así como en Oriente Próximo.
El análisis de dependencia espacial requiere definir el criterio de vecindad o contigüidad, para este trabajo se utilizará la contigüidad de esferas de influencia (SOI, sphere of influence). Se construyen esferas cuyo centro es el punto de referencia y el radio lo define la distancia al vecino más cercano. Entonces, dos regiones son vecinas cuando las circunferencias se cruzan en dos puntos (Avis y Horton, 1985). La construcción de vecinos SOI permite que todos países cuenten con vecinos. Una vez definida la matriz de contigüidad se normaliza por filas para construir la matriz de ponderadores espaciales (W).
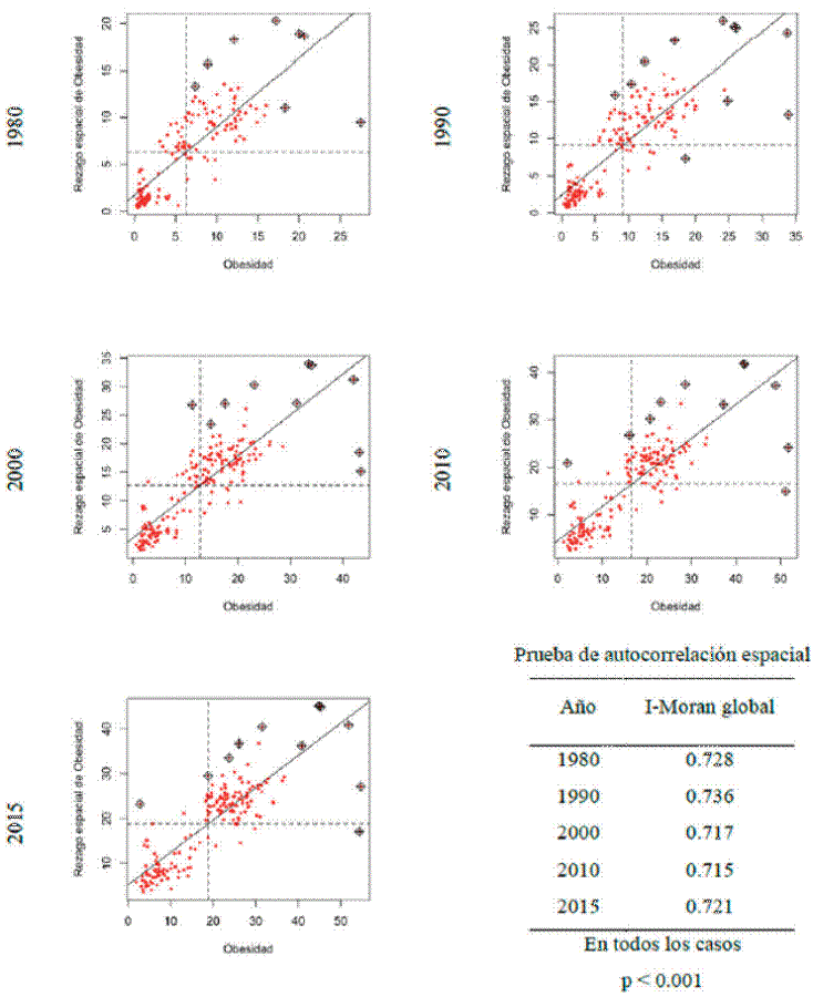
En la Figura 3 se encuentra el estadístico I-Moran global para la obesidad. La evolución del I-Moran global de la obesidad entre 1980-2015 es significativa y cercana a 0.7 en todo el periodo, evidencia de AE positiva. Este resultado sugiere que la distribución de la obesidad tiende a agruparse en el espacio. Las regiones con niveles altos (bajos) de obesidad tienen vecinos con niveles altos (bajos) de obesidad de manera más frecuente que si se tratara de localizaciones completamente aleatorias. Otra característica del I-Moran es que mide la intensidad de la relación entre la obesidad y el promedio ponderado de la obesidad de los vecinos (rezago espacial de la obesidad). La correlación entre estas variables es cercana a 70 por ciento.

El diagrama de dispersión de Moran permite ver el comportamiento de las unidades espaciales. La línea de ajuste de los datos es equivalente al I-Moran global. En la Figura 3 se presentan los diagramas para todo el periodo de análisis. En las gráficas, la variable obesidad se representa en el eje de las ordenadas y su rezago espacial en el eje de las abscisas. En todos los casos hay una asociación positiva y los países se concentran principalmente en los cuadrantes I y III; también se remarcan algunos valores de influencia. Los países que se ubican dentro del cuadrante I tienen altos niveles de obesidad y se rodean de países con niveles similares. En el cuadrante III están los países con bajos niveles de obesidad, cuyos vecinos también presentan niveles bajos. Para 2015, hubo nueve países identificados como regiones atípicas, aquellas que se desvían del patrón global de AE positiva. Estos son países con alta (baja) obesidad cuyos vecinos tienen baja (alta) obesidad.
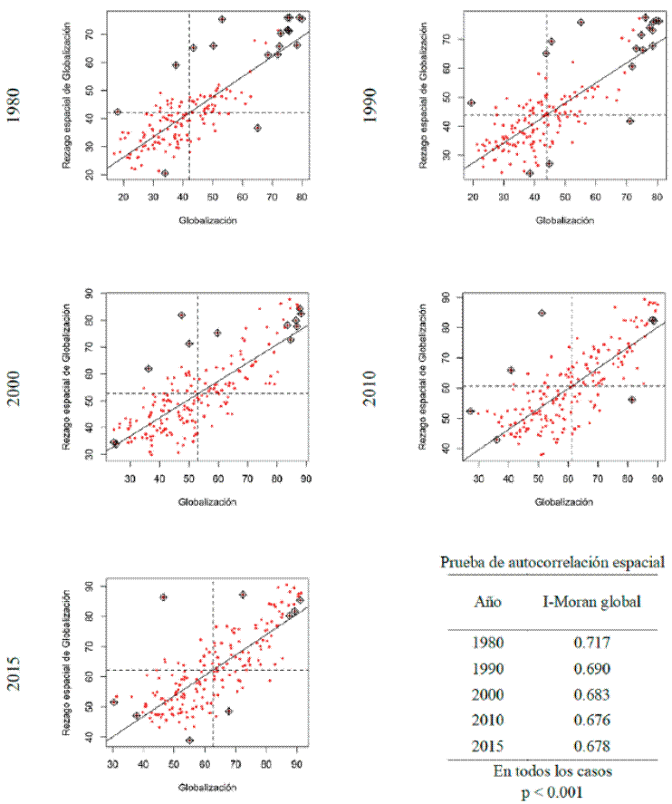
En la Figura 4 se presenta el estadístico I-Moran global para la globalización. El I-Moran es significativo y cercano a 0.7 en todo el periodo. Cabe resaltar que el I-Moran más alto se presenta en 1980 y después disminuye. El proceso de globalización ha cambiado: al principio la cercanía espacial beneficiaba el comercio, lo que podría generar mayor dependencia espacial; mientras que al aumentar la tecnología y otros medios de difusión de la globalización hay una disminución en la importancia de la cercanía espacial.

El estadístico I-Moran es positivo, hay evidencia de AE positiva. Este resultado sugiere que la distribución de la globalización tiende a agruparse en el espacio. Las regiones con niveles altos (bajos) tienen vecinos con niveles altos (bajos), de forma más frecuente que si la localización fuera puramente aleatoria. La intensidad de correlación entre el nivel de globalización y el promedio ponderado de la globalización de los vecinos es cercana a 70 por ciento.
El diagrama de dispersión de Moran permite ver el comportamiento de las unidades espaciales y la línea de ajuste es equivalente al I-Moran global. En la Figura 4 se presentan los diagramas para todo el periodo de análisis. En las gráficas, la variable globalización se representa en el eje de las ordenadas y su rezago espacial en el eje de las abscisas. En todos los casos hay una asociación positiva y se observa concentración principalmente en los cuadrantes I y III. Los países ubicados en el cuadrante I tienen altos niveles de globalización y se rodean de países con niveles similares. En el cuadrante III están los de bajos niveles de globalización, cuyos vecinos también presentan niveles bajos. Para 2015, hubo 29 países identificados como regiones atípicas, aquellas que se desvían del patrón global de AE positiva, éstos con alta (baja) obesidad cuyos vecinos tienen baja (alta) obesidad.
Con los estadísticos I-Moran se confirma la presencia de dependencia espacial en las variables obesidad y globalización.8 Para estudiar la hipótesis de globesidad es necesario incorporar esta dependencia espacial, de otra forma la relación obesidad-globalización podría estar sesgada.
5. Hipótesis de globesidad: estimación de la relación entre obesidad y globalización
En esta sección se analiza la hipótesis de globesidad considerando que existen relaciones espaciales de las variables de interés. Para evitar sesgos derivados de la omisión de características espaciales, se toma la decisión de quedarse con la mayor información disponible, por eso se presenta un análisis de corte transversal para 1980, 1990, 2000, 2010 y 2015.9 Los resultados obtenidos son correlaciones entre las variables de interés. Se realizaron tres regresiones por grupos de variables: en el Grupo 1, la variable explicativa es el índice de globalización; en el Grupo 2, la globalización económica (G-económica), política (G-política) y social (G-social); y en el Grupo 3 la globalización: comercial (G-comercial) y financiera (G-financiera), interpersonal (G-interpersonal), informacional (G-informacional), cultural (G-cultural) y política. En todos los casos se aplicaron multiplicadores de Lagrange para orientarnos en la elección del mejor modelo (Cuadro 1).

Los modelos SAR y SEM resultan significativos para el Grupo 1. Para el Grupo 2, las pruebas robustas también indican que son significativos los modelos SAR y SEM, excepto en el 2000 que sólo el modelo SEM es significativo. El modelo SEM es el que tiene mayor significancia. En el Grupo 3 se repiten los resultados y es el modelo SEM el que presenta mayor significancia. En el Cuadro 2 se contrastan el modelo SEM frente a modelos de orden superior, también el modelo SAR, sólo para el caso del Grupo 1.

Fuente: elaboración propia con datos de la OMS (2020b) y Gygli et al., (2019). Estimaciones elaboradas en R Core Team (2019).
Al aplicar la prueba LR sólo se rechaza el modelo SEM frente al SAC, SDM y SDEM en 1980 para el Grupo 1, y se rechazan los modelos de orden superior frente al SAR. Para el Grupo 2 se rechaza el modelo SEM en 2010 y 2015 a favor de los modelos SDM y SDEM. Finalmente, para elegir los modelos se presentan los Criterios de Akaike (AIC) y Bayesiano (BIC), sólo para los modelos que no quedaron definidos.

El modelo SAR del Grupo 1 presenta los menores AIC y BIC, por lo que para este grupo se elige dicho modelo. Los años 2010 y 2015 resultan con modelos diferentes al SEM (aunque es el que presenta menor BIC en los dos casos).
En el Cuadro 4 están las regresiones de la obesidad (prevalencia de obesidad en adultos) y la globalización (índice KOF). El número de países con datos son 152 en 1980 y aumentan a 184 en 2015. En la primera columna están los resultados de regresiones lineales (MCO). Se aplica la prueba de Breusch-Pagan para comprobar si existe homocedasticidad, la hipótesis se rechaza en todos los casos. En la sección anterior se detectó la presencia de dependencia espacial a través del I-Moran y su omisión puede estar generando la heterocedasticidad. Para evitar los sesgos por esta omisión se propone utilizar econometría espacial.

En el Cuadro 4 se presentan los coeficientes, los efectos directos e indirectos de un modelo SAR. El coeficiente ρ mide el grado de intensidad de la dependencia espacial y confirma la presencia de AE positiva. En 1980, un incremento de una unidad en el índice de globalización de un país aumentó el nivel de obesidad en 9.8%, cifra que creció a 14%, en promedio, para el 2015, mientras que el efecto de retroalimentación aumentó de 1.9%, en 1980, a 3.4% en el 2015. Esto representa el efecto en cadena de la globalización: un aumento en un país afecta a sus vecinos y luego éste regresa al país que tuvo el cambio original. El efecto indirecto indica el efecto de derramamiento (spillovers) de un país sobre sus vecinos, y es positivo en todo el periodo; además, ante un incremento en el índice de globalización de los vecinos, se observa un incremento en la prevalencia de obesidad.
Con los resultados obtenidos se confirma la hipótesis de globesidad: existe una relación entre el nivel de globalización de un país y la obesidad. Además, se observa que la localización de los países también influye, dado que estar cerca de países más expuestos a la globalización se asocia a países con una alta prevalencia de obesidad.
El índice KOF se desagrega en globalización económica, política y social. En el Cuadro 5 se presenta la relación entre obesidad y la globalización desagregada. En la primera columna están las regresiones lineales para todo el periodo (MCO). Se aplica la prueba de Breusch-Pagan para comprobar si existe homocedasticidad, la hipótesis se rechaza en todos los casos. En la sección anterior se detectó la presencia de dependencia espacial a través del I-Moran y su omisión puede estar generando la heteroscedasticidad. Para evitar los sesgos por esta omisión se propone utilizar un modelo SEM de 1980 al 2000, un SDM para 2010 y un SDEM para 2015 (Cuadro 5).

El coeficiente λ(ρ) indica el grado de intensidad de la dependencia espacial y confirma la presencia de AE positiva (Cuadro 5). La globalización social presenta efectos significativos para todos los años del estudio. En 1980, un incremento de una unidad en la globalización social de un país aumentó el prevalencia de obesidad en 9.5%, efecto que creció a 41% para el 2015.
En la revisión de literatura se insiste en que la globesidad se ha expandido gracias a la difusión del estilo de vida occidental. Aunado a lo anterior, grandes empresas que controlan los medios de comunicación y agencias de mercadotecnia han influido en la transición nutricional con el uso de la publicidad cada vez más sofisticada y eficiente que persuade a los consumidores a adoptar la dieta occidental. La inversión extranjera directa fue otro factor que influyó en la expansión de comida rápida y de alimentos procesados en tiendas de conveniencia y en cadenas de establecimientos de autoservicio (Hawkes, 2006; Otero, 2018). Dicho fenómeno se ha explicado a través de la transición alimenticia y la creciente adopción de la dieta neoliberal, se ha concluido que la globesidad es promovida por factores de intercambio cultural como la adopción de dietas y patrones de consumo, así como por la publicidad y mercadotecnia (Costa-Font y Mas, 2016).10
El efecto positivo de la globalización política sólo tiene significancia en 1980 y 1990 (Cuadro 5). En 2010 y 2015 se encuentra que un aumento en la globalización política de los vecinos disminuye la obesidad, pero también se ha observado esta relación negativa cuando se trata de obesidad infantil y juvenil Cuevas García-Dorado et al., 2019). Sin embargo, hay pocos estudios cuantitativos y los resultados no son uniformes acerca del impacto de la globalización política sobre la obesidad.
En el Cuadro 6 se presenta la relación entre obesidad y el índice de globalización, desagregando la globalización económica en comercial y financiera; la globalización social en informacional, cultural e interpersonal y, finalmente, la globalización política. Los resultados son congruentes con lo que se encontró anteriormente. La globalización informacional tiene un efecto positivo en la obesidad durante todo el periodo. La G-Informacional incluye el ancho de banda, el número de patentes internacionales, exportaciones de alta tecnología, acceso a televisión, internet y libertad de prensa. En el caso de la globalización interpersonal, el efecto positivo se presenta a partir del 2000. La G-Interpersonal incluye las llamadas internacionales, transferencias, migración turismo mundial, estudiantes internacionales, suscripciones telefónicas, libertad para visitar y aeropuertos internacionales, mientras que la globalización cultural presenta efecto sólo en 1990 y 2010. La G-Cultural se estima a partir del comercio de bienes culturales y de servicios personales, marcas registradas a nivel mundial, restaurantes McDonald’s, tiendas IKEA, igualdad de género, capital humano y libertades civiles Gygli et al., 2019 Los resultados coinciden con lo que encuentra Hawkes (2006) quien señala que la obesidad es una consecuencia de los intercambios económicos y culturales derivados de la globalización. Finalmente, la globalización política tiene un efecto positivo sólo en 1980.

Conclusiones
Entre las principales causas de la obesidad asociadas a la globalización se encuentran la ingesta de alimentos altos en calorías, cuyo origen se relaciona con un intercambio cultural motivado por inversiones económicas, agravado a causa de bajos niveles de actividad física, e influido por el entorno social, económico y cultural, así como por el tipo de alimentos, su precio, calidad y cantidad, y por la desigualdad en el nivel de ingresos.
Uno de los vínculos entre la obesidad y la globalización es la transición nutricional, es decir, el cambio en los patrones alimenticios. Un canal de estos cambios han sido los flujos de información que se han intensificado, entre otras razones, por las grandes empresas de comunicación que manejan la mercadotecnia a favor de alimentos con alto contenido calórico y de bajo costo. La transición nutricional es una característica de la globalización porque describe la exportación del modelo americano de producción y consumo. La adopción de la dieta neoliberal consiste en el consumo de alimentos altos en calorías e insumos obesogénicos.
La conjunción de estos elementos derivó en la hipótesis de globesidad, la cual vincula los niveles de obesidad e ingesta calórica de una población con el incremento de la globalización en el lugar de residencia.
En este trabajo se encontró que la globalización social es el componente que explica el fenómeno obesidad. En él está presente el intercambio de información a través de los medios electrónicos, lo que ha incidido en los cambios de los patrones alimenticios. Este proceso se ha intensificado por la acción de las fuerzas económicas e intercambio cultural que derivan en la transición nutricional. Esto representa un cambio en la alimentación a consecuencia del aumento en la intensidad de las relaciones económicas, políticas y sociales entre países, especialmente aquellos que son vecinos. Lo anterior permite explicar la conformación de agrupaciones regionales con base en el nivel de obesidad y el de globalización.
Los resultados encontrados en esta investigación coinciden con trabajos citados en la literatura referida en la primera parte de este artículo, como los de Costa-Font y Mas (2016). Tanto la globalización (Hawkes, 2006) como la dieta neoliberal (Otero, 2018) son señalados como impulsores de ambientes obesogénicos (Guthman, 2011) que han propiciado un incremento en los alimentos industrializados de alto contenido calórico (Hojjat y Hojjat, 2017).
Una limitante para este trabajo fue la disponibilidad de datos, pues no todos los países cuentan con la información necesaria para llevar a cabo análisis de este tipo. Otra limitante radica en que el IMC no proporciona información sobre de la distribución de la grasa corporal, dato que resulta importante para esta investigación pues el exceso de tejido adiposo en determinadas partes del cuerpo acarrea diversas consecuencias a la salud (Moreno, 2012). Por último, se tiene que considerar que los datos agregados en unidades espaciales (países, estados, etc.) no logran capturar circunstancias que las personas toman en cuenta en sus decisiones y que eventualmente inciden en el comportamiento de la obesidad (Guthman, 2011).
Fuentes consultadas
Anselin, Luc (2005), Exploring spatial data with geodaTM: a workbook, Ilinois, Center for Spatially Integrated Social Science, <https://cutt.ly/acXQb91>, 3 de febrero de 2020.
Anselin, Luc (2003), “Spatial Econometrics”, en Badi Baltagi (ed.), A companion to theoretical econometrics, Oxford, Blackwell Publishing, pp. 310-330.
Anselin, Luc (1995), “Local indicators of spatial association - LISA”, Geographical Analysis, 27 (2), Ohio, The Ohio State University, pp. 93-115, doi: https://doi.org/10.1111/j.1538-4632.1995.tb00338.x
Arbia, Giuseppe (2014), A primer for spatial econometrics with applications in R, Londres, Palgrave Macmillan UK.
Avis, David y Horton, Joe (1985), “Remarks on the sphere of influence graph”, Annals of the New York Academy of Sciences, 440 (1), Nueva York, The New York Academy of Sciences, pp. 323-327, doi: https://doi.org/10.1111/j.1749-6632.1985.tb14563.x
Castelnuovo, Gianluca; Pietrabissa, Giada; Manzoni, Gian Mauro; Corti, Stefania; Ceccarini, Martina; Borrello, Maria; Giusti, Emanuele Maria; Novelli, Margherita; Cattivelli, Roberto; Middleton, Nicole A.; Simpson, Susan G. y Molinari, Enrico (2015), “Chronic care management of globesity: promoting healthier lifestyles in traditional and Health based settings”, Front Psychol, 6 (1557), Lausanne, Frontiers Editorial, pp. 1-6, doi: https://doi.org/10.3389/fpsyg.2015.01557
Costa-Font, Joan y Mas, Núria (2016), “‘Globesity’? The effects of globalization on obesity and caloric intake”, Food Policy, vol. 64, Nueva York, Elsevier, pp. 121-132, doi: https://doi.org/10.1016/j.foodpol.2016.10.001
Cuevas García-Dorado, Soledad; Cornselsen, Laura; Smith, Richard y Walls, Helen (2019), “Economic globalization, nutrition and health: a review of quantitative evidence”, Globalization and Health, 15 (1), Londres, BioMed Central, pp 1-19, doi: https://doi.org/10.1186/s12992-019-0456-z
De Vogli, Roberto; Kouvonen, Anne; Elovainio, Marko y Marmot, Michael (2014), “Economic globalization, inequality and body mass index: a cross-national analysis of 127 countries”, Critical Public Health, 24 (1), Londres, Taylor & Francis, pp. 7-21, doi: https://doi.org/10.1080/09581596.2013.768331
Drewnowski, Adam y Popkin, Barry (1997), “The Nutrition Transition: New Trends in the Global Diet”, Nutrition Reviews, 55 (2), Washington D. C., International Life Sciences Institute, pp. 31-43, doi: https://doi.org/10.1111/j.1753-4887.1997. tb01593.x
Elhorst, J. Paul (2014), Spatial econometrics. From cross-sectional data to spatial panels, Berlín, Springer Heidelberg.
FAO (Food and Agriculture Organization of the United Nations) (2019), El estado de la seguridad alimentaria y la nutrición en el mundo, Italia, ONU, <https://cutt.ly/KcXHUbf>, 13 de mayo de 2019.
García, Christian Martín (2019), “Association of globalization in its different dimensions with overweight and obesity: an analysis in 10 Latin American and Caribbean countries”, Salud Pública de México, 61 (2), Cuernacava, Instituto Nacional de Salud Pública, pp. 174-183, doi: https://doi.org/10.21149/8886
Getis, Arthur (2010), “Spatial Autocorrelation”, en Manfred M. Fischer y Arthur Getis (eds.), Handbook of Applied Spatial Analysis: Software Tools, Methods and Applications, Heidelberg, Springer-Verlag Berlin Heidelberg, pp. 255-278, doi: https://doi.org/10.1007/9783-642-03647-7
Ghosh, Sudeshna (2017), “Globalization and obesity: Asian experiences of ‘globesity’”, documento de trabajo núm. 94601, Múnich, Munich University Library, pp. 1-40, <https://cutt.ly/jcCpQPz>, 8 de abril de 2019.
Goodchild, Michael Frank (1987), “A spatial analytical perspective on geographical information systems”, International Journal of Geographical Information Systems, 1 (4), Londres, Taylor & Francis, pp. 327-334, doi: https://doi.org/10.1080/02693798708927820
Goryakin, Yevgeniy; Lobstein, Tim; James, Philip y Suhrcke, Marc (2015), “The impact of economic, political and social globalization on overweight and obesity in the 56 low and middle income countries”, Social Science & Medicine, vol. 133, Bethesda, Elsevier, pp. 67-76, doi: https://doi.org/10.1016/j.socscimed.2015.03.030
Guthman, Julie (2011), Weighing in: obesity, food justice, and the limits of capitalism, Berkeley, University of California Press.
Gygli, Savina; Haelg, Florian; Potrafke, Niklas y Sturm, Jan-Egbert (2019), “The KOF Globalisation Index - Revisited”, The Review of International Organizations, 14 (3), Berlín, Springer, pp. 543-574, doi: https://doi.org/10.1007/s11558-019-09344-2
Hawkes, Corinna (2006), “Uneven dietary development: linking the policies and processes of globalization with the nutrition transition, obesity and diet-related chronic diseases”, Globalization and Health, 2 (4), Londres, BioMed Central, pp. 1-18, doi: https://doi.org/10.1186/1744-8603-2-4
Hojjat, Tahereh Alavi y Hojjat, Rata (2017), The economics of obesity, poverty, income inequality and health, Nueva York, Springer.
Kline, Stephen (2011), Globesity, food marketing and family lifestyles, Londres, Palgrave Macmillan.
LeSage, James y Pace, R. Kelley (2009), Introduction to Spatial Econometrics, Boca Raton, Taylor & Francis Group.
Lifshitz, Fima y Lifshitz, Jere Ziffer (2014), “Globesity: the root causes of the obesity epidemic in the USA and now worldwide”, Pediatric Endocrinology Reviews, 12 (1), Netanya, YS Medical Media, pp. 17-34.
Moreno, Manuel (2012), “Definición y clasificación de la obesidad”, Revista Médica de Clínica Las Condes, 23 (1), Santiago de Chile, Clínica Las Condes, pp. 124-128.
OMS (Organización Mundial de la Salud) (2020a), “Obesity and overweight”, Ginebra, ONU, <https://cutt.ly/hc9GhwH>, 25 de mayo de 2020.
OMS (Organización Mundial de la Salud) (2020b), “Prevalence of obesity among adults, BMI >= 30”, Ginebra, ONU, <https://cutt.ly/Gc9GX7E>, 25 de mayo de 2020.
Otero, Gerardo (2018), The neoliberal diet healthy profits, unhealthy people, Austin, Texas, Austin University of Texas Press.
R Core Team (2019), “R: A Language and Environment for Statistical Computing”, R 4.0.4 GUI 1.74,Vienna, R Foundation for Statistical Computing.
Rodríguez-Licea, Gabriela; García-Salazar, José Alberto y Hernández-Martínez, Juvencio (2016), “Identificación de conglomerados para impulsar las cadenas productivas de carne en México”, Agronomía Mesoamericana, 27 (2), Alajuela, Universidad de Costa Rica, pp. 353-365, doi: http://dx.doi.org/10.15517/am.v27i2.24388
Siabato, Willington y Guzmán-Manrique, Jhon (2018), “La autocorrelación espacial y el desarrollo de la geografía cuantitativa”, Cuadernos de geografía: Revista Colombiana de Geografía, 28 (1), Bogota, Universidad Nacional de Colombia, pp. 1-22, doi: https://doi.org/10.15446/rcdg.v28n1.76919
Notas