Artículos
Pronósticos de la fecundidad en México: una aplicación de modelos multivariados de series de tiempo
Mexican fertility forecasts: a multivariate time series model application
Pronósticos de la fecundidad en México: una aplicación de modelos multivariados de series de tiempo
Papeles de Población, vol. 22, núm. 89, pp. 99-131, 2016
Universidad Autónoma del Estado de México
Recepción: 20 Octubre 2014
Aprobación: 21 Diciembre 2015
Resumen: El descenso paulatino y sostenido de la fecundidad en México es relevante para el análisis de la dinámica demográfica, así como para la elaboración de pronósticos poblacionales. Con base en los datos oficiales (registrados y digitalizados), el patrón de la fecundidad ha venido presentando estructuras diferenciadas basadas en la edad de las madres mexicanas a lo largo del tiempo. Ante tal fenómeno, en este trabajo se busca fundamentalmente ilustrar la aplicación de un modelo multivariado de series de tiempo (VAR), tomando en cuenta: a) describir la evolución del número mensual de nacimientos en México, y, b) ajustar y utilizar un modelo estadístico multivariado para realizar el pronóstico de estas series hasta el año 2020. Se utilizan los nacimientos registrados de niños nacidos vivos según edad de la madre (enero 1992-diciembre 2010). Se evidencia, según cifras oficiales recientes a partir de 2010, que los pronósticos estimados son altamente precisos.
Palabras clave: Fecundidad, pronósticos, modelos VAR, modelo estadístico multivariado.
Abstract: The steady fertility decline in Mexico is relevant for the study of the demographic dynamics of the country and for population projections. Information from the official data (registered and available on line), show that fertility pattern based on the age of the mother have been presenting different structures. The aim of this paper is to estimate forecasts through the application of a VAR model. By using this model it's possible to: a) describe the monthly evolution of the births in Mexico, and b) fit a multivariate statistical model in order to forecast this series to 2020. The data used are the registered births according by age of the mother (January 1992-December 2010). Results show that these models provide a set of very precise forecasts.
Keywords: fertility, forecast, VAR model, multivariate statistical model.
Introducción
El descenso de la fecundidad, desde la década de los setentas, ha sido un tópico de interés para académicos, diseñadores de políticas y el gobierno. La importancia que tiene el crecimiento de la población en México es lo que ha marcado que se le estudié desde distintas direcciones. En el ámbito académico se han realizado estudios acerca del tema y asimismo se tiene evidencia del interés por parte del gobierno mexicano en la materia a través, por ejemplo, de los programas de planificación familiar, salud de la mujer y salud del recién nacido.
A lo largo del tiempo se ha visto que los determinantes de la fecundidad y las variables intermedias, tienen un peso específico, no sólo en las mujeres en edad reproductiva, sino también en la población en general; el papel de la mujer en el hogar y en el cuidado de los hijos; su desarrollo en la esfera social y económica; el rol que juega el hombre en el hogar, visto desde el enfoque de género, donde ya no simplemente participa como el proveedor, sino como ejecutante de tareas domésticas; los derechos de las mujeres en cuanto a su sexualidad y a la decisión de tener un número deseado de hijos; la relación que la fecundidad guarda con la inserción laboral y la educación de las mujeres.
Por otra parte, se considera que la metodología estadística que se emplea en este trabajo es una aportación para el estudio de la fecundidad, al proveer, en principio, una ilustración de cómo emplear la técnica y luego al presentar el pronóstico multivariado de la fecundidad en la población. Se considera que esto puede resultar útil, para la toma de decisiones de manera informada, como lo puede ser en el planteamiento de metas específicas trazadas por el gobierno mexicano. Cabe decir que son pocos los trabajos en México que cuentan con la aplicación de la metodología estadística de series de tiempo con la fecundidad, y casi nulos los que cuentan con una perspectiva de series de tiempo multivariadas.
En resumen, el objetivo principal del trabajo es ilustrar una aplicación de modelos multivariados de series de tiempo en el contexto de la fecundidad. En tanto que los objetivos particulares del trabajo son: analizar la evolución del número mensual de nacimientos registrados de niños nacidos vivos en México, donde las estadísticas vitales proveerán esta medida y, a partir del análisis anterior, proponer un modelo estadístico para estimar el pronóstico de estas series hasta el año 2020. Se espera que el modelo estadístico VAR sea lo suficientemente flexible y aplicable a este tipo de variables demográficas, para su empleo en la elaboración de pronósticos que permiten verificar su precisión con base en la evidencia empírica. Se desea ser enfático en que el presente trabajo no versa sobre la historia y tendencia de la fecundidad en México, ni es para discutir y analizar decisiones, ni derechos reproductivos, sino exclusivamente en la aplicación de un método estadístico con fines de pronosticar sobre tal variable.
El trabajo está organizado como sigue: en la siguiente sección se citan diversos antecedentes en materia de investigación dirigida a la fecundidad, posteriormente se elabora una descripción de las series de nacimientos en México por edad de la madre, más adelante se cita brevemente la metodología empleada y se presentan los resultados obtenidos tras la estimación del modelo VAR, asimismo se discute la precisión de los pronósticos obtenidos a partir de los datos oficiales, y finalmente se elaboran algunas conclusiones al respecto.
Antecedentes
México tuvo un avance importante en el proceso de la transición demográfica durante el siglo XX, hecho que se plasmó en el intenso crecimiento de la población registrado entre 1930 y 1970, así como en su tasa de crecimiento más lenta en las últimas tres décadas. Se estima que la población total mexicana creció de 1.7 por ciento en 1930 a 2.7 por ciento en 1950, llegando a 3.5 por ciento en 1965. Desde ese año, como una consecuencia del declive de la mortalidad y la fecundidad, la dinámica demográfica del crecimiento poblacional comenzó gradualmente a desacelerarse, registrando una tasa de crecimiento poblacional de 3.3 en el año 1970, 2.6 en 1985 y finalmente entre 2005 y 2010 una tasa de uno por ciento. El descenso de la fecundidad no se inició en el país hasta mediados de los años sesentas, los niveles se mantuvieron altos e incluso aumentaron antes del inicio de la década de los sesenta. A principios del siglo XX, en México las familias tenían alrededor de seis hijos en promedio, alcanzando un máximo de siete hijos durante esa década, medido por la tasa global de fecundidad. La difusión gradual de políticas y programas de planificación familiar han contribuido a la transición de la fecundidad en el país (UN, 2002).
En el estudio de los nacimientos, Figueroa (1989) compila una serie de trabajos relacionados con las estimaciones de los niveles de la fecundidad para el periodo 1940-1980; en el primero de ellos (Mier y Terán, 1989) se presentan las principales estimaciones de la natalidad y de la fecundidad en el país, elaboradas a partir de los datos del registro civil y de los censos; también se señalan las posibles causas de las divergencias entre éstas. En el segundo trabajo, se revisa, compara y se hace un balance de estimaciones, con base en la información de los censos y las estadísticas vitales, respecto al periodo entre los años 1950 a 1980. Por su parte, Núñez (1989) describe las principales estimaciones encontradas a través de las encuestas nacionales: La familia en México 1969, Encuesta Mexicana de Fecundidad 1976, Encuesta Nacional de Prevalencia en el uso de métodos anticonceptivos 1979, Encuesta Rural de Planificación Familiar 1981 y la Encuesta Nacional Demográfica 1982. Partida a su vez, utiliza el modelo parametrizado de fecundidad de Coale y Trussel para analizar la fecundidad en México, con tres parámetros: la edad inicial de entrada al mercado matrimonial, la velocidad con que ocurren las primeras nupcias y el grado de control natal marital.
En CONAPO (2002), se encuentra el trabajo de Tuirán et al. (2002) en el cual se hace un análisis de las tendencias y perspectivas de la fecundidad, examinando los niveles y diferenciales durante las tres últimas décadas; otro trabajo que se imprimió en esta serie y analiza a la fecundidad en México es el de Romo y Sánchez (2009), los autores contrastan distintas fuentes de información tradicionalmente utilizadas para la estimación de la fecundidad, como las encuestas especializadas y las estadísticas vitales, con la intención de analizar a dicho fenómeno paralelamente con base en dos instrumentos que aportan datos para su estimación.
Dentro de los trabajos recientes en los que se plantea el rápido descenso de la fecundidad en México y las implicaciones que tiene, está el de Echarri (2008), el cual aborda tres aspectos de la fecundidad. El primero se refiere a su evolución reciente, el segundo a las inconsistencias entre las diferentes fuentes de información y el último a la plausibilidad de su evolución futura en las proyecciones de población. Una aportación considerable en el comportamiento de la mortalidad se ubica en Welti (2012), donde se enmarcan políticas y programas que han incidido en los indicadores de fecundidad del país.
Para México se han elaborado numerosos trabajos respecto a las proyecciones de fecundidad, la mayoría utilizando el método de los componentes, destacados por la importancia que han tenido en la planeación o por la validez de sus planteamientos, entre ellos están: Benitez y Cabrera (1966), Frejka (1974), Benitez y Jiménez (1978) en conjunto con El Colegio de México, el Instituto de Investigaciones Sociales (IIS) de la Universidad Nacional Autónoma de México (UNAM), Rosales (1979), Hicks (1980), Camposortega (1980,1989). Dentro de estos trabajos se encuentra que los modelos matemáticos fijan las características de las hipótesis y no a la inversa, esto supone que es el modelo el que define la realidad (Arriaga, 1989).
Partida (2008) realiza un ajuste de la curva por medio de una función logística con parámetros conocidos y determinados por un grupo de expertos de las Naciones Unidas. Los trabajos de Figueroa (2006), así como el de Galindo y Ordorica (2007), han dado cuenta de las estimaciones de los nacimientos a partir de las estadísticas vitales, el primero para la década de los noventas y el segundo para un periodo de cincuenta años (1950-2000). Por otra parte, García (2010) ajusta un modelo de series de tiempo siguiendo la idea de Lee y Carter (1992), el cual sirve para explicar el comportamiento de la serie y realizar su pronóstico al año 2050.
En la literatura para contextos distintos al mexicano, tanto la tasa global de fecundidad como las tasas específicas de fecundidad, han sido pronosticadas a través de modelos de series de tiempo, trabajos al respecto, entre varios, son McDonald (1984), Miller (1986), y mucho más reciente Shitan y Lerd (2015). Esta perspectiva fue extendida para series de tiempo multivariadas por Ortega y Poncela (2005), en el que, para grupos de países con características comunes, se aplicó Análisis Factorial Dinámico. De hecho, la idea de realizar pronósticos multivariados con series de tiempo para la fecundidad no es reciente y una de las primeras aportaciones es la de Bell et al. (1988), donde se pronostica la tasa específica de fecundidad para un sector de la población femenina de Estados Unidos.
Por otra parte, Keilman y Quang (2000), utilizan modelos multivariados de series de tiempo combinados con curvas gama para predecir intervalos de confianza para tasas específicas de fecundidad, donde entre otras cosas se evidencia la compatibilidad de sus pronósticos con aquellos generados de manera oficial. Asimismo, entre varios trabajos, se han propuesto y estimado modelos multivariados de series de tiempo más sofisticados con otras variables tanto demográficas como económicas para pronosticar la fecundidad (Carter y Lee, 1986; Hagnell,1991), explorar e identificar relaciones a largo plazo (Herzer et al., 2010), así como para analizar la causalidad (Salamaliki et al., 2013). Con la evidencia de los trabajos referidos, resulta indiscutible que los modelos de series de tiempo no son de uso exclusivo en el campo de la economía.
Descripción de los nacimientos en México
Los datos que se tomaron para el análisis, así como para el ajuste del modelo de series de tiempo multivariadas, son los nacimientos registrados de niños nacidos vivos por edad de la madre, con periodicidad mensual comprendidos entre los años 1992 a 2010. Se considera que estos datos representan una aproximación del total de los nacimientos ocurridos en México en cada año de dicho periodo. De acuerdo con la Gráfica 1, sin distinción por edad de la madre, se observa que en 2010 se ha llegado casi al mismo nivel de nacimientos que se tenía en 1992.
Se observa que los datos no siguen la misma tendencia entre los años de 1992 a 2000. Es en este último año que comienza a disminuir el número de nacimientos en México,y no es sino hasta 2006, y es a partir de ahí cuando comienzan a presentar un patrón ascendente. Justo entre 2006 y 2007 se tiene la mayor diferencia de nacimientos entre un año y otro de más de 100 mil nacimientos totales. Si se consideran la edad de las madres mexicanas por grupos de edad, se obtiene la Gráfica 2.
En la Gráfica 2 se observan las ocho series con niveles claramente diferenciados, donde la que tiene mayor nivel es la de los nacimientos de madres entre 20 y 24 años de edad; le sigue la serie de madres de entre 25 y 29 años; posteriormente la de madres de entre 15 y 19 años y las de 30 a 34 años. Entre 10 mil y 20 mil nacimientos están los que corresponden a las madres de 35 a 39 años; por último, las series de nacimientos de madres que están entre las edades 40 a 45 años, 45 a 49 y las menores de 15 años.
El análisis de las series de tiempo se realiza de distintas maneras, según Guerrero (2003), el considerado como clásico es el conocido como el de descomposición de series, el cual presupone que la serie de tiempo está formada por un componente de tendencia-ciclo, que representa el movimiento de largo plazo de la serie. Otro componente es la estacionalidad, cuya utilidad es la de representar los efectos producidos por fenómenos que se repiten cada año con cierta constancia, y otro más es el de la irregularidad, que sirve para caracterizar los movimientos fortuitos que se consideran aleatorios. Bajo este esquema se analizarán de manera general cada una de las series de nacimientos según edad de la madre. Para ello se realizará la descomposición de las series, en lo referente a estacionalidad y tendencias (ciclos) a lo largo del periodo de estudio. Para este propósito se utilizó el software R.


Descomposición de las series de nacimientos
En la descomposición de la serie de los nacimientos registrados en madres menores de 15 años, se observa que los efectos estacionales están dados por un incremento en los primeros meses de cada año, mientras que en los últimos meses tienen una disminución. El patrón se repite a lo largo de todos los años; asimismo, el patrón estacional es más alto a partir del año 2005 y hasta el 2010. Por otro lado, se observa que los datos siguen una tendencia ascendente a lo largo de todo el periodo (a partir del año 2003 comienza con una velocidad de ascenso mayor que los años anteriores hasta llegar al año 2010). Por su parte, el número de nacimientos en madres de 15 a 19 años muestra que el patrón estacional está dado por un incremento del número de nacimientos registrados en la primera mitad del año. A partir de 2006 comienza una tendencia creciente de los datos; para el periodo 1992 a 2006 se observan con oscilaciones diversas.
Se tiene un patrón estacional en la serie de nacimientos en madres de 20 a 24 años de edad: la disminución de los nacimientos registrados en la segunda mitad del año no es tan marcada como en las series anteriores. Los datos cuentan con una tendencia descendente, en la que a partir del año 2006, comienza a incrementarse el número de nacimientos hasta diciembre de 2010. Para la serie de nacimientos en madres de 25 a 29 años de edad, hay tres momentos de tendencia: de 1992 a 2000 creciente, de 2000 a 2006 decreciente y a partir de 2006 a 2010 creciente. En cuanto al patrón estacional, la disminución de los registros a mitad del año se marca de manera significativa, mientras que el incremento de los registros en la primera mitad del año es igual al de la segunda mitad; esto ocurre en todos los años del periodo en cuestión.
La tendencia del número de nacimientos en madres de 30 a 34 años de edad, es creciente a lo largo de todo el periodo, con algunos sobresaltos en los años 2000 y 2007. En cuanto al patrón estacional, se presenta la disminución del número de nacimientos registrados a mitad de cada año y es a mitad del año donde se presenta el menor número de nacimientos. Es importante notar que el número de nacimientos en este grupo de edad va en constante crecimiento; es en las mujeres de estas edades y en las de 15 a 19 años donde el crecimiento se está presentando de manera más acelerada (Gráfica 3).

En relación a la serie de madres de 35 a 39 años, se podría pensar en la presencia de un componente de ciclo debido al comportamiento de la serie entre los años 1992 a 2002; pero fue a partir de este último año donde se rompió ese ciclo convirtiéndose en una tendencia creciente hasta el año 2010. El patrón estacional está marcado por un crecimiento de los datos en los meses de enero y marzo principalmente, y una disminución entre los meses de junio y julio.
En madres de 40 a 44 años, el patrón estacional está marcado por la disminución del número de nacimientos a mitad del año. La tendencia descendente es contundente en los primeros años del periodo, a partir del año 2000 es donde los nacimientos comienzan a ser estables. De la última serie, mujeres de 45 a 49 años de edad, se tiene una tendencia decreciente a lo largo del periodo, la disminución del número de nacimientos registrados es marcada en todo el periodo 1992 a 2010. También el notorio patrón estacional distinto al de las otras siete series, el cual está acentuado por la drástica disminución de los registros a mitad del año.
Metodología
En notación matricial, el modelo VAR(p) se puede escribir como sigue:

En particular un modelo VAR(1) viene dado por:

donde

Para estimar los coeficientes del modelo VAR(p), Lütkepohl (2005) así como Zivot y Wang (2006), proponen lo siguiente: supongamos que una serie de tiempo y1 ,…, yT de las variables y están disponibles, es decir, se tiene una muestra de tamaño T para cada K-variables del mismo periodo de la misma muestra. Además, se asume disponible una submuestra p de valores para cada variable, y-p + 1 ,…, y0. Particionar una serie múltiple en valores de muestra y submuestra es conveniente con el fin de simplificar la notación. Sean

La notación vec(•) es el operador vector columna, para t = 1, …, T, el modelo VAR(p) (Ecuación [2]) puede escribirse de forma compacta como:

Se puede escribir de la forma vec(Y) = vec(BZ) + vec(U) = (Z' ⊗ Ik) vec(B) + vec(U) o también de la forma y = (Z' ⊗ Ik)β + u
⊗ es el operador del Producto de Kronecker. Nótese que la matriz de covarianza de u es

Por lo tanto, la estimación por mínimos cuadrados (o estimación de mínimos cuadrados generalizados) de β significa escoger el estimador que minimice

por medio de operaciones matriciales se llega a

Con el fin de encontrar el mínimo de esta función, notamos que

Minimizando
se llega a que el estimador por mínimos cuadrados es:

Y se puede escribir de distintas maneras como

O también

Por tanto

Una vez estimado y diagnosticado el modelo VAR, el pronóstico es el siguiente objetivo. El pronóstico de un modelo VAR(p) guarda una estrecha semejanza con el pronóstico de un modelo univariado AR. Consideremos primero el problema de pronosticar valores futuros de ytcuando los parámetros del modelo VAR(p) son conocidos y no hay términos deterministas o variables exógenas. Cabe mencionar que se puede demostrar que el mejor predictor lineal, en términos del error cuadrático medio mínimo (MSE), de yt + 1 o pronóstico para el primer paso, basado en la información disponible en el tiempo T es

Luego, los pronósticos para un horizonte pueden obtenerse usando

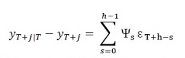
donde yT +j|T = yT + j para j ≤ 0. Asimismo el error de pronóstico puede ser expresado como

donde las matrices Ψs están determinadas por sustitución recursiva de esta manera:

Con Ψ0 = In y Ai = 0 para j ˃ p. Los pronósticos son insesgados ya que todos los errores de pronóstico tienen valor esperado cero y la matriz MSE para [9] es

Ahora hay que considerar el pronóstico yT + h cuando los parámetros del modelo VAR(p) son estimados usando mínimos cuadrados. El mejor predictor lineal de yT + h es ahora

donde son las matrices de los parámetros estimados. Entonces el error de pronóstico viene dado por

Y el término

captura la parte del error de pronóstico, debido a la estimación de los parámetros del VAR. La matriz MSE de los pronósticos es entonces

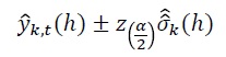
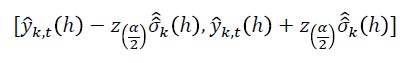
Suponiendo que yt es Gaussiano, un intervalo aproximado al (1 - α)100% de confianza para h periodos de pronóstico adelante, para el k-ésimo componente yk,t de yt es

O en forma de intervalo

donde zα es el valor de la distribución normal estándar con una probabilidad de α y
es la raíz cuadrada del k-ésimo elemento de la diagonal de la matriz
Aplicación
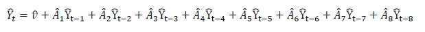
A partir de las series de nacimiento por grupos de edad de la madre, con datos mensuales de 1992 a 2010, se obtuvo que un modelo adecuado para representarlas conjuntamente, a saber un modelo VAR estacionario con ocho retrasos, es decir un VAR(8), donde se utilizó el criterio de Likelihood Radio (LR) para determinar su longitud (se realizó el ajuste en EViews versión 8.0). Entonces, Yt el vector de las series de nacimientos, se estimó con la siguiente estructura

donde los coeficientes estimados, estadísticamente significativos con un α = 5%, fueron los siguientes (se ponen con un guión medio, -, los que no son significativos),

Asimismo los estadísticos R2 —para cada una de las series fueron 0.871676, 0.744627, 0.735070, 0.675828, 0.732665, 0.778139, 0.740020 y 0.943362. Los residuales del modelo estimado resultaron ser ruido blanco con α = 5%. Este modelo sirvió para estimar el pronóstico de cada una de las series, cuya gráfica y su respectivo pronóstico se presentan en la Gráfica 4.
El pronóstico de las ocho series conserva el mismo patrón de tendencia identificado en cada serie; las series que tenían una tendencia ascendente a partir del año 2005, a partir del año 2011, y hasta el año 2020, muestran una tendencia ligeramente más pronunciada.
Coeficientes del modelo



Los patrones estacionales se mantienen levemente en los primeros años de pronóstico hasta diluirse conforme se avanza en el horizonte de pronóstico. Cabe enfatizar que se buscó solo un pronóstico puntual con su respectivo intervalo de predicción, como se presenta en las gráficas 5a, 5b, 5c,5d para cada una de las series.
Se observa en general que se preservan las tendencias observadas, así como los efectos estacionales en el corto plazo para todas las series. Debe notarse que la suma de los respectivos pronósticos puntuales proporcionará el total de nacimientos esperados en México para el horizonte previsto. Asimismo se cuenta con los correspondientes intervalos de predicción, los cuales permiten tener umbrales ascendentes y/o descendentes para cada grupo de edad de las futuras madres mexicanas.
Precisión de los pronósticos elaborados
En general, al margen de la metodología empleada, se puede afirmar que una forma de valorar qué tan apropiada es la capacidad predictiva de un modelo, es contrastar los valores observados contra los valores pronosticados. En una situación “ideal” se esperaría que el pronóstico puntual sea exactamente el nuevo valor observado que se pretende pronosticar. Sin embargo, en la práctica resulta muy valioso que el valor observado esté contenido en el intervalo de predicción con un nivel de confianza dado. A continuación se discute ello en cada una de las series (Gráficas 6a y 6b).
La precisión de los valores pronosticados por medio del modelo VAR(8) en la serie de nacimientos en madres menores de 15 años, es tal que, en todos los meses de los años 2011 y 2012 según datos de INEGI, los valores están dentro de los intervalos de pronóstico calculados con dicho modelo; también puede observarse que hubo casos en los que el pronóstico tuvo diferencias de menos de 50 nacimientos, incluso hubo meses en los cuales, apenas la diferencia entre los datos observados respecto a los pronosticados fue de 1 a 50 nacimientos.
En la serie de 15 a 19 años, se tiene una mejor precisión de los valores pronosticados; la diferencia de éstos respecto a los observados oscila en menos de diez por ciento en la mayor parte de los datos; se tiene apenas tres valores (junio, julio y diciembre de 2012) donde se tiene una diferencia de más de diez por ciento. Estas diferencias significan, en valores absolutos, alrededor de mil a tres mil nacimientos, valor relativamente bajo respecto a 30 mil nacimientos que se tienen en madres de entre 15 y 19 años; es importante citar que el comportamiento de los valores pronosticados y los valores observados entre enero de 2011 y diciembre de 2012 es el mismo.






Los nacimientos en madres de entre 20 y 24 años es la serie que tiene los valores más altos respecto a las siete series restantes, por ello, es importante notar que las diferencias entre los valores observados entre 2011 y 2012, son mínimas. Por citar algunas cifras: en febrero de 2011 se tuvieron 49 339 nacimientos según datos de INEGI, contra 49 586 nacimientos pronosticados por el modelo VAR(8), diferencia de apenas 247 nacimientos; en abril de 2011 INEGI reportó 52 251 y el modelo arrojó 52 240, solamente 11 nacimientos de diferencia; en junio de 2011, hubo 49 730 nacimientos, mientras que el modelo predijo 48 918; en noviembre de 2011, hubo una diferencia de 930 nacimientos, resultado de 52 414 registrados y 51 484 por el pronóstico; en septiembre de 2012 se tuvo 50 670 nacimientos registrados y 49 942 pronosticados por el modelo VAR(8). Sumado a lo anterior, en esta serie, ningún valor observado excede de los límites de los intervalos de pronóstico, así como, el comportamiento de los valores pronosticados sigue el mismo que el observado.
En la serie de 25 a 29 años, el rango de las diferencias que existen entre los nacimientos pronosticados y los observados en el periodo mensual de 2011 a 2012, está entre 89 y 7 760, a partir de ese dato, se puede dar cuenta de que la precisión del pronóstico en esta serie es totalmente aceptable, incluso hubo meses donde estas diferencias son imperceptibles, tomando en cuenta que el comportamiento de las dos series, pronosticada y observada (2011-2012) es el mismo, es decir, el modelo VAR(8) estimó la variabilidad que existe en cada serie. Es importante tener en cuenta que la precisión fue tal, que en solo un valor (diciembre de 2012) de la serie observada rebasa el límite inferior del intervalo de pronóstico.
En la Gráfica 6b, que contiene a la serie de nacimientos pronosticados y observados en madres de entre 30 y 34 años, se observa el buen ajuste logrado a partir del modelo. Las diferencias no son realmente altas en 13 de los 24 meses en los que se puede comparar, estas diferencias son de menos de un mil nacimientos, teniendo meses como abril y mayo de 2012 con 52 y 55 nacimientos de diferencia respectivamente, asimismo, en el mes de noviembre de 2012, se tuvieron 43 176 nacimientos registrados por INEGI, mientras que el pronóstico arrojó 44 126, una diferencia de apenas 19 nacimientos.
En la misma Gráfica 6b, nacimientos en madres de entre 35 y 39 años, es claro cómo los valores pronosticados siguen el mismo patrón de comportamiento que los observados en los dos años en cuestión (2011-2012), las diferencias no resultan tan grandes respecto una de la otra serie. También es importante observar que dos valores (junio y diciembre de 2012) cayeron fuera del límite inferior del intervalo de pronóstico. Por su parte, el número de nacimientos pronosticados en madres de entre 40 y 44 años conservó el mismo comportamiento que el de los nacimientos observados entre 2011 y 2012. La mayor diferencia entre estas dos series, fue en el dato de octubre de 2012, con 472 nacimientos, esto es, inegi reportó 3 638 y el valor pronosticado fue de 3 166; asimismo, la diferencia más baja se presentó en mayo 2011 y febrero 2012, con apenas 12 y 7 nacimientos de diferencia respectivamente. Por último, la serie pronosticada de nacimientos en madres de 45 a 49 años presenta el mismo comportamiento que la observada, es decir, el modelo ajustó de forma casi perfecta.
Es importante señalar que los niveles de fecundidad en las mujeres menores de 19 años sugieren, como Welti (2005) menciona, que entre las jóvenes es más frecuente llegar a una relación coital desprotegida respecto a los adultos, lo que incrementa la probabilidad de un embarazo. Este inicio temprano de la actividad sexual tiene efectos en la vida de una persona, ya que condiciona las actividades como la asistencia escolar, la participación en la actividad económica o el uso del tiempo (Welti, 2005). Dadas las condiciones actuales sobre el embarazo adolescente, resultaría interesante realizar el estudio tanto en el contexto rural como en el urbano. Por otra parte, en el rango de edades de 30 a 39 años, se prevé un incremento, lo cual se podría traducir como un reto en el sistema de salud mexicano, por los riesgos médicos que ellos implican.
En general, después de presentar los pronósticos para cada una de las series, es inobjetable la precisión alcanzada de los resultados para todos los grupos de edades considerados. Así pues queda claro que las tasas específicas de fecundidad pueden ser proyectadas con respecto al pasado considerando su tendencia. Sin embargo, es importante reconocer algunas limitaciones del método. Por un lado, se requiere una cantidad considerable de datos para la estimación del modelo, por lo que en contextos donde no se tenga suficiente información, no será posible estimar modelos VAR. Asimismo, detrás de este tipo de modelos se tienen dos supuestos fundamentales más allá de los estadísticos de validación: linealidad en el comportamiento de los datos y estabilidad en las condiciones futuras (se asume que la estabilidad del sistema, derivada del comportamiento pasado, prevalecerá para el futuro), por lo que se debe circunscribir los resultados en este contexto. Cabe notar que podría no ser sencillo encontrar modelos válidos en todos los casos pues se requiere, con base en nuestra experiencia, además de técnica, intuición y conocimiento de las variables objeto de estudio.
De la manera que fue estimado el modelo, se dejan de lado los efectos estacionales, es decir sólo se está tomando en cuenta la tendencia de las series. A pesar de que se tiene buena precisión en los resultados con el modelo VAR estimado, nada garantiza que se tengan en todos los casos, es decir en todas y cada una de las series analizadas, resultados más precisos con modelos más simples, como lo pueden ser a través de la aplicación de modelos de suavizamiento o bien modelos ARIMA. Sin embargo ambas alternativas, no consideran la dependencia temporal de las series en el tiempo y en ese sentido son rebasadas por la propuesta aquí utilizada.
Conclusiones
El modelo estimado de series de tiempo multivariado fue útil para elaborar pronósticos simultáneamente de las series en estudio. Con los pronósticos multivariados realizados con un horizonte de diez años de forma mensual, se aprecia la alta capacidad predictiva del modelo con base en su comparación con los resultados obtenidos según los datos oficiales. Dicha bondad coincide con lo encontrado en estudios previos que utilizan la perspectiva de series de tiempo. Independientemente de la tendencia presente o ausente en cada una de las series, es factible el realizar los pronósticos, y más aún, sería factible realizar análisis del tipo impulso-respuesta; o sea, cómo se comporta el sistema de las series de nacimientos, si se perturba alguna de las series dentro del conjunto, si es o no significativo, y en qué horizonte se diluirá dicha respuesta.
Se considera que con este tipo de metodologías se pueden tomar decisiones informadas y enriquecer los métodos demográficos para el planteamiento de escenarios poblacionales. Es decir, por ejemplo con el método de las Componentes, para el planteamiento de escenarios de la fecundidad, resultan de manera natural tres posibilidades, los cuales se pueden establecer en función de las estimaciones realizadas: nivel bajo de fecundidad (límite inferior del intervalo de pronóstico), nivel medio de fecundidad (pronóstico puntual) y nivel alto de fecundidad (límite superior del intervalo de pronóstico). Con esta estrategia es posible entonces asociar un nivel de certidumbre a las estimaciones de manera objetiva, lo cual enriquecerá u orientará el trabajo del analista.
Los intervalos de predicción hacen que el presente trabajo tenga un potencial significativo en la planeación de diversos programas sociales vinculados con temas de población en general. De hecho, es factible ir más allá, por ejemplo, si se prevén objetivos futuros por satisfacer en cada una de las series, se pueden realizar pruebas de compatibilidad estadística (entre la dinámica de las series y un objetivo por alcanzar) y, dada la viabilidad, posteriormente estimar pronósticos restringidos multivariados, o bien, proponer objetivos que sí sean alcanzables con base en las respectivas dinámicas de las series.
Con la metodología utilizada en este artículo, se pretende presentar una alternativa distinta y complementaria para la elaboración de pronósticos de la fecundidad en México. Estadísticamente es una metodología robusta y aplicable en otras variables que inciden directamente en la estructura de la población; demográficamente muestra una alternativa eficaz para hacer proyecciones con un grado de certidumbre asociado, más allá de subjetividades. A partir de lo anterior, se pueden indagar nuevas aplicaciones en el campo de la investigación demográfica para posibles escenarios en materia de proyecciones con ésta u otras variables demográficas.
Bibliografía
ARRIAGA, E., 1989, "Comentarios sobre algunas predicciones de la fecundidad mexicana", en B. FIGUEROA, La fecundidad en México. Cambios y perspectivas, El Colegio de México, México.
BELL, W., J. LONG, R. MILLER y P. THOMPSON, 1988, Multivariatetime series projections of parameterized age-specific rates, Bureau of the census, Statistical research division report series.
BENÍTEZ, R. y G. CABRERA, 1966, Proyecciones de la población de México, 1960-1980, Banco de México, México.
BENÍTEZ, R. y R. JIMÉNEZ, 1978, Proyecciones de la población mexicana 1970-2000 (nivel nacional). Evaluación y análisis, Coordinación General del Sistema Nacional de Información, México.
CAMPOSORTEGA, S., 1980, Proyecciones de la población mexicana 1970-1980, Tesis, El Colegio de México, México.
CAMPOSORTEGA, S., 1989, "Las proyecciones de la fecundidad en México", en B. FIGUEROA, La fecundidad en México. Cambios y perspectivas, El Colegio de México, México.
CARTER, L. y R. LEE, 1986, "Joint forecasts of U.S. marital fertility, nuptiality, births, and marriages using time series models", en Journal of the American Statistical Association, vol. 81, núm. 396.
CONAPO, 2002, La situación demográfica de México, Consejo Nacional de Población, México.
ECHARRI, C., 2008, "Evolución reciente de la fecundidad: el largo camino hasta el remplazo", en B. FIGUEROA, El dato en cuestión: un análisis de las cifras sociodemográficas, El Colegio de México, México.
FIGUEROA, B., 1989, La fecundidad en México. Cambios y perspectivas, El Colegio de México, México.
FIGUEROA, B., 2006, "Estimaciones de los nacimientos ocurridos en la década de los noventa en México", en J. LEZAMA y J. MORELOS, Población, ciudad y medio ambiente en el México contemporáneo, El Colegio de México, México.
FREJKA, T., 1974, "El futuro del crecimiento demográfico: alternativas hacia el equilibrio", en Asociación Latinoamericana para el Estudio de la Población, 20.
GALINDO, C. y M. ORDORICA, 2007, "Estimación de nacimientos ocurridos y registrados, México 1950-2000", en Papeles de población (54), Toluca.
GARCÍA, V., 2010, Proyecciones y políticas de población en México. Revisión crítica y propuesta metodológica, Centro de Estudios Demográficos, Urbanos y Ambientales (Tesis doctoral), El Colegio de México, México.
GUERRERO, V., 2003, Análisis estadístico de Series de Tiempo Económicas, Thomson, México.
HERZER, D., H. STRULIK y S. VOLLMER, 2010, The long-run determinants of fertility: one century of demographic change 1900-1999, Working Paper Series, Program on the global demography of aging, Harvard University.
HAGNELL, M., 1991, "A multivariate time series analysis of fertility, adult mortality, nuptiality, and real wages in Sweeden 1751-1850: a comparison of two different approaches", in Journalof Official Statistics, 7 (4).
HICKS, W., 1980, "Los efectos del cambio de algunas variables económicas, sociales y demográficas sobre el crecimiento de la población en México", en Ensayos,1.
INEGI, s/f, Estadísticas vitales de nacimientos varios años, México.
KEILMAN, N. y D. QUANG, 2000, "Predictive intervals for age-specific fertility", en EuropeanJournal of Population, 16.
LEE, R. y L. CARTER, 1992, "Modeling and forecasting U.S Mortality", en Journal of the American Statistical Association , 87 (419).
LÜTKEPOHL, H., 2005, New introduction to multiple time series analysis, Springer, Berlin.
MCDONALD, J., 1984, "The emergence of countercyclical US fertility: a reassessment of the evidence", en Journalof Macroeconomics, 5.
MIER y TERÁN, M., 1989, "La fecundidad en México: 1940 -1980. Estimaciones derivadas de la información del Registro Civil y de los censos", en B. FIGUEROA (comp), La fecundidad en México. Cambios y perspectivas, El Colegio de México, México.
MILLER, R., 1986, "A bivariate model for total fertility rate and mean age of childbearing", en Insurance: Mathematics and Economics, 5.
NÚÑEZ, L., 1989, "Revisión de los estudios sobre la estimación de la fecundidad en México a partir de encuestas retrospectivas", en B. FIGUEROA (comp), La fecundidad en México. Cambios y perspectiva, El Colegio de México, México.
ORTEGA, J. y P. PONCELA, 2005, "Joint forecasts of southern European fertility rates with nonstationary dynamic factor models", en International Journal of Forecasting, 21(3).
PARTIDA, V., 2008, Proyecciones de la población de México, de las entidades federativas, de los municipios, y de las localidades, 2005-2050,Documento Metodológico. Consejo Nacional de Población, Consejo Nacional de Población, México.
ROMO, R., y M. SÁNCHEZ, 2009, "El descenso de la fecundidad en México, 1974-2009: a 35 años de la puesta en marcha de la nueva política de población", en CONAPO, Situación Demográfica de México, Consejo Nacional de Población, México.
ROSALES, G., 1979, Proyección de la fecundidad en base a la fecundidad prevista para cohortes con experiencia incompleta, Centro Latinoamericano de Demografía, Santiago.
SALAMALIKI, P., I. VENETIS y N. GIANNAKOPOULOS, 2013, "The causal relationship between female labor supply and fertility in the USA: updated evidence via a time series multi-horizon approach", en Journalof Population Economics, 26.
SHITAN, M. y Y. LERD, 2015, "Forecasting the total fertility rate in Malaysia", en PakistanJournal of Statistics, 31(2).
TUIRÁN, R., V. PARTIDA, O. MOJARRO E. y ZÚÑIGA, 2002, "Tendencias y perspectivas de la fecundidad", en CONAPO, Situación Demográfica de México, Consejo Nacional de Población.
UN, 2002, Completing the fertility transition. Department of economic an social affairs, United Nations, New York.
WELTI-CHANES, C., 2005, "Inicio de la vida sexual y reproductiva", en Papeles de Población, 11(45), Toluca.
WELTI-CHANES, C., 2012, "Análisis de la fecundidad en México con los datos del Censo de Población y Vivienda 2010", en Papeles de Población, 18(73), Toluca.
ZIVOT, E. y J. WANG, 2006, Modelling financial time series with S-Plus, Springer, New York.
Notas de autor