The impact of regional remittances on economic growth in Mexico: a dynamic space-time panel approach
El impacto de las remesas regionales en el crecimiento económico en México: un enfoque dinámico de panel de espacio-tiempo
The impact of regional remittances on economic growth in Mexico: a dynamic space-time panel approach
Papeles de Población, vol. 25, no. 101, pp. 113-144, 2019
Universidad Autónoma del Estado de México

Received: 04 September 2017
Accepted: 03 June 2019
Abstract: The international economic literature indicates that remittances represent a determinant for macroeconomic stability as well as a source of financial resources, in particular for developing economics. The empirical evidence regarding the impact of remittances on economic growth is inconclusive. The objective of this paper is to show the short and long term effects of remittances on economic growth. A spatial dynamic space-time panel model was implemented to estimate the direct effects of remittances and the presence of interregional diffusion effects. The results suggest that remittances have had a positive effect on economic growth of the receiving states, with important effects on neighboring states. In addition, private credit had positive effects when interregional economic networks are present.
Keywords: Regional remittances, regional economic growth, space panel econometrics, Mexico. Resumen.
Resumen: En la literatura económica internacional se ha establecido que las remesas constituyen un factor de estabilidad macroeconómica y una fuente complementaria de financiamiento, particularmente importante en países en desarrollo. La evidencia empírica respecto a su impacto en el crecimiento económico aún es inconclusa. El objetivo de este artículo es investigar el impacto de corto y largo plazo de las remesas en el crecimiento económico regional. Se implementa un modelo de panel dinámico espacio-temporal para estimar los efectos directos y la presencia de efectos de difusión interregional. Los resultados sugieren que las remesas influyen positivamente en el progreso regional de los estados receptores, con efectos signficativos en los estados colindantes. Por su parte, el crédito privado tendría efectos positivos que reflejan la presencia de redes económicas interregionales.
Palabras clave: Remesas regionales, crecimiento económico regional, econometría de panel espacial, México, Remesas regionales, crecimiento económico regional, econometría de panel espacial, México.
Introduction
The effect of remittances on the macroeconomic performance of receiving economies is considered relevant in the studies of the determinants of economic growth, because the large amount of financial resources that they represent. From the economic theory perspective, the impact of remittances does not have to be uniform for each country, because it depends on the characteristics of each economy. For developing economies, remittances have become one of the most important external resources, bringing foreign exchange that can be used as a complement of national savings, and it can support capital formation. It also allows supplementary financial funds for migrant households in the receiving country that can also be used for consumption or investment. However, at the macroeconomic level, the empirical research has generated mixed results. In general, as in the Mexican case, the possibility that remittances can increase economic activity is related to the expanding income of households. Additionally, different studies have shown that remittances can have an impact on total economic activity for both the short and long term (Chami et al., 2008).
Particularly, remittances can affect inflation, exchange rates, labor supply, and foreign exchange. Also, the inflow of remittances can offset the lack of income from exports and, therefore, can become an important financial resource. They can also turn into an instrument for establishing investment programs to promote economic development at the regional and local level. Therefore, remittances can play an important role by increasing income levels in recipient economies. However, the degree of impact of remittances on economic growth is still disputed, and the empirical research has produced mixed results (Lucas, 2004). The possibility of a positive impact of remittances on growth is related to the multiplying effect of investment and the investment structure of the receiving countries.
Since the Mexican economy is one of the countries that receives a large amount of remittances, it is important to estimate and analyze the impact of those resources on the regional macroeconomic performance and long term economic growth of that economy. From that perspective, the present paper investigates the effect of regional remittances on the regional economic growth of Mexico. In order to estimate the short and long term direct and indirect effects of remittances on the economic growth of Mexico, a dynamic space-time panel data model was established. The model provides tools to extend the analysis of the impact of remittances not only in a particular receiving state or region, but also offers information on the spillover on the economic activity of neighboring states.
The methodology estimates the impact of remittances based on spatial lags capturing time and spatial dependence respectively, which provides spatial and time diffusion effects. By using the dynamic space-time panel modeling methodology, it is possible to extend the analysis of the impact of a change in remittances in a specific state by including the effect of receiving remittances on the state and on its neighboring states economic activity. It also traces states the future responses of particular states and neighboring states. The application of this methodology allows the addition of regional dimension to the analysis of the impact of remittances on economic growth.
The paper is structured as follows: section two presents the patterns of remittances and economic activity in Mexico; section three discusses the main theoretical contributions for explaining the impact of remittances on economic growth and presents an overview of the empirical methodologies for the analysis of the impact of remittances on growth; the methodological contributions of the research are explained in section four; section five presents the results of the estimations and finally section six presents the conclusions of the paper.
Remittances and economic growth trends in Mexico
After the liberalization policies were impemented in Mexico, its economy has expanded at a rather slow rate of growth. After a moderate average GDP growth from 1995 to 2007, the recession of 2007-2009 negatively impacted the economic activity of Mexico. The factors that influenced the slowing are related to the synchronization of the Mexican manufacturing sector to the United States economy. Macroeconomic contra-cyclical policies such as monetary actions and the recovery of the US economy generated a moderate recovery of GDP growth since 2010 (Kehoe and Meza, 2013).
Within this context, remittances have become an important source of foreign exchange and financial resources for the Mexican economy. According to Mendoza (2012), remittances represented 2.4 per cent of the Mexican GDP and 93.8 per cent of total foreign direct investment in 2008. The trend followed by remittances, presented in Figure 1, indicates that between 2003 and 2015, those financial flows exhibited an upward trend until 2008, and were stagnant from that year until 2013. However, since 2013 the flow of remittances has been increasing, from 22,302.8 million dollars to 24,784.8 million dollars in 2015. It is worth mentioning that the amount of remittances reached in 2015 has not yet caught up with the volume received in 2007, which was of 26,058.8 million dollars.

Between 2003 and 2014 the annual average rate of growth of remittances was 5.5 per cent while the quarterly index of economic activity by states (QIEAS)1, only exhibited and average annual rate of growth of 3.1 per cent (Table 1). Therefore, measuring at the state level, average remittances increased faster than the economic activity, suggesting that those financial resources could represent a source of economic growth for the Mexican economy. Additionally, domestic credit has had an important expansion, growing at an average rate of 17.8 per cent, revealing the importance of the regional financial structure of the Mexican economy in funding the economic activity of the country. Finally, during the period, foreign direct investment showed a decreasing trend, with an average negative rate of growth of -1.9 per cent. Therefore, the data suggests that during the period FDI did not play an evident positive role on the economic growth of the Mexican economy.

It is worth mentioning that the faster average growth rates were concentrated in the Northern Border states of Mexico, and also the southern states of Yucatan and Chiapas. Those states also experienced rapid growth of remittances and domestic credit (with the exception of Chihuahua), and also positive average rate of growth of foreign direct investment, with the exception of Yucatan and Tamaulipas. Therefore, the regional economic activity of Mexico seems to be related to the faster growth of the Northern Border states which received remittances, domestic credit and also FDI related to the maquiladora industry. A fitted line of remittances and QIEAS shows a positive trend that suggests that remittances at the state level could have a positive impact on economic growth (Figure 2). Nevertheless, further evidence should be considered to explore the effects that regional remittances can have on Mexican economic growth.

Theoretical Approaches and empirical literature
From the economic point of view, remittances can be considered a transfer of ownership from migrants to migrants’ households in the receiving country. Therefore, by nature, remittances cannot be considered capital flows. However, the magnitude of those financial resources and their potential effect on the economy of receiving countries has generated an academic and public policy interest for analyzing the impact of those macroeconomic variables on the receiving economy performance (Chami et al., 2008).
Remittances could become potentially instrumental for increasing economic activities of the receiving country by impacting savings, investment and consumption. Therefore, positive effects of the expansion of remittances on growth are expected. Particularly, in the short-run, remittances can have direct positive impacts on consumption and, as a result, on the increase of aggregate demand (Solimano, 2003). Additionally, the increasing presence of remittances is becoming an important source of foreign exchange, helping to reduce the burden of the current account deficits in receiving economies. Since remittances are a less volatile flow of financial resources, they have the potential to be used as a source of capital formation.
In the short run, the effect of remittances has to do with trade and relative prices. In the long term the effect is related to the dissemination of remittances between consumption and investment and to whether or not those financial resources are financing productive investments. An increase in remittances could increase their use for investment purposes and the expected results could be positive for the economic growth of the receiving economy.
The initial approaches to analysis of the impact of remittances on the long-run economic growth of the sending migrant countries derived from their use for consumption and housing (Rempel and Lodbell, 1978). Additionally, during the decade of the nineties Stark (1991) underlined the use of remittance for investments and to support co-insurance. Further discussions have focused on the role of remittances in reducing liquidity constraints and encouraging education and human capital (Taylor and Wyatt, 1996).
Due to the diversity of impacts on the receiving households, the magnitude of the macroeconomic impact of remittances is considered to be directly related to the economic conditions of receiving economies, the share of remittances within the population segments of the income distribution and the consumption and the investment allocation of remittances in the receiving country (Rapoport and Docquier, 2005).
Furthermore, the degree of the impact of remittances on economic growth is also related to the development of financial institutions that allow the use of those financial resources for investment activities and capital formation. Mundaca (2009) developed a theoretical model to take into consideration the role of financial intermediaries in the availability of lending to investors. The model consists of a three-period overlapping generations where agents have access to financial resources for investment. The use of resources for investment can yield consumption or returns depending of the level of liquidity of investments (liquid or oriented to capital formation). Based on the maximization of the consumer’s utility function and the entrepreneur’s and bank’s profit function, an equilibrium path for capital formation is established. The results showed that economic growth will be faster when remittances are larger than the capital stock per entrepreneur and when the economy is poorer. Therefore, from the theoretical point of view, remittances potentially could have positive impacts on economic growth, depending on the use of the financial flows and the degree of development of the financial system.
Empirical literature overview
The empirical evidence of previous studies of the impact of remittances on economic growth has shown diverse results. From the macroeconomic perspective, remittances are related to the magnitude of the effect of foreign exchange on the balance of payments and the allocation of these financial resources between consumption and investment, which have short and long term effects on economic growth and income distribution. Rempell and Lodbell (1978) and Stark (1978 and 1991) used a Keynesian approach that considered that the income multiplier captures the effect of remittances on effective demand in the short run. The results of these types of studies have shown that remittances provide an important positive effect on the GDP and the marginal propensity to import.
On the other hand, the long term effect of remittances on economic growth is related to the productivity of labor, human capital formation (Hanson and Woodruff, 2002) and entrepreneurial activity (Woodruff and Zenteno, 2001). Remittances are also associated with entrepreneurial skills and the level of income of the household members that receive remittances, which could limit the impact of remittances on human capital formation and consumption (Chami et al., 2008).
As mentioned before, the impact of remittances on growth also depends on the level of development of the financial markets of the receiving countries. Giuliano and Ruiz-Arranz (2009) developed an econometric model for 100 countries for the period 1975-2002, including measures of financial development such as the liquid liabilities divided by GDP (intermediation), currency deposits to GDP (savings), claims of private sector to GDP (consumption), and credit to GDP. OLS and GMM regressions were estimated and the results showed that remittances have become a substitute for underdeveloped financial markets and have contributed to reducing the effects of credit constraints thus encouraging investment in segments of the population.
Remittances can also negatively impact economic growth because they could cause an appreciation in the real exchange rate and that could jeopardize the expansion of the tradable sector, generating the so-called Dutch disease. Acosta, Lartey, and Mandelman (2007) estimated a general equilibrium model for a small open economy such as El Salvador. Using a Bayesian-VAR estimation, they found that the rise of remittances increases household incomes and, consequently, the consumption of non-tradable goods. Chami, Fullenkamp, and Jahjah (2005) estimated panel regressions for 83 countries to evaluate the impact of investment, inflation, net capital flows and remittances on GDP. The showed results positive effects of capital flows, but the variable remittances to GDP was not significant or negatively correlated.
It has been argued that the effects of remittances on economic growth are both positive and negative, and in some cases can offset each other (Rao and Hassan, 2011). As a consequence, remittances do not have important an impact on the long run economic growth; although, in the short and medium run, it is possible to find positive temporary effects, without affecting the rates of growth of the economy. Glytsos (2005), based on a Keynesian model, estimated the effect of remittances on economic growth. The econometric results of the two stages least squares model applied, did not exhibit a clear effect of remittances on economic growth. For some of the five economies analyzed remittances encouraged growth and for others, they exacerbated recessionary economic behavior.
Additional papers have included both the effect of financial market development and remittances as factors that increase the financial intermediation and reduce financial constraints, therefore promoting economic growth. Mundaca (2009) analyzed the impact of remittances on 25 Latin American economies classified in four groups for the period 1970-2002. By including variables expressing the degree of development of the financial system, such as domestic credit from banks and fixed capital formation per capita, the author estimated an empirical model based on a First-Difference Generalized Method of Moments (GMM) for panel data. The results of the estimations indicated that remittances have a positive effect on economic growth, particularly if they are oriented to capital investment through the banking system. Furthermore, if the magnitude of remittances is large when compared to the average capital stock, the impact of remittances on growth would be higher. Ramirez and Sharma (2009) undertook a unit root and panel cointegration tests and a Fully Modified Least Squares estimation to study the impact of remittances on the economic growth of a group of Latin American and Caribbean economies. The results showed that for upper and lower income countries, remittances had a positive and significant impact on per-capita GDP growth, suggesting that they can be used as a substitute for financial markets.
In addition to the link between remittances and the financial markets, some authors have stressed the importance of remittances and institutions (Catrinescu, Leon-Ledesma and Piracha, 2006). According to the authors, remittances could have positive effects on growth; however, they can also have negative impacts due to the possibility of generating the Dutch disease and because they can postpone the implementation of policies required for promoting economic growth and development in the receiving country.
Meyer D. and Shera A. (2017) indicated that remittances sometimes exceed the flows of foreign direct investment (FDI). In order to observe the impact of remittances on economic growth, the authors used a panel data model for six eastern European countries, where remittances are an important source of foreign exchange, during the period 1999-2013. The variables included in the model are the per capita GDP growth, workers remittances, gross fixed capital formation, consumption expenditure, trade and debt, all as a percentage of GDP. The results indicated that a higher level of remittances leads to a larger impact on economic growth.
Ramirez and Sharma H. (2008) used a panel unit root and panel co-integration tests with a fully modified ordinary least squares model (FMOLS) to estimate the impact of remittances and financial development on the economic growth for 23 Latin American economies divided into two groups of higher and lower income. The results showed that the remittances variable co-integrated with the variable of economic growth exhibited positive effects on economic growth for two groups of countries, particularly when financial development is present.
In addition, an empirical analysis of the impact of remittances on economic growth used time series econometric models (Tahir, Khan and Moshadi, 2015). The paper studied the economy of Pakistan for the period 1977-2013 and included the GDP as the dependent variable and remittances, foreign direct investment and imports as explanatory variables. The times series model used was an autoregressive distributed lag model (ARDL) which could be very useful for estimating models with variables with different orders of cointegration and also provides a long-run relationship among the variables. The results of the estimations exhibited a positive relationship between remittances and foreign direct investment and economic growth. The results cannot be generalized because Pakistan relies heavily on remittances and foreign direct investment.
In the case of Mexico, a number of investigations have focused on studying whether inflows of remittances exert significant effects on the economic performance of the receiving Mexican regions. For example, Mendoza and Calderón (2006) elaborated a non-liner regional growth model to analyze the impact of inflows of remittances on the economic growth rate of Mexican states. The authors found that in the early stages of Mexico’s trade openness policy, increasing inflows of remittances favored mainly the central and southern states, and that the empirical results showed inconclusive evidence as the estimated coefficients were negative and statistically non-significant.
Subsequently, Valdivia and Lozano (2010) developed an empirical analysis to investigate the effects of migrant remittances on regional economic growth, in this instance by explicitly accounting for spatial dependence among Mexican regions. While successfully modelling the spatial interaction, the authors found statistically non-significant effects and concluded that remittances may not act as a countercyclical force in low-income states. Additionally, recent studies have contributed to understand the mechanism behind the relationship between remittances and growth in Mexico under a Macroeconomic perspective; for example, by means of an error correction model Ramírez (2014) found a positive and significant effect, although small, of remittances on growth in Mexico.
It can be concluded that the empirical investigations regarding the effect of remittances on economic growth, although inconclusive, have presented results indicating the existence of positive effects of remittances on economic growth. Particularly, in economies with a somewhat developed financial system that can support the allocation of financial resources, remittances have shown a positive impact on growth. In the case of Mexico, the empirical literature has indicated the importance of explicitly accounting for spatial dependence, but as the reviewed international literature on remittances and growth suggests the importance of identifying short and long run effects, hence it is crucial to implement a methodology capable of accounting for this objective. Therefore, the analysis of remittances and the financial system at the regional level is relevant to further investigate possible effects of remittances on Mexican economic activity at the state level and the possible presence of interaction effects along both spatial and time dimensions.
Methodological aspects
We investigate the impact of regional inflow-remittances on state-level economic activity trough a dynamic space-time panel data model. In addition to the advantages that panel data models offer in terms more variation, less collinearity among explanatory variables and more degrees of freedom thus favoring improved efficiency (Elhorst, 2010), a dynamic space-time panel modeling approach allows studying the impact of a change in a specific state receiving remittances on its own and neighbors’ economic activity as well as tracing own and neighbors’ future responses both in the short and long run horizons. These impacts can be accounted due to the presence of both time and spatial lags capturing time and spatial dependence respectively, and a cross-product term that accounts for spatial and time diffusion effects (Debarsy, Ertur and LeSage, 2012).
We follow Parent and LeSage (2010) and Parent and Lesage (2012) who propose a framework to model space-time dependence based on space and time filters; in particular, the authors establish a dynamic space-time panel data model as in (1):
[1]Where yt represents the N-dimensional vector of the dependent variable, ø is the autoregressive-time-dependence parameter, ρ is the spatial lag parameter, θ captures the spatiotemporal diffusion process, and β is the K-sized vector of coefficients of the explanatory variables. W is the spatial weight matrix that models spatial interaction, and as in the panel data literature ιNα represents an NX1 vector of ones and α the associated parameter.
In addition, Parent and LeSage (2012) suggest modeling heterogeneity throughout random effects. Some authors propose to previously eliminate fixed effects to obtain consistent estimates (Lee, L. and Yu, J, 2010); however, Parent and LeSage (2012) assert that fixed effects elimination induce additional biases because it reduces the time dimension, particularly when T is small. In this regard, Hsiao (2003) observes that random effects provide more efficient estimates, thus grounding support for use of random effects. In this regard, μ is an NX1 vector of random effects normally distributed with zero mean and variance σ2μ, and εt is the normally distributed disturbance term with zero mean and σ2εIN. Both random effects and disturbances are assumed uncorrelated.
In modeling spatial and time dependence, Parent and LeSage (2011) propose applying a space-time filter as in (2):
[2]stands for the time filter and B = (IN - ρW) represents the spatial filter. The term ψ can be modeled (unconditional) or assumed as known (conditional). We follow Parent and LeSage (2012) in applying the NTXNT space-time filter in matrix Q to expression (1), leads to equation (3) where the first period observations are conditional:
[3]The inverse of Q is defined as:

From the inverse of Q it is possible to calculate C and B-1 to obtain the cumulative impact from a permanent change in the r the explanatory variable at time t. In particular, the main diagonal elements sums for time horizon T represent own-region impacts from both time and spatial dependence, while the sum of off-diagonal elements represent both spillovers and diffusion effects arising from cross-partial contemporaneous and different time derivatives, respectively. It is worth noticing the current specification considers estimating θ without imposing the restriction, -øρ = θ, which implies space-time separability is not possible.
The empirical model and data description
We propose to estimate the following dynamic space-time panel model as expressed in (4):
[4]The model expresses the log of economic activity in state (i) depends on the log of its neighbors’ economic activity, the log of the one-period-lagged own economic activity and the interaction between the first two terms thus accounting for space-time diffusion effects. The parameters associated to each term are ρ, ø and θ which measure the presence of spatial dependence, time dependence, and the spatiotemporal diffusion intensity, respectively. Additionally, the log of remittances (REMit), (CREDi,t), and (FDIi,t) represents factors that may influence economic activity through acting as a possible economic performance-enhancing financing channel. Also, individual heterogeneity is modeled as random effects models as indicated in the expression for ƞI,t.
Regarding the variables measurement, the output variable is proxied with the Economic Activity Quarterly Index (QIEAS, for its acronym in English) for the thirty-two Mexican states and a time span from the first quarter of 2003 to the first quarter of 2015 as published by National Institute of Informatics, Geography and Statistics (INEGI in Spanish). The data for remittances was obtained from Banco de México’s databases and was measured as the log of the amount of households’ income remittances in thousand dollars for all the Mexican states in the same time-span. Similarly, foreign direct investment for each state was measured in logs of the amount of FDI inflows in thousands of dollars and collected from INEGI. All variables were subjected to log transformation for ease of interpreting impacts as elasticities. In addition, spatial lag terms were modeled using a spatial weight matrix (W) based on first order Queen-type contiguity that is row standardized. Moreover assuming the weight matrix is fixed and exogenous over the time periods implies that the spatial configuration is preserved through time and also helps facilitating dynamic responses estimation (Parent and LeSage, 2010).
Methodological aspects of estimation
The model in (4) was estimated using a Markov Chain Monte Carlo procedure hence priors need to be proposed for the parameters. In this regard, we follow Parent and LeSage (2012) who propose a set of priors according to stationary conditions. Therefore assuming ρ ⊂ (-1,1), it is defined p(ø|ρ,θ) as uniformly distributed in the interval (-1 + |ρ|, 1 - |ρ|); p(θ|ρ) within the interval (-1 + |ρ|, 1 - |ρ|), and p(ρ) within the interval (-1,1) thus the uniform prior joint distribution takes de form p(ρ, ø, θ) = p(ρ)p(ø|ρ, θ) p(θ,p).
Similarly, parameters α, β, σ2μ and σ2ε are estimated using priors under a Normal and Gamma distributions: α and β follows a normal distribution with prior mean and variance (α0, M-1α) and (β0, M-1β) respectively. In addition, σ2ε follows a gamma distribution with priors (υ0/2,S0/2) and for σ2μ the priors are (υ1/2,S1/2). In concordance with the authors, the specific associated priors are: α0 = β0 = 0, M-1α = 1012 and M-1β = 1012 Ik. The remaining gamma priors were assigned 0.001.
Empirical results
Estimation results for the dynamic space-time panel model that relates the log of regional economic activity with the log of remittances, the log of private credit and the log of foreign direct investment for the 32 Mexican states are reported in Table 2. In particular, the posterior mean and credible lower 0.01 and 0.05 and upper 0.95 and 0.99 percentile for each model parameter calculated with MCMC are shown. The rho and phi parameters are both positive and statistically different from zero thus reflecting the presence of spatial autocorrelation and first-order time dependence, respectively. Moreover, the magnitude of the parameters indicates time-dependency is stronger than spatial-dependency. In addition, the theta parameter reflecting the combined spatial and time-dependent interaction is negative and also statistically different from zero. The posterior distribution for the cross-product restriction –rho*phi may not hold for the data thus being unfeasible to distinguish between spillover and diffusion effects from t = 2, although Parent and LeSage (2010) asses direct and indirect summary measures can still be calculated (Table 3a and Table 3b).



In order to accurately assess the impact of migrant remittances on Mexican regional economic activity a set of summary measures called total, direct and indirect effects are calculated. In Table 3a and Table 3b, total effects from regional inflow-remittances and regional private credit are reported. In this regard, the posterior mean for the total effect from regional inflow-remittances is positive and statistically different from zero. Also, estimation results show a small period-by-period mean response of regional economic activity to inflow-remittances that decay rapidly. However, a different perspective emerges when estimating the cumulative dynamic response. In this regard, the cumulative short run elasticity shows that a ten per cent increase in received remittances would raise regional economic activity by three per cent. Furthermore, the estimated long run elasticity is bigger in magnitude than the short run elasticity thus revealing that migrant remittances gain importance as time passes. In this sense, the long run elasticity implies that a ten per cent increase in inflow-remittances would induce a 5.6 per cent increase in regional economic activity.
Regarding the total effect from private credit, the period-by-period posterior mean is positive and statistically different from zero, which in turn imply that the private credit channel may favor regional economic activity in Mexico; although, the impact decay rapidly as time passes. In addition, the cumulative dynamic response of regional economic activity to a permanent change in private credit at state-level shows, similarly to the inflow-remittances total effects, that cumulative long run elasticity is bigger in magnitude than cumulative short run elasticity. In this sense, a 10 per cent increase in the private credit would induce a 6.3 per cent increase in regional economic activity in the short run. However, the long run elasticity reflects an important impact as it almost double the short run elasticity; for example, a ten per cent increase in private credit would rise regional economic activity in Mexico by 11.7 per cent in the long run.
The total effect of foreign direct investment on regional economic activity in Mexico depicts a different situation in comparison with inflow-remittances and private credit total effects. According to the results in Table 4, foreign direct investment would have a negative impact on regional economic activity, although it vanishes rapidly with time. In this regard, total effects indicates that both migrant remittances and private credit are important financing channels that favors regional economic activity in Mexico, a result in striking contrast with the estimated total regional economic impact from foreign direct investment.

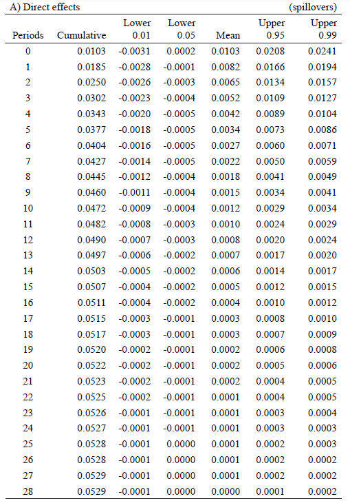
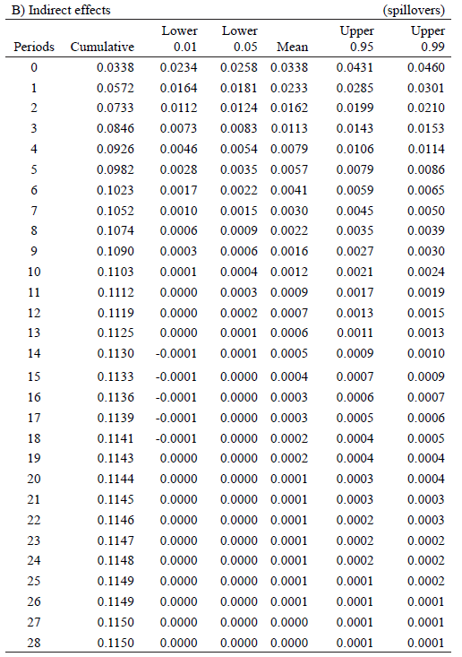
The direct and indirect impacts from inflow-remittances on regional economic activity are reported in Table 5a and Table 5b. In particular, the posterior mean for the direct or inbound effect is positive and statistically different from zero as indicates the calculated lower and upper percentile, although the size of the impact decays progressively. In addition, the cumulative direct impact increases as time passes until its stabilization in further periods hence implying an increasing and long-lasting effect from inflow-remittances. For example, a ten per cent increase in migrant remittances is associated to a 1.8 per cent average impact on regional economic activity in the short run, while the long run the elasticity is about 5.3 per cent. In addition, the estimated period-by-period posterior mean and associated lower and upper percentile suggests indirect or spatial-spillover effects are positive and statistically different from zero although small, only in the three first periods, then it turns negative and negligible. Regarding the cumulative dynamic responses, estimation shows a positive elasticity that decreases over time. In particular, a ten per cent increase in the inflow-remittances from a specific state would induce a 1.1 per cent increase in neighboring states’ economic activity in the short run, while the long run elasticity decreases over time to achieve a 0.036 per cent. These results imply that the total effect from inflow-remittances on regional economic activity can be mostly attributed to direct effects (61.3 per cent) over spatial-spillover effects (38.7 per cent) in the short run, a predominance that is accentuated in the long run with 93.6 per cent attributed to direct effects.
In Table 6a and Table 6b estimated direct and indirect effects from private credit show an opposite situation in comparison with remittances’ impacts. Regarding the direct or inbound effects, the period-by-period posterior mean is positive and statistically different from zero until period four, and then it turns negative and also negligible. Consequently the dynamic responses show a short run elasticity higher than the long run elasticity, for example, in the short run a ten per cent increase in the private credit would induce a 0.05 rise in the regional economic activity in Mexico, while in the long run the average impact reduces to 0.03. With regard to the indirect or spatial-spillover effects, the short run elasticity imply an average 5.7 per cent increase in neighbor states’ regional economic activity as a result of a ten per cent rise in private credit. The estimated long run elasticity reaches an 11.5 impact. The results suggest that cross-border effects from granted regional private credit are important both in the short and long run. This in turn seems to reveal that while inflow-remittances have significant inbound effects, private credit may induce regional economic networks that reflect regional productive interdependence and collaboration.






In addition, the estimated direct and indirect effects from received foreign direct investment show that the negative total effect can be mostly attributed to the presence of negative spatial-spillover effects as these effects overpass the positive direct effect (Table 7a and Table 7b). While this result help elucidate the importance of reinforcing the local economic integration of foreign capital, also calls the attention to implement regional economic policies to induce regional economic collaboration and integration of localized foreign companies.
Conclusions
Remittances have grown exponentially in the last twenty years and have become a significant source of financial income for the Mexican economy. The amount of remittances has contributed to increase the foreign exchange received by the Mexican economy, and its magnitude can be compared with inflows of foreign direct investment. Additionally, the Mexican financial system has expanded and the domestic credit provided at the state level increased during the period of the study.
The Mexican economy has experienced a rather slow growth during the period between 2003 and 2014, negatively affected by the international economic recession of 2008-2009 and the slow recovery that followed the downturn. However, on average during the period, the rate of growth of economic activity at the state level exhibited a positive growth. The upward trends of both remittances and growth require further statistical analysis to estimate whether state remittances have direct and indirect effects in the neighboring states and therefore have a multiplying effect that encourages growth at the regional level.
In order to assess the regional effect of remittances, a dynamic space-time panel data model was estimated. The methodology estimated the impact of remittances based on spatial lags that capture time and spatial dependence respectively and therefore provides estimations of spatial and time diffusion effects. By using a dynamic space-time panel modeling methodology, it is possible to extend the analysis of the impact of changes in remittance flows on specific states and, also, on the economic activity of the neighboring states. Therefore, the application of this methodology introduces the regional dimension to the analysis of the impact of remittances on economic growth.
The results of the estimations indicate that the total effect from regional inflow-remittances is positive and statistically different from zero. When estimating the cumulative dynamic response, short run elasticity shows that a ten per cent increase in received remittances would raise regional economic activity by three per cent. The long run elasticity specifies that a ten per cent increase in inflow-remittances derives in a 5.6 per cent increase in regional economic activity. With respect to the effect of private credit, the mean is positive and statistically different from zero. However, the impact rapidly falls over time. Similarly, the results exhibited cumulative long run elasticity larger than the cumulative short run elasticity.
A ten per cent increase in private credit induces a 6.3 per cent increase in regional economic activity in the short run and 11.7 per cent in the long run. Finally, the total effect of foreign direct investment on regional economic activity in Mexico exhibits a negative impact on regional economic activity, although it vanishes rapidly with time.
The direct and indirect impacts from remittances on regional economic activity show that the posterior mean for the direct or inbound effect is positive and statistically different from zero. Also, the cumulative direct impact increases as time passes implying an increasing and long-lasting effect from inflow-remittances. In addition, the estimated period-by-period posterior mean suggests that the indirect or spatial-spillover effects are small but positive and statistically different from zero. The direct and indirect effect estimations for private credit showed a positive posterior mean that is statistically significant. The dynamic responses indicated that the short run elasticity is higher than the long run elasticity. The indirect or spatial-spillover effect suggests an impact on neighboring states’ regional economic activity as a result of a rise in private credit.
It can be concluded that when estimating direct and indirect effects in the model of spatial dependence among states, remittances exhibit small positive effects on regional economic growth, which supplements the findings of Valdivia and Lozano (2010) who modeled spatial interactions although without statistically significant effects. Therefore, the results suggest that remittances modestly encourage regional economic activity in Mexico. Additionally, the amount of private credit and its effects on growth at the state level suggests that the financial market development at the regional level combined with remittances promotes economic activity. On the other hand, the impact of foreign direct investment was not positive, suggesting that this type of investment impacts economic growth rather indirectly, through technology transfers and economies of scale, than by its role as a financial resource for growth. Finally, another interesting finding is that the cross-border effects from regional private credit are important both in the short and long run. The results suggest that a combination of remittances and private credit increases have inbound effects and induce regional economic spillovers and interdependence.
Bibliography
Acosta, P. A.; Lartey E., and Mandelman F. S., 2007, Remittances and the Dutch Disease, Federal Reserve of Atlanta, Working Paper, 2007-8.
Catrinescu, N.; Leon-Ledesma M. and Piracha M., 2006, Remittances, Institutions and Economic Growth, Institute for the Study of Labor (IZA), Discussion Paper No. 2139, 1-26.
Chami, R.; Fullenkamp, C. and Jahjah, S., 2005, “Are immigrant remittance flows a source of capital for development?”, in International Monetary Fund Staff Papers, vol. 52, núm. 1, pp. 55-81.
Chami, R. Barajas, A., Cosimano, T., Fullenkamp, C., Gapen , M. y Montiel, P., 2008, Macroeconomic consequences of remittances, International Monetary Fund, Occasional Paper No. 259.
Debarsy, N.; Ertur, C. and LeSage, P., 2012, “Interpreting dynamic space-time panel data models”, in Statistical Methodology, vol. 9, núms. 1-2, pp. 158-171.
Giuliano, P. and Ruiz-Arranz M., 2009, “Remittances, Financial Development and Growth”, in Journal of Development Economics, vol. 90, pp. 144–152
Glytsos, N. P., 2005, “The contribution of remittances to growth: A dynamic approach and empirical analysis”, in Journal of Economic Studies, vol. 32, núm. 6, pp. 468-496.
Hanson, G.H. y Woodruff, C., 2002, Emigration and educational attainment in Mexico, Mimeo., University of California at San Diego.
Hsiao, C., 2003, Analysis of Panel Data. New York: Cambridge University Press.
Kehoe, T. J.,and Meza, F., 2013, “Crecimiento rápido seguido de estancamiento: México (1950-2010)”, en El Trimestre Económico, vol. 80, núm. 318, pp. 237-280.
Lee, L. y Yu, J., 2010, “Estimation of spatial autoregressive panel data models with fixed effects”, in Journal of Econometrics, vol. 154, No. 2, pp. 165-185.
Lucas R., 2004, International Migration Regimes and Economic Development. Disponible en http://www.un.org/esa/population/meetings/thirdcoord2004/P22_AnnexIII.pdf (18/08/2017).
Mendoza, J.E. and Calderón, C., 2006, “Impactos regionales de las remesas en el crecimiento económico de México”, en Papeles de Población, octubre-dicimebre, núm. 50, pp. 197-221.
Mendoza, J. E., 2012, “Are remittances a stabilizing factor in the Mexican economy?, in EconoQuantum, vol. 9, núm. 1, pp. 83-99.
Meyer D. and Shera A., 2017, “The impact of remittances on economic growth: An econometric model”, in Economia, vol. 18, núm. 2, pp. 147-155
Mundaca B. G., 2009, “Remittances, Financial Market Development, and Economic Growth: The Case of Latin America and the Caribbean”, en Review of Development Economics, vol. 13, núm. 2, pp. 288-2009.
Parent, O and LeSage, J., 2010, “A spatial dynamic panel model with random effects applied to commuting times”, in Transportation Research Part B, vol. 44, núm. 5, pp. 633-645.
Parent, O and LeSage, J., 2011, “A space-time filter for panel data models containing random effects”, in Computational Statistics and Data Analysis, vol. 55, núm. 1, pp. 475-490.
Parent, O and LeSage, J., 2012, “Spatial dynamic panel data models with random effects”, in Regional Science and Urban Economics, vol. 42, núm. 4, pp. 727-738.
Raju Jan S.; Haacker, M. and Kyung-woo L., 2009, Determinants and Macroeconomic Impact of Remittances in Sub-Saharan Africa, IMF Working Paper, WP/09/216
Ramirez, Miguel and Sharma, H., 2008, “Remittances and growth in Latin America: a panel unit root and panel cointegration analysis”, Yale University Department of Economics, Working Paper núm. 51.
Ramirez, Miguel, 2014, “Remittances and Economic Growth in Mexico: an empirical study with structural breaks, 1970-2010”, in Business and Economic Research, vol. 4, núm. 1, pp. 351-373.
Rao, B., and Hassan, G., 2011, “A panel data analysis of the growth effects of remittances”, en Economic Modelling, vol. 28, Issues 1–2, pp. 701–709.
Rapoport, H. y Docquier, F., 2005, “The Economics of migrants’ remittances”, en IZA, Discussion Paper No. 1531.
Rempel, H. and Lobdell, R., 1978, “The role of urban-rural remittances in rural development”, en Journal of Development Studies, vol. 14, pp. 324-41.
Singh, R.; Haacker, M. and Lee, K., 2009, Determinants and Macroeconomic Impact of Remittances in Sub-Saharan Africa, International Monetary Fund Working Paper, WP/09/216.
Solimano A., 2003, Remittances by Emigrants Issues and Evidence United Nations University, World Institute for Development Economics Research, Discussion Paper, No. 2003/89
Stark, O., 1978, Economic-demographic interaction in agricultural development: the case of rural-to-urban migration, U.N. Food and Agriculture Organization. Rome.
Stark, O., 1991, The migration of labor, Oxford and Cambridge, MA: Basil Blackwell.
Taylor, J.E. and T.J. Wyatt, 1996, “The shadow value of migrant remittances, income and inequality in a household-farm economy”, in Journal of Development Studies, vol. 32, núm. 6, pp. 899-912.
Ramirez M. D. and Sharma H., 2008, Remittances and growth in Latin America: a panel unit root and panel cointegration analysis, Yale University, Department of Economics, Working Paper núm. 51.
Tahir M., Khan I. and Moshadi A. S., 2015, “Foreign Remittances, Foreign Direct Investment, Foreign Imports and Economic Growth in Pakistan: A Time Series Analysis” in Arab Economics and Business Journal 10, pp. 82–89.
Valdivia, M. and Lozano, Fernando, 2010, “A spatial approach to the link between remittances and regional growth in Mexico”, en Migraciones Internacionales, vol. 5, núm. 3, pp. 7-41.
Woodruff, C. and Zenteno, R., 2001, Remittances and Microenterprises in Mexico, UCSD, Graduate School of International Relations and Pacific Studies Working Paper, disponible en http://dx.doi.org/10.2139/ssrn.282019
Notes
Author notes