Artículos
Exceso de mortalidad preliminar medido a través de la esperanza de vida temporal en México tras la pandemia de Covid-19 en 2020
Preliminary excess mortality measured through temporary life expectancy in Mexico after the Covid-19 pandemic in 2020
Exceso de mortalidad preliminar medido a través de la esperanza de vida temporal en México tras la pandemia de Covid-19 en 2020
Papeles de población, vol. 28, no. 113, pp. 13-69, 2022
Universidad Autónoma del Estado de México, Centro de Investigación y Estudios Avanzados de la Población
Received: 23 July 2021
Accepted: 28 August 2022
Resumen: La pandemia de Covid-19 ha causado un número muy grande de muertes en todo el mundo, de tal manera que, si la prevalencia de la infección continúa, indudablemente afectará los niveles del indicador de esperanza de vida. Desde una perspectiva demográfica, la principal característica del Covid-19 es su efecto diferenciado por grupos de edad, teniendo mayor letalidad en personas de edad avanzada. Estimamos la esperanza de vida temporal en: tres grupos etarios y por sexo, a nivel nacional y en los 32 estados del país. El método que se usó para la estimación de la esperanza de vida permite controlar el porcentaje adecuado de suavidad de la tendencia de una serie de tiempo, tanto globalmente como por segmentos, y se considera adecuado para identificar los efectos diferenciados que ha tenido la pandemia por grupo etario. Para el grupo de 41 a 85 años, nuestras estimaciones indican una reducción en la esperanza de vida temporal a nivel nacional, entre 2020, año donde alcanzaron su mínimo, y el año en donde alcanzaron su máximo, de 3.5 años para los hombres y 1.6 para las mujeres.
Palabras clave: Exceso de mortalidad, Covid-19, Esperanza de vida temporal, México, Mortalidad.
Abstract: The Covid-19 pandemic has caused many deaths around the world. In fact, if the prevalence of the infection continues, it is expected to decrease life expectancy. From a demographic perspective, the main feature of Covid-19 is its differential effect on age groups, having the worst effect on the elderly people. We estimate temporary life expectancies for each of three age groups by sex, at the national as well as the state level. The method used to estimate life expectancy uses an approach based on Controlled Smoothness of a time series trend, both globally and by segments. This approach is considered suitable to identify the differential effects of each selected age group. For the 41 to 85 year-old group, we estimate a reduction in temporary life expectancy at the national level, between year 2020 (when it reached its minimum value) and the year where it reached its maximum, 3.5 years for men and 1.6 for women.
Key words: Excess mortality, Covid-19, Temporary life expectancy, Mexico, Mortality.
Introducción
De acuerdo con la información del Centro de Ciencia e Ingeniería de Sistemas (CSSE, por sus siglas en inglés) de la Universidad Johns Hopkins, México se encuentra en primer lugar en tasa de letalidad por Covid-19. Con 2.084 millones de casos confirmados y una cifra oficial de muertos de 185,257 hasta el 1 de marzo de 2021, la tasa de letalidad de México es de 8.9 defunciones por cada 100 personas contagiadas.
La tasa de mortalidad en México, que ocupa el lugar 13 en el mundo en casos de Covid-19 y el tercero en muertes, en la fecha referida, es cinco veces mayor que la de Estados Unidos, que ocupa el primer lugar tanto en el número de casos como en el de muertes. Asimismo, es tres veces mayor que la tasa de mortalidad de Brasil, que ocupa el tercer lugar en el número de casos y el segundo en muertes. Además, es más de seis veces mayor que la de la India, que ocupa el segundo lugar en el número de casos y el cuarto en muertes.
Existe una variedad de factores por los cuales México ha experimentado una pandemia tan mortal, que indudablemente se ha visto agravada por las disparidades socioeconómicas, las cuales comprometen la capacidad de las personas para reducir su exposición al contagio y han limitado su acceso a los servicios de salud y tratamiento temprano. El riesgo de mortalidad por Covid-19 también se incrementa por varias afecciones crónicas que prevalecen en edades avanzadas, como hipertensión, obesidad, diabetes, cáncer y enfermedades cardíacas (Williamson et al., 2020 y Ssentongo et al., 2020).
A nivel mundial, según el análisis de Zhou et al. (2020), en el que participaron 16,110 pacientes con Covid-19, provenientes de nueve países, se encontró que las comorbilidades más comunes y vinculadas con factores de riesgo más altos fueron las siguientes: obesidad (42 por ciento), hipertensión (40 por ciento) y diabetes (17 por ciento). Para México, de acuerdo con Denova-Gutiérrez et al. (2020), de 23,593 pacientes evaluados, 3,844 fueron positivos a Covid-19. De ellos, 17.4 por ciento tenían obesidad, 14.5 por ciento diabetes, 18.9 por ciento hipertensión y 2.8 por ciento enfermedad cardiovascular. Aquellos con obesidad, comparados con los que no la tenían mostraron una probabilidad 1.43 veces mayor de desarrollar Covid-19 grave al ingreso hospitalario, mientras que los pacientes con diabetes o hipertensión mostraron una probabilidad 1.87 y 1.77 veces mayor de desarrollar Covid-19 grave, respectivamente. Se concluye que la obesidad, la diabetes y la hipertensión están fuertemente asociadas con desarrollar Covid-19 grave al ingreso hospitalario y que la asociación con la obesidad es más fuerte en pacientes menores de 50 años.
El hecho de que la obesidad sea la comorbilidad más prevalente en los casos más severos de Covid-19 en México es realmente grave si se toma en cuenta que, de acuerdo con datos de la Encuesta Nacional de Salud y Nutrición (ENSANUT, 2018), en el año 2018, 75 por ciento de los adultos mayores de 20 años tenían sobrepeso o eran obesos, 22 por ciento de los niños de entre cero y cuatro años estaban en riesgo de desarrollar obesidad y 8.2 por ciento padecía obesidad; mientras que 38 por ciento de los adolescentes entre 12 y 19 años eran obesos o tenían sobrepeso. La misma encuesta reporta que en 2018, el número de mexicanos que padecían diabetes era de 8.6 millones y había una incidencia de hipertensión de 26.7 por ciento entre la población de 70 a 79 años.
La obesidad es el factor de mayor riesgo para desarrollar otros trastornos graves, como la diabetes, hipertensión y enfermedades infecciosas (Huttunen y Syrjanen, 2010; Milner y Beck, 2012). En México, la gravedad de estas enfermedades sobre su impacto en la economía se reconoció en enero de 2020 en el seminario: Sobrepeso, Obesidad y Diabetes: Efectos sobre la competitividad del país, organizado por la Organización para la Cooperación y el Desarrollo Económico (OCDE) con la presentación del trabajo: OCDE (2019). El estudio revela que la obesidad está afectando la esperanza de vida de los mexicanos, misma que se reducirá cuatro años en los próximos 30 años. La pérdida de esperanza de vida en la población mexicana puede ser más grave si tomamos en cuenta que la pandemia ha causado un aumento sustancial en la mortalidad, es decir, un exceso de mortalidad.
La pandemia de Covid-19 ha causado un número significativo de muertes en todo el mundo, de tal manera que, si la prevalencia de la infección continúa, indudablemente seguirá afectando los niveles del indicador de esperanza de vida. Desde una perspectiva demográfica, la principal característica del Covid-19 es que la gran mayoría de los casos graves afectan a personas de mayor edad, especialmente a los mayores de 70 años (Onder et al., 2020). Con base en los datos del Instituto Superior de Salud de Italia, una persona de 40 a 49 años infectada por Covid-19 tiene una probabilidad 27 veces menor de morir que una de 70 a 79 años.
A pesar de que el coronavirus llegó para quedarse, Lavine et al. (2021) afirman que una vez que la mayoría de los adultos sean inmunes, después de una infección natural o mediante la vacunación, el virus no representará una amenaza mayor que un resfriado común. Sin embargo, para la población mexicana con problemas graves de obesidad, hipertensión y diabetes que seguirán presentes en los próximos años, esto representa un riesgo adicional de mortalidad.
La esperanza de vida, de acuerdo con Haupt y Kane (2003), se define como el número de años de vida que restan a una persona, término medio, de no variar la tendencia en la mortalidad. Por lo general se calcula al nacer, pero también es factible estimarla a edad alcanzada o de manera temporal (Arriaga, 1984). En breve, refleja el nivel general de mortalidad de una población y resume el patrón que prevalece en un momento determinado. En otras palabras, la esperanza de vida es posiblemente el indicador más importante de la salud en general de una población, de acuerdo con Lamb y Siegel (2004).
La relevancia del indicador además radica en que, junto con un índice de Educación y otro de Ingreso, constituyen el denominado Índice de Desarrollo Humano (IDH) propuesto por el Programa de las Naciones Unidas para el Desarrollo (PNUD). De hecho, en Leal et al. (2020) se discuten los probables impactos por el Covid-19 para la población mexicana, en la que se tenía la expectativa de que aumentara la mortalidad en todas las edades, pero que la mayoría de las muertes se concentraran en la población adulta. Por ello se estimaba que el impacto fuera pequeño para la esperanza de vida y, en todo caso, que el efecto adverso se focalizara en edades de 70 años o más.
Expuesto lo anterior, la esperanza de vida es un indicador fácil de interpretar y estándar en el análisis y descripción de los patrones de mortalidad. No obstante, existen pocos estudios que evalúen el impacto de la pandemia en la mortalidad para México, tomando en cuenta la afectación que esta ha tenido por grupos etarios. Por ello, el objetivo del trabajo es estudiar, a nivel nacional, por entidad federativa, grupos etarios y sexo, el efecto del exceso de mortalidad ante la pandemia por Covid-19 sobre la esperanza de vida temporal con información preliminar del año 2020. Asimismo, con la finalidad de aproximarse a una explicación, se toman en cuenta las comorbilidades más recientes registradas en la ENSANUT (2018). Se cuenta con información de las muertes por todas las causas y no exclusivamente por Covid-19. Como se apreciará más adelante, dicho impacto es sustantivo y heterogéneo.
El método de graduación de los datos que aquí se usa para la posterior estimación de la esperanza de vida temporal es el propuesto por Guerrero y Silva (2015), que permite controlar el porcentaje de suavidad de la tendencia de una serie de tiempo, tanto globalmente como por segmentos de edad en este caso. Se le considera adecuado para identificar los efectos diferenciados que ha tenido la pandemia por grupo etario (ver anexo). El resto del trabajo está organizado de la siguiente manera: en la sección 2 se presenta una breve revisión de la literatura sobre los efectos que ha causado el Covid-19 en el exceso de mortalidad a través de distintos indicadores, como la esperanza de vida en diferentes contextos. En la sección 3 se explica cómo se calcula la esperanza de vida temporal. La sección 4 presenta los datos y las estimaciones por grupos de edad y sexo para los años de 1990 a 2020, tanto a nivel nacional como estatal. Finalmente, en la sección 5 se señalan las principales conclusiones alcanzadas en el trabajo.
Revisión de la literatura
El impacto de la pandemia por Covid-19, desde su inicio a finales de 2019, ha causado un número considerable de muertes. Según el CSSE de la Universidad Johns Hopkins, al 1 de marzo de 2021 el número de muertes en el mundo por Covid-19 es de 2,527,821, de las cuales 508,584 han ocurrido en Estados Unidos; 254,221 en Brasil; 185,257 en México; 157,157 en la India; y 122,849 en el Reino Unido. Como puede observarse, estos cinco países acumulan 48.6 por ciento del total de muertes a causa de la pandemia en marzo de 2021.
Es claro que si la mortalidad por Covid-19 continúa aumentando, habrá un impacto en el exceso de mortalidad y, en consecuencia, en la esperanza de vida. Otras pandemias han causado una disminución en la esperanza de vida; por ejemplo, de acuerdo con Helleringer y Noymer (2015) el brote del virus del Ébola en 2014 provocó una disminución de la esperanza de vida al nacer de 1.6 a 5.6 años en Liberia. Noymer y Garenne (2000) reportan que la pandemia de influenza de 1918 provocó una caída en la esperanza de vida de hasta 11.8 años en Estados Unidos. Luego entonces, en los países que han sido gravemente afectados, un aumento considerable en la mortalidad por Covid-19 puede tener, como consecuencia, la pérdida de años de vida considerablemente grande. Dado que el virus mata a un número desproporcionado de personas de edades mayores en la población, la cantidad de años perdidos con respecto a la esperanza de vida promedio existente podría ser menor de lo esperado. No obstante, la rápida propagación del virus que se ha observado, así como sus mutaciones, podría causar un exceso de mortalidad lo suficientemente grande como para afectar las tablas de vida de un país o espacio geográfico.
Al respecto, Marois et al. (2020) construyeron un modelo de microsimulación en tiempo discreto que simula el número de personas infectadas por Covid-19, la cantidad de personas que mueren a causa de él y las muertes por todas las causas, semana a semana, para un periodo de un año. Usando las estimaciones de las tasas de mortalidad por la infección de Covid-19, ajustadas por edad específica en la provincia de Hubei (China), los autores aplican su modelo en cuatro regiones: la primera es América del Norte y Europa; la segunda América Latina y el Caribe; la tercera Asia Sudoriental; y la cuarta África Subsahariana. En cada región simularon 100 mil casos para cada grupo de edad de cinco años.
Los resultados indican que para una tasa de prevalencia de Covid-19 de diez por ciento, la pérdida de esperanza de vida al nacer probablemente sea superior a un año en América del Norte y Europa, y en América Latina y el Caribe. Para Asia Sudoriental y África Subsahariana, un año perdido en la esperanza de vida corresponde a una prevalencia de la infección por Covid-19 de aproximadamente 15 y 25 por ciento, respectivamente. Para una tasa de prevalencia de 50 por ciento en la infección por Covid-19, la predicción mediante un intervalo de confianza de 95 por ciento indica que la esperanza de vida se reduciría de tres a nueve años en América del Norte y Europa; de tres a ocho años en América latina y el Caribe; de dos a tres años en Asia Sudoriental, y de uno a cuatro años en África Subsahariana. Marois et al. (2020) también reportan que si la tasa de prevalencia de la infección por Covid-19 permanece por debajo de uno o dos por ciento, el Covid-19 no afectaría de manera sustancial a la esperanza de vida.
Por otra parte, Andrasfay y Goldman (2020) reportan que a causa de las muertes durante la pandemia de Covid-19, la esperanza de vida de los estadounidenses se reducirá en aproximadamente 1.13 años, hasta los 77.48 años, lo que resulta en la esperanza de vida estimada más baja desde 2003. El estudio también reporta una disminución de 0.68 años en la esperanza de vida de los estadounidenses blancos, hasta los 77.84 años, en comparación con una reducción de 2.1 años para las personas de raza negra, hasta los 72.78 años, y un descenso de 3.05 años entre los hispanos, hasta los 78.77 años. Andrasfay y Goldman (2020) argumentan que el efecto desproporcionado de la pandemia sobre la esperanza de vida de las personas afroamericanas e hispanas podría explicarse por una mayor exposición en sus lugares de trabajo o debido a los contactos en las familias extensas, además de que reciben una atención más deficiente de la salud, que les ocasiona un mayor número de infecciones que empeoran los resultados.
En relación con México, de acuerdo con Leal et al. (2020) y apoyados en Roberton et al. (2020), se prevén distintos escenarios para cuantificar el efecto de la pandemia sobre la esperanza de vida a través de la tasa de mortalidad infantil que, como se conoce, es a la que más le afecta. Para el corto plazo, se señala que la pandemia podría retrasar los avances en la tasa de mortalidad infantil hasta tener niveles similares a la observada en 2013, es decir, se tendría una esperanza de vida en México aproximadamente equivalente a la de hace siete años. Asimismo, también se espera que, a partir de 2022 y suponiendo que se pudiera volver a la capacidad de atención hospitalaria previa, la tasa de mortalidad infantil tendrá niveles equiparables a los de 2019 y con ello el de la correspondiente esperanza de vida. En otras palabras, se prevé que el efecto adverso por la pandemia sea transitorio sobre dicho indicador.
Metodología
Suavizamiento controlado por segmentos
En el análisis empírico, aquí se utiliza el método de Guerrero y Silva (2015), que es un procedimiento de graduación de datos no paramétrico flexible y que puede clasificarse dentro de los métodos exploratorios, porque busca simplificar el análisis de los datos, una vez que se han eliminado algunas fluctuaciones indeseables. Este método se enfoca en la idea de que es posible cuantificar la suavidad en la tendencia, tanto globalmente en toda la serie, como localmente para sus diferentes segmentos. Se controla la cantidad de suavidad en la tendencia para poder establecer comparaciones válidas entre tendencias para diferentes conjuntos de datos, así como para diferentes segmentos de la misma serie. La suavidad en la tendencia se mide usando un índice de suavidad que relaciona el parámetro de suavizamiento involucrado, con un porcentaje deseado de suavidad de la tendencia. El valor del parámetro de suavizamiento se obtiene calibrando una ecuación que involucra el porcentaje deseado de suavidad y la longitud de la serie (ver anexo).
En este trabajo, el conjunto de las tasas específicas de mortalidad en orden creciente de edad se considera que es una serie de tiempo y, por lo tanto, estimar la tendencia de dicha serie equivale a graduar dichas tasas, y a cuyo resultado se hará referencia indistintamente en lo subsecuente como tendencias de mortalidad o simplemente tendencias. La estimación de la tendencia de mortalidad se realiza con suavidad controlada, para establecer comparaciones válidas entre ellas en diferentes rangos de edad o con distintos tamaños de muestra, como en Guerrero (2007), Guerrero y Silva (2015), y Guerrero et al. (2017). Este método considera el suavizamiento como un procedimiento para reducir las fluctuaciones que podrían distorsionar la tendencia de los datos observados. Con las tendencias estimadas se hacen los respectivos cálculos de las esperanzas de vida temporales.
Por otra parte, vale la pena destacar que para definir los parámetros y aplicar el método de suavizamiento, se tomó como referencia aquellos que proporcionaran estimaciones convincentes, es decir, los que proveyeran las mejores aproximaciones de las tasas específicas de mortalidad publicadas para quinquenios anteriores por parte del Consejo Nacional de Población (CONAPO). Asimismo, se propusieron distintos puntos de corte y parámetros de suavizamiento, teniendo en mente una suavidad de S = 75 por ciento, tal y como se sugiere en Guerrero y Silva (2015). El valor de tales parámetros se muestra en la sección de resultados.
Exceso de mortalidad por medio de esperanzas de vida temporales
Existen distintas alternativas para medir el exceso de mortalidad. La más directa de ellas es por medio de comparar el total de defunciones esperadas contra el de observadas para un periodo determinado, que en general dura un año. Otra posibilidad es a través de calcular tasas estandarizadas de mortalidad para el año en cuestión. Esto para superar los eventuales cambios en la estructura demográfica que se pudieran experimentar y compararlas contra la(s) correspondiente(s) del(os) año(s) previo(s). También es factible realizarlo si se comparan las respectivas esperanzas de vida, teniendo en cuenta la experiencia de mortalidad observada previamente y la actual, o bien la esperanza de vida calculada de acuerdo con las previsiones oficiales proporcionadas por ministerios u oficinas de población, contra la observada en el año objeto de estudio. La infección por Covid-19 ha afectado de manera diferente a los grupos etarios, tanto directa como indirectamente, y al graduar tasas específicas de mortalidad se observan de forma general tres patrones de comportamiento: una disminución en los años de infancia; una joroba que se interpreta como un periodo de exceso de mortalidad en un rango de edad clasificada como de jóvenes adultos, y un comportamiento constante a partir del tercer patrón. Se considera entonces oportuno dimensionar el impacto del exceso de mortalidad tomando en cuenta la segmentación de los datos, por lo que resulta apropiado emplear el concepto de esperanza de vida temporal.
En síntesis, la mortalidad implícita en las tendencias estimadas por segmentos de edad, en otros términos, en las curvas de mortalidad, puede ser medida a través del indicador de esperanza de vida temporal (Arriaga, 1984), entre las edades x y x+i, que se denota por medio de iex y que está dado por
Donde Tx es el total de años por vivir para la totalidad de la cohorte y lx son los sobrevivientes ambos a edad x. De esta forma, la esperanza de vida temporal se interpreta como el número promedio de años que un grupo de personas vivas a la edad exacta x vivirá desde la edad x hasta la edad x+i años. Sin embargo, como nuestro objetivo estudia el cambio de ritmo de la mortalidad durante un periodo de tiempo, adicionalmente a emplear el cambio absoluto de la esperanza de vida temporal, usaremos una medida de cambio relativo, en otras palabras, el cambio observado en la esperanza de vida temporal en relación con el máximo cambio posible, esto es
Mientras que, para calcular la variación anual del índice, se usará
El concepto de cambio relativo en la esperanza de vida temporal se refiere al aumento de años de esperanza de vida entre dos edades, como proporción del aumento máximo posible (Arriaga, 1984).
En nuestro análisis, primero transformamos las log(qx ), por medio de exp{log(qx )}, de estas se obtienen las mx como , que representan el insumo que se requiere para estimar tablas de mortalidad (Tablas de vida) por medio de la librería de R llamada LifeTables y su función lt.mx. A partir de dichas tablas de mortalidad, se extraen esperanzas de vida al nacer y temporales, e0 y iex, respectivamente. Cabe mencionar que N1 y N2 son los puntos identificados de manera exógena para establecer los segmentos de edad que se afectaron de manera diferenciada por el Covid-19, que una vez estimadas las respectivas tendencias, son los parámetros requeridos para estimar la esperanza de vida temporal objeto del estudio. A saber, las esperanzas de vida temporal que se calculan son entre el nacimiento y los diez años (0e10); entre los 11 y los 40 años (11e40), y entre los 41 y los 80 años (41e80). Estas estimaciones se realizaron a nivel nacional y para los 32 estados del país, desagregando por género en los años 1990, 1995, 2000, 2005, 2010, 2015 y 2020. De este modo, se tiene un total de 462 estimaciones por medio del método propuesto. Todos los cálculos se realizaron en el software R, versión 4.1.0.
Al comparar las estimaciones del indicador iex, por entidades federativas y a través del tiempo, se pueden cuantificar los años que se han perdido en cada grupo etario considerado en el análisis. Es conveniente recordar que se toman en cuenta todas las causas de muerte que afectan a la población. Es claro que el comportamiento ideal de iex es que crezca a través del tiempo o que al menos se mantenga con un ritmo de crecimiento lento, pero mayor que cero.
Resultados
Estimación del exceso de mortalidad a través de defunciones
Desde este enfoque, se describe el comportamiento de las defunciones de 1998 a 2019, se discute el nivel pronosticado y estimado para 2020. Se aclara que para el año 2020, la Secretaría de Salud (SS) ha proporcionado información de la mortalidad por todas las causas. Sin embargo, la información de la SS discrepa de la presentada por el Instituto Nacional de Estadística y Geografía (INEGI, 2021), especialmente en el periodo enero-agosto de 2020. Haciendo cálculos aritméticos, el INEGI reporta 36.8 por ciento más defunciones que la SS. Se podría aducir que la información del INEGI incluye además defunciones no captadas por la SS y acaecidas, por ejemplo: en casas habitación, lugares de trabajo, vía pública y transportes diversos. De momento, no se ha publicado la estadística vital detallada para 2020, lo que se espera que ocurra en el transcurso de 2021.
Para guardar coherencia en las cifras aquí empleadas, se ajustan las muertes por todas las causas con la estructura de la SS y el nivel aceptado por SS-INEGI de la siguiente manera:
1.- Se toma la estructura por edad y sexo, a nivel nacional y estatal, de las muertes por todas las causas que están registradas en la SS para el año 2020. Debe notarse que en esta fuente de información no se especifica la causa de la defunción.
2.- De dicha estructura se obtienen las respectivas proporciones por edad y sexo para el contexto nacional, así como para cada estado. Para ello, se descartan las defunciones en las que no se especifica la edad, el sexo o la entidad de ocurrencia.
3.- Por otra parte, se extraen tanto a nivel nacional como estatal las defunciones totales por todas las causas, según las estimaciones realizadas por Mejía et al. (2021). Hay que hacer hincapié que los autores concluyen que para todo el país el total de defunciones es de 1,050, 383 en 2020; se reitera que son muertes por todas las causas.
4.- Se distribuyen los niveles anteriores de defunciones de manera proporcional a nivel nacional, por entidad y en el tiempo, por edad y sexo, con base en las proporciones del paso 2. De esta manera, en breve se toma la estructura de muertes de la SS con la intensidad estimada y referida en el paso anterior.
Finalmente, se reconoce que existen algunas limitaciones, dada la estructura de muertes reportada por SS. En primer lugar, la afiliación a la salud de la población es diversa. En el país, hay 73.47 por ciento, pero en las entidades existen diferencias considerables; por ejemplo: la máxima cobertura es de 84.35 por ciento en Chihuahua, en tanto que la mínima es de 62.22 por ciento en Michoacán (INEGI, 2021). Esto sugiere que la captación de las defunciones por la SS obedece a la infraestructura disponible y no tanto a la dinámica de las defunciones en un año de pandemia. Cabe mencionar que la información de la SS no permite distinguir si la defunción es o no atribuible a Covid-19, sino que son las defunciones por todas las causas.
Para cuantificar el exceso de mortalidad en términos absolutos, se construye la serie de tiempo mensual de defunciones ocurridas y registradas por todas las causas de 1990 a 2019 con datos del INEGI (1990-2019). Al observar la gráfica de la Figura 1 se pueden identificar claramente los elementos de tendencia creciente, como es de esperarse en un país con crecimiento demográfico y un patrón estacional que se acentúa en el periodo invernal con una varianza creciente en los últimos diez años.

A partir de la serie de tiempo de mortalidad, se realizan pronósticos mensuales para el año 2020 por medio de un modelo de Holt-Winters multiplicativo (con α (level) = γ (trend) = δ (seasonal) = 0.2), que es el que proporciona mejores estadísticos de precisión (MAPE = 3 y MAD = 1,168), donde MAPE se refiere al error porcentual medio absoluto y MAD a la desviación media absoluta. El pronóstico preveía seguir con el patrón estacional observado en la serie; sin embargo, las estimaciones rebasan por mucho el intervalo de predicción a 95 por ciento.
Con los efectos adversos de la pandemia, se rompe por completo la estacionalidad de manera notable y a partir de marzo de 2020 se aprecian las magnitudes preliminares de las defunciones excedentes, en poco más de 270 mil defunciones.
Estimación del exceso de mortalidad a través de esperanzas de vida temporales
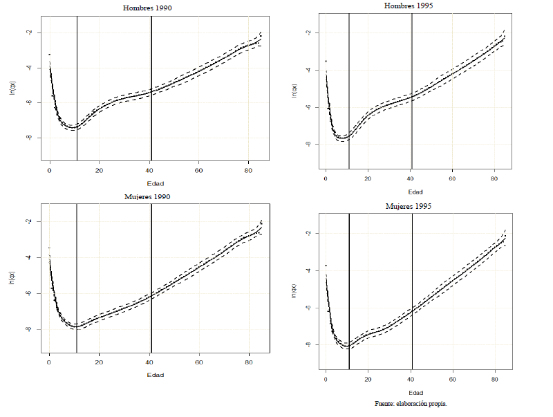
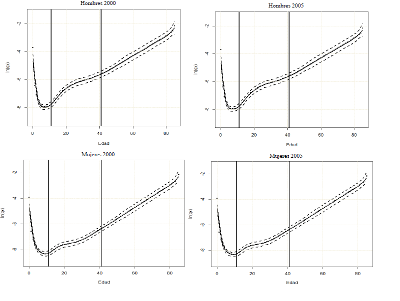
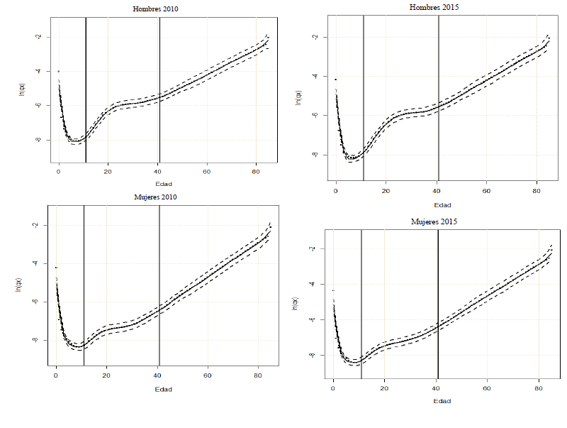
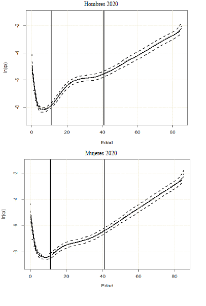
A continuación, se muestra la utilidad del uso de la herramienta de suavizamiento por segmentos aplicada a la serie de las log-tasas específicas de mortalidad log(qx ). Los datos que se emplean corresponden a hombres y mujeres en México para edades que cubren el rango de 0 a 85 o más años cumplidos, con experiencias referidas a los años 1990, 1995, 2000, 2005, 2010, 2015 y 2020. Las poblaciones corresponden a los contingentes de censos y conteos de población y vivienda de los años respectivos (INEGI, 1990, 1995, 2000, 2005, 2010, 2015 y 2020). Se eligieron los citados años, dado que es justo cuando se tiene el registro poblacional más reciente y observado a través de dichos instrumentos en México.
Se debe recordar que el objetivo primordial de este trabajo se centra en el estudio por segmentos de la mortalidad, con especial énfasis en el de adultos mayores de 41 años, que es el grupo de la población que como se verá, es el mayormente afectado por el exceso de mortalidad. La segmentación se realiza fijando primero los valores de los puntos de corte en la escala de edad, en N1 = 11 y N2 = 41, es decir, en 10 y 40 años de edades alcanzadas. Con estos valores se realizó la estimación de la tendencia suavizada para hombres y mujeres, y se obtuvieron los resultados a nivel nacional mostrados en las Figuras 2 y 3. En estas figuras se aprecia que, al calibrar distintos niveles de suavidad, uno para cada segmento, se tiene una mejor graduación para cada uno de los segmentos.


De hecho, la suavidad global se mantuvo en 75 por ciento de acuerdo con la sugerencia de Silva et al. (2022), en la que se fija este porcentaje para no perder de vista la interpretación demográfica de los resultados del suavizamiento. Mientras que en el primer segmento se empleó el índice de suavidad S1 = 65 por ciento, en el segundo de S2 = 75 por ciento, y en el tercero S3 = 78.3 por ciento, cuyas correspondientes constantes de suavizamiento resultaron ser (1 = 2.4, (2 = 4.9, y (3 = 10.3, con estos valores se obtuvo que la varianza del error de la tendencia estimada fue .
Asimismo, se realizó la estimación de la tendencia de mortalidad para los seis quinquenios anteriores (1990, 1995, 2000, 2005, 2010, 2015), cuyos resultados se presentan en las Figuras 2 y 3.


Las graduaciones logradas con la misma suavidad de 75 por ciento para la tendencia global, de la misma manera que para el segmento intermedio, se aprecian muy cercanas a los datos estimados por CONAPO. También debe quedar de manifiesto que, a través de la técnica propuesta, se pueden estimar intervalos de la propia curva (en este caso se presentan los de dos desviaciones estándar). Adicionalmente, se puede analizar el patrón de la mortalidad a través del tiempo, que se aprecia mayor en el año 2020, como resultado de la pandemia de Covid-19, que en los otros años considerados. En realidad, de acuerdo con Silva (2021), a nivel nacional, el incremento en mortalidad puede medirse en términos de las esperanzas de vida al nacer: 69.89 años en 2020, 71.85 en 2015, 71.64 en 2010, 72.62 en 2005, 72.04 en 2000, 69.50 en 1995 y 67.97 en 1990. Si se desagrega por sexo, la esperanza de vida al nacer es de 66.88 y 73.66 años en 2020 para hombres y mujeres, respectivamente; 70.62 y 75.43 en 2015; 70.57 y 75.66 en 2010; 71.61 y 75.71 en 2005; 71.42 y 75.51 en 2000; 69.64 y 73.85 en 1995; 68.51 y 72.96 en 1990. Esto muestra evidencia de que el año con mayor mortalidad, 2020, produce menor expectativa de vida al nacer que en los quinquenios previos, particularmente en la población de hombres en que se vislumbra que la expectativa de vida es incluso menor que la de 1995.
Otra manera de medir el efecto de mayor mortalidad causada por el Covid-19 es considerar su impacto por grupo etario; para esto, calculamos la esperanza de vida temporal. Los resultados a nivel nacional y por entidad federativa para hombres y mujeres se presentan en las Tablas 1 a 6 (ordenados de manera decreciente en función de los resultados para el año 2020). En la Tabla 1, se muestra que la esperanza de vida temporal, en hombres entre 41 y 80 años, a nivel nacional fue de 30.45, 30.59, 31.27, 31.22, 30.72, 30.61 y 27.71 para los años estudiados. Es evidente que el máximo se alcanzó en 2000 y el mínimo en 2020. Es además notorio que, en 2020, el indicador es menor incluso que el de 1990 y que la diferencia en términos absolutos entre el máximo y el mínimo es de -3.56 años con un decremento relativo anual de -0.53 por ciento.

En la misma Tabla 1 se observa que la esperanza de vida temporal masculina mostró una caída después de 2000 en casi todas las entidades del país. Se aprecia que, en 30 de los 32 estados del país, la esperanza de vida temporal en los siete quinquenios analizados disminuyó hasta alcanzar su mínimo en 2020. Asimismo, se observó que, en 2020, el número de estados con esperanza de vida temporal por debajo de la media nacional en 2000 se incrementó de 17 a 32 estados. También, 27 de los 32 estados muestran una disminución en valor absoluto de 2 o más años de esperanza de vida temporal con respecto a su nivel máximo mostrado en el periodo de análisis (Figura 4); mientras que, en términos del índice de cambio relativo, se observa que el número de estados con un incremento de más de medio punto porcentual en su esperanza de vida temporal fue de 12 (Figura 5).


La Tabla 1 muestra que Ciudad de México, Baja California, Puebla, Tlaxcala, Chihuahua, Sonora, Coahuila, Estado de México, Quintana Roo, Morelos y Tabasco fueron, en ese orden, los estados con mayor disminución en la esperanza de vida temporal (por debajo de la media nacional de 27.71 años en 2020). El cambio absoluto entre 2020 y el año en el que alcanzaron su máximo de esperanza de vida temporal fue de -7.10, -5.51, -5.76, -4.86, -4.17, -4.13, -3.94, -3.74, -3.61, -4.03 y -3.82 años en el mismo orden y su índice de cambio relativo anual fue de -1.02, -0.79, -0.89, -0.76, -0.60, -0.60, -0.58, -0.54, -0.52, -0.62, -0.57 por ciento (Figuras 4 y 5, respectivamente)
En la última columna de la Tabla 1, se observa que, en la Ciudad de México, Baja California, Chihuahua, Sonora, Coahuila, Estado de México, Quintana Roo, Nuevo León, Colima, Baja California Sur, y Michoacán, en 2015 presentaron cifras de esperanza de vida temporal por arriba de la media nacional; asimismo se observó un decremento relativo anual de -14.22, -12.19, -9.16, -8.58, -7.97, -8.94, -7.47, -6.34, -7.20, -5.09 y -3.21 por ciento en 2020. Por otra parte, se debe destacar que Nayarit es el único estado que presenta en 2020, un incremento relativo anual en la esperanza de vida temporal de 0.73 por ciento con respecto a 2015.
Para el caso de las mujeres entre 41 y 80 años, la Tabla 2 muestra que la esperanza de vida temporal a nivel nacional fue de 32.26, 32.35, 33.23, 33.24, 33.19, 32.99 y 31.59 para los años estudiados. Se observa que el máximo se alcanzó en el 2005 y el mínimo en 2020. Igual que en el caso de los hombres, en 2020 el indicador es menor incluso que el de 1990 y que la diferencia en términos absolutos entre el máximo y el mínimo es de -1.64 años con un decremento relativo anual de -0.28 por ciento.

La Tabla 2 también muestra que la esperanza de vida temporal de las mujeres mostró una caída después de 2000 en solo ocho estados del país. Se aprecia que, en 23 de los 32 estados del país, la esperanza de vida temporal en los siete quinquenios analizados disminuyó hasta alcanzar su mínimo en 2020.
Asimismo, se observó que, en 2020 el número de estados con esperanza de vida temporal por debajo de la media nacional en 2005 se incrementó de 11 a 30 estados. También 10 de los 30 estados muestran una disminución en valor absoluto de dos o más años de esperanza de vida temporal con respecto a su nivel máximo mostrado en el periodo de análisis (Figura 6); mientras que, en términos del índice de cambio relativo, se observa que el número de estados con un incremento de más de medio punto porcentual fue de cinco (Figura 7).


La Tabla 2 muestra que Ciudad de México, Puebla, Coahuila, Baja California, Tabasco, Chihuahua, Sonora, Campeche, Quintana Roo, Tlaxcala, Guanajuato, Nuevo León y Estado de México fueron, en ese orden, los estados con mayor disminución en la esperanza de vida temporal (en diez de los estados mencionados, por debajo de la media nacional de 31.59 años en 2020). El cambio absoluto entre 2020 y el año en el que alcanzaron su máximo de esperanza de vida temporal fue de -3.46, -2.95, -2.98, -2.97, -2.91, -2.68, -2.36, -1.81 , -2.01, -2.24, -2.07, -1.70 y -1.62 años en el mismo orden y su índice de cambio relativo anual fue de -0.61, -0.51, -0.52, -0.53, -0.52, -0.48, -0.41, -0.30, -0.35, -0.41, -0.39, -0.30, -0.22 por ciento (Figuras 6 y 7, respectivamente).
En la última columna de la Tabla 2, se observa que en estados como Ciudad de México, Coahuila, Baja California, Chihuahua, Sonora, Quintana Roo, Tamaulipas, Guanajuato, Nuevo León, Zacatecas, Durango, Baja California Sur, Aguascalientes, Querétaro, Jalisco y Sinaloa, que en 2015 presentaron cifras de esperanza de vida temporal por arriba de la media nacional, se observó un decremento relativo anual de -9.7, -8.66, -8.88, -8.04, -6.82, -5.34, -4.83, -4.65, -5.18, -4.01, -3.57, -3.8, -3.06, -2.85, -2.40 y -0.66 por ciento en 2020. Por otra parte, se debe destacar que Guerrero, Oaxaca y Nayarit son los únicos estados que presentan en 2020, un incremento relativo anual en la esperanza de vida temporal con respecto a su nivel de 2015 de 2.09, 2.3 y 2.02 por ciento.
De los 15 estados que presentan la mayor disminución de esperanza de vida temporal en 2020 con respecto al año en el que alcanzaron su máximo, considerando hombres y mujeres, cinco se localizan en el norte y noroeste del país (Baja California, Chihuahua, Sonora, Nuevo León y Coahuila); tres en el centro sur (Ciudad de México, Estado de México y Morelos); tres en el sureste (Campeche, Quintana Roo y Tabasco); dos en el este del país (Puebla y Tlaxcala); uno en el centro (Guanajuato), y uno en el oeste (Colima) (Figuras 4 y 6).
La pérdida en la esperanza de vida temporal en los 15 estados se puede explicar parcialmente por los siguientes argumentos. De acuerdo con la ENSANUT (2018), en la población de hombres y mujeres entre 41 y 80 años, los 15 estados presentan al menos un factor de riesgo alto para enfermos infectados con Covid-19, por ejemplo: obesidad, diabetes o hipertensión. Baja California ocupa el primer lugar en obesidad en hombres (30.3 por ciento) y en mujeres (43.8 por ciento); noveno en hipertensión en hombres (26.4 por ciento) y cuarto en mujeres (38.7 por ciento); Sonora es primero en hipertensión en hombres (33.5 por ciento) y sexto en mujeres (38.4 por ciento); cuarto en obesidad en hombres (25.6 por ciento) y tercero en mujeres (38.5 por ciento); noveno en diabetes en mujeres (21.4 por ciento); Chihuahua es tercero en hipertensión en hombres (30.1 por ciento) y séptimo en mujeres (38.1 por ciento); segundo en obesidad en mujeres (40.5 por ciento); Coahuila es cuarto en hipertensión en hombres (29.6 por ciento) y noveno en mujeres (36.5 por ciento); sexto en diabetes en hombres (17.6 por ciento) y octavo en mujeres (36.5 por ciento); Nuevo León es quinto en diabetes en hombres (18.6 por ciento) y séptimo en mujeres (21.8 por ciento); octavo en hipertensión en hombres (26.6 por ciento) y décimo-sexto en mujeres (32.5 por ciento); décimo segundo en obesidad en hombres. Además, los cinco estados del norte comparten frontera con Estados Unidos y, a pesar de que, en marzo de 2020, México y Estados Unidos acordaron restringir el flujo de personas a viajes esenciales únicamente, las restricciones para los ciudadanos estadounidenses que ingresaban a México se aplicaron de manera laxa, contribuyendo así a un mayor número de contagios.
De los tres estados del centro sur del país, la Ciudad de México ocupa el quinto lugar en obesidad en hombres (23.8 por ciento) y décimo primero en mujeres (35.2 por ciento); sexto en hipertensión en hombres (28 por ciento) y décimo tercero en mujeres (28.8 por ciento); décimo tercero en diabetes en hombres (16.5 por ciento) y quinto en mujeres (22.2 por ciento); Morelos ocupa el primer lugar en diabetes en hombres (21.5 por ciento) y décimo octavo en mujeres (19.3 por ciento); décimo noveno en obesidad en hombres (20.4 por ciento), y vigésimo en hipertensión en hombres (22.2 por ciento); mientras que el Estado de México ocupa el vigésimo primer lugar en diabetes en hombres (15.4 por ciento); décimo noveno en hipertensión en hombres (22.2 por ciento).
La Zona Metropolitana del Valle de México (ZMVM), con una población de casi 22 millones de personas (INEGI, 2020), comprende las 16 alcaldías de la Ciudad de México, 59 municipios del Estado de México y un municipio del estado de Hidalgo. En 2010, según CONEVAL (2014), casi 35 por ciento de la población se encontraba en condiciones de pobreza. La pobreza dificulta el acceso a un buen sistema de salud y no permitirse el “lujo” de mantenerse confinado durante la pandemia. La baja educación reduce los conocimientos y las habilidades que permiten a las personas obtener un acceso más rápido a la información y los recursos para promover la salud (Link y Phelan, 1995). La alta densidad poblacional y la pobreza provocan que muchas de las familias vivan en condiciones de hacinamiento, y aumentan la tasa de transmisión de la pandemia dentro de las viviendas. Estos factores podrían explicar el por qué la ZMVM ha contribuido de forma desproporcionada a la mortalidad por Covid-19, acumulando 32.4 por ciento de las muertes confirmadas por Covid-19 en la población de hombres y 28.9 por ciento en la de mujeres, según datos de SS.
En el sureste, Campeche ocupa el tercer lugar en obesidad en hombres (25.6 por ciento) y décimo en mujeres (35.3 por ciento); cuarto en diabetes en hombres (19.6 por ciento) y primero en mujeres (28.7 por ciento); segundo en hipertensión en hombres (32.5 por ciento) y mujeres (39.7 por ciento); Tabasco es séptimo en diabetes en hombres (17.5 por ciento) y segundo en mujeres (23.4 por ciento); décimo segundo en hipertensión en hombres (25.5 por ciento) y tercero en mujeres (39.6 por ciento); décimo octavo en obesidad en hombres (21.3 por ciento); Quintana Roo con bajos niveles de estas comorbilidades, último lugar en diabetes en hombres (11.7 por ciento) y vigésimo cuarto en mujeres (17.1 por ciento); vigésimo octavo en hipertensión en hombres (17.3 por ciento) y penúltimo en mujeres (25.9 por ciento); vigésimo cuarto en obesidad en hombres (17.4 por ciento) y vigésimo en mujeres (30.9 por ciento); además, acumula 1.4 por ciento de las muertes por Covid-19. El porcentaje de muertes podría explicarse por el flujo de turistas a la ciudad de Cancún que en 2020 recibió 100 mil turistas, de los cuales la mayoría procedían de Estados Unidos, porque en México los viajes aéreos no se restringieron.
En el este, Tlaxcala es vigésimo segundo en obesidad en hombres (19.9 por ciento) y noveno en mujeres (35.5 por ciento); es décimo séptimo en diabetes en hombres (15.9 por ciento); Puebla es vigésimo segundo en diabetes en mujeres (17.8 por ciento).
En el oeste, Colima ocupa el octavo lugar en obesidad en hombres (23.3 por ciento) y sexto en mujeres (37.5 por ciento); segundo en diabetes en hombres (20.2 por ciento); décimo primero en hipertensión en hombres (25.6 por ciento); mientras que, en el centro, Guanajuato es séptimo en hipertensión en hombres (27.3 por ciento) y vigésimo en mujeres (29.7 por ciento); vigésimo primero en diabetes en hombres (15.3 por ciento) y décimo noveno en mujeres (18.9 por ciento).
De acuerdo con datos de la SS, entre los 15 estados que presentaron la mayor disminución de esperanza de vida temporal en 2020, se acumulan 54,004 (55.1 por ciento) de las 97,905 muertes de hombres y 36,191 (63.2 por ciento) de las 57,185 muertes de mujeres entre 41 y 80 años, cuya causa fue Covid-19, lo que representa 58.15 por ciento del total de muertes en la población de 41 a 80 años.
Las últimas seis columnas de las Tablas 1 y 2 representan el índice de cambio relativo promedio anual, que según Arriaga (1984), se calcula a partir del cambio relativo en la esperanza de vida temporal, que no es otra cosa que el aumento de años de esperanza de vida entre dos edades como proporción del aumento máximo posible. Si se analiza el índice de cambio relativo promedio anual a nivel nacional, se observa que la mortalidad parece haber empeorado a partir del quinquenio de 2000-2005, en el caso de los hombres, y en 2006-2010, en el de las mujeres, sin recuperarse el resto del periodo de análisis. La tendencia en el cambio relativo anual de la esperanza de vida temporal, a nivel nacional y en casi todos los estados, parece sugerir que la afectación del Covid-19 en la esperanza de vida temporal de este grupo etario no será temporal, y que mientras comorbilidades como la obesidad, diabetes e hipertensión que aumentan el riesgo de mortalidad de la infección prevalezcan en la población, la esperanza de vida temporal no se recuperará en el corto plazo. En este sentido, nuestro resultado es consistente con el presentado por OCDE (2019).
El segundo patrón de comportamiento que se percibe en la graduación de las tasas de mortalidad se conoce como la joroba y se interpreta como un periodo de exceso de mortalidad en un rango de edades que va desde el inicio de la pubertad y se extiende hasta edades adultas jóvenes, también llamada mortalidad media. Aunque todas las causas de muerte contribuyen, la mortalidad media está fuertemente relacionada con la conducta de riesgo de los hombres jóvenes (Camarda et al., 2016). Silva et al. (2022), muestran evidencia de que, a partir de la denominada guerra contra el narcotráfico en México, la esperanza de vida temporal ha retrocedido en este grupo etario y que tal comportamiento puede atribuirse a los homicidios como la causa de fallecimientos predominante dentro de las muertes violentas.
De acuerdo a la información del Secretariado Ejecutivo del Sistema Nacional de Seguridad Pública (SESNSP), de las 35,484 víctimas de asesinatos registrados de enero a diciembre de 2020, 30,795 son hombres, 3,752 son mujeres, y en 937 casos no se pudo determinar el género de las víctimas. En 2020, los asesinatos crecieron en 11 estados del país. Guanajuato, con 4,510 víctimas (13 por ciento del total de asesinatos registrados en el país) es el estado con más asesinatos registrados y además donde hubo un mayor crecimiento, 25 por ciento con respecto a 2019. Baja California ocupa el segundo lugar, con 2,906 homicidios; le siguen el Estado de México, con 2,793; Chihuahua, con 2,686; Jalisco, con 2,621; Michoacán, con 2,433; Sonora, con 1,584; Veracruz, con 1,457; Guerrero, con 1,435 y Zacatecas, con 1,065. El contraste son las entidades donde hubo reducciones importantes como Tlaxcala, cuyos crímenes cayeron 28.1 por ciento; Guerrero, con una caída de 23.5 por ciento, y Aguascalientes con una disminución de 21.5 por ciento.
Por otra parte, con datos preliminares del SESNSP hasta julio del 2020, Colima es el estado con la peor tasa de mortalidad por homicidio, con 51.2 casos por cada 100 mil habitantes. Le siguen Baja California, con 45.1; Chihuahua, con 43.8; Guanajuato, con 43.3; Zacatecas, con 33.5; Michoacán, con 29.5; Sonora, 28.7; Morelos, con 26.6; Quintana Roo, con 23.3; Guerrero, con 23.2, y Jalisco, con 17.9. Todas estas entidades superan el promedio nacional, el cual se ubica hasta julio de 2020, en 16 homicidios por cada 100 mil personas.
La Tabla 3 muestra que, para los hombres, Guanajuato, Zacatecas, Colima, Chihuahua, Puebla, Baja California, Morelos, Sonora, Ciudad de México, Michoacán y San Luis Potosí fueron, en ese orden, los estados con mayor disminución en la esperanza de vida temporal (por debajo de la media nacional de 29.18 años en 2020). El cambio absoluto entre 2020 y el año en el que alcanzaron su máximo de esperanza de vida temporal fue de -0.94, -0.85, -0.66, -0.62, -0.62, -0.60, -0.54, -0.51, -0.34, -0.32, -0.20 años en el mismo orden y su índice de cambio relativo anual fue de -1.81, -1.52, -1.18, -1.04, -1.04, -0.93, -0.87, -0.58, -0.59 por ciento.

Por su parte, la Tabla 4 muestra que, para las mujeres, Puebla, Ciudad de México, Baja California, Chihuahua, Guanajuato, Zacatecas, Colima, Tabasco, Jalisco y Sonora fueron, en ese orden, los estados con mayor disminución en la esperanza de vida temporal (por debajo de la media nacional de 29.71 años en 2020). El cambio absoluto entre 2020 y el año en el que alcanzaron su máximo de esperanza de vida temporal fue de -0.28, -0.22,-0.20, -0.17, -0.16, -0.13, -0.13, -0.10, -0.08, -0.08 años en el mismo orden y su índice de cambio relativo anual fue de -1.19, -1.10, -1.11, -1.03, -0.83, -0.82, -0.57, -0.64, -0.45, -0.39 por ciento.

Los estados más violentos en 2020 fueron los que tuvieron mayor disminución en la esperanza de vida temporal en hombres y mujeres de 10 a 40 años. Nuestros resultados son consistentes con los de Silva et al. (2022), González et al. (2012), Dávila y Prado (2013) y Aburto et al. (2016), en los que se enfatiza que la disminución de la esperanza de vida puede atribuirse a los homicidios como la causa de fallecimiento predominante dentro de las muertes violentas.
De la misma forma que en Silva et al. (2022), se destaca el comportamiento de Baja California Sur, Yucatán y Durango, estados en donde la esperanza de vida temporal en torno a la joroba aumentó en 2020. Si además se considera que solo 7.6 por ciento del total de muertes, cuya causa fue Covid-19 en 2020, ocurre en hombres y mujeres de entre 10 y 40 años, se podría suponer que los homicidios explican, en gran medida, el segundo patrón de comportamiento que se observa en torno a la joroba y que se interpreta como un exceso de mortalidad (Tabla 4).
Finalmente, en la Tabla 5 se aprecia que la esperanza de vida temporal masculina a nivel nacional, entre el nacimiento y los diez años (infantil), fue de 9.71, 9.80, 9.84, 9.87, 9.88, 9.89 y 9.91, respectivamente para los años estudiados. Mientras que en la Tabla 6 es visible que para las mujeres fue de 9.75, 9.83, 9.87, 9.89, 9.90, 9.91 y 9.93. Es claro que, a nivel nacional, el comportamiento de la esperanza de vida temporal entre el nacimiento y los nueve años, a través del tiempo, se mantiene con un ritmo de crecimiento lento, pero mayor que cero, tanto en hombres como en mujeres.


Las últimas seis columnas de las Tablas 5 y 6 representan el índice de cambio relativo promedio anual. Si analizamos el índice de cambio relativo promedio anual a nivel nacional, nos percatamos que la mortalidad parece haber empeorado en la década de 2006-2015 tanto para hombres como para mujeres, mientras que se recupera en el quinquenio 2016-2020. La tendencia en el cambio relativo anual de la esperanza de vida temporal parece describir lo que se ha sugerido sobre la no afectación del Covid-19 en este grupo etario, que será temporal (Leal et al. 2020 y Roberton et al. 2020).
En la Ciudad de México, Baja California, Tabasco y Puebla para los hombres; Ciudad de México, Tabasco, Baja California y Puebla, para las mujeres, que en 2015 presentaron cifras de esperanza de vida temporal por arriba de las registradas en 2020, se advirtió un decremento relativo anual de -16.76, -14.62, -5.22, -2.43 por ciento en el primer caso, y de -18.95, -6.85, -5.28, -1.69 por ciento en el segundo caso. Sin embargo, la tendencia en el cambio relativo anual de la esperanza de vida temporal en estos estados, en todo el intervalo de tiempo analizado, sugiere que la afectación del Covid-19 en este grupo etario será temporal.
Conclusiones
Con base en los resultados obtenidos se puede afirmar que el exceso de mortalidad en México, medido a través del indicador de esperanza de vida temporal en el año 2020, es notorio y heterogéneo por entidad federativa, sexo y grupo etario. Se ha manifestado de manera más aguda en las entidades que tienen alta incidencia en comorbilidades como diabetes, obesidad y sobrepeso, que son identificadas como un factor de riesgo que agrava el efecto del Covid-19. En particular, la Ciudad de México, Baja California, Puebla, Tlaxcala, Chihuahua, Sonora, Coahuila, el Estado de México, Quintana Roo, Morelos, Tabasco, Guanajuato y Nuevo león son las entidades más afectadas para ambos sexos.
Se aprecia que la caída de la esperanza de vida temporal y su dinámica medida a través del índice de cambio relativo anual, en el grupo más longevo analizado, indica que el efecto de la pandemia sobre la pérdida de esperanza de vida temporal no será transitorio y que mientras las comorbilidades mencionadas prevalezcan en la población, la esperanza de vida temporal no se recuperará en el corto plazo. Si además consideramos que el coronavirus llegó para quedarse, que a pesar de que la mayoría de los adultos sean inmunes después de una infección natural o mediante la vacunación y que el virus no represente una amenaza mayor que un resfriado común, su presencia se incorporará en factores de riesgo como la temperatura, emisiones de partículas micrométricas PM10 y PM2.5 que son letales en poblaciones de salud frágil y que viven en condiciones de marginación económica, incrementando el factor de riesgo en esta población y de esta forma disminuyendo su esperanza de vida (Islas et al., 2022). En este sentido, nuestro resultado es consistente con el presentado por OCDE (2019).
Otros factores por los cuales México ha experimentado una pandemia tan mortal son las disparidades socioeconómicas, que comprometen la capacidad de las personas para reducir su exposición al contagio y han limitado su acceso a los servicios de salud y tratamiento temprano. Por ejemplo, en 2010 según El Consejo Nacional de Evaluación de la Política de Desarrollo Social CONEVAL (2014), casi 35 por ciento de la población de la ZMVM se encontraba en condiciones de pobreza y alta densidad poblacional que provocan que muchas de las familias vivan en condiciones de hacinamiento, aumentando con esto la tasa de transmisión de la pandemia dentro de las viviendas. Estos factores podrían explicar el por qué la Zona Metropolitana del Valle de México (ZMVM) ha contribuido de forma desproporcionada a la mortalidad por Covid-19, acumulando 32.4 por ciento de las muertes confirmadas por Covid-19 en la población de hombres y 28.9 por ciento en la de mujeres, según datos de la SS. La pérdida de esperanza de vida temporal en hombres y mujeres de entre 41 y 85 años en la Ciudad de México es de 7.10 y 3.46 años, respectivamente; mientras que a nivel nacional es de 3.5 y 1.6 años.
El exceso de mortalidad causado por la crisis que ha generado la pandemia de Covid-19, sugiere como tema sustantivo el realizar re-estimaciones de diversos indicadores oficiales relativos a temas demográficos para México. De esta manera, se podría tener un marco geoestadístico acorde con las nuevas circunstancias derivadas tras los efectos de dicho evento y tomar así decisiones informadas, a partir de la nueva realidad.
En materia de política pública de salud, nuestros resultados sugieren que hay varias necesidades por atender en el corto o mediano plazo. Es verdad que la pandemia llegó del exterior y que era inevitable su llegada a México, pero también lo es que hizo más estragos que los esperados, aún en los peores escenarios previstos por las autoridades mexicanas. Esto se manifestó, entre otros factores, tanto por la condición preexistente en el estado de salud de la población mexicana (a pesar de que la edad mediana corresponde a una población joven en teoría menos vulnerable), así como por la necesidad de romper el confinamiento en sectores poblacionales por razones de supervivencia.
Se tenía previsto que el sistema de salud mexicano experimentara una transición hacia un sistema único, público y gratuito con la intención de integrar todos los servicios públicos de salud, durante el periodo 2019-2024. De acuerdo con el Programa de salud vigente, dada la magnitud y trascendencia del sobrepeso, la obesidad y la diabetes, se les había ubicado dentro de sus objetivos prioritarios, en particular en el de brindar un acceso efectivo, universal y gratuito y el de preservar la salud para el bienestar. Al respecto se comentaba que era indispensable reforzar y articular planes estratégicos para dichas enfermedades, mismos que incluían la prevención, la detección oportuna y el monitoreo de los pacientes diagnosticados. Ello implicaba propiciar el acceso a los servicios de salud y tratamiento temprano, mediante mayor disponibilidad de recursos económicos destinados a las principales instituciones de salud en México (SS, IMSS e ISSSTE), mismas que son las que brindan los servicios públicos. Dicha transición se vio afectada por la llegada de la pandemia y la política de austeridad del actual gobierno. Nuestro estudio examina cómo se desarrollan las disparidades del Covid-19 sobre la esperanza de vida temporal a nivel regional y podría proporcionar información sustantiva para proponer iniciativas de políticas de salud pública para mejorar el manejo de esta nueva enfermedad.
Por último, se considera que se tiene como aportación en el ámbito demográfico, una ilustración de la complementariedad que guarda el método estadístico de suavizamiento controlado por segmentos con el método para calcular esperanza de vida temporal propuesto por Arriaga (1984). Además, al controlar la suavidad en la graduación de las tasas de mortalidad, se pueden establecer comparaciones válidas entre tasas de mortalidad de diferentes poblaciones, así como para diferentes grupos etarios de una misma población.
Agradecimientos
Los autores agradecen al Editor, su staff y árbitros asignados por sus atenciones y observaciones, mismas que consideramos valiosas para la versión final de este trabajo. Eliud Silva dedica este trabajo a la memoria de la ejemplar Frida. Víctor M. Guerrero y Alejandro Islas-Camargo agradecen el apoyo económico de la Asociación Mexicana de Cultura, A.C. para la realización de este proyecto.
Referencias bibliográficas
Aburto, J., Beltrán, H., García, V. and Canudas, V., 2016, “Homicides in Mexico reversed life expectancy gains for men and slowed them for women, 2000-10”, in Health Affairs, 35(1), pp. 88-95. doi: 10.1377/hlthaff.2015.0068
Andrasfay, T. and Goldman, N., 2021, “Reduction in 2020 US life expectancy to Covid-19 and the disproportionate impact on the black and Latino population”, in Proceedings of the National Academy of Sciences. doi: 10.1073/pnas.2014746118
Arriaga, E., 1984, “Measuring and Explaining the Change in Life Expectancies”, in Demography, 21(1), pp. 83-96. doi: 10.2307/2061029
Camarda, C. G., Eilers, P. H. C. and Hampe, J., 2016, “Sums of smooth exponentials to decompose complex series of counts”, in Statistical Modelling, 16(4), pp. 279-296. doi: 10.1177/1471082X16641796
CONAPO, 2019, Indicadores demográficos para la República Mexicana, 1950-2050. México. Consejo Nacional de Población.
CONEVAL, 2014, Pobreza urbana y de las zonas metropolitanas en México. México. Disponible en http://www.coneval.gob.mx/Informes/Pobreza/Pobreza%20urbana/Pobreza_urbana_y_de_las_zonas_metropolitanas_en_Mexico.pdf
Dávila, C. y Pardo, A., 2013, “Análisis de la tendencia de la mortalidad por homicidios en México entre 2000 y 2010”, en Revista Gerencia y Políticas de Salud, 12(24), pp. 163-183. Disponible en http://revistas.javeriana.edu.co/index.php/gerepolsal/article/view/6099
Encuesta Nacional de Salud y Nutrición, 2018, Informe de resultados de la Encuesta Nacional de Salud y Nutrición.
González, G., Vega, M. y Cabrera, C., 2012, “Impacto de la violencia homicida en la esperanza de vida masculina de México”, en Revista Panamericana de Salud Pública, 32, pp. 335-342. Disponible en https://scielosp.org/article/rpsp/2012.v32n5/335-342/es/
Guerrero, V. M., 2007, “Time series smoothing by penalized least squares”, in Statistics and Probability Letters, 77, pp. 1225-1234. Disponible en doi.org/10.1016/j.spl.2007.03.006
Guerrero, V. M. and Silva, E., 2015, “Smoothing a Time Series by Segments of the Data Range”, in Communications in Statistics - Theory and Methods, 44:21, pp. 4568-4585. Disponible en doi: 10.1080/03610926.2014.901372
Guerrero, V. M., Islas-Camargo, A. and Ramirez-Ramirez, L., 2017, “Trend estimation of multivariate time series with controlled smoothness”, in Communications in Statistics - Theory and Methods, 46:13, pp. 6704-6726. Disponible en doi.org/10.1080/03610926.2015.1133826
Helleringer, S. and Noymer, A., 2015, “Magnitude of ebola relative to other causes of death in Liberia, Sierra Leone, and Guinea”, in The Lancet Global Health. 3(5), pp. e255-e256. Disponible en doi: 10.1016/S2214-109X(15)70103-8
Haupt, A. and Thomas, K., 2003, Population handbook: Guía rápida de población, 4ta edición, Washington, D.C., Population Reference Bureau.
Huttunen, R. and Syrjanen, J., 2010, “Obesity and the outcome of infection”, in Lancet Infect Dis, 10, pp. 442-443. Disponible en doi: 10.1016/s1473-3099(10)70103-1
INEGI, 1990, Censo de Población y Vivienda 1990. Tabulados del cuestionario básico, México, Instituto Nacional de Estadística y Geografía, México. Disponible en https://www.inegi.org.mx/
INEGI, 1995, Disponible en. Tabulados del cuestionario básico, México, Instituto Nacional de Estadística y Geografía, México. Disponible en https://www.inegi.org.mx/
INEGI, 2000, Censo de Población y Vivienda 2000. Tabulados del cuestionario básico, México, Instituto Nacional de Estadística y Geografía, México. Disponible en https://www.inegi.org.mx/
INEGI, 2005, Conteo de Población y Vivienda 2005. Tabulados del cuestionario básico, México, Instituto Nacional de Estadística y Geografía, México. Disponible en https://www.inegi.org.mx/
INEGI, 2010, Censo de Población y Vivienda 2010. Tabulados del cuestionario básico, México, Instituto Nacional de Estadística y Geografía, México. Disponible en https://www.inegi.org.mx/
INEGI, 2015, Encuesta intercensal 2015. Tabulados del cuestionario básico, México, México, Instituto Nacional de Estadística y Geografía, México. Disponible en https://www.inegi.org.mx/
INEGI, 2020, Censo de Población y Vivienda 2020. Tabulados del cuestionario básico, México, Instituto Nacional de Estadística y Geografía, México . Disponible en https://www.inegi.org.mx/
INEGI, 2021, Características de las defunciones registradas en México durante enero a agosto 2020. México, Instituto Nacional de Estadística y Geografía. Comunicado de prensa núm. 61/21. Disponible en https://www.inegi.org.mx/contenidos/saladeprensa/boletines/2021/EstSociodemo/DefuncionesRegistradas2020_Pnles.pdf
INSP, 2018, Encuesta Nacional de Salud y Nutrición 2018. Disponible en https://ensanut.insp.mx/encuestas/ensanut2018/informes.php
Islas, A., Alok, B. and Herrera, M., 2022, “Economic disparities in pollution-related mortality in three municipalities of the Metropolitan Area of the Valley of Mexico”, in Atmósfera 35(4), pp. 755-779. doi: 10.20937/atm.52962
Lavine, J. S., Bjornstand, O. N. and Antia, R., 2021, “Immunological characteristics govern the transition of COVID-19 to endemicity”, in Science, 371(6530), pp. 741-745. Disponible en doi: 10.1126/science.abe6522
Lamb, V. and Siegelm J., 2004, “Health Demography”, in Siegel, J. and Swanson, D. (eds.) The Methods and Materials of Demography, pp. 341-370, 2nd Edition. San Diego, CA: Elsevier Academic Press.
Leal, V., Martínez, C. y Sulmont, A., 2020, Desarrollo Humano y Covid-19 en México: Desafíos para una recuperación sostenible. Programa de las Naciones Unidas para el Desarrollo (PNUD).
Link, B., G. and Phelan, J., C., 1995, “Social Conditions as fundamental causes of disease”, in Journal of Health and Social Behavior, 35, pp. 80-94. Disponible en doi.org/10.2307/2626958
Marois, G., Muttarak, R. and Scherbov, S., 2020, “Assessing the potential impact of Covid-19 on life expectancy”, in PLOS ONE, 15(9), pp. 1-12. Disponible en doi.org/10.1371/journal.pone.0238678
Mejía, L. S. P., Fernández, J. L. W., Hernández, I. O., Ridaura, R. L., Ramirez, H. L. G., Avila, M. H., y Ávila, J. E. H., 2021, “Estimación del exceso de mortalidad por todas las causas durante la pandemia del Covid-19 en México”, en Salud Pública de México, 63(2), Disponible en pp. 211-224. doi.org/10.21149/12225
Milner, J. J. and Beck, M. A., 2012, “The impact of obesity on the immune response to infection”, in Proceedings of the Nutrition Society, 71(2), pp. 298-306. Disponible en doi:10.1017/S0029665112000158
Noymer, A. and Garenne, M., 2000, “The 1918 Influenza Epidemic´s Effects on sex differential in mortality in the United States”, in Population and Development Review, 26(3), Disponible en pp. 565-581. doi.org/10.1111/j.1728-44572000.00565.x
OECD, 2019, The Heavy Burden of Obesity: The Economics of Prevention, OECD Health Policy Studies, OECD Publishing, Paris. Disponible en doi.org/10.1787/67450d67-en.
Onder, G., Rezza, G. and Brusaferro, S., 2020, “Case-Fatality rate and characteristics of patients dying in relation to COVID-19 in Italy”, in JAMA 2020, 323(18), pp. 1775-1776. Disponible en doi:10.1001/jama.2020.4683
Roberton, T., Carter, E. D., Chou, V. B., Stegmuller, A. R., Jackson, B. D., Tam, Y., ... and Walker, N., 2020, “Early estimates of the indirect effects of the Covid-19 pandemic on maternal and child mortality in low-income and middle-income countries: a modelling study”, in The Lancet Global Health, 8(7), pp. e901-e908. Disponible en doi.org/10.1016/S2214-109X(20)30229-1
Silva, E., 2021, “Cuantificación preliminar del exceso de mortalidad por la pandemia de Covid-19 en México, 2020”, en presentación realizada en el seminario Visión sobre la Innovación, la Investigación y el Desarrollo de la Facultad de Ciencias Actuariales de la Universidad Anáhuac México, 19 de febrero de 2021.
Silva, E., Islas-Camargo, A. y Guerrero, V. M., 2022, “Esperanza de vida en torno a la joroba de mortalidad masculina en México con suavizamiento controlado por segmentos”, en Estudios Demográficos y Urbanos, 37(1), pp. 307-346. Disponible en doi.org/10.24201/edu.v37i1.2054
Ssentongo, P., Ssentongo, A. E., Heilbrunn, E. S., Ba, D. M. and Chinchilli, V. M., 2020, “Association of cardiovascular disease and 10 other pre-existing comorbidities with Covid-19 mortality: A systematic review and meta-analysis”, in PLOS ONE 15, pp. 1-16. Disponible en doi.org/10.1371/journal.pone.0238215
Williamson, E. J., Walker, A. J., Bhaskaran, K., Bacon, S., Bates, C., Morton, C. E., et al., 2020, “Factors associated with COVID-19-related death using OpenSAFELY”, in Nature, 584(7821), pp. 430-436. Disponible en doi.org/10.1038/s41586-020-2521-4
Zhou, Y., Yang, Q., Chi, J., Dong, B., Lv, W., Shen, L. and Wang, Y., 2020, “Comorbidities and the risk of severe or total outcomes associated with coronavirus disease 2019: A systematic review and meta-analysis”, in International Journal of Infectious Disease, 99, pp. 47-56. Disponible en doi.org/10.1016/j.ijid.2020.07.029
Anexo
Guerrero y Silva (2015): Suavizamiento controlado por segmentos
Se supone que los datos observados, en este caso las tasas específicas de mortalidad, pueden expresarse como un modelo de series de tiempo de señal más ruido, no porque se crea que los datos se generaron de esa manera, sino para considerar las regularidades empíricas de los datos; esto es , con la tendencia (o señal) y el ruido de {yi}, para i = 1,2,…, N, donde i representa, en el presente caso, la edad alcanzada al momento de la defunción. Entonces, se propone estimar la tendencia de la mortalidad por Mínimos Cuadrados Penalizados, para lo cual se debe resolver el siguiente problema
donde es la varianza de la desviación con respecto a la tendencia y es la varianza de , en donde se usa la expresión . El cociente de varianzas se conoce como parámetro de suavizamiento y sirve para equilibrar la suavidad de la tendencia contra su fidelidad a los datos originales, de manera que conforme , la tendencia se aproxima a un polinomio de primer orden y a medida que , se acerca más a los datos originales. Al resolver el problema de minimización (1) se obtiene un filtro para todo el rango de observaciones , es decir, un procedimiento que no requiere de un modelo estadístico formal, puesto que no se pretende hacer inferencia estadística. En lugar de estimar el parámetro , con un método estadístico del tipo de Máxima Verosimilitud, se calibra su valor y esta es la decisión más importante que se debe tomar para aplicar el método en la práctica. A veces, la tendencia se modifica debido a cambios en la varianza de la serie, lo cual se refleja en su suavidad. Por ello, aquí se considera una extensión del problema de minimización (1) que permite diferentes comportamientos de la tendencia en distintos segmentos de los datos observados que, a su vez, están vinculados a diferentes varianzas, una para cada régimen analizado. En este caso, se plantea un problema de minimización que toma en cuenta las diferentes tendencias en tres segmentos adyacentes y, por lo tanto, se deben calibrar tres diferentes ´s. Por simplicidad, se presenta el método para el caso de dos segmentos, que se generaliza con facilidad a más de dos segmentos, como se muestra en Guerrero y Silva (2015). El problema con dos segmentos se plantea como
donde y son las varianzas del primero y segundo segmento, con y observaciones, respectivamente; son las tasas específicas de mortalidad observadas en las edades x=1, …, N y es la tendencia.
El modelo de componentes no observables que subyace en el problema (2) se representa de manera matricial como
donde y es el vector de y’s, es el vector de tendencia, y son vectores de errores aleatorios provenientes de las sucesiones con con media cero, varianzas y , no autocorrelacionadas, y también es un vector de errores que surge de , otra sucesión con media cero, varianza y no autocorrelacionada, que tampoco está correlacionada con las otras dos sucesiones de errores. Además, K es una matriz de dimensión (N-2)×N, que representa el operador diferencia , cuyo x, j-ésimo elemento está dado por el coeficiente binomial , con . Para mayores detalles del método, se recomienda consultar el artículo de Guerrero y Silva (2015). Entonces, al usar Mínimos Cuadrados Generalizados (MCG) se obtiene el Mejor Estimador Lineal e Insesgado (MELI) del vector de tendencias, que tiene la siguiente expresión
donde es la matriz identidad de dimensión y , para j=1, 2. Las matrices son de dimensión y tienen la misma forma que la matriz K, con
El MELI también se puede llamar predictor, ya que de hecho se estima la realización de un vector aleatorio, en lugar del valor de un vector de constantes (una justificación para el uso de MCG en este contexto fue presentada por Guerrero, 2007). Además, la matriz de varianzas-covarianzas del estimador de MCG viene dada por
y los estimadores insesgados de las varianzas son , con SCR la suma de cuadrados de los residuos.
Para aplicar (3) - (6) se deben proporcionar los valores de , así como el punto de corte . Los parámetros de suavizamiento se eligen con el enfoque de suavidad controlada propuesto por Guerrero (2007), que se basa en medir la precisión relativa atribuible a una suavidad especificada, esto es, la segunda ecuación del modelo (3). Con este fin, se debe notar que la precisión que se logra al estimar la tendencia es la inversa de la matriz de varianza-covarianza, esto es, . Por lo tanto, la cantidad de suavidad que alcanza la tendencia de los datos no segmentados es . Es importante tener en mente que la suavidad que se puede alcanzar está limitada por conforme .
El porcentaje de precisión en cada segmento se mide con el siguiente índice
que cuantifica la suavidad lograda en el segmento j de los datos, donde
con . Por lo tanto, al fijar los valores de los índices , o equivalentemente, los porcentajes de suavidad, los parámetros de suavizamiento se obtienen al despejar en (8) los valores de .
El punto de corte se elige con el procedimiento de búsqueda sugerido en Guerrero y Silva (2015). Para ello, se decide primero la suavidad global para la tendencia y luego se elige el porcentaje de suavidad para el primer segmento, recordando que cuanta más variabilidad tienen los datos, más suavidad se requiere para estimar la tendencia. Finalmente, la suavidad para el segundo segmento se determina como S2 = (NS - N1S1) / (N - N1) y el punto de corte óptimo es el valor de que minimiza la varianza estimada del error. En la práctica no existe garantía de que exista dicho punto de corte, y por ello, Guerrero y Silva (2015), señalan la posibilidad de elegir el punto de corte de manera exógena.
Notes
Author notes