
Recepción: 21 Octubre 2024
Aprobación: 20 Febrero 2025
Publicación: 15 Enero 2026
DOI: https://doi.org/10.22185/24487147.2026.121.06
Resumen: Introducción: La economía plateada propone considerar a las personas de 50 años o más como una demanda potencial capaz de impulsar el crecimiento económico. Estudiar la factibilidad de adoptar este paradigma en Argentina es la motivación de este trabajo. Desarrollo: Si bien existe potencial demográfico en Argentina para aprovechar la economía plateada (evolución de la esperanza de vida al nacer y proporción de personas mayores de 50 años en todas las regiones del país), los recursos para financiar el consumo de estas generaciones no están asegurados. Esto se documenta analizando la evolución reciente de las posibles fuentes de financiamiento del consumo de este grupo etario (desahorro, salario y prestaciones de la seguridad social). Conclusiones: En Argentina aún persiste una visión negativa tradicional del envejecimiento y no hay señales de que este nuevo paradigma pueda ser importado desde los países europeos, a menos que cambie la tendencia de pérdida de poder adquisitivo de los adultos mayores.
Palabras clave: Economía plateada, envejecimiento, crecimiento económico, Argentina.
Abstract: Introduction: The silver economy proposes considering people aged 50 or older as a potential demand capable of driving economic growth. Studying the feasibility of adopting this paradigm in Argentina is the motivation of this work. Development: Although there is demographic potential in Argentina to take advantage of the silver economy (evolution of life expectancy at birth and proportion of people over 50 years of age in all regions of the country), the resources to finance the consumption of these generations are not assured. This is documented by analyzing the recent evolution of the possible sources of financing the consumption of this age group (dissavings, salary and social security benefits). Conclusions: In Argentina, a traditional negative view of aging still persists and there are no signs that this new paradigm can be imported from European countries, unless the trend of loss of purchasing power of older adults changes.
Keywords: silver economy, aging, economic growth, Argentina.
Introducción
Según un informe de la Comisión Europea (CE), la economía plateada es “la suma de todas las actividades económicas que satisfacen las necesidades de las personas mayores de 50 años, incluidos los productos y servicios que compran directamente y la actividad económica adicional generada por este gasto” (European Commission, 2018, p. 6). Una revisión sistemática sobre el concepto encontró que 36.7 por ciento de los artículos revisados consideran a la economía plateada como una oportunidad de crecimiento económico (Maldonado, Castro, Sánchez, Lucchese y González, 2021), e incluso algunos países como Alemania y Francia la han adoptado como una estrategia de desarrollo (Felix, 2016). Incluso representantes del Banco Interamericano de Desarrollo (BID) la ven como un motor de recuperación económica con potencial para generar millones de nuevos empleos tras la pandemia en América Latina (Jiménez, Requejo, Foces, Okumjura, Stampini y Castillo, 2021). Las personas mayores son vistas como una demanda potencial creciente que podría funcionar como un motor de crecimiento para muchas empresas dedicadas a producir bienes y servicios para este grupo de edad.
Esta idea del consumo potencial como motor del crecimiento contrasta con la idea tradicional de entender la tasa de ahorro como un parámetro fundamental de los modelos de crecimiento económico. En este sentido, según el modelo de ciclo de vida de Ando y Modigliani (1963) y bajo una concepción tradicional del proceso biológico del envejecimiento, los agentes ahorran durante su vida activa con el fin de financiar el consumo durante su etapa de jubilación. Así, un aumento en la proporción relativa de personas mayores provocaría entonces una caída de la tasa de ahorro y, por ende, de la inversión, principal motor del crecimiento económico. Un informe muy citado en la literatura donde quedó consagrada esta visión apoyada no solo por Modigliani, sino también por referentes como Martin Feldstein y Milton Friedman es el llamado Envejecimiento sin crisis que publicó el Banco Mundial en 1994. En dicho informe se sugiere a los países en desarrollo que vienen experimentando la transición demográfica hacia sociedades más envejecidas que reformen de forma estructural sus sistemas de pensiones para privatizarlos total o parcialmente (Banco Mundial, 1994). Por su parte, los informes actuales del Fondo Monetario Internacional (FMI) siguen adhiriéndose a la “hipótesis del ciclo de vida” (Fondo Monetario Internacional, 2019, p. 4) aconsejando a los países del G-20 llevar a cabo reformas en los sistemas de salud y pensiones que contribuyan al ajuste de la política fiscal y también reformas en el mercado laboral que aumenten la participación de los trabajadores de mayor edad.
Sin embargo, la economía plateada supone que el consumo de las personas mayores puede financiarse. Dicha financiación puede provenir del desahorro acumulado durante la vida activa, de prestaciones del sistema de seguridad social (salud y pensiones) o de ingresos del mercado laboral en el caso de que continúen activos. Esta tercera opción es la única que no entraría en conflicto con las recomendaciones del FMI.
Si pensamos en el contexto latinoamericano, el escenario europeo se ve agravado por problemas asociados a un menor nivel de desarrollo de los países, combinado con una mayor tasa de envejecimiento. Según un informe del BID, América Latina y el Caribe es actualmente la región que está envejeciendo más rápidamente en el mundo y se espera que se convierta en la región con mayor porcentaje de personas mayores de 60 años en 2090. Además, el informe destaca que las personas mayores de esta región son mucho más vulnerables socioeconómicamente que sus contrapartes en países de altos ingresos de Europa, América del Norte o Asia Oriental (Okumura, Stampini, Buenadicha, Castillo, Vivanco, Sánchez, Ibarrán y Castillo, 2020).
En este contexto, cabe preguntarse si el paradigma de la economía plateada es una oportunidad real de crecimiento o tan solo un espejismo. Existen precedentes en la literatura de trabajos que se han propuesto investigar las oportunidades y desafíos que plantea el paradigma de la economía plateada en distintos países. Por ejemplo, Podgórniak-Krzykacz, Przywojska, Warwas (2020) exploran las oportunidades de la economía plateada en distintas regiones de Polonia, mientras que Felix (2016) hace lo propio en Brasil y Buzulukova and Lobova (2023) exploran las características distintivas del mercado turístico de la generación plateada en Rusia. Si bien estos trabajos enfatizan el potencial demográfico de la economía plateada (incremento del número de personas mayores de 50 años y, por ende, de las cantidades de bienes y servicios que se espera que consuman), ninguno de ellos indaga en la capacidad de financiamiento de ese consumo, que en definitiva era la preocupación tradicional de los organismos internacionales.
El objetivo de este trabajo es reflexionar sobre la viabilidad de la economía plateada como oportunidad de crecimiento para un país latinoamericano como Argentina. Para lograr este objetivo se proponen tres objetivos específicos: i) estudiar el potencial demográfico de la economía plateada en Argentina, considerando la heterogeneidad entre las distintas regiones; ii) estudiar la evolución del poder adquisitivo de las generaciones plateadas (personas de al menos 50 años), a fin de evaluar si, además de crecer en número, existe efectivamente el poder adquisitivo necesario que presupone el paradigma de la economía plateada; y, finalmente, iii) estudiar cómo se distribuye la población de 50 años o más en Argentina según su estatus de actividad y nivel educativo, a fin de asociarlo con la fuente de donde estas generaciones obtienen recursos para financiar su consumo.
En la siguiente sección se explica la metodología utilizada para lograr cada uno de los objetivos específicos, en una sección posterior se reportan los resultados obtenidos y en las dos últimas secciones se aborda su discusión y conclusión.
Materiales y métodos
Potencial demográfico de la economía plateada
Para dar cuenta del potencial demográfico relativo de la economía plateada en Argentina, se presenta información estadística de organismos nacionales e internacionales. Al respecto, la Organización de las Naciones Unidas (ONU) elabora informes periódicos sobre el avance del envejecimiento poblacional en el mundo. En Argentina, comparamos datos de los dos últimos censos nacionales de población realizados por el Instituto Nacional de Estadística y Censos (INDEC) para constatar el aumento de la proporción de personas de 50 años o más. Además, graficamos cuartiles de la variable proporción de personas de 50 años o más por jurisdicción de Argentina (23 provincias y la Ciudad Autónoma de Buenos Aires) para estudiar el patrón geográfico del envejecimiento.
Capacidad de financiación de las personas mayores
Para evaluar la capacidad de financiamiento de las personas mayores, se estudió la evolución de dos series de tiempo entre el primer trimestre de 2017 y el tercer trimestre de 2024 (último dato disponible): los ingresos totales de las personas de 50 años o más y la parte de esos ingresos totales que corresponde a jubilaciones o pensiones (financiadas por el sistema de seguridad social). En este caso, los datos provienen de la Encuesta Permanente de Hogares (EPH) y ambas series se consideran en términos reales. Para corregir por inflación se utiliza el Índice Nacional de Precios al Consumidor (IPCN) publicado por el INDEC con base 100 en diciembre de 2016, lo que justifica el período de tiempo seleccionado (para poder expresar la serie en términos reales corrigiendo la inflación con el mismo criterio). A su vez, se presenta la evolución en términos reales durante el mismo período de las fuentes que financian el sistema de seguridad social (salarios de trabajadores formales y recaudación tributaria). Por último, se presenta la proporción de trabajadores activos formales que sostienen al sistema de seguridad social con aportes y contribuciones sobre su salario.
Población mayor de 50 años según categoría de actividad
Finalmente, con el fin de discutir el aumento de la edad mínima de jubilación como solución a los problemas de crecimiento económico (tanto desde la perspectiva tradicional como desde el enfoque de la economía plateada), estudiamos cómo evolucionó la proporción de personas de 50 años o más ocupadas, paradas o inactivas según los datos de los dos últimos censos nacionales de población. Asimismo, clasificamos a esta población según máximo nivel educativo alcanzado, género y grupo etario.
Resultados
Potencial demográfico de la economía plateada en Argentina
Según el informe de la ONU Leaving No One Behind In An Ageing World elaborado en 2023, se espera que el número de personas de 65 años o más en todo el mundo aumente más del doble en 2050. La mayoría de los países más desarrollados han experimentado un envejecimiento poblacional a lo largo de varias décadas y ya se encuentran en etapas avanzadas de este proceso (United Nations Organization, 2023).
A nivel global, la evolución de la esperanza de vida al nacer (EVN) muestra un aumento continuo y progresivo (Oeppen y Vaupel, 2002). Estos aumentos están fundamentalmente ligados a la disminución de las tasas de mortalidad, principalmente la infantil (Robles, Bernabeu y Benavides, 1996). A su vez, este fenómeno probablemente ha estado influenciado por los múltiples avances que se han producido en los últimos años en el marco de intervenciones sanitarias, vacunas, acceso a servicios de salud, urbanización, entre otros (Latorre, 2019).
Durante el periodo 1950-2019, la región de América Latina y el Caribe aumentó su EVN en 23.1 años, reduciendo la brecha con Europa y América del Norte a 4.8 años. Esto puede deberse a que las regiones con altos niveles de mortalidad tienen la posibilidad de recibir tecnología sanitaria de aquellas regiones con bajos niveles de mortalidad. En consecuencia, la EVN en las primeras aumenta más rápidamente que en las regiones desarrolladas, debido a la notable reducción de la mortalidad en las primeras etapas de la vida, especialmente durante la infancia y el nacimiento. En Argentina en particular, la EVN se ha posicionado por encima del promedio de América Latina desde mediados del siglo XX, alcanzando los 76 años entre 2010 y 2019 (Figura 1).

Sin embargo, la definición de economía plateada adoptada por la Comisión Europea es la de Oxford Economics (European Commission, 2015) y considera el umbral de los 50 años para clasificar a la generación joven de la generación plata. Por ello, cabe preguntarse cómo ha evolucionado la proporción de personas de 50 años o más en Argentina entre los dos últimos censos de población (2010-2022). En la Figura 2 se muestra a qué cuartil de la variable proporción de personas de al menos 50 años pertenece cada jurisdicción de Argentina según los datos del último Censo Nacional de Población realizado por el INDEC.

Se observa que la proporción de personas de 50 años o más varía sustancialmente entre las distintas jurisdicciones del país, siendo mayor en las regiones centrales en relación a las regiones norte y sur. En particular, la jurisdicción más envejecida del país es la Ciudad Autónoma de Buenos Aires (CABA) con 34 por ciento de personas de 50 años o más, proporción ocho puntos superior a la media nacional (26 por ciento).
Como sucede a nivel mundial, las regiones con menor envejecimiento en el censo anterior (INDEC, 2010) son también las que experimentaron la mayor tasa de crecimiento en la proporción de personas de al menos 50 años. Así, por ejemplo, mientras en CABA esta cifra aumentó apenas 0.8 por ciento, en la provincia de Mendoza pasó de 19.1 a 26.2 por ciento entre 2010 y 2022, lo que está dando lugar a una convergencia gradual entre regiones. Sin embargo, el acelerado proceso de envejecimiento poblacional que está ocurriendo en Argentina y otros países de América Latina está generando preocupaciones sobre el financiamiento del consumo potencial de las personas mayores, un motor de crecimiento bajo el nuevo paradigma de la economía plateada.
Oportunidades para financiar la economía plateada en Argentina
Como se mencionó anteriormente, el paradigma de la economía plateada supone que o bien existe una población envejecida con ahorros o recursos propios (generados durante su vida laboral o como resultado de su permanencia en el mercado de trabajo), o bien existe un sistema de seguridad social al que se destina un alto porcentaje del presupuesto nacional y éste se invierte en atención de salud para los adultos mayores, jubilaciones y pensiones. Si tales situaciones no corresponden a la realidad de un país o región, será difícil aprovechar las oportunidades de la economía plateada, ya que los recursos no estarían fluyendo hacia el financiamiento de ese consumo potencial.
En esta sección nos planteamos dos preguntas simples: i) ¿cómo ha evolucionado el ingreso real de las personas de 50 años o más en Argentina en los últimos años? y ii) ¿qué proporción de ese ingreso proviene del ahorro, de las rentas o del trabajo y qué proporción proviene del sistema de seguridad social (jubilaciones y pensiones)?
En la Figura 3 se muestra la evolución entre 2016 y 2024 del ingreso individual medio total de las personas de 50 años o más en Argentina, así como la parte de ese ingreso que proviene de pensiones, según datos de la EPH. Para corregir los valores nominales se utilizó el IPCN publicado por el INDEC con base 100 a diciembre de 2016; es decir, los valores están expresados en pesos constantes de diciembre de 2016. Finalmente, los valores están ponderados por la cantidad de personas que representa cada encuestado a nivel nacional.

Se observa que tanto los ingresos por pensiones como los ingresos totales de los adultos mayores (que suman a los ingresos por pensiones los ingresos por salarios por permanencia en la actividad, alquileres, ganancias de un negocio, intereses o ingresos financieros, subsidios o ayudas) muestran una tendencia negativa en términos reales durante los últimos ocho años. También se observa que la proporción de los ingresos totales que representan las pensiones fluctuó entre 46 y 76 por ciento durante el período analizado. Esto indicaría que los recursos para financiar el creciente consumo de este grupo etario no están evolucionando favorablemente, pese al potencial demográfico.
Además, los recursos que financian el sistema previsional en Argentina provienen en parte de contribuciones fijas sobre el salario o la renta de los trabajadores formales y en parte de la recaudación general de impuestos. En relación a los empleados formales, se sabe que los trabajadores en relación de dependencia representan aproximadamente 70 por ciento del total y, entre ellos, solo 60 por ciento percibe descuento jubilatorio. Los trabajadores independientes son en su mayoría monotributistas, lo que significa que pagan un único impuesto de suma fija, parte del cual se destina a seguridad social. De tal manera, el grueso de los ingresos contributivos del sistema previsinal proviene del salario de empleados formales. El indicador para considerar la evolución del salario es la Remuneración Imponible Promedio de los Trabajadores Estables (RIPTE), indicador que publica el Ministerio de Trabajo, Empleo y Seguridad Social (MTEySS), el cual cayó 24 por ciento en términos reales entre enero de 2017 y noviembre de 2024 (MTEySS, 2024). A su vez, según informes de la Administración Federal de Ingresos Públicos (AFIP), los impuestos que financian el sistema previsional (recursos no contributivos) han experimentado leves subas o reducciones en términos reales entre enero de 2017 y octubre de 2024: IVA (tres por ciento), impuesto al cheque (uno por ciento), impuesto adicional a los cigarrillos (-57 por ciento), Monotributo (-30 por ciento) e impuesto a los combustibles (seis por ciento), entre otros (AFIP, 2024).
Por otro lado, existe en Argentina un organismo que se encarga de financiar las prestaciones médico-sanitarias de la población jubilada. El Instituto Nacional de Servicios Sociales para Jubilados y Pensionados (INSSJyP) fue creado en 1971 con el objetivo de brindar servicios de asistencia médica tendientes a promover, proteger y restablecer la salud de los beneficiarios del sistema previsional y su grupo familiar (Ley 19.032, 1971) y es la obra social con mayor número de afiliados a nivel nacional. Su creación tuvo como finalidad complementar los beneficios previsionales, facilitando el acceso a las prestaciones de salud. Sus características lo convirtieron en la única institución en el mundo comparable a Medicare en Estados Unidos (Lloyd-Sherlock, 2003). Como subsistema del sistema de seguridad social argentino, el INSSJyP se financia también con aportes de empleados y empleadores sobre el salario o ingreso de los trabajadores formales, así como con aportes sobre las pensiones de los propios beneficiarios. Así, una reducción de los salarios reales y de las jubilaciones también reduce las fuentes de financiamiento de este organismo. Así, la información estadística en Argentina revela que no sólo está cayendo el poder adquisitivo de la generación plateada (personas de al menos 50 años), sino que también los recursos reales destinados a financiar las prestaciones de la seguridad social (jubilaciones, pensiones y bienes y servicios de salud) se mantienen constantes o se reducen en el tiempo. En estas condiciones, el paradigma de la economía plateada sólo tiene potencial demográfico, pero no el poder adquisitivo de esa demanda, lo que limita sustancialmente las expectativas que pueden depositarse en este paradigma como oportunidad de crecimiento.
Oportunidades asociadas a la oferta laboral de la generación plata en Argentina
Mientras algunos autores sostienen que “la economía plateada abarca una amplia diversidad de individuos en términos de estatus, ingresos, salud y antecedentes sociales y culturales, con más de 50 mercados para baby boomers ricos, jubilados activos, así como adultos mayores pobres y frágiles, en su mayoría mujeres solteras en riesgo de dependencia y aislamiento social” (Cornet, 2015, p. 319), otros autores afirman que “el supuesto clave detrás del concepto de economía plateada es considerar a las personas mayores como ciudadanos activos, consumidores, empleados y empleadores o empresarios” (Podgórniak-Krzykacz, Przywojska and Warwas, 2020, p. 21).
Esta inconsistencia en el paradigma plateado implicaría que no bastaría con que las personas mayores aumentaran en número, sino que también debería estudiarse el perfil de envejecimiento para ver qué proporción de este grupo de edad disfruta de un envejecimiento activo o saludable según la definición de la Organización Mundial de la Salud (Rudnicka, Napierała, Podfigurna, Męczekalski, Smolarczyk and Grymowicz, 2020). De hecho, representantes del BID señalan que diversas iniciativas relacionadas con la economía plateada están orientadas a incentivar el envejecimiento activo (Jiménez, Requejo, Foces, Okumjura, Stampini and Castillo, 2021). Algunos países de la Unión Europea ya están trabajando en un indicador para medir el envejecimiento activo en países europeos (Zaidi, 2013) y se fomenta su aplicación en países no europeos (United Nations Economic Commission for Europe and European Commission, 2018).
Una de las dimensiones del Índice de Envejecimiento Activo propuesto por la Comisión Europea para medir este fenómeno tiene que ver con la participación laboral de las personas mayores de 50 años (Zaidi, 2013), ya que, como ya se mencionó, esta es la única propuesta del paradigma de la plata que no entraría en conflicto con las recomendaciones del FMI. Un estudio bibliométrico sobre la economía plateada concluyó que la edad de jubilación es una variable de insumo crucial en el estudio de este tema que debe ser monitoreada de cerca para observar la tendencia en este mercado (Marcucci, Ciarapica, Poler and Sanchis, 2021). Al mismo tiempo, el nuevo paradigma incentiva a las propias personas mayores a convertirse en emprendedores de plata (Álvarez, Esparza, Bañuelos, Villegas, Llamas, Arredondo, Hernández, García, Alvarado, López, 2022).
En este contexto, cabe preguntarse si el aumento del número de personas de 50 años o más se ha traducido en una mayor participación de estas personas en el mercado laboral. La Figura 4 muestra cómo se distribuye la población de 50 años o más por estatus de actividad económica según la información de los dos últimos censos nacionales de población.

Aunque el número de personas de 50 o más años aumentó 26.8 por ciento entre 2010 y 2022, la proporción de personas ocupadas disminuyó en todos los grupos de edad, mientras que la proporción de desempleados e inactivos aumentó (en el grupo de 50 a 54 años solo aumentó la proporción de desempleados, mientras que la proporción de personas ocupadas e inactivas disminuyó). Esta situación pone en duda la posibilidad de elevar la edad mínima de jubilación como posible solución a los desafíos económicos del envejecimiento poblacional (tanto desde una perspectiva tradicional que se adhiere al modelo del ciclo de vida como desde la perspectiva del nuevo paradigma de la economía plateada). Si las personas que se incorporan a la generación plateada sufren cada vez más el desempleo (buscan trabajo y no lo encuentran), una mayor oferta laboral solo empeorará esta situación.
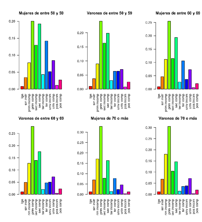
En este sentido, cobra relevancia estudiar el nivel de calificación de las personas mayores según género y grupo etario. La Figura 5 muestra cómo se distribuyen las personas mayores según nivel educativo máximo alcanzado, género y grupo etario. Se encuentra que hasta los 69 años la mayor concentración de personas de ambos sexos se da en secundario completo o incompleto. A partir de los 70 años se observa mayor frecuencia relativa en primario completo o incompleto, indicando que las nuevas generaciones alcanzaron niveles más altos en promedio, lo que también se verifica al examinar la proporción que alcanzó estudios superiores terciarios o universitarios entre personas de 50 a 59 años (32 por ciento mujeres y 22.7 por ciento de varones) comparado con esa misma proporción entre personas de más de 70 años (16 por ciento tanto mujeres como varones). Esto último nos habla además de una brecha de género a favor de las mujeres en términos educativos para las generaciones más jóvenes. Esto es importante en tanto oferta laboral potencial de estas personas, así como también en tanto consumidores con un perfil de mayor nivel educativo.
Discusión
Al igual que otros países de la región, Argentina está envejeciendo rápidamente. El potencial demográfico para crear un mercado de plata es indiscutible. Sin embargo, si se estudia la evolución del poder adquisitivo de las personas de al menos 50 años, se encuentra que esta capacidad disminuye gradualmente con el tiempo, y lo mismo ocurre con los recursos destinados a financiar el sistema de pensiones y el sistema de beneficios médico-sanitarios para jubilados.
Esta situación puede diferir mucho de lo que ocurre en Estados Unidos y Europa, donde los individuos de al menos 50 años aportan 70 por ciento del ingreso neto total y han aumentado su consumo durante las últimas décadas (Buzulukova and Lobova, 2023).
En efecto, en un estudio del BID que tuvo como objetivo mapear los actores de la economía plateada en América Latina, los autores concluyen que la preponderancia de los sectores de salud y cuidados en este mercado podría sugerir que el papel de las personas mayores en el consumo activo, la inversión y el mercado laboral en la región aún es limitado. Además, muchas de las iniciativas descritas como innovaciones plateadas están dirigidas a un perfil socioeconómico alto (Jiménez, Requejo, Foces, Okumjura, Stampini y Castillo, 2021).

Reshetnikova, Boldyreva, Perevalova, Kalayda and Pisarenko (2021) llegaron a un resultado similar en Rusia; los autores afirman que las limitaciones de la economía plateada en Rusia se deben a la falta de recursos financieros de las personas mayores que no pueden satisfacer el alto nivel de demanda efectiva. Sin embargo, los autores depositan esperanzas en la gestión privada de los fondos de pensiones, aunque reconocen que la experiencia rusa del componente de capitalización en la provisión de pensiones ha sido negativa debido a la baja eficiencia inversora de las administradoras (Reshetnikova, Boldyreva, Perevalova, Kalayda and Pisarenko, 2021).
En este sentido, Argentina decidió eliminar el subsistema de gestión de fondos de pensiones privados que estuvo vigente durante 14 años (1994-2008), debido, entre otras razones, a la incapacidad del sistema para mantener estándares mínimos de cobertura y adecuación de los beneficios. Los fondos acumulados durante esos 14 años se utilizaron para crear el Fondo de Garantía y Sustentabilidad (FGS), que sólo puede destinarse al pago de prestaciones previsionales y sus activos deben invertirse conforme a criterios adecuados de seguridad y rentabilidad que contribuyan al desarrollo sostenible de la economía real, “con el fin de garantizar el círculo virtuoso entre el crecimiento económico y el incremento de los recursos de la seguridad social” (Ley 26.425, 2008, p. 2). Sin embargo, esto no ha sido necesariamente así desde entonces (un estudio detallado del desempeño del FGS excede el alcance de este trabajo).
Por otro lado, al estudiar la distribución de la generación plateada según nivel de actividad, se encuentra que la proporción de ocupados disminuyó entre 2010 y 2022, mientras que la proporción de inactivos y desempleados aumentó. Esto implicaría que la receta tradicional de aumentar la edad mínima de jubilación podría terminar aumentando el número de desempleados en esta generación, sin resolver el problema de financiamiento. Esto es así aun cuando los niveles educativos de las sucesivas generaciones de personas mayores demuestren haberse elevado con el tiempo con una brecha de género a favor de las mujeres en las generaciones más jóvenes.
Sin embargo, el papel de los gobiernos en la promoción del uso de estos mercados no ha sido muy relevante hasta ahora. Tanto Felix (2016) en Brasil como Podgórniak-Krzykacz Przywojska and Warwas (2020) en Polonia coinciden en la falta de articulación de políticas que incluyan tanto al sector público como al privado y que sean coordinadas entre distintas jurisdicciones. Además, en América Latina aún prevalece en el debate público una visión negativa del envejecimiento con un tono repetitivo centrado en la presión fiscal (Felix, 2016), lo que parece indicar que en estos países aún estamos lejos de ver a la economía plateada como una oportunidad de crecimiento.
Esto es particularmente cierto en Argentina, donde se ha fijado la reducción del gasto público como principal objetivo para salir de la situación de crisis. Las políticas en ese sentido podrían tener a largo plazo un efecto aun más perjudicial sobre el poder adquisitivo de las personas mayores que dependan de jubilaciones o pensiones estatales, así como de la cobetura de medicamentos y atención de salud.
Conclusión
La economía plateada es un nuevo paradigma nacido en Europa que rompe con el enfoque tradicional sobre el impacto económico del envejecimiento poblacional. En lugar de verlo como un fenómeno que reduce la tasa de ahorro (y por lo tanto la inversión, el empleo y la producción), se lo ve como un fenómeno que generará un mayor consumo por parte de las personas mayores. Este consumo puede convertirse en un motor de crecimiento al incentivar el empleo y la producción en sectores especializados en bienes y servicios para este grupo de edad (personas de 50 años o más). Sin embargo, si bien la mayor parte de los trabajos sobre el tema se centran en documentar el potencial demográfico de la economía plateada, son pocos los trabajos que analizan la capacidad para financiar dicho consumo. Esto es particularmente importante en América Latina, donde el envejecimiento se está produciendo a un ritmo más rápido que en Europa y donde las personas mayores sufren una mayor vulnerabilidad social que sus pares europeos.
Este trabajo concluye que, si bien Argentina tiene el potencial demográfico para aprovechar la economía plateada como estrategia de desarrollo, la demanda efectiva de las personas mayores no está asegurada a menos que cambie la tendencia de la serie temporal analizada (evolución real de las fuentes de financiamiento del consumo de las personas mayores).
Referencias bibliográficas
AFIP (2024). Recaudación. Comparativo mensual y acumulado. Administración Federal de Ingresos Públicos (AFIP). Disponible en https://www.afip.gob.ar/institucional/estudios/comparativo-mensual-y-acumulado/2019.asp
Álvarez Diez, RC.; Vega Esparza, RM.; Bañuelos-García, VH.; Villegas Santillán, MT.; Llamas Félix, BI.; Arredondo Luna, V.; Hernández Ponce, JR.; García Martínez, FM.; Alvarado-Peña, LJ. y López-Robles, JR. (2022). “Economía plateada y emprendimiento, un área innovadora de futuro: Un marco de referencia académico, científico y empresarial para la construcción de nuevos conocimientos”. En Iberoamerican Journal of Science Measurement and Communication 2(1), p.1-18. DOI: 10.47909/ijsmc.45
Ando, A., and Modigliani, F. (1963). “The ‘life cycle’ hypothesis of saving: aggregate implications and tests”. In Modigliani, F. (2005). The collected papers of Franco Modigliani. Vol 6, MIT Press, Cambridge, Massachusetts, London, England.
Banco Mundial (1994). Envejecimiento sin crisis. Oxford University Press, USA.
Buzulukova, E. and Lobova, E. (2023). “Stimulating the growth of “silver” tourism through the development of relationships and the creation of targeted communications with travelers”. In Population and Economics 7(4), p.103-123. DOI: 10.3897/popecon.7.e110202
Cornet, G (2015). “Europe’s ‘Silver Economy’: A potential source for economic growth?” In Gerontechnology 13(3), p. 319-321. DOI: 10.4017/gt.2015.13.3.001.00
European Commission (2015). Growing the european silver economy. Background paper. Available at https://digital-strategy.ec.europa.eu/en/library/growing-silver-economy-background-paper
European Commission (2018). The Silver Economy. Final Report. A study prepared for the European Commission DG Communications Networks, Content and Technology by: Technopolis Gropu and Oxford Economics. Available at https://op.europa.eu/en/publication-detail/-/publication/a9efa929-3ec7-11e8-b5fe-01aa75ed71a1
Felix, J (2016). “Silver economy: opportunities and challenges to Brazil adopt the European Union’s strategy. Innovation”: In The European Journal of Social Science Research 29(2), p. 115-133. DOI: 10.1080/13511610.2016.1166937
Fondo Monetario Internacional (2019). Macroeconomics of aging and policy implications. Disponible en https://www.imf.org/external/np/g20/pdf/2019/060519a.pdf
INDEC (2010). Censo Nacional de Población 2010. Instituto Nacional de Estadísticas y Censos (INDEC). Disponible en https://www.indec.gob.ar/indec/web/Nivel4-Tema-2-41-135
INDEC (2022). Censo Nacional de Población 2022. Instituto Nacional de Estadísticas y Censos (INDEC). Disponible en https://www.indec.gob.ar/indec/web/Nivel4-Tema-2-41-165
INDEC (2024a). Encuesta Permanente de Hogares (2017-2024). Instituto Nacional de Estadísticas y Censos (INDEC). Disponible en https://www.indec.gob.ar/indec/web/Institucional-Indec-BasesDeDatos
INDEC (2024b). Índice de Precios al Consumidor nivel Nacional (2016-2024). Instituto Nacional de Estadísticas y Censos (INDEC). Disponible en https://www.indec.gob.ar/indec/web/Nivel4-Tema-3-5-31
Jiménez, C.; Requejo, J.; Foces, M.; Okumjura, M.; Stampini, M. and Castillo, A. (2021). Silver Economy: A Mapping of Actors and Trends in Latin America and the Caribbean. Inter-American Development Bank. Available at https://publications.iadb.org/en/silver-economy-mapping-actors-and-trends-latin-america-and-caribbean
Latorre Santos, C. (2019). “El envejecimiento de la población. Oportunidades y retos”. En Revista ciencias de la salud, 17(3), 6-8. DOI: 10.12804/revistas.urosario.edu.co/revsalud/a.8347
Ley 19.032 (1971). “INSSJyP”. En Boletín Oficial de la República Argentina. N° 22.184.
Ley 26.425 (2008). “Sistema Integrado Previsional Argentino”. En Boletín Oficial de la República Argentina. N° 31548. Disponible en: https://www.boletinoficial.gob.ar/detalleAviso/primera/9288350/20081209?busqueda=1
Lloyd-Sherlock, P. (2003). “Financing health services for pensioners in Argentina: a salutary tale”. In International Journal of Social Welfare 12(1), p.24-30.
Maldonado Briegas, JJ.; Vicente Castro, F.; Sánchez Iglesias, AI.; Lucchese, F.; Gonzalez Ballester, FS. (2021). “Silver economy una oportunidad de desarrollo”. In Confinia Cephalalgica et Neurologica 31(2), p. 1-14.
Marcucci, G.; Ciarapica, F.; Poler, R. and Sanchis, R (2021). “A Bibliometric Analysis of the Emerging Trends in Silver Economy”. In IFAC PapersOnLine 54(1), p. 936-941. DOI: 10.1016/j.ifacol.2021.08.190
MTEySS (2024). Remuneración Imponible Promedio de los Trabajadores Estables. Ministerio de Trabajo, Empleo y Seguridad Social (MTEySS). Disponible en https://www.argentina.gob.ar/trabajo/seguridadsocial/ripte
Oeppen, J. and Vaupel, JW. (2002). “Broken Limits to Life Expectancy”. In Science 296, p. 1029-1031. DOI: 10.1126/science.1069675
Okumura, M.; Stampini, M.; Buenadicha, C.; Castillo, A.; Vivanco, F.; Sánchez, MA.; Ibarrarán, P. y Castillo, P. (2020). The silver economy in Latin America and The Caribbean. Aging as an opportunity for innovation, entepreneurship, and inclusion. Inter-American Development Bank. Available at https://publications.iadb.org/en/the-silver-economy-in-latin-america-and-the-caribbean-aging-as-an-opportunity-for-innovation-entrepreneurship-and-inclusion
Organización de Naciones Unidas (2022). Departamento de Asuntos Económicos y Sociales División de Población. Disponible en https://population.un.org/wpp/Download/Standard/MostUsed/
Podgórniak-Krzykacz, A.; Przywojska; J. and Warwas, I. (2020). “Silver economy as a response to demographic challenges in polish regions: realistic strategy or Utopia? Innovation”. In The European Journal of Social Science Research 37(2), p. 170-197. DOI: 10.1080/13511610.2020.1736011
Reshetnikova, L.; Boldyreva, N.; Perevalova, M.; Kalayda, S. and Pisarenko, Z. (2021). “Conditions for the Growth of the ‘Silver Economy’ in the Context of Sustainable Development Goals: Peculiarities of Russia”. In Journal of risk and financial management 14(401), p.1-18.
Robles González, E.; Bernabeu Mestre, J. y Benavides, FG. (1996). “La transición sanitaria: una revisión conceptual”. In Boletín de la Asociación de Demografía Histórica 14(1), p. 117-144.
Rudnicka, E.; Napierała, P.; Podfigurna, A.; Męczekalski, B.; Smolarczyk, R. and Grymowicz, M. (2020). “The World Health Organization (WHO) approach to healthy ageing”. In Maturitas 139, p.6-11. DOI: 10.1016/j.maturitas.2020.05.018
United Nations Economic Commission for Europe and European Commission (2018). Active Ageing Index (AAI) in non-eu countries and at subnational level. Disponible en https://unece.org/DAM/pau/age/Active_Ageing_Index/AAI_Guidelines_final.pdf
United Nations Organization (2023). Leaving no one behind in an ageing world. World Social Report 2023. Available at https://desapublications.un.org/publications/world-social-report-2023-leaving-no-one-behind-ageing-world
Zaidi, A. (2013). Active Ageing Index 2012: Concept, Methodology and Final Results. European Centre Vienna. Available at https://d1wqtxts1xzle7.cloudfront.net/81448025/Methodology-Paper_20Final-libre.pdf?
Notas de autor
Información adicional
redalyc-journal-id: 112