Artículos
Inequality of Rural Income Distribution in Iran: An Exploratory Analysis of Spatial Data*
Desigualdad en la distribución de los ingresos rurales en Irán: un análisis exploratorio de datos espaciales
Inequality of Rural Income Distribution in Iran: An Exploratory Analysis of Spatial Data*
Cuadernos de Desarrollo Rural, vol. 17, pp. 1-17, 2020
Pontificia Universidad Javeriana
Received: 02 March 2019
Accepted: 03 June 2020
Published: 20 December 2020
Abstract: Despite regional differences, spatial distribution has not been addressed in studies on rural income in Iran. The main goal of this study is to analyze the spatial pattern of inequality in rural areas of the country. In this research, Moran’s I index, Theil index and Gini coefficient have been used for the period 2005-2015. The results show that both inter-regional and intra-regional components affect the unequal distribution of rural income, but the importance of the intra-regional component is slightly higher. The study of the data obtained from the Moran’s Ι index shows that there is evidence of the spatial clustering phenomenon in rural economy of the country.
Keywords: Spatial clustering, Moran’s Ι index, rural income, equity.
Resumen: A pesar de las diferencias regionales, en los estudios sobre ingresos rurales en Irán no se ha abordado la distribución espacial. La meta primordial de este estudio es analizar el patrón espacial de la desigualdad en las áreas rurales del país. En esta investigación se han usado el índice I de Moran, el índice de Theil y el coeficiente Gini durante el periodo 2005-2015. Los resultados muestran que tanto los componentes inter-regionales como los intra-regionales afectan la distribución desigual de los ingresos rurales, aunque la importancia del componente intra-regional es levemente más alta. El estudio de los datos obtenidos con el índice I de Moran muestra que hay evidencia del fenómeno de clustering espacial en la economía rural del país.
Palabras clave: Clustering espacial, índice I de Moran, ingreso rural, equidad.
Introduction
The debate on the effect of income distribution on the economy addressed especially the experiences of the Second World War aftermath and the post-neoliberal reforms in the 1980s (Arestis and Baltar, 2017). Since the 1980s most of the advanced economies have faced the problem of increasing income inequality. In the classical school, the functional distribution of income —that is, the distribution of income between the factors of labor and capital production— was considered. Then, in the neoclassical school, the marginal utility approach and the marginal income have been addressed (Sandmo, 2015). In the end, statistical approaches were introduced to examine the distribution of income.
Over the last three decades, there has been a large increase in inequality, both in developed and developing countries (Sulocic, 2014; Arestis and Baltar, 2017). Today, the distribution of income —whether globally, between countries or at inter-regional level— is of particular interest. Because of the importance of this issue, the creation of balanced distribution of income is one of the leading goals for a government in macroeconomic policies, and the indicators of inequality are a benchmark for assessing the economic performance of the distribution of income in a country (Mortazavi et al., 2011). Especially in the agricultural and rural policy-making, both the income levels and the distribution of income among farmers are of a particular importance. Thus, many countries have typically framed their agricultural policy income objectives in terms of distribution or equity (El Benni et al., 2012).
In Iran, inappropriate distribution of income is one of the main concerns of the government. The phenomenon of income distribution inequality remains stable due to the resilience of internal forces, and the implementation of short-term policies without analyzing the factors affecting the distribution of income and economic growth (Aligoli, 2017). Inequality can undermine social cohesion, reduce intergenerational income mobility, and create challenges such as social dissatisfaction and political instability (Schaltegger and Weder, 2014). Rapid and unbalanced growth is one of the reasons that have led to the phenomenon of regional inequality in Iran. The state of dichotomy from the economic viewpoint focuses on the factors of production in regions with rapid growth experience and, socially, on the fact that immigration process towards developed regions is getting accelerated and exacerbated due to differences in living standards and wages. Many studies conducted on the reasons for migration show that the development level in the regions, the difference in incomes and public facilities and welfare are among the main causes of this socio-economic phenomenon (Rahmani and Hasanzadeh, 2011). Broad geographic, ethnic diversity and single product economy (i.e., oil) have led Iran to a high potential for regional inequalities. About 70% of the country population lives in the northwest, which makes only 30% of the total national territory. In addition, about 75% of the national gross domestic product (excluding oil) is produced in the western area of the country. These regional inequalities can lead to a wider range of heterogeneous living conditions and bring about adverse economic, social and environmental consequences (Beheshti et al., 2018).
The existence of diverse climates, a significant difference in the soil characteristics and water resources in the provinces, development and infrastructure, and the dependence of the rural population on agriculture to earn income, are factors that can increase this unequal distribution in the rural areas as compared to the urban ones. Iran’s rural area is considered as a large part of the country’s social and demographic system, including a large number of productive human factors (Shahabadi and Mehritalyabi, 2017). Selection of different development mechanisms and, in many cases, the lack of proper implementation of strategic plans, shows that despite rural areas are important in economic and social terms and the share of agriculture in national production, sustainable development is far from being achieved in these areas (Seperdost and Zamanishabkhnae, 2014). Despite being one of the most suitable mechanisms for reducing these regional differences, spatial distribution has not been addressed in studies on rural poverty in Iran, an issue that has been emphasized in many studies in different parts of the world. Therefore, the main goal of this study is to analyze the spatial pattern of inequality in rural areas of the country. This will help policy makers and planners to design strategies and practical measures to achieve sustainable development. In this study, we analyze the regional disparities in rural areas of Iran during 2005-2015. The existence or non-existence of a link between economic performances in rural areas of each province and neighboring provinces has also been analyzed.
Inequality of rural income distribution
The economic convergence of areas implies a reduction in their inequality over the time. Convergence in the literature on economic growth comes from the concepts of the neoclassical growth model. This theory anticipates a long-term trend toward convergence in production and per capita income as well as in the total productive efficiency of global economies. The main reason is the existence of technology as a universal commodity, so that all countries may have the same long-term growth rate. One of the main conclusions from Solow and Swan growth model (e.g., Beheshti et al., 2018) is that in the long run —if we consider several economies or several regions and they have equal growth parameters model and their only difference is in the level of capital— they would attain an effective level of capital and, consequently, of production when they have same per capita income. This is called “convergence” and implies a reduction in inequality between regions over the time (Shahbazi et al., 2015). Barro and Martin (1990) have divided the concept of convergence into two types, beta and sigma. But many of the current regional economic development theories have been set out in response to criticisms of growth theories and the convergence hypothesis by the neoclassicists. The theory of location was developed due to the neglect of space in the traditional discussions on regional economics. This theory was introduced by Hoover (1948). The theory was initially based on optimal location using data on transport costs for raw materials and industrial products. But this theory, with the introduction of explicit transport models, has had a major impact on the formation of subsequent theories of economic growth and development, especially the new geographic theory (Badri, 2007). Isard (2006) used the concepts of this theory to develop studies on ‘new growth’, which are now called Regional Sciences. This field evaluates the impact of space on decision-making and economic variables (Jordaan et al., 2015).
As mentioned above, in Iran, in spite of many studies in the field of the inequality of rural income distribution, spatial dispersion of provinces has not been noted. Shahabadi and Mehritalyabi (2017) concluded that the accumulation of domestic research and development costs had a significant effect on the reduction of rural inequality in Iran during 1971-2014. RahimiBadr (2013) analyzed the pattern of income distribution in urban and rural areas of Iran. The results indicate that income distribution in urban and rural areas is improving. Likewise, the difference in the distribution of income in urban and rural areas is another result from this study. Dehgani et al. (2017) assessed the positive impact of economic growth in a time scale for 1971-2014 on the distribution of rural income in Iran. Bani Assadi and Vermesyari (2014) have analyzed the factors affecting the productivity and distribution of income in rural areas of Iran. The results from this study indicate that the growth in labor productivity, along with investments in rural industries and development expenditures will improve the distribution of income and eventually reduce poverty in rural society. Arabi and Khodaparastmashhadi (2014) have analyzed the social welfare and income distribution of rural households in the country. The results of this analysis indicate a decline in the inequality trend in rural areas. Seperdost and Zamanishabkhnae (2014), have analyzed the role of information and communication technology development on the distribution of income in rural areas of Iran during of 2000-2009. The results thereof, while stressing the confirmation of Kuznets’ theory, indicate that the development of information and communication technology (ICT) is an effective factor in the proper distribution of income and to improve the economic justice in the villages.
Flachsharth et al. (2018) analyzed rural income distribution in Peruvian rural areas. Results showed that some rural regions of Peru achieved remarkable rates of poverty reduction and inequality reduction between 2004 and 2012, while others lagged behind. This rural poverty and inequality reductions are mainly attributable to increasing labour incomes in the Peruvian agricultural sector.
Wang et al. (2017) analyzed spatial patterns of rural poverty in China. They emphasized that determinants of rural poverty are different in different places and the effects of significant factors are dependent on spatial scales. Therefore, there is a need for more empirical evidences at different scales or in different regions. The results show that the rate of rural poverty is higher in the eastern, southern, western counties than middle and northern counterparts. There is a significant spatial autocorrelation of rural poverty, for Moran’s I index is between 0.45 and 0.55, which indicates that poverty in neighboring counties has a positive effect on the poverty of a specific county.
David et al. (2018) used a spatial econometric model to identify the correlates of poverty across municipalities in South Africa. Results show that both income and multidimensional estimates of poverty and inequality vary significantly across the country. Using both global and local spatial autocorrelation measures, they highlighted significant and positive spatial dependence and clustering of regional development indicators.
Wardhana and Ihle (2017) analyzed the link between poverty rates and agro-clusters by describing spatial spillovers. Their analysis applied six spatial econometric specifications and focused on 545 sub-region of West Java province (Indonesia), where about 10% of the population lives in poverty. The findings imply that policy interventions may be applied in a spatially selective manner so that they generate spatial-spillover effects on poverty reduction in surrounding areas.
Bertolini and Pagliacci (2017) provided a statistical tool to measure existing gaps in quality of life levels across Italian regions, by focusing on inner and rural areas. This analysis has provided a partial breakdown on the negative relationship between presence of inner/rural areas and local quality of life levels. Results suggested that, when controlling for sub-national structural divides, the expected negative relationships between inner/rural areas and quality of life is becomes modarate.
Zhao (2014) researched the major rural income diversification patterns and their determinants in the context of China. In this study a Bayesian multinomial probit model had been used to examine the determinants of various types of the rural income diversification. Result showed that a rural household chooses its income diversification pattern by referring to the surrounding neighborhoods.
Fujii (2013), to elucidate the pattern of spatial disparity in poverty in Cambodia, broke down the total inequality in wealth (consumption) and health (child undernutrition) indicators into within-location and between-location components. The result showed that a sizable proportion of wealth inequality is due to between-location inequality, whereas health inequality is mainly due to within-location inequality.
Materials and Methods
This research is based on the goal “to determine how distribution of income inequality in rural areas” and uses a descriptive-analytical methodology. Based on spatial clustering of rural income in Iran over the last years, this study is also a kind of exploratory research.
Inequality analysis criteria are divided into three main groups, including dispersion indices (such as coefficients of variation), Lorenz curve-based indices (such as the Gini coefficient), and entropy or informational indices (such as Theil index). Theil inequality index was introduced in 1967 (e.g., Beheshti et al., 2018) as follows:
(1)n is the number of regions and yi is the income segment of region i.
The reason for using the entropy index as the basis of the inequality index is the similarity between income inequality and disorder. The value of this index is between zero and log(n). The zero value represents a complete equality and log (n) represents the total inequality. This index is decomposable, which sllows measuring the share of inequalities between regions and within them. In studies of regional income inequality, this feature is used to examine the extent of global inequality associated with inequality between groups (cf. regions) and inequality among the elements of each group (cf. region). By dividing the n space observation into a unique and comprehensive group of ω, the Theil index is tested as follows:
(2)ng is the number of observations in the g group. SgGroup’s share of total revenue.
(3)and si,g is the share of i from g group income.
The first expression in Equation 3 describes the inter-group component of inequality and the second term also calculates the intra-group component of inequality:
(4)In other words, inter-regional inequality measures the distance between the average income of all groups, while the inequality in the region measures the distance between the income in the areas within that group (Rey and Montouri, 1999). In general, the main indicators of inequality ignore the geographic dimension in inequality and this could be fooled by the results of regional inequalities (Goodchild and Janelle, 2004). Extensive empirical studies on spatial dynamics of income inequality show that regional inequality is a regional phenomenon (Hoffmeister, 2009). Therefore, this study combines inequality and spatial correlation criteria to better analyze the situation of rural income inequality in Iran. Spatial correlation is conceptually a phenomenon that occurs in typical data of a spatial element. Then, an observation related to a locality like i is dependent on other observations. Technically speaking, if a reference area R (such as Iran) is included, with n spatial units (provinces), the values of a variable (such as rural income) can also define a matrix such as the matrix Y, whose elements are outside its original diameter (including n2 - n parameter). It indicates the relationship between the studied values of the variable in the reference area R. The interaction between the elements of the Y matrix can be expressed through processes such as collective or incremental [s= (yi + yi)], multiplicative (yi x yi), differential (yi - yi) or division (yi/yj) .
If contiguity matrix is like W, defined in such a way that the near spatial units are assigned larger numbers and the non-neighborhoods smaller numbers (or zero), then the correlation between two matrices (W, Y) expresses the spatial correlation (Fischer and Getis, 2009). A similar structure of two matrices would represent spatial correlation and vice-versa. In this study, the contiguity matrix has been used to define the queen contiguity. Criteria and spatial correlation tests can vary depending on the scale or field of analysis. Traditionally, these criteria are divided into global and local. Spatial correlation analyses include a series of tests and illustrations used both for global and local metadata criteria. The global term implies that all components of the W and Y matrices are included in the calculation of spatial correlation. Accordingly, a global spatial correlation index is calculated between the values of the variable (such as per capita income) in all spatial units (like all provinces) in the total reference area (such as Iran). In the local criteria, only one row of the contiguity matrix and its corresponding row in the Y matrix are entered in the spatial correlation calculation.
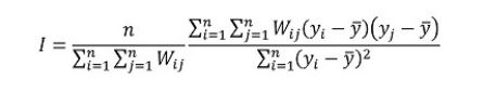
One of the most common indicators in the study of global correlation is Moran’s Ι. This statistic measure is constructed using the concept of correlation coefficient produced by Pearson’s product moment correlation coefficient:
(5)The Moran’s global index holds the values between +1 and -1. Values below zero indicate negative spatial correlation and values above zero represent positive spatial correlation. The value zero (or near zero) means that the characteristic is randomly distributed in the study area and has no definite spatial pattern (Fischer and Getis, 2009). In the distribution chart of Moran’s I index, the values of a variable belonging to each province are displayed in relation to the spatial interruption of each province. This spatial interruption is defined as the average weight of the variable values in the neighboring provinces, where weights are obtained through the contiguity matrix (Rey and Montouri, 1999). In spatial analysis, special attention is paid to centralized criteria, which describe precisely the characteristics of a particular location.
The Local Spatial correlation Index (LISA) is one of the statistic measures introduced by Anselin (1995) and aims to analyze global statistics such as the Global Index of Moran’s Ι into local components, to determine key and pertinent observations. In other words, local indicators are introduced to focus on local characteristics in the calculation of correlation. The LISA index is defined as:
(6)This statistic measure is mainly used to detect spatial clusters. High values of local spatial correlation indicate a cluster. The positive values Ii of provide evidence of the presence of a cluster in small or large quantities of the desired characteristic (such as rural income). The summary of inequality and spatial indicators is shown in figure 1:
The data of this research have been extracted from the Household Income and Expenditure Surveys conducted by the Iranian Center of Statistics for 2005-2015. Excel and Geoda software have been used for calculations and graphics. The indicators have been calculated in this study according to the latest zoning of the country, which was carried out by the Ministry of the Interior and taking into account the neighborhood and common issues among the provinces in each region. On these grounds, five regions (each including different provinces) were considered:
Region 1: Tehran, Qazvin, Golestan, Mazandaran, Semnan, Alborz and Qom;
Region 2: Isfahan, Fars, Bushehr, Chahar Mahal and Bakhtiari, Hormozgan and Kohgiluyeh, and Boyer Ahmad;
Region 3: East Azarbaijan, West Azerbaijan, Ardebil, Zanjan, Gilan and Kurdistan;
Region 4: Kermanshah, Ilam, Lorestan, Hamedan, Markazi and Khuzestan;
Region 5: Khorasan Razavi, Southern Khorasan, Northern Khorasan, Kerman, Yazd and Sistan, and Baluchestan.
Due to the lack of information about Alborz Province for a large part of the study term, the statistics from this province have been implemented together with Tehran Province.
Results
To analyze the status of distribution of spatial correlation of rural per capita income in Iran, the results of computing the indices of the Gini coefficient, Theil and Moran’s I index are presented in table 1.

As shown in the table above, the Gini coefficient has been oscillating as a measure of rural income distribution for 2005-2015. A decreasing trend is seen for this index. In the early years of the fourth five-year Economic, Social and Cultural Development Plan (2004/5-2009/10), rural income distribution has not been well established. But from 2008 to 2015 (except for the years 2009 and 2014), a decreasing trend is observed in the rural Gini coefficient. This result is also confirmed by the Theil index. Then, the fluctuations of this index and its decrease in the long run indicate an improvement in the income distribution in the rural sector of the country. The value of this indicator has dropped from 0.319 in 2005 to 0.293 in 2015. In this study, in addition to calculating the Theil index, an analysis thereof is also considered. In addition, the share of inter-regional and intra-regional components of the total rural inequality in Iran is calculated for each year. The results show that both components have a significant role in the distribution of inequality among the provinces, but the effect of the inter-regional component is slightly higher. The role of the inter-regional component in these inequalities ranged from 51% to 66% while that of the intra-regional one was 34% to 49%. The spatial correlation between the provinces of the country is calculated by the Moran’s I index and the results are given in table 1. The results show that apart from the initial two years, spatial correlation between rural incomes of the country is significant.

The chart above (figure 2) shows that the trend of Moran’s Ι has an increasing slope.
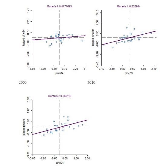
Moran’s I index shows an overview of the spatial correlation structure. A better understanding of the rural income inequality pattern among the provinces has been used in the distribution chart of this indicator. This chart allows the per capita income of each province to be plotted against the per capita income of neighboring provinces. There are four types of spatial relationships between a province and neighboring provinces:
A province with high per capita income is surrounded by provinces with high per capita income (plot area 1 or HH, with positive correlation);
A province with a low per capita income is surrounded by provinces with high per capita income (plot area 2 or LH, with negative correlation);
A province with high levels of per capita income is surrounded by provinces with low income levels (plot area 3 or HL, with negative correlation); and finally,
A province with low per capita income is surrounded by provinces with low per capita income (plot area 4 or LL, with positive correlation).
Moran’s Ι distribution charts for three years 2005, 2010 and 2015 are reported in figure 3.

Comparison of these patterns indicate that in 2005 the focus was nearer to the zero point and in the next years, 2010 and 2015, this focus was reduced and more points are visible in areas 1 and 3.
It means that at the beginning of the survey period, the phenomenon of spatial correlation with the per capita income variable is less visible, but in the next years, especially at the end of the period, at least two clustering phenomena can be identified in the plot areas 1 and 3. The overall picture of this spatial clustering for the last years (Fifth development plan) is shown in figure 4.

As seen in the figure 5, the most visible spatial cluster is that of provinces with high per capita income in the vicinity of high income provinces (HH) as well as low-income provinces that are adjacent to provinces with low income (LL). Table 2 shows the LISA index values and the plot areas where the provinces are located for the years 2005, 2010 and 2015.

From table 2, it is clear that in 2005, five provinces of Azarbayjangarbi, Fars, Khuzestan, Gilan, Mazandaran and Yazd are in the first area of Moran’s scatter plot (HH) and keep their status in 2015. In 2005, there were 3 provinces with low per capita income, along with neighboring provinces with a high average per capita income. This plot area included Azarbayjanshargi, Ardebil and Qazvin provinces, moving to area 1 in the following years as the per capita income in these provinces has increased. The provinces of Kohkiluyeh and Boyer Ahmad, Kordestan and Hamedan are the provinces that were formerly located in the third plot area (LL i.e., low-income rural provinces together with neighbors having the same characteristic) and that have been able to increase their rural income. The provinces of Tehran and Zanjan were formerly located in region 4 and moved to region 2. That is, they have been able to affect positively the rural income in their neighboring provinces. In the Markazi province, with declining income, the neighboring provinces changed from area 2 to area 3. That is, not only the province’s incomes have not risen, but also the income of the neighboring provinces has decreased. Other provinces have not changed their status. An overview of the indicators is reported in figure 5.

Discussion
In this study, the spatial pattern of rural income had been analyzed using an exploratory analysis of spatial data. Decreased Gini coefficient and tile index show that economic justice policies in Iran’s rural sector have been more successful during the last years of the fourth plan and during the latest year of the fifth National Development Plan (2010-2015). These findings are consistent with the results by Shahabadi and Mehritalyabi (2017), Arabi and Khodaparastmashhadi (2014), Seperdost and Zamanishabkhnae (2014), RahimiBadr (2013). The results show that both inter-regional and intra-regional components affect the inequality of rural income distribution, but the intra-regional component seems slightly more important. Beheshti et al. (2018) have drawn a similar conclusion regarding the distribution of income in urban and rural areas. Wang et al. (2017) have achieved similar results in China. This indicates that in addition to the difference in the five regions, an important part of these differences is within each region. It points to the fact that, in each region, provinces with high per capita income can be seen along with provinces with lower per capita income. Therefore, more efforts should be made to reduce the inequalities between the provinces in each region.
Moran’s Ι index shows that there is evidence of the spatial clustering phenomenon in rural economy of Iran. Positive and significant correlations show that spatial distribution of high or low values in rural per capita income in the provinces of the country indicates the behavior of spatial clustering and this clustering behavior cannot result from a random process.
According to results, provinces with high per capita income are mainly surrounded by neighborhoods with high per capita income, and the other way round. This fact is conceivable due to the considerable differences in water, soil and other natural resources used in the agricultural sector, and their impact on rural income.
The increasing Moran’s I index shows that the spatial pattern of per capita rural income is more powerful over the time. The findings of other studies, such as Beheshti et al. (2018) and Wang et al. (2017), confirm this result. However, while Bani Assadi and Vermesyari (2014) show different results, this study suggests that it is not the case for all regions (see, clusters of regions) of Iran.
This result suggests that, despite the efforts made to focus on decentralization from some province such as Tehran, this area keeps playing a central role in its neighboring provinces.
Based on these findings, it is clear that paying attention to and evaluating the performance of each Iranian province separately (regardless of the province location in each region, and regardless of the performance of neighboring provinces) cannot lead to satisfactory results in reducing inequality among the provinces of the country. Similar findings have been obtained in other studies such as those by Flachsbarth et al. (2018), Beheshti et al. (2018), Bani Assadi and Vermesyari (2014). This is particularly important as both growth and redistribution components play a key role in reducing poverty and improving life quality in rural areas.
A review of the LISA Index shows that some low-income provinces that have been in the vicinity of high-income provinces (Azarbayjanshargi, Ardebil and Qazvin) have been able to increase their income levels during the period under review. The expansion of the food and beverage industry, proximity to rich provinces such as Tehran and West Azarbaijan, the availability of advanced communication networks and railways and, finally, the high potential of the plains located in these provinces, have led to a significant increase in their per capita income.
Likewise, provinces such as Tehran and Zanjan have increased the income level of their neighboring provinces. The proximity to the center and the proper use of technological advances, easier access to target markets, and low transport costs are among the causes of the agricultural and rural sector’s ability to achieve higher levels of income.
Conclusions
In general, to reduce rural income inequalities, in addition to regional differences, there are significant differences within the 5 regions that, after an analysis and using the proximity effects of the provinces, can be effective in removing heterogeneity of income. These findings indicate that different regions of Iran have very different agricultural potential. In many development programs, these differences are not taken into accountand in most regions of Iran agricultural development programs do not differ significantly. This finding allowed observing what we were looking for regarding the development of the agricultural sector, i.e., that some areas had no potential at all. Finally, these false policies have led to this inequality in the distribution of income in rural areas of Iran. Climatic differences in the western and eastern regions of Iran are quite significant. The western regions often have temperate and cold climates, while most eastern parts of the country, especially the southeast, have a dry and warm climate. But there can be no significant difference in the cropping patterns in these areas. Despite the fact that Sistan and Baluchestan is one of the driest regions of the Middle East, in recent years, plans have been approved by the government for the cultivation of garden products. So, when this decision fails due to the lack of suitable climate, the per capita income of these areas is lower than in other parts of the country. This indicates that the development of the agricultural sector in these areas depends on other solutions, such as the development of the food industry. This is a problem that most planners are either ignorant of or ignore due to political considerations.
These irregularities have aggravated the problems of poverty, unemployment and immigration in these areas. Such contradictions are also observed between the northern and southern regions of the country. The northern regions of the country have a quite temperate climate, while the southern regions are mostly arid and low rainfall regions. But crop cultivation such as rice is visible in both areas. As a result, farmers in the south of the country, due to poor quality and low yields, can earn less income as compared to northern areas.
Considering that agriculture is the main source of income for rural areas, the most important reason for unequal distribution of income in these areas is related to incorrect management decisions about the rural development programs regardless of land use planning.
In the research period (2005-2015), there is evidence of the existence of center-to-outside patterns in different years. This work suggests that the use of spatial clustering in relation to rural income in the country can allow the design of coordinated regional development policies to improve the distribution of income in Iran. Perhaps a comprehensive survey of the rural conditions in terms of agricultural potential would show that agriculture in some parts of the country should be shut down and pave the road for the development of the industrial sectordriven by the government. The results from this study clearly show that the same actions for the development of agriculture in all rural areas can deepen the inequalities in the future. One of the most important rural development programs in the country is to avoid sectorial planning, and move towards regional planning.
References
Aligoli, M. (2017). Impact of Banking Facility Granted on Agricultural Income Distribution on Iran. Journal of agricultural economic research, 9(4), 67-84.
Arabi, M., and Khodaparastmashhadi, M. (2014). Comparison of social welfare, income distribution and poverty among rural households in north Khorasan and Iran during 2005-2011. Rural Development Strategies, 1(2), 50-35.
Arestis, P., & Baltar, T. C. (2017). Income distribution and economic growth: a Critical Approach. Panoeconomicus, 64(2), 125-138. https://doi.org/10.2298/PAN1702125A
Badri, M. (2007). Dimensions of Industrial Location Factors: Review and Exploration. Journal of Business and public affairs, 2, 1-26.
Bani Assadi, M., & Vermesyari, H. (2014). Investigating factors affecting agricultural labor productivity, distribution of income and poverty in rural Areas of Iran. Quarterly Journal of rural Development, 17(4), 23-1.
Barro, R. J., & Martin, X. S. (1990). Convergence across States and Regions. Brookings Papers on Economic Activity, 1, 1991.
Beheshti, M., Mohammadzadeh, P., & Jamshidi, O. (2018). Investigating Inequality of Income Distribution among Provinces of Iran Using Exploratory Spatial Data Analysis Approach. Quarterly Journal of Economic Research and Policies, 58(26), 150-109.
Bertolini, P., & Pagliacci, F. (2017). Quality of life and territorial imbalances. A focus on Italian inner and rural areas. Bio-based and Applied Economics, 6(2), 183-208. https://doi.org/10.13128/BAE-18518
David, A., Gulibert, N., Hamaguchi, N., Highashi, Y., Hino, H., & Shifa, M. (2018). Spatial poverty and inequality in South Africa: A municipality level analysis. ADF Research Papers Series, (66). ISSN: 2492 – 2846.
Dehgani, A., Hosaini, M., Fatahi, M., & Hekmatifarid, S. (2017). Investigating the Relationship Between Economic Growth and Income Distribution in Iran during 1971-2014. Journal of Applied Economic Studies, 6(21), 226-213. https://doi.org/10.1016/j.rser.2017.05.251
El Benni, N., Finger, R., Mann, S., & Lehmann, B. (2012). The distributional effects of agricultural policy reforms in Switzerland. Agric. Econ. – Czech, 58, 497-509. https://doi.org/10.17221/215/2011-AGRICECON
Fischer, M., & Getis, A. (2009). Handbook of Applied Spatial Analysis: Software Tools, Methods and Applications. Springer Science & Business Media.
Flachsharth, I., Schotte, S., Lay, J., & Garrido, A. (2018). Rural structural change, poverty and income distribution: evidence from Peru. J Econ Inequality, 16(4), 631–653. https://doi.org/10.1007/s10888-018-9392-z.
Fujii, T. (2013). Geographic decomposition of inequality in health and wealth: evidence from Cambodia. The Journal of Economic Inequality, 11(3), 373–392. https://doi.org/10.2139/ssrn.1069475
Goodchild, M. F., & Janelle, D. (2004). Spatially Integrated Social Science. Oxford University Press.
Hoffmeister, O. (2009). The Spatial Structure of Income Inequality in the Enlarged EU. The Review of Income and Wealth, 55(1), 101–127. https://doi.org/10.1111/j.1475-4991.2008.00308.x
Hoover, E. (1948). The Location of Economic Activity. McGraw-Hill.
Isard, W. (2006). Location and Space-economy. A general theory relating to industrial location, market area, land use, trade and urban structure. The Technology Press of Massachusetts Institute of Technology and John Wiley & Sons, Inc.
Jordaan, A. C., Drost, B. N., & Makgata, M. A. (2015). Land value as a function of distance from the CBD: The case of the eastern suburbs of Pretoria. South African journal of economic and management sciences, 7(3), 532-541. https://doi.org/10.4102/sajems.v7i3.1363
Mortazavi, A., Serajzadeh, F., & Shokohi, M. (2011). Study of the relationship between income inequality and economic growth in urban and rural areas of the country, application of Kuznets curve. Journal of agricultural economic research, 3(1), 165-180.
Rahimibadr, B. (2013). Estimation of income distribution pattern of urban and rural areas of Iran using different functional forms specified for Lorenz curve. Quarterly Journal of Economic Strategies, 2(4), 120-96.
Rahmani, T., & Hasanzadeh, E. (2011). Impact of immigration on economic growth and regional convergence in Iran. Journal of economic modeling research, 2(5), 1-19.
Rey, S. J., & Montouri, D. (1999). US Regional Income Convergence: A Spatial Econometric Perspective. Regional studies, 33(2), 143-156. https://doi.org/10.1080/00343409950122945
Sandmo, A. (2015). The principal problem in political economy: income distribution in the history of economic thought. Handbook of income distribution, 2(2), 3-65. https://doi.org/10.1016/B978-0-444-59428-0.00002-3.
Schaltegger, C., & Weder, M. (2014). Austerity, inequality and politics. European journal of political economy, 5, 1-22. https://doi.org/10.1016/j.ejpoleco.2014.03.005
Seperdost, H., & Zamanishabkhnae, S. (2014), Investigating the factors affecting the distribution of income in rural areas with emphasis on information and communication technology. Quarterly journal of rural development strategies, 1(1), 39-29.
Shahabadi, A., & Mehritalyabi, F. (2017). Impact of accumulation of domestic and foreign research and development in agricultural sector on rural income distribution in Iran. Agricultural economics research, 9(3), 132-117.
Shahbazi, K., Rezaie, E., & Hamidirazi, D. (2015). Economic convergence review of ECO countries: A spatial econometric approach. Quarterly journal of business, 74(1), 196-155.
Sulocic, D. (2014). Did economic inequality cause the economic crisis? Panoeconomicus, 3, 369-387. https://doi.org/10.2298/PAN1403369S.
Wang, Y., Wang, M., Wu, D., Zhao, L., & Ding, J. (2017). Spatial patterns and determinants of rural poverty: A case of Guizhou province, China. Scintia geogeraphica sinica, 2(37), 217-227. https://doi.org/10.13249/j.cnki.sgs.2017.02.007
Wardhana, D., & Ihle, R. (2017). Agro-cluster and poverty. A spatial perspective for West Java. Bulletin of Indonesian Economic Studies, 53(2), 161–86. https://doi.org/10.1080/00074918.2017.1298722
Zhao, J. (2014). Rural income diversification patterns and their determinants in China. Agric. Econ. – Czech, 60, 219-231. https://doi.org/10.17221/97/2013-AGRICECON
Notes
Author notes
a Corresponding author. Email: aghapoor@ut.ac.ir