Artículos
Recepción: 21 Diciembre 2019
Aprobación: 16 Febrero 2021
Publicación: 25 Agosto 2021
DOI: https://doi.org/10.11144/Javeriana.cdr18.aees
Resumen: La acelerada transformación de los ecosistemas, originada principalmente por actividades antrópicas como la ganadería extensiva y la agricultura convencional, han ayudado a suscitar variaciones climáticas acentuando la pérdida de biodiversidad. Bajo tal premisa, esta investigación tiene como objetivo caracterizar aspectos tanto socioeconómicos como biofísicos en los municipios de Cabrera, Pasca, San Bernardo y Granada en la provincia del Sumapaz en Cundinamarca, para evaluar el coeficiente de variación a través de la aplicación de prácticas agroecológicas y eco agrícolas, bajo criterios de sustentabilidad y así determinar el grado de eficiencia de doce sistemas de producción campesina –SPC–. La información fue recolectada a través de encuestas y metodologías participativas en el periodo comprendido entre junio de 2018 y diciembre de 2019. Los resultados obtenidos demuestran diferencias σ±1, indicando una elevada dispersión en la aplicación e implementación de prácticas agroecológicas y eco agrícolas, además, mediante el criterio de estimación 3 SPC obtuvieron un índice entre 57 y 59%, calificados dentro de la eficiencia del sistema como ‘débil’ con prácticas ‘pertinentes’ y 9 SPC obtuvieron un índice de 61 a 73 %, lo que representa una eficiencia ‘constante’ de los SPC con prácticas ‘adecuadas’. Se evidencia que, bajo sus modos de vida tradicional y saberes culturales, la influencia externa de tecnología, cambios socioculturales, políticas regionales y nacionales, así como la falta de acceso al mercado, genera una alta dependencia externa de productos o servicios acarreando consigo consecuencias ecológicas, económicas y sociales. Se puede concluir que las prácticas agropecuarias tradicionales tienden a desaparecer y con estas la diversidad de cultivos, especies, semillas, conocimiento y saberes culturales, ya que se articulan con la implementación de técnicas de la agricultura moderna, basada en la especialización y mecanización productiva, ocasionando disminución de la biodiversidad.
Palabras clave: Agricultura, adaptación, economía agrícola, seguridad alimentaria.
Abstract: The accelerated transformation of ecosystems, originated mainly by anthropic activities such as extensive cattle ranching and conventional agriculture, has helped to cause climatic variations, accentuating the loss of biodiversity. Under this premise, this research aims to characterize socioeconomic and biophysical aspects in the municipalities of Cabrera, Pasca, San Bernardo and Granada in the province of Sumapaz in Cundinamarca, to evaluate the coefficient of variation through the application of agroecological and eco-agricultural practices, under sustainability criteria and thus determine the degree of efficiency of twelve peasant farming systems -PFS-. The information was collected through surveys and participatory methodologies in the period between June 2018 and December 2019. The results obtained show differences σ±1, indicating a high dispersion in the application and implementation of agroecological and eco-agricultural practices, in addition, through the estimation criterion 3 peasant farming system obtained an index between 57 and 59%, qualified within the efficiency of the system as ‘weak’ with ‘relevant’ practices and 9 peasant farming system obtained an index of 61 to 73 %, representing a ‘constant’ efficiency of the peasant farming system with ‘adequate’ practices. It is evident that, under their traditional ways of life and cultural knowledge, the external influence of technology, socio-cultural changes, regional and national policies, as well as the lack of access to the market, generates a high external dependence on products or services, bringing with it ecological, economic and social consequences. It can be concluded that traditional agricultural practices tend to disappear and with them the diversity of crops, species, seeds, knowledge and cultural knowledge, as they are articulated with the implementation of modern agricultural techniques, based on specialization and mechanization of production, causing a decrease in biodiversity.
Keywords: Agriculture, adaptation, agricultural economy, food security.
Introducción
La acelerada transformación de los ecosistemas, originada primordialmente por actividades antrópicas como la ganadería extensiva y la agricultura convencional, han ayudado a suscitar variaciones climáticas, acentuando la pérdida de biodiversidad (Andrade et al., 2017), tanto en términos ecosistémicos –afectaciones a los recursos suelo y agua–, como socio económicos –concentración de recursos y migraciones– (Fonseca, 2021). En efecto, la creciente demanda del capital natural para el desarrollo de actividades como la agricultura altamente dependiente de insumos externos, como el caso de aplicación intensiva de elementos de síntesis química, mecanización inadecuada, tala y quema de bosques e intensificación de la frontera agrícola (Carreño y Baquero, 2018), han generado efectos en el uso del suelo, fragmentación de hábitats, transformación de los ecosistemas y dinámicas del entorno, afectando lo que Dussi y Flores (2018), definen como una alteración de la estructura, función y composición de los ecosistemas, lo cual conlleva a la vulnerabilidad económica de las familias campesinas.
Como respuesta a estas situaciones, se han propuesto los modelos de producción ecoagrícola y agroecológica, los cuales favorecen la estabilidad biológica, la conservación de los recursos, así como una mayor productividad; es decir, producción con adaptabilidad ambiental, al tiempo que rescatan e involucran aspectos sociales, culturales y económicos del campesinado (Altieri y Nicholls, 2012; Molina-Murillo, 2017). En efecto, la agroecología se concibe como una relación de campesinos que dan origen a organizaciones tanto culturales como políticas, trasmitiendo los conocimientos ancestrales de padres a hijos con normas culturales (Van der Ploeg, 2013) que robustecen su identidad, valores culturales y espirituales (Casimiro-Rodríguez, 2016) y a su vez desarrollan conocimientos, en los que se propone preservar, valorar y fomentar la multifuncionalidad de los SPC estableciendo estrategias para posibles perturbaciones (Turbay et al., 2014). En definitiva, la agroecología se concibe como una opción sustentable que mantiene, preserva y sitúa en armonía los ecosistemas y medios de producción logrando así, mantener prácticas ancestrales, sinergias y dinamismo entre los saberes de los campesinos que son los eslabones de la cadena productiva, la transferencia de conocimientos a través de asistencia técnica y alternativas de comercialización que son aliados estratégicos (Blandi et al., 2016).
Al mismo tiempo, se concibe el modelo de ecoagricultura o agricultura ecológica, como alternativa para establecer una producción agropecuaria óptima sin el uso de productos agroquímicos, ya que se tiene como objetivo una producción de alimentos que preserva y conserva la fertilidad del suelo así como la gestión del capital natural, para mejorar la productividad, la estabilización de la biodiversidad y generación de un equilibrio con los servicios ecosistémicos (Fonseca et al., 2014). Partiendo de ahí, la ecoagricultura relaciona una serie de prácticas que la desligan de la modalidad de agricultura convencional, como la no utilización de organismos genéticos modificados, el uso controlado de pesticidas y fertilizantes químicos o sintéticos, la rotación de cultivos, la disposición de los recursos in situ como estiércoles, abonos orgánicos, residuos de cosecha, biomasa a partir de la poda de árboles para la fertilización de cultivos o alimento para el ganado, clasificación de especies animales y vegetales resistentes a enfermedades que se adaptan a las condiciones de cada territorio, el establecimiento de ganadería en lugares abiertos así como el tratamiento de la sanidad junto con elbienestar animal (Albarracín-Zaidiza et al., 2019).
Lo anteriormente expuesto busca explicar la íntima conexión entre los modelos agroecológicos y ecoagrícolas con los sistemas de producción campesina (SPC), los cuales están conformados por varios componentes o subsistemas que interactúan entre sí que cumplen funciones de producción y reproducción, conservan prácticas culturales adaptadas al medio, mantienen una alta diversidad de cultivos y baja dependencia de insumos externos, lo que permite a la familia campesina trabajar con escasos recursos económicos y mano de obra familiar, lo cual reduce costes permitiendo aumentar beneficios (Carreño et al., 2019). De esta manera, se sostiene la productividad agropecuaria en el mediano y largo plazo, se conservan o regeneran los recursos de suelo, agua y biodiversidad que a su vez incrementan la eficiencia en el uso de los recursos endógenos, incentivando la incorporación de prácticas agroecológicas y ecoagrícolas, las cuales se emplean para satisfacer las necesidades hídricas de los sistemas de producción (Organización de las Naciones Unidas para la Alimentación y la Agricultura [FAO], 2014), preservando la fertilidad y estructura del suelo (Raigón, 2014), y a su vez estimulan la rotación de cultivos agrícolas junto con la promoción de principios ecológicos (Vázquez y Martínez, 2015).
Partiendo de esa premisa, esta investigación tiene como objetivo caracterizar los criterios tanto socioeconómicos como biofísicos en los municipios de Cabrera, Pasca, San Bernardo y Granada en Sumapaz para evaluar el coeficiente de variación (CV), a través de la aplicación de prácticas agroecológicas y ecoagrícolas, bajo criterios de sustentabilidad para determinar así el grado de eficiencia en los sistemas de producción campesina –SPC-.
Materiales Y Métodos
Ubicación geográfica
La investigación se realizó en la provincia del Sumapaz (figura 1), ubicada en una zona geográfica privilegiada, limita al sur con el departamento del Tolima, norte con las provincias del Tequendama y Soacha, oriente con Bogotá y occidente con la Provincia del Alto Magdalena. La integran los municipios de Arbeláez, Cabrera, Fusagasugá, Granada, Pandi, Pasca, San Bernardo, Silvania, Tibacuy y Venecia con una extensión de 1808 km², que representan el 8% del área de Cundinamarca, posicionándose como la sexta provincia en tamaño a nivel departamental (Bermúdez et al., 2017); su clima es tropical, determinado especialmente por las transiciones altimétricas ya que se encuentra a una altura que oscila entre los 2000 y 3000 m de altura, la precipitación promedio anual es de 100 mm, la temperatura oscila entre los 12 y 24 C y una humedad relativa promedio del 72% (Albarracín-Zaidiza et al., 2019).
Selección de la muestra
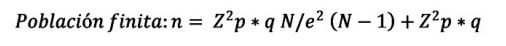
El trabajo investigativo se desarrolló entre junio de 2018 y diciembre de 2019, en los municipios del Sumapaz. Para la selección de los SPC se tuvo en cuenta la orientación ecológica, la cual integra sostenibilidad, prácticas agroecológicas y sapiencia tradicional de origen campesino orientada a aprovisionar la autarquía alimentaria para reducir la sumisión de insumos y materia prima externa (Fonseca-Carreño et al., 2019). Igualmente, fueron tenidas en cuenta las variables: a) tamaño de las fincas –menor a 10 ha–; b) fincas con presencia de ganado bovino y especies menores; c) producción agropecuaria vigente; d) acceso a la información de fuentes primarias; y e) vías terciarias transitables a finca (Albarracín-Zaidiza et al., 2019). La población se calculó mediante la fórmula para muestras finitas (ecuación 1).

Donde, n: 12 (tamaño de la muestra), N: 25 (población o universo), Z: 1,64 (90 % de intervalo de confianza), p: 0,9 (probabilidad a favor), q: 0,05 (probabilidad en contra) y e= error máximo de estimación (10 %).
Los SPC se identificaron con el apoyo y acompañamiento de las Unidades Municipales de Asistencia Técnica Agropecuaria – UMATA– de cada municipio, los cuales están situados en: Cabrera (N=3); Granada (N=3); San Bernardo (N=3) y Pasca (N=3).
Técnicas y herramientas para captura de información
El proceso de investigación se desarrolló mediante técnicas participativas (Geilfús, 1997); entrevistas semiestructuradas (N= 25), cartografía social (N= 25) y encuestas (N= 12), en 2 fases simultaneas: estática y dinámica. En la fase estática, se evaluaron las características socioeconómicas y biofísicas a nivel de finca partiendo de los aspectos socioeconómicos, agrícola, forestal, hídrico y pecuario, donde cada variable está compuesta por 5 alternativas de calificación (tabla 1), así mismo, en la fase dinámica, se evaluó el desempeño y comportamiento del área de siembra, el volumen de producción así como los ingresos agropecuarios (Motta y Ocaña, 2018).




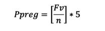
La captura de información se realizó a través del formato - encuesta con una tabulación de acuerdo con el tipo de pregunta (cuantitativa o cualitativa). El valor de cada una de las variables, es el resultado de la ponderación de las preguntas que pretenden evaluar las características socioeconómicas y biofísicas. Cada una de estas preguntas dependiendo de su tipo, está sujeta a una cuantificación diferente y determinada por los siguientes parámetros: a) preguntas cerradas unipolares: determinan la posición del SPC en un aspecto específico frente a una escala establecida, se calificaron de 1 a 5, donde 5 determina una mejor situación; y b) preguntas marca - puntaje: preguntas con opción múltiple de respuesta, donde la mejor situación está determinada por el mayor número de respuestas seleccionadas (Carreño y Baquero, 2019). La ponderación está dada por la ecuación 2.

Dónde: Ppreg= Puntaje obtenido de una pregunta determinada; Fv= Número de variables consideradas por un indicador; n = Número total de variables que hacen parte de un indicador; *5= escala de calificación
Posteriormente, mediante el software estadístico SPSS, se halló el coeficiente de variación (CV) para aceptar o rechazar la validez de los ensayos. El CV es la desviación estándar (σ) expresada como porcentaje de la media aritmética (X̄) (Ruíz-Ramírez, 2010). Esto lo hace un coeficiente adimensional al estar conformado por una razón entre varias opciones de datos; mientras mayor es la desviación estándar, mayor es la dispersión de la población, es así como la desviación estándar (σ) mide el grado de dispersión o variabilidad (Gordón-Mendoza y Camargo-Buitrago, 2015). Por tanto, valores con una σ±1, significa que un 68,3% o 14/20 fincas realizan un adecuado manejo de las diferentes prácticas productivas; una σ±2 representa un 95% o 19/20 de los casos y una σ±3 alcanza un 99,7% o 20/20 de los casos evaluados (Espejo, 2017).
Finalmente, haciendo uso de una escala tipo likert representada en la tabla 2, se pondera el uso de prácticas productivas en los aspectos socioeconómicos y biofísicos, de ahí, se evalúa la eficiencia de los SPC, donde: de 0 a 20 % los SPC son inestables (se identifican inadecuadas prácticas); de 21 a 40% está en peligro (se determinan prácticas inoportunas); de 41 a 60% es débil en estructura (se establecen prácticas pertinentes); de 61 a 80% el SPC es constante con alteraciones edafoclimáticas (se instauran prácticas pertinentes) y de 80 a 100% el sistema es estable (cumple de manera favorable la adaptación de enfoques agroecológicos y ecoagrícolas) (Carreño y Baquero, 2018).
Resultados
Caracterización socioeconómica de los agricultores en la provincia del Sumapaz
Los SPC son minifundistas e incluso microfundistas (menores de una hectárea), no obstante, la tenencia de tierra es propia operada por mano de obra familiar y el tiempo de permanecía varía de 10 a 40 años de usufructo. En efecto, la permanencia familiar y productiva tiene una ventaja en cuanto al conocimiento del territorio, paisaje, fertilidad, coberturas vegetales, fuentes hídricas, expresiones de la vegetación, comportamiento animal, limitaciones y potencialidades biofísicas, a través de varios años de observación de la familia rural.

Los datos de las variables y el cálculo de los estadísticos descriptivos se presentan en la tabla 3. El resultado indicó valores de X̄max=4,75 y X̄min=2,67 con una σ=1,621 y σ=0,452 respectivamente, indicando una elevada dispersión de datos socioeconómicos en cuanto a los requerimientos de mano de obra, participación organizacional, asistencia técnica, servicios públicos y destino de la producción.
Caracterización del manejo agrícola de los agricultores en la provincia del Sumapaz
Los sistemas agrícolas son sistemas antropogénicos, lo cual indica que tanto su origen como sustento están asociados a las actividades humanas que transforman y alteran el capital natural para obtener alimentos. Por lo tanto, se valora la capacidad que poseen las fincas a través del uso de prácticas agrícolas, determinando la condición de las plantaciones y tomando como referente el cultivo principal.
En este sentido, la producción agrícola de la provincia se concibe como megadiversa, por las alternativas de producción, planificación agrícola, uso y manejo del suelo.

En la tabla 4, se presentan los resultados de las variables y el cálculo de los estadísticos descriptivos, con valores de X̄max=3,92 y X̄min=2,83 con una σ=0,866 y σ=0,515 respectivamente, probando una elevada dispersión de datos de las prácticas de manejo agrícola, dentro de las variables arreglos productivos, fertilización y nutrición, ciclaje de nutrientes, manejo de suelo, control de arvenses y manejo de enfermedades.
Caracterización del manejo hídrico de los agricultores en la provincia del Sumapaz
La provincia del Sumapaz es una de las regiones más importantes del país, por su diversidad de recursos naturales, así como los servicios percibidos y recibidos a través del páramo, como la provisión de agua en calidad y cantidad que favorece al territorio para los procesos económicos y sociales de los SPC. De ahí que, el páramo de Sumapaz es considerado como la fuente hídrica más importante de Colombia, ya que cubre una superficie aproximada de 154.000 ha (Torres et al., 2014).
Dentro del área de influencia del páramo se encuentran los municipios de Cabrera, Venecia, San Bernardo, Arbeláez y Pasca, los cuales conservan un área definida de páramo dentro de su ordenamiento territorial (figura 1). En efecto, los suelos del páramo contienen turba que posibilita el almacenamiento y filtración de agua, liberada para recargar fuentes hídricas favoreciendo los procesos antrópicos de producción primaria, transformación de productos agropecuarios, beneficio y sanidad animal al igual que el consumo humano.

En la tabla 5, se presentan los resultados de las variables y el cálculo de los estadísticos descriptivos con valores de X̄max=4,25 y X̄min=2,67 con una σ=0,754 y σ=0,651 respectivamente, comprobando una considerable dispersión de datos dentro de las prácticas allí establecidas para el manejo hídrico de cada territorio dentro de las variables: disponibilidad de agua, cosecha y almacenamiento de agua, protección fuentes de agua, sistema de riego y tratamiento aguas servidas.
Caracterización del manejo pecuario de los agricultores en la provincia del Sumapaz
La región de Sumapaz es de tradición agropecuaria, constituye una economía campesina a pequeña escala, vinculada al mercado de alimentos de la región convirtiéndose en nicho de consumo. Como proceso de adaptación a nivel de finca, se ha mejorado la genética en la ganadería, la implementación de requerimientos normativos para la comercialización generando de alternativas de subsistencia, ya que permite garantizar el autoabastecimiento, la producción y reproducción de la familia campesina. A través de un inventario ganadero –especies mayores y menores–, fraccionado según su uso, disposición, venta (leche, carne) y seguridad alimentaria, se identificaron y caracterizaron las prácticas ganaderas según orientación, manejo y suplementos necesarios para su rendimiento.

Los resultados de las variables y el cálculo de los estadísticos descriptivos (tabla 6) muestran valores X̄max=3,17 y X̄min=2,58 con una σ=0,835 y σ=0,515 respectivamente, evidenciando una inmensa dispersión de datos dentro de las variables de manejo pecuario, las cuales son establecidos con los requerimientos de inventario de instalaciones, registros de producción, sanidad y bienestar animal, así como suministro de suplementos.
Ponderaciones de variables socioeconómicas y biofísicas de los SPC en la Provincia del Sumapaz
Mediante el criterio de estimación, 3 SPC (G, J, K) obtuvieron un índice entre 57 y 59 del 100%, en términos cualitativos; la apropiación de 57 a 59 prácticas de 100 prácticas posibles establecidas en los criterios socioeconómicos, de manejo agrícola, hídrico y pecuario, calificados dentro de la eficiencia del sistema como ‘débil’ y con prácticas ‘pertinentes’. No obstante, 9 SPC (A, B, C, D, E, F, H, I, L) obtuvieron un índice de 61 a 73 del 100%, lo que representa una eficiencia de los SPC ‘constante’, con prácticas ‘adecuadas’ (tabla 7).

En este sentido, los SPC se caracterizan por un manejo eficiente a través de la aplicación, apropiación e implementación de prácticas tanto agroecológicas como ecoagrícolas, el uso adecuado de la biodiversidad contribuye así a una mayor estabilidad en el uso del capital natural, la conservación de su entorno natural, aportando así a estrategias sustentables frente a situaciones adversas.
Discusión
Caracterización socioeconómica de los agricultores en la provincia del Sumapaz
Las actividades agropecuarias requieren de un fuerte componente humano para la optimización de recursos, es por eso que se exaltan las acciones sociales y económicas de los campesinos, pues la eficiencia en la productividad laboral a través de la mano de obra por jornal, aparcería y familiar suscita un incremento del 50% en la producción, además de la optimización de insumos, materia prima, tecnología e infraestructura. Por lo que, la distinción de la familia campesina en los sistemas de producción es de gran importancia frente a las necesidades y oportunidades de cada territorio, ya que la población presenta condiciones de vida que dependen directamente de las contextos ambientales y climáticos para sus actividades agropecuarias (Fonseca-Carreño, 2021).
En cuanto a la participación organizacional, se encontró una vinculación de los campesinos con organizaciones comunitarias, donde 9 familias pertenecen a asociaciones sin ánimo de lucro y juntas de acción comunal, por lo tanto, se forjan uniones temporales de la comunidad para actividades agropecuarias, se mantienen lazos de unión y se favorece la participación de los campesinos en varios acontecimientos culturales, que generan resiliencia mediante la incorporación de prácticas y saberes ancestrales dentro del conocimiento geográfico del territorio, limitaciones y potencialidades (Moposita et al., 2017). Como lo mencionan Machado y Ríos (2016), la inclusión a redes comunitarias y asociativas contrarresta las externalidades y genera una respuesta oportuna de cooperación en aspectos económicos, sociales y ambientales.
De la misma manera, se observó una gran participación de diferentes instituciones como el Servicio Nacional de Aprendizaje [SENA], la Universidad de Cundinamarca, las Unidades Municipales de Asistencia Técnica Agropecuaria [UMATA], la Asociación de Productores Hortifrutícola de Colombia[Asohofrucol], y los Comités de Cafeteros. Estas instituciones realizan apoyo a los productores locales con asistencia técnica así como formación complementaria en actividades de producción y transformación las cuales mejoran las condiciones de vida de la familia rural (Carreño, 2019).
Se evidencia que una de las mayores brechas generadas en el sector agropecuario y zonas rurales, se presenta por el déficit en el hábitat humano –vivienda y servicios públicos domiciliarios–, dado que difícilmente se cuenta con el acceso a un acueducto, alcantarillado, energía y telefonía propiciando condiciones de pobreza –expresada en términos de ingresos y derechos– (Carreño, 2019). Al mismo tiempo, el hecho de que el 90% de los SPC no cuenten con el servicio de gas propano o gas natural, supone que la familia campesina dependa de madera y leña para satisfacer necesidades energéticas, lo que podría ocasionar presiones sobre masas de vegetación arbórea y arbustiva (Altieri y Toledo, 2011), que contribuyen a la deforestación, deterioran las condiciones de salud lo que reduce su capacidad de eficiencia (Carreño y Baquero, 2018).
Por otra parte, ninguno de los SPC cuenta con vías en óptima condición –pavimentada–, por el contrario, se encuentran en pésimas circunstancias en términos de mantenimiento, en época de lluvias, las vías terciarias –de pendientes escarpadas, inclinadas, sin zanjas de drenaje, ni señalización–, se tornan intransitables, generando mayores inversiones para los intercambios comerciales. Por esto, el destino de la producción se somete a venta directa en plazas municipales e intermediarios en plazas regionales.
Por otra parte, las actividades económicas primarias de los campesinos de cada territorio están marcada por el calendario agrícola, las cuales están sujetas a condiciones preexistentes de posesión de la tierra. Igualmente, en las familias campesinas se estructuran roles específicos para el desarrollo de actividades, los abuelos se encargan de establecer los puntos de encuentro entre los miembros de la familia, así como con sus vecinos por generar altos grados de credibilidad y confianza, participando activamente en la organización comunitaria. Los tenedores de la tierra y jefes de familia se encargan directamente de la producción agropecuaria así como la dirección, planeación y ordenación de gastos de la finca; los demás miembros participan activamente en la producción. En algunas ocasiones los jóvenes con roles de estudiantes participan –aunque en menor medida– de las actividades de campo y las mujeres se encargan de la preparación de los alimentos para los trabajadores, sin embargo, para las mujeres de campesinos sin tierra o con cantidad insuficiente para generar los ingresos necesarios, el rol femenino se amplía para emplearse en actividades de cocina o como jornaleras de campo.
Caracterización del manejo agrícola de los agricultores en la provincia del Sumapaz
La diversidad topográfica y climática de la Provincia ofrece importantes potencialidades productivas que junto con las características y condiciones de los suelos, así como el abundante recurso hídrico, posibilitan el desarrollo de la actividad agrícola ofreciendo grandes beneficios en términos de diversificación de la producción. Pese a la inadecuada distribución de tierra, destinada a la agricultura respecto a otros usos, la principal fuente de ingresos de los municipios objeto de estudio provienen de esta actividad. Comparando la extensión territorial de la región contra el área sembrada, se demuestra que Sumapaz destinó solo el 9,3% de los suelos para la agricultura, ubicándola a nivel de provincia como la décimo segunda en uso del suelo para la agricultura, por debajo del promedio departamental del 13,3% (Silva Velandia, 2020).
Por tanto, la tenencia de la tierra es un factor de tendencia negativa debido a que los SPC son de carácter microfundista con presencia de monocultivos al igual que escasos cultivos de relevo, cultivos asociados tanto en franjas como en huertas caseras. El tamaño del predio influye no sólo en la relación de especies animal y vegetal que lo componen, así como la posibilidad de manejo generada por el área del terreno, la calidad de los suelos y los arreglos productivos, sino que afecta la toma de decisiones frente a los aspectos productivos tales como; planeación de siembras, compra de insumos, mecanización, manejo integrado de enfermedades, transporte, cosecha y comercialización (Carreño, 2019).
Respecto al manejo de suelos, en la zona de estudio se realizan prácticas de labranza de conservación, de ahí que, 10 SPC, realizan labranza mínima, que retarda el crecimiento de arvenses y minimiza el deshierbe manual, conservando la humedad por el rastrojo presente, generando así conservación del suelo. En este sentido, Nicholls et al. (2015) indican que este tipo de prácticas fijan nitrógeno, reducen la erosión del suelo y mitigan los efectos de las sequías. Igualmente 9 SPC, realizan prácticas de protección del suelo –aplicación de enmiendas, incorporación de materia orgánica, arbustos como barreras vivas y cimentación de canales de drenaje–, para control de erosión y obtención de un equilibrio entre suelo y agua. Así lo asevera Martínez et al. (2014) quienes mencionan que la superficie del suelo cubierta por plantas y diseño de drenajes, reduce en un 50% la erosión del suelo, disminuyendo la pérdida de nutrientes, aumentando la materia orgánica, la celeridad de infiltración e incrementando la cantidad de agua aprovechable a los cultivos (Machado y Ríos, 2016).
Adicionalmente, los SPC con una base de conocimientos tradicionales respecto al manejo del capital natural –agua, suelo, bosque–, respeto por el territorio, los seres vivos, la biodiversidad y el rol de género, mantienen y preservan técnicas de producción, así como de reproducción permitiendo mayor capacidad para manifestar dificultades ambientales que afecten la vida cotidiana, la salud y el bienestar de la familia campesina (Mayorga et al., 2017). Por esto, 7 SPC realizan rotación de cultivos, incorporación abonos verdes, mulch o acolchado, cultivos de cobertura densa y sistema silvopastoril para el ciclaje de nutrientes. Primordial para la agricultura orgánica, la cual implica la devolución al suelo de tantos subproductos orgánicos como sea posible (Carreño y Gonzalez, 2020), logrando así un dinamismo biológico de los atributos físicos y químicos del suelo (Molina-Murillo, 2016).
En cuanto a la fertilización y nutrición vegetal, los SPC incorporan grandes cantidades de materia orgánica para mejorar la calidad del suelo, dicha incorporación es primordial para regenerar los suelos, así como sus características biológicas y fisicoquímicas (Molina-Murillo, 2016). De ahí que, la capacidad de retención de agua y aumento de la tolerancia mejora en cultivos durante época de sequías (Nicholls et al., 2015). Asimismo, 9 SPC realizan incorporación de abonos verdes, estiércoles y composta lo que permite alcanzar una óptima productividad, disminuyendo los insumos externos como fertilizantes sintéticos (Molina-Murillo, 2017). No obstante, 3 SPC aplican considerables cantidades de fertilizantes de síntesis química para mejorar los rendimientos de producción, pero, no se tiene en cuenta el efecto tanto residual como colateral de nutrientes, donde se transforma la estructura del suelo, las propiedades fisicoquímicas y se modifica la actividad biótica, que tiende a provocar cambios en la relación suelo-planta, así como la productividad de los mismos (Mayorga et al., 2017).
Por otra parte, la aplicación indiscriminada de elementos de síntesis química –herbicidas, insecticidas, fungicidas– para el manejo de enfermedades y arvenses, presenta disminución y pérdida de biodiversidad (Moposita et al., 2017). Dicha perdida, tiene efectos nocivos sobre la estructura, así como la actividad biológica del ecosistema, la cual representa mayor vulnerabilidad a enfermedades (Martínez, 2009). Debido a dichas consecuencias, 8 SPC alternan el manejo químico para el manejo de enfermedades con rotación de cultivos, policultivos y uso de extractos (purines) y 10 SPC alternan el control químico para manejo de arvenses con control mecánico (deshierba), cultural (rotación) y manual (rastrillo, azadón). Por tanto, es de vital importancia aumentar y regenerar el tipo de biodiversidad, a través del manejo de las prácticas agroecológicas favoreciendo un aumento que a su vez genere un equilibrio del hábitat, de convivencia e interacción de las especies y, por ende, eficiencia en el uso del capital natural (Mayorga et al., 2017).
En definitiva, Moposita et al. (2017) mencionan que el agricultor es quien administra la agrobiodiversidad, planea la siembra de cultivos, selecciona semillas, insumos y elementos esenciales a las plantas, controla, previene plagas y enfermedades, debido a la estrecha relación entre el conocimiento y la percepción que se tiene de las prácticas agroecológicas. De ahí la importancia del conocimiento ancestral de cada territorio, la concepción de la biodiversidad y el manejo sustentable del capital natural (Loayza-Aguilar y Gonzaga, 2020).
Caracterización del manejo hídrico de los agricultores en la provincia del Sumapaz
Los ríos Sumapaz, Guavio y Batán que nacen en el páramo del Sumapaz, representan una fuente hídrica para el abastecimiento así como la disponibilidad de agua, según la Corporación Autónoma Regional de Cundinamarca [CAR] (2016), como reflejo de lo anterior, 7 SPC cuentan el acceso a estos ríos, mientras que los demás obtienen el recurso hídrico de fuentes secundarias como bocatoma/acueducto, pozos y aljibes. Indistintamente de la tendencia productiva, todos los SPC realizan prácticas de cosecha y almacenamiento de agua generalmente ligadas a la excavación de pozos (Mayorga et al., 2017), como diques, sombríos, poceta y aljibes en los que se retiene y almacena transitoriamente el agua para mejorar las condiciones de humedad del suelo, estimulando el crecimiento de las plantas, reduciendo la velocidad de escorrentía, minimizando la erosión de suelos, acumulando agua durante épocas invernales para así disponer de agua para consumo y riego durante épocas de sequía (Winckler y Pantoja, 2019).
Con respecto a la protección de las fuentes hídricas, 10 SPC separan cultivos de fuentes hídricas, delimitan fuentes hídricas con cercas vivas, realizan reforestación con plantas protectoras como chusque (Chusquea spp), laurel (Nectandra spp), cucharo (Clusia multiflora), yarumo (Cecropia teleincano), aliso (Alnus jorullensis), entre otros, en zonas de nacimiento y cauces. A su vez, conservan y protegen la vegetación en laderas de los afluentes hídricos para realizar jornadas de ornato o limpieza. El buen manejo de estos factores, ha permitido que todos los SPC puedan conservar el agua a través del conocimiento de los campesinos (Carreño et al., 2019), manteniendo un beneficio colectivo entre las comunidades rurales, que permiten aumentar el rendimiento de los cultivos, contribuyendo a la conservación del capital natural y estableciendo las relaciones sociales comunitarias (Martínez, 2009).
Por otro lado, los campesinos combinan componentes ecológicos y geográficos, para suministrar agua a sus producciones agrícolas, de ahí que, surten sus cultivos con agua lluvia de escorrentía y 7 SPC, utilizando sistemas de riego para el suministro del vital líquido –riego con manguera, por aspersión y goteo– a través de captación de agua por bocatoma. Dicho mecanismo, da origen a sistemas agrohidráulicos adaptados a condiciones ambientales y socioeconómicas de cada territorio (Ocampo y Escobedo, 2006), se establece mediante cálculo matemático, para definir el volumen de agua que se almacenará en la franja radicular de la planta al igual que la cantidad de agua irrigada, lo cual aumenta la eficiencia del sistema de riego (Winckler y Pantoja, 2019).
En definitiva, los recursos a nivel de finca son amenazados por componentes externos; el agua superficial de uso agrícola enfrenta problemas de escasez y contaminación, obligando a los campesinos a buscar alternativas para hacer más eficiente su uso y manejo (Winckler y Pantoja, 2019), donde, 8 SPC realizan prácticas de tratamiento de aguas –pozo séptico, recirculación, laguna de oxidación y biodigestor–, evitando generar contaminación a los afluentes hídricos que pasan por sus fincas. Los demás SPC realizan vertimientos de aguas servidas provenientes de actividades agropecuarias, efluentes domésticos al igual que fuga de colectores a canales de desagüe y alcantarillas, lo que repercute en la contaminación de aguas superficiales y posibles enfermedades con el consumo y contacto de agua (Fonseca-Carreño et al., 2020).
Caracterización del manejo pecuario de los agricultores en la provincia del Sumapaz
El 100% de la muestra cuenta con un adecuado manejo de las instalaciones ganaderas, de ahí sólo 5 SPC cuentan con establos, corral de ordeños, bretes y bodegas de acopio. No obstante, las condiciones de la infraestructura no son adecuadas, la construcción artesanal con base en madera y materiales plásticos no son óptimas para alojar los animales, según las condiciones fenotípicas y genotípicas de la ganadería y los procesos productivos, de acuerdo con las buenas prácticas ganaderas (BPG), establecidas por el Instituto Colombiano Agropecuario [ICA], donde el CONPES 3676 de 2010 instaura la política sanitaria y de inocuidad para las granjas ganaderas, según resolución ICA 3585 de 2008 para ganado lechero, ICA 2341 de 2007 para ganado de carne e ICA 2640 de 2007 para ganado porcino (ICA, 2010).
Para mantener la ganadería en buen estado, prima la salud y bienestar animal, por esto, los predios cuentan los planes sanitarios establecidos por el ICA tales como: ingreso animal con guía sanitaria, desinfección en las instalaciones, protocolos de prevención enfermedades, tratamientos, medicación y programas de bioseguridad. Dichas prácticas se adelantan en 7 SPC, optimizando la eficiencia productiva, reproductiva y los planes de contingencia para disminuir el riesgo de accidentes para el personal. Al mismo tiempo, 8 SPC realizan un óptimo suministro de suplementos –pasto de corte, ensilaje, subproductos de cosecha, alimento concentrado, bloques multinutricionales, sal mineralizada y melaza–, satisfaciendo las exigencias nutricionales –cantidad y calidad–, que permiten demostrar los procesos productivos y reproductivos del inventario ganadero, donde se evidencia una ganancia de peso al nacimiento y destete del 20% y un 30% en el incremento en la producción de leche. Así lo evidencia Bermúdez et al. (2017), quienes asocian el suministro de suplementos dietéticos al incremento en la producción de leche y ganancia de peso entre el 13 y 28% respectivamente.
Así mismo, se implementan dietas alimenticias con base de forraje que permite un incremento en la producción de leche y carne, por ejemplo, el pasto kikuyo –Pennisetum clandestinum–, satisface los requerimientos nutricionales con una producción hasta de 10kg de leche al día y el raigras –Lolium sp.–, alcanza hasta los 18kg sin suministro de alimentos concentrados. Por otro lado, se implementa el manejo de registros que permite planear, organizar y controlar las actividades ganaderas. No obstante, solo 9 SPC poseen registros, solamente el 25% de los SPC lleva un registro específico por cada faena agropecuaria –producción de leche, reproducción, salud y bienestar, compra venta - comercialización–.
En síntesis, los SPC presentan un grado de eficiencia positivo y posibilidades de mejora continua, al reconocer que la familia campesina es cada vez más consciente de realizar acciones para la adaptación de condiciones climáticas adversas, por lo cual, promueven formas culturales basadas en los conocimientos ancestrales para adaptarse a las condiciones del territorio, contribuyendo gradualmente a la seguridad alimentaria, reduciendo las situaciones de migración a ciudades capitales y desigualdad social.
Conclusiones
La familia campesina percibe los sistemas productivos como fuente de subsistencia, combinación de fuerza de trabajo, medios de producción, flujo e interacciones entre subsistemas y diversidad de servicios agropecuarios adaptados a las condiciones socioeconómicas, así como biofísicas del Sumapaz. Es importante resaltar la interacción de los campesinos con prácticas amigables para los ecosistemas, como la mínima utilización de residuos potencialmente peligrosos, la mitigación de efectos de la variabilidad climática, el manejo adecuado de las fuentes hídricas, el ciclaje de nutrientes al igual que el material residual de actividades agrícolas y ganaderas, lo cual sumado a la participación en manifestaciones comunitarias, incrementa el nivel de residencia en los territorios, incluso trasmitiéndola a nuevas generaciones.
Los resultados evidencian que, bajo sus modos de vida tradicional, saberes culturales, la influencia externa de tecnología, cambios socioculturales, políticas regionales y nacionales sumados a la falta de acceso al mercado, se genera una alta dependencia externa de productos o servicios que derivan en consecuencias ecológicas, económicas y sociales. Igualmente, se puede concluir que las prácticas agropecuarias tradicionales tienden a desaparecer, con estas la diversidad de cultivos, especies, semillas, conocimiento así como los saberes culturales, ya que se articulan con la implementación de técnicas de la agricultura moderna, basada en la ‘especialización y mecanización productiva’, ocasionando disminución de la biodiversidad.
Referencias
Albarracín-Zaidiza, Z. J., Fonseca, C. N., y López, V. L. (2019). Las prácticas agroecológicas como contribución a la sustentabilidad de los agroecosistemas. Caso provincia del Sumapaz. Ciencia y Agricultura,16(2), 39-55. https://doi.org/10.19053/01228420.v16.n2.2019.9139
Altieri, M., y Nicholls, C. (2012). Agroecología: única esperanza para la soberanía alimentaria y la resiliencia socioecológica. Agroecología, 7(2), 65-83. https://revistas.um.es/agroecologia/article/view/182861
Altieri, M. A., y Toledo, V. M. (2011). The agroecological revolution in Latin America: Rescuing nature, ensuring food sovereignty and empowering peasants. Journal of Peasant Studies, 38(3), 587-612. https://doi.org/10.1080/03066150.2011.582947
Andrade, H. J., Segura, M. A., y Sierra, E. (2017). Percepción local de los servicios ecosistémicos ofertados en fincas agropecuarias de la zona seca del norte del Tolima, Colombia. Luna Azul, (45), 42-58. https://doi.org/10.17151/luaz.2017.45.4
Bermúdez, C. E., Arenas, N. E., y Moreno, V. (2017). Caracterización socio-económica y ambiental en pequeños y medianos predios ganaderos en la región del Sumapaz, Colombia. Revista Actualidad & Divulgación Científica, 20(1), 199-208. https://doi.org/10.31910/rudca.v20.n1.2017.76
Blandi, M. L., Cavalcante, M., Gargoloff, N. A, y Sarandón, S. J. (2016). Prácticas, conocimientos y percepciones que dificultan la conservación de la agrobiodiversidad. El caso del cinturón hortícola platense, Argentina. Cuadernos de Desarrollo Rural,13(78), 97-122. https://doi.org/10.11144/Javeriana.cdri3-78.pcpd
Carreño, N. E. (2019). Caracterización de agroecosistemas campesinos en el municipio de Cabrera en la provincia del Sumapaz-Cundinamarca. Pensamiento udecino, 3(1), 49-60. https://doi.org/10.36436/23824905.157
Carreño, N. E., y Baquero, Z. Y. (2018). Propuesta de indicadores para evaluar la sostenibilidad en agro ecosistemas agrícolaganaderos en la región del Sumapaz. Pensamiento Udecino, 2(1). http://revistas.ucundinamarca.edu.co/index.php/Pensamiento_udecino/article/view/38
Carreño, N. E., y Baquero, Z. Y. (2019). Sostenibilidad como estrategia de competitividad empresarial en sistemas de producción agropecuaria. Revista Estrategia Organizacional, 8(1). https://doi.org/10.22490/25392786.3168
Carreño, N. E. F., y González, F. A. (2020). Propuesta metodológica para medir la sustentabilidad en agroecosistemas, a través del marco Mesmis. En J. Martínez Garcés (Coord.), Avances en Investigación científica, (pp. 1197-1212), Corporación Universitaria Autónoma de Nariño. https://aunarcali.edu.co/web/administrator/modelos/informacion_institucionales/documento%20editorial/libro_2_tomo2_ciencias_economicas_sociales.pdf
Casimiro-Rodríguez, L. (2016). Bases metodológicas para la resiliencia socio ecológica de fincas familiares en Cuba [Tesis de doctorado, Universidad de Antioquia]. http://bit.ly/2mpaVYK
Corporación Autónoma Regional de Cundinamarca [CAR]. (2016). Evaluación regional del agua. Cuenca del rio Sumapaz. CAR. http://sie.car.gov.co/handle/20.500.11786/36154
Dussi, M. C., y Flores, L. B. (2018). Visión multidimensional de la agroecología como estrategia ante el cambio climático. Revista Interdisciplina. 6(14), 129-153. http://dx.doi.org/10.22201/ceiich.24485705e.2018.14.63384
Espejo, M. R. (2017). Estimación de la desviación estándar. Estadística Española, 59(192), 37-44. https://www.researchgate.net/profile/Mariano-Ruiz-Espejo/publication/319332721_Estimacion_de_la_desviacion_estandar/links/59a589beaca272895c14495c/Estimacion-de-la-desviacion-estandar.pdf
Fonseca, J. A., Orozco, A. D., y Cleves, J. A. (2014). La ecoagricultura y la agroecología como estrategia tecnológica que potencia los servicios ecosistémicos. una revisión. Temas agrarios, 19(2), 260-275. https://doi.org/10.21897/rta.v19i2.739
Fonseca Carreño, N. E. (2021). Aguacate Hass: Cadena de Valor para Contribuir a la Competitividad de Silvania en Cundinamarca Colombia. In Vestigium Ire, 15(1), 43-62. Recuperado a partir de http://revistas.ustatunja.edu.co/index.php/ivestigium/article/view/2372
Fonseca-Carreño, N. E. (2021). Caracterización socioeconómica y biofísica de agroecosistemas en el municipio de Pasca en la provincia del Sumapaz-Cundinamarca. Revista Científica Profundidad Construyendo Futuro, 14(14), 2–14. https://doi.org/10.22463/24221783.3159
Fonseca-Carreño, N. E., González, M. M., y Narváez, B. C. (2020). Asociatividad para la administración los sistemas de producción campesina. Revista Estrategia Organizacional, 9(1). https://doi.org/10.22490/25392786.3644
Fonseca-Carreño, N. E., Salamanca-Merchan, J. D., y Vega-Baquero, Z. Y. (2019). La agricultura familiar agroecológica, una estrategia de desarrollo rural incluyente. Una revisión. Temas Agrarios, 24(2), 96-107. https://doi.org/10.21897/rta.v24i2.1356
Geilfús, F. (1997). 80 Herramientas para el Desarrollo Participativo. Prochalate-IICA.http://www.corporacionpba.org/irp/herramientas/Etapa_I/punto_de_partida/paso2_drp/80_herramientas.pdf
Gordón-Mendoza, R., y Camargo-Buitrago, I. (2015). Selección de estadísticos para la estimación de la precisión experimental en ensayos de maíz. Agronomía Mesoamericana, 26(1), 56-63. http://www.scielo.sa.cr/scielo.php?script=sci_arttext&pid=S1659-13212015000100006&lng=en&tlng=es
Instituto Colombiano Agropecuario [ICA]. (2010). CONPES 3676 de 2010. https://www.ica.gov.co/getattachment/3b31038a-72ba-40f9-a34d-cecd89015890/2010cp3676.aspx
Loayza-Aguilar, J., y Gonzaga, A. (2020). Saberes locales sobre tecnologías y estrategias de producción agropecuaria para la resiliencia climática Local. Journal of the Selva Andina Biosphere, 8(1), 32-41. https://doi.org/10.36610/j.jsab.2020.080100032
Machado, V., y Ríos, O. (2016). Sostenibilidad en agroecosistemas de café de pequeños agricultores: revisión sistemática. IDESIA, 34(2), 5-23. http://dx.doi.org/10.4067/S0718-34292016005000002
Martínez, R. (2009). Sistemas de producción agrícola sostenible. Tecnología en Marcha, 22(2), 23-39. https://revistas.tec.ac.cr/index.php/tec_marcha/article/view/114
Mayorga, C., Cornejo, H. P., y Treggiari, F. (2017). El rol de la mujer indígena mapuche en la preservación de recursos genéticos y conocimientos tradicionales asociados. Un análisis jurídico desde la perspectiva de género. Jurídicas, 14(2), 29-45. Https://doi.org/10.17151/jurid.2017.14.2.3
Molina-Murillo, S. (2016). Desarrollo verde e inclusivo en respuesta al cambio climático. Ambientico, 25(8), 24-9. https://www.kerwa.ucr.ac.cr/bitstream/handle/10669/30400/A4.pdf?sequence=1
Molina-Murillo, S. (2017). ¿Son las fincas agroecológicas resilientes? Algunos resultados utilizando la herramienta SHARP-FAO en Costa Rica. Ingeniería 27(2), 25-39. https://dialnet.unirioja.es/servlet/articulo?codigo=6072638
Moposita, M., Diego, A., Pereda, J., Curbelo, L., Figueredo, R., y Cervantes, M. (2017). Intensificación de los sistemas agropecuarios y su relación con la productividad y eficiencia. Resultados con su aplicación: Artículo de Revisión. Revista de Producción Animal, 29(2), 57-64. http://scielo.sld.cu/scielo.php?script=sci_arttext&pid=S2224-79202017000200008
Motta, P. A., y Ocaña, H. E. (2018). Caracterización de subsistemas de pasturas braquiarias en hatos de trópico húmedo, Caquetá, Colombia. Revista Ciencia y Agricultura, 15(1), 81-92. https://doi.org/10.19053/01228420.v15.n1.2018.7759
Nicholls, C., Henao, A., y Altieri, M. (2015). Agroecología y el diseño de sistemas agrícolas resilientes al cambio climático. Agroecología, 10(1), 7-31. https://revistas.um.es/agroecologia/article/view/300711
Ocampo-Fletes, I., y Escobedo-Castillo, J. F. (2006). Conocimiento tradicional y estrategias campesinas para el manejo y conservación del agua de riego. Revista Ra Ximhai, 10(2), 343-371. https://www.redalyc.org/pdf/461/46120203.pdf
Organización de las Naciones Unidas para la Alimentación y la Agricultura [FAO]. (2014). El estado mundial de la agricultura y la alimentación. http://www.fao.org/3/a-i4036s.pdf
Raigón, M. (2014). La alimentación ecológica: cuestión de calidad. Leisa Revista de Agroecología, 30(4),10-2. http://hdl.handle.net/10251/78799
Ruíz-Ramírez, J. (2010). Eficiencia relativa y calidad de los experimentos de fertilización en el cultivo de caña de azúcar. Terra Latinoamericana, 28(2), 149-154. http://www.scielo.org.mx/pdf/tl/v28n2/v28n2a6.pdf
Silva Velandia, B. C. (2020). Cartografía social y ambiental como mecanismo de participación campesina: experiencia en la zona de reserva campesina de Cabrera, Cundinamarca (2017). Ciudad Paz-ando, 13(1), 54–68. https://doi.org/10.14483/2422278X.13967
Torres, M., Florez, F., y Triana, F. (2014). Efecto del uso del suelo en la capacidad de almacenamiento hídrico en el páramo de Sumapaz-Colombia. Revista Facultad Nacional de Agronomía, 67(1), 189-200. https://doi.org/10.15446/rfnam.v67n1.42642
Turbay, S., Nates, B., Jaramillo, F., Velez, J., y Ocampo, O. (2014). Adaptación a la variabilidad climática entre los caficultores de las cuencas de los ríos Porce y Chinchina, Colombia. Revista de Investigaciones Geográficas. 8(5), 95-112. https://doi.org/10.14350/rig.42298
Van der Ploeg, J. (2013). Diez cualidades de la agricultura familiar. Revista de Agroecologia, 29(4), 3-6. https://www.leisa-al.org/web/index.php/volumen-29-numero-4/998-diez-cualidades-de-la-agricultura-familiar
Vázquez, L., y Martínez, H. (2015). Propuesta metodológica para la evaluación del proceso de reconversión agroecológica. Agroecología, 10(1), 33-47. https://revistas.um.es/agroecologia/article/view/300721
Winckler, J. S., y Pantoja, G. D. C. (2019). Agua como recurso estratégico: Desafíos para Chile en un escenario de cambio global. Revista Política y Estrategia, (134), 55-92. https://www.redalyc.org/pdf/461/46120203.pdf
Notas
Notas de autor
Autor de correspondencia. Correo electrónico: nefonseca@ucundinamarca.edu.co