Artículos
Creatividad, eficiencia y concentración espacial en México
Creativity, Efficiency, and Spatial Concentration in Mexico
Créativité, efficacité et concentration spatiale au Mexique
Creatividade, eficiência e concentração espacial em México
墨西哥的创新性、效率和空间集聚
Creatividad, eficiencia y concentración espacial en México
Problemas del desarrollo, vol. 49, núm. 193, pp. 33-66, 2018
Universidad Nacional Autónoma de México, Instituto de Investigaciones Económicas
Recepción: 07 Noviembre 2017
Aprobación: 06 Febrero 2018
Financiamiento
Fuente: UNAM
Nº de contrato: IN309014
Nº de contrato: IN304017
Resumen: La competitividad regional cambia estrechamente con la evolución de la productividad y en la actualidad, con mayor frecuencia, se vincula con la creatividad y la innovación. En los diferentes estudios sobre el tema se reconoce que la concentración espacial de la creatividad es un motor de la productividad, sin embargo, pocas veces se logra cuantificar la dimensión de dicha relación. Mediante un análisis de frontera de producción estocástica se evalúa los niveles de eficiencia técnica y productividad de las 59 zonas metropolitanas (ZMS) de México y se mide la contribución de las actividades creativas localizadas en ellas.
Palabras clave: zonas metropolitanas, competitividad regional, eficiencia técnica y productividad, modelos de frontera de producción y de eficiencia.
Résumé: La compétitivité régionale évolue en fonction de l'évolution de la productivité et, de nos jours, cela est plus souvent lié à la créativité et à l'innovation. Dans les différentes études sur le sujet, il est reconnu que la concentration spatiale de la créativité est un moteur de productivité, mais il est rarement possible de quantifier la dimension de cette relation. Grâce à une analyse des limites de la production stochastique, les niveaux d'efficacité technique et de productivité des 59 régions métropolitaines (ZMS) du Mexique sont évalués et la contribution des activités créatrices qui s'y trouvent est mesurée.
Mots clés: zones métropolitaines, compétitivité régionale, efficacité technique et productivité, modèles de frontière de production et d'efficacité.
Resumo: A competitividade regional muda de forma estreita com a evolução da produção e, na atualidade, com maior frequência, ela tem ligação com a criação e a inovação. Nos diferentes tipos de estudos sobre o tema, se considera a concentração espacial da criatividade como um motor da produtividade, contudo, poucas vezes se logra quantificar a dimensão desta relação. Através de uma análise de fronteira de produção estocástica, se avalia os níveis de eficiência técnica e produtividade das 59 zonas metropolitanas (ZMS) do México e se mensura a contribuição das atividades criativas localizadas nelas.
Palavras-chave: zonas metropolitanas, competitividade regional, eficiência técnica e produtividade, modelos de fronteira de produção e de eficiência.
摘要: 区域竞争力和生产力的发展紧密相关,当今,生产力又常常因创造和创新而提升。在关于该议题的不同研究中,都承认,创新性的空间集聚是生产力提升的引擎。 但是很少有这种关系维度的量化研究。通过对随机生产的边界分析,本文对墨西哥59个大都市区(mz)的技术效率和生产力进行了评估,并测量了其中创造性活动的贡献。
关键词: 都市区, 区域竞争力, 技术效率和生产力, 生产及效率的边界模型.
Keywords: metropolitan zones, regional competitiveness, technical efficiency, and productivity, production and efficiency frontier models
1. Introducción
Este trabajo tuvo su impulso inicial en la preocupación por construir indicadores de competitividad regional en México, colocando el interés en las 59 zonas metropolitanas (ZMS) en las cuales, según los últimos datos censales, se genera alrededor del 70% del producto interno bruto (PIB) nacional y se concentra el 57% de la población. El análisis de la competitividad de ciudades y regiones se ha convertido en un tema regular dentro del campo de los estudios regionales y ha dado lugar a numerosos índices de competitividad local o regional con los cuales se han realizado comparaciones y rankings.Krugman (1994) se ha referido a este asunto como una "obsesión peligrosa".
Pese a la gran cantidad de índices disponibles, Berger (2011) hace un recuento hasta 2009 de por lo menos 217 índices diferentes de competitividad, no existe claridad de lo que miden ni de la forma en que esas mediciones se pueden vincular con la prosperidad de una región (Martin et al., 2004).
La idea de competitividad regional ha enfrentado críticas al considerar que las regiones no pueden competir, como sí lo hace una empresa (Krugman, 1994; Martin et al., 2004). Sin embargo, la competitividad es simplemente otra forma de hablar de productividad, dice Krugman (1994); a nuestro parecer tiene sentido en tanto que, este último concepto puede abordarse aún en el marco de la teoría económica, el concepto de competividad es más abierto, digamos multidisciplinario. En consecuencia, el interés debe colocarse en medir la productividad y de las fuentes o determinantes de su crecimiento.
Este es un problema recurrente, al menos desde el trabajo de Solow (1957),2 asociado a la aparición de nuevas metodologías que revisan las mediciones de la productividad agregada o productividad total de los factores (PTF) y otros aspectos estructurales de una economía, como el cambio tecnológico y, más recientemente, el cambio en la eficiencia productiva. La desventaja de usar el enfoque de Solow es que no identifica en realidad fuentes del crecimiento de la PTF, es sólo una descomposición contable (Barro y Sala-i-Martin, 2003). No puede identificar si el crecimiento de la PTF se origina por el cambio técnico o por las mejoras en la eficiencia.
Por fortuna, en el campo de fronteras de producción (o costos) se han desarrollado muchas posibilidades metodológicas alternativas para medir la PTF (en el Cuadro 1 se presenta una breve taxonomía), de esta amplia gama se tomó en consideración sólo aquellos modelos de frontera estocástica que toman en cuenta la estimación de la ineficiencia, en tanto que sin esta consideración la medida estimada del crecimiento de la productividad puede estar sesgada y no hay una noción de precisión (Grosskop, 1993, sec. 4.3.2, p.173).
De esta forma es que interesan para este estudio porque en ellos es posible construir relaciones entre productividad y eficiencia técnica, los cuales son conceptos económicos empleados frecuentemente para analizar el desempeño económico de las unidades económicas observadas (estados, regiones) y ambos están vinculados de manera directa en el mismo marco de la teoría de la producción (Nishimizu y Page, 1982; Kumbhakar et al., 2000; Lobo et al, 2013). Con estos modelos de frontera de producción estocástica es posible descomponer el crecimiento de la PTF en sus fuentes ("causas"): cambio tecnológico, cambio en la eficiencia técnica y el cambio de escala. En el marco de la teoría de la producción entonces se puede establecer un puente analítico entre competitividad, productividad y eficiencia técnica.
La estrategia de estimación de la PTF requiere previamente de la estimación del nivel de eficiencia y sus cambios en el tiempo, que es uno de los tres componentes mencionados. En este estudio se realiza una primera aproximación con este tipo de metodologías cuyo alcance se restringe, en un primer momento, a la exploración sobre el papel que juega el sector de actividades creativas en la determinación del nivel de eficiencia técnica de las zonas metropolitanas (ZMS).
Se trata de un sector económico que en la actualidad está en el centro del crecimiento de la PTF de algunas grandes urbes o regiones dinámicas en México y el mundo. Se limita el alcance de esta aplicación también por la disponibilidad de información, se trabaja con un panel corto en el tiempo y se tiene que restringir la especificación del modelo básico que se implementa.
En consecuencia, este estudio se propone como objetivo principal encontrar evidencia empírica para la hipótesis de trabajo siguiente: el sector de las actividades creativas juega un papel importante (significativo) en la reducción de los niveles de ineficiencia productiva de las ZMs, como parte de mecanismos más amplios de captura de efectos de economías de aglomeración, spillovers o externalidades positivas favorables a los procesos de crecimiento endógeno en las urbes de México. En la evidencia para ciudades europeas se ha encontrado que las actividades creativas tienen un impacto significativo en los diferenciales de productividad, al incrementar la generación de innovaciones a través de la creación de nuevos productos y variedades (Boix y Soler, 2014).
Bajo estas consideraciones, en este trabajo se realiza un análisis de eficiencia técnica de las 59 ZMs de la República mexicana, se cuantifican sus niveles de eficiencia técnica (promedio), se ordenan jerárquicamente y se estima el efecto que las tareas del sector de actividades creativas tiene en la determinación de la eficiencia.
El presente trabajo se compone de seis secciones, en la segunda se presenta una revisión de las contribuciones fundamentales al tema; en la tercera y cuarta se ofrece una discusión sobre la metodología de medición y se expone el modelo empírico base del análisis, en la quinta se muestra la estadística descriptiva y la interpretación de resultados. Finalmente, en la sección sexta se presentan algunas consideraciones finales.
2. Revisión de la literatura sobre el tema
Tradicionalmente la productividad en las ciudades se ha vinculado de forma directa con la operación de algún tipo de economías de aglomeración (Fujita et al., 1999; Fujita y Thisse, 2002). Las empresas buscarán localizarse en donde hay otras empresas ya establecidas, Marshall (1891, 2006) ya había señalado que podrían obtener ventajas de esa localización, al tener acceso a concentraciones de insumos y trabajo especializado, y "derramas" de conocimiento e innovación. En Melo et al. (2009) se puede consultar un amplio meta-análisis de 34 artículos publicados sobre la relación entre economías de aglomeración y productividad, en los que se destaca el hecho de que los efectos en la productividad dependen de efectos característicos (propios) de la región, su cobertura industrial y, en general, la forma en que se estructuran las economías de aglomeración. En un contexto así, sin duda el llamado capital humano, que toma en consideración aspectos de calidad de la fuerza de trabajo, es un vehículo o parte de un mecanismo de transmisión de efectos de captura (no observables) tecnológica, de localización y otros (Ghosh y Mastromarco, 2013). La idea consiste en construir un puente entre la productividad y el desempeño de sectores característicos de una economía regional como el caso de los sectores creativos.
Desde los años noventa, la literatura sobre el papel de la economía creativa ha aumentado rápidamente. El análisis se ha enfocado al estudio de las ciudades creativas (Yenken, 1988; Landry y Bianchini, 1995; Landry, 2000), las industrias creativas (Pratt, 1997; Higgs et al., 2008; UNCTAD, 2010; DCMS, 2015) y las clases creativas (Florida, 2002, 2004 y 2008). Un aspecto común a esos diferentes estudios y perspectivas es la coincidencia en torno al hecho de que las actividades creativas han ido adquiriendo una gran relevancia en el entendimiento de fuerzas que detonan el crecimiento y el desarrollo económico y social de las regiones más dinámicas del mundo.
No existe una conceptualización clara y precisa de lo que se debería entender como economía creativa o actividades creativas y ello se deriva de la propia amplitud de lo que se debe entender como creatividad: "...proceso para generar algo nuevo a partir de la combinación de elementos que ya existen" (Candance et al., 2015, p. 3). En su origen la idea de industrias creativas se vinculó a la cultura (DCA, 1994) y el desarrollo de las primeras alternativas metodológicas de medición que fueron desarrolladas para el Reino Unido, centrándose en actividades caracterizadas por el talento, las habilidades y la creatividad individuales (DCMS, 1998 y 2001).
Actualmente la propuesta más importante para la definición y el registro (medición) de las actividades de las industrias creativas es la que formula Naciones Unidas en su informe sobre la economía creativa, en donde esas industrias se definen como generadoras de productos simbólicos (UNCTAD, 2008). En el Cuadro 2 se muestran las actividades que UNCTAD considera como parte integrante de las actividades o industrias creativas.
En su informe más reciente UNCTAD (2015) mide el alto impacto económico que las industrias creativas tienen en la actualidad; a nivel mundial los mercado de bienes y servicios culturales y creativos en 2012 fue del orden de los 547 mil millones de dólares, con un tasa de crecimiento sostenido anual de 8.6%, entre 2002 y 2012.
Los análisis sobre industrias creativas han privilegiado la evaluación de su impacto en la provisión de algún tipo de amenidades urbanas (Florida, 2004; Glaeser, 2012), en el desarrollo de nuevas tecnologías, la innovación y el cambio tecnológico (Cunningham, 2008; Jaaniste, 2009; Lee y Rodriguez-Pose, 2014), en el nivel y tipo de empleo (DCMS, 2016) y en la productividad (Chapain et al., 2010).
A pesar de la diversidad de análisis que se acumulan sobre las industrias creativas, poco se ha hecho para comprender su papel en el desarrollo desigual de las ciudades en términos de los usos más eficientes de recursos disponibles por una sociedad. Aunque se reconoce que la concentración de actividades creativas es un motor de la productividad y que tiene un impacto diferencial en el crecimiento de las ciudades, pocos estudios abordan este fenómeno en el marco de un modelo de frontera de producción e intentan cuantificar el efecto del sector de las actividades creativas sobre el nivel de eficiencia técnica (Mandula y Auci, 2013). A escala urbana estos conceptos de base para la política pública implícitamente contienen el requisito de que las ciudades deben ser eficientes en el uso de recursos utilizados en conjunto y una manera de entenderlo puede ser un marco de teoría de la producción, pero en donde la entidad del análisis sea una región o ciudad.
En consecuencia, se considera pertinente realizar una exploración con una muestra de 59 ciudades mexicanas, con el fin de cuantificar el efecto del sector de actividades creativas en la determinación de los niveles de eficiencia técnica; es un ejercicio convencional como si fuera otro sector económico (por ejemplo, manufacturas). Por lo que se considera necesario precisar que el objeto de estudio es distinto al de smart city de Mundula y Auci (2013, 2016). Para este análisis de actividades creativas se adoptó la clasificación más común que ha sido la propuesta por UNCTAD, adaptada al Sistema de Clasificación Industrial de América del Norte (SCIAN). Los sectores considerados se muestran en el cuadro A1 (véase Anexo estadístico).
3. Metodología
Aunque el paradigma neoclásico en la teoría de la producción supone que los productores de una economía siempre operan eficientemente (máximo producto posible), en la realidad son ineficientes. Por muy similares que sean dos empresas nunca producen el mismo producto y, los costos y beneficios nunca son iguales. Estas diferencias pueden explicarse en términos de eficiencia y algunos choques exógenos imprevisibles. Esta es la idea básica que se extrapola conceptualmente para el caso de explicar diferencias entre ciudades mexicanas en términos de niveles eficiencia determinados por la presencia de sectores con actividades creativas.
Si bien se ha desarrollado una gama importante de métodos no paramétricos y econométricos para medir la (in)eficiencia, en este trabajo se emplean fronteras de producción estocástica con datos de panel, la técnica desarrollada originalmente para datos de corte transversal por Aigner, Lovell y Schmidt (1977) y Meeusen y van den Broeck (1977), evolucionan hacia las aplicaciones con datos de panel para detalles sobre la evolución de esta metodología se puede consultar a Kumbhakar et al. (2015), Greene (2008), Kumbhakar y Lovell (2000) y para enfoques no-paramétricos a Daraio y Simar (2007). En el marco de modelos con datos de panel, inicialmente incorporan determinantes de los cambios en la eficiencia y derivan, posteriormente, en familias de modelos desde los básicos (efectos fijos y aleatorias) a los más recientes que separan mejor heterogeneidad de ineficiencia persistente (o estructural) y de la ineficiencia variante en el tiempo (Kumbhakar et al., 2015).
En general, los modelos de frontera de producción y de eficiencia se construyen así. Brevemente, dado un vector de variables insumo del productor-i,3 una función de producción f (xi ;β) que define el máximo producto posible, esto es, un máximo técnico o potencial, que se identifica como la frontera de producción. Lo interesante a destacar es que aún y cuando el vector de insumos xi fuera exactamente el mismo para productores diferentes, nada garantiza que alcancen el máximo producto, es decir, es muy posible que exista una diferencia entre el producto observado yi y el producto potencial, yi≤ f (xi ;β) y el cociente es consistente definirlo como la eficiencia técnica (0 ≤ ET ≤ 1).
Por ende, es usual definir la ineficiencia técnica como IT = 1 - ET , o de manera equivalente IT = ( f (xi;β) - yi )/ f (xi ;β) ≥ 0, el cual mide ese déficit o faltante para alcanzar el producto máximo. Esto es relevante para la implementación metodológica porque la desigualdad yi≤ f (xi ;β) se puede expresar también como la igualdad ln yi= ln f (xi ;β) - ui , con la incorporación de un término ui≥ 0 que se interpreta como la ineficiencia técnica. En esta igualdad se ignora el papel de los factores no controlables o impredecibles, cuando en la realidad estos factores son numerosos e inevitables quedan "contabilizados" como aleatoriedad mediante un segundo término de error vi o ruido aleatorio; tanto ui como vi son no observables. De esta manera se justifica estimar la función de producción como una relación estocástica que se especifica como:
Como un primer acercamiento al tema, se ha decidido usar la modelización de panel a la Battese y Coelli (1995), primera de su tipo y muy empleada aún, que permite estimar los efectos de variables exógenas que alteran el nivel de eficiencia, por ejemplo, las asociadas al sector de actividades creativas. Es directa la notación al caso de datos de panel y, en la práctica, es frecuente usar la transformación logarítmica de las variables por lo que, yit es el logaritmo del producto para cada zona metropolitana ZM-i y tiempo t, xit un vector (k x 1) de variables insumo del productor-i medidas en el tiempo t, y el un vector β de parámetros desconocidos por estimar. Se asume entonces una forma lineal para la f (·) como sigue:
El error global no observable se ha descompuesto entonces en un primer componente vit , el cual es una variable aleatoria que se distribuye según [iid N(0,)] y un segundo componente uit , que es una variable aleatoria también (no negativa), que se supone captura los efectos de ineficiencia técnica en la generación del producto y se distribuye independientemente según una distribución normal truncada N ( mit , . La ineficiencia esperada o promedio, E(uit ) = mit , es una función de variables zit que pueden afectar la eficiencia técnica de las ZMs y se expresa así:
Donde zit es un vector (1xp) de variables explicativas que pueden tener un efecto sobre la función de producción de una ZM y δ es un vector (px1) de parámetros por estimar.
Sobre las variables explicativas z en el modelo de ineficiencia podría incluirse cualquier variable que explique el grado con la cual las observaciones de la producción están por debajo de los valores de la frontera estocástica.4 La estimación de los parámetros definidos por las ecuaciones (2) y (3) se realiza mediante el método de máxima verosimilitud. La derivación de la función de verosimilitud expresada en términos de los parámetros de varianza , se puede consultar en Battese y Coelli (1993, pp. 19-22).5 Dado que las variables en (2) están en términos logaritmicos, es directo expresar la eficiencia técnica (ET) mediante:
El modelo de Battese y Coelli (1995), de uso extendido todavía, tiene debilidades importantes, una de ellas es que no permite corregir por heterocedasti-cidad. En los modelos de frontera estocástica y, en particular los estimados por máxima verosimilitud, la presencia de heterocedasticidad sesga los coeficientes al sobreestimar el intercepto y subestimar la pendiente de los coeficientes, por esa razón Caudill, Ford y Gropper (1995) extendieron el modelo al asumir una forma funcional para la heterocedasticidad (tipo multiplicativa) en la estimación de la varianza de que se expresa como: , depende ahora de un vector zit(1Xm) con variables de control que explican la varianza de este componente de error y un vector γ contiene los coeficientes asociados a zit por estimar; uit distribuye según una semi-normal, uit~ N + (0, ) . Posteriormente Hadri (1999) agrega una especificación similar al término de error idiosincrático: , con vit~ N (0, ). No obstante que la gama de modelos se ha ampliado y vuelto más compleja (véase Kumbhakar et al., 2015), para el alcance empírico de esta investigación se considera suficiente el modelo de Battese y Coelli (1995) con los controles por heterocedastici-dad antes mencionados.
4. Modelo empírico
En este estudio se analiza el desempeño económico en términos de la eficiencia de 59 Zms de México6 (véase Mapa 1) inspirado en la aplicación que para ciudades inteligentes (smart cities) realiza Mundula y Auci (2013), en ambos se sigue el modelo especificado por Battese y Coelli (1995) usando datos de panel (véase sección 5).

Las diferencias de este trabajo con el ejercicio realizado por Mundula y Auci (2013) radican en las variables empleadas, ya que en este estudio se usan variables convencionales para medir los acervos de capital y del factor trabajo en comparación con las casas por número de residentes y longitud de la red de transporte público (km) como medida del factor capital, el número de empleados para el factor trabajo, como es usual e incorporan además el capital humano.
Para cuantificar los efectos de ineficiencia de las ciudades inteligentes Mundula y Auci (2013) emplean un conjunto de seis indicadores en los cuales agregan diferentes variables observables. En este caso, como se trata de un primer acercamiento se usan las variables de personal ocupado y el número de unidades económicas del sector creativo, así como variables indicativas del tamaño y de la concentración.
La ecuación (2), relativizada por una variable de escala como el factor trabajo,7 se estima entonces como una ecuación en términos de productividad, la cual se especifica mediante una función Cobb-Douglas, lineal en logaritmos, y que para nuestro modelo de frontera estocástica es:
Donde la variable dependiente es el valor del producto de ZM-i en el tiempo t medido por el logaritmo del cociente entre el valor agregado censal bruto real (VACB) y el personal ocupado (PO) de cada ZM para los años 2003, 2008 y 2013. La variable insumo, también en relación al trabajo y en logaritmos, se calculó como el cociente de los acervos brutos de capital fijo (ABKF) relativo al personal ocupado de cada ZM para los mismos años.
El modelo de ineficiencia técnica (ec. 3) asociado a la frontera estocástica (ec. 5) se especifica de la siguiente manera:
Donde ECit es el número de unidades económicas creativas en la zona metropolitana i en el año t; OCit es el personal ocupado en actividades creativas; pECit es la concentración de actividades creativas medida por la participación de las unidades creativas en el total de unidades productivas (en porcentaje) y pOCit es la concentración de ocupación creativa respecto de la ocupación total (en porcentaje), ambas para la zona metropolitana i en el periodo t.
Un aspecto sensible en estos modelos es la incorporación de las influencias externas determinantes del nivel de la eficiencia, son variables que no están bajo control pleno de la unidad observada (firma, estado, región, etcétera) pero que impactan su desempeño. Es usual en la práctica distinguir dos tipos de estas influencias; i) las características de la unidad de observada (heterogeneidad regional) las cuales afectan sus posibilidades de producción individual; y ii) los factores determinantes de la eficiencia, tales como: características de la población, geográficas, y otros aspectos institucionales (Kalb, 2010). Para cada estudio en particular y con apoyo de la teoría económica y estadística disponible se realiza la selección de estas variables.8 Dado el alcance limitado de este estudio, se considera necesario explorar en esta dirección.
5. Estadística descriptiva e interpretación de resultados
El Cuadro 3 proporciona la estadística descriptiva básica de las variables censales usadas en este análisis. En el detalle se trata de una base de datos panel (balanceado) conformado de 10 variables medidas para cada una de las 59 ZMs de México en los años 2003, 2008 y 2013.

Los resultados de la frontera de producción estimada se presentan en el Cuadro 4,9 como es de esperar, la densidad del capital (capital por hombre ocupado) contribuye positivamente al incremento del producto por hombre ocupado (equivalente a la productividad general del trabajo) en las ZMs y lo hace de manera inelástica pues su valor es menor que 1. Este coeficiente, que es estadísticamente significativo, se interpreta como a un incremento del 10% en la densidad de capital en las ZMs incrementa en 4.95% el producto relativo al trabajo. Como se trata del modelo más simple (un producto y un insumo), la suma de las elasticidades implica rendimientos de escala decrecientes.

Los coeficientes de los cuatro factores determinantes del nivel de eficiencia técnica de las ZMS que están asociados a variables indicativas del tamaño (medido por el personal ocupado y el número de unidades económicas creativas) y de la concentración (medida por sus participaciones relativas a los totales del sector actividades creativas), son estadísticamente significativas. Los coeficientes de OC y pOC muestran signos negativos indicando que ambas variables tienen un efecto positivo sobre la reducción del nivel de ineficiencia (o aumento de la eficiencia). Las otras dos variables (EC y pEC) muestran un efecto contrario al esperado, aumenta la ineficiencia (o disminuye la eficiencia). Se considera que este ejercicio básico, de carácter exploratorio, tiene el inconveniente que se trata de un modelo con datos de panel corto10 y esto puede que no permita capturar adecuadamente el comportamiento de algunas variables, como lo es el número de empresas que en el tiempo tiende a cambiar más lentamente que el personal ocupado. Sin embargo, con la información disponible es la mejor aproximación que se puede hacer al problema de estudio. No obstante, aporta evidencia empírica como para profundizar en el tema.
Con los mismos resultados de la estimación del modelo (véase Cuadro 4) se muestra que el nivel de eficiencia técnica promedio con el que se genera la producción en las ZMs mexicanas es de apenas el 69.3%, que documenta empíricamente la existencia de un margen aún sobre el cual se puede explorar para mejorar la eficiencia en el uso de los factores de producción.
En el Cuadro 5 se muestra el ordenamiento jerárquico (ranking) de los niveles de (in)eficiencia promedio de los tres años para cada ZM, se puede observar que los niveles más altos se presentan en las ciudades de la frontera norte del país, las dos principales son: Reynosa-Río Bravo y Monterrey; dentro de las 10 ZMs con valores más altos de eficiencia productiva ocho corresponden a ciudades del norte del país, con la excepción del Valle de México que ocupa el tercer lugar y Guadalajara la sexta posición.



Con más detalle en el cuadro A2 se presenta el ranking de valores de ineficiencia técnica para cada año de la muestra, se refuerza la congruencia del resultado: en los 10 primeros lugares más bajos de ineficiencia están las ZMs del norte en los tres años, aun cuando cambia su posición; el cuadro A3 complementa estos resultados, pues con los cambios de posición por periodo se identifican ZMS que mejoran (con signos negativos) y las que empeoran en el ranking nacional (véase Anexo estadístico).
Tomando en consideración los valores de este ranking, en el mapa de la Figura 1 se visualiza la ubicación geográfica de la s ZMs según percentiles. Se observa claramente que los niveles de eficiencia no se distribuyen aleatoriamente en el territorio nacional, el efecto en la mejora de la eficiencia (disminución de ineficiencia) responde a un patrón asociado a los espacios económicos más dinámicos y aglomera a las ZMs en las meso-regiones: centro-norte con los más altos niveles de eficiencia y del centro hacia el sur con más pobres desempeños. En tonos de gris oscuro se corresponden a niveles de eficiencia por arriba de la mediana y los más tenues están por debajo de la misma. De esta manera se observa que cuatro ciudades fronterizas, el Valle de México y Guadalajara se corresponden con el percentil más alto de eficiencia (véase Figura 1).

Le siguen en importancia un conjunto de 25 ciudades ubicadas en la región norte, el Bajío y la península de Yucatán. En tono de grises se muestran las ciudades con niveles de eficiencia más baja, en donde se ubican 28 ciudades las cuales en su mayoría se ubican en el sureste y en la región del Pacífico del país, destacando el caso de Ríoverde con la observación más baja de la muestra de ZMs.
La eficiencia técnica determinada por variables antes señaladas del sector de actividades creativas muestra un claro patrón de dependencia espacial, en la Figura 2 se muestra el diagrama de dispersión del índice de Moran, el cual arroja un coeficiente de dependencia espacial con un valor positivo de 0.32, lo cual es evidencia de que hay una asociación positiva de los niveles de eficiencia técnica entre las ZMs.11 Situación que se confirma en el mapa de la misma

Figura 2 en donde se muestran los valores para el índice local de Moran, el cual indica claramente la formación de un cluster de ciudades con altos niveles de eficiencia en el norte del país y en Cuernavaca, Morelos, otro de ciudades con bajos niveles de eficiencia en el estado de Michoacán y un cluster más de ciudades con alta eficiencia pero que están rodeadas de ciudades con bajos niveles de eficiencia en la zona del Pacífico, Guadalajara y en Cuautla, Morelos.
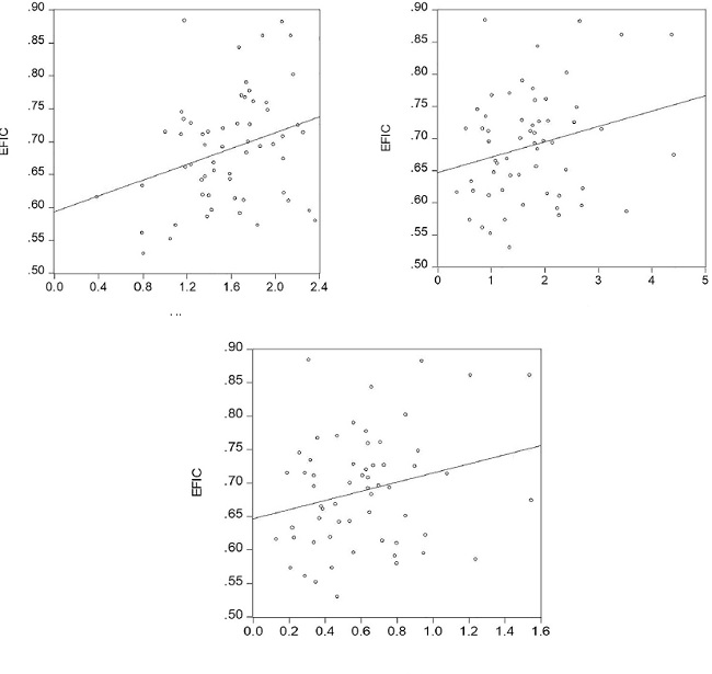
Finalmente, se puede también verificar que los niveles de eficiencia están vinculados positivamente con la localización de actividades creativas en las ZM mexicanas. En la Figura 3 se muestra un panel gráfico en el cual las eficiencias técnicas están relacionada de manera positiva con el peso de las unidades económicas creativas (UECR) en las ciudades, con el pesos del empleo creativo (POCR) y con los niveles de especialización regional en actividades creativas (ESPCR).12

6. Consideraciones finales
Las ZMs mexicanas representan las principales concentraciones espaciales de la actividad económica y población del país, de acuerdo con los últimos datos censales de 2010 en ellas se genera alrededor del 70% del PIB nacional y concentran al 57% de la población. En el marco del análisis de frontera estocástica se emplean las 59 ZMS delimitadas en México, para analizar el desempeño económico medido en términos de niveles de eficiencia técnica. En un primer acercamiento al problema se explora con cuatro variables descriptivas del sector de actividades creativas como determinantes de los niveles de ineficiencia y se estima el efecto o impacto sobre el aumento del producto.
De acuerdo con los resultados de este trabajo en las ZMs de México se genera el producto con un nivel de eficiencia promedio general de apenas un 69.3%, equivalente a una ineficiencia del 31.7%. Sin embargo, hay una variabilidad considerable entre el nivel máximo (88.4%) de la ZM fronteriza de Reynosa-Río Bravo y el nivel más bajo (53%) de la zona Ríoverde-Ciudad Fernández, el rango es de 21%. Lo que es también otra evidencia de cómo se expresa la heterogeneidad del desarrollo regional.
Espacialmente la eficiencia técnica presenta valores más altos en las ciudades de la frontera norte y en el Valle de México al centro del país. Caso contrario los valores más bajos se concentran en la región sureste de México. El análisis exploratorio realizado permite constatar que las ZMs fronterizas en el norte del país constituyen un agrupamiento o cluster de ciudades con altos niveles de eficiencia técnica y que son vecinos de ciudades que también presentan esos niveles. Esto permite conjeturar que de alguna forma la localización de empresas con un alto perfil exportador, ubicadas en esa zona desde principio de los años noventa, ha contribuido a elevar la eficiencia técnica y por ende la productividad en esa región del país. Finalmente, no obstante que se trata un modelo básico cuyo alcance está muy restringido, los resultados ofrecen una evidencia empírica inicial sobre la necesidad de profundizar en la comparación con varios modelos y buscar con ello resultados robustos.
Agradecimientos
Se agradece a la Dirección General de Asuntos del Personal Académico (DGAPA) de la UNAM que, a través de los proyectos PAPIIT IN309014 "Análisis de productividad y eficiencia del sector público a escala municipal (SPM) en México: Un análisis de fronteras de producción" y PAPIIT IN304017 "Vinculación socioeconómica de las industrias creativas y culturales con el sistema urbano de México", brindó el apoyo necesario para el desarrollo de este trabajo.
Bibliografía
Aigner, D., Lovell, C. A. K. y Schmidt, P. (1977), "Formulation and Estimation of 25 Stochastic Frontier Production Function Models", Journal of Economics, 6.
Barro, R. y Sala-i-Martin, X. (2003), "Economic Growth", The MIT Press Cambridge, Second Edition.
Battese, G. E. y Coelli, T. J. (1993), "A Stochastic Frontier Production Function Incorporating a Model for Technical Inefficiency Effects", Working Papers in Econometrics and Applied Statistics, núm 69, Department of Econometrics, University of New England. Disponible en <http://www. une.edu.au/_data/assets/pdf_file/0004/16087/emetwp69.pdf>
______ (1995), "A Model for Technical Inefficiency Effects in a Stochastic Frontier Production Function for Panel Data", Empirical Economics 20.
Belotti, F., Daidone, S., Ilardi, G. y Atella V. (2013), "Stochastic Frontier Analysis Using Stata", The Stata Journal13, núm. 4.
Berger, T. (2011), "An Overview and Analysis on Indices of Regional Competitiveness", Review of Economics & Finance.
Boix, R. y Soler, V. (2014), "Creative Industries and the Productivity of the European Regions", International Conference on Regional Sciences, Universidad de Zaragoza. Disponible en: <https://www.uv.es/raboixdo/references/2014/14005.pdf>
Caudill, S.B., Ford, J.M. y Gropper, D.M. (1995), "Frontier Estimation and Firm-Specific Inefficiency Measures in the Presence of Heteroskedasticity", Journal of Business and Economic Statistics, 13.
Chapain, C., Cooke, P., Propis L. D. et al. (2010), "Creative Clusters and Innovation", NESTA Research report, London.
Cunningham, S. (2008), From "Creative Industries to Creative Economy", en G. Hearn y D. Rooney (eds.), Knowledge Policy: Challenges for the 21stCentury, Cheltenham, Edward Elgar.
Daraio, C. y Simar, L. (2007), "Advanced Robust and Nonparametric Methods in Efficiency Analysis: Methodology and Applications", Springer Science+Business Media, LLC.
DCA (1994), "Creative Nation: Commonwealth Cultural Policy, Department of Communications and the Arts" (DCA). Disponible en: <http://pandora.nla.gov.au/pan/21336/20031011-0000/www.nla.gov.au/creative.nation/contents.html>
DCMS (1998), "Creative Industries Mapping Document, Department for Culture, Media and Sport". Disponible en: < https://www.gov.uk/government/publications/creative-industries-mapping-documents-1998>
______ (2001), "Creative Industries Mapping Document, Department for Culture, Media and Sport". Disponible en: < https://www.gov.uk/government/publications/creative-industries-mapping-documents-2001>
______(2015), "Creative Industries Economic Estimates: January 2015", London Department for Culture Media and Sport. Disponible en: <https://www.gov.uk/government/statistics/creative-industries-economic-estimates-january-2015>
______(2016), "Creative Industry Statistics", Disponible en: < https://www.gov.uk/government/statistics/creative-industries-economic-estimates-january-2016 >
Del Gatto, M., Di Liberto, A. y Petraglia, C. (2011), "Measuring Productivity", Journal of Economic Surveys, vol. 25, núm. 5.
Florida, R. (2002), The Rise of the Creative Class, Basic Books, New York, USA.
______(2004), Cities and the Creative Class, Routledge, London.
______(2008), Who's your City? How the Creative Economy is Making Where You Live the Most Important Decision of your Life, Basic Books, New York, USA.
Fried, H., Knox Lovell, C. y Schmidt, S. (2008), "Efficiency and Productivity", Chapter 1, en H. Fried, C. Knox Lovell y S. Schmidt, The Measurement of Productive Efficiency and Productivity Growth, Oxford University Press.
Fujita, M. y Thisse J. F. (2002), Economics of Agglomeration: Cities, Industrial Location, and Regional Growth, Cambridge University Press, Cambridge.
Fujita, M., Krugman, P. y Venables, A. J. (1999), The Spatial Economy. Cities, Regions, and International Trade, MIT Press.
Ghosh, S. y Mastromarco, C. (2013), "Cross-border Economic Activities, Human Capital and Efficiency: A Stochastic Frontier Analysis for OECD Countries", The World Economy, DOI: 10.1111/twec.12010.
Glaeser, E. (2012), El triunfo de las ciudades, Taurus Ediciones, Madrid, España.
Greene, W. H. (2008), "The Econometric Approach to Efficiency Analysis", Cap. 2, en H. Fried, C. Knox Lovell y S. Schmidt, The Measurement of Productive Efficiency and Productivity Growth , Oxford University Press.
Grosskop, S. (1993), Efficiency and Productivity, The Measurement of Productive Efficiency : Techniques and Applications, edited by H. Fried, C. Knox Lovell y S. Schmidt, Oxford University Press.
Hadri, K. (1999), "Estimation of a Doubly Heteroscedastic Stochastic Frontier Cost Function", Journal of Business & Economic Statistics, vol. 17, núm. 3.
Hay, D. y Liu, G. (1997), "The Efficiency of Firms: what Difference does Competition Make?", The Economic Journal 107.
Higgs, P., Cunningham, S. y Bakhshi, H. (2008), "Beyond the Creative Industries: Mapping the Creative Economy in the United Kingdom", London Nesta.
Instituto Nacional de Estadística y Geografía (INEGI) (2013), Sistema de Cuentas Nacionales de México: Productividad Total de los Factores 1990-2011.
Jaaniste, L. (2009), "Placing the Creative Sector within Innovation: The full Gamut. Innovation", Journal Innovation Organization and Management, vol. 11, núm. 2.
Jondrow, J., Lovell, C. K., Materov, I. S. y Shmidt, P. (1982), "On the Estimation of Technical Inefficiency in the Stochastic Frontier Production Function Model", Journal of Econometrics, 19.
Kalb, A. (2010), "Public Sector Efficiency: Applications to Local Governments in German", Serie Gabler research, Gabler Verlag (ed.). Disponible en: <https://books.google.com.mx/books?id=7qseijgEoGEC>
Krugman, P. (1994), "Competitiveness: a Dangerous Obsession, Foreign Affairs", vol. 73, núm. 2, marzo-abril.
Kumbhakar, S.C., Denny, M. y Fuss, M. (2000), "Estimation and Decomposition of Productivity Change when Production is not Efficient: A Panel Data Approach", Econometric Reviews, vol. 19(4).
______y Knox Lovell, C. (2000), Stochastic Frontier Analysis, Cambridge University Press.
______, Wang, K. J. y Horncastle, A. (2015), A Practitioner's Guide to Sthochastic Frontier Analysis Using Stata, Cambridge, Cambridge University Press.
Landry, C. (2000), The Creative City: A Toolkit for Urban Innovators, Earths-can, London.
Landry, C. y Bianchini, F. (1995), The Creative City, Demos, London.
Lee, N. y Rodriguez-Pose, A. (2014), "Creativity, Cities, and Innovation", Environment and Planning A, 46(5).
Lobo, J., Bettencourt, L.M.A., Strumsky, D. y West, G.B. (2013), "Urban Scaling and the Production Function for Cities", PLoS ONE 8(3): e58407. DOI:10.1371/journal.pone.0058407. Disponible en: <http://journals.plos.org/plosone/article?id=10.1371/journal.pone.0058407>
Marshall, A. (2006), Principios de Economía, Editorial Síntesis, Madrid, España con base en la primera edición 1891.
Martin, R., Kitson, M. y Tyler, P. (2004), "Regional Competitiveness: An Elusive yet Key Concept?", Regional Studies, vol. 38:9, diciembre.
Meeusen, W. y van den Broeck, J. (1977), "Efficiency Estimation from Cobb-Douglas Production Functions with Composed Error", International Economic Review, 18.
Melo, S., Graham, D. J. y Noland, R. B. (2009), "A Meta-analysis of Estimates of Urban Agglomeration", Economies Regional Science and Urban Economics, vol. 39, núm. 3, pp. 332-342.
Mundula, L. y Auci, S. (2013), "Smart Cities and a Stochastic Frontier Analysis: A Comparison Among European Cities". MPRA Paper No. 51586, 1-40, posted 20. November 2013 15:57 UTC, disponible en <http://mpra.ub.uni-muenchen.de/51586/>
______, Auci, S. y Vignani, D. (2016), "Defining Smart Cities: a Relative and Dynamic Approach". Disponible en <http://www.corp.at/archive/CORP2016_10.pdf>
Nishimizu, M. y Page, JM. (1982), "Total Factor Productivity Growth, Technological Progress and Technical Efficiency Change: Dimensions of Productivity Change in Yugoslavia, 1965-78", Economic Journal, 92.
OECD (2001), Measuring Productivity, Measurement of Aggregate and Industry-level Productivity Growth (Manual).
Pratt, A. C. (1997), "The Cultural Industries Production System: a Case Study of Employment Change in Britain, 1984-91", Environment and Planning A 29.
Sedesol (2010), "Delimitación de las zonas metropolitanas". Disponible en <http://internet.contenidos.inegi.org.mx/contenidos/productos/prod_serv/contenidos/espanol/bvinegi/productos/geografia/publicaciones/delimex10/DZM20101.pdf>
Solow, R. M. (1957), "Technical Change and the Aggregate Production Function", Review of Economics and Statistics, 39.
UNCTAD (2008), "Creative Economy, United Nations" UNCTAD. Disponible en <http://unctad.org/es/docs/ditc20082cer_en.pdf>
______(2010), "Creative Economy Report 2010". Disponible en <http://unctad.org/es/Docs/ditctab20103_en.pdf >
______(2015), "Creative Economy Outlook and Country Profiles: Trends in International Trade in Creative Industries". Disponible en <http://unctad.org/en/PublicationsLibrary/webditcted2016d5_en.pdf>
Yencken, D. (1988), The Creative City [online]. Meanjin, vol. 47, núm. 4, Summer. Disponible en https://search.informit.com.au/documentSummar y;dn=582212487737872;res=IELLCC
Anexo estadístico









Notas