ABSTRACT: Poraqueiba paraensis Ducke, known as “mari”, is an Amazonian fruit tree used for urban forestry. Basic information on floristic identification, seed production technology, biology and the production of mari seedlings are incipient. The objective of the present work was to describe the morphology of the fruit and seeds, the post-seminal development and evaluate the seedling emergence of P. paraensis. The evaluations were examined by stereo and optical microscopy and electron microscopy scanning for the morphoanatomical description. The fruits are drupaceous, oblong to elliptical, monospermic, succulent, indehiscent and with non-articulated peduncle. The fruit dimensions are approximately 7.0 cm in length, 4.0 cm in width and 69.5 g of fresh mass. The seeds are albuminous, oblong-elliptical with smooth tegument, brown color, membrane-cartaceous, with longitudinally visible raphe, circular micropyle and circular hilum. The seed dimensions are approximately 6.9 cm in length, 3.5 cm in width and 53.4 g of fresh mass. The germination is epigaeous phanerocotylar, with opposite foliaceous cotyledons, paracitic stomata in the abaxial face of the leaves and rare tricome in the limb nervure. Removing the epicarp and mesocarp of the fruit does not influence the emergence of Poraqueiba paraensis Ducke seedlings.
Key words: fruitfruit,seedseed,germinationgermination,IcacinaceaeIcacinaceae.
RESUMO: Poraqueiba paraensis Ducke, conhecido como mari, é uma árvore frutífera amazônica utilizada para a silvicultura urbana, mas para a identificação florística e a tecnologia de sementes, as informações básicas sobre a biologia e a produção de mudas mari são incipientes. O objetivo no presente trabalho foi descrever a morfo-anatomia do fruto, sementes e desenvolvimento pós-seminal e avaliar a emergência de plântulas de P. paraensis. Para a descrição morfoanatômica de tento, os frutos, as sementes e as plântulas foram avaliados por meio de estéreo-microscopia, microscopia óptica e eletrônica de varredura. Os frutos são drupáceos, oblongos a elípticos, monospérmicos, suculentos, indeiscentes, com pedúnculo não articulado, com aproximadamente 7,0 cm de comprimento, 4,0 cm de largura e 69,5 g de massa fresca. As sementes são albuminosas, oblongo-elípticas, com tegumento liso, cor marrom, membrano-cartáceos, com rafe longitudinalmente visível, micropila circular e hilo circulares, em que suas dimensões são aproximadamente 6,9 cm de comprimento, 3,5 cm de largura e 53,4 g de massa fresca. A germinação é epígea, com cotilédones foliares opostos, estômatos paracíticos na face abaxial da folha e raros tricomas na nervura das folhas. A remoção de epicarpo e mesocarpo do fruto não influencia na emergência de plântulas de P. paraensis.
Palavras-chave: fruto, semente, germinação, Icacinaceae.
FOREST SCIENCE (CIÊNCIAS FLORESTAIS)
Morpho-anatomical aspects of fruit, seeds post-seminal development and seedling emergence of mari (Poraqueiba paraensis Ducke)
Aspectos morfo-anatômicos do fruto, semente e desenvolvimento pós-seminal e emergência de plântulas de mari (Poraqueiba paraensis Ducke)
Received: 05 April 2017
Accepted: 18 December 2017
Published: 30 March 2018
Poraqueiba paraensis Ducke belongs to the Inacinaceae family, and is popularly known as “mari”, “mari-mari” or “umari”. It is an Amazon fruit tree maintained in forest gardens and used in urban forestry. Mari fruit are consumed naturally, usually accompanied by cassava flour and coffee (Peixoto, 2006; Shanley & Medina, 2010; Souza et al., 2010). However, despite multiple uses, morphological information about the fruit, seeds, seedlings and seed germination of Icacinaceae of the Amazon, as well as mari is scarce; the little existing information is superficial and relatively divergent (Ducke, 1925; Howard, 1942; Cavalcante & Carvalho, 1971; Peixoto, 2006; Lorenzi, 2008; Cavalcante, 2010).
For Icacinaceae, morphological characteristics of the fruits are taxonomic information for the definition of groups and it helps to differentiate species (Ducke, 1925; Howard, 1942; Cavalcante & Carvalho, 1971; Kårehed, 2001). In addition, for the evaluation of the physiological seed quality, it is essential to characterize the normal seedling, as well as procedures for seed germination under greenhouse and/or seed laboratory (Brasil, 2009).
The standard germination test is one of the means used to determine the physiological quality of seeds, and is performed under controlled conditions of temperature, humidity and optimal substrates for the species (Brasil, 2009; Nakagawa & Carvalho, 2012; Marcos-Filho, 2015). However, there is no information for assessing the morphology of seedlings, or the physiological quality of ‘mari’ seeds (Brasil, 2009) and its seedling production. For mari, it is imperative to conduct descriptive research aimed to identify the species in the field, as well as to test quality. Thus, this study aimed to characterize the morphology of the fruit, seeds and seedlings, and to evaluate the emergence of seedlings.
Fruit was collected from ten P. paraensis trees in June of 2015, in Belém, PA, Brazil. Next, the seeds were sent for analysis at the Seed and Seedling Laboratory of the State University of Amapá - UEAP, Macapá, AP, Brazil.
Morphology of fruits, seeds and seedlings
One hundred fifty (150) pieces of fresh fruit and 150 fresh seeds were measured for length and width using a digital caliper (0.1mm) and millimetric ruler (1mm) (Silva & Môro, 2008). Next, the fresh mass and dry mass were determined by drying in a stove with forced air circulation 70°C for 72 hours according to Benincasa (2003).
The following were externally analyzed in order to characterize the fruit: type, consistency, surface, indumentum, shape, dehiscence, coloring, apex, margin and base (Damião-Filho & Môro, 2005; Barroso et al., 2007).
The seeds were externally described as to their type, shape, color, texture and hilum position, and internally their shape, color, texture, presence or absence of endosperm and their shape, type and embryo position by longitudinal and transverse on free hand seeds, for viewing in a stereoscopic microscope (Damião Filho & Môro, 2005; Barroso et al., 2007).
Four replicates of 12 seeds were then placed in transparent plastic boxes with washed and sterilized sand, and kept in a greenhouse with 50% shading at room temperature. Next, viewings were performed for describing the various development stages by collecting the seedlings in sequential stages of development and emphasizing: the primary root, lateral roots, epicotyl, the apical meristem and the start of the first growth and second leaves (Silva & Môro, 2008; Silva et al., 2015). Germination was subsequently characterized and the seedlings were characterized in form, color, texture, indumentum, margin, surface and venation of protophilus and leaves, phyllotaxy and presence or absence of stipules (Ribeiro et al., 1999; Damião-Filho & Môro, 2005).
For illustrations made in ink, the fruit, seeds and seedlings were designed with the help of a stereomicroscope with a clear camera attached, according to Silva & Môro (2008). The surface of the cotyledons and leaves were evaluated by application of cyanoacrylate adhesive according to Alves et al. (2003).
For morphological descriptions, the criteria and terminology adopted by Ribeiro et al. (1999), Damião-Filho & Môro (2005), Barroso et al. (2007) and Apezzato-da-Glória & Carmello-Guerreiro (2012) were implemented.
Seed germination
The water content of the seed (seed + endocarp) were determined by drying 2 replications of 10 seeds in a stove at 105°C ± 3 for 24 hours (Brasil, 2009). Two treatments were used: 1. intact fruit and 2. diaspore (seed + endocarp). Then, 4 replicates of 12 seeds were seeded in plastic trays (6 x 20 x 30 cm) in washed and sterilized sand, then moistened with 60% water-holding capacity (Brasil, 2009) at 1 cm depth of planting and kept in a greenhouse with 50% shade at room temperature.
The number of normal seedlings was determined daily by emission of leaf-like cotyledons of seedlings, following the criterion of Brasil (2009). For emergence, the emergence percentage and emergence speed index were calculated according to Hong et al. (2005) and Nakagawa & Carvalho (2012). The experimental design was completely randomized for seedling emergence, and the F-test was applied for the analysis of variance (SAS, 2003).
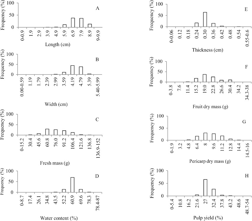
The highest concentration was between 6.9 and 7.9 cm for length, 3.59 and 4.79 cm for width and 60.8 to 76.0 g for the fresh fruit mass of P. paraensis (Figure 1).

The minimum, mean (standard deviation) and maximum length, width and fresh fruit mass were observed as 3.9 cm, 7.0 ± 0.9 cm and 8.9 cm, 2.7 cm, 4.0 ± 0.4 cm and 5.2 cm, and 24.5 g, 69.5 ± 18.7 g and 121.7 g, respectively (Figure 1). According to Ducke (1925), Howard (1942) and Cavalcante & Carvalho (1971), the fruits of P. paraensis similarly have 6-8 cm in length and 3.5-4.5 cm in width, while the fresh weight of P. paraensis fruits are between 55 to 100 g, according to Souza et al. (2010).
For water content, thickness, fresh and dry weight of the pericarp and pulp yield of the mari fruit, the highest concentration was between 52.5 and 60.9%, 0.24 to 0.30 cm, 15.2 to 22.8 g, 8.0 to 9.6 g and 21.7 to 27.0%, respectively. The minimum, mean (standard deviation) and maximum of water content, thickness, fresh and dry weight of the pericarp and pulp yield of mari fruit were observed as 41.0%, 56.8±4.6% and 69.7%, 0.20 cm, 0.28 ± 0.06 cm, 0.50 cm, 11.1 g, 19.1 ± 4.3 g and 30.3 g, 4.0 g, 8.2±2.0 g and 12.9 g and 19.2%, 26.0±3.4% and 43.3%, respectively (Figure 1). Similarly, pericarp thickness observed in P. paraensis fruit was around 0.5 cm (Cavalcante & Carvalho, 1971).
Mari fruit is drupaceous, indehiscent, oblong to elliptic, fleshy, monospermic with no articulated stems (Figure 2a), and a smooth epicarp, glabrous, slender, yellow to orange when mature, and green when immature (Figure 2a-b); fleshy mesocarp, slightly fibrous, oily, yellow to orange and woody endocarp with minor lateral prominences, brown to cream (Figure 2b-c-d).

In a similar way, Ducke (1925), Howard (1942), Cavalcante & Carvalho (1971), Shanley & Medina (2010) and Cavalcante (2010) described and illustrated the shape, color and surface of the fruits of P. paraensis, but did not report the colorations of the mesocarp and endocarp, or the side prominences of the endocarp. Barroso et al. (2007) and Duno de Stefano (2009) reported that Icacinaceae fruit is drupe with a fleshy mesocarp, and an often oily and woody endocarp.
In relation to the width, length, fresh weight, dry weight and mari seed water content, the highest concentration occurred between 6.7 to 7.7 cm, 3.1 to 3.6 cm, 33.7 to 67.2 g, 13.5 to 27.0 g and 45.6 to 72.8%, respectively. The minimum, mean (standard deviation) and maximum for length, width, fresh weight, dry weight and water content of mari seeds were 5.2 cm, 6.9 ±1.8 cm and 8.6 cm, 2.8 cm, 3.5 ± 0.3cm and 4.5 cm, 23.8 g, 53.4 ± 12.6 g and 89.3 g, 8.3 g, 19.1±5.7 g and 35.9 g and 47.8%, 57.7±5.4% and 72.5%, respectively (Figure 3).

The mari seeds are endospermatic, stenospermic, oblong-elliptical, with smooth tegument, glabrous, chartaceous and membranaceous, brown and with along conspicuous raphe, micropyle circular and homochromatic and circular hilum and homochromus (Figure 2c-d-e). Barroso et al. (2007) and Duno de Stefano (2009) reported similar characteristics for Icacinaceae seeds.
The embryo of the mari seed is differentiated, spatulate, erect, axial, yellow to pink, formed by two foliaceous cotyledons, producer, opposite, planar, slightly curved, oval-acuminata, with a rounded base and acuminata apex and embryonic axis, hypocotyl-radicular axis (equal to the size of the cotyledons), cylindrical, straight and without differentiated protophilus (leaf primordia), surrounded by the solid endosperm, not ruminated (homogeneous), slightly spongy and white (Figure 2f). Alves et al. (2014) similarly described the endosperm and embryos of Emmotum nitens (Benth.) Miers, but with curved cotyledons and its embryonic axis was half the size of the cotyledons.
At 12 days after sowing, germination was marked by the protrusion of the primary root, white to yellow and cylindrical, while the secondary roots developed later, as well as development of the hypocotyl, green and slightly purple, cylindrical and forming plumular hook at 16 days after sowing. Next, the plumular hook removes the cotyledons of the fruit in the substrate, and then presents a negative geotropism, raising and opening the cotyledons (Figure 4a-d).

The cotyledons of P. paraensis are simple, opposites, short petiolate, with a full and smooth border, reticulated (nervures immerses adaxially and abaxially prominent/eucamptodromous or distally brochidodromous), slightly pubescent on venation (simple and hyaline trichomes), slightly rough, oval-acuminata, with rounded base and apex acuminate with abaxial epidermis with green color and slightly opaque, axially, green and slightly glossy with the presence of stomata paracytic abaxially (hypostomatic) and adaxially and with only irregular epidermal cells (Figure 4e-g-h and 5). In a similar way, Baraloto & Forget (2007) observed that P. guianensis Aubl. seedlings have producers and foliaceous cotyledons.

The leaves of P. paraensis seedlings are simple, alternate to spiralling, short petiolate, whole, smooth border, reticulated (nervures immerses adaxially and abaxially prominent/eucamptodromous or distally brochidodromous), slightly pubescent on venation (simple and hyaline trichomes slightly rough), oval-acuminata, with rounded base and apex acuminate, abaxial epidermis with green color and slightly opaque, axially, green and slightly glossy (Figura 4e). In a similar way, Baraloto & Forget (2007) observed that seedlings of P. guianensis Aubl. have producer and foliaceous cotyledons.
The seed germination of P. paraensis is epigaeous phanerocotylar with foliaceous cotyledons (Figure 5). Baraloto & Forget (2007) similarly observed that the germination of P. guianensis is epigaeous phanerocotylar with foliaceous cotyledons.
The water content of mari diaspores (seed and endocarp) was 54.2%. According to the concept of Hong & Ellis (2002), mari seeds are classified as recalcitrant.
The epicarp and endocarp do not significantly interfere in the germination of mari seeds because the removal of both from the fruit did not influence the percentage, the speed index or the average emergence time of mari seedlings (Table 1). For Carvalho et al. (1998), the reproduction structure of P. paraensis is the diaspore (endocarp + seed).

In many species, the epicarp and/or mesocarp of fleshy fruit are responsible and/or attractors and/or rewards for dispersing their seeds, while most woody endocarps fruits protect their seeds from their dispersers and/or potential predators (Ivani et al., 2008; Nakagawa & Carvalho, 2012). However, the same guarding endocarps hinder germination or are even conditional to seed dormancy in several species (Ivani et al., 2008; Nakagawa & Carvalho, 2012; Baskin & Baskin, 2014). In this way, the low percentage of P. paraensis seed germination (Table 1) (Lorenzi, 2008) can probably be related to the fruit endocarp, because it is woody (Figure 2) and therefore has certain mechanical strength to the entry of water and/or exit from the primary root and foliaceous cotyledons (Figure 4).
The morpho-anatomical characteristics of P. paraensis fruit, seeds and seedlings enable their identification in situ;
The removal of the epicarp and mesocarp of the fruit does not influence the emergence of P. paraensis seedlings.
To State University of Amapá (UEAP) for the infrastructure and equipment availability. To National Council for Scientific and Technological Development (CNPq) for the graduate scholarship granted to the first author.





