Investigación
Aplicación de la dinámica de sistemas en el análisis de la evolución de la hipoacusia y la evaluación del impacto de estrategias sanitarias1
Application of system dynamics in the analysis of the evolution of hearing loss and the evaluation of the impact of health strategies
Aplicação da dinâmica de sistemas na análise da evolução da perda auditiva e na avaliação do impacto de estratégias de saúde
Aplicación de la dinámica de sistemas en el análisis de la evolución de la hipoacusia y la evaluación del impacto de estrategias sanitarias1
Revista Facultad Nacional de Salud Pública, vol. 41, núm. 1, pp. 1-17, 2023
Universidad de Antioquia
Recepción: 16 Septiembre 2022
Aprobación: 17 Enero 2023
Publicación: 25 Enero 2023
Resumen
Objetivos: Aplicar la dinámica de sistemas para estimar la evolución de la incidencia y la prevalencia de hipoacusia en personas mayores en países de bajos, medios y altos ingresos, así como el acceso al tratamiento, y evaluar la influencia de la implementación de estrategias sanitarias sobre estos indicadores.
Metodología: Los análisis se realizaron mediante simulación con dinámica de sistemas según parámetros globales. Para ello, se desarrolló un diagrama de bucles causal, integrando la incidencia, la prevalencia y el tratamiento de hipoacusia con el nivel de desigualdad, factores de riesgo, uso de dispositivos de ayuda auditiva, fuerza laboral de audiólogos y otorrinolaringólogos según el nivel de ingresos del país. Luego, se construyó un diagrama de flujo para ejecutar las simulaciones durante un período de 100 años. Además, se ejecutaron cuatro simulaciones con estrategias sanitarias (reducción de factores de riesgo, mejora en el uso dispositivos de ayuda auditiva, aumento del número de audiólogos y otorrinolaringólogos) y se estimó el porcentaje de cambio respecto al modelo basal.
Resultados: Los países de bajos ingresos mostraron una mayor incidencia y prevalencia de hipoacusia, menor acceso a tratamiento adecuado y una mayor prevalencia de hipoacusia sin tratar o con tratamiento inadecuado. La reducción de factores de riesgo creció en un 15 y 33 % la población con audición normal en los próximos 50 y 100 años, respectivamente. Además, la mejora en el uso de dispositivos de ayuda auditiva logró una reducción del 60 % de la población con tratamientos inadecuados o sin tratamiento, y el aumento de audiólogos y otorrinolaringólogos incrementó un 250 % el acceso a un tratamiento adecuado.
Conclusiones: La evolución de la salud auditiva está condicionada por factores económicos, donde los entornos más desfavorecidos muestran peores indicadores. Además, la implementación de estrategias combinadas favorecería la salud auditiva en el futuro.
Palabras clave: Aplicaciones de la informática médica+ disparidades en el estado de salud+ pérdida auditiva+ salud pública+ toma de decisiones asistida por computador.
Abstract
Objectives: To estimate the evolution of the incidence and prevalence of hearing loss in the elderly in low-, middle- and high-income countries by means of system dynamics simulation according to global parameters and to analyze the influence of the implementation of health strategies.
Methodology: A causal loop diagram was developed to relate the incidence, prevalence and treatment of hearing loss to the level of inequality, risk factors (RF), use of hearing aids (HA), audiologist and otolaryngologist (ENT) workforce by country income level. A flow chart was then constructed to run the simulations over a 100-year period. In addition, four simulations were run with health strategies (reduction of RF, improvement in HA use, increase in the number of audiologists and ENT specialists) and the percentage change from the baseline model was estimated.
Results: Low-income countries showed a higher incidence and prevalence of hearing loss, less access to adequate treatment, and a higher prevalence of untreated or inadequately treated hearing loss. The reduction of RF increased the population with normal hearing by 15% and 33% over the next 50 and 100 years, respectively. In addition, the improvement in the use of ha achieved a 60% reduction in the population with inadequate or untreated treatment, and the increase in audiologists and ENT specialists improved the access to adequate treatment by 250%.
Conclusions: The evolution of hearing health is conditioned by economic factors, where the most disadvantaged environments show worse indicators. In addition, the implementation of combined strategies would favor hearing health in the future. System dynamics is a very useful methodology for health managers because it enables to understand how a disease evolves and define what are the best health interventions considering different scenarios.
Keywords: Simulation Technique, hearing Loss, public Health, health Status Disparities, workforce, medical Informatics Applications, decision Making, Computer-Assisted.
Resumo
Objetivos: Aplicar a dinâmica do sistema para estimar a evolução da incidência e prevalência da perda auditiva em pessoas idosas em países de baixo, médio e alto rendimento, bem como o acesso ao tratamento, e avaliar a influência da implementação de estratégias de saúde sobre estes indicadores.
Metodologia: As análises foram conduzidas utilizando simulação da dinâmica do sistema com base em parâmetros globais. Para tal, foi desenvolvido um diagrama do laço causal, integrando a incidência, prevalência e tratamento da perda auditiva com o nível de desigualdade, fatores de risco, utilização de aparelhos auditivos, mão-de-obra de audiologistas e otorrinolaringologistas por nível de rendimento nacional. Foi então construído um fluxograma para executar as simulações ao longo de um período de 100 anos. Além disso, foram realizadas quatro simulações com estratégias de saúde (reduzindo os fatores de risco, melhorando a utilização de aparelhos auditivos, aumentando o número de audiologistas e otorrinolaringologistas) e foi estimada a mudança percentual em relação ao modelo de base.
Resultados: Os países de baixos rendimentos mostraram maior incidência e prevalência de perda auditiva, menor acesso a tratamento apropriado e maior prevalência de perda auditiva não tratada ou tratada de forma inadequada. A redução dos fatores de risco aumentou a população com audição normal em 15 e 33% durante os próximos 50 e 100 anos, respectivamente. Além disso, uma melhor utilização de aparelhos auditivos permitiu uma redução de 60% na população mal tratada ou não tratada, e o aumento do número de audiologistas e especialistas em ORL aumentou em 250% o acesso ao tratamento adequado.
Conclusões: A evolução da saúde auditiva é condicionada por fatores económicos, com os ambientes mais desfavorecidos a apresentarem indicadores piores. Além disso, a implementação de estratégias combinadas favoreceria a saúde auditiva no futuro.
Palavras-chave: Aplicações da informática médica, disparidades nos níveis de Saúde, perda auditiva, saúde pública, tomada de decisões assistida por computador.
Introducción
Según el reporte de la Organización Mundial de la Salud (oms) publicado en el año 2021, se estima que el 5 % de la población mundial tiene al menos hipoacusia o pérdida auditiva moderada [1]. La alta prevalencia de hipoacusia la posiciona como uno de los problemas de salud más comunes, siendo la cuarta causa de años vividos con discapacidad en todo el mundo [2].
Para estandarizar la forma de notificar la gravedad de la hipoacusia, la oms ha adoptado un sistema de clasificación basado en mediciones audiométricas según decibelios (dB). Este sistema categoriza la hipoacusia en: normal o normoacusia (< 20 dB), leve (20 a < 35 dB), moderada (35 a < 50 dB), moderadamente grave (50 a < 65 dB), grave (65 a < 80 dB), profunda (80 a < 95 dB) o completa (> 95 dB) [1]. Además, por hipoacusia discapacitante se entiende la pérdida de audición superior a 35 dB (moderada).
Para la población infantil, se han descrito algunos factores de riesgo para hipoacusia, entre ellos factores genéticos, infecciones intrauterinas, hiperbilirrubinemia, bajo peso al nacer, otitis crónicas, meningitis [3]. Por otro lado, durante la adultez se encuentran las enfermedades crónicas (por ejemplo, diabetes), otosclerosis, degeneración neurosensorial asociada a la edad, así como factores a lo largo de la vida, como la exposición a ruido/sonido fuerte, la exposición a ototóxicos y la carencia nutricional [3].
Se estima que la mitad de los casos de pérdida auditiva se deben a la falta de medidas preventivas, que incluyen, entre otras, disminución y monitoreo de fármacos ototóxicos, reducción de la exposición al ruido, control de enfermedades crónicas como la diabetes y falta de inmunización (por ejemplo, rubeola) [1,4]. La problemática se complejiza aún más a medida que la población mundial continúa envejeciendo. En este sentido, se prevé que, para 2050, más de 900 millones de personas tendrán una pérdida auditiva que genere discapacidad, lo que trae consigo una serie de desafíos a los sistemas de salud, en tanto representa un costo económico y social importante [5]. La oms estimó que la hipoacusia no tratada a cualquier edad representó un costo global anual de 750 000 millones de dólares para el año 2015 [5]. El acceso al tratamiento adecuado de la hipoacusia mejora la calidad de vida de las personas mayores, ya que favorece la independencia, el bienestar mental y contribuye a la economía [6].
En su informe del 2021, la oms reporta una prevalencia de hipoacusia moderada o mayor en el continente americano del 6,2 % [6]. Sin embargo, al analizar el grupo de personas mayores, las cifras son del 16,3 % entre los individuos de 60 a 69 años, aumenta hasta el 31,3 % en las personas de 70 a 79 años y el 50,7 % entre los de 80 a 89 años, alcanzando el 62 % en los mayores de 90 años.
Latinoamérica y el Caribe presentan una prevalencia en torno al 39 % en personas mayores de 65 años. Además, la prevalencia es superior en los hombres (43,52 %) respecto a las mujeres (34,53 %) [7]. No obstante, se pueden ver diferencias entre los países de la región. Según el Ministerio de Salud y Protección Social de Colombia, el 11 % de la población total padece problemas de audición, y se estima que entre la población de 25 a 50 años la prevalencia es del 14 % [8]. Sin embargo, solo el 30 % de las personas con problemas auditivos buscan ayuda y acuden a un especialista. Más aún, en Bogotá, se ha reportado una prevalencia del 21 y el 30 % de problemas auditivos en personas de 60 a 69 años y mayores de 70 años, respectivamente [9]. Incluso, la prevalencia de hipoacusia fue mayor en las personas de nivel socioeconómico bajo, nivel educativo bajo y con antecedentes cardiovasculares y de trastornos mentales.
Con respecto a otros países sudamericanos, la evidencia indica que el 41 % de las personas mayores de 50 años de Chile presentan pérdida auditiva, mientras que, en Brasil, el 43 % tiene algún grado de pérdida de audición [10,11]. Otros estudios regionales reportan que la prevalencia de hipoacusia manifiesta gran variabilidad geográfica: 17 % en Argentina, 21 % en Uruguay, 33 % en Brasil, 33 % en Chile y 43 % en México [9].
Los factores socioeconómicos están relacionados con la prevalencia de la hipoacusia, existiendo diferencias geográficas según el ingreso bruto nacional [12]. En este sentido, la prevalencia de problemas auditivos en personas mayores de 65 años es menor en los países de mayores ingresos. La economía de los países influye directamente en los factores de riesgo, así como en la cantidad de recurso humano especializado en salud auditiva [13]. La oms refiere una distribución inequitativa de médicos especialistas en otorrinolaringología (orl), audiólogos, logopedas y educadores para personas con discapacidades auditivas [1]. Asimismo, los países de menores ingresos destinan menos recursos en políticas gubernamentales para la atención de la audición y la prevención de la pérdida auditiva. En consecuencia, existe una necesidad de abordar las desigualdades en el acceso a la salud auditiva, incrementando las prácticas de prevención, tratamiento y de rehabilitación, las cuales, a su vez, dependerán del tipo de hipoacusia [14].
La hipoacusia puede ser conductiva o neurosensorial[15]. La primera consiste en una pérdida de base mecánica a nivel del oído externo o medio, que afecta la capacidad de transmitir el estímulo al oído interno, siendo principalmente causado por otitis media u osificación de la cadena de huesecillos. Por lo general, la hipoacusia conductiva es parcial y suele resolverse con cirugía o amplificación mediante audífono. La segunda es la forma más prevalente de hipoacusia y ocurre en la mayoría de los casos después de un daño o disfunción de las estructuras del oído interno o de la vía auditiva. Si bien una hipoacusia neurosensorial leve puede ser beneficiada con audífonos al mejorar la capacidad de escucha, el estándar terapéutico para las personas con compromiso mayor consiste en el implante coclear. Aunque el campo de la salud auditiva se ve constantemente beneficiada por los avances científicos y tecnológicos, lo cual ha permitido el desarrollo de métodos de diagnóstico y tratamiento de gran impacto, la rehabilitación auditiva es clave para un uso adecuado de audífonos e implantes cocleares [15].
Intervenciones modestas pueden reducir significativamente la aparición y el impacto de la pérdida auditiva [16]. Las estrategias deben estar orientadas a reducir los factores de riesgo, por ejemplo, la exposición a ruidos, controlar el uso de medicamentos ototóxicos y monitorear las enfermedades crónicas. Según Graydon et al., los países de ingresos bajos y medios tiene altas tasas de pérdida auditiva asociadas con la ototoxicidad (debido al acceso restringido de medicamentos más seguros), a la exposición de ruido (principalmente por una legislación laboral deficiente que regule la exposición en fábricas, minerías, entre otros), a la presbiacusia (es decir, pérdida de audición relacionada con la edad) y a enfermedades crónicas [17]. Más aún, la presbiacusia es el resultado de una exposición a agresores del sistema auditivo a lo largo de la vida, siendo su prevalencia mayor en los países de bajos recursos, lo cual estaría explicado por la mayor presencia de todos los factores de riesgo en contextos desfavorables [17].
En adultos de 65 años o más, la prevalencia de hipoacusia relacionada a la edad disminuye exponencialmente a medida que aumentan los ingresos brutos nacionales: 48 % en el sur de Asia, 44 % en África Subsahariana, 44 % en la región Asia Pacífico, 39 % en América Latina y el Caribe, 36 % en Europa central y del este y Asia central, 34 % en el este de Asia, 26 % en Medio Oriente y África del Norte, y 18 % en países de altos ingresos [18].
Para un abordaje eficaz de la hipoacusia en el adulto mayor es clave garantizar una detección temprana, seguida de intervenciones rápidas y eficientes [19]. Además, se sabe que el tratamiento adecuado depende también del nivel de adherencia de los pacientes, así como de los costos de los dispositivos de ayuda audiológica (audífonos e implantes cocleares), del mantenimiento y de su uso adecuado. Por lo tanto, la desigualdad en la distribución de recursos humanos obstaculiza el trabajo en estos aspectos.
Kamenov et al. demostraron en su estudio una enorme desigualdad entre las regiones, donde los países de bajos y medianos ingresos tienen escasez en su mano de obra especializada [20]. Los autores calcularon las necesidades de personal mediante la herramienta wisn (indicadores de carga de trabajo para la estimación del personal necesario), desarrollada por la oms, concluyendo que esta brecha entre las regiones de ingresos bajos, medios y altos conlleva una enorme carga de trabajo, que no permite a los profesionales hacer frente a la demanda de servicios relacionados con la atención audiológica (por ejemplo, evaluación auditiva, diagnóstico, consejería y adaptación de prótesis auriculares) [20].
En conjunto, todos estos antecedentes resaltan que la salud auditiva es un proceso dinámico de gran complejidad y que está condicionada por múltiple factores biológicos, sociales, económicos y culturales que demandan ser atendidos por el sistema de salud. Asimismo, la salud auditiva puede ser abordada según las tres funciones básicas en la salud pública: evaluación (por ejemplo, las acciones de vigilancia a nivel de la población), política (por ejemplo, las campañas para la conservación de la audición) y garantía (por ejemplo, la implementación y el control de legislación para la prevención de hipoacusia inducida por ruido en el ámbito ocupacional) [21].
Por otra parte, la dinámica de sistemas es una metodología informática, basada en la construcción de modelos de simulación, para describir, simular y analizar el comportamiento temporal de sistemas complejos [22]. En consecuencia, en los últimos años, la dinámica de sistemas se ha propuesto como una metodología útil para abordar la complejidad dinámica de muchos problemas de salud pública [23]. Esta es una metodología de gran utilidad para los gestores de salud, ya que permite comprender cómo evoluciona una enfermedad y definir cuáles son las mejores intervenciones sanitarias considerando diversos escenarios.
El modelado de la dinámica del sistema puede basarse en datos tanto cualitativos como cuantitativos relevantes para explorar el contexto dinámico de las intervenciones de políticas de atención de la salud, así como para predecir la evolución de un evento de salud y favorecer la toma de decisiones de los gestores de salud [23,24]. Por lo tanto, el objetivo central de la dinámica de sistemas es lograr una mayor comprensión de un problema y del sistema en el que se presenta, y se ha utilizado para simular la evolución de patologías e intervenciones de salud pública [22-24].
A pesar de la relevancia y del impacto sanitario, económico y social de la pérdida auditiva, hasta la fecha no se ha simulado la evolución de este problema de salud mediante modelos de dinámica de sistemas, los cuales proveerían información valiosa para su entendimiento. En consecuencia, este trabajo tuvo como primer objetivo aplicar la dinámica de sistemas para estimar la evolución de la incidencia y la prevalencia de hipoacusia en personas mayores en países de bajos, medios y altos ingresos, así como el acceso al tratamiento. Como segundo objetivo, se evaluó la influencia que tiene, sobre los indicadores de hipoacusia, la implementación de estrategias sanitarias para mejorar la exposición a factores de riesgo, la fuerza laboral en atención de salud auditiva y la adherencia a un tratamiento adecuado.
Metodología
Se realizó un estudio de simulación mediante la aplicación de la metodología de dinámica de sistemas. Los modelos de dinámica de sistemas consisten en conjunto de variables de estado y flujos que representan ecuaciones diferenciales (véanse Tabla 1 y Figura 1]. Las variables de estado representan las principales acumulaciones en el sistema, cuya tasa de cambio es controlada por los flujos [24]. Por otro lado, las variables auxiliares y las constantes contienen expresiones algebraicas adicionales necesarias para calcular los flujos de las otras variables. Las variables del modelo están conectadas por flechas y se formulan ecuaciones matemáticas basadas en las relaciones entre las variables. Para el presente trabajo, las ecuaciones del modelo están representadas en la Tabla 2.



Por otro lado, la epidemiología suele centrarse en los conceptos de incidencia y prevalencia[25]. La primera se refiere a la aparición de nuevos casos de un evento de salud en una población durante un periodo de tiempo determinado, estando representada en los modelos de dinámicas de sistemas por los flujos. La segunda se asemeja al concepto de variable de estado o nivel en los modelos de dinámica de sistemas, ya que permiten analizar la proporción de personas con un atributo o evento de salud en un momento determinado o durante un periodo de tiempo determinado.
Definición del modelo
El primer paso en el modelado de dinámicas de sistemas es la definición del modelo simulado, considerando las restricciones y los supuestos necesarios para la abstracción y la simulación del sistema real.
Para la construcción del modelo se asumieron un conjunto de restricciones que ayudan a simplificar y a comprender los análisis:
Objetivos de la experimentación y modelos lógicos
De acuerdo con los objetivos, el presente trabajo se enmarca en los estudios de análisis basados en escenarios. A continuación se proporcionan los detalles de los modelos lógicos y la descripción de cada escenario experimentado.
Diagrama causal
Se construyó un diagrama de bucle causal para visualizar las interrelaciones entre variables (véase Figura 2a). El modelo consta de componentes lógicamente interrelacionados según el análisis de estudios previos. Se pueden reconocer tres subsistemas: el primero está dado por el flujo (es decir, incidencia de la hipoacusia) entre las personas mayores con normoacusia (susceptibles) y los adultos con hipoacusia (es decir, prevalencia de hipoacusia). En este primer subsistema se incluyen, como variables que influyen en el flujo, los factores de riesgo (exposición a ruido, enfermedades crónicas, exposición a ototóxicos y presbiacusia), la expectativa de vida media y la tasa de recuperación. Además, el modelo contiene otros dos subsistemas, que representan las defunciones de las personas susceptibles y con hipoacusia, estando condicionados por la tasa de mortalidad general.

Un segundo subsistema se compone del flujo desde las personas mayores con hipoacusia hasta el grupo con tratamiento adecuado de la hipoacusia. Las variables que influyen sobre este flujo son la tasa de tratamiento, que a su vez está influenciada por la cantidad de especialistas en orl por cada 100 000 habitantes y la carga laboral en diagnóstico, y la tasa de adherencia al tratamiento, influenciada, asimismo, por la carga laboral de audiólogos. Para esta última variable, se consideró que influyen la carga en adaptación protésica (es decir, tareas de calibración o ajuste de dispositivos), evaluación auditiva (por ejemplo, actividades de cribado y seguimiento audiológico) y consejería (por ejemplo, enseñar al paciente sobre manejo, postura y cuidados de los dispositivos).
Para la carga laboral en distintas actividades audiológicas consideradas en el presente estudio se utilizó el índice wisn, una herramienta de gestión de recursos humanos en salud que sirve para determinar cuántos trabajadores son necesarios para hacer frente a la carga de trabajo de un centro sanitario [26]. El índice wisn se calcula dividiendo el número de personal por el número necesario de ellos, donde un valor de uno indica que la dotación de personal actual está equilibrada con las demandas de personal. Cuanto menor sea el índice wisn, mayor será la presión del trabajo.
El tercer subsistema es el establecido entre las personas mayores con hipoacusia y las personas mayores sin tratamiento o mal tratados, cuyo flujo depende del mal uso de dispositivos protésicos, abandono por alto costo de adquisición y mantenimiento de dispositivos, y la falta de pesquisa, influenciados a su vez por el índice de desigualdad del país, medida por el coeficiente Gini, siendo este indicador valido para comprender la relación entre las determinantes sociales y las patologías auditivas [27]. Además, la falta de pesquisa se influencia de la carga laboral de audiólogos.
Modelo de flujo de Forrester
Basado en el diagrama de bucle causal, se construyó un modelo de Forrester para describir la dinámica de la hipoacusia en el adulto mayor en tres escenarios, según nivel de ingresos del país (véase Figura 2b). El diagrama de Forrester es una representación simbólica de las variables de nivel, flujo y auxiliares de un diagrama causal una vez identificada, permitiendo que el modelo pueda ser implementado en un ordenador para su posterior simulación.
El rango temporal para la simulación de la incidencia y la prevalencia se fijó en 100 años, tomando como valores de inicio datos publicados entre el 2015 y el 2020 (véanse las referencias en la Tabla 3]. El valor inicial de personas se fijó en 100 000, con una tasa de crecimiento vegetativo supuesta de 0,001075 para la población mundial. A continuación, las personas con hipoacusia se dividieron en proporción a la población de la región. Se consideró como valor inicial 5000 personas mayores con hipoacusia, teniendo en cuenta que el 5 % de la población mundial tiene una pérdida de audición discapacitante según la oms [1].

Con respecto a la expectativa de vida media, se especificó un incremento de 10 unidades años en los años de simulación 50 y 100, diferenciado según el escenario. En este sentido, los valores de inicio fueron 60, 70 y 80 años para los países de bajo, mediano y altos ingresos, respectivamente. Por otro lado, para las constantes de las ecuaciones (véase Tabla 2), se consideraron los siguientes valores basados en publicaciones previas: tasa de tratamiento (0,064), tasa de adherencia (0,53), carga laboral audiólogos (4,1), abandono por costo (0,53) y falta de pesquisa (0,86).
Análisis basado en políticas
Con el objetivo de analizar el impacto de las políticas de salud pública sobre la evolución de los parámetros de hipoacusia en el modelo de países de bajos ingresos, se decidió ejecutar un conjunto de cuatro simulaciones y estimar el porcentaje de cambio respecto al modelo basal (es decir, sin las medidas). Los modelos siguieron un proceso aditivo y fueron definidos de la siguiente manera:
Modelo 1: representó a un modelo de implementación de estrategias de salud pública para reducir la prevalencia de factores de riesgo. Para ello, las prevalencias de los cuatro factores de riesgo del modelo basal fueron reducidas a la mitad.
Modelo 2: representó a un modelo que además incluyó una mejora en la tasa de uso de dispositivos de prótesis audiológicas, para lo cual la tasa de mal uso se redujo a la mitad.
Modelo 3: para este modelo se agregó una mejora en la cantidad de audiólogos, fijando el valor de carga de audiólogos en 6.
Modelo 4: este último consistió en el agregado de medidas que aumenten la cantidad de médicos especialistas en orl, cambiándose de 0,21 (modelo basal) a 1/100 000 habitantes.
Verificación y validación
Con respecto a los procesos de verificación y validación de los modelos, estos se basaron en las relaciones empíricas encontradas en la literatura (verificación de la estructura), revisión de la estructura de las ecuaciones del modelo y sus unidades de medida (consistencia dimensional) y análisis del comportamiento lógico con parámetros de valores extremos (pruebas de condiciones extremas) [34]. Además, se verificó que los factores de riesgo tuviesen un efecto aditivo (véase Anexo 1.
Experimentación e implementación
Se utilizó el software Vensim ple Plus (versión 8.2.1, Ventana System Inc., Harvard, ma, usa, 2019) para construir el modelo de dinámica de sistemas, realizar las simulaciones y obtención de interfases gráficas. Como método de integración se utilizó el método de Euler, y los modelos se ejecutaron en un hp Laptop 15s-fq1xxx, con un procesador Intel(R) Core (tm) i3-1005G1 cpu a 1,20 GHz 1,19 GHz y 8 gb de memoria. El tiempo de ejecución de los modelos fue inferior a un minuto. Este estudio sigue las pautas de guía Strengthening the Reporting of Empirical Simulation Studies- System Dynamics para el reporte de estudios de simulación [35].
Declaración de ética
Para el presente estudio no se requirió aprobación ética, por cuanto no incluyó muestras de humanos o animales, y solo se utilizaron datos simulados con indicadores reportados por otras publicaciones.
Resultados
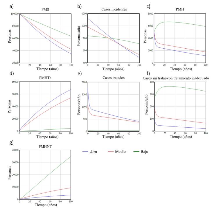
Los modelos simulados muestran un comportamiento similar entre sí respecto a la evolución de la prevalencia de población con audición normal (véase Figura 3a). En este sentido, 61 488 personas (62 %) de países de altos ingresos, 67 418 personas (67 %) de países de ingresos medios y 80 801 (81 %) de países de bajos ingresos tendrán una audición normal. Los modelos de países de ingresos altos y medios reflejan una menor cantidad de sujetos normoacúsicos y una incidencia de hipoacusia más alta en los primeros, la cual se invierte posteriormente, siendo superada por el modelo de bajos ingresos (véanse Figura 3a yFigura 3b).

Asimismo, se puede observar una marcada diferencia en la prevalencia de hipoacusia en personas mayores según el nivel ingreso del país (véase Figura 3c). Al respecto, el modelo de bajos ingresos mostró notablemente una mayor prevalencia de personas que los de ingresos altos y medios. Además, se percibe una tendencia creciente para el modelo de bajos ingresos.
Por otro lado, el modelo que representa al país de altos ingresos es el que mostró un mejor acceso a un tratamiento adecuado de la hipoacusia, hallándose un incremento sostenido en el tiempo de la población adecuadamente tratada (véase Figura 3f). El modelo de bajos ingresos predijo un pobre acceso a un tratamiento adecuado (véase Figura 3 d) y una gran cantidad de personas con hipoacusia sin tratamiento o con tratamientos inadecuados (véase Figura 3e). Asimismo, la cantidad de población sin tratamiento es sustancialmente mayor en el modelo de ingresos bajos (véase Figura 3 g).
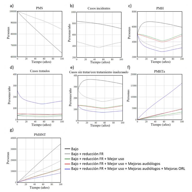
Posteriormente, se realizaron simulaciones en el modelo de bajos ingresos, agregando intervenciones tendientes a mejorar el sistema de salud. Las intervenciones se fueron incluyendo aditivamente. El primer modelo incluyó la reducción de factores de riesgo, el cual predijo una mejora en los parámetros de población normoacúsica (véase Figura 4a) y una reducción en la incidencia (véase Figura 4b) y la prevalencia (véase Figura 4c) de hipoacusia.

Por otro lado, la mejora en la carga laboral de profesionales especializados (audiólogos y orl) son los que mejoran el indicador de personas tratadas por año (véase Figura 4d). Estas medidas mejoran el acceso, lo cual se refleja en la evolución de la población con tratamiento adecuado (véase Figura 4f). Contrariamente, se obtuvo un descenso de la población sin tratamiento o con tratamiento inadecuado al aplicar estas estrategias (véase Figura 4g).
Asimismo, en la Figura 4c se muestra la comparación de las curvas de evolución de la población de personas mayores con hipoacusia según la incorporación de estrategias sanitarias en el modelo de bajos ingresos. La incorporación de las diferentes medidas mejora las predicciones al compararse con el modelo basal, siendo el modelo con estrategias en diferentes aspectos de la atención a la salud auditiva el que mejor evolución predice.
Por último, se comparó el porcentaje de cambio en la incidencia, la prevalencia y el acceso al tratamiento de la hipoacusia de los modelos de intervenciones respecto al modelo basal (véase Anexo 2. La disminución de los factores de riesgo aumentó en 14,81 % y 32,67 % la población con normoacusia en los próximos 50 y 100 años, respectivamente. Además, esta tendencia se acompañó de un descenso de los otros parámetros.
Las estrategias orientadas a la mejora del uso de dispositivos tuvieron su principal efecto en reducir a la población con un tratamiento inadecuado o sin tratamiento (reducción alrededor del 60 %).
Por otro lado, las medidas vinculadas a la carga laboral de audiólogos favorecerían el acceso a un tratamiento adecuado.
El último modelo incluyó la incorporación de médicos especialistas en orl, lo cual aumentó alrededor del 250 % la cantidad de personas con hipoacusia que acceden a un tratamiento adecuado.
Discusión
Las simulaciones de la prevalencia de problemas auditivos van en línea con las predicciones realizadas por la oms en el año 2018. Según su informe, las proyecciones muestran que el número de hipoacusia discapacitante podría duplicarse para el año 2050, estimándose que el 7 % de las personas a nivel mundial presentarán niveles moderados o avanzados de pérdida auditiva [1]. Al respecto, los resultados del presente estudio estiman que para el año 2050 habrá una prevalencia del 6,7 % en los países de bajos ingresos, siendo tres veces mayor a lo encontrado para los países de medios y altos ingresos.
Asimismo, los resultados concuerdan con el estudio de Goman et al., quienes estimaron el número de adultos con pérdida auditiva en Estados Unidos para el año 2060 [36]. Los autores de dicho estudio prevén que la cantidad de personas con pérdida auditiva de cualquier severidad aumente de 29,02 a 45,19 millones de personas, y que superará la tasa de crecimiento de la población general, dado el cambio de distribución hacia las personas mayores. Además, la prevalencia de pérdida moderada o severa superará la cantidad de personas que tienen una pérdida leve en la actualidad.
Dentro de las principales causas del aumento en la prevalencia de hipoacusia está el proceso de envejecimiento poblacional, es decir, a medida que la población envejece aumentará el número de personas con pérdida auditiva [6,37].
Por otro lado, se encontraron diferencias sustanciales en las proyecciones de los modelos según el nivel de ingresos y de desigualdad. Al respecto, el modelo que simuló las condiciones de un país con menores ingresos, mayores desigualdades sociales y menor expectativa de vida tuvo un crecimiento más marcado de la población con hipoacusia y con menor acceso a un tratamiento adecuado. Estos resultados son concordantes con evidencia reciente publicada por la oms, la cual contrastó la prevalencia de la pérdida de audición discapacitante (es decir, moderada o más) en adultos mayores de 65 años con la renta nacional bruta de diferentes regiones geográficas [12].
Los resultados del informe sugieren que la carga de pérdida auditiva se concentra principalmente en los países de ingresos bajos y medios, que exhiben tasas más altas estandarizadas por edad de pérdida auditiva, atribuible a un acceso deficiente a la atención médica, donde la cobertura de los dispositivos de ayuda auditiva es baja y las personas tienen menos probabilidades de recibir la atención que necesitan [12]. Por ejemplo, dicho informe reporta una prevalencia del 39 % para América Latina y de 18 % para países de altos ingresos. Esto refleja que la brecha en la carga de la pérdida auditiva entre los países desarrollados y en desarrollo sigue siendo grande [27].
Por otro lado, según la oms, el 50 % de las pérdidas auditivas son prevenibles y la mayor parte del resto puede ser eficazmente tratada [1,5]. Por lo tanto, en este trabajo se simularon varios escenarios sobre el modelo de bajos ingresos, en los cuales se incluían mejoras en los determinantes de salud auditiva. En un primer modelo, se incorporó una reducción de la exposición a ruidos, medicamentos ototóxicos y reducción de las enfermedades crónicas. Estas modificaciones en los factores de riesgo disminuyeron ampliamente la incidencia y la prevalencia de hipoacusia en las personas mayores.
En países de bajos ingresos, la prevalencia acelerada de enfermedades infecciosas y el posterior uso de medicamentos ototóxicos han exacerbado la prevalencia y la naturaleza de la pérdida auditiva. Los sistemas de salud de los países en desarrollo pueden aceptar medicamentos con una relación riesgo/beneficio menos favorable, debido a su asequibilidad en comparación con otra alternativa, que puede ir acompañada de una baja monitorización de los efectos secundarios y el impacto en la calidad de vida [38].
Sumado a la ototoxicidad, la exposición excesiva al ruido es una problemática creciente en todo el mundo, que se ve exacerbada en los países con escasa regulación y control de lugares de trabajo como fábricas, minas e industria agricultora. Los trabajadores de estas áreas requieren de entornos saludables para prevenir una pérdida de audición inducida por ruido ocupacional [17]. Los países en desarrollo presentan escasez de programas de conservación de la audición en las industrias, que incluyan el control y la evaluación del ruido, una mayor conciencia sobre los ruidos peligrosos, el uso obligatorio de dispositivos de protección auditiva y monitoreo auditivo de rutina [39]. Además, la prevención de hipoacusia debe incluir la promoción del uso seguro y responsable de dispositivos musicales [17].
Una dificultad frecuente que manifiestan las personas con hipoacusia es el mal uso del dispositivo de ayuda audiológica. Por ejemplo, Dumke et al. analizaron las fallas técnicas más frecuentes en audífonos de un grupo de usuarios del Programa de Salud Auditiva de Brasil, encontrando que los defectos se debieron a problemas de manejo entre los usuarios recientes y al agotamiento entre los usuarios mayores [40]. En consecuencia, en el presente trabajo se decidió mejorar el uso del dispositivo para aumentar la población con tratamiento adecuado de hipoacusia. La simulación de dicho modelo mostró una mejora en la cantidad de personas con hipoacusia tratadas adecuadamente por año en el modelo de bajo nivel socioeconómico. La evidencia sugiere que los programas de consejería y entrenamiento llevados a cabo por audiólogos mejora significativamente la adherencia al tratamiento y el buen uso de los dispositivos [41].
Las intervenciones descriptas previamente requieren de la participación de profesionales expertos en salud auditiva. Uno de los principales problemas de los países en desarrollo es la escasez en recursos humanos que puedan intervenir en la prevención y el tratamiento de la pérdida auditiva. Por ejemplo, la mayoría de los países de África y algunos de Latinoamérica tienen menos de un otorrinolaringólogo, un audiólogo y logopeda por cada millón de habitantes [12]. Por lo tanto, se incluyeron dos modelos con mejoras en los parámetros de carga laboral en audiólogos y posteriormente en médicos orl. Estas simulaciones mejoraron sustancialmente la cantidad de personas con acceso a un buen tratamiento y disminuyeron los mal tratados, principalmente por una mejora en la adherencia y el uso de los dispositivos de ayuda auditiva.
Kamenov et al. utilizaron la herramienta wisn de la oms para el cálculo de las necesidades de dotación de personal especializado en audición, y lograron demostrar que la escasez de personal sanitario conlleva una enorme carga de trabajo, que no permite a los profesionales hacer frente a la demanda de servicios [20]. Los autores evidenciaron que existen grandes brechas en los recursos humanos responsables de la provisión de algunas de las intervenciones de salud auditiva más comunes: consejería, evaluación, adaptación de audífonos, diagnóstico y tratamiento. Más aún, la diferencia entre países de ingresos altos y países de ingresos bajos y medianos fue marcada.
De manera similar, Fagan y Jacobs reportaron una escasez alarmante de servicios y oportunidades de capacitación en el campo de la otorrinolaringología, la audiología y la logopedia en África, existiendo una gran brecha tecnológica y de atención al compararse con países de altos ingresos [42]. Estos hallazgos fueron reforzados por Lukama, Kalinda y Aldous en Zambia, donde se identificó que los servicios de otorrinolaringología de este país eran deficientes en todos los niveles de la atención hospitalaria [43]. En este sentido, se encontraron deficiencias en infraestructura, recursos humanos y equipamiento. Con respecto a los profesionales, los datos revelaron que había cuatro cirujanos orl, un audiólogo y ningún logopeda en todo el país.
En conjunto, los resultados confirman que para una gestión eficaz de la salud auditiva es clave garantizar una detección temprana, seguida de intervenciones rápidas y eficientes [19]. A pesar de la prevalencia y la carga de la pérdida auditiva, la discapacidad auditiva está subdiagnosticada y subtratada en las personas mayores, lo cual resulta desalentador, ya que existen pruebas sólidas que respaldan que el tratamiento mejora la calidad de vida de este grupo poblacional [44,45]. Más aún, la evidencia indica que el paciente promedio que acude a una clínica de rehabilitación auditiva o que recibe audífonos por primera vez tiene aproximadamente 70 años y ha tenido problemas auditivos por 10 años, durante los cuales han experimentado un impacto considerable en sus actividades diarias [44]. Por lo tanto, el número de profesionales es un elemento central del sistema de salud, para ejecutar programas de tamizaje, rehabilitación, seguimiento y educación [45].
Sin embargo, la principal barrera que enfrentan los sistemas de salud a nivel mundial es la falta de integración de los servicios de atención auditiva como parte los servicios de salud nacionales y lograr la prestación en todos los niveles de atención (comunitario, primario, secundario y terciario) [1]. En consecuencia, se sugiere seguir las recomendaciones del informe mundial de la oms, el cual indica que los sistemas de salud deben: 1) incluir el cuidado integrado y centrado en las personas en la cobertura universal de salud (por ejemplo, garantizando el acceso equitativo); 2) fortalecer los sistemas de salud, a fin de ofrecer cuidado integrado y centrado en las personas en todos los niveles de atención (por ejemplo, promoviendo la formación de profesionales de la atención otológica y audiológica); 3) emprender campañas de concientización que aborden las actitudes y el estigma relacionados con las enfermedades auditivas (por ejemplo, informando al público sobre las causas evitables de hipoacusia); 4) determinar las metas, dar seguimiento a las tendencias nacionales y evaluar los progresos (por ejemplo, evaluando la pérdida de la audición en el marco de las encuestas de salud de la población), y 5) promover la investigación de alta calidad en materia de salud pública sobre el cuidado del oído y la audición (por ejemplo, elaborando un programa nacional de investigación) [1].
Cabe señalar que el presente estudio está sujeto a ciertas limitaciones. Dado que se trata de una proyección futura basada en datos actuales disponibles, y que el modelo parte de un supuesto de que se mantendrán la dinámica y las interacciones observadas, cualquier imprecisión de estos datos puede afectar el resultado previsto. No obstante, el modelo propuesto puede ser utilizado y actualizado por estudios futuros, además de que pueden ser fácilmente incluidas variables adicionales para perfeccionar las políticas sanitarias y la asignación de recursos. Además, la estructura del modelo depende de las restricciones y supuestos asumidos, lo cual podría comprometer su aplicabilidad en otros contextos, así como limitar la comparación de los hallazgos del presente estudio con evidencia previa. Para mitigar este aspecto, Prochaska et al. [46] sugieren ajustar los parámetros, supuestos y restricciones al contexto específico antes de aplicarlo a otros casos, siendo fundamental contar con la participación de otros actores que integran el sistema (por ejemplo, gestores de salud, profesionales, pacientes y miembros de la comunidad).
Más aún, el modelo propuesto no incluyó variables que pueden tener efectos sobre la evolución de la incidencia y la prevalencia de la hipoacusia, entre ellas la pandemia por covid-19. Al respecto, existe evidencia reciente que reporta que la infección por sars-CoV-2 se asocia con síntomas otológicos como la hipoacusia, el vértigo y tinnitus [47]; por lo tanto, sería esperable un aumento de la pérdida auditiva durante la pandemia de covid-19. En consecuencia, se surgiere que estudios futuros tengan en consideración este factor.
Conclusiones
Los resultados ponen de manifiesto la necesidad de generar políticas gubernamentales que reorienten la atención de la salud auditiva, trabajen sobre los factores de riesgo, incrementen la fuerza laboral y mejoren el acceso al tratamiento adecuado y educación de los pacientes.
Los desafíos que enfrenta la prestación de servicios de salud auditiva son inmensos en función de los procesos demográficos vigentes. La peor evolución de los parámetros en países de bajos ingresos respecto a los de medianos y altos ingresos supone la necesidad de desarrollar estrategias tendientes a disminuir las desigualdades en los entornos más desfavorables.
Con una sociedad que envejece y que aumenta la brecha socioeconómica, el número de personas con pérdida auditiva aumentará, lo que incrementará la demanda de servicios de atención audiológica, por lo que habrá una mayor necesidad de intervenciones asequibles y accesibilidad a profesionales capacitados con enfoques novedosos y rentables para la atención de la hipoacusia [22].
Abordar la brecha de la fuerza laboral requiere una estrategia integral que busque aumentar el número de profesionales a través de mayores oportunidades de educación y capacitación. Por último, se recomienda la aplicación de la dinámica de sistemas para simular la evolución de patologías, ya que resulta una herramienta útil para diseñar y evaluar estrategias de intervención sanitaria.
Agradecimientos
El autor recibió apoyo de becas de posgrado de la Secretaría de Ciencia y Tecnología de la Universidad Nacional de Córdoba y del Consejo Nacional de Investigaciones Científicas y Técnicas. Se agradece al profesor Dr. Elio Andrés Soria, investigador principal del Instituto de Investigaciones en Ciencias de la Salud, por sus contribuciones para el desarrollo de los modelos matemáticos.
Referencias
World Health Organization (who). World Report on Hearing. Génova: who [internet]; 2021 [citado 2022 mar. 9]. Disponible en: Disponible en: https://www.who.int/publications/i/item/world-report-on-hearing
Institute for Health Metrics and Evaluation (ihme). Findings from the Global Burden of Disease Study 2017. Seattle, wa, usa: ihme: 2018 [citado 2022 mar. 9]. Disponible en: Disponible en: https://www.healthdata.org/sites/default/files/files/policy_report/2019/GBD_2017_Booklet.pdf
Yang CH, Schrepfer T, Schacht J. Age-related hearing impairment and the triad of acquired hearing loss. Front. Cell. Neurosci. 2015;9:276. https://doi.org/10.3389/fncel.2015.00276
Rooth MA. The prevalence and impact of vision and hearing loss in the elderly. N. C. Med. J. 2017;78(2):118-20. https://doi.org/10.18043/ncm.78.2.118
Chadha S, Cieza A, Krug E. Global hearing health: Future directions. Bull. World Health Organ. 2018;96(3):146. https://doi.org/10.2471/BLT.18.209767
D’Haese PSC, Van Rompaey V, et al. Severe hearing loss in the aging population poses a global public health challenge. How can we better realize the benefits of cochlear implantation to mitigate this crisis? Front. Public Health. 2019;7:227. https://doi.org/10.3389/fpubh.2019.00227
World Health Organization (who). who war and hearing: survey handbook. Génova: who [internet]; 2020 [citado 2022 dic. 10]. Disponible en: Disponible en: https://www.who.int/publications/i/item/9789240000506-who-ear-and-hearing-survey-handbook
Colombia, Ministerio de Salud y Protección Social. Análisis de situación de la salud auditiva y comunicativa en Colombia. Convenio 519 de 2015 [internet]: 2016 [citado 2022 dic. 10]. https://www.minsalud.gov.co/sites/rid/Lists/BibliotecaDigital/RIDE/VS/PP/ENT/asis-salud-auditiva-2016.pdf
Cano CA, Borda MG, et al. Problemas de la audición en el adulto mayor, factores asociados y calidad de vida: estudio sabe, Bogotá, Colombia. Biomédica 2014;34(4):574-9. https://doi.org/10.7705/biomedica.v34i4.2352
Tamblay N, Torrente MC, Huidobro B, et al. Prevalence, risk factors and causes of hearing loss among adults 50 years and older in Santiago, Chile: Results from a rapid assessment of hearing loss survey. Int J Audiol. 2022;17:1-9. https://doi.org/10.1080/14992027.2021.1998675
Mattos LC, Veras RP. The prevalence of hearing loss in an elderly population in Rio de Janeiro: A cross-sectional study. Braz J Otorhinolaryngol. 2007;73(5):654-9. https://doi.org/10.1016/s1808-8694(15)30126-9
World Health Organization (who). Multi-country assessment of national capacity to provide hearing care. Génova: who ; 2013. [citado 2022 mar. 9]. Disponible en: Disponible en: https://www.who.int/pbd/publications/WHOReportHearingCare_Englishweb.pdf
Haile LM, Kamenov K, Briant PS, et al. Hearing loss prevalence and years lived with disability, 1990-2019: Findings from the Global Burden of Disease Study 2019. Lancet 2021;397(10278):996-1009. https://doi.org/10.1016/S0140-6736(21)00516-X
Bright T, Mújica OJ, Ramke J, et al. Inequality in the distribution of ear, nose and throat specialists in 15 Latin American countries: An ecological study. bmj Open. 2019;9(7):e030220. http://dx.doi.org/10.1136/bmjopen-2019-030220
Ma Y, Wise AK, et al. New molecular therapies for the treatment of hearing loss. Pharmacol Ther. 2019;200:190-209. https://doi.org/10.1016/j.pharmthera.2019.05.003
Cardemil F, Muñoz D, Fuentes E. Hipoacusia asociada al envejecimiento en Chile: ¿en qué aspectos se podría avanzar? Rev. Otorrinolaringol. Cir. Cabeza Cuello. 2016;76(1):127-35. http://dx.doi.org/10.4067/S0718-48162016000100018
Graydon K, Waterworth C, et al. Global burden of hearing impairment and ear disease. J. Laryngol. Otol. 2019;133(1):18-25. https://doi.org/10.1017/S0022215118001275
Davis A, McMahon CM, Pichora-Fuller KM, et al. Aging and hearing health: The life-course approach. Gerontologist. 2016;56(Supl. 2):S256-S67. https://doi.org/10.1093/geront/gnw033
Russ SA, Tremblay K, et al. A life course approach to hearing health. En: Halfon N, Forrest CB, et al. Handbook of Life Course Health Development. Cham: Springer [internet]; 2018. pp. 349-73 [citado 2022 mar. 9]. Disponible en: Disponible en: https://link.springer.com/chapter/10.1007/978-3-319-47143-3_15
Kamenov K, Martinez R, et al. Ear and hearing care workforce: Current status and its implications. Ear Hear. 2021;42(2):249-57. https://doi.org/10.1097/AUD.0000000000001007
Reavis KM, Tremblay KL, Saunders G. How can public health approaches and perspectives advance hearing health care? Ear Hear. 2016;37(4):376-80. https://doi.org/10.1097/aud.0000000000000321
Ager AK, Lembani M, Mohammed A, et al. Health service resilience in Yobe state, Nigeria in the context of the Boko Haram insurgency: A systems dynamics analysis using group model building. Confl. Health. 2015;9:30. https://doi.org/10.1186/s13031-015-0056-3
Gonzales-Castillo JR, Varona-Castillo L, et al. Pandemia de la covid-19 y las políticas de salud pública en el Perú: marzo-mayo 2020. Rev Salud Pública. 2020;22(2):1-9. https://doi.org/10.15446/rsap.v22n2.87373
Chidumayo NN. System dynamics modelling approach to explore the effect of dog demography on rabies vaccination coverage in Africa. PLoS One. 2018;13(10):e0205884. https://doi.org/10.1371/journal.pone.0205884
Abelló Ugalde IA, Guinovart Díaz R, Morales Lezca W. El modelo sir básico y políticas antiepidémicas de salud pública para la covid-19 en Cuba. Rev Cubana Salud Pública [internet]. 2020 [citado 8 ago. 2022]; 46(Supl. 1):e2597. Disponible en: Disponible en: https://revsaludpublica.sld.cu/index.php/spu/article/view/2597
World Health Organization (who). Workload indicators of staffing need (wisn). User’s manual. Génova: who [internet]; 2010 [citado 2022 dic. 10]. Disponible en: Disponible en: https://www.who.int/publications/i/item/9789241500197
Ramsey T, Svider PF, Folbe AJ. Health burden and socioeconomic disparities from hearing loss: A global perspective. Otol. Neurotol. 2018;39(1):12-16. https://doi.org/10.1097/MAO.0000000000001630
Chang TY, Liu CS, Huang KH, et al. High-frequency hearing loss, occupational noise exposure and hypertension: A cross-sectional study in male workers. Environ. Health. 2011;10:35. https://doi.org/10.1186/1476-069X-10-35
Roser M, Ortiz-Ospina E, Ritchie H. Life expectancy. Our World in Data [internet]; 2013 [citado 2022 mar. 9]. Disponible en: Disponible en: https://ourworldindata.org/life-expectancy
Schneider J, Gopinath B, Karpa MJ, et al. Hearing loss impacts on the use of community and informal supports. Age Ageing. 2010;39(4):458-64. https://doi.org/10.1093/ageing/afq051
Archana G, Krishna Y, Shiny R. Reasons for nonacceptance of hearing aid in older adults. Indian J. Otol. 2016; 22(1):19-23. https://doi.org/10.4103/0971-7749.176513
Banco Mundial. Población, total. Nueva York: Banco Mundial [internet]; 2019. [citado 2022 mar. 9]. Disponible en: Disponible en: https://datos.bancomundial.org/indicator/SP.POP.TOTL
Edizer DT, Çelebi Ö, Hamit B, et al. Recovery of idiopathic sudden sensorineural hearing loss. J Int Adv Otol. 2015;11(2):122-6. https://doi.org/10.5152/iao.2015.1227
Rodríguez Alvarado LW, López Ontiveros MÁ. Aplicación de técnicas de validación de un modelo de simulación de dinámica de sistemas. Caso de estudio. Rev Latinoam Ing Softw. 2016;4(4):187-96. https://doi.org/10.18294/relais.2016.187-196
Monks T, Currie CS, Onggo BS, et al. Strengthening the reporting of empirical simulation studies: Introducing the stress guidelines. J Simul. 2019;13(1):55-67. https://doi.org/10.1080/17477778.2018.1442155
Goman AM, Reed NS, Lin FR. Addressing estimated hearing loss in adults in 2060. jama Otolaryngol. Head Neck Surg. 2017;143(7):733-4. https://doi.org/10.1001/jamaoto.2016.4642
Oyler AL. Untreated hearing loss in adults. American Speach-Language-HearingAssociation [internet]; 2012 [citado 2022 mar. 9]. Disponible en: Disponible en: https://www.asha.org/articles/untreated-hearing-loss-in-adults/
Khoza-Shangase K. Risk versus benefit: Who assesses this in the management of patients on ototoxic drugs? J. Pharm. Bioallied. Sci. 2017;9(3):171-7. https://doi.org/10.4103/jpbs.JPBS_17_17
Zhou H, Zhou Y, Zhang H, et al. Socio-economic disparity in the global burden of occupational noise-induced hearing loss: an analysis for 2017 and the trend since 1990. Occup. Environ. Med. 2021;78(2):125-8. http://dx.doi.org/10.1136/oemed-2020-106556
Dumke C, Ribas Â, Gonçalves CGO, et al. Investigação das falhas técnicas verificadas em próteses auditivas de usuários de um programa público de saúde auditiva. Rev. cefac. 2014;16(4):1117-24. https://doi.org/10.1590/1982-021620147612
Ferguson M, Brandreth M, Brassington W, et al. A randomized controlled trial to evaluate the benefits of a multimedia educational program for first-time hearing aid users. Ear Hear. 2016;37(2):123-36. https://doi.org/10.1097/AUD.0000000000000237
Fagan JJ, Jacobs M. Survey of ent services in Africa: Need for a comprehensive intervention. Glob Health Action. 2009;2(1):1932. https://doi.org/10.3402/gha.v2i0.1932
Lukama L, Kalinda C, Aldous C. Africa’s challenged ent services: Highlighting challenges in Zambia. bmc Health Serv Res. 2019;19(1):443. https://doi.org/10.1186/s12913-019-4267-y
Yueh B, Shapiro N, et al. Screening and management of adult hearing loss in primary care: Scientific review. jama. 2003;289(15):1976-85. https://doi.org/10.1001/jama.289.15.1976
McMahon CM, Gopinath B, Schneider J, et al. The need for improved detection and management of adult-onset hearing loss in Australia. Int J Otolaryngol. 2013;2013:308509. https://doi.org/10.1155/2013/308509
Prochaska JD, Kim H, Buschmann RN, et al. The utility of a system dynamics approach for understanding cumulative health risk from exposure to environmental hazards. Environ Res. 2019;172:462-9. https://doi.org/10.1016/j.envres.2019.02.039
Jafari Z, Kolb BE, Mohajerani MH. Hearing loss, tinnitus, and dizziness in covid-19: A systematic review and meta-analysis. Can J Neurol Sci. 2022;49(2):184-195. https://doi.org/10.1017/cjn.2021.63
Anexos

Anexo 2

Notas
Declaración de intereses